Главная // Актуальные документы // ГОСТ (Государственный стандарт)СПРАВКА
Источник публикации
М.: Стандартинформ, 2012
Примечание к документу
Документ
введен в действие с 1 сентября 2012 года.
Название документа
"ГОСТ EN 826-2011. Межгосударственный стандарт. Изделия теплоизоляционные, применяемые в строительстве. Методы определения характеристик сжатия"
(введен в действие Приказом Росстандарта от 13.03.2012 N 20-ст)
"ГОСТ EN 826-2011. Межгосударственный стандарт. Изделия теплоизоляционные, применяемые в строительстве. Методы определения характеристик сжатия"
(введен в действие Приказом Росстандарта от 13.03.2012 N 20-ст)
Приказом Федерального
агентства по техническому
регулированию и метрологии
от 13 марта 2012 г. N 20-ст
МЕЖГОСУДАРСТВЕННЫЙ СТАНДАРТ
ИЗДЕЛИЯ ТЕПЛОИЗОЛЯЦИОННЫЕ, ПРИМЕНЯЕМЫЕ В СТРОИТЕЛЬСТВЕ
МЕТОДЫ ОПРЕДЕЛЕНИЯ ХАРАКТЕРИСТИК СЖАТИЯ
Thermal insulating products for building applications.
Methods for determination of compression behaviour
(EN 826:1996, IDT)
ГОСТ EN 826-2011
Дата введения
1 сентября 2012 года
Цели, основные принципы и основной порядок проведения работ по межгосударственной стандартизации установлены
ГОСТ 1.0-92 "Межгосударственная система стандартизации. Основные положения" и МСН 1.01-01-2009 "Система межгосударственных нормативных документов в строительстве. Основные положения".
1. Подготовлен Некоммерческим партнерством "Производители современной минеральной изоляции "Росизол" на основе аутентичного перевода на русский язык европейского регионального стандарта, указанного в
пункте 4.
2. Внесен Техническим комитетом по стандартизации ТК 465 "Строительство".
3. Принят Межгосударственной научно-технической комиссией по стандартизации, техническому нормированию и оценке соответствия в строительстве (МНТКС) (дополнение N 1 к приложению Д Протокола N 38 от 18 марта 2011 г.).
За принятие стандарта проголосовали:
┌────────────────────┬────────────────────┬───────────────────────────────┐
│Краткое наименование│ Код страны по │ Сокращенное наименование │
│ страны по │МК (ISO 3166) 004-97│ национального органа │
│МК (ISO 3166) 004-97│ │ государственного управления │
│ │ │ строительством │
├────────────────────┼────────────────────┼───────────────────────────────┤
│Азербайджан │ AZ │Госстрой │
│Армения │ AM │Министерство градостроительства│
│Казахстан │ KZ │Агентство по делам │
│ │ │строительства и жилищно- │
│ │ │коммунального хозяйства │
│Киргизия │ KG │Госстрой │
│Молдова │ MD │Министерство строительства │
│ │ │и регионального развития │
│Российская Федерация│ RU │Департамент регулирования │
│ │ │градостроительной деятельности │
│ │ │Министерства регионального │
│ │ │развития │
│Украина │ UA │Министерство регионального │
│ │ │развития строительства и │
│ │ │жилищно-коммунального хозяйства│
└────────────────────┴────────────────────┴───────────────────────────────┘
4. Настоящий стандарт идентичен европейскому региональному стандарту EN 826:1996 "Thermal insulating products for building applications - Determination of compression behaviour" ("Теплоизоляционные изделия, применяемые в строительстве - Определение характеристик сжатия").
Наименование настоящего стандарта изменено относительно наименования европейского регионального стандарта для приведения в соответствие с ГОСТ 1.5
(подраздел 3.6).
При применении настоящего стандарта рекомендуется использовать вместо ссылочных международных и европейских региональных стандартов соответствующие им межгосударственные стандарты, сведения о которых приведены в дополнительном
Приложении ДА.
Перевод с английского языка (en).
Степень соответствия - идентичная (IDT).
5. Приказом Федерального агентства по техническому регулированию и метрологии от 13 марта 2012 г. N 20-ст межгосударственный стандарт ГОСТ EN 826-2011 введен в действие в качестве национального стандарта Российской Федерации с 1 сентября 2012 г.
6. Введен впервые.
Информация о введении в действие (прекращении действия) настоящего стандарта и изменений к нему публикуется в указателе "Национальные стандарты".
Информация об изменениях к настоящему стандарту публикуется в указателе (каталоге) "Национальные стандарты", а текст изменений - в информационных указателях "Национальные стандарты". В случае пересмотра или отмены настоящего стандарта соответствующая информация будет опубликована в информационном указателе "Национальные стандарты".
Настоящий стандарт применяют, если заключенные контракты или другие согласованные условия предусматривают применение теплоизоляционных материалов с характеристиками, гармонизированными с требованиями европейских стандартов, а также в случаях, когда это технически и экономически целесообразно.
Настоящий стандарт распространяется на теплоизоляционные изделия, применяемые в строительстве (далее - изделия), и устанавливает требования к средствам испытания и методике определения характеристик сжатия.
Методы, приведенные в настоящем стандарте, могут быть использованы для определения напряжения сжатия при испытаниях на ползучесть при сжатии; в случаях, когда теплоизоляционные изделия подвергаются только кратковременным нагрузкам; при контроле качества изделий, а также для получения исходных значений, на основе которых могут быть вычислены расчетные значения характеристик сжатия с помощью коэффициентов запаса.
В настоящем стандарте использованы ссылки на следующие стандарты:
ISO 5725:1986 <*>. Точность методов испытания - Определение повторяемости и воспроизводимости результатов стандартного метода испытания путем проведения межлабораторных испытаний (ISO 5725:1986 Precision of test methods - Determination of repeatability and reproducibility for a standard test method by inter-laboratory tests)
--------------------------------
<*> Действует ISO 5725-2:1994.
EN 12085:1997. Теплоизоляционные изделия, применяемые в строительстве - Определение линейных размеров образцов для испытания (EN 12085:1997, Thermal insulating products for building applications - Determination of linear dimensions of test specimens).
В настоящем стандарте применены следующие термины с соответствующими определениями:
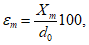
3.1. Относительная деформация (relative deformation)

