Главная // Актуальные документы // ГОСТ (Государственный стандарт)СПРАВКА
Источник публикации
М.: Стандартинформ, 2016
Примечание к документу
Документ
введен в действие с 1 июля 2014 года.
Название документа
"ГОСТ 32060-2013. Межгосударственный стандарт. Битумы нефтяные. Определение кинематической вязкости"
(введен в действие Приказом Росстандарта от 14.08.2013 N 506-ст)
"ГОСТ 32060-2013. Межгосударственный стандарт. Битумы нефтяные. Определение кинематической вязкости"
(введен в действие Приказом Росстандарта от 14.08.2013 N 506-ст)
агентства по техническому
регулированию и метрологии
от 14 августа 2013 г. N 506-ст
МЕЖГОСУДАРСТВЕННЫЙ СТАНДАРТ
БИТУМЫ НЕФТЯНЫЕ
ОПРЕДЕЛЕНИЕ КИНЕМАТИЧЕСКОЙ ВЯЗКОСТИ
Bitumens. Determination of kinematic viscosity
ГОСТ 32060-2013
Дата введения
1 июля 2014 года
Цели, основные принципы и порядок проведения работ по межгосударственной стандартизации установлены
ГОСТ 1.0-92 "Межгосударственная система стандартизации. Основные положения" и
ГОСТ 1.2-2009 "Межгосударственная система стандартизации. Стандарты межгосударственные, правила и рекомендации по межгосударственной стандартизации. Правила разработки, принятия, применения, обновления и отмены"
1 ПОДГОТОВЛЕН Федеральным государственным унитарным предприятием "Всероссийский научно-исследовательский центр стандартизации, информации и сертификации сырья, материалов и веществ" (ФГУП "ВНИЦСМВ") на основе собственного аутентичного перевода на русский язык стандарта, указанного в
пункте 4
2 ВНЕСЕН Федеральным агентством по техническому регулированию и метрологии
3 ПРИНЯТ Межгосударственным советом по стандартизации, метрологии и сертификации (протокол от 25 марта 2013 г. N 55-П)
За принятие проголосовали:
Краткое наименование страны по МК (ИСО 3166) 004-97 | Код страны по МК (ИСО 3166) 004-97 | Сокращенное наименование национального органа по стандартизации |
Армения | AM | Минэкономики Республики Армения |
Беларусь | BY | Госстандарт Республики Беларусь |
Казахстан | KZ | Госстандарт Республики Казахстан |
Киргизия | KG | Кыргызстандарт |
Молдова | MD | Молдова-Стандарт |
Россия | RU | Росстандарт |
Таджикистан | TJ | Таджикстандарт |
Узбекистан | UZ | Узстандарт |
4 Настоящий стандарт идентичен стандарту ASTM D 2170-10 Standard test method for kinematic viscosity of asphalts (bitumens) (Стандартный метод определения кинематической вязкости битумов).
Перевод с английского языка (en).
Степень соответствия - идентичная (IDT).
Официальные экземпляры стандарта ASTM, на основе которого подготовлен настоящий межгосударственный стандарт, стандарты ASTM, на которые даны ссылки, имеются в Федеральном информационном фонде технических регламентов и стандартов.
Наименование настоящего стандарта изменено относительно наименования указанного стандарта для приведения в соответствие с ГОСТ 1.5-2001
(подраздел 3.6).
Сведения о соответствии межгосударственных стандартов ссылочным стандартам ASTM приведены в дополнительном
приложении ДА
5
Приказом Федерального агентства по техническому регулированию и метрологии от 14 августа 2013 г. N 506-ст межгосударственный стандарт ГОСТ 32060-2013 введен в действие в качестве национального стандарта Российской Федерации с 1 июля 2014 г.
6 ВВЕДЕН ВПЕРВЫЕ
7 ПЕРЕИЗДАНИЕ. Октябрь 2016 г.
Информация об изменениях к настоящему стандарту публикуется в ежегодно издаваемом информационном указателе "Национальные стандарты", а текст изменений и поправок - в ежемесячно издаваемом информационном указателе "Национальные стандарты". В случае пересмотра (замены) или отмены настоящего стандарта соответствующее уведомление будет опубликовано в ежемесячно издаваемом информационном указателе "Национальные стандарты". Соответствующая информация, уведомление и тексты размещаются также в информационной системе общего пользования - на официальном сайте Федерального агентства по техническому регулированию и метрологии в сети Интернет
1.1 Настоящий стандарт устанавливает метод определения кинематической вязкости жидких битумов, дорожных битумов и остатков перегонки жидких битумов при температуре 60 °C (140 °F) и битумного вяжущего вещества при 135 °C (275 °F) (см. примечание) в диапазоне от 6 до 100000 мм2/с (сСт).
1.2 Результаты настоящего метода могут быть использованы для расчета вязкости, когда плотность исследуемого материала при температуре испытаний известна или может быть определена. Метод расчета - см.
приложение А1.
Примечание - Настоящий метод можно использовать при других температурах и при более низкой кинематической вязкости, но точность основана на определении кинематической вязкости жидких битумов и дорожного масла при температуре 60 °C (140 °F) и битумного вяжущего вещества при 135 °C (275 °F) в диапазоне только от 30 до 6000 мм2/с (сСт).
1.3 Предупреждение - Ртуть по определению Организации по охране окружающей среды США (EPA) и многих других государственных учреждений является опасным веществом, которое вызывает повреждение центральной нервной системы, почек и печени. Ртуть и ее пары опасны для здоровья и оказывают коррозионное действие на материалы. Следует соблюдать осторожность при работе с ртутью и продуктами, содержащими ртуть. Для дополнительной информации - см. соответствующие паспорта безопасности материала (MSDS) и вебсайт EPA - http://www.epa.gov/mercury/faq.htm. Пользователи должны знать, что продажа ртути и продуктов, содержащих ртуть, запрещена в государстве по закону.
