Главная // Актуальные документы // ГОСТ (Государственный стандарт)СПРАВКА
Источник публикации
М.: Стандартинформ, 2019
Примечание к документу
Документ включен в
Перечень международных и региональных (межгосударственных) стандартов, а в случае их отсутствия - национальных (государственных) стандартов, в результате применения которых на добровольной основе обеспечивается соблюдение требований технического
регламента Таможенного союза "О безопасности низковольтного оборудования" (ТР ТС 004/2011) и в
Перечень международных и региональных (межгосударственных) стандартов, а в случае их отсутствия - национальных (государственных) стандартов, содержащих правила и методы исследований (испытаний) и измерений, в том числе правила отбора образцов, необходимые для применения и исполнения требований технического
регламента Таможенного союза "О безопасности низковольтного оборудования" (ТР ТС 004/2011) и осуществления оценки соответствия объектов технического регулирования (
Решение Коллегии Евразийской экономической комиссии от 11.05.2023 N 55).
Документ включен в
Перечень стандартов, в результате применения которых на добровольной основе обеспечивается соблюдение требований технического
регламента Таможенного союза "О безопасности низковольтного оборудования" (ТР ТС 004/2011) и в
Перечень стандартов, содержащих правила и методы исследований (испытаний) и измерений, в том числе правила отбора образцов, необходимые для применения и исполнения требований технического
регламента Таможенного союза "О безопасности низковольтного оборудования" (ТР ТС 004/2011) и осуществления оценки соответствия объектов технического регулирования (
Решение Комиссии Таможенного союза от 16.08.2011 N 768).
Текст данного документа приведен с учетом
поправки, опубликованной в "ИУС", N 7, 2019.
Документ
введен в действие с 01.01.2015.
Название документа
"ГОСТ IEC 61557-6-2013. Межгосударственный стандарт. Сети электрические распределительные низковольтные напряжением до 1000 В переменного тока и 1500 В постоянного тока. Электробезопасность. Аппаратура для испытаний, измерений или контроля средств защиты. Часть 6. Устройства защитные, управляемые дифференциальным током, в TT и TN системах"
(введен в действие Приказом Росстандарта от 11.03.2014 N 111-ст)
"ГОСТ IEC 61557-6-2013. Межгосударственный стандарт. Сети электрические распределительные низковольтные напряжением до 1000 В переменного тока и 1500 В постоянного тока. Электробезопасность. Аппаратура для испытаний, измерений или контроля средств защиты. Часть 6. Устройства защитные, управляемые дифференциальным током, в TT и TN системах"
(введен в действие Приказом Росстандарта от 11.03.2014 N 111-ст)
агентства по техническому
регулированию и метрологии
от 11 марта 2014 г. N 111-ст
МЕЖГОСУДАРСТВЕННЫЙ СТАНДАРТ
СЕТИ ЭЛЕКТРИЧЕСКИЕ РАСПРЕДЕЛИТЕЛЬНЫЕ НИЗКОВОЛЬТНЫЕ
НАПРЯЖЕНИЕМ ДО 1000 В ПЕРЕМЕННОГО ТОКА И 1500 В
ПОСТОЯННОГО ТОКА
ЭЛЕКТРОБЕЗОПАСНОСТЬ. АППАРАТУРА ДЛЯ ИСПЫТАНИЙ, ИЗМЕРЕНИЙ
ИЛИ КОНТРОЛЯ СРЕДСТВ ЗАЩИТЫ
ЧАСТЬ 6
УСТРОЙСТВА ЗАЩИТНЫЕ, УПРАВЛЯЕМЫЕ ДИФФЕРЕНЦИАЛЬНЫМ ТОКОМ,
В TT И TN СИСТЕМАХ
Low-voltage electrical distribution network up to 1000 V
a. c. and 1500 V d. c. Electrical safety. Equipment
for testing, measuring or monitoring of protective measures.
