Главная // Актуальные документы // ГОСТ (Государственный стандарт)СПРАВКА
Источник публикации
М.: Стандартинформ, 2007
Примечание к документу
Документ включен в
Перечень международных и региональных (межгосударственных) стандартов, а в случае их отсутствия - национальных (государственных) стандартов, в результате применения которых на добровольной основе обеспечивается соблюдение требований технического
регламента Таможенного союза "О безопасности машин и оборудования" (ТР ТС 010/2011) (
Решение Коллегии Евразийской экономической комиссии от 09.03.2021 N 28).
Текст документа приведен с учетом
поправки, опубликованной в "ИУС", N 6, 2008.
Документ
введен в действие с 1 апреля 2007 года.
Название документа
"ГОСТ 31326-2006 (ИСО 15667:2000). Межгосударственный стандарт. Шум. Руководство по снижению шума кожухами и кабинами"
(введен в действие Приказом Ростехрегулирования от 28.11.2006 N 274-ст)
"ГОСТ 31326-2006 (ИСО 15667:2000). Межгосударственный стандарт. Шум. Руководство по снижению шума кожухами и кабинами"
(введен в действие Приказом Ростехрегулирования от 28.11.2006 N 274-ст)
агентства по техническому
регулированию и метрологии
от 28 ноября 2006 г. N 274-ст
МЕЖГОСУДАРСТВЕННЫЙ СТАНДАРТ
ШУМ
РУКОВОДСТВО ПО СНИЖЕНИЮ ШУМА КОЖУХАМИ И КАБИНАМИ
ISO 15667:2000
Acoustics - Guidelines for noise control
by enclosures and cabins
(MOD)
Noise. Guidelines for noise control
by enclosures and cabins
ГОСТ 31326-2006
(ИСО 15667:2000)
Дата введения
1 апреля 2007 года
Цели, основные принципы и основной порядок проведения работ по межгосударственной стандартизации установлены
ГОСТ 1.0-92 "Межгосударственная система стандартизации. Основные положения" и
ГОСТ 1.2-97 "Межгосударственная система стандартизации. Стандарты межгосударственные, правила и рекомендации по межгосударственной стандартизации. Порядок разработки, принятия, применения, обновления и отмены".
1 ПОДГОТОВЛЕН Открытым акционерным обществом "Научно-исследовательский центр контроля и диагностики технических систем" на основе собственного аутентичного перевода стандарта, указанного в
пункте 4
2 ВНЕСЕН Федеральным агентством по техническому регулированию и метрологии Российской Федерации
3 ПРИНЯТ Межгосударственным советом по стандартизации, метрологии и сертификации (Протокол N 29 от 24 июня 2006 г.)
За принятие проголосовали:
Краткое наименование страны по МК (ИСО 3166) 004-97 | Код страны по МК (ИСО 3166) 004-97 | Сокращенное наименование национального органа по стандартизации |
Азербайджан | AZ | Азстандарт |
Армения | AM | Минторгэкономразвития |
Беларусь | BY | Госстандарт Республики Беларусь |
Казахстан | KZ | Госстандарт Республики Казахстан |
Киргизия | KG | Кыргызстандарт |
Молдова | MD | Молдова-Стандарт |
Российская Федерация | RU | Федеральное агентство по техническому регулированию и метрологии |
Таджикистан | TJ | Таджикстандарт |
Украина | UA | Госпотребстандарт Украины |
4 Настоящий стандарт является модифицированным по отношению к международному стандарту ИСО 15667:2000 "Акустика. Руководство по снижению шума кожухами и кабинами" (ISO 15667:2000 "Acoustics. Guidelines for noise control by enclosures and cabins"). При этом дополнительные слова и фразы, внесенные в текст стандарта для учета потребностей национальной экономики указанных выше государств или особенностей межгосударственной стандартизации, выделены курсивом. Отличия стандарта от примененного в нем международного стандарта ИСО 15667 указаны во введении.
Наименование настоящего стандарта изменено относительно наименования указанного международного стандарта для приведения в соответствие с ГОСТ 1.5-2001 (
подраздел 3.6)
5
Приказом Федерального агентства по техническому регулированию и метрологии от 28 ноября 2006 г. N 274-ст межгосударственный стандарт ГОСТ 31326-2006 (ИСО 15667:2000) введен в действие в качестве национального стандарта Российской Федерации с 1 апреля 2007 г.
6 ВВЕДЕН ВПЕРВЫЕ
Информация о введении в действие (прекращении действия) настоящего стандарта публикуется в указателе "Национальные стандарты".
Информация об изменениях к настоящему стандарту публикуется в указателе "Национальные стандарты", а текст изменений - в информационных указателях "Национальные стандарты". В случае пересмотра или отмены настоящего стандарта соответствующая информация будет опубликована в информационном указателе "Национальные стандарты"
В настоящем стандарте
раздел "Нормативные ссылки" изложен в соответствии с
ГОСТ 1.5-2001 и выделен сплошной вертикальной линией, расположенной слева от приведенного текста.
| | ИС МЕГАНОРМ: примечание. Ссылки, выделенные сплошной горизонтальной линией в официальном тексте документа, в электронной версии документа отмечены знаком "#". | |
В тексте стандарта соответствующая ссылка выделена подчеркиванием сплошной горизонтальной линией.
В настоящий стандарт включены дополнительные по отношению к международному стандарту ИСО 15667:2000 положения, отражающие потребности национальной экономики государств, указанных в предисловии, а именно:
- из нормативных ссылок перенесены в библиографию стандарты ИСО 717-1 и ИСО 140-3, как не имеющие межгосударственных аналогов;
-
библиография дана в порядке следования. Из нее исключены безадресные ссылки (8 источников).
Остальные положения стандарта идентичны ИСО 15667. При изложении стандарта введены некоторые сокращения и изменения стиля, не затрагивающие основных нормативных положений стандарта.
Сведения о соответствии ссылочных международных стандартов межгосударственным стандартам, использованным в настоящем стандарте в качестве нормативных ссылок, приведены в
Приложении C.
Настоящий стандарт распространяется на звукоизолирующие кожухи и кабины:
a) свободно устанавливаемые кабины и кабины машин (например, на средствах транспорта, на подъемных кранах) для защиты оператора от шума;
b) свободно устанавливаемые ограждения или кожухи машин (далее - кожухи), имеющие площадь открытых акустически не защищенных проемов менее 10% площади поверхности.
Стандарт устанавливает акустические и эксплуатационные требования, которые должны быть согласованы между производителями (или поставщиками) и потребителями.
Стандарт распространяется на легкие конструкции кожухов и кабин, но может быть также применен к массивным конструкциям, например, с кирпичными стенами.
Стандарт не распространяется на кожухи и кабины с открытыми и акустически не защищенными проемами более 10% площади, а также на прикрепляемые к машине кожухи, являющиеся ее составной частью и повторяющие ее форму.
В настоящем стандарте использованы ссылки на следующие межгосударственные стандарты: ГОСТ 30457-97 (ИСО 9614-1-93) Акустика. Определение уровней звуковой мощности источников шума на основе интенсивности звука. Измерение в дискретных точках. Технический метод ГОСТ 31171-2003 (ИСО 11200:1995) Шум машин. Руководство по выбору метода определения уровней звукового давления излучения на рабочем месте и в других контрольных точках ГОСТ 31252-2004 (ИСО 3740:2000) Шум машин. Руководство по выбору метода определения уровней звуковой мощности ГОСТ 31274-2004 (ИСО 3741:1999) Шум машин. Определение уровней звуковой мощности по звуковому давлению. Точные методы для реверберационных камер ГОСТ 31298.1-2005 (ИСО 11546-1:1995) Шум машин. Определение звукоизоляции кожухов. Часть 1. Лабораторные испытания с целью заявления шумовых характеристик ГОСТ 31298.2-2005 (ИСО 11546-2:1995) Шум машин. Определение звукоизоляции кожухов. Часть 2. Измерения на месте установки с целью приемки и подтверждения заявленных шумовых характеристик ГОСТ 31299-2005 (ИСО 11957:1996) Шум машин. Определение звукоизоляции кабин. Испытания в лаборатории и на месте установки ГОСТ 31328-2006 (ИСО 14163:1998) Шум. Измерение снижения шума глушителями на месте установки |
Примечание. При пользовании настоящим стандартом целесообразно проверить действие ссылочных стандартов по указателю "Национальные стандарты", составленному по состоянию на 1 января текущего года, и по соответствующим информационным указателям, опубликованным в текущем году. Если ссылочный стандарт заменен (изменен), то при пользовании настоящим стандартом следует руководствоваться замененным (измененным) стандартом. Если ссылочный стандарт отменен без замены, то положение, в котором дана ссылка на него, применяется в части, не затрагивающей эту ссылку.
В настоящем стандарте применены следующие термины с соответствующими определениями.
3.1. кожух (enclosure): Конструкция, ограждающая источник шума (машину) и предназначенная для защиты окружающей среды от шума данного источника (машины).
Примечание. Кожух может быть прямоугольным боксом или повторять контур части машины. Кожух в форме бокса имеет стенки и крышу. Кожух может иметь двери, окна, вентиляционные отверстия, люки для подачи материалов и т.п. (см.
рисунок 4).
3.2. кабина (cabin): Замкнутая конструкция для защиты людей (операторов машин) от окружающего шума.
Примечание. Пол не всегда является частью кабины.
3.3. звукоизоляция кожуха по звуковой мощности (sound power insulation of the enclosure, insertion loss of the enclosure) DW, дБ: Разность между уровнями звуковой мощности машины до и после установки кожуха.
2. Сведения о звукоизоляции кожуха по звуковой мощности в полосах частот необходимы для планирования мероприятий по снижению шума в местах, расположенных на некотором расстоянии от источника, например, в реверберационном звуковом поле производственного помещения или вблизи установки (агрегата).
3. В настоящем стандарте наряду с указанным термином употребляется также эквивалентный термин "вносимые потери кожуха" (insertion loss of the enclosures).
3.4.
Корректированная звукоизоляция кожуха по звуковой мощности (weighted sound power insulation)
DW,w, дБ: одночисловая величина, определенная по
[1] путем замены звукоизоляции панели (или потерь при передаче) вносимыми потерями кожуха по звуковой мощности