1.4 Значения, указанные в единицах СИ или дюймах-фунтах являются стандартными. Значения, указанные в каждой системе не могут быть точными эквивалентами; таким образом, каждая система должна использоваться независимо от других. Комбинирование значений из двух систем может привести к несоответствию стандарту.
1.5 В настоящем стандарте не предусмотрено рассмотрение всех вопросов обеспечения безопасности, связанных с его использованием. Пользователь настоящего стандарта несет ответственность за установление соответствующих правил по технике безопасности и охране здоровья, а также определяет целесообразность применения законодательных ограничений перед его использованием.
Для применения настоящего стандарта необходимы следующие ссылочные документы. Для недатированных ссылок применяют последнее издание ссылочного документа (включая все его изменения) <1>:
--------------------------------
<1> По вопросу стандартов ASTM следует посетить ASTM website, www.astm.org или обратиться к службе ASTM по работе с клиентами на service@astm.org. В томе ежегодного сборника стандартов ASTM - см. страницу ASTM Website standard's Document Summary.
ASTM C 670 Practice for preparing precision and bias statements for test methods for construction materials (Методика определения прецизионности и отклонения для методов испытаний конструкционных материалов)
ASTM D 92 Test method for flash and fire points by Cleveland open cup tester (Метод определения температуры вспышки и температуры воспламенения в открытом тигле Кливленда)
ASTM D 341 Practice for viscosity-temperature charts for liquid petroleum products (Методика построения диаграмм вязкость-температура для жидких нефтепродуктов)
ASTM D 445 Test method for kinematic viscosity of transparent and opaque liquids (and calculation of dynamic viscosity) [Метод определения кинематической вязкости прозрачных и непрозрачных жидкостей (и расчета динамической вязкости)]
ASTM D 446 Specifications and operating instructions for glass capillary kinematic viscometers (Технические требования и инструкции по эксплуатации стеклянных капиллярных кинематических вискозиметров)
ASTM D 2162 Practice for basic calibration of master viscometers and viscosity oil standards (Методика первичной калибровки эталонных вискозиметров и вязкости стандартных образцов масла)
ASTM D 2493 Standard viscosity-temperature chart for asphalts (Стандартная диаграмма вязкость-температура для битумов)
ASTM E 1 Specification for ASTM liquid-in-glass thermometers (Технические требования на стеклянные жидкостные термометры ASTM)
ASTM E 77 Test method for inspection and verification of thermometers (Метод контроля и поверки термометров)
3.1 В настоящем стандарте применены следующие термины с соответствующими определениями:
3.1.1 плотность (density): Масса жидкости в единице объема. Единицей измерения плотности в системе СИ является 1 кг/м3, в системе СГС (сантиметр-грамм-секунда) - 1 г/см3.
3.1.2 кинематическая вязкость (kinematic viscosity): Отношение вязкости жидкости к ее плотности. Кинематическая вязкость является мерой сопротивления потоку жидкости под действием силы тяжести. Единицей измерения кинематической вязкости в системе СИ является м2/с; для практического использования более удобна дольная единица - мм2/с. Единицей измерения кинематической вязкости в системе СГС является см2/с, которая называется стокс (Ст). Часто используют единицу сантистокс (сСт). 1 сантистокс (1 сСт = 10-2 Ст) равен 1 мм2/с.
3.1.3 ньютоновская жидкость (newtonian liquid): Жидкость, в которой скорость сдвига пропорциональна напряжению сдвига. Постоянное отношение напряжения сдвига к скорости сдвига является вязкостью ньютоновской жидкости. Жидкость является неньютоновской, если это отношение не является постоянной величиной.
3.1.4 вязкость (viscosity): Соотношение между приложенным напряжением сдвига и скоростью сдвига называется коэффициентом вязкости. Этот коэффициент является мерой сопротивления течению жидкости и называется вязкостью жидкости. В системе СГС единицей вязкости является 1 г/(см·с) (1 дин·с/см2) и называется пуаз (пз). Единицей вязкости в системе СИ является 1 Па·с (1 Н·с/м2), которая эквивалентна 10 пз.
4.1 Измеряют время протекания определенного объема жидкости через капилляр калиброванного стеклянного вискозиметра при точно воспроизводимой высоте столба жидкости и точно контролируемой температуре. Кинематическую вязкость рассчитывают путем умножения времени истечения в секундах на коэффициент калибровки вискозиметра.
5 Назначение и применение
5.1 Кинематическая вязкость характеризует текучесть жидкостей при определенной температуре. Метод используют для определения консистенции битума как одного из элементов при установлении однородности партий или источников поставок. В технической документации кинематическая вязкость регламентируется при значениях температуры 60 °C и 135 °C.
6.1 Вискозиметры капиллярного типа, изготовленные из боросиликатного отожженного стекла
Подходящие вискозиметры для настоящего метода, описанные в
приложении А2 следующие:
6.1.1 Вискозиметр Кэннона-Фенске для непрозрачных жидкостей.
6.1.2 Вискозиметр Цайтфукса с поперечным потоком.
6.1.3 Вискозиметр Ланца-Цайтфукса.
6.1.4 Модифицированный вискозиметр BS с U-образной трубкой и обратным потоком.
6.1.5 Калиброванные вискозиметры приобретают у специализированных поставщиков. Подробности, касающиеся калибровки вискозиметров, приведены в
приложении А3.
