Главная // Актуальные документы // ГОСТ (Государственный стандарт)СПРАВКА
Источник публикации
М.: ИПК Издательство стандартов, 1998
Примечание к документу
С 1 июля 2003 года до вступления в силу технических регламентов акты федеральных органов исполнительной власти в сфере технического регулирования носят рекомендательный характер и подлежат обязательному исполнению только в части, соответствующей целям, указанным в
пункте 1 статьи 46 Федерального закона от 27.12.2002 N 184-ФЗ.
Введен в действие с 1 июля 1998 года.
Название документа
"ГОСТ 30479-97. Обеспечение износостойкости изделий. Методы установления предельного износа, обеспечивающего требуемый уровень безопасности. Общие требования"
(введен в действие Постановлением Госстандарта РФ от 25.12.1997 N 427)
"ГОСТ 30479-97. Обеспечение износостойкости изделий. Методы установления предельного износа, обеспечивающего требуемый уровень безопасности. Общие требования"
(введен в действие Постановлением Госстандарта РФ от 25.12.1997 N 427)
от 25 декабря 1997 г. N 427
МЕЖГОСУДАРСТВЕННЫЙ СТАНДАРТ
ОБЕСПЕЧЕНИЕ ИЗНОСОСТОЙКОСТИ ИЗДЕЛИЙ
МЕТОДЫ УСТАНОВЛЕНИЯ ПРЕДЕЛЬНОГО ИЗНОСА,
ОБЕСПЕЧИВАЮЩЕГО ТРЕБУЕМЫЙ УРОВЕНЬ БЕЗОПАСНОСТИ.
ОБЩИЕ ТРЕБОВАНИЯ
Products wear resistance assurance.
Methods of assessment of limiting wear.
Principles of provision. General requirements
ГОСТ 30479-97
Группа Т51
1. Разработан Российской Федерацией.
Внесен Госстандартом России.
2. Принят Межгосударственным советом по стандартизации, метрологии и сертификации (Протокол N 11-97 от 25 апреля 1997 г.).
За принятие проголосовали:
┌──────────────────────────┬──────────────────────────────────────────────┐
│ Наименование государства │ Наименование национального органа │
│ │ по стандартизации │
├──────────────────────────┼──────────────────────────────────────────────┤
│Азербайджанская Республика│Азгосстандарт │
│Республика Армения │Армгосстандарт │
│Республика Белоруссия │Белстандарт │
│Республика Казахстан │Госстандарт Республики Казахстан │
│Киргизская Республика │Киргизстандарт │
│Республика Молдавия │Молдовастандарт │
│Российская Федерация │Госстандарт России │
│Республика Таджикистан │Таджикгосстандарт │
│Туркменистан │Главная Государственная инспекция │
│ │Туркменистана │
│Республика Узбекистан │Узгосстандарт │
│Украина │Госстандарт Украины │
└──────────────────────────┴──────────────────────────────────────────────┘
3.
Постановлением Государственного комитета Российской Федерации по стандартизации, метрологии и сертификации от 25 декабря 1997 г. N 427 межгосударственный стандарт ГОСТ 30479-97 введен в действие непосредственно в качестве государственного стандарта Российской Федерации с 1 июля 1998 г.
4. Введен впервые.
Настоящий стандарт распространяется на изделия и их составные части (далее - изделия), работающие в условиях трения и износа.
Стандарт устанавливает требования к методам определения предельного износа изделий и их составных частей и предельных зазоров в сопряжениях, при которых обеспечивается безопасность эксплуатации.
В настоящем стандарте использованы ссылки на следующие стандарты:
ГОСТ 2.102-68. Единая система конструкторской документации. Виды и комплектность конструкторских документов
ГОСТ 27.002-89. Надежность в технике. Основные понятия. Термины и определения
ГОСТ 27674-88. Трение изнашивания и смазка. Термины и определения.
В настоящем стандарте применяются следующие термины с соответствующими определениями.
Параметр безопасности - параметр состояния изделия, используемый для характеристики его безопасности.
Определяющий параметр безопасности изделия - параметр безопасности изделия, используемый при контроле соответствия изделия нормативным требованиям безопасности.
Предельное значение параметра безопасности - наибольшее или наименьшее регламентированное значение параметра безопасности.
Предельный износ - износ, соответствующий предельному состоянию изнашиваемого изделия или его составной части.
Предельное состояние изделия - состояние изделия, при котором его дальнейшее применение по назначению недопустимо или нецелесообразно, либо восстановление его исправного или работоспособного состояния невозможно или нецелесообразно.
Допускаемый износ - максимальный износ элемента (сопряжения) изделия, при котором возможно его безопасное использование в течение последующего ремонтного цикла.
Допустимый износ - износ, при котором изделие соответствует нормативным требованиям безопасности.
Скорость изнашивания - отношение величины износа к интервалу времени, в течение которого он возник.
Интенсивность изнашивания - отношение величины износа к обусловленному пути, на котором происходило изнашивание, или объему выполненной работы
[1].
Остальные термины - по ГОСТ 27674.
4.1. Предельный износ по параметрам безопасности должен устанавливаться для деталей или их сопряжений, подверженных износу при регламентированных в нормативной документации условиях эксплуатации и связанных непосредственно или функционально с параметрами или характеристиками безопасности изделий.
4.2. Предельный износ по параметрам безопасности должен быть установлен в государственных стандартах и (или) конструкторских документах на размеры или сопряжения элементов изделия. В нормативной и (или) технической документации должны быть указаны мероприятия или действия, которые должны осуществлять эксплуатирующие или ремонтные организации при достижении предельных износов, а также методы и способы их определения.
4.3. Значения предельного износа, являющиеся параметрами безопасности изделия, должны быть доведены до сведения потребителя и указаны в сопровождающей изделие документации.
4.4. Если предельный износ является критерием отказа или предельного состояния по
ГОСТ 27.002 и указан в нормативной и (или) технической документации, дополнительной регламентации предельных величин износа этих элементов не требуется.
4.5. В зависимости от вида и функционального назначения изделия за критерии предельного износа принимают:
- начало резкого возрастания интенсивности изнашивания элементов машин, связанных с безопасностью;
