Главная // Актуальные документы // ГОСТ (Государственный стандарт)
СПРАВКА
Источник публикации
М.: Стандартинформ, 2014
Примечание к документу
Документ утратил силу на территории Российской Федерации с 01.10.2023 в связи с изданием Приказа Росстандарта от 10.11.2022 N 1265-ст. Взамен введен в действие ГОСТ Р ИСО 11737-1-2022.

Документ введен в действие с 01.01.2015.
Название документа
"ГОСТ ISO 11737-1-2012. Межгосударственный стандарт. Стерилизация медицинских изделий. Микробиологические методы. Часть 1. Оценка популяции микроорганизмов на продукции"
(введен в действие Приказом Росстандарта от 19.12.2012 N 1922-ст)

"ГОСТ ISO 11737-1-2012. Межгосударственный стандарт. Стерилизация медицинских изделий. Микробиологические методы. Часть 1. Оценка популяции микроорганизмов на продукции"
(введен в действие Приказом Росстандарта от 19.12.2012 N 1922-ст)


Содержание


Введен в действие
Приказом Федерального агентства
по техническому регулированию
и метрологии
от 19 декабря 2012 г. N 1922-ст
МЕЖГОСУДАРСТВЕННЫЙ СТАНДАРТ
СТЕРИЛИЗАЦИЯ МЕДИЦИНСКИХ ИЗДЕЛИЙ
МИКРОБИОЛОГИЧЕСКИЕ МЕТОДЫ
ЧАСТЬ 1
ОЦЕНКА ПОПУЛЯЦИИ МИКРООРГАНИЗМОВ НА ПРОДУКЦИИ
Sterilization of medical devices. Microbiological
methods. Part 1. Estimation of population
of microorganisms on products
(ISO 11737-1:1995, IDT)
ГОСТ ISO 11737-1-2012
МКС 11.080
Дата введения
1 января 2015 года
Предисловие
Цели, основные принципы и порядок проведения работ по межгосударственной стандартизации установлены ГОСТ 1.0-92 "Межгосударственная система стандартизации. Основные положения" и ГОСТ 1.2-2009 "Межгосударственная система стандартизации. Стандарты межгосударственные, правила и рекомендации по межгосударственной стандартизации. Правила разработки, принятия, применения, обновления и отмены"
Сведения о стандарте
1 ПОДГОТОВЛЕН Федеральным государственным унитарным предприятием "Всероссийский научно-исследовательский институт стандартизации и сертификации в машиностроении" (ВНИИНМАШ)
2 ВНЕСЕН Федеральным агентством по техническому регулированию и метрологии (Росстандарт)
3 ПРИНЯТ Межгосударственным советом по стандартизации, метрологии и сертификации (протокол от 24 мая 2012 г. N 41-2012)
За принятие стандарта проголосовали:
Краткое наименование страны по МК (ИСО 3166) 004-97
Код страны по МК (ИСО 3166) 004-97
Сокращенное наименование национального органа по стандартизации
Азербайджанская Республика
AZ
Азстандарт
Республика Беларусь
BY
Госстандарт Республики Беларусь
Республика Казахстан
KZ
Госстандарт Республики Казахстан
Киргизия
KG
Кыргызстандарт
Республика Молдова
MD
Молдова-Стандарт
Россия
RU
Росстандарт
Республика Таджикистан
TJ
Таджикстандарт
Туркменистан
TM
Главгосслужба "Туркменстандартлары"
Республика Узбекистан
UZ
Узстандарт
Украина
UA
Госпотребстандарт Украины
Республика Армения
AM
Минторгэкономразвития
4 Приказом Федерального агентства по техническому регулированию и метрологии от 19 декабря 2012 г. N 1922-ст межгосударственный стандарт ГОСТ ISO 11737-1-2012 введен в действие в качестве национального стандарта Российской Федерации с 1 января 2015 г.
5 Настоящий стандарт идентичен международному стандарту ISO 11737-1:1995 Sterilization of medical devices - Microbiological methods - Part 1: Estimation of population of microorganisms on products (Стерилизация медицинских изделий. Микробиологические методы. Часть 1. Оценка популяции микроорганизмов на продукции).
Степень соответствия - идентичная (IDT).
Стандарт подготовлен на основе применения ГОСТ Р ИСО 11737-1-2000.