6.2 Термометры
Используют калиброванные стеклянные жидкостные термометры с точностью измерения после корректировки 0,02 °C (0,04 °F) или любые другие термометры такой же точности. Термометры ASTM для кинематической вязкости 47C и 47F по ASTM E 1 и термометры IP 35C и 35F применяют при температуре 60 °C (140 °F). Термометры ASTM для кинематической вязкости 110C и 110F применяют при температуре 135 °C (275 °F).
6.2.1 Указанные термометры поверяют на "полное погружение", что означает погружение термометра в верхнюю часть столба жидкости, при этом над поверхностью жидкости остаются столбик и расширительная камера в верхней части термометра, которая подвергается воздействию комнатной температуры. Погружение всего термометра не рекомендуется. При полном погружении термометров применяют корректировки для каждого отдельного термометра на основе калибровки в условиях полного погружения. Если термометр во время использования погружен в баню полностью, давление газа в расширительной камере будет выше или ниже, чем при калибровке, и может привести к завышенным или заниженным показаниям термометра. Термометрические устройства для настоящего метода испытаний поверяют не реже одного раза в полгода.
6.2.2 Важно, чтобы стеклянные жидкостные термометры были периодически откалиброваны с помощью метода, приведенного в ASTM E 77 (приложение X1).
Баня для погружения вискозиметра таким образом, чтобы жидкость резервуара или верхней части капилляра, в зависимости от того, что выше, была не менее чем на 20 мм ниже верхнего уровня бани. Конструкция бани должна обеспечивать возможность наблюдения за вискозиметром и термометром. Должны быть предусмотрены прочные крепления для вискозиметра либо вискозиметр может быть неотъемлемой частью бани. Эффективность перемешивания и баланс между потерями тепла и нагреванием должны быть такими, чтобы температура среды в бане не отличалась более чем на +/- 0,03 °C (+/- 0,05 °F) по длине вискозиметра или от одного вискозиметра до другого вискозиметра в различных положениях в бане при 60 °C (140 °F).
Примечание - Дистиллированная вода является подходящей жидкостью для бани при определении кинематической вязкости при температуре 60 °C (140 °F). Для определения при температуре 135 °C (275 °F) подходит белое масло USP с температурой вспышки выше 215 °C (420 °F). Температуру вспышки определяют по ASTM D 92.
6.4 Таймер
Секундомер или другое устройство для отсчета времени с ценой деления 0,1 с или менее, с точностью измерения до 0,05% при испытаниях с интервалами не менее 15 мин. Устройства для отсчета времени для настоящего метода испытаний должны быть откалиброваны не реже чем раз в полгода.
6.4.1 Электрические устройства для отсчета времени используют только с электрическими цепями, частоты которых контролируют с точностью до 0,05% или выше.
6.4.1.1 Переменные токи, частоты которых контролируют периодически, а не постоянно, как это предусмотрено некоторыми государственными энергетическими системами, приводят к серьезным ошибкам, особенно за короткие промежутки времени при запуске электрических устройств для отсчета времени.
7.1 Для сведения к минимуму потерь летучих компонентов и получения воспроизводимых результатов выполняют следующие действия.
7.1.1 Порядок действий с жидким дорожным битумом
7.1.1.1 Запечатанные образцы для испытаний выдерживают при комнатной температуре.
7.1.1.2 Открывают контейнер для пробы и тщательно перемешивают образец в течение 30 с, не допуская захвата пузырьков воздуха. Если образец слишком вязкий для такого перемешивания, помещают образец в плотно закрытом контейнере в баню или термостат при температуре (63 +/- 3) °C [(145 +/- 5) °F] и выдерживают до тех пор, пока он не станет достаточно жидким для перемешивания.
7.1.1.3 Немедленно наполняют вискозиметр либо, если испытание будет проведено позднее, наливают около 20 см3 в один или более чистые, сухие контейнеры вместимостью около 30 см3 и сразу же закрывают герметичной крышкой.
7.1.1.4 Для материалов с кинематической вязкостью при 60 °C (140 °F) выше 800 мм2/с (сСт) нагревают 20 см3 образца в закрытой посуде в термостате или бане при температуре (63 +/- 3) °C [(145 +/- 5) °F] и выдерживают до тех пор, пока он не станет достаточно жидким для удобного наполнения вискозиметра. Время нагревания не должно превышать 30 мин.
7.1.2 Порядок действий с битумным вяжущим веществом
7.1.2.1 Осторожно нагревают образец, не допуская локального перегрева, пока он не станет достаточно жидким для наливания, помешивая образец время от времени для улучшения теплообмена и обеспечения однородности.
7.1.2.2 Переносят не менее 20 см3 образца в подходящую емкость и нагревают до температуры (135,0 +/- 5,5) °C [(275 +/- 10) °F], периодически помешивая, чтобы предотвратить локальный перегрев, не допуская захвата воздуха.
8.1 Некоторые детали проведения испытаний для различных типов вискозиметров могут несколько отличаться друг от друга. Подробное описание вискозиметров с инструкциями по использованию приведено в
приложении А2. Но во всех случаях следуют общей процедуре, описанной в 8.2 -
8.8.
8.2 Поддерживают баню при температуре испытания с точностью до +/- 0,01 °C (+/- 0,02 °F).
Вводят необходимые поправки во все показания термометра, если таковые имеются.
8.3 Выбирают чистый, сухой вискозиметр, который обеспечивает время истечения более 60 с, и подогревают его до температуры испытания.
8.4 Наполняют вискозиметр в порядке, предусмотренном конструкцией прибора, как описано в
приложении А2.
