Главная // Актуальные документы // ГОСТ (Государственный стандарт)СПРАВКА
Источник публикации
М.: Издательство стандартов, 1992
Примечание к документу
Документ утратил силу с 1 июля 2019 года в связи с изданием
Приказа Росстандарта от 04.09.2018 N 563-ст. Взамен введен в действие
ГОСТ 29040-2018.
Документ включен в Перечень международных и региональных (межгосударственных) стандартов (
п. п. 16,
30), а в случае их отсутствия - национальных (государственных) стандартов, содержащих правила и методы исследований (испытаний) и измерений, в том числе правила отбора образцов, необходимые для применения и исполнения требований технического
регламента Таможенного союза "О требованиях к автомобильному и авиационному бензину, дизельному и судовому топливу, топливу для реактивных двигателей и мазуту" (ТР ТС 013/2011) и осуществления оценки соответствия объектов технического регулирования (
Решение Коллегии Евразийской экономической комиссии от 15.08.2023 N 114).
Документ включен в
Перечень стандартов, содержащих правила и методы исследований (испытаний) и измерений, в том числе правила отбора образцов, необходимые для применения и исполнения требований технического
регламента Таможенного союза "О требованиях к автомобильному и авиационному бензину, дизельному и судовому топливу, топливу для реактивных двигателей и мазуту" (ТР ТС 013/2011) и осуществления оценки соответствия объектов технического регулирования (
Решение Комиссии Таможенного союза от 18.10.2011 N 826).
С 1 июля 2003 года до вступления в силу технических регламентов акты федеральных органов исполнительной власти в сфере технического регулирования носят рекомендательный характер и подлежат обязательному исполнению только в части, соответствующей целям, указанным в
пункте 1 статьи 46 Федерального закона от 27.12.2002 N 184-ФЗ.
Документ
введен в действие с 1 июля 1992 года.
Название документа
"ГОСТ 29040-91. Государственный стандарт Союза ССР. Бензины. Метод определения бензола и суммарного содержания ароматических углеводородов"
(утв. введен в действие Постановлением Госстандарта СССР от 26.06.1991 N 998)
"ГОСТ 29040-91. Государственный стандарт Союза ССР. Бензины. Метод определения бензола и суммарного содержания ароматических углеводородов"
(утв. введен в действие Постановлением Госстандарта СССР от 26.06.1991 N 998)
Утвержден и введен в действие
Постановлением Государственного
комитета СССР по управлению
качеством продукции и стандартам
от 26 июня 1991 г. N 998
ГОСУДАРСТВЕННЫЙ СТАНДАРТ СОЮЗА ССР
БЕНЗИНЫ
МЕТОД ОПРЕДЕЛЕНИЯ БЕНЗОЛА И СУММАРНОГО
СОДЕРЖАНИЯ АРОМАТИЧЕСКИХ УГЛЕВОДОРОДОВ
Gasolines. Method of determination of benzene
and total aromatics
ГОСТ 29040-91
Группа Б19
Дата введения
1 июля 1992 года
1. Разработан и внесен Министерством химической и нефтеперерабатывающей промышленности.
Разработчики: Е.М. Никоноров, д-р техн. наук; В.В. Булатников, канд. техн. наук; В.Д. Милованов, канд. техн. наук; С.А. Леонтьева, д-р хим. наук; Г.И. Москвина, канд. техн. наук; Л.А. Садовникова, канд. техн. наук; В.А. Квасова, канд. хим. наук; О.М. Лукашина; Н.М. Королева.
2. Утвержден и введен в действие Постановлением Государственного комитета СССР по управлению качеством продукции и стандартам от 26.06.1991 N 998.
3. Срок первой проверки - 1996 г.
4. Введен впервые.
5. Ссылочные нормативно-технические документы
──────────────────────────────────────────────┬──────────────────────────
Обозначение НТД, на который дана ссылка │ Номер пункта, раздела
──────────────────────────────────────────────┼──────────────────────────
ГОСТ 9385-77 │ 1.1
ИС МЕГАНОРМ: примечание.
Взамен ГОСТ 12329-77 Приказом Росстандарта от 30.11.2021 N 1665-ст с
ГОСТ 12329-77 │ 1.1
ТУ 6п-45-89 │ 1.1
ТУ 6-05-06-1228 │ 1.1
ТУ 6-09-659-77 │ 1.1
ТУ 6-09-660-76 │ 1.1
ТУ 6-09-779-76 │ 1.1
ТУ 6-09-785-76 │ 1.1
ТУ 6-09-786-76 │ 1.1
ТУ 6-09-915-76 │ 1.1
ТУ 6-09-3730-74 │ 1.1
ТУ 6-09-4565-77 │ 1.1
ТУ 6-09-4609-78 │ 1.1
ТУ 38.101372-84 │ 1.1
Настоящий стандарт устанавливает газохроматографический метод определения бензола от 1,0 до 10,0% и суммарного содержания ароматических углеводородов в автомобильных бензинах.
Сущность метода заключается в хроматографическом разделении углеводородов бензина на высокополярной селективной неподвижной фазе, обеспечивающей элюирование бензола после насыщенных и олефиновых углеводородов и определении бензола и суммарного содержания ароматических углеводородов.
Продолжительность определения - 10 - 20 мин.
1. АППАРАТУРА, РЕАКТИВЫ И МАТЕРИАЛЫ