Сведения о соответствии межгосударственных стандартов ссылочным международным стандартам приведены в дополнительном приложении ДА.
6 ВВЕДЕН ВПЕРВЫЕ
Информация об изменениях к настоящему стандарту публикуется в ежегодном информационном указателе "Национальные стандарты", а текст изменений и поправок - в ежемесячном информационном указателе "Национальные стандарты". В случае пересмотра (замены) или отмены настоящего стандарта соответствующее уведомление будет опубликовано в ежемесячном информационном указателе "Национальные стандарты". Соответствующая информация, уведомление и тексты размещаются также в информационной системе общего пользования - на официальном сайте Федерального агентства по техническому регулированию и метрологии в сети Интернет
Введение
Стерильный продукт - продукт, который не содержит живых микроорганизмов. Необходимо, чтобы микробиологическая контаминация медицинской продукции от всех источников была сведена до минимума всеми возможными мерами. Более того, отдельные единицы продукции, производимые при стандартных условиях производства в соответствии с требованиями систем качества для медицинской продукции, могут перед началом стерилизации содержать небольшое количество микроорганизмов. Такие единицы продукции являются нестерильными. Цель процесса стерилизации - инактивация микробиологических контаминантов (загрязнений) и, таким образом, превращение нестерильных препаратов в стерильные.
Инактивация чистых культур микроорганизмов физическими и/или химическими агентами, используемыми при стерилизации медицинской продукции, часто приближенно описывается экспоненциальным законом. Это означает, что, несмотря на усиленные методы стерилизации, всегда существует определенная вероятность того, что микроорганизм может оказаться выжившим. Вероятность выживания определяется числом, резистентностью микроорганизмов и средой, в которой они находятся в период обработки. Это означает, что стерильность любой из единиц продукции, подвергавшихся процессу стерилизации, не может быть гарантирована, и стерильность всех единиц продукции должна выражаться в понятиях вероятности наличия нестерильных единиц.
Требования к системам качества при проектировании (разработке), производстве, монтаже и обслуживании медицинских изделий даны в стандартах ISO 9001 и ISO 9002. Международные стандарты серии ISO 9000 определяют некоторые производственные процессы как "специальные", если результат не может быть полностью проверен последующим контролем и испытанием продукции. Поэтому процесс стерилизации должен быть валидирован до практического применения. Каждый процесс следует подвергать текущему контролю, а оборудование - необходимому обслуживанию.
Приняты международные стандарты, определяющие требования к валидации и текущему контролю процессов стерилизации медицинской продукции (см. ISO 11134, ISO 11135 и ISO 11137). Однако важно иметь в виду, что проведение должным образом валидированного и точно контролируемого процесса стерилизации не является единственным фактором, связанным с обеспечением стерильности продукта и соответствия продукта своему назначению. Для эффективной валидации и текущего контроля процесса стерилизации также важно знать микробиологическую оценку данного процесса, т.е. количество, виды и свойства микроорганизмов.
Термин "бионагрузка" в общепринятом смысле употребляется для описания популяции жизнеспособных микроорганизмов, присутствующих в материале или продукте. Точное значение бионагрузки определить невозможно. На практике число жизнеспособных микроорганизмов оценивается с помощью определенных методов. Чтобы соотнести это число жизнеспособных микроорганизмов с бионагрузкой в материале или продукте, используется корректирующий коэффициент, который определяется во время валидационных экспериментов.
Величина бионагрузки может быть получена при исследовании уровней контаминации. Оценка бионагрузки является составной частью:
a) валидации и ревалидации процесса стерилизации, когда увеличение экспозиции при данных условиях стерилизации прямо отражается на оценке бионагрузки;
b) валидации и ревалидации процесса стерилизации, для которого увеличение экспозиции при данных условиях стерилизации напрямую не связано с оценкой бионагрузки, но требуется общее представление о бионагрузке;
c) текущего контроля процесса производства стерильной продукции, для которого валидация установлена в соответствии с перечислением a);
d) текущего контроля процесса производства стерильной продукции, для которого валидация установлена в соответствии с перечислением b);
Оценка бионагрузки может также быть частью системы контроля качества производства медицинской продукции:
e) общей программы контроля производственной среды;
f) оценки эффективности процесса очистки от микроорганизмов;
g) процесса контроля нестерильных продуктов, для которых предусмотрена микробиологическая очистка;
h) контроля сырья, компонентов и упаковки.