.
Примечание. Данная одночисловая величина удобна для грубого сравнения разных кожухов и для общего акустического планирования внутри зданий при неизвестном спектре источника шума.
3.5.
звукоизоляция панели (panel transmission loss)
R, дБ: Показатель снижения шума панелью кожуха
[2].
Примечания. 1. В ограниченной области средних частот (обычно от 250 до 1000 Гц) вносимые потери кожуха

, дБ, герметичного кожуха рассчитывают по формуле

, (1)
где R - звукоизоляции панели, дБ;

- средний коэффициент звукопоглощения внутренней стороны панели.
Хотя спектральная информация об
R и

часто известна, по формуле (1) рассчитывают верхний предел вносимых потерь кожуха, но не их истинное значение. Прохождение звука через недостаточно акустически изолированные отверстия и побочный шум, проникающий наружу в силу вибрации, снижают вносимые потери кожуха.
2. Звукоизоляцию малых строительных элементов
площадью менее 1 м2, исключая окна и двери, определяют по
[3].
3.6. звукоизоляция кожуха по звуковому давлению (sound pressure insulation for enclosures) Dp, дБ: Разность уровней звукового давления, измеренных в третьоктавных или октавных полосах частот в заданной точке до и после установки кожуха.
Примечания. 1. Сведения о спектре звукоизоляции позволяют провести детальный анализ акустической характеристики кожуха в различных направлениях (определение направленности излучения).
| | ИС МЕГАНОРМ: примечание. В официальном тексте документа, видимо, допущена опечатка: имеется в виду ГОСТ 31298.1, а не ГОСТ (ИСО 31298.1). | |
3.7. звукоизоляция кабины по звуковому давлению (sound pressure insulation for cabins) Dp, дБ: Разность уровней звукового давления, измеренных в третьоктавных или октавных полосах частот во внешнем диффузном звуковом поле и в кабине, помещенной в это поле.
Примечание. Измерение звукоизоляции кабины по звуковому давлению выполняют по #
ГОСТ 31299#.
3.8.
фактическая звукоизоляция кабины по звуковому давлению (apparent sound pressure insulation of a cabin)
, дБ: Разность уровней звукового давления, измеренных в третьоктавных или октавных полосах частот в помещении с произвольным звуковым полем и в кабине, установленной в этом помещении.
Примечания. 1. Звуковое поле в помещении необязательно может быть диффузным.
2. Слово "фактическая" означает, что измерения проводят на месте эксплуатации, и их результаты характеризуют звукоизоляцию в реальных условиях применения кабины. Измерение фактической звукоизоляции по звуковому давлению выполняют по #ГОСТ 31299#.
3.9. звукоизоляция по уровню звука (A-weighted sound pressure insulation) DpA, дБА: Снижение уровня звука в заданной контрольной точке кожухом или кабиной, помещенными в диффузное звуковое поле, созданное реальным источником шума.
Примечание. Данная одночисловая величина наиболее удобна для оценки действительной акустической характеристики кожуха конкретной машины или конкретной кабины, например на расстоянии 1 м от кожуха или в любой точке внутри кабины.
3.10. оценка звукоизоляции кожуха (estimated noise insulation due to the enclosure) DpA,e, дБА: Снижение уровня звука кожухом в контрольной точке вне его при заданном спектре источника шума, установленного под кожухом.
Примечание. Данная одночисловая величина наиболее удобна для оценки акустической характеристики кожуха без детального знания спектра источника шума.
3.11.
коэффициент несплошности (leak ratio)

: Отношение площади акустически незащищенных отверстий кожуха (
щелей, открытых люков и смотровых окон и т.п.) к площади внутренней поверхности кожуха, включая площадь отверстий.
Объект, для защиты от шума которого предназначен кожух, должен быть идентифицирован. Его шум измеряют соответствующими методами по #ГОСТ 31252# или #ГОСТ 31171#.
Установка кожуха может привести к повышению температуры под ним. Вентиляторы и кондиционеры, установленные в кожухе, рассматривают как дополнительные источники шума.
4.2. Пути распространения шума
Распространение шума машины под кожухом в окружающее пространство могут быть представлены четырьмя путями (
рисунок 1):
a) путь 1 - воздушный шум, проникающий через неплотности (
щели, отверстия) кожуха. Он требует наибольшего внимания. На очень низких частотах, когда размеры кожуха малы по сравнению с длиной волны звука и когда звукопоглощение внутренней обшивки кожуха мало или отсутствует, внутренний объем кожуха и кромки отверстий образуют резонатор Гельмгольца, что может быть причиной
усиления шума (вносимые потери кожуха имеют отрицательный знак). На высоких частотах, когда кожух обеспечивает значительное звукопоглощение, коэффициент несплошности

и звукопоглощение внутренней обшивки вблизи отверстий определяют передачу звука по пути 1. На высоких частотах при акустически незащищенных (неизолированных) отверстиях звукоизоляцию

по пути 1 рассчитывают по формуле

, (2)
где

- коэффициент несплошности;
b) путь 2 - шум, проникающий через стенки кожуха. Его обычно контролируют при лабораторных испытаниях.
При этом кожух хорошо герметизируют и
обеспечивают отсутствие побочного шума, возникающего в силу вибрации. На очень низких частотах отношение податливости воздуха внутри кожуха к объемной податливости его стенок обусловливают вносимые потери кожуха, рассчитываемые по
формуле (3). На низких частотах
воздушный объем между машиной и ближайшей стенкой кожуха может резонировать на частоте
колебаний стенки, что сводит вносимые потери к минимуму.
На средних и высоких частотах потери на панели значительны. Они зависят от импеданса герметичной стенки кожуха и потерь на внутренней обшивке. У конструкций с одинарными стенками звукоизоляция для панелей с поверхностной массой до 15 кг/м
2 и до частот около 2000 Гц зависит от массы. Конструкции с двойными стенками применяют для повышения показателя снижения шума на средних частотах, превышающих резонансную частоту двойной стенки. Минимальная звукоизоляция имеет место при совпадении частоты падающей звуковой волны с частотой собственных изгибных колебаний панели, чего обычно следует избегать акустическим демпфированием внутренней обшивки на частотах свыше 2000 Гц. На низких частотах, если периметр кожуха меньше длины звуковой волны, коэффициент излучения при вынужденных изгибных колебаниях равен

.
Примечание. Коэффициент излучения определен в
[4];
c) путь 3 - излучение при собственных изгибных колебаниях стенок кожуха. Обычно панели кожуха нежесткие. Поэтому их коэффициент излучения

мал и преимущественно обусловлен колебаниями защемленных кромок или участками, прилегающими к точкам крепления. Собственные изгибные колебания главным образом возбуждаются передаваемой на стенки вибрацией и воздушным шумом. Демпфирование панелей обеспечивает поглощение этих колебаний. На частотах свыше 1000 Гц необходимо учитывать собственные изгибные колебания каркаса кожуха;
d) путь 4 - побочный шум с эффективностью

, вызванный вибрацией и воздушным шумом источников, не зависящих от кожуха. Примерами побочного шума являются: шум пола, незакрытых частей машины, обрабатываемого машиной материала, присоединенных к машине трубопроводов. Излучение по пути 4 ухудшает акустические характеристики даже хорошо спроектированного кожуха.
Рисунок 1. Пути распространения шума из-под кожуха
в окружающее пространство
В ответственных случаях следует рассматривать передачу звука по всем путям. Шум по каждому пути может быть определен измерениями или расчетом. Наиболее трудным является определение шума по
путям 2 и
3. Кроме того, если возможно, следует определить уровень звукового давления фонового шума

при выключенной машине под кожухом.
4.3. Эффективные меры по снижению шума
4.3.1. Выбирают кожух или кабину с подходящими параметрами (достаточность размеров, обеспечение требований безопасности, возможность транспортирования сырья и т.д.).
4.3.2. В общем случае при использовании обычных материалов для описания акустических свойств панелей, закрепляемых на механически устойчивом каркасе, звукопоглощение и звукоизоляция являются достаточными. Типичными элементами кожуха или кабины (
рисунок 2) являются:
- наружная обшивка из стального листа толщиной 1,5 мм. Если обшивку изготовляют из другого материала, то толщина ее должна быть такой, чтобы поверхностная масса по меньшей мере была в пределах от 10 кг/м2 до 15 кг/м2;
- звукопоглощающее покрытие внутренней обшивки, изготовленное из минеральной ваты толщиной 50 мм;
- перфорированная облицовка звукопоглощающего покрытия с площадью перфорации не менее 30%;
- окно со стеклом толщиной 6 мм.
1 - внешняя обшивка; 2 - звукопоглощающее покрытие;
3 - перфорированная облицовка; 4 - место для установки
машины или рабочая зона; 5 - окно
Рисунок 2. Схема звукоизолирующего кожуха или кабины
Типичный спектр уровней звукового давления излучения вблизи машины до и после установки описанного выше кожуха приведен на рисунке 3.

