Главная // Актуальные документы // ГОСТ (Государственный стандарт)СПРАВКА
Источник публикации
М.: Издательство стандартов, 1994
Примечание к документу
Документ утратил силу с 01.06.2023 в связи с изданием Приказа Росстандарта от 22.08.2022 N 800-ст. Взамен введен в действие
ГОСТ 30028.3-2022.
С 1 июля 2003 года до вступления в силу технических регламентов акты федеральных органов исполнительной власти в сфере технического регулирования носят рекомендательный характер и подлежат обязательному исполнению только в части, соответствующей целям, указанным в
пункте 1 статьи 46 Федерального закона от 27.12.2002 N 184-ФЗ.
Документ
введен в действие с 01.01.1995.
Название документа
"ГОСТ 30028.3-93. Межгосударственный стандарт. Средства защитные для древесины. Экспресс-метод испытания огнезащищающей способности"
(принят Межгосударственным советом по стандартизации, метрологии и сертификации 21.10.1993)
"ГОСТ 30028.3-93. Межгосударственный стандарт. Средства защитные для древесины. Экспресс-метод испытания огнезащищающей способности"
(принят Межгосударственным советом по стандартизации, метрологии и сертификации 21.10.1993)
Межгосударственным советом
по стандартизации, метрологии
и сертификации
21 октября 1993 года
МЕЖГОСУДАРСТВЕННЫЙ СТАНДАРТ
СРЕДСТВА ЗАЩИТНЫЕ ДЛЯ ДРЕВЕСИНЫ
ЭКСПРЕСС-МЕТОД ИСПЫТАНИЯ ОГНЕЗАЩИЩАЮЩЕЙ СПОСОБНОСТИ
Wood-protecting preparations. Express-method testing
inflammable protective ability
ГОСТ 30028.3-93
Группа Л19
ОКСТУ 5309
Дата введения
1 января 1995 года
1. Разработан Российской Федерацией ТК 82 "Защита древесины и древесных материалов".
Внесен Техническим секретариатом Межгосударственного совета по стандартизации, метрологии и сертификации.
2. Принят Межгосударственным советом по стандартизации, метрологии и сертификации 21 октября 1993 г.
За принятие стандарта проголосовали:
Наименование государства | Наименование национального органа по стандартизации |
Республика Беларусь | Белстандарт |
Республика Казахстан | Казглавстандарт |
Российская Федерация | Госстандарт России |
Украина | Госстандарт Украины |
3. Введен впервые.
Настоящий стандарт устанавливает экспресс-метод испытания огнезащищающей способности защитных средств для древесины.
Метод предназначен для исследовательских целей.
В настоящем стандарте использованы ссылки на следующие стандарты:
ГОСТ 2140-81 Видимые пороки древесины. Классификация, термины и определения, способы измерения
ГОСТ 12026-76 Бумага фильтровальная лабораторная. Технические условия
ГОСТ 24104-88 Весы лабораторные общего назначения и образцовые. Общие технические условия
Метод заключается в определении потери массы и продолжительности самостоятельного горения пламенем и тлением образцов древесины, пропитанных защитными средствами, при огневом испытании.
4.1. Испытания проводят на образцах, изготовляемых из прямослойной воздушно-сухой древесины заболони сосны с плотностью 0,45 - 0,55 г/см3. Древесина не должна иметь видимых пороков по
ГОСТ 2140.
4.2. Образцы древесины имеют размеры 15 x 15 x 6 мм (последний размер вдоль волокон).
Отклонения размеров образцов не должны превышать +/- 0,5 мм.
4.3. Отбор и подготовку проб проводят в соответствии с требованиями стандартов на защитные средства конкретных видов.
4.4. Защитное средство испытывают не менее чем при пяти поглощениях. Рекомендуемыми являются поглощения 5; 10; 20; 40; 80 кг/м3.
5. АППАРАТУРА И МАТЕРИАЛЫ
Установка для пропитки образцов (рисунок 1).
1 - образцы древесины; 2 - пропиточный сосуд; 3 - сетка;
4 - противовсплывное устройство; 5 - пробка; 6, 7 - краны;
8 - сосуд с раствором испытуемого защитного средства;
9 - вакуумметр; 10 - вакуумный насос
Весы лабораторные по ГОСТ 24104 с погрешностью взвешивания не более 0,02 г.
Весы лабораторные по ГОСТ 24104 с погрешностью взвешивания не более 0,005 г.
1 - труба из кварцевого стекла с внутренним диаметром
90 мм, толщиной стенки 5 мм и длиной 800 мм; 2 - образец
древесины; 3 - игла для крепления образца; 4 - держатель
иглы; 5 - зеркало; 6 - штатив; 7 - заслонка; 8 - устройство
для поджигания; 9 - шланг с зажимом; 10 - емкость для спирта
Секундомер с ценой деления: секундной шкалы - 0,2 с; минутной шкалы - 1,0 мин.
Эксикатор с осушающим веществом.
Бюксы металлические с крышкой вместимостью 50 см3.
Шило.
Чашки Петри.
Сетка металлическая или из нержавеющего материала.
Противовсплывное устройство (груз).
Спирт денатурированный.
Органический растворитель.
6.1. Образцы древесины перед пропиткой маркируют и кондиционируют при температуре (20 +/- 2) °C и относительной влажности воздуха (65 +/- 2)% до достижения ими равновесной влажности. Перед пропиткой образцы взвешивают с погрешностью не более 0,005 г.
На всех стадиях испытания, кроме
6.4, взвешивают каждый образец.
6.2. Растворы защитных средств готовят весовым или весообъемным способом. В качестве растворителя используют, в зависимости от вида защитного средства, дистиллированную воду или органические растворители.
6.3. Испытание по каждому заданному поглощению проводят не менее чем три раза на десяти образцах.
6.4. Для расчета концентрации защитного средства в растворе определяют пропиточную емкость древесины. Пропиточную емкость образцов, изготовленных для испытаний, определяют по растворителю не менее чем три раза на десяти образцах.
Пропиточную емкость образцов в одном испытании P в килограммах на кубический метр вычисляют по формуле

