Главная // Актуальные документы // ГОСТ (Государственный стандарт)СПРАВКА
Источник публикации
М.: Стандартинформ, 2014
Примечание к документу
Текст данного документа приведен с учетом
поправки, введенной в действие с 12.10.2021, опубликованной в "ИУС", N 3, 2022.
Документ
введен в действие с 01.01.2015.
Название документа
"ГОСТ ISO 21573-2-2013. Межгосударственный стандарт. Машины и оборудование строительные. Бетононасосы. Часть 2. Методы испытаний"
(введен в действие Приказом Росстандарта от 19.03.2014 N 182-ст)
"ГОСТ ISO 21573-2-2013. Межгосударственный стандарт. Машины и оборудование строительные. Бетононасосы. Часть 2. Методы испытаний"
(введен в действие Приказом Росстандарта от 19.03.2014 N 182-ст)
агентства по техническому
регулированию и метрологии
от 19 марта 2014 г. N 182-ст
МЕЖГОСУДАРСТВЕННЫЙ СТАНДАРТ
МАШИНЫ И ОБОРУДОВАНИЕ СТРОИТЕЛЬНЫЕ
БЕТОНОНАСОСЫ
ЧАСТЬ 2
МЕТОДЫ ИСПЫТАНИЙ
Building construction machinery and equipment.
Concrete pumps. Part 2. Procedure for examination
of technical parameters
(ISO 21573-2:2008, IDT)
ГОСТ ISO 21573-2-2013
Дата введения
1 января 2015 года
Цели, основные принципы и основной порядок проведения работ по межгосударственной стандартизации установлены
ГОСТ 1.0-92 "Межгосударственная система стандартизации. Основные положения" и
ГОСТ 1.2-2009 "Межгосударственная система стандартизации. Стандарты межгосударственные, правила и рекомендации по межгосударственной стандартизации. Правила разработки, принятия, применения, обновления и отмены"
1 ПОДГОТОВЛЕН Обществом с ограниченной ответственностью "ИЦ "ЦНИП СДМ" (ООО "ИЦ "ЦНИП СДМ") на основе собственного аутентичного перевода на русский язык международного стандарта, указанного в
пункте 4
2 ВНЕСЕН Техническим комитетом по стандартизации ТК 267 "Строительно-дорожные машины и оборудование"
3 ПРИНЯТ Межгосударственным советом по стандартизации, метрологии и сертификации по переписке (протокол N 63-П от 27 декабря 2013 г.)
За принятие проголосовали:
Краткое наименование страны по МК (ИСО 3166) 004-97 | Код страны по МК (ИСО 3166) 004-97 | Сокращенное наименование национального органа по стандартизации |
Азербайджан | AZ | Азстандарт |
Армения | AM | Минэкономики Республики Армения |
Беларусь | BY | Госстандарт Республики Беларусь |
Казахстан | KZ | Госстандарт Республики Казахстан |
Киргизия | KG | Кыргызстандарт |
Молдова | MD | Молдова-Стандарт |
Россия | RU | Росстандарт |
Узбекистан | UZ | Узстандарт |
4 Настоящий стандарт идентичен международному стандарту ISO 21573-2:2008 Building construction machinery and equipment - Concrete pumps - Part 2: Procedure for examination of technical parameters (Машины и оборудование строительные. Бетононасосы. Часть 2. Методы испытаний).
Международный стандарт разработан Техническим комитетом по стандартизации ISO/TC 127 "Машины землеройные" Международной организации по стандартизации (ISO) и утвержден Европейским комитетом по стандартизации CEN в качестве европейского стандарта без внесения изменений.
Официальные экземпляры международного стандарта, на основе которого подготовлен настоящий межгосударственный стандарт, и международных стандартов, на которые даны ссылки, имеются в национальных органах по стандартизации.
Перевод с английского языка (en).
Сведения о соответствии межгосударственных стандартов ссылочным международным стандартам приведены в дополнительном
приложении ДА.
Степень соответствия - идентичная (IDT).
Разработанный стандарт может быть использован при ежегодной актуализации перечня стандартов, содержащих правила и методы исследований (испытаний), а также стандартов, в результате применения которых на добровольной основе обеспечивается соблюдение требований технического
регламента Таможенного союза "О безопасности машин и оборудования".
5
Приказом Федерального агентства по техническому регулированию и метрологии от 19 марта 2014 г. N 182-ст межгосударственный стандарт ГОСТ ISO 21573-2-2013 введен в действие в качестве национального стандарта Российской Федерации с 1 января 2015 г.
6 ВВЕДЕН ВПЕРВЫЕ
Информация об изменениях к настоящему стандарту публикуется в ежегодном информационном указателе "Национальные стандарты", а текст изменений и поправок - в ежемесячном информационном указателе "Национальные стандарты". В случае пересмотра (замены) или отмены настоящего стандарта соответствующее уведомление будет опубликовано в ежемесячном информационном указателе "Национальные стандарты". Соответствующая информация, уведомление и тексты размещаются также в информационной системе общего пользования - на официальном сайте Федерального агентства по техническому регулированию и метрологии в сети Интернет