Оценка бионагрузки для медицинских изделий состоит из четырех этапов:
- выделение микроорганизмов из медицинских изделий;
- передача этих выделенных микроорганизмов для культивирования;
- подсчет микроорганизмов с последующей характеристикой;
- учет корректирующего коэффициента (коэффициентов), рассчитанного при определении бионагрузки перед стерилизацией.
Из-за большого разнообразия материалов и конструкций различных видов медицинской продукции невозможно определить единственный метод удаления микроорганизмов для всех случаев. Более того, на выбор методов подсчета оказывает влияние вид ожидаемых контаминантов.
1. Область применения
1.1 Настоящий стандарт устанавливает общие критерии оценки популяции жизнеспособных микроорганизмов (бионагрузки) на медицинских изделиях или материалах, сырье или упаковках. Оценка бионагрузки состоит из подсчета и классификации популяции микроорганизмов.
Примечание - Методы оценки популяции микроорганизмов должны быть валидированы до начала их практического использования. Глубина необходимого анализа при классификации популяции зависит от цели использования полученных данных. В приложениях A и B приведены методы оценки бионагрузки и руководство по валидации микробиологических методов оценки.
1.2 Настоящий стандарт не может быть применен при оценке или анализе вирусной контаминации или микробиологического контроля среды, в которой производятся медицинские изделия.
Примечание - Следует учитывать стандарты по системам качества (ISO 9001 и ISO 9002), которые предусматривают контроль всех стадий производства, включая процесс стерилизации. В настоящем стандарте не излагается система контроля качества в производстве, но в тексте приведены ссылки на некоторые элементы такой системы.
2. Нормативные ссылки
В настоящем стандарте приведены ссылки на следующие стандарты:
ISO 11134:1994 Sterilization of health care products. Requirements for validation and routine control. Industrial moist heat sterilization (Стерилизация медицинской продукции. Требования к валидации и текущему контролю. Промышленная стерилизация влажным теплом)
ISO 11135:1994 Medical devices - Validation and routine control of ethylene oxide sterilization (Медицинские изделия. Проверка достоверности и текущий контроль стерилизации оксидом этилена)
ISO 11137:1995 Sterilization of health care products. Requirements for validation and routine control. Radiation sterilization (Стерилизация медицинской продукции. Требования к валидации и текущему контролю. Радиационная стерилизация)
ISO 11138-2:1994 Sterilization of health care products. Biological indicators. Part 2. Biological indicators for ethylene oxide sterilization (Стерилизация медицинской продукции. Биологические индикаторы. Часть 2. Биологические индикаторы для стерилизации оксидом этилена)
ISO 9001:1994 Quality systems - Model for quality assurance in design, development, production, installation and servicing (Системы качества. Модель для обеспечения качества при проектировании, разработке, производстве, монтаже и обслуживании)
ISO 9002:1994 Quality systems - Model for quality assurance in production, installation and servicing (Системы качества. Модель для обеспечения качества при производстве, монтаже и обслуживании)
3. Определения
В настоящем стандарте использованы следующие термины с соответствующими определениями:
3.1 бионагрузка (bioburden): Популяция жизнеспособных микроорганизмов в сырье, материалах, конечном продукте и/или в упаковке.
3.2 оценка бионагрузки (bioburden estimate): Величина, которую оценивают по числу микроорганизмов, представляющих бионагрузку, путем подсчета жизнеспособных микроорганизмов или предстерилизационного числа, с учетом корректирующего коэффициента, учитывающего степень извлечения.
3.3 классификация (characterization): Процесс объединения микроорганизмов в широкие категории.
Примечание - Категории могут быть основаны, например, на морфологии колоний или клеток, свойствах окрашиваться красителями или других характеристиках.
3.4 корректирующий коэффициент (correction factor): Численный коэффициент, применяемый к числу жизнеспособных частиц, или предстерилизационному числу, учитывающий неполное извлечение микроорганизмов из продукта при определении оценки бионагрузки.
3.5 условия культивирования (culture conditions): Установленное сочетание условий, включающее питательную среду, время и температуру инкубации для ускорения роста и размножения микроорганизмов.