8.5 Оставляют заполненный образцом вискозиметр в бане до достижения температуры испытания, как это предусмотрено в
приложении А2.
8.6 Дают битуму свободно протекать через капилляр в вискозиметре в соответствии с
приложением А2.
8.7 Измеряют с точностью до 0,1 с время, необходимое для перемещения переднего края мениска от первой метки до второй. Если это время истечения менее 60 с, выбирают вискозиметр с капилляром меньшего диаметра и повторяют операцию.
8.8 По завершении испытания тщательно чистят вискозиметр, несколько раз ополаскивают соответствующим растворителем, который полностью смешивается с образцом, а затем полностью испаряют растворитель. Сушат вискозиметр, пропуская медленный поток профильтрованного сухого воздуха через капилляр в течение 2 мин, пока последние следы растворителя не будут удалены. Вискозиметр также может быть очищен в печи для очистки стекла при температуре не более 500 °C (932 °F) с последующим промыванием дистиллированной водой, ацетоном без осадка и продуванием профильтрованным сухим воздухом. Если наблюдаются отложения, периодически чистят вискозиметр сильнокислым чистящим раствором для удаления органических отложений, тщательно промывают дистиллированной водой и ацетоном без осадка и сушат профильтрованным сухим воздухом.
Примечание - Очистка в печи может сжечь клей, который соединяет трубку вискозиметра с держателем.
8.8.1 Моющий раствор хромовой кислоты готовят при соблюдении обычных мер предосторожности добавлением 800 см3 концентрированной серной кислоты в раствор, содержащий 92 г бихромата натрия и 458 см3 воды. Можно использовать аналогичные доступные растворы серной кислоты. Можно использовать не содержащие хром растворы вместо содержащих хром чистящих растворов, чтобы избежать проблем с их утилизацией.
8.8.2 Не следует использовать щелочные растворы для очистки стекла, которые могут привести к изменению калибровки вискозиметра.
9.1 Рассчитывают кинематическую вязкость

, см
2/с точностью до трех десятичных знаков по следующей формуле

(1)
где C - калибровочная постоянная вискозиметра, мм2/с2 (сСт/с);
t - время истечения, с.
Примечание - В сочетании с результатами, определенными в соответствии с настоящим методом испытаний, можно использовать другие стандарты ASTM по вязкости: ASTM D 445, ASTM D 341, ASTM D 2493 и ASTM D 446.
10.1 В отчете наряду с результатом испытания всегда регистрируют температуру испытания, например:
Кинематическая вязкость при 60 °C = 75,6 мм2/с (сСт).
11 Прецизионность и отклонение
11.1 Критерии для оценки приемлемости результатов определения вязкости, полученные по настоящему методу испытаний, приведены в таблице 1.
Таблица 1
Приемлемость результатов определения
кинематической вязкости
Материал и тип показателя | Коэффициент вариации, % от среднего <A> | Диапазон приемлемых значений, % от среднего <A> |
Повторяемость | |
Битумное вяжущее вещество при 135 °C (275 °F) | 0,64 | 1,80 |
Жидкий битум при 60 °C (140 °F): | | |
до 3000 мм2/с (сСт) | 0,53 | 1,50 |
от 3000 до 6000 мм2/с (сСт) включ. | 0,71 | 2,00 |
св. 6000 мм2/с (сСт) | 3,20 | 8,90 |
Воспроизводимость | |
Битумное вяжущее вещество при 135 °C (275 °F) | 3,10 | 8,80 |
Жидкий битум при 60 °C (140 °F): | | |
до 3000 мм2/с (сСт) | 1,06 | 3,00 |
от 3000 до 6000 мм2/с (сСт) <B> включ. | 3,11 | 9,00 |
св. 6000 мм2/с (сСт) <B> | 3,60 | 10,00 |
<A> Эти значения представляют соответственно пределы (1s%) и (d2s%), описанные в ASTM C 670. <B> Основано на числе степеней свободы менее 30. Примечание - Значения, приведенные в графе 2, являются значениями коэффициента вариации, которые были признаны подходящими для материалов и условий испытаний по графе 1. Значения, приведенные в графе 3, являются ограничениями, которые не должны превысить расхождение между результатами двух правильно проведенных испытаний. |
11.2 Отклонение настоящего метода испытаний не может быть определено из-за отсутствия стандартного образца.
(обязательное)
РАСЧЕТ ВЯЗКОСТИ НЬЮТОНОВСКОЙ ЖИДКОСТИ
А1.1 Вязкость ньютоновской жидкости рассчитывают путем умножения кинематической вязкости на плотность жидкости при температуре испытания.
А1.2 Для дорожных битумов плотность при температуре 135 °C (275 °F) следует определять путем умножения относительной плотности при 25 °C/25 °C (77 °F/77 °F) на коэффициент 0,934 г/см3 или путем умножения относительной плотности при 15,5 °C/15,5 °C (60 °F/60 °F) на коэффициент 0,931 г/см3. Эти коэффициенты основаны на среднем коэффициенте расширения для битумного вяжущего вещества, равном 0,00061/°C (0,00034/°F).
А1.3 Если относительная плотность битума неизвестна, точно определить вязкость при 135 °C (275 °F) можно путем умножения кинематической вязкости при 135 °C (275 °F) на предполагаемую плотность, равную 0,948 г/см3. Это значение плотности эквивалентно относительной плотности, равной 1,015 при 25 °C/25 °C (77 °F/77 °F). Испытания большого количества образцов битума свидетельствуют о том, что ошибка, вносимая этой предполагаемой плотностью, не превысит +/- 3%.