Part 6. Residual current devices (RCD) in TT, TN
and IT systems
(IEC 61557-6:2007, Low-voltage electrical distribution
network up to 1000 V a. c. and 1500 V d. c. Electrical
safety. Equipment for testing, measuring or monitoring
of protective measures. Part 6. Effectiveness of residual
current devices (RCD) in TT,
TN and IT systems, IDT)
ГОСТ IEC 61557-6-2013
Дата введения
1 января 2015 года
Цели, основные принципы и общие правила проведения работ по межгосударственной стандартизации установлены
ГОСТ 1.0 "Межгосударственная система стандартизации. Основные положения" и
ГОСТ 1.2 "Межгосударственная система стандартизации. Стандарты межгосударственные, правила и рекомендации по межгосударственной стандартизации. Правила разработки, принятия, обновления и отмены"
1 ПОДГОТОВЛЕН Научно-производственным республиканским унитарным предприятием "Белорусский государственный институт стандартизации и сертификации" (БелГИСС) на основе собственного перевода на русский язык англоязычной версии стандарта, указанного в
пункте 5
2 ВНЕСЕН Федеральным агентством по техническому регулированию и метрологии
3 ПРИНЯТ Межгосударственным советом по стандартизации, метрологии и сертификации (протокол от 27 сентября 2013 г. N 59-П)
За принятие проголосовали:
Краткое наименование страны по МК (ИСО 3166) 004-97 | Код страны по МК (ИСО 3166) 004-97 | Сокращенное наименование национального органа по стандартизации |
Армения | AM | Минэкономики Республики Армения |
Беларусь | BY | Госстандарт Республики Беларусь |
Казахстан | KZ | Госстандарт Республики Казахстан |
Киргизия | KG | Кыргызстандарт |
Россия | RU | Росстандарт |
Таджикистан | TJ | Таджикстандарт |
Узбекистан | UZ | Узстандарт |
4
Приказом Федерального агентства по техническому регулированию и метрологии от 11 марта 2014 г. N 111-ст межгосударственный стандарт ГОСТ IEC 61557-6-2013 введен в действие в качестве национального стандарта Российской Федерации с 1 января 2015 г.
5 Настоящий стандарт идентичен международному стандарту IEC 61557-6:2007 "Электрическая безопасность в низковольтных распределительных системах до 1000 В переменного тока и 1500 В постоянного тока. Оборудование для испытания, измерения или контроля защитных устройств. Часть 6. Эффективность защитных устройств, управляемых дифференциальным (остаточным) током (RCD), в системах TT, TN и IT" ("Low-voltage electrical distribution network up to 1000 V a. c. and 1500 V d. c. Electrical safety. Equipment for testing, measuring or monitoring of protective measures. Part 6: Effectiveness of residual current devices (RCD) in TT, TN and IT systems", IDT)
Международный стандарт разработан Техническим комитетом IEC/TC 85 "Аппаратура для измерения электрических и электромагнитных величин".
Наименование настоящего стандарта изменено относительно наименования указанного международного стандарта в связи с особенностями построения межгосударственной системы стандартизации и для приведения в соответствие с ГОСТ 1.5
(подраздел 3.6).
При применении настоящего стандарта рекомендуется использовать вместо ссылочных международных стандартов соответствующие им межгосударственные стандарты, сведения о которых приведены в дополнительном
приложении ДА
6 ВВЕДЕН ВПЕРВЫЕ
7 ПЕРЕИЗДАНИЕ. Апрель 2019 г.
Информация о введении в действие (прекращении действия) настоящего стандарта и изменений к нему на территории указанных выше государств публикуется в указателях национальных стандартов, издаваемых в этих государствах, а также в сети Интернет на сайтах соответствующих национальных органов по стандартизации.
В случае пересмотра, изменения или отмены настоящего стандарта соответствующая информация будет опубликована на официальном интернет-сайте Межгосударственного совета по стандартизации, метрологии и сертификации в каталоге "Межгосударственные стандарты"
Настоящий стандарт устанавливает требования к измерительной аппаратуре, предназначенной для проверки эффективности функционирования устройств защитного отключения, управляемых дифференциальным током (УЗО-Д), в TT и TN системах (далее - измерительная аппаратура).
Для применения настоящего стандарта необходимы следующие ссылочные документы. Для недатированных ссылок применяют последнее издание ссылочного документа (включая все изменения к нему).