3.6 медицинское изделие: Инструмент, аппарат, приспособление, материал, используемые отдельно или с другими изделиями, необходимым программным обеспечением, предназначенные для людей в целях:
- диагностики, профилактики, наблюдения, лечения или облегчения болезни;
- диагностики, наблюдения, лечения, облегчения или компенсации при травмах или инвалидности;
- исследования, замещения или изменения анатомии или физиологического процесса;
- контроля зачатия,
основное действие которых снаружи или внутри тела человека достигается без изменения фармакологических, иммунологических или метаболических средств, но которое может применяться совместно с ними.
3.7 предстерилизационное число (presterilization count): Количество жизнеспособных микроорганизмов, обнаруженное перед стерилизацией.
3.8 продукция (продукт) (product): Общее понятие для обозначения сырья, промежуточных продуктов и готовых медицинских изделий.
3.9 эффективность извлечения (recovery efficiency): Мера способности конкретной методики извлекать микроорганизмы из продукта.
3.10 ревалидация (revalidation): Комплекс документированных процедур для подтверждения ранее проведенной валидации.
3.11 часть продукции для испытания - ЧПИ (sample item portion - SIP): Определенная часть единицы медицинской продукции, используемая при испытаниях.
3.12 валидация (validation): Документированная процедура получения, записи и объяснения результатов, необходимая для подтверждения того, что процесс неизменно дает продукцию, соответствующую предварительно определенным требованиям;
Примечание - Валидация методики оценки бионагрузки заключается в серии исследований для определения эффективности и воспроизводимости метода испытаний.
3.13 число живых микроорганизмов (viable count): Количество микроорганизмов, определяемое по росту дискретных колоний при установленных условиях культивирования.
Примечание - Дискретная колония необязательно происходит из одного живого микроорганизма.
4. Общие положения
4.1 Документация
4.1.1 Должны применяться методики документирования и инструкции по технике испытаний, предназначенные для работы и обслуживания соответствующего оборудования. Эти методики и инструкции после их разработки должны быть утверждены и контролироваться по ISO 9001.
4.1.2 Следует обеспечить эффективное внедрение процедур и инструкций, предусмотренных настоящим стандартом.
4.1.3 Расчеты и данные должны быть проверены соответствующим образом.
Примечание - При расчетах с использованием электронной техники программное обеспечение должно быть валидировано перед использованием, и протоколы этой валидации должны быть сохранены.
4.1.4 Протоколы начальных испытаний, расчеты, полученные данные и заключительные протоколы должны сохраняться, как предусмотрено в ISO 9001. Протоколы должны включать данные о персонале, участвовавшем в отборе проб, подготовительных работах и испытании.
4.2 Персонал
4.2.1 Ответственность за оценку бионагрузки должна быть возложена на специальный персонал, как предусмотрено ISO 9001.
4.2.2 Методики подготовки персонала должны быть указаны в соответствующей документации. Должны быть оформлены протоколы аттестации, обучения и оценки знаний персонала.
4.3 Оборудование
4.3.1 Должны быть подготовлены все единицы оборудования и приборов, необходимые для испытаний и выполнения измерений.
4.3.2 Оборудование, которое требует планового технического обслуживания, должно обслуживаться в соответствии с документированными инструкциями. Протоколы обслуживания должны быть сохранены.
4.3.3 Должна быть предусмотрена эффективная, документированная и обслуживаемая система для калибровки всех приборов, предназначенных для измерения и контроля. Эта система калибровки должна соответствовать ISO 9001.
4.4 Питательные среды и материалы
Должны быть предусмотрены и документированы методы приготовления и стерилизации материалов, используемых при оценке бионагрузки, включая соответствующие тесты качества.
Примечание - Соответствующие тесты качества должны включать тесты ростовых свойств серий питательных сред (каждой серии питательной среды).
5. Отбор единиц продукции
5.1 Отбор единицы продукции
Методики отбора и обработки продукции для испытаний должны обеспечивать уверенность в том, что продукт является представительным для проведения текущего контроля.
5.2 Часть продукции для испытания (ЧПИ)
Если часть продукции, используемой при испытаниях (ЧПИ), меньше одной полной единицы продукции, предназначенной для применения, нужно обеспечить представительное число микроорганизмов, характеризующих бионагрузку всего продукта. Если установлено, что микроорганизмы распределены в продукции равномерно, то проба должна быть взята из одного любого места. При отсутствии такой уверенности проба должна быть взята из нескольких точек образцов продукции.