Без кожуха

С кожухом
Рисунок 3. Типичный пример корректированных по A октавных
уровней звукового давления излучения до и после
установки кожуха
Корректированный по A октавный уровень звукового давления излучения имеет максимум вблизи частоты 500 Гц. Он определяющим образом влияет на звукоизоляцию по уровню звука.
Если установлены специальные требования по увеличению вносимых потерь на низких частотах, то необходимы детальные исследования по защитным покрытиям на основе минеральной ваты, применяемым формам и материалам герметичной обшивки, звукопоглощающих материалов и т.д.
4.3.3. Основное внимание уделяют устранению неплотностей. Щели между панелями устраняют, применяя в зависимости от акустических требований одинарное или двойное уплотнение (герметизацию стыков). Если в процессе эксплуатации панели часто демонтируют, то убеждаются, что герметизация не нарушается при повторной установке панели. Если щели неизбежны, как в случае сдвижных дверей, то применяют звукопоглощающие покрытия или щелевые глушители. Сводят до минимума все отверстия для вентиляции, кабелей, труб, транспортирования сырья и т.д. и устанавливают на них глушители или туннельные входы со звукопоглощающим покрытием. Люки для обслуживания машины во время ее работы тщательно закрывают.
4.3.4. Во избежание побочной передачи шума (по полу, опорным конструкциям и т.п.) машину устанавливают на упругих опорах. Панели кожуха не должны соприкасаться с машиной. Если это невозможно, то число точек крепления или контакта должно быть минимальным, и в них устанавливают упругие прокладки.
4.3.5. Во избежание побочной передачи воздушного шума из-под кожуха, не имеющего собственного пола, через пол помещения при необходимости обеспечения особенно высоких акустических характеристик применяют кожухи с собственным полом.
4.3.6. В особых случаях панели покрывают вибродемпфирующим материалом, чтобы увеличить зависящую от массы звукоизоляцию и ослабить собственные изгибные колебания.
Примечание. Дополнительная информация об эффективных мерах снижения шума кожухами и кабинами приведена в
[5] -
[8].
5. Типы кожухов и кабин и частные требования
Примеры типовых конструкций элементов кожухов и кабин приведены в Приложении A, примеры применения кожухов - в Приложении B.
5.1.1. Малые кожухи (капоты)
Для низкочастотного звука кожух может рассматриваться как малый, если его наибольший размер менее одной четверти длины звуковой волны. Легкие и прозрачные стенки удобны для эксплуатации и долговечны.
Вносимые потери

, дБ, герметичного кожуха на низких частотах рассчитывают по формуле

, (3)
где

- податливость объема газа внутри кожуха,

, рассчитываемая по формуле

, (4)
где

- внутренний объем кожуха, м
3;
k - отношение теплоемкостей газа под кожухом при постоянном давлении и при постоянном объеме (для воздуха k = 1,4);

- статическое давление внутри кожуха, Па (для воздуха при нормальных атмосферных условиях

Па);

- объемная податливость
i-й панели кожуха под воздействием звукового давления внутри кожуха,

, рассчитываемая по формуле

, (5)
где

- изменение объема кожуха
вследствие прогиба его
i-й панели под действием звукового давления внутри кожуха, м
3;
p - среднее звуковое давление внутри кожуха, Па;
n - число панелей кожуха.
В случае кубического кожуха с плоскими защемленными
по кромкам панелями вносимые потери

, дБ, рассчитывают по формуле

, (6)
где h - толщина панелей кожуха, м;
a - длина ребра кожуха, м;
E - модуль Юнга материала панели, Па.
При свободно опертых панелях (без защемления кромок) вносимые потери обычно ниже на 10 дБ. Из формулы (6) следует, что при одинаковой массе кожух из алюминия и стекла имеет вносимые потери на 10 дБ выше, чем стальной кожух, тогда как свинцовый кожух совершенно неэффективен при низкочастотном шуме (см.
[5]).
За исключением специальных конструкций, вероятно, все малые кожухи негерметичны и не могут обеспечивать положительные вносимые потери на частотах ниже 1,4

. Для кубического кожуха с круглым отверстием

, Гц, рассчитывают по формуле

, (7)
где c - скорость звука в воздухе внутри кожуха, м/с;

- коэффициент несплошности;

- поправка, учитывающая влияние обоих концов отверстия кожуха, м, приблизительно равная