Настоящий стандарт определяет порядок и методы испытаний технико-экономических характеристик бетононасосов в соответствии с ISO 21573-1.
Настоящий стандарт распространяется на мобильные (со стрелой или без нее) и стационарные бетононасосы.
В настоящем стандарте использована нормативная ссылка на следующий стандарт, для недатированной ссылки применяют последнее издание ссылочного документа.
ISO 21573-1 Building construction machinery and equipment - Mobile crushers - Part 1: Terminology and commercial specification (Машины и оборудование строительные. Бетононасосы. Часть 1. Терминология и технические условия)
В настоящем стандарте применены следующие термины с соответствующими определениями:
3.1 бетононасос роторного типа с одним роликом (single rotary-type pump): Бетононасос постоянного действия, подающий бетонную смесь в бетоновод с помощью сжатия эластичного рукава одним вращающимся роликом.
3.2 бетононасос роторного типа с двумя роликами (double rotary-type pump): Бетононасос постоянного действия, подающий бетонную смесь в бетоновод с помощью сжатия эластичного рукава двумя вращающимися роликами.
При испытаниях проверяют следующие характеристики бетононасосов:
a) производительность бетононасоса;
b) высота загрузки приемного бункера и работа активатора;
c) работа водяного насоса;
d) работа бетонораспределительной стрелы;
e) работа выносных опор (аутригеров).
5. Проверка производительности бетононасоса
5.1 Поршневой бетононасос
5.1.1 Производительность бетононасоса
Производительность бетононасоса определяют расчетной производительностью.
Расчетную производительность рассчитывают по следующей формуле:
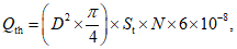
где Qth - расчетная производительность (м3/ч);
D - диаметр бетонотранспортного поршня бетононасоса (мм);
St - длина хода бетонотранспортного поршня рабочего цилиндра бетононасоса (мм);
N - частота работы бетонотранспортного поршня бетононасоса (мин-1).
5.1.2 Давление на бетонную смесь
Давление на бетонную смесь определяют максимальным расчетным давлением нагнетания, которое рассчитывают по одной из следующих формул:
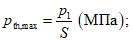
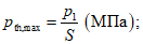
где pth,max - максимальное расчетное давление;
pL - настройка нижнего предела давления;
d1 - диаметр основного гидроцилиндра;
D - диаметр бетонотранспортного цилиндра;
d - диаметр штока.
5.2 Бетононасос роторного типа
5.2.1 Бетононасос роторного типа с одним роликом (см.
рисунок А.1)
5.2.1.1 Производительность
Qth,max = N x 60 x 10-9 (м3/ч).
5.2.1.2 Давление на бетонную смесь
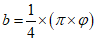
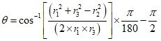
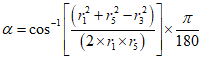
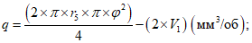
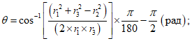
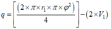
r3 = r0 + t (мм);
где a - большой радиус полуэллиптической контактной зоны (мм);
b - малый радиус полуэллиптической контактной зоны (мм);
N - скорость вращения ротора (мин-1);
p1 - нагрузка от внутреннего давления (Н);
pth,max - расчетное давление на выходе (МПа);
Qth,max - расчетная производительность (м3/ч);
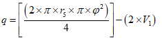
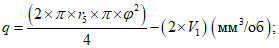
q - объем на выходе за один оборот ротора (мм3/об);
r0 - радиус ролика (мм);
r1 - расстояние между центром бетононасоса и центром ролика (мм);
r2 - расстояние между центром бетононасоса и точкой контакта между ротором и эластичным рукавом (мм);
r3 - расстояние между точкой контакта ролика с эластичным рукавом и центром ролика (мм);
r4 - перпендикуляр от внутренней точки контакта ролика и эластичного рукава до центра бетононасоса (мм);
r5 - расстояние между центром бетононасоса и осью симметрии эластичного рукава (мм);
rр - радиус от центра бетононасоса к поверхности резиновой подушки (мм);
S - площадь проекции контактной зоны эластичного рукава и ролика (мм2);
T - крутящий момент ротора (Нм);
t - толщина эластичного рукава бетононасоса (мм);
V1 - внутренний объем эластичного рукава не сжатого роликом (мм3);
XG - центр тяжести полуэллиптической контактной зоны эластичного рукава и ролика (мм);