- самовыключение или самовключение изделия (например, из-за износа торцевой поверхности зубчатых колес коробок передач);
- предельно допустимое снижение прочности изнашиваемой детали (например, износ и обрыв проволок канатов грузоподъемных устройств, из-за изнашивания толщины зуба у основания зубчатого устройства);
- выходящее за пределы допустимого влияние износа отдельных деталей сопряжения на параметр безопасности изделия;
- износ элементов зубчатых, цепных и других передач, крепежных элементов, вызывающих шум и вибрацию на месте оператора;
- возникновение триботехнических отказов, связанное с уменьшением силы трения до уровня ниже допустимого, заедание, заклинивание механизмов (например, износ по толщине накладок фрикционных тормозов и муфт, приводящий к уменьшению силы трения, а следовательно и силы удерживания грузов или машины на уклонах и т.п.);
- нарушение кинематического взаимодействия деталей (например, чрезмерное увеличение динамических нагрузок на элемент или группу элементов вследствие износа подшипников и перекоса валов);
- изменение или невозможность выполнения изделием заданных функций
[1], приводящих к нарушению безопасности (например, схождение цепи со звездочки вследствие износа шарниров и вытяжка, снижение качества очистки поверхностей труб вследствие износа щеток очистной машины).
4.6. Критерии предельного износа разрабатывают после того, как определены вид, структура изделия и при наличии проекта полного комплекта конструкторских документов по
ГОСТ 2.102.
4.7. При установлении критериев предельного износа конкретного изделия следует учитывать следующее:
- в результате износа может происходить скачкообразное изменение состояния изделия, приводящее его в опасное состояние для человека или окружающей среды (заклинивание механизма, поломка деталей и т.п.);
- в процессе изнашивания имеется зона интенсивного возрастания износа, приводящего к росту вибраций, шума, выделению загрязняющих веществ;
- процесс износа за время эксплуатации не имеет экстремальных зон; опасные воздействия изнашивания проявляются после достижения предельного износа.
4.8. В зависимости от назначения изделия или условий его применения предельные износы могут назначаться дифференцированно.
4.9. При установлении предельного износа составных частей изделия следует учитывать влияние изнашиваемого элемента:
на работоспособность самого элемента;
на параметр безопасности изделия в целом;
на работоспособное состояние других элементов, влияющих на параметр безопасности изделия.
4.10. Для деталей с поверхностным упрочнением предельный износ не должен превышать глубины упрочненного слоя.
5. Требования к методам установления предельного износа
5.1. Предельный износ по параметрам безопасности устанавливают по одному или нескольким критериям, указанным в
4.5.
При использовании одновременно нескольких критериев за предельный износ следует принимать его наименьшее значение, определенное по каждому критерию.
5.2. Предельный износ устанавливают с учетом риска безопасности и назначают таким образом, чтобы за время эксплуатации или в интервалах между ремонтами вероятность ее достижения не превышала значения, соответствующего рационально допустимому уровню безопасности.
Рационально допустимый уровень безопасности следует устанавливать с учетом технико-социально-экономических критериев, назначения изделия, условий эксплуатации и тяжести последствий от превышения допустимого износа в процессе эксплуатации.
Метод определения предельного износа и риска безопасности приведен в Приложении А.
5.3. Если значение параметра безопасности регламентировано стандартами, санитарно-гигиеническими, строительными и другими обязательными нормами безопасности (уровень шума, допустимое значение вредных примесей и т.п.), на значение которых оказывает влияние износ отдельных элементов или сопряжений изделия, предельный износ должен быть таким, чтобы обеспечивалось соответствие исследуемого параметра безопасности нормативным требованиям в течение срока эксплуатации изделия или интервала между ремонтами.
5.4. Предельный износ составных частей изделий, функционально связанных с параметрами и нормативами безопасности, определяют исходя из предельных значений этих параметров и нормативов, установленных в нормативной или технической документации.
5.5. Предельный износ отдельных элементов многозвенных механизмов, у которых значение параметра (замыкающего звена размерной цепи), лимитирующего безопасное функционирование изделия в заданных условиях, определяется суммарным значением износа отдельных элементов изделия (составляющих звеньев), назначают в соответствии с методами расчета размерных цепей
[2].
5.6. Если для отдельных изделий до наступления предельного износа предусмотрена замена изнашиваемых элементов, величина износа этих изделий должна назначаться с учетом периода приработки заменяемых элементов. Например, предельный износ гильз цилиндров должен быть назначен с учетом периода приработки замененных поршневых колец, на которые также установлен предельный износ.
5.7. В общем случае предельные износы по параметрам безопасности устанавливают в следующей последовательности:
- установление перечня параметров безопасности изделий;
- установление состава составных частей изделия, влияющих на определяющий параметр безопасности;
- выделение из выявленных составных частей деталей, поверхностей и сопряжений, подвергаемых изнашиванию в процессе эксплуатации;
- установление функциональной связи определяющего параметра с триботехническими характеристиками выявленных деталей, поверхностей и сопряжений;
- определение скорости изнашивания;
- определение предельного износа деталей, поверхностей и сопряжений по предельному значению параметра безопасности и скорости изнашивания.
Примеры взаимосвязи определяющих параметров и предельных износов приведены в
Приложениях Б и
В.
5.8. При установлении предельного износа следует учитывать следующее:
а) параметр безопасности, т.е. безопасность изделия непосредственно зависит от износа одной из составных частей изделия. В этом случае