: отношение значения уменьшения толщины образца, измеренной по направлению действия сжимающей силы, к его первоначальной толщине

, выраженное в процентах.
3.2. Предел прочности при сжатии (compressive strength)

: отношение максимального значения сжимающей силы

к первоначальной площади поперечного сечения образца, когда относительная деформация

образца в состоянии текучести (см.
рисунок 1, b) или при его разрушении (см.
рисунок 1, a) составляет менее 10%.

- сила, соответствующая предварительной нагрузке;

- максимальная сила;

- деформация при максимальной силе;

- сила при относительной деформации, равной 10%;

- относительная деформация, равная 10%;

- сила,
соответствующая деформации

(условный прямо пропорциональный предел);

- деформация в условно упругой зоне
(верхняя граница условно упругих деформаций)
Рисунок 1. Примеры графиков зависимости
деформации образца от прилагаемой силы
3.3. Прочность на сжатие при 10%-ной относительной деформации (compressive stress at 10% relative deformation)

: отношение значения сжимающей силы

к первоначальной площади поперечного сечения образца (см. рисунки 1, c и 1, d) при его 10%-ной относительной деформации

при условии, что 10%-ная относительная деформация достигнута до начала возможной пластической деформации или разрушения образца.
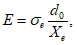
3.4. Модуль упругости при сжатии (compression modulus of elasticity) E: отношение напряжения сжатия к соответствующей относительной деформации образца при условии, что зависимость между этими характеристиками является прямо пропорциональной (см.
рисунок 1).
К образцу перпендикулярно к его лицевым граням прикладывают при заданной скорости сжимающую силу и вычисляют максимальное значение напряжения сжатия, которое выдерживает образец.
Если значение максимального напряжения сжатия достигается при относительной деформации образца менее 10%, то это напряжение сжатия определяют как предел прочности при сжатии, при этом регистрируют соответствующую относительную деформацию испытуемого образца. Если при достижении относительной деформации образца, равной 10%, не произошло разрушение образца, то вычисляют прочность на сжатие при 10%-ной относительной деформации.
5.1. Испытательная машина
Испытательная машина, обеспечивающая создание сжимающей силы и деформации сжатия, снабженная двумя жесткими полированными квадратными или круглыми параллельно расположенными опорными плитами, длина стороны (или диаметр) которых равна длине стороны (или диагонали) испытуемого образца. Одна из плит испытательной машины должна быть неподвижной, вторая - подвижной с центрально расположенным шаровым шарниром, который обеспечивает строго осевое направление приложенной силы. Скорость движения подвижной плиты должна быть постоянной (см.
раздел 7).
5.2. Измерение деформации образца
Прибор для измерения деформации, обеспечивающий непрерывное измерение смещения подвижной плиты и позволяющий снимать показания с погрешностью +/- 5% или +/- 0,1 мм (из двух значений выбирают меньшее, см. 5.3).
5.3. Измерение силы
Датчик для измерения силы, действующей на образец, укрепленный на одной из опорных плит испытательной машины. Датчик должен быть устроен так, чтобы его собственная деформация, возникающая в процессе измерения, была бы пренебрежимо мала по сравнению с деформацией, измеряемой при испытании, в противном случае деформацию датчика следует учитывать при обработке результатов испытания. Датчик должен обеспечивать непрерывное измерение силы с погрешностью +/- 1%.
5.4. Записывающее устройство
Устройство, обеспечивающее одновременную запись значений силы F, деформации X и построение графика F(X) (см.
7.2).
Примечание. График F(X) дает дополнительную информацию о характеристиках изделия и позволяет определять модуль упругости при сжатии.