,
где

- радиус отверстия в кожухе, м.
На частотах свыше

, вносимые потери негерметичного кожуха близки к звукоизоляции герметичного кожуха. Щели между кожухом и каркасом должны быть герметизированы с помощью упругих прокладок многократного применения. Отверстия следует делать как можно меньше, поскольку из-за недостатка
свободного пространства на них невозможно установить эффективные глушители. Побочный шум (передающийся, например, через бумагу механического принтера) следует уменьшать предпочтительно вибродемпфированием.
5.1.2. Кожухи для одиночных стационарных машин
5.1.2.1. Кожухи, устанавливаемые в производственных помещениях
Размер кожуха часто зависит от требуемого для доступа к машине пространства вокруг нее. В некоторых случаях предпочтительнее устанавливать частичное ограждение, закрывающее наиболее мощные источники шума.
Размеры и конструкцию кожуха выбирают, принимая во внимание обеспечение доступа персонала, проведение обслуживания, настройки, смены/перестановки инструмента и т.п. В некоторых случаях размеры и масса отдельных панелей требуют придания им повышенной жесткости и установки зацепов для подъема.
Дополнительно может потребоваться защита кожуха от воздействия внешней среды, например от воздействия масла и воды. Кожухи также должны быть приспособлены для чистки. Внутренняя поверхность обшивки и все отверстия должны иметь звукопоглощающие покрытия. Пример отверстия приведен на
рисунке A.14 (Приложение A). Покрытия защищают от попадания масла и воды с помощью полимерной пленки или металлической фольги. Следует иметь в виду, что эти защитные меры могут ухудшить акустические характеристики покрытий, особенно на высоких частотах.
Примечание. У пленки или фольги с поверхностной массой более 50 г/м2 или полимерной пленки толщиной более 50 мкм звукопоглощение снижается на частотах свыше 2000 Гц.
Для защиты звукопоглощающего покрытия от механического повреждения применяют акустически прозрачную облицовку.
Примечание. Подходящие акустически прозрачные облицовочные панели обычно изготовляют из алюминиевой сетки или перфорированного стального листа с перфорацией площадью 30% и диаметром отверстий от 3 до 5 мм.
При использовании пленок или фольги следует избегать снижения звукопоглощения из-за возможного прилипания этих материалов к перфорированной облицовочной панели. Это может быть достигнуто созданием зазора между перфорированной панелью и пленкой. Следует убедиться, что неровности (заусенцы, острые кромки) перфорированной панели не будут прокалывать пленку.
У кожухов, проектируемых для обеспечения корректированной звукоизоляции по звуковой мощности, по меньшей мере, 20 (30) дБ, при коэффициенте несплошности более 0,01 (0,001) все неплотности должны быть герметизированы с помощью, например, резиновых полос и втулок. Примеры герметизации неплотностей приведены на
рисунках A.3 -
A.6 и
A.17 -
A.21 (Приложение A). Особого внимания требуют двери. Примеры акустической защиты дверных проемов приведены на
рисунках A.11 -
A.13 (Приложение A). Излучение, обусловленное резонансом
воздушного объема в протяженном отверстии (
канале), может привести к снижению звукоизоляции в узкой полосе частот.
В зависимости от требуемых характеристик кожуха системы естественной и принудительной вентиляции, а также проемы для транспортирования материалов могут быть снабжены глушителями. Примеры глушителей приведены на
рисунках A.7 -
A.10 (Приложение A). Выбор глушителей проводят по #ГОСТ 31328#.
В панелях вырезают отверстия для прокладки кабелей, механических передач и т.д. После установки этих элементов отверстия герметизируют минеральной ватой и, при необходимости, резиновыми полосами и втулками [см.
рисунки A.14 -
A.16 (Приложение A)].
Если звуковое излучение машины обусловлено главным образом вибрацией ее частей (например, у двигателей внутреннего сгорания, электромоторов с водяным охлаждением, генераторов, зубчатых редукторов, компрессоров или трансформаторов), то характеристики кожуха часто
предопределены побочным шумом, передаваемым через элементы крепления или места контакта машины со стенками кожуха. Упругая установка кожуха на жесткий фундамент, а также наличие упругих соединительных деталей или втулок обеспечивают повышенное снижение шума
[9]. В ответственных случаях применяют комбинированную систему упругой установки с дополнительными упругими элементами между основанием машины и полом помещения по
рисунку A.28 (Приложение A). Это требуется, чтобы отделить или изолировать основание машины от стенок кожуха. Вместо установки на длинные упругие прокладки по
рисунку A.27 (Приложение A) для машины с жестким корпусом (станиной) могут быть применены компактные комбинированные системы, у которых между двумя виброизоляторами помещают
виброзадерживающие массы.
5.1.2.2. Кожухи, устанавливаемые вне помещения
В дополнение к требованиям, предъявляемым к звукоизолирующим кожухам в производственных помещениях, кожухи вне помещений следует при необходимости защищать от атмосферных воздействий (гальваническими покрытиями и/или окрашиванием внешней поверхности, соответствующей окантовкой отверстий) и предусматривать защиту от ветровых нагрузок (увеличением толщины внешней обшивки или установкой подкрепляющих элементов между внешней и внутренней обшивками), а также от морской воды (алюминизацией внешней поверхности).
Примечание. Измерения шума вне кожуха проводят при включенной системе вентиляции (кондиционирования), чтобы учесть влияние звукового излучения истекающего воздуха из вентиляционных дефлекторов.
Для предотвращения побочного шума через фундамент машины, устанавливаемой на упругих элементах, масса фундамента может быть увеличена с помощью бетонной подушки, если это конструктивно допустимо. В общем случае для кожухов вне помещения не требуется обшивка с большим звукопоглощением и не накладываются какие-либо ограничения по окнам. Следует выполнить специальные требования по безопасности (например, установить откидывающиеся при взрыве люки).
5.1.3. Кожухи для больших машин и группы машин, оборудованные входом
Типичная конструкция кожуха приведена на
рисунке 4. Помимо требований, предъявляемых к кожухам в производственных помещениях, следует предусмотреть вентиляцию и внутреннее освещение, а также оборудовать кожух соответствующими
предохранительными устройствами безопасности (например, автоматическим выключателем,
рубильником), предотвращающими запуск машины кем-либо снаружи. Размеры кожуха - по
6.2.2. На производствах, где используются токсичные газы или машины имеют движущиеся части и т.п., могут потребоваться специальные устройства по обеспечению безопасности. Если к кожуху предъявляют неодинаковые требования к снижению шума в различных направлениях, то это может потребовать разных способов акустической защиты отверстий, расположенных с соответствующих сторон кожуха.
1 - соответствующим образом заглушенные каналы для
забора/выпуска воздуха; 2 - окно для наблюдения;
3 - шлюз для подачи и удаления материалов; 4 - дверь
(при необходимости); 5 - люк для обслуживания
(навесная панель); 6 - стенка с внутренним звукопоглощающим
покрытием и наружной звукоизолирующей обшивкой;
7 - гермоизоляция; 8 - герметизированная технологическая
панель, иногда снимаемая для обеспечения доступа
Рисунок 4. Типичная конструкция кожуха машины
Рамы окон и стекла должны быть хорошо герметизированы. Примеры герметизации приведены на
рисунках A.25 и
A.26 (Приложение A).
Особое внимание следует уделить предотвращению проникания звука через дверные щели. Это зависит от типа двери и запора. Различают три типа дверей:
a) сдвижные, створчатые и подъемные двери;
b) навесные двери (с порогом и без него);
c) двери с механизмом прижима.
Сдвижную дверь используют, если недостаточно места для открывания и закрывания навесной двери (например, если персонал проходит в непосредственной близости от двери). Щель шириной
h должна быть акустически изолирована по периметру участка перекрытия дверью дверного проема шириной
w >= 20
h [см.
рисунок A.13 (Приложение A)] с помощью устройства, герметизирующего дверь в закрытом состоянии.
Навесные двери должны открываться наружу, если они являются аварийным выходом. Двери без порога герметизируют резиной по трем сторонам рамы двери. Зазор между дверью и полом должен быть как можно меньше. Дополнительные меры (например, щеточная изоляция) обеспечивают незначительное улучшение звукоизоляции. Несколько более улучшенные характеристики достигают при использовании прикрепляемых к полу порогов с резиновыми вставками. Такие пороги легко переезжать без риска опрокидывания [см.
рисунок A.20 (Приложение A)]. Основной недостаток такой герметизации заключается в быстром истирании резины и необходимости частого ремонта.
При частом открывании двери ее герметизация по полу становится неэффективной.
Лучшие акустические характеристики достигают использованием навесных дверей с порогом. В этом случае герметизирующие уплотнители эффективны на всех четырех кромках двери. Недостатком является большой риск споткнуться о порог.
Двери с прижимом для обеспечения высоких акустических характеристик оборудуются пневматическими или электрическими устройствами, создающими равномерное и заданное обжатие дверных уплотнителей после закрывания двери. Открывание двери происходит в обратной последовательности: сначала снимается давление с уплотнителей, затем дверь открывается.
Навесные двери обычно оборудуют запорами. Обжатие уплотнителей зависит от точности установки петель и конструкции запора. Для увеличения обжатия применяют замки, позволяющие сжать уплотнители с помощью механического устройства, приводимого в действие поворотом ручки двери еще на 90°.
5.1.4. Кожухи с высокими характеристиками
Кожухи с высокими характеристиками по
6.1 используют, например, как камеры для испытаний двигателей, трансформаторов, компрессоров и гофрировочных машин.
Кожухи, эксплуатируемые вне помещения (например, для отдельного оборудования или целых установок), требуют защиты от атмосферных воздействий и штормовых ветровых нагрузок. Для больших кожухов это обычно обеспечивают прочным креплением жестких панелей на несущем каркасе.
Побочный шум может ограничить верхний предел вносимых потерь. Для обеспечения высокой звукоизоляции побочный шум стремятся снизить, если возможно, уменьшая вибрацию в источнике или устанавливая упругие элементы в местах крепления панелей и нанося снаружи вибродемпфирующее покрытие на внешнюю обшивку. Двойные стенки с поверхностной массой

и

, кг/м
2, с промежутком между ними
t, м, заполненным звукопоглощающим материалом (плотностью не более 125 кг/м
3), увеличивают звукоизоляцию на частотах свыше 1,4