Примечание - Стандарты, содержащие требования к валидации и текущему контролю процесса стерилизации, должны определять критерии адекватности ЧПИ.
6. Выбор методов
6.1 Если выделение жизнеспособных микроорганизмов является частью методов анализа продукта, то факторы, влияющие на эффективность этого выделения, должны быть рассмотрены и протоколированы. К этим факторам относятся:
a) способность выделения микробной контаминации;
b) вероятный вид (виды) загрязняющих микроорганизмов и их расположение на продукте;
c) воздействие метода выделения на жизнеспособность микробной контаминации;
d) физическую или химическую природу продукта, подлежащего тестированию.
6.2 Если физическая или химическая природа испытуемой продукции (6.1 d) такова, что при этом могут выделяться вещества, оказывающие вредное влияние на число или виды определяемых микроорганизмов, должна использоваться система нейтрализации, удаления или, если такое невозможно, минимизации такого вредного влияния. Эффективность каждой системы должна быть показана.
Примечание - В приложении B приведены методы, которые могут быть использованы для оценки выделения бактерицидных или бактериостатических веществ.
6.3 Условия культивирования должны быть выбраны после рассмотрения видов ожидаемых микроорганизмов. Результаты такого анализа и основанные на нем выводы должны быть документированы.
6.4 Выбранные методы должны быть валидированы в соответствии с разделом 7.
7. Валидация методов
7.1 Каждая процедура валидации оценки бионагрузки должна быть документирована.
7.2 Процедуры валидации включают в себя:
a) оценку адекватности методов выделения микроорганизмов из продукции, если такое выделение является частью этих методов;
b) оценку адекватности методов определения числа выделяемых микроорганизмов, включая методы подсчета микроорганизмов и условий культивирования, и
c) определение эффективности метода отбора с учетом рассчитанного корректирующего коэффициента.
Примечание - В приложении B приведено руководство по валидации методов оценки бионагрузки.
7.3 Любое изменение применяемого метода подлежит анализу, который должен включать:
a) оценку изменения;
b) определение эффективности выделения микроорганизмов рассматриваемым методом.
Примечание - Оценка изменения может означать, что предыдущая валидация и эффективность выявления до сих пор действительны.
7.4 Валидация и любые данные последующей ревалидации должны периодически рассматриваться, объем ревалидации должен определяться и документироваться. Процедуры рассмотрения валидации и ревалидации должны документироваться, и протоколы ревалидации должны сохраняться.
Отчет о ревалидации подписывают те же лица (организации), которые готовили, рассматривали и принимали отчет о первичной валидации.
8. Использование методов оценки
8.1 Предстерилизационные числа должны определяться в соответствии с документированным планом(ами) отбора проб с определенными частотой отбора и объемом проб.
8.2 Если контаминанты, которые обычно не встречаются, выделены во время определения предстерилизационных чисел, то они должны быть охарактеризованы. Влияние таких контаминантов на процесс производства должно быть рассмотрено и документировано.
8.3 Допустимые пределы для каждого предстерилизационного числа или оценки бионагрузки должны устанавливаться на основе предыдущих данных и документироваться. Если эти пределы превышены, следует принимать корректирующие действия по ISO 9001. Установленные пределы должны официально пересматриваться через определенные интервалы времени и, если необходимо, исправляться.
8.4 Статистические методы, применяемые для определения объема пробы, частота отбора проб и/или допустимые пределы должны соответствовать ISO 9001.
8.5 Если для определения режима процесса стерилизации используют предстерилизационные числа (если только требования стандарта по валидации частного процесса стерилизации не предусматривают иного), то:
a) корректирующий коэффициент, основанный на эффективности отбора, определяют во время валидации (7.2) и используют при расчете предстерилизационного числа для оценки бионагрузки до того, как будет определен режим стерилизации;
b) резистентность микроорганизмов, составляющих популяцию присутствующих в продукте микроорганизмов, должна быть принята во внимание при определении режима обработки.
Примечание - При использовании микробиологических данных для определения стерилизующей дозы радиации (приложение B, ISO 11137 и ISO/TR 13409 [4]) предстерилизационное число может быть использовано для выбора контрольных и стерилизующих доз.
