Главная // Актуальные документы // ГОСТ (Государственный стандарт)СПРАВКА
Источник публикации
М.: Стандартинформ, 2012
Примечание к документу
Документ
введен в действие с 1 сентября 2012 года.
Название документа
"ГОСТ EN 1609-2011. Межгосударственный стандарт. Изделия теплоизоляционные, применяемые в строительстве. Методы определения водопоглощения при кратковременном частичном погружении"
(введен в действие Приказом Росстандарта от 17.04.2012 N 44-ст)
"ГОСТ EN 1609-2011. Межгосударственный стандарт. Изделия теплоизоляционные, применяемые в строительстве. Методы определения водопоглощения при кратковременном частичном погружении"
(введен в действие Приказом Росстандарта от 17.04.2012 N 44-ст)
агентства по техническому
регулированию и метрологии
от 17 апреля 2012 г. N 44-ст
МЕЖГОСУДАРСТВЕННЫЙ СТАНДАРТ
ИЗДЕЛИЯ ТЕПЛОИЗОЛЯЦИОННЫЕ, ПРИМЕНЯЕМЫЕ В СТРОИТЕЛЬСТВЕ
МЕТОДЫ ОПРЕДЕЛЕНИЯ ВОДОПОГЛОЩЕНИЯ
ПРИ КРАТКОВРЕМЕННОМ ЧАСТИЧНОМ ПОГРУЖЕНИИ
Thermal insulating products for building applications.
Methods for determination of short term water absorption
by partial immersion
(EN 1609:1996, IDT)
ГОСТ EN 1609-2011
Дата введения
1 сентября 2012 года
Цели, основные принципы и основной порядок проведения работ по межгосударственной стандартизации установлены
ГОСТ 1.0-92 "Межгосударственная система стандартизации. Основные положения" и МСН 1.01-01-2009 "Система межгосударственных нормативных документов в строительстве. Основные положения".
1. Подготовлен Некоммерческим партнерством "Производители современной минеральной изоляции "Росизол" на основе аутентичного перевода на русский язык европейского регионального стандарта, указанного в
пункте 4.
2. Внесен Техническим комитетом по стандартизации ТК 465 "Строительство".
3. Принят Межгосударственной научно-технической комиссией по стандартизации, техническому нормированию и оценке соответствия в строительстве (МНТКС) (дополнение N 1 к приложению Д протокола N 38 от 18 марта 2011 г.).
За принятие стандарта проголосовали:
┌───────────────────┬──────────┬──────────────────────────────────────────┐
│ Краткое │Код страны│ Сокращенное наименование национального │
│наименование страны│ по МК │ органа государственного управления │
│ по МК (ISO 3166) │(ISO 3166)│ строительством │
│ 004-97 │ 004-97 │ │
├───────────────────┼──────────┼──────────────────────────────────────────┤
│Азербайджан │ AZ │Госстрой │
│Армения │ AM │Министерство градостроительства │
│Казахстан │ KZ │Агентство по делам строительства и │
│ │ │жилищно-коммунального хозяйства │
│Киргизия │ KG │Госстрой │
│Молдова │ MD │Министерство строительства и регионального│
│ │ │развития │
│Российская │ RU │Департамент регулирования градостроитель- │
│Федерация │ │ной деятельности Министерства региональ- │
│ │ │ного развития │
│Украина │ UA │Министерство регионального развития │
│ │ │строительства и жилищно-коммунального │
│ │ │хозяйства │
└───────────────────┴──────────┴──────────────────────────────────────────┘
4. Настоящий стандарт идентичен европейскому региональному стандарту EN 1609:1996 Thermal insulating products for building applications - Determination of short term water absorption by partial immersion (Теплоизоляционные изделия, применяемые в строительстве. Определение водопоглощения при кратковременном частичном погружении).
Наименование настоящего стандарта изменено относительно наименования европейского регионального стандарта для приведения в соответствие с ГОСТ 1.5
(подраздел 3.6).
В настоящем стандарте учтены изменения к указанному европейскому региональному стандарту, одобренные Европейским комитетом по стандартизации 17 августа 2006 г.
Перевод с английского языка (en).
Сведения о соответствии межгосударственных стандартов ссылочным международным и европейским региональным стандартам приведены в дополнительном
Приложении ДА.
Степень соответствия - идентичная (IDT).
5.
Приказом Федерального агентства по техническому регулированию и метрологии от 17 апреля 2012 г. N 44-ст межгосударственный стандарт ГОСТ EN 1609-2011 введен в действие в качестве национального стандарта Российской Федерации с 1 сентября 2012 г.
6. Введен впервые.
Информация о введении в действие (прекращении действия) настоящего стандарта и изменений к нему публикуется в указателе "Национальные стандарты".
Информация об изменениях к настоящему стандарту публикуется в указателе (каталоге) "Национальные стандарты", а текст изменений - в информационных указателях "Национальные стандарты". В случае пересмотра или отмены настоящего стандарта соответствующая информация будет опубликована в информационном указателе "Национальные стандарты".