Толщина образцов, предназначенных для испытания, должна соответствовать толщине изделия, из которого вырезаны эти образцы. Линейный размер лицевых граней образцов должен быть не менее их толщины. Образцы изделий, имеющих покрытия, которые сохраняются в процессе эксплуатации, должны подвергаться испытанию с этими покрытиями.
Не допускается проводить испытания образцов, составленных из нескольких слоев с целью увеличения их толщины.
Поперечное сечение образцов должно быть в форме квадрата со следующими рекомендуемыми размерами сторон:
50 x 50 мм или
100 x 100 мм, или
150 x 150 мм, или
200 x 200 мм, или
300 x 300 мм.
Размеры образцов должны быть указаны в стандарте или технических условиях на изделие.
Примечание. При отсутствии стандарта или технических условий на изделие размеры образцов могут быть согласованы между заинтересованными сторонами.
Линейные размеры образцов определяют в соответствии с EN 12085 с погрешностью не более +/- 0,5%.
Допускаемые отклонения лицевых граней образцов от параллельности и плоскостности не должны превышать 0,5% длины стороны лицевой грани образца и не должны быть более 0,5 мм.
Если допускаемые отклонения от плоскостности и параллельности лицевых граней образцов превышают указанные значения, то перед испытанием поверхности лицевых граней образцов шлифуют или наносят на них соответствующее покрытие. В процессе испытания покрытие не должно подвергаться значительной деформации.
Примечание. Точность результатов испытания уменьшается при испытании образцов толщиной менее 20 мм.
6.2. Подготовка образцов к испытанию
Образцы вырезают из изделия так, чтобы их лицевые грани были перпендикулярны к направлению сжатия, которому подвергаются изделия в процессе эксплуатации. Образцы следует вырезать так, чтобы не нарушилась структура изделия, из которого вырезаны эти образцы.
Образцы отбирают в соответствии со стандартом или техническими условиями на изделие. Для изделий клинообразной формы параллельность лицевых граней образцов должна соответствовать требованиям
6.1.
Примечания. 1. При отсутствии стандарта или технических условий на изделие порядок отбора образцов может быть согласован между заинтересованными сторонами.
2. Если необходимы специальные методы подготовки образцов к испытанию, то об этом указывают в стандарте на изделие.
3. При испытании образцов изделий с анизотропной структурой, если требуется более полное описание характеристик или неизвестно основное направление анизотропии, допускается изготовление дополнительных образцов.
6.3. Число образцов
Число образцов должно быть указано в стандарте или технических условиях на изделие. Если число образцов не установлено, испытывают не менее пяти образцов.
Примечание. При отсутствии стандарта или технических условий на изделие число образцов может быть согласовано между заинтересованными сторонами.
6.4. Кондиционирование образцов
Образцы перед испытанием выдерживают в течение не менее 6 ч при температуре (23 +/- 5) °C. В случае разногласий образцы выдерживают при температуре (23 +/- 2) °C и относительной влажности воздуха (50 +/- 5)% в течение времени, указанного в стандарте или технических условиях на изделие.
7. Методика проведения испытания
7.1. Условия испытания
Испытание проводят при температуре (23 +/- 5) °C. В случае разногласий испытание проводят при температуре (23 +/- 2) °C и относительной влажности воздуха (50 +/- 5)%.
7.2. Проведение испытания
Измеряют длину, ширину и толщину образца в соответствии с EN 12085.
Образец помещают строго по центру между двумя параллельными опорными плитами испытательной машины.
Образец подвергают действию предварительного сжимающего давления, равного (250 +/- 10) Па.
Примечание. Если под действием предварительного сжимающего давления, равного 250 Па, возникает значительная деформация образца, предварительное сжимающее давление принимают равным 50 Па, что должно быть указано в стандарте или технических условиях на изделие. В этом случае первоначальную толщину образца