Хроматограф ЛХМ-80 или аналогичного типа с детектором по теплопроводности или пламенно-ионизационным, интегратором и колонкой из нержавеющей стали длиной 3 м и внутренним диаметром 3 мм. Газовое питание хроматографа осуществляется согласно инструкции, прилагаемой к прибору.
Твердые носители:
хроматон N-AW-HMDS (0,20 - 0,25 мм), цветохром ДМДХС или аналогичный носитель, обработанный кислотой;
хромосорб PAW (0,15 - 0,18 мм).
Неподвижная фаза:
1, 2, 3, 4, 5, 6-гексакис-бета (цианэтокси) гексан (ГЦЭГ);
нитрилсиликон (OV-275).
Растворители:
петролейный эфир.
Эталоны для хроматографии, х.ч:
бензол по ТУ 6-09-779;
толуол по ТУ 6-09-786;
этилбензол по ГОСТ 9385;
o-ксилол по ТУ 6-09-915;
m-ксилол по ТУ 6-09-4565;
n-ксилол по ТУ 6-09-4609;
нонан по ТУ 6-09-660;
декан по ТУ 6-09-659;
додекан по ТУ 6-09-3730;
1, 2, 4-триметилбензол по ТУ 6-09-785;
1, 3, 5-триметилбензол по ТУ 6п-45 или ТУ 6-05-06-1228;
алкилбензин (алкилат) по ТУ 38.101372 или бензин деароматизированный по ГОСТ 12329.
Микрошприц объемом 1 мкдм3 (1 мкл) с ценой деления 0,02 мкдм3 (0,02 мкл).
Секундомер с ценой деления не более 0,2 с.
Линейка измерительная с ценой деления шкалы не более 0,01 см.
Лупа измерительная с ценой деления шкалы не более 0,01 см.
Баня водяная любого типа.
Весы лабораторные 2-го класса точности с пределом взвешивания 200 г.
Допускается применять аппаратуру по классу точности и реактивы по квалификации не ниже указанных в настоящем стандарте.
2. ПОДГОТОВКА К ИСПЫТАНИЮ
2.1. Приготовление насадки для колонки
Насадку готовят в зависимости от анализируемого бензина.
Для анализа бензинов с температурой кипения до 205 °C:
насадку готовят в количестве (10,0 +/- 0,5) г, из которых 10% составляют неподвижная фаза ГЦЭГ и 90%-ный твердый носитель хроматом N-AW-HMDS. В качестве растворителя используют хлороформ в количестве 100 см3.
Для анализа бензинов с температурой кипения до 215 °C:
насадку готовят в количестве (17,0 +/- 0,5) г, из которых 30% составляют неподвижная фаза OV-275 и 70% твердый носитель - хромосорб PAW. В качестве растворителя используют ацетон в количестве 100 см3.
Насадку готовят в вытяжном шкафу на водяной бане при постоянном осторожном перемешивании до полного удаления растворителя.
2.2. Подготовка хроматографической колонки и заполнение ее насадкой осуществляются в соответствии с инструкцией к хроматографу.
2.3. Колонку присоединяют к испарителю хроматографа и термостатируют в потоке газа-носителя от 50 °C при программировании температуры со скоростью 2 °C/мин до 140 °C с неподвижной фазой ГЦЭГ или 160 °C с неподвижной фазой OV-275. Выдерживают при максимальной температуре 3 ч. Затем термостат охлаждают и соединяют колонку с детектором.
4.1. Включение хроматографа, установку заданных параметров, настройку электрических блоков и регистратора проводят согласно инструкции, прилагаемой к прибору.
4.2. Оптимальные условия проведения испытания бензина приведены в табл. 1.
─────────────────────────────────────────────────────────┬───────────────
Показатель │ Значение
─────────────────────────────────────────────────────────┼───────────────
Скорость диаграммной ленты, мм/ч: │
при работе с ГЦЭГ │ 600; 720
при работе с OV-275 │ 240; 300
Объем пробы, мкдм3 (мкл) │ 1
Температура термостата колонки, °C: │
при работе с ГЦЭГ │ 90 - 110
при работе с OV-275 │ 150
Температура испарителя, °C │ 250
Температура детектора, °C │ 150
Ток детектора по теплопроводности, мА │ 150
Расход газа-носителя, см3/мин │ 30 - 40
Расход газов для пламенно-ионизационного детектора, │
см3/мин: │
водород │ 30
воздух │ 300
При использовании хроматографов других типов или других твердых носителей допускается изменять условия проведения анализа бензинов, указанные в
табл. 1, но при этом бензол должен элюироваться после додекана, а четкость разделения углеводородов должна быть не хуже, чем на приведенной хроматограмме
(черт. 1).
4.3. Хроматограммы рассчитывают с помощью интегратора или ручным способом.
5.1. Определение поправочных коэффициентов
5.1.1. Для установления поправочных коэффициентов чувствительности детектора к углеводородам относительно стандарта (бензола), поправочный коэффициент для которого принимается равным 1, готовят три - пять калибровочных смесей, имитирующих анализируемый бензин. Например, готовят смесь следующего состава в процентах (по массе):
алкилат (или бензин деароматизированный) 50 - 45
нонан 4 - 5
декан 1 - 2
бензол 5 - 2
толуол 7 - 10
этилбензол 3 - 4
n-ксилол 5 - 4
m-ксилол 15 - 20
o-ксилол 5 - 4
ароматический углеводород