- центр угла, занимаемого роликом для расчета
V1 (рад);

- угол между
p1 и
p0 (рад);

- внутренний диаметр эластичного рукава бетононасоса (мм);

- угол между
r3 и
r4 (рад).
5.2.2 Бетононасос роторного типа с двумя роликами (см.
рисунок А.2)
5.2.2.1 Производительность
r3 = r0 + t (мм);
Qth,max = N x 60 x q x 10-9 (м3/ч).
5.2.2.2 Давление на бетонную смесь
r3 = r0 + t (мм);
где a - большой радиус полуэллиптической контактной зоны (мм);
b - малый радиус полуэллиптической контактной зоны (мм);
N - скорость вращения ротора (мин-1);
p1 - нагрузка от внутреннего давления (Н);
pth,max - расчетное давление на выходе (МПа);
Qth,max - расчетная производительность (м3/ч);
q - объем на выходе за один оборот ротора (мм3/об);
r0 - радиус ролика (мм);
r1 - расстояние между центром бетононасоса и центром ролика (мм);
r3 - расстояние между точкой контакта ролика с эластичным рукавом и центром ролика (мм);
r5 - расстояние между центром бетононасоса и осью симметрии эластичного рукава (мм);
S - площадь проекции контактной зоны эластичного рукава и ролика (мм2);
T - крутящий момент ротора (Нм);
t - толщина эластичного рукава бетононасоса (мм);
V1 - внутренний объем эластичного рукава не сжатого роликом (мм3);
XG - центр тяжести полуэллиптической контактной зоны эластичного рукава и ролика (мм);

- угол между
p1 и
p0 (рад);

- внутренний диаметр эластичного рукава бетононасоса (мм);