, (1)
где

- предельное значение параметра, лимитирующего безопасность;

- предельный износ;
K - коэффициент влияния (передаточное отношение).
В частных случаях K = 1.
Примером является ситуация, когда износ одного элемента приводит в предельное состояние другой элемент изделия, непосредственно связанный с параметром безопасности;
б) параметр безопасности определяется в виде суммы нескольких изнашиваемых элементов.
При этом

, (2)
где

- предельный износ i-го элемента;
n - число изнашиваемых элементов;

- предельное отношение;
в) параметр безопасности является функцией нескольких изнашиваемых элементов и других факторов.
При этом

, (3)
где

- факторы, влияющие на безопасность;

- предельные значения износа отдельных элементов.
В частном случае

. (4)
Один из методов определения предельного износа с учетом случайных факторов приведен в
Приложении Г.
5.9. При определении предельного износа следует учитывать, что линейный закон изменения износа может привести к нелинейным временным зависимостям параметра безопасности, например износ может обусловливать скачкообразный характер изменения состояния устройства (при определенном износе накладок тормоза грузоподъемной машины происходит скачкообразное изменение в кинематических взаимодействиях).
5.10. По критерию интенсивного возрастания износа предельный износ должен быть установлен в момент резкого возрастания износа (рисунок 1).
I - период приработки;
II - период нормального рабочего износа;
III - период интенсивного изнашивания
Рисунок 1. Характер процесса изнашивания
Для описания случайного процесса изнашивания X(t) используют следующие зависимости:
- период приработки

; (5)
- период нормального изнашивания

; (6)
- период интенсивного изнашивания

; (7)