(обязательное)
ВИСКОЗИМЕТРЫ ОБРАТНОГО ПОТОКА
А2.1 Область применения
А2.1.1 Вискозиметры обратного потока для прозрачных и непрозрачных жидкостей включают вискозиметры Кэннона-Фенске для непрозрачных жидкостей <1>, Цайтфукса с поперечным потоком
<2>, BS/IP/RF и Ланца-Цайтфукса. В этих вискозиметрах, в отличие от модифицированного вискозиметра Оствальда и вискозиметра с висячим уровнем, образец жидкости течет в шарике для определения времени, который ранее не был смочен образцом, позволяя тем самым засекать время истечения жидкостей, тонкие пленки которых непрозрачны. Вискозиметры обратного потока используют для измерения кинематической вязкости непрозрачных и прозрачных жидкостей до 100000 мм
2/с (сСт).
--------------------------------
<1> Кэннон М.Р. и Фенске М.Р., "Измерение вязкости. Непрозрачные жидкости", Промышленная и инженерная химия, Аналитическое издание, том 13, 1941, с. 2910.
<2> Цайтфукс Е.Г., "Кинематический вискозиметр для непрозрачных и очень вязких жидкостей", журнал "Нефть и газ", том 44, N 36, 1946, с. 98.
А2.2 Аппаратура
А2.2.1 Подробные чертежи, размеры, приближенные константы, диапазоны кинематической вязкости, диаметры капилляров и объемы шариков для каждого вискозиметра обратного потока приведены на
рисунках А2.1 -
А2.4. Диапазон кинематической вязкости основан на минимальном времени истечения этого метода, равном 60 с; также похожие вискозиметры описаны в ASTM D 446 с другим диапазоном вязкости на основе минимального времени истечения, равного 60 с, как установлено в ASTM D 445. Длина верхней трубки K, L, M и N на
рисунках А2.1 -
А2.4 может быть увеличена (или уменьшена), чтобы соответствовать требованиям погружения по
6.3 настоящего стандарта.
Размеры и диапазоны кинематической вязкости
N размера | Приближенная постоянная, мм2/с (сСт/с) | Диапазон кинематической вязкости, мм2/с (сСт) | Внутренний диаметр трубки R, мм (+/- 2%) | Внутренний диаметр трубок N, G, E, F и I, мм (+/- 5%) | Объем шариков A, C и J, см3 (+/- 5%) | Объем шарика D, см3 (+/- 5%) |
200 | 0,10 | От 6 до 100 включ. | 1,02 | 3,2 | 2,1 | 11 |
300 | 0,25 | От 15 до 250 включ. | 1,26 | 3,4 | 2,1 | 11 |
350 | 0,50 | От 30 до 500 включ. | 1,48 | 3,4 | 2,1 | 11 |
400 | 1,2 | От 72 до 1200 включ. | 1,88 | 3,4 | 2,1 | 11 |
450 | 2,5 | От 150 до 2500 включ. | 2,20 | 3,7 | 2,1 | 11 |
500 | 8 | От 480 до 8000 включ. | 3,10 | 4,0 | 2,1 | 11 |
600 | 20 | От 1200 до 20000 включ. | 4,00 | 4,7 | 2,1 | 13 |
Рисунок А2.1 - Непрозрачный вискозиметр Кэннона-Фенске
для прозрачных и непрозрачных жидкостей
Размеры и диапазоны кинематической вязкости
N размера | Приближенная постоянная, мм2/с (сСт/с) | Диапазон кинематической вязкости, мм2/с (сСт) | Внутренний диаметр трубки R, мм (+/- 2%) | Длина трубки R, мм (+/- 2%) | Объем нижнего шарика, см3 (+/- 5%) | Диаметр горизонтальной трубки, мм (+/- 5%) |
4 | 0,10 | От 6 до 100 включ. | 0,64 | 210 | 0,3 | 3,9 |
5 | 0,30 | От 18 до 300 включ. | 0,84 | 210 | 0,3 | 3,9 |
6 | 1,00 | От 60 до 1000 включ. | 1,15 | 210 | 0,3 | 4,3 |
7 | 3,00 | От 180 до 3000 включ. | 1,42 | 210 | 0,3 | 4,3 |
8 | 10,00 | От 600 до 10000 включ. | 1,93 | 165 | 0,25 | 4,3 |
9 | 30,00 | От 1800 до 30000 включ. | 2,52 | 165 | 0,25 | 4,3 |
10 | 100,00 | От 6000 до 100000 включ. | 3,06 | 165 | 0,25 | 4,3 |
Рисунок А2.2 - Вискозиметр Цайтфукса с поперечным потоком
для прозрачных и непрозрачных жидкостей
Размеры и диапазоны кинематической вязкости
N размера | Приближенная постоянная, мм2/с (сСт/с) | Диапазон кинематической вязкости, мм2/с (сСт) | Внутренний диаметр трубки R, мм (+/- 2%) | Длина трубки R, мм (+/- 2%) | Объем шарика C, см3 (+/- 5%) |
5 | 0,3 | От 18 до 300 включ. | 1,65 | 490 | 2,7 |
6 | 1,0 | От 60 до 1000 включ. | 2,25 | 490 | 2,7 |
7 | 3,0 | От 180 до 3000 включ. | 3,00 | 490 | 2,7 |
8 | 10,0 | От 600 до 10000 включ. | 4,10 | 490 | 2,7 |
9 | 30,0 | От 1800 до 30000 включ. | 5,20 | 490 | 2,7 |
10 | 100,0 | От 6000 до 100000 включ. | 5,20 | 490 | 0,85 |
Рисунок А2.3 - Вискозиметр Ланца-Цайтфукса
для непрозрачных жидкостей
Размеры и диапазоны кинематической вязкости
N размера | Приближенная постоянная, мм2/с [сСт/с] | Диапазон кинематической вязкости, мм2/с [сСт] | Внутренний диаметр трубки R, мм (+/- 2%) | Длина трубки R, мм (+/- 2%) | Внутренний диаметр E, F и G, мм (+/- 2%) | Объем шарика C, см3 (+/- 5%) |