- угол между
r3 и
r0 (рад).
6. Проверка высоты загрузки приемного бункера и работы
6.1 Проверка высоты загрузки приемного бункера
Установите бетононасос в рабочее положение на ровной площадке с полностью выдвинутыми выносными опорами. Измерьте высоту загрузочного края бункера над уровнем площадки.
6.2 Проверка работы активатора
Проверка данных о работе активатора без бетона:
a) скорость вращения активатора:
скорость вращения активатора измеряют с использованием секундомера или тахометра;
b) давление в системе привода активатора:
рабочее давление гидропривода активатора измеряют при следующих условиях:
- на холостом ходу без бетонной смеси в бункере;
- давление на предохранительном клапане.
7. Проверка работы водяного насоса (см.
таблицу 4)
7.1 Основные положения
Водяной насос устанавливают для очистки бетононасоса после работы и проверяют в соответствии с 7.2 и 7.3.
7.2 Проверка системы сброса давления воды
При помощи дроссельной заслонки, перекрывают рабочую магистраль водяного насоса очистки бетононасоса. Измеряют давление воды и давление гидравлической жидкости.
7.3 Расход воды на холостом ходу
Полностью открывают дроссельную заслонку водяного насоса, затем измеряют давление воды в системе очистки и давление гидравлической жидкости в гидросистеме.
8. Проверка работы бетонораспределительной стрелы
Данную проверку производят на бетонораспределительной стреле автобетононасоса.
Измеряют следующие показатели:
a) максимальная длина стрелы:
на разложенной по горизонтали стреле бетононасоса измеряют расстояние между центром поворота и центром наконечника бетонораздаточного рукава, который вертикально подвешен в рабочем положении при максимальной длине стрелы, либо прикреплен в рабочем положении к одной из секций бетонораздаточной стрелы;
b) максимальная высота стрелы:
стрелу устанавливают полностью разложенной и поднятой в вертикальное положение, измеряют высоту стрелы над уровнем земли.
Максимальная высота стрелы также может быть рассчитана с помощью данных об измерении максимальной длины стрелы, угла наклона поднятой стрелы и высоты опорной точки нижней части стрелы;
c) рабочая зона стрелы:
составляют схему рабочей зоны стрелы с учетом длины каждой секции, угла складывания и т.д.;
d) скорость работы стрелы по каждой секции;
e) угол поворота;
f) зона поворота;
g) скорость поворота.
9. Проверка работы выносных опор (аутригеров)
Измеряют следующие показатели:
a) расстояние между центрами опор аутригеров в рабочем положении (автобетононасос вывешен на аутригерах);
b) максимальная нагрузка на каждую опору.
Протокол испытаний - Бетононасос (поршневого типа)
Дата | | Место | |
Модель бетононасоса | | Серийный номер | |
Характеристики | Величина измерения | Единица измерения | Примечание |
Бетононасос | Скорость вращения гидравлического насоса | | мин-1 | |
Давление в гидросистеме без нагрузки | | МПа | pn |
Максимальное давление в гидросистеме (предохранительный клапан) | | МПа | pr |
Скорость работы бетонотранспортного поршня | | мин-1 | N |
Диаметр бетонотранспортного цилиндра | | мм | D |
Диаметр гидроцилиндра | | мм | d1 |
Диаметр стержня | | мм | d2 |
Ход поршня | | мм | S1 |
Объем хода поршня | | м3 | |
Отношение сечения гидроцилиндра и бетонотранспортного цилиндра | | | R1 = ( d1/ D) 2: нагнетание в поршневой полости  : нагнетание в штоковой полости |
Максимальное расчетное давление на выходе | | МПа | pth,max = (pr - pn) x R1 или R2 |
Максимальная расчетная производительность бетононасоса | | м3/ч | Qth,max = q x N x 60 |
Настройки питания гидравлической системы | | кВ | |
Протокол испытаний - Бетононасос роторного типа
с одним роликом
Дата | | Место | |
Модель бетононасоса | | Серийный номер | |
Характеристики | Величина измерения | Единица измерения | Примечание |
Бетононасос | Скорость вращения гидронасоса | | мин-1 | |
Давление в гидросистеме без нагрузки | | МПа | pn |
Максимальное давление в гидросистеме (предохранительный клапан) | | МПа | pr |
Скорость вращения ротора | | мин-1 | N |
Расстояние между центром бетононасоса и осью симметрии эластичного рукава | | мм | r5 |
Внутренний диаметр эластичного рукава бетононасоса | | мм | |
Внутренний объем эластичного рукава под давлением ролика | | мм3 | V1 |
Объем на выходе за оборот ротора | | м3 | |
Нагрузка от внутреннего давления | | Н | p1 |
Площадь проекции контактной зоны эластичного рукава и ролика | | мм2 | S |
Максимальное расчетное давление на выходе | | МПа | pth,max = p1/S |