, где

- резонансная частота двойной стенки, Гц, которую рассчитывают по формуле

, (8)
где a - числовой размерный коэффициент, Гц·кг1/2·м-1/2 (a = 60);
Примечание. У стенки из стальных листов толщиной 1 мм и 1,5 мм с промежутком 100 мм, заполненным минеральной ватой, резонансная частота приблизительно равна 80 Гц.
5.1.5. Мобильные и размещаемые на средствах транспорта кожухи
Машины, устанавливаемые на средствах транспорта (например, электрогенераторы, воздушные компрессоры, насосы и гидравлические системы), нуждаются в кожухах для работы на строительных площадках или в других местах временного размещения. Хотя основные акустические свойства таких кожухов должны соответствовать
5.1.2, они имеют определенные ограничения.
Часто бывает, что панели крепят к нежесткому каркасу, который при движении транспортного средства по пересеченной местности может деформироваться. Однако прикрепленные к каркасу панели сильно увеличивают жесткость кожуха. Действующие на них силы необходимо передавать на каркас. Поэтому их надо крепить большим количеством винтов (болтов или анкеров).
Также целесообразно применять как можно более длинные листы обшивки кожуха и даже приклеивать их к каркасу. Листы длиной до 10 м и шириной до 3 м (обычно из алюминиевого сплава) отрезают от рулона. Органы управления машиной должны быть доступны без вскрытия панели. Если возможно, то машина должна работать только при закрытых панелях и двери.
Мобильные кожухи должны быть водонепроницаемыми. Это требует тщательной проработки конструкции стыков панелей, чтобы водонепроницаемость не нарушалась после проведения обслуживания машины или в процессе эксплуатации.
Мобильные кожухи на прицепах должны быть максимально облегченными. Поэтому традиционный способ снижения шума увеличением массы для мобильных кожухов не допускается. Вместо очень толстого (300 мм) слоя звукопоглощающего материала часто применяют стекловолокно плотностью около 30 кг/м3. Обычно избегают применения массивной перфорированной металлической облицовки. Упругая установка машины препятствует распространению вибрации, что значительно улучшает акустические характеристики кожуха.
Высокоэффективные кожухи могут быть созданы с использованием двойных стенок, в которых промежуток между стенками используют в качестве глушителя вентиляционного канала. Вентиляция может быть необходима как при работающей, так и при выключенной машине.
5.2.1. Кабины управления и наблюдения
Стены с окнами и дверями, потолок и, если требованиями предусмотрено, пол являются серийно изготовляемыми стандартными элементами. Подгонка в условиях промышленного использования крайне нежелательна. Для дверей требуются уплотнители многократного действия. Рекомендуется кондиционирование воздуха.
Типичная звукоизоляция по уровню звука составляет около 30 дБА. Если с какой-либо стороны кабины требуется высокая звукоизоляция, то можно установить утяжеленные или двойные стенки с этой стороны.
Специальные кабины с высокой звукоизоляцией для радиовещательных студий, измерений порога слышимости и синхронных переводчиков в настоящем стандарте не рассматриваются. Требования к ним установлены в
[10],
[11].
5.2.2. Стационарные кабины для операторов
При минимальном объеме кабины требуется обеспечить вентиляцию и рациональное размещение сидячих рабочих мест. Для минимизации объема встроенных воздуховодов кабину следует оборудовать предпочтительно вытяжной, а неприточной вентиляцией. Кабина должна иметь освещение. Органы управления должны находиться внутри кабины, чтобы не было необходимости выходить в места с повышенным шумом.
5.2.3. Кабины, устанавливаемые на средствах транспорта
В этих кабинах требуется снижать как шум, так и вибрацию. В дополнение к общим требованиям к стационарным кабинам следует обеспечивать хороший обзор, соблюдение ограничений по весу и размерам, кондиционирование и, в особенности, требования безопасности.
Низкочастотный шум почти полностью передается через стенки кабины и места ее крепления. Легкие стенки обладают низкой звукоизоляцией и легко возбуждаются вибрацией. Звукопоглощение кабин на низких частотах и звукоизоляция упруго закрепленных кабин довольно малы. Поэтому весьма эффективным может быть применение систем активного шумоглушения, имеющих вспомогательные управляемые источники шума. Они уменьшают шум в кабине за счет интерференции и звукопоглощения.
6. Акустические требования, планирование и подтверждение при контроле шума
Основываясь на существующих уровнях звукового давления без кожуха или кабины, пользователи или проектировщики кожухов и кабин, как правило, требуют данные о максимально возможном:
a) уровне звука (для кожухов - уровне звука излучения) или октавных уровнях звукового давления излучения:
- на расстоянии 1 м от кожуха,
- среднем на охватывающей поверхности,
- на рабочем месте,
- внутри кабины,
- в контрольной опорной точке (при отсутствии рабочего места) в непосредственной близости;
b) корректированном по частотной характеристике A уровне звуковой мощности или уровням звуковой мощности в октавных полосах частот при установленном кожухе и без него.
Предпочтительными являются данные о звуковом излучении в октавных полосах частот.
Разность уровней звука или (как предварительная оценка) разность корректированных по A уровней звукового давления в октавной полосе со среднегеометрической частотой 500 Гц без кожуха и с кожухом задает акустические требования к кожуху. Различают следующие пять групп кожухов в зависимости от разностей, дБА:
a) до 10 - особые требования к кожуху отсутствуют;
b) от 10 до 20 - типичные кожухи без значительных утечек звука;
c) от 20 до 30 - типичные кожухи с тщательно исключенными утечками звука и с упругой установкой машины;
d) от 30 до 40 - тщательно спроектированные и собранные кожухи с высокими характеристиками;
e) более 40 - специальные конструкции кожухов.
Не располагая детальной информацией об источнике шума, производитель кожуха должен обеспечить следующие заданные параметры: вносимые потери или, по меньшей мере, корректированную звукоизоляцию по звуковой мощности.
В типовом случае предусматривают следующие этапы:
a) потребитель направляет запрос производителю. Дополнительная информация - по
7.1;
b) потребитель приглашает производителя для первого обсуждения проекта;
c) потребитель собирает все необходимые данные для проектирования, включая размеры, сведения о вентиляции, материальных потоках, указывает допустимые материалы, требования безопасности и т.д.;
d) потребитель приглашает производителя для второго детального обсуждения проекта;
e) производитель разрабатывает эскизный проект кожуха;
f) потребитель (совместно со своими службами эксплуатации и охраны труда) одобряет проект;
g) потребитель организует тендер;
h) производитель, выигравший тендер, представляет на рассмотрение чертежи кожуха;
i) в проект включают конструктивные требования и требования по акустике;
j) потребитель принимает проект и дает производителю согласие на изготовление;
k) производитель производит закупку комплектующих частей;
l) производитель собирает кожух;
m) потребитель принимает кожух;
n) независимая сторона (испытательная лаборатория, консультанты по акустике) подтверждает, при необходимости, акустические характеристики.
Если требуется несколько кожухов для машин одного типа, то целесообразно изготовить прототип и испытать по акустическим характеристикам, на долговечность, проверить удобство эксплуатации и обслуживания и т.п.
Минимальные размеры кожуха определяют из условия, что ни одна из частей машины не соприкасается со стенками кожуха. Дополнительные требования к минимальным размерам могут быть обусловлены электромагнитным полем машины.
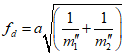
Чтобы предотвратить снижение акустических характеристик кожуха вследствие резонанса объема воздуха между стенкой и поверхностью машины, воздушный зазор между поверхностью машины и внешней обшивкой кожуха d, м, должен удовлетворять условию

, (9)
где

= 1 м;
m" - поверхностная масса внешней обшивки, кг/м2;

= 1 кг/м
2;
f - наименьшая частота, на которой требуется обеспечить заданное значение потерь на панели, Гц;

= 1 Гц.
Примечание. Для стального листа толщиной 1,5 мм при частоте 63 Гц минимальный зазор приблизительно равен 400 мм.
Для кожуха с доступом персонала свободное пространство для прохода между машиной и стенкой должно быть не менее 500 мм и предпочтительно от 600 до 700 мм. В стандартах по безопасности по
[12] -
[19] устанавливают расстояние между панелями, открывающими доступ, и вращающимися частями машины или ее приводом.
6.2.3. Вентиляция и кондиционирование
Вентиляция требуется для:
- удаления нагретого воздуха;
- замены воздуха в случае возможных утечек ядовитых или взрывоопасных газов;
- обеспечения работы горелок или двигателей внутреннего сгорания.
Необходимо, чтобы все впускные и выходные отверстия были акустически защищены.
Звукоизоляция акустически изолированных отверстий должна быть сопоставима со звукоизоляцией стенок кожуха или кабины.
Для естественной вентиляции требуются входные отверстия в полу и выходные на потолке. Принудительная вентиляция иногда может быть обеспечена с помощью встроенных вентиляторов охлаждения электромоторов по
рисунку A.7 (Приложение A). Но в общем случае устанавливают приточные или вытяжные вентиляторы в местах, где они не поднимают пыль с пола. Примеры мест установки вентиляторов приведены на
рисунках A.8 и
A.9 (Приложение A).
Скорость обмена воздуха часто выбирают таким образом, чтобы повышение температуры охлаждающего воздуха внутри кожуха не превышало 15 °C. В случае возможной утечки газа легче воздуха обычно обеспечивают 60-кратный обмен воздуха в час, для газов тяжелее воздуха - 120-кратный обмен. Расположение выхлопной трубы должно отвечать требованиям безопасности.
Чтобы избежать необходимости открывать двери и окна кабины, что снижает ее акустические характеристики, используют кондиционеры. Принудительная вентиляция может потребовать установки дополнительных глушителей.
6.2.4. Другие требования
Требования безопасности определяют выбор звукопоглощающих материалов. Минеральная вата имеет существенное преимущество перед открытым пенопластом ввиду ее негорючести. Но следует избегать разрезания минеральной ваты на месте изготовления кожуха, а отходы изолировать для предотвращения загрязнения кожуха и окружающей среды.
Входная дверь должна быть хорошо герметизирована. Должна быть обеспечена возможность открывания двери изнутри.
Для замены частей или перезагрузки машины могут потребоваться большие отверстия в кожухе. Для этого применяют двери различных конструкций (навесные, сдвижные, подъемные), откатывающиеся контейнеры, откидывающиеся потолки и другие решения. При этом следует уделить особое внимание электрическим соединениям подвижных частей.
Для полного доступа к машине часто требуется демонтаж кожуха. Если это происходит регулярно, то следует предусмотреть маркировку его частей, применяя метки, номера, транспаранты или различную окраску. Дополнительно должен быть указан вид крепления, приспособленного к многократной разборке (например тип винтов, быстросъемных замков).
Срок службы кожуха должен соответствовать сроку службы машины. Поскольку резиновые уплотнители и другие резиновые элементы не могут служить так же долго, они должны быть легкозаменяемы. Внешнюю обшивку кожуха можно неоднократно окрашивать. Перекраска внутренней перфорированной облицовки без ее снятия не допускается, так как попадание краски на звукопоглощающее покрытие или на его защиту (пленку, фольгу) может существенно снизить звукоизоляцию.
6.3.1. Методы измерения
Используют следующие методы измерения:
- лабораторные методы испытаний малых кожухов по #
ГОСТ 31298.1# для заявления значений шумовых характеристик;
- испытания кожухов на месте установки по #
ГОСТ 31298.2# для приемки или подтверждения значений шумовых характеристик;
- испытания кабин в лабораторных условиях и на месте установки по #
ГОСТ 31299#;
- совместные испытания кожуха на месте установки на вибрацию внешней обшивки и измерения шума вблизи отверстий и щелей;
- новейшие методы измерений, например, с использованием псевдослучайных последовательностей максимальной длины.
Метод измерения выбирают в зависимости от размеров кожуха, условий его применения и внешних условий.
Измерения проводят в лаборатории для заявления значений шумовых характеристик свободно стоящего кожуха. Объем кожуха - менее 2 м3. Применяют три метода измерений до и после установки кожуха или внутри его и снаружи:
a) измерения с реальным источником шума -
машиной, для которой предназначен кожух (предпочтительны как более точные). Измеряют уровни звукового давления одним из методов по #ГОСТ 31252# или интенсивность звука по #
ГОСТ 30457# и определяют вносимые потери

(или звукоизоляцию по корректированной по
A звуковой мощности

). Допускается измерять уровни звукового давления излучения в контрольных точках методами по #ГОСТ 31171# и определять звукоизоляцию по звуковому давлению

(или звукоизоляцию по уровню звука

) по измерениям на рабочем месте;
b) если невозможно использовать реальный источник шума, то предпочтительным является метод взаимности с источником шума, устанавливаемым вне кожуха. Этот метод не пригоден для определения побочного шума и для кожухов, имеющих собственные источники шума, например, вентиляторы;
c) если невозможно использовать реальный источник шума и метод взаимности, то вносимые потери