4 | 0,1 | От 6 до 100 включ. | 1,26 | 185 | От 3,0 до 3,3 | 4,0 |
5 | 0,3 | От 18 до 300 включ. | 1,64 | 185 | От 3,0 до 3,3 | 4,0 |
6 | 1,0 | От 60 до 1000 включ. | 2,24 | 185 | От 3,0 до 3,3 | 4,0 |
7 | 3,0 | От 180 до 3000 включ. | 2,93 | 185 | От 3,3 до 3,6 | 4,0 |
8 | 10,0 | От 600 до 10000 включ. | 4,00 | 185 | От 4,4 до 4,8 | 4,0 |
9 | 30,0 | От 1800 до 30000 включ. | 5,50 | 185 | От 6,0 до 6,7 | 4,0 |
10 | 100,0 | От 6000 до 100000 включ. | 7,70 | 210 | 7,70 | 4,0 |
11 | 300,0 | От 18000 до 300000 включ. | 10,00 | 210 | 10,00 | 4,0 |
Рисунок А2.4 - U-образный вискозиметр BS/IP/RF
для непрозрачных жидкостей
А2.3 Инструкции по эксплуатации
А2.3.1 Стандартная инструкция по эксплуатации содержится в
разделе 7 настоящего стандарта. Дополнительные инструкции по эксплуатации вискозиметров с противотоком изложены в А2.3.2 -
А2.3.8 с акцентом на детали, которые являются специфическими для конкретного прибора или группы приборов.
А2.3.2 Выбирают чистый, сухой вискозиметр с временем истечения более 60 с.
А2.3.3 Наполняют вискозиметр в порядке, соответствующем конструкции прибора. Эту операцию проводят в соответствии с той, которая использовалась при калибровке прибора. Если образец может содержать какие-либо волокна, твердые частицы и т.п., его фильтруют в соответствии с ASTM D 445.
А2.3.3.1 Чтобы наполнить вискозиметр Кэннона-Фенске для непрозрачных жидкостей, переворачивают вискозиметр и присоединяют небольшой вакуум к трубке L, погружая трубку N в жидкий образец. Всасывают жидкость через трубку N, заполняя шарик D до отметки G. Стирают образец с трубки N и переворачивают вискозиметр в нормальное положение. Устанавливают вискозиметр в баню с постоянной температурой, держа трубку L в вертикальном положении. Когда образец проходит по капилляру R и наполняет шарик A примерно наполовину, прерывают течение образца, затыкая пробкой трубку L.
А2.3.3.2 Устанавливают вискозиметр Цайтфукса с поперечным потоком в баню с постоянной температурой, держа трубку N в вертикальном положении. Вводят образец через трубку N, стараясь не мочить внешнюю поверхность трубки N, в поперечную трубку D, пока передний край жидкости не остановится в пределах 0,5 мм от отметки G на сифонной трубке.
Примечание - Объем испытуемого образца зависит от расположения отметки наполнения G. Когда время истечения нижнего мениска измеряют между отметками засекания времени E и F, верхний мениск должен быть в горизонтальной поперечной трубке D, в результате чего определяют критическое положение отметки наполнения G.
А2.3.3.3 Устанавливают вискозиметр Ланца-Цайтфукса в баню с постоянной температурой, держа трубку N в вертикальном положении. Вводят достаточное количество образца через трубку N, чтобы полностью заполнить шарик D и немного наполнить вышерасположенный шарик K. Если образец наливают при температуре выше температуры испытания, ждут 15 мин, чтобы образец в вискозиметре достиг температуры бани и добавляют еще образца, чтобы немного наполнить шарик K. Этот 15-минутный период является частью, а не дополнением ко времени уравновешивания по
А2.3.4.
А2.3.3.4 Устанавливают вискозиметр BS/IP/RF в баню с постоянной температурой, держа трубку L в вертикальном положении. Наливают образец через трубку N до точки чуть выше отметки заполнения G; позволяют образцу свободно течь через капилляр R, следя за тем, чтобы столб жидкости оставался целым, пока нижний мениск не будет на расстоянии около 5 мм ниже отметки заполнения H. Затем прерывают течение жидкости, закрывая пробкой трубку для измерения времени или резиновой пробкой трубку L. Добавляют еще жидкости, если необходимо поднять верхний мениск чуть выше отметки G. После того как образец достигнет температуры бани (А2.3.4) и все пузырьки воздуха поднимутся на поверхность, слегка ослабляют пробку, позволяют образцу стечь до нижней отметки заполнения H и затем снова прерывают течение. Удаляют избыток образца выше отметки заполнения G, вставив специальную пипетку, пока ее пробка не ляжет на верхнюю часть трубки N; аккуратно высасывают воздух. Верхний мениск должен совпадать с отметкой G.
А2.3.4 Оставляют вискозиметр в бане с постоянной температурой на достаточное время, чтобы образец достиг температурного равновесия (от 10 от 30 мин).