, (8)
где h - скорость изнашивания;
t - время работы изнашиваемого элемента;
a, n - коэффициенты.
5.11. Если определенное значение износа одного из элементов изделия приводит к началу интенсивного возрастания параметра безопасности изделия, его следует принимать за предельный износ данного элемента. Например, при износе зубьев реверсивной пары шестерня-рейка при каждом изменении направления движения возникает удар, сила которого прогрессивно возрастает по мере износа пары. Начало интенсивного возрастания динамических нагрузок определяет значения предельно допустимых износов этой пары.
5.12. Предельные износы по параметрам прочности устанавливают для тех механизмов, у которых параметром безопасности изделия является прочностная характеристика, зависящая от величины износа и (или) размера изнашиваемого элемента изделия.
5.13. Для изделий, подвергаемых плановым ремонтам с установленной периодичностью, а также элементам изделий, состояние которых контролируется с определенной периодичностью, кроме предельного износа должен быть установлен допускаемый износ, при котором возможно безопасное использование изделия в течение последующего ремонтного цикла или межконтрольного интервала.
Если системой планово-предупредительного ремонта предусмотрено, что изнашиваемый элемент заменяется (восстанавливается) при k-м ремонте, то фактический износ, устанавливаемый для (k - 1)-го ремонта, должен быть не более

, (9)
где

- предельный износ;

- средний износ между (k - 1) и k-м ремонтами;

- продолжительность работы изделия между (n - 1) и k-м ремонтами.
Формула (9) справедлива также для установления допускаемого износа в межконтрольном интервале.
(рекомендуемое)
МЕТОД ОПРЕДЕЛЕНИЯ ПРЕДЕЛЬНОГО ИЗНОСА
И РИСКА БЕЗОПАСНОСТИ ПРИ ЗАДАННОЙ ВЕЛИЧИНЕ РИСКА
(ВРЕМЕНИ ЭКСПЛУАТАЦИИ ИЛИ НАРАБОТКЕ ДО РЕМОНТА)
А.1. Данный метод следует использовать в следующих случаях:
- по результатам испытаний известен или определен вид случайного процесса изнашивания и скорость изнашивания;
- установлена периодичность ремонтов или задан срок службы изделия;
- предельная величина износа устанавливается по элементу изделия, лимитирующему его безопасность.
При этих условиях необходимо установить предельный износ рассматриваемого элемента при заданной (допустимой) величине риска.
А.2. Обозначения:

- вид случайного процесса изнашивания;

- отклонение размера детали от номинального (после изготовления или обкатки);
h - скорость изнашивания;

- средняя скорость изнашивания;

- предельный износ;
R(t) - риск в случае достижения предельного износа до заданного срока ремонта или срока службы.
А.3. На
рисунках А.1 -
А.5 приведены пять типичных видов случайных процессов изнашивания.
а) Детерминированный однородный
Для этого процесса

, где Q - const

(А.1)
Предельный износ

. (А.2)
б) Детерминированный расслоенный
Для этого процесса

,
где

- нормально распределенная величина со средним

и средним квадратическим отклонением

,

.
Риск R(T) за время T равен

, (А.3)
где

.
Предельный износ определяют по формуле из выражения

, (А.4)
где x - параметр, определяемый по таблице А.1 в зависимости от риска R(T).
R(T) | 0,0001 | 0,0001 | 0,001 | 0,01 | 0,05 | 0,1 | 0,2 |
x | 4,0 | 3,71 | 3,12 | 2,33 | 1,64 | 1,28 | 0,84 |
Риск R(T) должен быть задан с учетом вида изделия и тяжести последствий нарушения безопасности из-за наступления предельного износа до времени T.
в) Детерминированный веерный
Для этого процесса

,
где

- нормально распределенная случайная величина со средним

и средним квадратическим отклонением

.
Вероятность риска R(T) за время T равна

. (А.5)
Рисунок А.3
Предельный износ

определяют по формуле

, (А.6)
Для этого процесса

,
где

, т.е. Q и h являются нормально распределенными независимыми случайными величинами.
При этом

.
Вероятность риска R(T) за время T равна

. (А.7)
Предельный износ определяют по формуле

. (А.8)
Для этого процесса

,
где

.
Величины Q и h зависимы с

.
Вероятность риска R(T) за время T равна

. (А.9)
Предельный износ определяют по формуле

. (А.10)
А.4. В
выражениях А.1 -
А.10 величина T характеризует наработку рассматриваемой детали. Если задан срок службы в календарных единицах

, то T определяют по формуле

, (А.11)
где

,

,

- средний коэффициент использования машины в течение года, суток, смены.
число дней работы машины
Коэффициент К равен ────────────────────────.
и.г 365
Для машин, которые используют только в пределах рабочей недели,

число часов нарядного времени машины в сутки
Коэффициент К равен ────────────────────────────────────────────.
и.д 24
При одно-, двух- и трехсменной работе коэффициент

соответственно равен 0,33; 0,67; 1,0.
Коэффициент

вычисляют по выражению
фактическое время работы машины
К = ───────────────────────────────. (А.12)
с нарядное время работы машины
Пример
1. По результатам кратковременных испытаний по виду графика установлено, что после процесса приработки износ изменяется по линейной зависимости
(рисунок А.1).
При этом Q = 5 мкм; h = 1 мкм/ч.
Определить предельный износ для времени T = 10 ч.