IEC/TR 60755:2008, General requirements for residual current operated protective devices (Общие требования к защитным устройствам, работающим по принципу остаточного тока)
IEC 60947-2:2009, Low-voltage switchgear and controlgear - Part 2: Circuit-breakers (Аппаратура распределения и управления низковольтная. Часть 2. Автоматические выключатели)
IEC 61008 (all parts), Residual current operated circuit-breakers without integral overcurrent protection for household and similar uses (RCCBs) (Выключатели автоматические, управляемые дифференциальным током, бытового и аналогичного назначения без встроенной защиты от сверхтоков (RCCBs))
IEC 61009 (all parts), Residual current operated circuit-breakers with integral overcurrent protection for household and similar uses (RCBOs) (Выключатели автоматические, управляемые дифференциальным током, бытового и аналогичного назначения со встроенной защитой от сверхтоков (RCBOs))
IEC 61010-1:2001, Safety requirements for electrical equipment for measurement, control, and laboratory use - Part 1: General requirements (Безопасность электрических контрольно-измерительных приборов и лабораторного оборудования. Часть 1. Общие требования)
IEC 61557-1:2007, Electrical safety in low voltage distribution systems up to 1000 V a. c. and 1500 V d. c. - Equipment for testing, measuring or monitoring of protective measures - Part 1: General requirements (Сети электрические распределительные низковольтные напряжением до 1000 В переменного тока и 1500 В постоянного тока. Электробезопасность. Аппаратура для испытания, измерения или контроля средств защиты. Часть 1. Общие требования)
В настоящем стандарте применены термины по IEC 61557-1, а также следующие термины с соответствующими определениями:
3.1
ток короткого замыкания (fault current)

: Ток, проходящий в землю вследствие повреждения изоляции.
3.2
установленный отключающий дифференциальный ток (rated residual operating current)

: Ток короткого замыкания, на который рассчитано УЗО-Д.
3.3 отключающий дифференциальный ток (residual operating current) Ia: Ток короткого замыкания, который вызывает срабатывание УЗО-Д.
3.4 испытательный резистор (test resistance) Rp: Резистор, с помощью которого имитируется ток короткого замыкания при проведении испытаний.
3.5 общее сопротивление заземления (total earthing resistance) RA: Сопротивление между основным зажимом заземления и землей.
[IEV 826-04-03 <1>]
--------------------------------
<1> IEC 60050-826:1982, International Electrotechnical Vocabulary - Part 826: Electrical installations (Международный электротехнический словарь - Глава 826: Электрические установки зданий) заменен на новую версию IEC 60050-826:2004, International Electrotechnical Vocabulary - Part 826: Electrical installations (Международный электротехнический словарь - Глава 826: Электрические установки зданий), в котором данное определение более не применяют.
4.1.1 Испытание на включение УЗО-Д
Измерительная аппаратура должна обеспечивать индикацию того, что отключающий дифференциальный ток защитного устройства меньше или равен установленному отключающему дифференциальному току.
Испытания должны проводиться синусоидальным или близким к синусоидальному испытательным током.
Погрешность калиброванных испытательных токов в рабочих условиях применения не должна превышать от 0% до 10% значения установленного отключающего дифференциального тока, принятого в качестве нормирующего в соответствии с таблицей 1.
Таблица 1
Определение погрешности в рабочих условиях применения
Основная погрешность или влияющая величина | Нормальные условия или установленная рабочая область | Обозначение | Требования или испытания согласно соответствующим частям IEC 61557 | Тип испытания |
Основная погрешность | Нормальные условия | A | IEC 61557-2, подраздел 6.1 | R |
Положение | Нормальное положение +/- 90° | E1 | IEC 61557-1, подраздел 4.2 | R |
Напряжение питания | В пределах, установленных изготовителем | E2 | IEC 61557-1, подраздел 4.2, 4.3 | R |
Температура | 0 °C и 35 °C | E3 | IEC 61557-1, подраздел 4.2 | T |
Сопротивление зондов | В пределах, установленных изготовителем | E5 | IEC 61557-6, подраздел 4.5 | T |
Напряжение сети | От 85% до 100% номинального напряжения | E8 | IEC 61557-6, подраздел 4.5 | T |
Погрешность в рабочих условиях применения | | IEC 61557-6, подразделы 4.1, 4.2, 4.3 | R |
A - основная погрешность;  ; En - изменение показаний; R - приемо-сдаточное испытание; T - испытание типа. |
Если измерительная аппаратура предназначена для испытания УЗО-Д с отключающим дифференциальным током, равным или менее 30 мА, установленным для дополнительной защиты, она должна обеспечивать возможность проведения испытания на токе, в пять раз превышающем установленный отключающий дифференциальный ток. Время испытания не должно превышать 40 мс. При измерении времени отключения предельное значение времени испытания не должно учитываться до тех пор, пока напряжение короткого замыкания остается ниже предела напряжения прикосновения.