А2.3.5 Из вискозиметров Кэннона-Фенске и BS/IP/RF вынимают пробку в трубках N и L соответственно и позволяют образцу течь под действием силы тяжести. Применяют небольшой вакуум к трубке M вискозиметра Цайтфукса с поперечным потоком (или давление к трубке N), чтобы заставить мениск двигаться по сифонной трубке и на расстояние около 30 мм ниже уровня трубки D в капилляре R; таким образом инициируют течение под действием силы тяжести. Применяют небольшой вакуум к трубке M (или давление к трубке N с закрытой трубкой K) вискозиметра Ланца-Цайтфукса, пока нижний мениск не будет находиться напротив нижней отметки засечки времени E, и позволяют образцу течь под действием силы тяжести.
А2.3.6 Измеряют с точностью до 0,1 с время, необходимое верхнему краю мениска, чтобы перейти от отметки засекания времени E до отметки засекания времени F, как описано в
разделе 8 настоящего стандарта.
А2.3.7 Рассчитывают вязкость в соответствии с
разделом 9 настоящего стандарта.
А2.3.8 Чистят вискозиметр по
8.8.
(обязательное)
А3.1 Область применения
А3.1.1 Настоящее приложение распространяется на материалы и процедуры, используемые для калибровки или проверки калибровки вискозиметров, используемых в настоящем методе.
А3.2 Стандартные образцы
А3.2.1 Стандартные образцы вязкости масла, соответствующие стандартным образцам вязкости масла ASTM, с приблизительной кинематической вязкостью приведены в таблице А3.1. Установлены аттестованные значения кинематической вязкости для каждого образца.
Таблица А3.1
Стандартные образцы вязкости масла
Стандартный образец вязкости масла, соответствующий стандартам ASTM | Приблизительная кинематическая вязкость, мм2/м (сСт), при температуре |
40 °C (104 °F) | 50 °C (122 °F) | 100 °C (212 °F) |
S 60 | 54 | 35 | 7,5 |
S 200 | 180 | 110 | 20 |
S 600 | 520 | 310 | 50 |
S 2000 | 1600 | 800 | 72 |
S 8000 | 6700 | 3200 | 240 |
S 30000 | 23000 | 11000 | 630 |
А3.3 Калибровка
А3.3.1 Калибровка вискозиметра для ежедневных испытаний с помощью жидких стандартов вязкости
Выбирают из
таблицы 1 настоящего стандарта жидкий стандартный образец, имеющий минимальное время истечения 200 с при температуре калибровки [желательно 37,8 °C (100 °F)]. Определяют время истечения с точностью до 0,1 с с помощью методики, описанной в
разделе 8 настоящего стандарта, и вычисляют постоянную вискозиметра
C по следующей формуле

(А3.1)
где

- вязкость жидкого стандартного образца, мм
2/с (сСт);
t - время истечения, с.
А3.3.2 Константа вискозиметра не зависит от температуры для вискозиметров Цайтфукса с поперечным током, Ланца-Цайтфукса и U-образного вискозиметра BS/IP/RF.
А3.3.3 Вискозиметр Кэннона-Фенске для непрозрачных жидкостей имеет фиксированный объем образца, залитого при температуре заполнения. Если температура испытания отличается от температуры заполнения, постоянную вискозиметра рассчитывают по следующей формуле
Ct = C0[1 + F(Tt - Tf)], (А3.2)
где C0 - константа вискозиметра, определенная при равных температурах испытания и заполнения;
F - коэффициент температурной зависимости (А3.3.4);
T - температура;
t, f - нижние индексы, обозначающие значения при температуре испытания и температуре заполнения соответственно.
А3.3.4 Коэффициент температурной зависимости вычисляют по следующей формуле

(А3.3)
где

- коэффициент теплового расширения образца от температуры заполнения до температуры испытания;
V - объем образца в вискозиметре, см3;
d - средний диаметр мениска в верхнем резервуаре, см;
h - средняя высота столба жидкости, см;

- плотность, г/см
3;
t,
f - нижние индексы - см.
А.3.3.3.
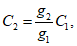
А.3.3.5 Если вискозиметр используют в местах, отличных от калибрующей лаборатории, постоянная C должна быть скорректирована по разнице ускорения свободного падения g в двух местах по следующей формуле

(А3.4)
где C2 - калибровочная постоянная в испытательной лаборатории, мм2/с2, (сСт/с);
g2 - значение ускорения свободного падения в испытательной лаборатории, м/с2;
g1 - значение ускорения свободного падения в калибрующей лаборатории, м/с2;
C1 - калибровочная постоянная в калибрующей лаборатории, мм2/с2, (сСт/с).
Сертификаты вискозиметров должны содержать значение g в месте нахождения калибрующей лаборатории. Отсутствие корректировки на ускорение свободного падения может привести к ошибкам, равным 0,2%.
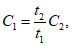
А.3.3.6 Калибровка вискозиметра для ежедневных испытаний с помощью эталонного вискозиметра
Выбирают любое нефтяное масло, имеющее время истечения не менее 200 с, и эталонный вискозиметр с известной постоянной C. Этот вискозиметр может быть эталонным вискозиметром, который был откалиброван с помощью методики "пошагового увеличения" с использованием вискозиметров последовательно больших диаметров, начиная с дистиллированной воды при базовом стандарте вязкости (см. ASTM D 2162). Либо это может быть вискозиметр для каждодневных испытаний того же типа, откалиброванный с помощью эталонного вискозиметра. Калиброванные вискозиметры можно получить у ряда коммерческих поставщиков.
А.3.3.6.1 Устанавливают стандартный вискозиметр вместе с вискозиметром, который должен быть откалиброван, в одну баню и определяют время истечения масла по методике, описанной в
разделе 8 настоящего стандарта.