.
2. По результатам испытаний нескольких образцов по графику установлено, что процесс изнашивания описывается детерминированной расслоенной случайной функцией
(рисунок А.2).
По результатам обработки экспериментальных данных получено:

, h = 1 мкм/ч;

. Определить предельный износ при риске R(T) = 0,001 за время T = 10 ч.

.
(справочное)
ПРИМЕРЫ ОПРЕДЕЛЯЮЩИХ ПАРАМЕТРОВ И ИЗНАШИВАЕМЫХ СОСТАВНЫХ
ЧАСТЕЙ КОРОБКИ ПЕРЕМЕНЫ ПЕРЕДАЧ КОЛЕСНОГО ТРАКТОРА
Определяющий параметр | Изнашиваемые составные части, влияющие на определяющий параметр |
Самовыключение передач | Предельный износ зубьев шестерен |
Предельный износ сопряжения "паз шестерни - вилка" |
Износ муфты сцепления |
Износ рычага переключения передач |
Износ вилки переключения передач |
Предельный износ шлицевых соединений |
Предельный износ сопряжения "паз планки - фиксатор" |
... |
Предельный износ сопряжения "поводок - паз валика переключения редуктора" |
... | |
Шум в коробке перемены передач | Предельный износ подшипников |
Предельный износ посадочных гнезд подшипников |
... |
Предельный износ шлицевых соединений |
(справочное)
ПРИМЕРЫ ВЕЛИЧИН ПРЕДЕЛЬНЫХ ИЗНОСОВ СОСТАВНЫХ ЧАСТЕЙ
КОРОБКИ ПЕРЕМЕНЫ ПЕРЕДАЧ КОЛЕСНОГО ТРАКТОРА,
ПРИВОДЯЩИХ К САМОВЫКЛЮЧЕНИЮ ПЕРЕДАЧ
Изнашиваемый элемент | Предельный износ |
Предельный износ зубьев шестерен | Площадь выкрашивания рабочей поверхности зуба более 15% общей площади зуба |
Разрушение и скол зубьев по длине более 25% общей длины |
... | ... |
Предельный износ сопряжения "паз шестерни - вилка" | Зазор сопряжения более 0,3 мм |
(рекомендуемое)
ОПРЕДЕЛЕНИЕ ПРЕДЕЛЬНОГО ИЗНОСА С УЧЕТОМ СЛУЧАЙНЫХ ФАКТОРОВ
Необходимо определить предельное значение параметра безопасности для момента времени T, где T может быть сроком службы, временем проведения ремонта и т.п. Известно, что параметр безопасности является функцией предельного износа составных частей и некоторых других случайных факторов (нагруженности, погрешностей изготовления и т.п.), т.е.:

, (Г.1)
где

- случайные величины;

- постоянные величины, в том числе предельные величины износа составных частей;
y - определяющий параметр для момента T.
Разлагая
(Г.1) в ряд Тейлора и ограничиваясь членами первого порядка, получаем выражение для y в виде линейной функции:

.
Тогда среднее значение определяющего параметра равно

.
Если все

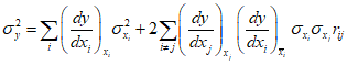
попарно независимы, то дисперсия y равна

.
Если

,

попарно коррелированы с коэффициентом корреляции

, то

.
Предельное значение определяющего параметра износа определяется по выражению

, (Г.2)
где x - параметр, задаваемый с учетом закона распределения y и величины риска, определяемых по
таблице А.1 Приложения А (для нормального распределения y).
Если правильное значение y задано в нормативной документации и требуется обеспечить, чтобы

, (Г.3)
где

- нормативное значение параметра безопасности;

- предельное значение параметра безопасности, вычисленное по
Г.2, то, варьируя предельными значениями износа составных частей, следует выбрать такие их значения, при которых выполняется неравенство
(Г.3).
(справочное)
БИБЛИОГРАФИЯ
[1] ГОСТ Р 50740-95. Триботехнические требования и показатели
[2] РД 50-635-87. Методические указания. Цепи размерные. Основные понятия. Методы расчета линейных и угловых цепей.