Если измерительная аппаратура имеет возможность генерировать однополупериодные испытательные токи, в качестве альтернативного варианта испытание дифференциального тока защитного устройства для УЗО-Д типа A допускается проводить с использованием однополупериодных испытательных токов в соответствии со стандартами серии IEC 61008 и IEC 61009, IEC 60947-2 и IEC/TR 60755. В этом случае измерительная аппаратура должна быть приспособлена для проведения испытаний в обеих полярностях.
4.1.2 Испытание на невключение УЗО-Д
Если предусмотрено испытание при значении 50 или менее процентов установленного отключающего дифференциального тока для проверки надежности УЗО-Д, минимальное время испытания должно быть 0,3 с, а для УЗО-Д типа S - 0,5 с. При этом УЗО-Д не должно срабатывать.
Если предусмотрено испытание при значении 50 или менее процентов установленного отключающего дифференциального тока, погрешность калиброванного испытательного тока в рабочих условиях применения не должна превышать от минус 10% до 0% значения, определенного для тока при испытании на несрабатывание в соответствии с
таблицей 1.
Примечание - В том случае, если основным предназначением теста является оценка других параметров (например, напряжения короткого замыкания), минимальное время испытания может быть сокращено, но должно быть не меньше, чем один цикл номинальной частоты.
4.2 Измерительная аппаратура должна обеспечивать индикацию того, что напряжение короткого замыкания при установленном дифференциальном токе защитного устройства меньше или равно условному предельному значению напряжения прикосновения. Испытание может проводиться с зондом или без него.
Примечание - Индикация напряжения короткого замыкания может осуществляться посредством отображения его значения или с помощью других форм отображения, удобных для восприятия пользователем.
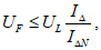
4.2.1 Если напряжение короткого замыкания
UF отображается или индицируется для отключающего дифференциального тока, а не для установленного дифференциального тока, это должно быть отражено на дисплее или указано на измерительной аппаратуре.
Должно быть выполнено следующее условие:
где UL - условное предельное значение напряжения прикосновения.
4.2.2 Погрешность при измерении напряжения короткого замыкания в рабочих условиях применения не должна превышать от 0% до 20% условного предельного значения напряжения прикосновения, принятого в качестве нормирующего значения в соответствии с
таблицей 1.
Примечание - Внутреннее сопротивление измерительной аппаратуры для измерения напряжения должно быть не менее 0,7 кОм/В от всего диапазона измерений. Следует принимать во внимание влияние измерения напряжения на измерение напряжение короткого замыкания.
4.3 Измерительная аппаратура должна обеспечивать возможность измерения времени отключения УЗО-Д при установленном отключающем дифференциальном токе или обеспечивать индикацию о соответствии этого времени максимально допустимому значению.
При измерении времени отключения погрешность в рабочих условиях применения не должна превышать +/- 10% максимального допустимого времени отключения, принятого в качестве нормирующего значения, с учетом влияющих величин в соответствии с
таблицей 1.
4.4 Для измерительной аппаратуры с индикаторами значение времени переключения индикаторов должно соответствовать условному действительному значению, используемому для определения погрешностей, если не указано иное.
4.5 Погрешность измерительной аппаратуры в рабочих условиях применения нормируется при установленных рабочих условиях по IEC 61557-1, а также при следующих условиях:
- защитный проводник не должен подвергаться воздействию внешних напряжений;
- напряжение сети должно быть постоянным в процессе измерений;
- в цепи, следующей за УЗО-Д, должен отсутствовать ток утечки;
- напряжение сети должно быть в пределах 85% - 110% номинального напряжения сети, на которое рассчитана измерительная аппаратура;
- сопротивление зондов должно быть в пределах, установленных изготовителем;
- испытательный ток - синусоидальный.