А.3.3.6.2 Рассчитывают постоянную C по следующей формуле

(А3.5)
где C1 - константа калибруемого вискозиметра, мм2/с2;
t2 - время истечения с точностью до 0,1 с стандартного вискозиметра, с;
t1 - время истечения с точностью до 0,1 с калибруемого вискозиметра, с;
C2 - константа стандартного вискозиметра, мм2/с2.
(справочное)
ОПРЕДЕЛЕНИЕ ТОЧКИ ЗАМЕРЗАНИЯ ЖИДКОСТИ И ПОВТОРНАЯ
КАЛИБРОВКА СТЕКЛЯННЫХ ЖИДКОСТНЫХ ТЕРМОМЕТРОВ
КИНЕМАТИЧЕСКОЙ ВЯЗКОСТИ
X1.1 Для достижения точности до +/- 0,02 °C (+/- 0,04 °F) калиброванных стеклянных жидкостных термометров кинематической вязкости требуется проверять точку замерзания жидкости и вводить поправки в наблюдаемую точку замерзания жидкости. Рекомендуется проводить проверку каждые шесть месяцев; для новых термометров проверку проводят ежемесячно в течение первых шести месяцев.
X1.2 Подробная методика измерения точки замерзания жидкости и повторной калибровки термометров описана в ASTM E 77, пункт 6.5. Этот пункт описывает методику для ртутного стеклянного термометра кинематической вязкости и не распространяется на другие термометры.
X1.2.1 Показания точки замерзания жидкости жидкостных стеклянных термометров кинематической вязкости следует снимать через 60 мин после того, как термометр находился не менее 3 мин при температуре испытания. Показания точки замерзания жидкости определяют с точностью до 0,01 °C (0,02 °F).
X1.2.2 Выбирают чистые кусочки льда, желательно из дистиллированной или чистой воды. Не используют любые мутные или дефектные куски. Промывают лед дистиллированной водой и колют на мелкие кусочки, избегая прямого контакта с руками или химически нечистыми объектами. Заполняют сосуд Дьюара колотым льдом и добавляют в достаточном количестве дистиллированную и желательно охлажденную воду до образования талого снега, но так, чтобы лед не плавал. Как только лед растает, сливают часть воды и добавляют еще колотого льда. Вставляют термометр в лед, аккуратно обкладывая корпус на глубину примерно одного деления шкалы ниже 0 °C (32 °F) градуировки. Возможно потребуется докладывать лед вокруг термометра из-за его таяния.
X1.2.3 Минимум через 3 мин аккуратно вынимают корпус и снимают показания. Последовательные показания, снятые не менее чем через 1 мин, должны различаться не более чем на одну десятую деления.
X1.2.4 Записывают температуру точки замерзания жидкости и сравнивают ее с предыдущими показаниями. Если показание термометра оказывается выше или ниже, чем показания предыдущей калибровки, показания термометра при всех других температурах будут соответственно увеличенными или уменьшенными.
X1.2.5 Методику определения точки замерзания жидкости, приведенную в
X1.1 - X1.2.4, используют для повторной калибровки жидкостных стеклянных термометров кинематической вязкости, и не требуется проводить новую полную калибровку термометра для достижения точности, характерной такой конструкции термометра.
X1.3 Рекомендуется хранить термометры кинематической вязкости в вертикальном положении, чтобы избежать разделения столба жидкости.
X1.4 Рекомендуется, чтобы показания термометров кинематической вязкости были считаны до ближайшей 1/5 деления с использованием соответствующих увеличений. Поскольку эти термометры, как правило, применяют в банях для определения кинематической вязкости (которые имеют обзорное окошко в передней стенке), для снятия показаний термометра его погружают в жидкость так, чтобы верхняя часть столба жидкости находилась на расстоянии от 5 до 15 мм ниже поверхности жидкости бани. Расширительная камера в верхней части термометра должна находиться при постоянной температуре. Если расширительная камера находится при повышенной или пониженной температуре относительно температуры окружающей среды, может произойти значительная ошибка. Эта ошибка может составлять одно-два деления шкалы. Можно использовать увеличительное стекло, подобное используемому для чтения книг, для обеспечения снятий показаний до 1/5 деления.
(справочное)
СВЕДЕНИЯ О СООТВЕТСТВИИ МЕЖГОСУДАРСТВЕННЫХ
СТАНДАРТОВ ССЫЛОЧНЫМ СТАНДАРТАМ
Таблица ДА.1
Обозначение и наименование ссылочного стандарта | Степень соответствия | Обозначение и наименование межгосударственного стандарта |
ASTM C 670-10 Методика определения прецизионности и отклонения для методов испытаний конструкционных материалов | - | |
ASTM D 92-10 Метод определения температуры вспышки и температуры воспламенения в открытом тигле Кливленда | - | |
ASTM D 341-09 Методика построения диаграмм вязкость-температура для жидких нефтепродуктов | - | |
ASTM D 445-11 Метод определения кинематической вязкости прозрачных и непрозрачных жидкостей (и расчета динамической вязкости) | - | |
ASTM D 446-07 Технические требования и инструкции по эксплуатации стеклянных капиллярных кинематических вискозиметров | - | |
ASTM D 2162-13 Методика первичной калибровки эталонных вискозиметров и вязкости стандартных образцов масла | - | |
ASTM D 2493-09 Стандартная диаграмма вязкость-температура для битумов | - | |
ASTM E 1-07 Технические требования на стеклянные жидкостные термометры ASTM | - | |
ASTM E 77-07 Метод контроля и поверки термометров | - | |
<*> Соответствующий межгосударственный стандарт отсутствует. До его утверждения рекомендуется использовать перевод на русский язык данного стандарта. Перевод данного стандарта находится в Федеральном информационном фонде технических регламентов и стандартов. |