,
где

- сумма массовых долей предыдущих компонентов в смеси, %.
Анализ смеси проводят при условиях, указанных в
табл. 1. Поправочный коэффициент чувствительности детектора к углеводороду

вычисляют по формуле

, (1)
где

- масса компонента в калибровочной смеси, г;

- масса компонента в калибровочной смеси, выбранного в качестве стандарта (бензол), г;

- площадь пика компонента в калибровочной смеси;

- площадь пика компонента в калибровочной смеси, выбранного в качестве стандарта.
5.2. Хроматограмму бензина рассчитывают методом внутренней нормализации (сумма площадей всех пиков на хроматограмме принимается равной 100% с учетом поправочных коэффициентов).
Хроматограммы бензина АИ-92
и внутреннего стандарта (додекан)
Фаза ГЦЭГ
Фаза OV-275
1 - неароматические углеводороды;

- додекан; 2 - бензол;
3 - толуол; 4 - этилбензол; n-, m-ксилол;
5, 6 - o-ксилол, ароматические углеводороды

;
7 - 13 - ароматические углеводороды

Массовую долю бензола (X) в процентах вычисляют по формуле

, (2)
где

- площадь пика бензола;

- поправочный коэффициент бензола, равный 1;

- сумма площадей пиков с учетом поправочных коэффициентов.
Суммарную массовую долю ароматических углеводородов

в процентах вычисляют по формуле

, (3)
где

- сумма площадей пиков с учетом поправочных коэффициентов;

- площадь пика насыщенных и олефиновых углеводородов;

- поправочный коэффициент чувствительности для насыщенных и олефиновых углеводородов.
5.3. При определении массовой доли только бензола в бензине можно использовать метод внутреннего стандарта.
В качестве внутреннего стандарта рекомендуется использовать додекан в количестве 3 - 5%.
Массовую долю бензола

в процентах вычисляют по формуле

, (4)
где

,

- площади пиков бензола и внутреннего стандарта;
R - отношение массы внутреннего стандарта к массе анализируемой смеси (без стандарта);

,

- поправочные коэффициенты чувствительности бензола и внутреннего стандарта.
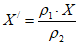
5.4. Объемную долю бензола

в процентах вычисляют по формуле

, (5)
X - массовая доля бензола, %;

- плотность бензола, 0,879 г/см3.
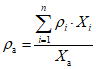
Суммарную объемную долю ароматических углеводородов

в процентах вычисляют по формуле

, (6)
где

- плотность ароматических углеводородов, рассчитанная согласно составу анализируемого бензина по формуле

, (7)
где

,

- массовая доля и плотность индивидуальных ароматических углеводородов и групп ароматических углеводородов, элюируемых одним пиком на хроматограмме и рассчитанных на основании индивидуального углеводородного состава бензина риформинга.
Плотности индивидуальных ароматических углеводородов и групп ароматических углеводородов, идентифицированные на хроматограмме, приведены в
Приложении.
5.5. За результат испытания принимают среднее арифметическое результатов двух последовательных определений и округляют до десятичного знака.
6.1. Сходимость
Два результата определений, полученные одним исполнителем, признаются достоверными (с 95%-ной доверительной вероятностью), если расхождение между ними не превышает значения, приведенного на
черт. 2 для большего результата для массовой доли бензола и 1% - для суммарной массовой доли ароматических углеводородов.
6.2. Воспроизводимость
Два результата испытаний, полученные в двух разных лабораториях, признаются достоверными (с 95%-ной доверительной вероятностью), если расхождение между ними не превышает 0,4% для массовой доли бензола и 2% - для суммарной массовой доли ароматических углеводородов.
Справочное
ПЛОТНОСТЬ АРОМАТИЧЕСКИХ УГЛЕВОДОРОДОВ,
ИДЕНТИФИЦИРОВАННЫХ НА ХРОМАТОГРАММЕ
Таблица 2
────────────────────────────┬────────────────────────┬───────────────────
Номер пика на хроматограмме │ Углеводороды │ Плотность, г/см3
────────────────────────────┼────────────────────────┼───────────────────
2 │ Бензол │ 0,8790
3 │ Толуол │ 0,8670
4 │ Этилбензол, │ 0,8640
│ n-, m-ксилол │
5, 6 │ o-ксилол, │ 0,8760
│ ароматические C │
│ 9 │
7 - 13 │ Ароматические C - C │ 0,8676
│ 9 10 │