4.6 При испытании установленным отключающим дифференциальным током должны быть выполнены следующие условия:
- ток должен включаться в момент прохождения его через нуль;
- время испытаний должно быть ограничено максимально допустимым временем отключения для испытуемого УЗО-Д. При измерении времени отключения предельное значение времени испытаний не следует учитывать.
4.7 В процессе измерений необходимо предотвратить опасность появления в сети напряжений короткого замыкания, превышающих 50 В, что может быть достигнуто:
- автоматическим отключением при возникновении напряжения, превышающего 50 В, в соответствии с IEC 61010-1:2001, рисунок 1;
- использованием испытательных резисторов Rp, сопротивления которых регулируются дискретно или плавно, так чтобы испытание начиналось с сопротивления, позволяющего протекать максимальному току 3,5 мА с учетом всех параллельно соединенных цепей. При изменении испытательного сопротивления должен быть обеспечен контроль напряжений в испытательной цепи, например с помощью вольтметра, в целях предотвращения опасных напряжений короткого замыкания.
4.8 Измерительная аппаратура должна выдерживать без повреждений, создающих опасность для пользователя, подключение к распределительной сети напряжением, равным 120% номинального напряжения распределительной сети, на которое была рассчитана измерительная аппаратура. Защитные устройства при этом не должны срабатывать.
4.9 Измерительная аппаратура должна выдерживать без повреждений, создающих опасность для пользователя, случайное подключение к распределительной сети напряжением, равным 173% номинального напряжения, в течение 1 мин. Защитные устройства при этом могут срабатывать.
5 Маркировка и руководство по эксплуатации
5.1 Маркировка
В дополнение к маркировке, указанной в IEC 61557-1, на измерительной аппаратуре должна быть приведена следующая информация.
5.1.1 Установленный отключающий дифференциальный ток или установленные отключающие дифференциальные токи УЗО-Д, на которые рассчитана измерительная аппаратура.
5.2 Руководство по эксплуатации
Руководство по эксплуатации должно содержать следующую информацию в дополнение к указанной в IEC 61557-1.
5.2.1 Предупреждение о том, что измерительная цепь не имеет зонда и возможное напряжение между защитным проводником и землей будет влиять на результаты измерений.
5.2.2 Если в измерительной цепи в качестве зонда используется N-проводник, должно быть предупреждение о том, что перед началом испытания необходимо проверить соединение между нейтральной точкой распределительной сети и землей, а возможное напряжение между N-проводником и землей может влиять на результаты измерений.
5.2.3 Предупреждение о том, что токи утечки в цепи, следующей за УЗО-Д, могут влиять на результаты измерений.
5.2.4 Если напряжение короткого замыкания индицируется испытательной аппаратурой, должно быть однозначно указано, соотносится ли это напряжение с установленным дифференциальным током или с отключающим дифференциальным током УЗО-Д. При необходимости должно быть также приведено указание для выполнения условия
4.2.1.
5.2.5 Сопротивление заземляющего электрода измерительной цепи с зондом не должно превышать значения, установленного изготовителем.
5.2.6 Предупреждение о том, что возможно появление полей от других заземляющих устройств, которые могут повлиять на результаты измерений.
5.2.7 Предупреждение о том, что следует учитывать особые условия для УЗО-Д специальной конструкции, например типа S (селективных и защищающих от импульсных токов).
5.2.8 Предупреждение о том, что аппаратура, присоединенная последовательно дифференциальному току защитного устройства УЗО-Д, может являться следствием значительного увеличения времени срабатывания. Примерами такой аппаратуры могут быть связанные конденсаторы или запущенные двигатели.
В дополнение к указанным в IEC 61557-1 должны быть проведены испытания, приведенные ниже.
Указанные испытания следует проводить при всех установленных отключающих дифференциальных токах, а также, если требуется, при 50% и 500% значения установленного отключающего дифференциального тока.
Испытательная цепь должна быть адаптирована для испытаний как на пределах напряжения короткого замыкания, на которое рассчитана измерительная аппаратура, так и при соответствующем общем сопротивлении заземления RA = RAmax, равном для каждого диапазона.
Испытательная цепь должна быть адаптирована для каждого используемого метода испытаний. При этом должна учитываться информация от изготовителя.
Примечание -

где
UL - условный предел напряжения прикосновения;

- установленный отключающий дифференциальный ток.