Настоящий стандарт применяют, если заключенные контракты или другие согласованные условия предусматривают применение теплоизоляционных материалов с характеристиками, гармонизированными с требованиями европейских региональных стандартов, а также в случаях, когда это технически и экономически целесообразно.
Настоящий стандарт распространяется на теплоизоляционные изделия, применяемые в строительстве (далее - изделия), и устанавливает требования к средствам испытания и методикам определения водопоглощения при кратковременном частичном погружении образцов.
Примечание. Настоящие методы позволяют оценить водопоглощение изделий, подвергаемых воздействию дождя продолжительностью 24 ч при проведении строительных работ.
В настоящем стандарте применены ссылки на следующие стандарты:
EN 12085:1997 Thermal insulating products for building applications - Determination of linear dimensions of test specimens (Теплоизоляционные изделия, применяемые в строительстве. Определение линейных размеров образцов для испытаний)
ISO 5725-2:1994 Accuracy (trueness and precision) of measurement methods and results - Part 2: Basic method for the determination of repeatability and reproducibility of a standard measurement method [Точность (правильность и прецизионность) методов и результатов измерений. Часть 2. Основной метод определения повторяемости и воспроизводимости стандартного метода измерений].
Настоящий стандарт не содержит терминов.
Образец, предназначенный для испытания, частично погружают в воду на 24 ч и определяют изменение его массы.
Излишнюю воду, удерживаемую на поверхности образца, но не поглощенную им, удаляют, давая ей возможность стечь
(метод A), или учитывают путем вычитания массы первоначально поглощенной воды
(метод B).
5.1. Весы для взвешивания образцов с погрешностью не более +/- 0,1 г.
5.2. Емкость с водой, снабженная устройством для поддержания уровня воды с точностью +/- 2 мм; пригруз, удерживающий образец в частично погруженном положении.
Подставки для образца, которые не должны закрывать более 15% площади грани образца, погружаемой в воду (см. рисунок 1).
1 - емкость с водой; 2 - пригруз, удерживающий образец
в частично погруженном положении; 3 - образец
Рисунок 1. Устройство для испытания образцов
при частичном погружении
5.3. Водопроводная вода температурой (23 +/- 5) °C.
5.4. Приспособления для стекания воды. Примеры приспособлений приведены на рисунке 2.
d - толщина образца; 1 - подставка из нержавеющей стали;
2 - образец; 3 - перфорированная сетка из нержавеющей стали
Рисунок 2. Приспособления для стекания воды
6.1. Размеры образцов
Толщина образцов должна быть равна толщине изделия, из которого они вырезаны.
Образцы должны иметь форму прямой призмы с квадратным поперечным сечением с размером стороны (200 +/- 1) мм.
6.2. Число образцов
Число образцов указывают в стандарте или технических условиях на изделие конкретного вида. Если число образцов не установлено, то испытывают не менее четырех образцов.
Примечание. При отсутствии стандарта или технических условий на изделие число образцов может быть согласовано между заинтересованными сторонами.
6.3. Подготовка образцов к испытаниям
Образцы вырезают так, чтобы их боковые грани не совпадали с боковыми гранями изделия.
При подготовке образцов к испытанию не допускается нарушать структуру изделия, из которого вырезаны эти образцы. Любые оболочки, облицовки и/или покрытия должны быть сохранены.
Примечание. Специальные методы подготовки образцов (если необходимо) должны быть приведены в стандарте или технических условиях на изделие.
6.4. Кондиционирование образцов
Образцы перед испытанием выдерживают не менее 6 ч при температуре (23 +/- 5) °C. В случае разногласий образцы выдерживают при температуре (23 +/- 2) °C и относительной влажности воздуха (50 +/- 5)% в течение времени, указанного в стандарте или технических условиях на изделие.
7. Методы проведения испытаний
7.1. Условия испытаний
Испытания проводят при температуре (23 +/- 5) °C. В случае разногласий испытание проводят при температуре (23 +/- 2) °C и относительной влажности воздуха (50 +/- 5)%.
7.2. Проведение испытаний
Применяемый метод испытания
A или
B указывают в стандарте или технических условиях на изделие.
Примечание. При отсутствии стандарта или технических условий на изделие метод испытания (
A или
B) согласовывают между заинтересованными сторонами.
Размеры образцов определяют в соответствии с EN 12085.
7.2.1. Метод A (стекание воды)
Образцы взвешивают с погрешностью не более +/- 0,1 г для определения первоначальной массы