определяют под действием предварительного сжимающего давления, равного 50 Па.
Образец сжимают при постоянной скорости движения подвижной плиты испытательной машины, равной d/10 в минуту +/- 25%, где d - толщина образца в миллиметрах.
Сжатие продолжают до момента наступления состояния пластической деформации или разрушения образца, определяя предел прочности при сжатии, или до момента достижения относительной деформации, равной 10%, определяя прочность на сжатие при 10%-ной относительной деформации.
Записывают график зависимости деформации образца от силы F(X).
8. Обработка и представление результатов испытания
За результат испытания принимают среднеарифметическое значение результатов отдельных испытаний, округленное до третьей значащей цифры.
Примечание. Результаты испытания не могут быть распространены на изделия другой толщины.
В зависимости от характера зависимости деформации образца от прилагаемой силы (см.
7.2) вычисляют значения

и

или

(см.
раздел 3).
8.1. Предел прочности при сжатии и соответствующая относительная деформация
8.1.1. Предел прочности при сжатии
Предел прочности при сжатии

, кПа, вычисляют по формуле
где

- максимальная сила, Н;

- первоначальная площадь поперечного сечения образца, мм2.
8.1.2. Относительная деформация
Определяют положение точки "нулевой деформации". Продлевают до линии "нулевой силы"

наиболее прямолинейный участок графика зависимости деформации образца от сжимающей силы, угол наклона которого максимален (см.
5.4).
От точки "нулевой деформации", соответствующей предварительному сжимающему давлению

, определяют все значения деформации образца.
Примечание. Примеры определения положения точки "нулевой деформации" приведены на
рисунке 1.
Относительную деформацию

, %, вычисляют по формуле
где

- деформация образца, соответствующая максимальной сжимающей силе, мм;

- измеренное значение первоначальной толщины образца, мм.
8.2. Прочность на сжатие при 10%-ной относительной деформации
Прочность на сжатие при 10%-ной относительной деформации

, кПа, вычисляют по формуле
где

- сила, соответствующая относительной деформации образца, равной 10%, Н;

- первоначальная площадь поперечного сечения образца, мм2.
Примечание. При необходимости вычисляют прочность на сжатие при относительной деформации образца менее 10%.
8.3. Модуль упругости при сжатии
При необходимости вычисляют модуль упругости при сжатии E, кПа, по формуле
где


- значение сжимающей силы в конце условно упругой зоны (четко выраженный прямолинейный участок графика зависимости деформации от сжимающей силы), Н;

- деформация, соответствующая сжимающей силе

, мм.
Если на графике зависимости деформации образца от сжимающей силы отсутствует четко выраженный прямолинейный участок или координата точки "нулевой деформации", полученная в соответствии с
8.1.2, имеет отрицательное значение, описанную процедуру определения модуля упругости при сжатии не применяют. В этих случаях за точку "нулевой деформации" принимают деформацию образца, соответствующую предварительному сжимающему давлению (250 +/- 10) Па.
Приведенные ниже характеристики точности метода получены на основании результатов межлабораторных испытаний. Испытанию подвергались четыре изделия с различными характеристиками сжатия, три из которых были использованы для статистической оценки воспроизводимости результатов (два результата испытания для каждого изделия) и одно изделие - для статистической оценки повторяемости результатов (пять результатов испытания).
Результаты, полученные в соответствии с ISO 5725, приведены в таблицах 1 и
2.
Таблица 1
Предел прочности при сжатии