6.1 Определение погрешности в рабочих условиях применения - в соответствии с
таблицей 1. Основную погрешность определяют при следующих нормальных условиях:
- номинальное напряжение распределительной сети;
- номинальная частота распределительной сети;
- нормальная температура (23 +/- 2) °C;
- нормальное положение согласно указанию изготовителя:
- защитный проводник не должен подвергаться воздействию внешних напряжений;
- сопротивление вспомогательного заземляющего электрода 100 Ом в TT системе.
Погрешность в рабочих условиях применения, определенная в соответствии с настоящим пунктом, не должна превышать предельных значений, указанных в
4.1 -
4.3.
6.2 Проверяют соответствие допустимой погрешности в рабочих условиях применения при измерении напряжения короткого замыкания с зондом и без него.
6.3 Проверяют внутреннее сопротивление на соответствие требованиям
4.2 на всех диапазонах измерений (типовые испытания).
6.4 Проверяют соответствие измерительной аппаратуры требованиям
4.6 и
4.7 (приемо-сдаточное испытание).
6.5 Проверяют соответствие допустимой перегрузки требованиям
4.8 и
4.9 (типовые испытания).
6.6 Результаты испытаний по
разделу 6 должны быть зарегистрированы в установленном порядке.
(обязательное)
ИЗМЕРИТЕЛЬНАЯ АППАРАТУРА ДЛЯ УЗО-Д ТИПА B
А.1 Область применения
Настоящее приложение устанавливает требования для измерительной аппаратуры в целях проверки эффективности защитных мер при отключении УЗО-Д типа B.
А.2 Требования
Могут применяться следующие требования, а также требования, приведенные в IEC 61557-1.
А.2.1 Дополнительно, при проверке отключающего тока при проведении испытаний УЗО-Д типа B с применением синусоидального или однополупериодного испытательного тока, необходимо проверить чтобы значение отключающего тока, если он является постоянным, практически выпрямленным дифференциальным током, было равно или в два раза меньше установленного отключающего дифференциального тока

.
Если требуется измерить значение отключающего тока, необходимо применить постепенное увеличение испытательного постоянного, практически выпрямленного тока от значения, равного 0,2 установленного отключающего дифференциального тока

.
Примечание - Постоянный, практически выпрямленный ток - ток с импульсом переменного тока менее чем 10% (колебания амплитуды).
А.2.2 Если испытательный ток увеличивается линейно, значение его возрастания не должно превышать двух

за 5 с.
Если испытательный ток увеличивается пошагово, значение его возрастания за каждый шаг не должно превышать двух

и не должно быть больше двух

за 5 с.
А.2.3 Должна быть предусмотрена возможность проведения проверки при постоянном, практически выпрямленном дифференциальном токе в обоих направлениях испытательного тока.
А.2.4 Рабочая погрешность измерения отключающего дифференциального тока не должна превышать +/- 10% установленного отключающего дифференциального тока и должна соответствовать значениям, приведенным в
таблице 1 настоящего стандарта.
А.2.5 Следует применять рабочую погрешность измерения в соответствии с подразделом 4.2 IEC 61557-1 при установленных условиях эксплуатации, а также следующее:
- защитный проводник не должен подвергаться воздействию внешних напряжений;
- напряжение сети должно быть постоянным в процессе измерений;
- в цепи, следующей за УЗО-Д, должен отсутствовать ток утечки;
- напряжение сети должно быть в пределах 85% - 110% номинального напряжения сети, на которое рассчитана измерительная аппаратура;
- сопротивление зондов должно быть в пределах, установленных изготовителем;
- ток постоянный, практически выпрямленный.
А.2.6 Должно быть гарантировано, что измерения не представляют угроз внутри сети при испытаниях напряжением короткого замыкания, превышающим 120 В постоянного тока.
Это может быть достигнуто путем:
- автоматического разъединения в соответствии с рисунком 1 IEC 61010-1:2001, если напряжение короткого замыкания превышает 120 В постоянного тока;
- использованием установленных или встроенных испытательных резисторов Rp, где испытания начинают при сопротивлении, ограничиваемом испытательным током, не превышающим 15 мА постоянного тока, включая параллельные измерительные цепи.