определяют методом искусственного источника шума, устанавливаемого под кожухом. Но данный метод не позволяет полностью учесть побочный шум, и он не применим для кожухов, имеющих собственные источники шума. На результаты измерений сильно влияет нестабильность условий окружающей среды.
Измерения проводят на месте установки кожуха. Применяют два метода измерений до и после установки кожуха:
a) измерения с реальным источником шума (предпочтительны). Измеряют уровни звукового давления одним из методов по #ГОСТ 31252# или интенсивность звука по #
ГОСТ 30457# и определяют вносимые потери

(или звукоизоляцию по корректированной по
A звуковой мощности

). Дополнительно могут быть измерены уровни звукового давления излучения в контрольных точках одним из методов по #ГОСТ 31171# и определена звукоизоляция по звуковому давлению

(или по уровню звука

) по измерениям на рабочем месте;
b) в некоторых специфических случаях может быть использован метод искусственного источника шума (например, если реальный источник не может работать без вспомогательного оборудования вне кожуха или невозможно обеспечить идентичный режим работы машины при установленном кожухе и без него).
При применении методов могут возникнуть затруднения, если:
- фоновый шум слишком велик, вследствие чего невозможно измерить понижение шума после установки кожуха ни с использованием реального, ни искусственного источника;
- большие кожухи испытывают в относительно малом помещении, что не позволяет обеспечить точность измерений, соответствующую техническому методу.
Для определения звукоизоляции кабины по звуковому давлению используют внешнее звуковое поле в реверберационной камере по #
ГОСТ 31274# или в помещении любого типа на месте установки. При измерениях в лаборатории не принимают специальных мер для предотвращения влияния побочного шума, передающегося через пол. Вентиляторы кабины должны быть выключены.
Измерения на месте установки проводят, используя в качестве источника шума громкоговорители (предпочтительно для сравнения с данными лабораторных измерений) или реальные источники (предпочтительно для оценки фактической звукоизоляции по звуковому давлению в реальных условиях применения кабины).
Измерения проводят после обкатки оборудования, установленного в кабине. Вентиляторы и другие возможные источники шума в кабине не должны заметно влиять на результаты измерения уровней звукового давления. Разность уровней звукового давления снаружи и внутри кабины при испытаниях на месте установки называют фактической звукоизоляцией по звуковому давлению.
6.3.5. Совместные измерения шума и вибрации
Если фоновый шум препятствует измерениям, то могут быть выполнены следующие измерения на месте установки кожуха:
a) для определения шума, генерируемого вибрацией
обшивки кожуха, на ней могут быть установлены легкие акселерометры по
[20]. Данные измерений
вибрации путем интегрирования и частотного взвешивания (весовые коэффициенты для данной конструкции должны быть известны или их значения предполагаются) преобразуют в третьоктавные или октавные уровни звукового давления излучения.
В ответственных случаях при высоком фоновом шуме проводят дополнительные измерения, позволяющие убедиться, что вибрация обшивки не является следствием воздействия внешнего шума. Для этого проводят измерения интенсивности звука, которые позволяют также определить направление распространения звука;
b) в дополнение к измерениям вибрации, измерение уровней звукового давления (и, возможно, интенсивности звука) следует выполнять вблизи всех отверстий и щелей. Если измеренные в этих местах уровни превышают уровни в более удаленных точках более чем на 3 дБ, то по ним можно определить составляющие звуковой мощности.
Для получения надежных данных о звуковом излучении требуются лабораторные измерения на подобных конструкциях со сравнимым звуковым полем источника шума и при отсутствии возмущений у микрофона. Если это невозможно, то потребителю и производителю рекомендуется прийти к соглашению о предполагаемом звуковом излучении в октавных полосах частот.
Общая звуковая мощность машины под кожухом является суммой составляющих звуковой мощности, определенных по измерениям шума и вибрации.
При необходимости изготовления нескольких кожухов для однотипных машин целесообразно построить прототип и акустически испытать его до начала серийного производства.
6.3.6. Измерения с использованием псевдослучайных последовательностей максимальной длины
Если измерения с применением громкоговорителя по #
ГОСТ 31298.2# или
#ГОСТ 31299# невозможны из-за высокого уровня фонового шума, то могут быть применены измерения с использованием псевдослучайных последовательностей максимальной длины, которые допускают проведение измерений при отношении сигнала к шуму, как правило, до 30 дБ по
[21]. Для получения максимально точных результатов требуется тщательный контроль линейности характеристик громкоговорителя и приемной системы, стабильности температурных условий и практического отсутствия воздушных потоков.
7.1. Информация, предоставляемая потребителем
Если процедура по
6.2.1 не может быть соблюдена, то для определения технических требований к кожуху потребитель (покупатель) должен предоставить следующую минимальную информацию:
a) тип машины или установки (номинальная мощность, основные режимы работы);
b) размеры кожуха (длина, ширина и высота) или, по крайней мере, размеры машины;
c) наличие или отсутствие пола у кожуха;
d) использование кожуха в помещении или вне его, под навесом или без него или на транспортном средстве;
e) условия установки (тип и качество пола);
f) тип конструкции (поднимаемый целиком или по частям, возможность демонтажа, свободный или ограниченный доступ внутрь);
g) число, размеры и расположение дверей, окон, съемных панелей для доступа (явно видимых и внешне незаметных), отверстий для коммуникаций;
h) акустическую характеристику (см.
6.1);
i) количество подлежащего отводу тепла;
j) материал внешней обшивки и внешняя отделка (рисунок, обработка поверхности, цвет);
k) требования к конструкции, такие как прочность и долговечность;
l) допустимые звукопоглощающие материалы и покрытия;
m) требования по безопасности и гигиене;
n) требования к вентиляции и кондиционированию воздуха;
o) требования к электроприборам (освещение, розетки);
p) максимально допустимые масса и размеры элементов кожуха;
q) другую специфическую информацию.
7.2. Информация, предоставляемая производителем
Для определения эксплуатационных свойств кожуха (кабины) производитель (поставщик) должен предоставлять следующую информацию, если она имеет значение:
a) акустическую характеристику:
- вносимые потери в октавных полосах частот (или звукоизоляцию по корректированному по частотной характеристике A уровню звуковой мощности),
- корректированную звукоизоляцию по звуковой мощности,
- фактическую звукоизоляцию кабины по звуковому давлению;
b) повышение температуры охлаждающего воздуха;
c) геометрические характеристики кожуха или кабины (чертеж);
d) используемые материалы, тип герметизации звукопоглощающими материалами и тип уплотнителей;
e) пригодность для использования вне помещения;
f) массу, размеры, условия установки, контроля и технического обслуживания;
g) другую специфическую информацию.
(рекомендуемое)
A.1. Панели
A.1.1. Установка панелей на жесткий каркас
1 - потолочная панель; 2 - сваренные U-образные профили;
3 - стенка; 4 - звукопоглощающий материал;
5 - перфорированная облицовка; 6 - наружная обшивка
Рисунок A.1. Пример соединения с потолочной панелью
1 - стенка; 2 - сваренные U-образные профили;
3 - винтовое соединение
Рисунок A.2. Пример вертикального соединения стенок
a) На гладком полу
b) На неровном (бетонном) полу
1 - стенка; 2 - U-профиль; 3 - самоклеящееся резиновое
уплотнение; 4 - пластичное уплотнение; 5 - валик из мастики
Рисунок A.3. Примеры установки стенки
1 - каркас; 2 - стенка; 3 - зажим; 4 - закладная гайка;
5 - резиновое уплотнение
Рисунок A.4. Пример крепления съемной части стенки
к каркасу
1 - стенка; 2 - каркас; 3 - резиновое уплотнение;
4 - установочный штифт; 5 - бетонное основание
Рисунок A.5. Пример правильной установки стеновых элементов
на напольной раме, соединенных без уплотнителей
A.1.2. Панели с ребрами жесткости
1 - съемная панель; 2 - ребро жесткости; 3 - точка сварки
с внешней обшивкой; 4 - точка сварки на перфорированной
облицовке; 5 - винт; 6 - самоклеящееся резиновое уплотнение
с отверстиями; 7 - резиновый уплотнитель
(как альтернатива детали 6); 8 - каркас кожуха
Рисунок A.6. Пример съемной панели с ребрами жесткости,
применяемой на кожухах, устанавливаемых во взрывоопасных
зонах и вне помещений
A.2. Глушители
A.2.1. Вентиляция кожуха
1 - электромотор; 2 - турбокомпрессор; 3 - акустически
защищенные всасывающий и выпускной воздуховоды;
4 - защитная сетка
Примечание. Вентилятор электромотора используется как нагнетающий вентилятор системы вентиляции.
Рисунок A.7. Схема кожуха для воздушно-охлаждаемого
электромотора и турбокомпрессора
1 - электромотор; 2 - турбокомпрессор; 3 - акустически
защищенные всасывающий и выпускной воздуховоды;
4 - защитная сетка; 5 - вентилятор
Примечание. На больших кожухах между защитной сеткой и электромотором может быть установлен воздуховод.
Рисунок A.8. Схема кожуха для электромотора
и турбокомпрессора с вытяжным вентилятором принудительной
системы вентиляции
1 - электромотор; 2 - турбокомпрессор; 3 - акустически
защищенные всасывающий и выпускной воздуховоды;
4 - защитная сетка
Примечания. 1. Отвод воздуха вытяжным вентилятором создает разряжение в кожухе.
2. Нагнетающий и вытяжной вентиляторы могут включаться порознь или совместно.
Рисунок A.9. Примеры встроенного в стену глушителя
(со стороны вытяжки) и улучшения охлаждения машины
(со стороны всасывания)
A.2.2. Защита коммуникационных (кабельных, трубопроводных и т.п.) каналов
1 - механизм регулирования; 2 - заслонка; 3 - отверстие
в стенке; 4 - загрузочное отверстие; 5 - стенка;
6 - ролик направляющей системы
Рисунок A.10. Регулируемые коммуникационные каналы в стенке
A.2.3. Сдвижные люки (двери) со щелевыми глушителями и герметизацией
1 - выступ, заполненный звукопоглощающим материалом;
2 - рельс; 3 - щель шириной h и длиной w >= 20h
Примечание. В целях безопасности рельс может быть заглублен.
Рисунок A.11. Примеры акустической защиты щелей
под подвижными стенками кожуха
a) Ролики над полом
b) Ролики под полом
1 - сдвижная дверь; 2 - направляющие ролики
Рисунок A.12. Пример навешивания телескопических
сдвижных дверей
1 - стенка; 2 - сдвижная дверь; 3 - устройство, прижимающее
уплотнитель двери к полу; 4 - опускающийся на пол
уплотнитель двери; 5 - дверной проем; 6 - щель между
полотном двери и стенкой [h - ширина щели
(обычно h = 10 мм), w - перекрытие дверью проема
(w >= 20h)]; 7 - резиновое уплотнение
Рисунок A.13. Пример большой сдвижной двери со значительным
перекрытием дверного проема и эффективной герметизацией
по полу в закрытом положении
A.3. Герметизация
A.3.1. Отверстия в стенках
1 - стенка; 2 - половинки труб (продольно разрезанные
трубы), приваренные к пластине; 3 - хомут; 4 - кабель;
5 - пластина
Рисунок A.14. Пример отверстия в стенке
для прокладки кабеля
1 - стенка; 2 - уплотнение; 3 - труба; 4 - глушитель
длиной w >= 20h; 5 - вал
Рисунок A.15. Примеры акустической защиты отверстий
в стенке для труб, валов, тяг и т.д.
1 - потолочная панель; 2 - выхлопная труба; 3 - облицовка
теплоизоляции; 4 - колпак; 5 - резиновое уплотнение
Рисунок A.16. Пример акустической защиты отверстия
в потолке с теплоизоляцией
A.3.2. Уплотнения между панелями, кожухом и полом, навесными дверями и панелями для доступа
1 - стенка; 2 - самоклеящееся резиновое уплотнение;
3 - винтовое соединение
Рисунок A.17. Пример вертикального соединения
элементов стенок
1 - стенка; 2 - угловой элемент; 3 - соединительный элемент
с устройством регулировки (длинные профили);
4 - резиновое уплотнение
Рисунок A.18. Пример соединения стенки с угловыми
элементами с помощью длинных профилей
с устройством регулирования
1 - стенка; 2 - жесткий стальной профиль;
3 - резиновый уплотнитель
Рисунок A.19. Пример герметизации стенки по полу
1 - металлический порог для крепления уплотнителя;
2 - съемный резиновый профиль; 3 - дверь
Рисунок A.20. Пример уплотнения между навесной
дверью и полом
1 - стенка; 2 - самоклеящееся резиновое уплотнение;
3 - рама двери; 4 - винтовое соединение; 5 - первое дверное
уплотнение; 6 - дверь; 7 - дверная ручка; 8 - запор замка;
9 - второе дверное уплотнение
Примечание. Второе дверное уплотнение применяют для дверей с повышенной герметизацией.
Рисунок A.21. Пример уплотнения двери и стенки
по периметру рамы двери
A.3.3. Защита от атмосферных воздействий для разборных кожухов
1 - стенка; 2 - потолочная панель; 3 - несущий профиль;
4 - резиновое уплотнение; 5 - защищающая от осадков кровля;
6 - защищающий от осадков кожух
Примечание. Рекомендуется крышу делать с небольшим наклоном.
Рисунок A.22. Пример соединения стенки с потолком
при помощи несущего профиля
A.3.4. Герметизация съемных элементов
1 - каркас; 2 - резиновое уплотнение; 3 - прикрепляемый
винтами угловой зажим; 4 - стена; 5 - потолочная панель
Рисунок A.23. Пример соединения и уплотнения стенки
и потолка с каркасом с помощью углового зажима
1 - каркас основания; 2 - резиновое уплотнение;
3 - прикрепляемый винтами угловой зажим; 4 - стенка
Рисунок A.24. Пример соединения стенки с каркасом основания
с помощью прикрепляемого винтами углового зажима
A.3.5. Герметизация окон
1 - стенка; 2 - оконное стекло толщиной не менее 6 мм;
3 - резиновое уплотнение; 4 - монтажный профиль
Рисунок A.25. Пример герметизации прямоугольного
оконного стекла
1 - стенка; 2 - оконное стекло толщиной не менее 6 мм;
3 - резиновое уплотнение; 4 - кромка оконного проема
Рисунок A.26. Пример герметизации по периметру окна
A.4. Упругая установка
A.4.1. Простая упругая установка
a) Резиновая опора
b) Резиновая опора с каркасом
c) Резиновая опора на поддерживающем профиле
1 - стенка; 2 - монтажный профиль; 3 - упругая опора;
4 - поддерживающий профиль; 5 - боковая резиновая опора;
6 - основание
Примечание. Вариант c) менее эффективен вследствие упругости поддерживающего профиля.
Рисунок A.27. Примеры монтажа и герметизации стенок
при упругом опирании
A.4.2. Комбинированная упругая установка
1 - кожух; 2 - источник шума и вибрации (машина);
3 - основание машины; 4 - тяжелая плита; 5 - упругие опоры;
6 - вторая плита; 7 - пол
Рисунок A.28. Пример повышенной виброизоляции с помощью
комбинированной системы упругой установки
(рекомендуемое)
ПРИМЕРЫ ПРИМЕНЕНИЯ КОЖУХОВ
B.1. Штамповочный пресс
Вручную загружаемый 60-тонный эксцентриковый пресс используют для производства заготовок размером 0,3 x 1 м из стального листа толщиной 0,28 мм. При работе пресса (импульсный шум при выпуске воздуха, прессовании), эквивалентный уровень звука, воздействующий на оператора, равен 101 дБА. Спектральное распределение приведено на рисунке B.1.