8.6 При использовании бионагрузки для определения режима процесса стерилизации:
a) должно быть рассмотрено влияние ее на надежность стерильности, если принятые пределы превышены, и
b) характеристика контаминантов, которые обычно не встречаются, должна включать оценку резистентности этих контаминантов к процессу стерилизации. Для надежности стерильности должны быть оценены последствия присутствия в продукции контаминантов высокой резистентности к процессу стерилизации.
Все эти данные должны быть документированы и учтены при определении корректирующих действий. Эти корректирующие действия должны быть проведены в соответствии с ISO 9001.
Изменения продукции и/или процессов должны быть официально рассмотрены с позиции вероятных изменений бионагрузки (см. также 8.3). Результаты рассмотрения должны быть документированы. При изменении бионагрузки должна быть проведена ее специальная оценка для определения эффекта изменений.
Приложение A
(справочное)
МЕТОДЫ ОЦЕНКИ ПОПУЛЯЦИИ МИКРООРГАНИЗМОВ НА ПРОДУКЦИИ
A.1 Введение
Это приложение содержит руководство по реализации требований настоящего стандарта, служит для лучшего понимания этих требований, вносит ясность в важные вопросы, которым следует уделить внимание, но не является исчерпывающим.
Могут быть использованы другие методы, но эффективность их должна соответствовать требованиям настоящего стандарта.
A.2 Общие положения
Для того чтобы данные, полученные при оценке бионагрузки, были надежными и воспроизводимыми, важно, чтобы эти оценки проводились в контролируемых условиях. Лабораторные установки, используемые для получения оценок как у изготовителя медицинских изделий, так и в другом месте, должны обслуживаться и работать в соответствии с документированной системой качества.
Если бионагрузку оценивают в лаборатории под руководством изготовителя медицинских изделий, то в лаборатории должна быть введена система качества, действующая у изготовителя. Если используют внешнюю лабораторию, то рекомендуется ее официально сертифицировать по соответствующему документу ISO (например, ISO/IEC, Guide 25).
Любая лаборатория должна организовать службу качества, что должно быть квалифицировано как политика качества. Полномочия и ответственность внутри лаборатории должны быть официально установлены и документированы. Определенное лицо должно быть назначено ответственным за разработку системы качества лаборатории и должно иметь достаточные полномочия для внедрения этой системы.
Работа лаборатории должна быть предметом регулярного внутреннего аудита. Результаты аудита должны документироваться и рассматриваться руководством лаборатории.
ISO/IEC Guide 25 [1] дает основные принципы системы качества в лаборатории. Специфические требования к системам качества для изготовителей медицинских изделий даны в стандартах ISO 13485 [5] и ISO 13488 [6].
A.3 Оборудование и материалы
A.3.1 Оборудование электронной обработки данных
Компьютеры могут использоваться в лабораториях для прямого и непрямого сбора, обработки и/или хранения данных. Оборудование и программное обеспечение, используемое для этих целей, должно находиться под контролем.
Используемая компьютерная система, включая оборудование и программное обеспечение, должна быть идентифицирована, и любые изменения, касающиеся их, должны быть документированы и соответствующим образом утверждены.
Для программного обеспечения необходимо иметь следующую документацию:
- прикладные программы, используемые в компьютерной системе;
- операционные программы;
- используемые массивы данных.
Все программное обеспечение должно контролироваться на предмет пригодности до начала его использования.
Если компьютерное программное обеспечение разработано на месте, должны быть предусмотрены следующие процедуры, гарантирующие:
- сохранность документации, включая систему программирования;
- сохранность протоколов контроля пригодности;
- документирование изменения программ;
- документирование изменений в оборудовании и официальную проверку перед началом использования.
Этот контроль должен также применяться к любому измененному или изготовленному на заказ пакету программного обеспечения.
Необходимо предусмотреть процедуры определения и предотвращения несанкционированного изменения программного обеспечения.
Программное обеспечение, которое организует, классифицирует и представляет данные для статистических или других математических процедур, обрабатывает или анализирует электронные сохраняемые данные, должно позволять восстанавливать исходные входные данные. Могут потребоваться специальные процедуры архивирования компьютерных данных, и эти процедуры должны быть документированы.
A.3.2 Лабораторное оборудование
Должна быть предусмотрена система определения требований технического обслуживания для каждой части лабораторного оборудования.