Испытательное сопротивление можно уменьшать, не создавая опасное напряжение, например в случае индикации аварийного напряжения.
А.3 Маркировка и руководство по эксплуатации
В дополнение к требованиям маркировки, приведенным в соответствии с IEC 61557-1 и настоящим стандартом, следующая информация должна быть приведена на измерительном оборудовании.
А.3.1 Указание, что измерительный прибор пригоден для проверки УЗО-Д типа B.
А.3.2 Измерительная аппаратура должна содержать обозначение, что УЗО-Д типа B должны быть проверены в обоих направлениях тока.
Если отсутствует достаточное место, должен быть предупреждающий символ N 14 в соответствии с IEC 61010-1:2001 в непосредственной близости к выключателю, либо на дисплей должен быть подан предупреждающий сигнал.
А.4 Испытания
Применяют испытания согласно IEC 61557-1 и настоящему стандарту.
(справочное)
СВЕДЕНИЯ О СООТВЕТСТВИИ ССЫЛОЧНЫХ МЕЖДУНАРОДНЫХ СТАНДАРТОВ
МЕЖГОСУДАРСТВЕННЫМ СТАНДАРТАМ
Таблица ДА.1
Обозначение ссылочного международного стандарта | Степень соответствия | Обозначение и наименование межгосударственного стандарта |
| | ИС МЕГАНОРМ: примечание. В официальном тексте документа, видимо, допущена опечатка: стандарт "Безопасность электрических контрольно-измерительных приборов и лабораторного оборудования. Часть 1. Общие требования" имеет номер ГОСТ IEC 61010-1-2014, а не ГОСТ IEC 61010-1:2010. | |
|
IEC 61010-1:2001 | IDT | ГОСТ IEC 61010-1:2010 "Безопасность электрических контрольно-измерительных приборов и лабораторного оборудования. Часть 1. Общие требования" |
IEC/TR 60755:2008 | IDT | ГОСТ Р МЭК 60755-2012 "Общие требования к защитным устройствам, управляемым дифференциальным (остаточным) током" |
IEC 60947-2:2009 | - | |
IEC 61008-1:2010 | IDT | ГОСТ IEC 61008-1-2012 "Выключатели автоматические, управляемые дифференциальным током, бытового и аналогичного назначения без встроенной защиты от сверхтоков. Часть 1. Общие требования и методы испытаний" |
IEC 61009-1:2012 | IDT | ГОСТ IEC 61009-1-2014 "Выключатели автоматические, срабатывающие от остаточного тока, со встроенной защитой от тока перегрузки, бытовые и аналогичного назначения. Часть 1. Общие правила" |
IEC 61557-1:2007 | IDT | ГОСТ Р МЭК 61557-1-2005 "Сети электрические распределительные низковольтные напряжением до 1000 В переменного тока и 1500 В постоянного тока. Электробезопасность. Аппаратура для испытания, измерения или контроля средств защиты. Часть 1. Общие требования" |
<*> Соответствующий межгосударственный стандарт отсутствует. До его принятия рекомендуется использовать перевод на русский язык данного международного стандарта. Примечание - В настоящей таблице использовано следующее условное обозначение степени соответствия стандарта: - IDT - идентичные стандарты. |
[1] | IEC 60359:2001 | Electrical and the electronic measurement equipment - Expression of performance (Оборудование для электрического и электронного измерения. Представление эксплуатационных качеств) |
[2] | IEC 61008-1:2002 | Residual current operated circuit-breakers without integral overcurrent protection for household and similar uses (RCCBs) - Part 1: General rules (Управляемые прерыватели остаточного тока без интегральной защиты от перенапряжения для приборов бытового и аналогичного назначения. Часть 1. Общие правила) |
[3] | IEC 61009-1:2006 | Residual current operated circuit-breakers with integral overcurrent protection for household and similar uses (RCBOs) - Part 1: General rules (Выключатели автоматические, управляемые дифференциальным током, бытового и аналогичного назначения со встроенной защитой от сверхтоков. Часть 1. Общие правила) |
УДК 621.317.799:006.354 | | IDT |
Ключевые слова: электрические сети; распределительные низковольтные сети; напряжение переменного и постоянного тока; аппаратура для испытания, измерения и контроля; измерительная аппаратура; электробезопасность; порядок следования фаз; требования; испытания |