Без кожуха

Первый вариант кожуха

Второй вариант кожуха
Рисунок B.1. Спектр корректированных по A уровней звукового
давления излучения на рабочем месте штамповочного пресса
Примечание. Слева - частично открытый кожух, справа - закрытый кожух.
Рисунок B.2. Кожух штамповочного пресса
Кожух изготовлен в двух вариантах. Первый, с частично открытой со стороны оператора стенкой, обеспечивает звукоизоляцию по уровню звука 11 дБА. Второй, с полностью закрытой стенкой перед оператором, - 15 дБА. Экранирование не привело к существенному снижению производительности пресса.
B.2. Трансформатор в кожухе под открытым небом
Кожух имеет двери,
съемные панели для контроля, глушители на вентиляционных выходах (
рисунок B.3).
Узкополосный спектр
корректированных по A уровней звукового давления (основная гармоника на частоте 100 Гц и более высокие гармоники) приведен на
рисунке B.4.
Рисунок B.3. Трансформатор в кожухе под открытым небом

Без кожуха

С кожухом
Рисунок B.4. Узкополосный спектр корректированных по
A
уровней звукового давления излучения трансформатора
Корректированная по A звукоизоляция по звуковой мощности равна 21 дБА и обусловлена низкочастотным шумом.
B.3. Отрезные станки для длинных профилей
Отрезной станок для алюминиевых профилей (с кожухом и без него) приведен на
рисунке B.6. Откидная передняя панель с тремя окнами опускается электрическим приводом. В шуме резания преобладают высокочастотные компоненты (рисунок B.5). Звукоизоляция по уровню звука на рабочем месте равна 27 дБА.

Без кожуха

С кожухом
Рисунок B.5. Спектр корректированных по A уровней звукового
давления излучения на рабочем месте станка с двумя пилами
для резки профилей
Рисунок B.6. Отрезной станок с двумя пилами без кожуха
(вверху) и с кожухом (внизу)
B.4. Гофрировочная машина
Кожух изготовлен для машины, предназначенной для резки картона, фальцевания, склеивания и этикетирования картонных коробок. Большие открытые проемы с обоих концов машины обусловили звукоизоляцию по уровню звука, которая равна 11 дБА (рисунки B.7 и
B.8).

Без кожуха

С кожухом
Рисунок B.7. Спектр корректированных по A уровней звукового
давления излучения на рабочем месте оператора
гофрировочной машины
Рисунок B.8. Гофрировочная машина без кожуха (вверху)
и с кожухом (внизу)
B.5. Линия по производству гофрированного картона
Линия по производству гофрированного картона защищена кожухом (
рисунок B.10). Поскольку некоторые части линии находятся вне кожуха, то действительная звукоизоляция по уровню звука равна лишь 19 дБА (рисунок B.9).