или прочность на сжатие
при 10%-ной относительной деформации

┌───────────────────────────────────────────┬─────────────────────────────┐
│ Характеристика │ Значение │
├───────────────────────────────────────────┼─────────────────────────────┤
│Диапазон прочности при сжатии, кПа │ 95 - 230 │
├───────────────────────────────────────────┼─────────────────────────────┤
│Оценка дисперсии повторяемости s , % │ 0,5 │
│ r │ │
│Предел 95%-ной повторяемости, % │ 2 │
├───────────────────────────────────────────┼─────────────────────────────┤
│Оценка дисперсии воспроизводимости s , % │ 3 │
│ R │ │
│Предел 95%-ной воспроизводимости, % │ 9 │
└───────────────────────────────────────────┴─────────────────────────────┘
Таблица 2
Модуль упругости при сжатии E
┌───────────────────────────────────────────┬─────────────────────────────┐
│ Характеристика │ Значение │
├───────────────────────────────────────────┼─────────────────────────────┤
│Диапазон модуля упругости при сжатии, кПа │ 2500 - 8500 │
├───────────────────────────────────────────┼─────────────────────────────┤
│Оценка дисперсии повторяемости s , % │ 3 │
│ r │ │
│Предел 95%-ной повторяемости, % │ 8 │
├───────────────────────────────────────────┼─────────────────────────────┤
│Оценка дисперсии воспроизводимости s , % │ 10 │
│ R │ │
│Предел 95%-ной воспроизводимости, % │ 25 │
└───────────────────────────────────────────┴─────────────────────────────┘
Приведенные ниже термины соответствуют ISO 5725.
Отчет об испытаниях должен содержать:
a) ссылку на настоящий стандарт;
b) идентификацию изделия:
1) наименование изделия, наименование предприятия-изготовителя или поставщика,
2) код маркировки изделия,
3) вид изделия,
4) вид упаковки,
5) форму поставки изделия в лабораторию,
6) дополнительную информацию, например, номинальную толщину, номинальную плотность;
c) методику проведения испытания:
1) подготовку к испытанию, порядок отбора образцов, например кто и в каком месте проводил отбор образцов,
2) условия кондиционирования образцов,
3) любые отклонения от требований, приведенных в
разделах 6 и
7, если они имели место,
4) дату проведения испытания,
5) размеры и число образцов для испытания,
6) вид обработки поверхности лицевых граней образцов (шлифовка или вид покрытия),
7) общую информацию о процедуре испытания,
8) обстоятельства, которые могут повлиять на результаты испытания;
Примечание. Сведения о средствах испытания и лаборанте, проводившем испытание, должны находиться в лаборатории, однако в отчете их не указывают.
d) результаты испытания: результаты каждого отдельного испытания по определению предела прочности при сжатии и соответствующие ей значения относительной деформации или результаты каждого отдельного испытания по определению прочности на сжатие при 10%-ной относительной деформации; среднее значение предела прочности при сжатии или прочности на сжатие при 10%-ной относительной деформации и модуль упругости при сжатии (если необходимо).
(обязательное)
ИЗМЕНЕНИЯ К ОСНОВНОМУ МЕТОДУ ИСПЫТАНИЯ
ДЛЯ ИЗДЕЛИЙ ИЗ ЯЧЕИСТОГО СТЕКЛА
Основной метод испытания, приведенный в настоящем стандарте, следует дополнить следующими изменениями для изделий из ячеистого стекла.
А.1. Средства испытания
Испытательная машина с шаровым шарниром, соединенным с одной из опорных плит, создающая сжатие.
А.2. Образцы для испытания
Испытуемые образцы должны представлять собой четвертую часть плиты, из которой их вырезают. Например, из плиты размерами 600 x 450 мм вырезают образцы размерами 300 x 225 мм, две боковые грани которых являются частью боковых граней плиты.
Если это не представляется возможным, то из любого из четырех квадрантов плиты одинаковой площадью вырезают один образец размерами 200 x 200 мм, при этом не допускается нарушение формы квадранта.
А.2.2. Подготовка образцов к испытанию
А.2.2.1. Лицевые грани образца должны быть параллельными и плоскими (см.
6.1). При необходимости их зачищают соответствующим абразивным материалом для получения плоских и параллельных лицевых граней.
А.2.2.2. Для обеспечения ровной поверхности лицевых граней образцов используют битум марки R 85/25, нагретый до температуры (170 +/- 10) °C, которым полностью заполняют поверхностные открытые поры образца; битума следует брать несколько больше, чем это необходимо. Расход битума составляет приблизительно (1,00 +/- 0,25) кг/м2.