, (1)
где m - масса образца древесины до пропитки, г;

- масса образца древесины после пропитки, г;
V - объем образца древесины, см3.
По значению пропиточной емкости образцов древесины в одном испытании вычисляют среднюю пропиточную емкость

для всех испытаний по формуле

, (2)
где

,

, ...,

- пропиточные емкости образцов древесины в одном испытании, кг/м3;
n - количество испытаний.
Пропиточные емкости образцов древесины в одном испытании не должны отличаться от средней пропиточной емкости образцов для всех испытаний более чем на 10%.
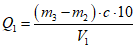
6.5. Концентрацию защитного средства в пропиточном растворе c в процентах вычисляют по формуле

, (3)
где Q - заданное поглощение защитного средства, кг/м3.
6.6. Пропитку образцов древесины осуществляют по способу вакуум - атмосферное давление в установке для пропитки
(рисунок 1) с начальным вакуумом не менее 0,09 МПа, продолжительностью (15 +/- 1) мин и продолжительностью выдержки в растворе защитного средства при атмосферном давлении (30 +/- 1) мин.
6.7. Образцы древесины 1
(рисунок 1) помещают в пропиточный сосуд 2. Поверх образцов помещают сетку 3 и противовсплывное устройство (груз) 4.
Пропиточный сосуд закрывают пробкой 5. Закрывают кран 6, открывают кран 7 и включают вакуумный насос 10. По достижении требуемого значения вакуума, контролируемого по вакуумметру 9, выдерживают образцы древесины под вакуумом в течение установленного времени, после чего открывают кран 6. В пропиточный сосуд засасывается под действием вакуума из сосуда 8 раствор испытуемого защитного средства. Отключают вакуумный насос, закрывают кран 7 и выдерживают образцы древесины в растворе при атмосферном давлении в течение установленного времени. По окончании пропитки образцы древесины вынимают из пропиточного сосуда, осушают их поверхность фильтровальной бумагой и сразу взвешивают с погрешностью не более 0,005 г.
6.8 Поглощение защитного средства

в килограммах на кубический метр вычисляют по формуле

, (4)
где

- масса образца древесины до пропитки, г;

- масса образца древесины после пропитки, г;