.
При проведении испытания половину всех образцов помещают в емкость одной из лицевых граней вниз, вторую половину образцов - противоположной гранью вниз.
Образец помещают в пустую емкость на подставки и при помощи пригруза прикладывают нагрузку, достаточную для удержания образца в состоянии частичного погружения в воду. Осторожно добавляют в емкость воду до тех пор, пока нижняя грань образца не будет погружена на (10 +/- 2) мм ниже уровня воды (см.
рисунок 1). Во время испытания уровень воды должен оставаться постоянным.
Через 24 ч образец извлекают из воды и удаляют из него излишнюю воду, поместив на (10,0 +/- 0,5) мин в вертикальном положении на сетку или подставку, установленную под углом 45°, как показано на
рисунке 2. Затем образец вновь взвешивают, определяя массу

.
7.2.2. Метод B (вычитание массы первоначально поглощенной воды)
Образцы взвешивают с погрешностью до +/- 0,1 г для определения первоначальной массы

.
При проведении испытания половину всех образцов помещают в емкость одной из лицевых граней вниз, вторую половину - противоположной гранью вниз.
Образец помещают в емкость с водой так, чтобы его нижняя грань была погружена на (10 +/- 2) мм ниже уровня воды. Через 10 с образец извлекают из воды, удерживая его в горизонтальном положении, и в течение 5 с помещают на пластмассовый поддон известной массы. Взвешивают поддон вместе с образцом для определения массы образца с учетом первоначально поглощенной воды

.
Образец вторично помещают в емкость с водой и при помощи пригруза удерживают его частично погруженным в воду на (10 +/- 2) мм ниже уровня воды (см.
рисунок 1). Вовремя испытания уровень воды должен оставаться постоянным.
Через 24 ч образец извлекают из воды, держа его в горизонтальном положении, и помещают в течение 5 с на пластмассовый поддон известной массы для определения общей массы

.
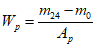
Метод B применяют в случае, если первоначальное водопоглощение менее или равно 0,5 кг/м2. Первоначальное водопоглощение вычисляют по формуле

,
где

- масса образца с учетом первоначально поглощенной воды при испытании по
методу B, кг;

- первоначальная масса образца, определенная при испытании по
методу A, кг;

- площадь нижней грани образца, погруженной в воду, м2.
8. Обработка и представление результатов испытаний
За результат испытаний принимают среднеарифметическое значение результатов отдельных испытаний. Для изделий с разными лицевыми гранями вычисляют два среднеарифметических значения.
Примечание. Результаты испытаний не следует распространять на изделия другой толщины.
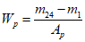
Водопоглощение при кратковременном частичном погружении образцов

, кг/м2, вычисляют по формулам:
- метод A

;
- метод B

,
где

- первоначальная масса образца, определенная при испытании по
методу A, кг;

- масса образца с учетом первоначально поглощенной воды, определенная при испытании по
методу B, кг;

- масса образца после частичного погружения в воду в течение 24 ч (
методы A и
B), кг;