Лицевую грань образца либо погружают в ванну с горячим битумом, либо помещают (что предпочтительнее) на горизонтальный валик, поворачивающийся в ванне с битумом (см. рисунок А.1). Избыточный битум соскабливают. Если открытые поры на поверхности образца не заполнились битумом в достаточной степени, описанную процедуру повторяют еще раз.
1 - образец; 2 - валик; 3 - битум
Рисунок А.1. Нанесение горячего битума
на лицевую грань образца
Дают возможность излишнему битуму стечь с обработанной грани. Поворачивают образец обработанной гранью вверх и слегка встряхивают его в горизонтальном положении, обеспечивая равномерное распределение битума.
Примечание. Валик целесообразно погружать в битум частично (см. рисунок А.1).
А.2.2.3. Образец помещают обработанной лицевой гранью на лист, расположенный на плоской стальной поверхности. Размеры листа должны быть больше размеров лицевой грани образца. Лист должен быть тонким, гибким, однородным и не должен разрушаться под действием горячего битума. Лист изготавливают из тонкого рубероида, масса единицы площади которого равна (1,00 +/- 0,25) кг/м2, или крафт-бумаги, или пластмассовой фольги, армированной нетканым стекловолокнистым материалом, масса одного квадратного метра которого равна (0,15 +/- 0,08) кг/м2. При помощи пластины размерами не менее размеров образца прикладывают к образцу нагрузку, равную (200 +/- 25) Н. Через 1 мин нагрузку снимают.
Через 15 мин покрывают битумом вторую лицевую грань образца, как описано выше.
Примечание. Тонкий гибкий лист применяют для предотвращения прилипания битума, нанесенного на лицевую грань образца, к плитам испытательной машины, создающим сжатие во время проведения испытания.
А.2.2.4. Образец устанавливают на одну из боковых граней, поддерживая его за середину противоположной боковой грани, например, при помощи небольшой деревянной палочки, подвергая обе покрытые битумом лицевые грани воздействию комнатной температуры в течение не менее 15 мин и давая возможность битуму затвердеть перед началом испытания.
А.2.2.5. Битум не следует подвергать воздействию высокой температуры, которая вызывает его окисление.
А.2.2.6. Для изделий из ячеистого стекла, изготавливаемых в виде листов, образцы вырезают в соответствии с
А.2.1 из плит, изготовленных из этого же ячеистого стекла.
При подготовке образцов к испытанию по определению прочности на сжатие листов, изготовленных из ячеистого стекла, не следует применять горячий битум.
Если поверхность лицевой грани образца недостаточно плоская, на нее наносят слой штукатурки толщиной (2 +/- 1) мм. Испытание на сжатие проводят после окончания процесса твердения штукатурки.
А.3. Методика проведения испытания
Скорость перемещения подвижной плиты испытательной машины должна быть d/100 в минуту +/- 25%, где d - толщина образца в миллиметрах.
Испытание проводят до разрушения образца, которое, как правило, сопровождается резким падением значения сжимающей силы.
Примечание. Процедуру обработки поверхности лицевых граней образца битумом не следует применять для определения относительной деформации и модуля упругости при сжатии путем измерения значения перемещения подвижной плиты испытательной машины. В этом случае применяют альтернативный метод, предусматривающий фиксирование контрольных точек, нанесенных на боковые грани образца, и измерение смещения этих точек друг относительно друга.
(справочное)
СВЕДЕНИЯ О СООТВЕТСТВИИ МЕЖГОСУДАРСТВЕННЫХ СТАНДАРТОВ
ССЫЛОЧНЫМ МЕЖДУНАРОДНЫМ И ЕВРОПЕЙСКИМ СТАНДАРТАМ
Таблица ДА.1
┌───────────────┬───────┬─────────────────────────────────────────────────┐
│ Обозначение │Степень│ Обозначение и наименование соответствующего │
│ ссылочного │соот- │ межгосударственного стандарта │
│международного │ветст- │ │
│и европейского │вия │ │
│ стандартов │ │ │
├───────────────┼───────┼─────────────────────────────────────────────────┤
ИС МЕГАНОРМ: примечание.
│ISO 5725-2:1994│ IDT │ГОСТ ИСО 5725-2-2003. Точность (правильность и │
│ │ │прецизионность) методов и результатов измерений. │
│ │ │Часть 2. Основной метод определения повторяемости│
│ │ │и воспроизводимости стандартного метода измерений│
├───────────────┼───────┼─────────────────────────────────────────────────┤
│ │ │применяемые в строительстве. Методы измерения │
│ │ │линейных размеров образцов, предназначенных │
│ │ │для испытаний │
├───────────────┴───────┴─────────────────────────────────────────────────┤
│ Примечание. В настоящей таблице использовано следующее условное│
│обозначение степени соответствия стандартов: │
│ IDT - идентичные стандарты. │
└─────────────────────────────────────────────────────────────────────────┘