Максимальная расчетная производительность | | м3/ч | Qth,max = q x N x 60 x 10-9 |
Протокол испытаний - Бетононасос роторного типа
с двумя роликами
Дата | | Место | |
Модель бетононасоса | | Серийный номер | |
Характеристики | Величина измерения | Единица измерения | Примечание |
Бетононасос | Скорость вращения гидронасоса | | мин-1 | |
Давление в гидросистеме без нагрузки | | МПа | pn |
Максимальное давление в гидросистеме (предохранительный клапан) | | МПа | pr |
Скорость вращения ротора | | мин-1 | N |
Расстояние между центром бетононасоса и центром ролика | | мм | r1 |
Внутренний диаметр эластичного рукава бетононасоса | | мм | |
Внутренний объем эластичного рукава не сжатого роликом | | мм3 | V1 |
Объем на выходе за один оборот ротора | | м3 | |
Нагрузка от внутреннего давления | | Н | p1 |
Площадь проекции контактной зоны эластичного рукава и ролика | | мм2 | S |
Расчетное давление на выходе | | МПа | pth,max = p1/S |
Расчетная производительность | | м3/ч | Qth,max = q x N x 60 x 10-9 |
Протокол испытаний - Бункер и активатор
Дата | | Место | |
Модель бетононасоса | | Серийный номер | |
Характеристики | Величина измерения | Единица измерения | Примечание |
Застывший бетон (отход) | Без бетона | | | см | |
Бункер и активатор | Высота загрузки приемного бункера (незагруженного) | | | | мм | |
Скорость вращения активатора | | | | мин-1 | |
Давление в гидросистеме (без нагрузки) | | | | МПа | |
Давление в гидросистеме (разгрузка) | | | | МПа | |
Водяной насос для очистки | Выключенный | Давление масла | | | | МПа | |
Без нагрузки | Давление воды | | | | МПа | |
Расход воды | | | | дм3 (л) | |
Давление масла | | | | МПа | |
Протокол испытаний - Распределительная стрела
Дата | | Место | |
Модель бетононасоса | | Серийный номер | |
Характеристики | Величина измерения | Единица измерения | Примечание |
Бетонораспределительная стрела | Максимальный вылет | | мм | |
Максимальная высота | | мм | |
Длина стрелы | 1-я секция | | мм | |
2-я секция | | мм | |
3-я секция | | мм | |
4-я секция | | мм | |
5-я секция | | мм | |
6-я секция | | мм | |
Угол складывания | 1-я секция | | град (°) | |
2-я секция | | град (°) | |
3-я секция | | град (°) | |
4-я секция | | град (°) | |
5-я секция | | град (°) | |
6-я секция | | град (°) | |
Скорость складывания стрелы | 1-я секция | | мин-1 (с) | |
| | 2-я секция | | мин-1 (с) | |
3-я секция | | мин-1 (с) | |
4-я секция | | мин-1 (с) | |
5-я секция | | мин-1 (с) | |
6-я секция | | мин-1 (с) | |
Угол поворота | | град (°) | Измеряют в случае ограниченного угла |
Угол поворота (максимальный наклон) | | град (°) | |
Угол поворота (максимальный наклон) | | град (°) | |
Скорость поворота (время одного поворота до упора или время полного поворота) | | мин-1 (с) | |
Протокол испытаний - Выносные опоры (аутригеры)
Дата | | Место | |
Модель бетононасоса | | Серийный номер | |
Характеристики | Величина измерения | Единица измерения | Примечание |
Опоры | Расстояние между опорами | Ширина установки передних опор | | мм | |
Ширина установки задних опор | | мм | |
Расстояние между передней правой и задней правой опорами | | мм | |
Расстояние между передней левой и задней левой опорами | | мм | |
(информационное)
РАСЧЕТНАЯ ПРОИЗВОДИТЕЛЬНОСТЬ БЕТОНОНАСОСА РОТОРНОГО ТИПА
И ДАВЛЕНИЕ НА БЕТОННУЮ СМЕСЬ
А.1 Бетононасос роторного типа с одним роликом
1 - центр корпуса бетононасоса; 2 - ролик; 3 - всасывающая
труба; 4 - резиновая подушка; G - центр тяжести; a - большой
радиус полуэллиптической контактной зоны (мм); b - малый
радиус полуэллиптической контактной зоны (мм); p0 - давление
сопротивления эластичного рукава бетононасоса при предельном
сжатии (Н); p1 - нагрузка от внутреннего давления (Н);
r0 - радиус ролика (мм); r1 - расстояние между центром
бетононасоса и центром ролика (мм); r2 - расстояние
между центром бетононасоса и внутренней точкой контакта
между ротором и эластичным рукавом (мм); r3 - расстояние
между точкой контакта ролика с эластичным рукавом и центром
ролика (мм); r4 - перпендикуляр от внутренней точки контакта
ролика и эластичным рукавом до центра бетононасоса (мм);
r5 - расстояние между центром бетононасоса и осью симметрии
эластичного рукава (мм); rр - радиус от центра бетононасоса
к поверхности резиновой подушки (мм); S - площадь проекции
контактной зоны эластичного рукава и ролика (мм2);
t - толщина эластичного рукава бетононасоса (мм); XG - центр
тяжести полуэллиптической контактной зоны эластичного рукава
и ролика (мм);