- объем образца древесины, см3;
c - концентрация раствора защитного средства, %.
Допустимые отклонения поглощения защитного средства образцами не должны превышать +/- 10% заданного.
6.9. Взвешенные образцы древесины укладывают на ребро в открытые чашки Петри и выдерживают в течение двух - трех дней при температуре (20 +/- 2) °C и относительной влажности воздуха (65 +/- 2)%, после чего их помещают на 14 дней в эксикатор с насыщенным раствором осушающего вещества, обеспечивающего достижение влажности непропитанных образцов (9 +/- 2)%.
6.10. Испытания проводят в вытяжном шкафу при естественной тяге в установке для сжигания
(рисунок 2).
6.11. Образец древесины помещают в предварительно взвешенную бюксу и взвешивают с погрешностью не более 0,02 г.
Образец древесины вынимают из бюксы, накалывают его в центре шилом и навешивают на острие иглы 3
(рисунок 2), находящейся в трубе из кварцевого стекла 1, так, чтобы он был расположен по центру трубы и устройства для поджигания 8. Расстояние нижнего обреза трубы от устройства для поджигания - 25 мм. Устройство для поджигания образца древесины наполняют денатурированным спиртом ниже верхнего его обреза на (1 +/- 0,2) мм. Во время испытания уровень спирта в устройстве должен быть постоянным. Поджигают спирт, включают секундомер, через 20 с осторожно, чтобы не сбить пламя с образца древесины 2, перекрывают устройство для поджигания заслонкой 7 и наблюдают за самостоятельным горением образца древесины. С помощью секундомера фиксируют длительность самостоятельного горения образца древесины пламенем и тлением.
По окончании горения несгоревшие остатки образца древесины осторожно без потерь снимают с острия иглы и помещают в крышку бюксы, расположенной на заслонке устройства для поджигания, и оставляют остывать до комнатной температуры в течение не менее 30 мин, затем взвешивают в бюксе с погрешностью не более 0,02 г.
7. ОБРАБОТКА РЕЗУЛЬТАТОВ ИСПЫТАНИЯ
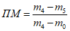
7.1. Потерю массы образца древесины при горении ПМ в процентах вычисляют по формуле

, (5)
где

- масса образца древесины с бюксой до сжигания, г;

- масса образца древесины с бюксой после сжигания, г;

- масса бюксы, г.
Среднюю потерю массы образцов, пропитанных с одинаковым заданным поглощением, определяют как среднее арифметическое из значений потери массы, полученных в результате трех испытаний.
Допустимое относительное отклонение потери массы каждого образца от средней потери массы не должно превышать +/- 10%.
7.2. Поглощение, обеспечивающее потерю массы образцов древесины при горении, равную 25%, определяют по графику (рисунок 3).
Рисунок 3
7.3. По значению этого поглощения устанавливают класс огнезащищающей способности защитных средств в соответствии с таблицей 1.
Таблица 1
Поглощение защитного средства, обеспечивающее потерю массы 25 %, кг/м3 | Класс огнезащищающей способности защитного средства |
Не более 30 | I |
Более 30, но менее 50 | II |
50 и более | III |
7.4. По продолжительности самостоятельного горения образцов древесины пламенем и тлением устанавливают тип защитного средства по огнезащищающей способности
(таблица 2).
7.5. Результаты испытаний записывают в протокол испытания, который оформляют в соответствии с
Приложением А.
Класс огнезащищающей способности | Продолжительность самостоятельного горения образцов, с, не более | Тип защитного средства по огнезащищающей способности |
пламенем | тлением |
I | 20 | Не регламентируется | Пламягаситель |
II | 30 |
III | 40 |
I | Не регламентируется | 30 | Антитлитель |
II | 50 |
III | 70 |
I | 20 | 30 | Универсального действия |
II | 30 | 50 |
III | 40 | 70 |
(информационное)
ФОРМА ПРОТОКОЛА ИСПЫТАНИЯ ОГНЕЗАЩИТНЫХ СВОЙСТВ ПРЕПАРАТОВ
Наименование и марка защитного средства _______________________________
Пропиточная емкость древесины _________________________________________
Концентрация раствора защитного средства ______________________________
Поглощение защитного средства, кг/м3 | Масса образца древесины, г | Потеря массы образца, %, массы образца до испытания | Поглощение защитного средства, обеспечивающее потерю массы 25%, кг/м3 | Продолжительность самостоятельного горения образца, с | Класс огнезащищающей способности защитного средства | Тип защитного средства по огнезащищающей способности |
до испытания | после испытания | пламенем | тлением |
"____" _____________ 19 г. Подпись _______________