- площадь нижней грани образца, м2.
Значение

округляют до 0,01 кг/м2.
Приведенные ниже характеристики точности методов получены на основании результатов межлабораторных испытаний. По
методу A испытания проводились в десяти лабораториях на трех изделиях. По
методу B испытания проводились в шести лабораториях на одном изделии.
Результаты испытаний проанализированы в соответствии с ISO 5725-2 и приведены в таблице 1.
Таблица 1
Кратковременное частичное погружение образцов в воду
┌─────────────────────────────┬──────────────────────────────────┐
│ Условия испытаний │ Водопоглощение, кг/м2 │
│ ├───────────┬────────────┬─────────┤
│ │ Диапазон │Оценка │Предел │
│ │измеренной │дисперсии │воспроиз-│
│ │величины W │воспроиз- │водимости│
│ │ р│водимости S │95% │
│ │ │ R│ │
├─────────────────────────────┼───────────┼────────────┼─────────┤
│
Метод A (стекание воды) │0,02 - 0,50│ 0,03 │ 0,10 │
├─────────────────────────────┼───────────┼────────────┼─────────┤
│
Метод B (вычитание массы │0,04 - 0,20│ 0,05 │ 0,15 │
│первоначально поглощенной │ │ │ │
│воды) │ │ │ │
└─────────────────────────────┴───────────┴────────────┴─────────┘
Приведенные в
таблице 1 термины соответствуют ISO 5725-2.
Для методов, установленных в настоящем стандарте, не определена характеристика повторяемости.
Не представляется возможным определить систематическую ошибку из-за отсутствия приемлемого материала для сравнения.
Примечание. Для получения широкого диапазона изменений измеряемой величины были отобраны соответствующие изделия. Для установления значительных отклонений измеряемой величины были выбраны условия испытания, соответствующие заданным.
Отчет об испытаниях должен содержать:
a) ссылку на настоящий стандарт;
b) идентификацию изделия:
1) наименование изделия, предприятия-изготовителя или поставщика;
2) код маркировки изделия;
3) вид изделия;
4) вид упаковки;
5) форму поставки изделия в лабораторию;
6) дополнительную информацию (если необходимо), например, номинальные размеры, номинальную плотность;
c) методику проведения испытания:
1) подготовку к испытанию и порядок отбора образцов, например, кто и в каком месте проводил отбор образцов;
2) условия кондиционирования образцов;
3) размеры образцов;
4) любые отклонения от требований, приведенных в
разделах 6 и
7;
5) дату проведения испытания;
6) общую информацию об испытании, включая ссылку на
метод A или
B и (если необходимо) значение первоначального водопоглощения;
7) обстоятельства, которые могли бы повлиять на результаты испытания.
Примечание. Сведения об оборудовании и о лаборанте, проводившем испытание, должны находиться в лаборатории, однако в отчете их не указывают;
d) результаты испытания: результат каждого отдельного испытания и среднеарифметическое значение водопоглощения.
(справочное)
СВЕДЕНИЯ О СООТВЕТСТВИИ МЕЖГОСУДАРСТВЕННЫХ СТАНДАРТОВ
ССЫЛОЧНЫМ МЕЖДУНАРОДНЫМ И ЕВРОПЕЙСКИМ
РЕГИОНАЛЬНЫМ СТАНДАРТАМ
Таблица ДА.1
┌────────────────────────────┬────────┬───────────────────────────────────┐
│ Обозначение и наименование │Степень │ Обозначение и наименование │
│ ссылочного международного, │соответ-│ соответствующего │
│ европейского регионального │ствия │ межгосударственного стандарта │
│ стандарта │ │ │
├────────────────────────────┼────────┼───────────────────────────────────┤
│Теплоизоляционные изделия, │ │теплоизоляционные, применяемые в │
│применяемые в строительстве.│ │строительстве. Метод измерения │
│Определение линейных разме- │ │линейных размеров образцов, │
│ров образцов для испытаний │ │предназначенных для испытаний │
├────────────────────────────┼────────┼───────────────────────────────────┤
ИС МЕГАНОРМ: примечание.
│ ISO 5725-2:1994 Точность │ IDT │ ГОСТ ИСО 5725-2-2003 Точность │
│(правильность и прецизион- │ │(правильность и прецизионность) │
│ность) методов и результатов│ │методов и результатов измерений. │
│измерений. Часть 2. Основной│ │Часть 2. Основной метод определения│
│метод определения повторяе- │ │повторяемости и воспроизводимости │
│мости и воспроизводимости │ │стандартного метода измерений │
│стандартного метода │ │ │
│измерений │ │ │
├────────────────────────────┴────────┴───────────────────────────────────┤
│ Примечание. В настоящей таблице использовано следующее условное│
│обозначение степени соответствия стандартов: │
│ IDT - идентичные стандарты. │
└─────────────────────────────────────────────────────────────────────────┘