- центр угла, занимаемого роликом
для расчета
V1 (рад);

- угол между
p1 и
p0 (рад);

- угол
между
r3 и
r4 (рад);

- внутренний диаметр эластичного
рукава бетононасоса (мм)
Рисунок А.1 - Бетононасос роторного типа с одним роликом
Пример расчета
T - крутящий момент ротора | 8840 Нм |
r0 - радиус ролика | 150 мм |
r1 - расстояние между центром бетононасоса и центром ролика | 345 мм |
t - толщина трубы бетононасоса | 16 мм |
 - внутренний диаметр трубы бетононасоса | 101,6 мм |
N - скорость вращения ротора | 38,3 мин-1 |
rр - радиус от центра бетононасоса к поверхности резиновой подушки | 520 мм |
| 1,756 МПа |
| 48 347 Н |
| 0,559 рад |
| 92,7 мм |
| 218,5 мм |
| 143,8 мм |
| 0,134 рад |
| 402,4 мм |
r3 = r0 + t | 166,0 мм |
| 27 525 мм2 |
| 219,6 мм |
| 79,8 мм |
| 2 349 589 мм3 |
| 453,2 мм |
| 0,320 рад |
| 18 386 736 мм3/об |
Qth,max = N x 60 x 10-9 | 42,3 м3/ч |
А.2 Бетононасос роторного типа с двумя роликами
а) Бетононасос роторного типа с двумя роликами
б) Модель зоны сжатия
a - большой радиус полуэллиптической контактной зоны (мм);
b - малый радиус полуэллиптической контактной зоны (мм);
p0 - давление сопротивления эластичного рукава бетононасоса
при предельном сжатии (Н); p1 - нагрузка от внутреннего
давления (Н); r0 - радиус ролика (мм); r1 - расстояние
между центром бетононасоса и центром ролика (мм);
r3 - расстояние между точкой контакта ролика с эластичным
рукавом и центром ролика (мм); r5 - расстояние между центром
бетононасоса и осью симметрии эластичного рукава (мм);
S - площадь проекции контактной зоны эластичного рукава
и ролика (мм2); T - крутящий момент ротора (Нм);
t - толщина эластичного рукава бетононасоса (мм);
XG - центр тяжести полуэллиптической контактной зоны
эластичного рукава и ролика (мм);

- угол между
p1 и
p0
(рад);

- угол между
r3 и
p0 (рад);

- внутренний диаметр
эластичного рукава бетононасоса (мм)
Рисунок А.2 - Бетононасос роторного типа - Бетононасос
роторного типа с двумя роликами
Пример расчета:
T - крутящий момент ротора | 8840 Нм |
r0 - радиус ролика | 100 мм |
r1 - расстояние между центром бетононасоса и центром ролика | 475 мм |
t - толщина трубы бетононасоса | 30 мм |
 - внутренний диаметр трубы бетононасоса | 102 мм |
N - скорость вращения ротора | 38,3 мин-1 |
| 1,75 МПа |
| 25 344 Н |
| 0,376 рад |
| 48,9 мм |
| 115,2 мм |
| 0,9 рад |
r3 = r0 + t | 130 мм |
| 14 490 мм2 |
| 80,1 мм |
| 34 026 мм3 |
| 24 319 246 мм3/об |
Qth,max = N x 60 x q x 10-9 | 55,9 м3/ч |
(справочное)
СВЕДЕНИЯ О СООТВЕТСТВИИ МЕЖГОСУДАРСТВЕННОГО СТАНДАРТА
ССЫЛОЧНЫМ МЕЖДУНАРОДНЫМ СТАНДАРТАМ
Таблица ДА.1
Обозначение и наименование ссылочного международного стандарта | Степень соответствия | Обозначение и наименование соответствующего межгосударственного стандарта |
ISO 21573-1 Машины и оборудование строительные. Бетононасосы. Часть 1. Терминология и технические условия | - | <*> |
<*> Соответствующий межгосударственный стандарт отсутствует. До его утверждения рекомендуется использовать перевод на русский язык данного международного стандарта. Перевод данного международного стандарта находится в Федеральном информационном фонде технических регламентов и стандартов. |