Без кожуха

С кожухом
Рисунок B.9. Спектр корректированных по A уровней звукового
давления излучения на рабочем месте оператора линии
по производству гофрированного картона
Рисунок B.10. Линия по производству гофрированного картона
без кожуха (вверху) и с кожухом (внизу)
B.6. Газовая турбина
Газовая турбина (
рисунок B.11) установлена на каркасе из стальных балок (на салазках). Турбину используют в основном в качестве привода электрического делителя мощности или газового компрессора. На этих же салазках установлен зубчатый редуктор, генерирующий шум и вибрацию. Кожух смонтирован на салазках с применением простой ленточной виброизоляции. Шум салазок снижает потенциально возможные вносимые потери.
Рисунок B.11. Газовая турбина с кожухом
(панель для доступа открыта)
Кожух имеет наружную стальную обшивку толщиной 1,5 мм, звукопоглощающий материал толщиной 100 мм малой плотности (стекловолокнистая плита плотностью 35 кг/м3) и внутреннюю металлическую облицовку с перфорацией площадью 38%. Так как имеется риск утечки масла и образования масляного тумана, звукопоглощающий материал под перфорированной облицовкой покрыт тонкой полимерной пленкой.
Панели для доступа имеют резиновые уплотнители и запоры с прижимом. Это ограничивает потенциально возможные потери на панели.
Выделяемое турбиной тепло удаляется заглушенной системой принудительной вентиляции. Вентиляционные каналы для отвода горячего воздуха и забора воздуха имеют гибкие вставки в местах прохода через стенки кожуха. Особое внимание следует уделить забору воздуха, так как часто возникает сильный высокочастотный шум всасывания компрессора (в полосе частот со среднегеометрической частотой 4000 Гц). Вносимые потери можно оценить по рисунку B.12.

Без кожуха

С кожухом
Примечание. Данные получены при измерениях на расстоянии 1 м от турбины до установки кожуха и на расстоянии 1 м от стенки кожуха после его установки.
Рисунок B.12. Спектр усредненных по пространству
измеренных корректированных по A уровней
звукового давления излучения
(справочное)
СВЕДЕНИЯ О СООТВЕТСТВИИ ССЫЛОЧНЫХ МЕЖДУНАРОДНЫХ СТАНДАРТОВ
МЕЖГОСУДАРСТВЕННЫМ СТАНДАРТАМ, ИСПОЛЬЗОВАННЫМ В НАСТОЯЩЕМ
СТАНДАРТЕ В КАЧЕСТВЕ НОРМАТИВНЫХ ССЫЛОК
Таблица C.1
Обозначение ссылочного межгосударственного стандарта | Обозначение и наименование ссылочного международного стандарта и условное обозначение степени его соответствия ссылочному межгосударственному стандарту |
(ИСО 9614-1-93) | ИСО 9614-1:1993 "Акустика. Определение уровней звуковой мощности источников шума по интенсивности звука. Часть 1. Измерения в дискретных точках" (MOD) |
ГОСТ 31171-2003 (ИСО 11200:1995) | ИСО 11200:1995 "Акустика. Шум машин и оборудования. Руководство по применению основополагающих стандартов по определению уровней звукового давления излучения на рабочем месте и в других контрольных точках" (MOD) |
ГОСТ 31252-2004 (ИСО 3740:2000) | ИСО 3740:2000 "Акустика. Определение уровней звуковой мощности источников шума. Руководство по применению основополагающих стандартов" (MOD) |
(ИСО 3741:1999) | ИСО 3741:1999 "Акустика. Определение уровней звуковой мощности источников звука по звуковому давлению. Точные методы для реверберационных камер" (MOD) |
(ИСО 11546-1:1995) | ИСО 11546-1:1995 "Акустика. Определение звукоизоляции кожухов. Часть 1. Измерения в лабораторных условиях (для целей декларирования)" (MOD) |
(ИСО 11546-2:1995) | ИСО 11546-2:1995 "Акустика. Определение звукоизоляции кожухов. Часть 2. Измерения на месте установки (для целей приемки и подтверждения)" (MOD) |
(ИСО 11957:1996) | ИСО 11957:1996 "Акустика. Определение звукоизоляции кабин. Измерения в лаборатории и на месте установки" (MOD) |
ГОСТ 31328-2006 (ИСО 14163:1998) | ИСО 14163:1998 "Акустика. Руководство по снижению шума глушителями" (MOD) |
Примечание. В настоящей таблице использовано следующее условное обозначение степени соответствия стандартов: - MOD - модифицированные стандарты. |
| ИСО 717-1:1996 (ISO 717-1:1996) | Акустика. Оценка звукоизоляции зданий и элементов зданий. Часть 1. Звукоизоляция воздушного шума (Acoustics - Rating of sound insulation in buildings and of building elements - Part 1: Airborne sound insulation) |
| ИСО 140-3:1995 (ISO 140-3:1995) | Акустика. Измерения звукоизоляции зданий и элементов зданий. Часть 3. Лабораторные измерения звукоизоляции элементов зданий (Acoustics - Measurement of sound insulation in buildings and of building elements - Part 3: Laboratory measurements of airborne sound insulation of building elements) |
| ИСО 140-10:1991 (ISO 140-10:1991) | Акустика. Измерения звукоизоляции зданий и элементов зданий. Часть 10. Лабораторные измерения звукоизоляции малых элементов зданий (Acoustics - Measurement of sound insulation in buildings and of building elements - Part 10: Laboratory measurements of airborne sound insulation of small building elements) |
| ИСО/ТО 7849:1987 (ISO/TR 7849:1987) | Акустика. Оценка воздушного шума машин и оборудования по вибрации (Acoustics - Estimation of airborne noise emitted by machinery using vibration measurement) |
| Ver I.L. Enclosures and wrappings, in Beranek L.L., Ver I.L. (eds.), Noise and vibration control engineering. Chapter 13. John Wiley, New York, 1992 |
[6] | Harris C.M. Handbook of acoustical measurements and noise control. McGraw-Hill, New York, 1991 |
[7] | L  rmbek  mpfung durch Kapselungen. Bestellnummer 66026d, Schweizerische Unfallversicherungsanstalt, Postfach, CH-6002 Luzern; Des enceintes pour lutter contre le bruit, Reference 66026.f, Caisse nationale suisse d'assurance en cas d'accidents, Case postale, CH-6002 Lucerne |
| VDI 2711. Schallschutz durch Kapselung (Noise reduction by enclosures), 1978 |
| ЕС 299:1997 (EN 299:1997) | Вибрация и удар. Виброизоляция машин. Информация для звукоизоляции (Mechanical vibration and shock - Vibration isolation of machines - Information for the application of source isolation) |
| ИСО 2603:1996 (ISO 2603:1998) | Акустика. Кабины для синхронного перевода. Общие характеристики и оснащение (Acoustics - Booths for simultaneous interpretation - General characteristics and equipment) |
| ИСО 4043:1998 (ISO 4043:1998) | Акустика. Передвижные кабины для синхронного перевода. Общие характеристики и оснащение (Acoustics - Mobile booths for simultaneous interpretation - General characteristics and equipment) |
| ЕС 547-1:1996 (EN 547-1:1996) | Безопасность машин. Измерения тела человека. Часть 1. Принципы определения размеров люков для доступа человека вовнутрь машины (Safety of machinery - Human body measurements - Part 1: Principles for determining the dimensions required for openings for whole body access into machinery) |
[13] | ЕС 547-2:1996 (EN 547-2:1996) | Безопасность машин. Измерения тела человека. Часть 2. Принципы определения размеров проходов (Safety of machinery - Human body measurements - Part 2: Principles for determining the dimensions required for access openings) |
[14] | ЕС 547-3:1996 (EN 547-3:1996) | Безопасность машин. Измерения тела человека. Часть 3. Антропометрические данные (Safety of machinery - Human body measurements - Part 3: Anthropometric data) |
[15] | ЕС 614-1:1995 (EN 614-1:1995) | Безопасность машин. Эргономические принципы проектирования. Часть 1. Терминология и общие принципы (Safety of machinery - Ergonomic design principles - Part 1: Terminology and general principles) |
[16] | ЕС 894-1:1997 (EN 894-1:1997) | Безопасность машин. Эргономические требования для проектирования дисплеев и исполнительных механизмов систем управления. Часть 1. Общие принципы взаимодействия человека с дисплеями и исполнительными механизмами систем управления (Safety of machinery - Ergonomics requirements for the design of displays and control actuators - Part 1: General principles for human interactions with displays and control actuators) |
[17] | ЕС 894-2:1997 (EN 894-2:1997) | Безопасность машин. Эргономические требования для проектирования дисплеев и исполнительных механизмов систем управления. Часть 2. Дисплеи (Safety of machinery - Ergonomics requirements for the design of displays and control actuators - Part 2: Displays) |
[18] | ИСО 13849-1:1999 (ISO 13849-1:1999) | Безопасность машин. Безопасность систем управления. Часть 1. Общие принципы проектирования (Safety of machinery - Safety-related parts of control systems - Part 1: General principles for design) |
| ЕС 1005-1:2001 (EN 1005-1:2001) | Безопасность машин. Физические характеристики тела человека. Часть 1. Термины и определения (Safety of machinery - Human physical performance - Part 1: Terms and definitions) |
| ИСО 6385:1981 (ISO 6385:1981) | Эргономические принципы проектирования производственных систем (Ergonomic principles of the design of work systems) |
| Borish J. Angell J. An efficient algorithm for measuring the impulse response using pseudorandom noise. J. Audio Eng. Soc, 31, 1983, pp. 478 - 487. |