Оборудование, не требующее калибровки, должно быть четко указано.
Любое оборудование или его части, контактирующие с продуктом во время испытаний, элюент (смывная жидкость), питательные среды и т.д. должны быть стерильными.
A.3.3 Микробиологические питательные среды
При приготовлении всех микробиологических сред и элюентов, используемых для удаления микроорганизмов из продукта, должна быть обеспечена их стерильность.
Должна быть показана способность микробиологической среды поддерживать рост микроорганизмов. Обычно это достигается применением теста роста для каждой серии питательной среды с использованием малого количества (между 10 и 100 колониеобразующих единиц) выбранных микроорганизмов. Тесты поддержки ростовых свойств обычно приведены в фармакопеях, указывающих, какие микроорганизмы могут считаться подходящими.
A.4 Выбор методов
A.4.1 Общие положения
Последовательность основных этапов методов оценки микробиологической контаминации следующая:
ВЫБОР ПРОБЫ
\/
СБОР ОБРАЗЦОВ ДЛЯ ИСПЫТАНИЙ
\/
ПЕРЕДАЧА ДЛЯ ИСПЫТАНИЙ В ЛАБОРАТОРИЮ
\/
ОБРАБОТКА (если необходимо)
\/
ПОСЕВ В ПИТАТЕЛЬНУЮ СРЕДУ
\/
ИНКУБИРОВАНИЕ
\/
ПОДСЧЕТ И ХАРАКТЕРИСТИКА (если планируется)
\/
ИНТЕРПРЕТАЦИЯ ДАННЫХ
Лицо, ответственное за проведение такой процедуры, должно иметь необходимые знания о сырье, материалах, производственной среде, процессе производства и свойствах продукции, чтобы выбрать соответствующие методы оценки для каждого из этих этапов.
Ответственное лицо должно принимать в расчет особенность ситуации, решая вопросы периодичности отбора проб, выбора вида питательной среды и условий культивирования, а также длительность проведения расчета и валидации. Документирование этих факторов и обоснований для принятия решений способствует последовательному рассмотрению методик.
Если оцененная бионагрузка предназначена для непосредственного определения условий стерилизации, то в программу оценки бионагрузки необходимо включить упаковочные материалы.
В идеале бионагрузка должна систематически оцениваться для каждого вида продукции. Однако учитывая разнообразие производимой продукции (часто в малых сериях), это не всегда бывает оправданным. В этих обстоятельствах виды продукции могут быть сгруппированы на основе типовой продукции, эквивалентной производственной среды и используемого сырья. Разумное отнесение продукции к таким группам должно быть документировано и должно обеспечивать репрезентативность данных, обосновывающих группировку продукции.
A.4.2 Элементы оценки бионагрузки
A.4.2.1 Общие положения
Методы отбора и обработки проб должны быть такими, чтобы исключить непредвиденную контаминацию и значительное изменение количества и вида микроорганизмов в пробе. Система отбора проб должна позволять проводить последовательное сравнение периодов времени отбора проб.
Обычно микроорганизмы переносят из испытуемых образцов или их представительных частей в питательную среду погружением, отмыванием или разведением в элюенте. Элюент может быть потом пропущен через мембранный фильтр, который сам помещен в питательную среду или прямо положен на плоскую поверхность питательной среды. Крупные неразделимые образцы могут контролироваться методами, применяемыми для контроля поверхностей (A.4.2.4.8 - A.4.2.4.10).
Выявление микроорганизмов с поверхности продуктов может быть улучшено в присутствии поверхностно-активных веществ в элюенте и при физическом воздействии на продукт в жидкости. Обычно используемые элюенты приведены в A.4.2.5.
A.4.2.2 Выбор пробы
A.4.2.2.1 Для определения предстерилизационного числа проба отбирается двумя способами:
a) отбор продукта случайным образом перед стерилизацией;
b) отбор непригодного для продажи продукта, который представляет собой часть продукции или иным образом забракованную продукцию.
Выбор образца может зависеть от множества факторов, но образец должен как можно ближе соответствовать продукции, предназначенной для стерилизации. Если принято решение использовать забракованную продукцию, она должна представлять собой продукцию, прошедшую все основные стадии производства, включая возможные процессы очистки и упаковки. Предпочтительно взять продукцию в соответствии с перечислением a).
Для различных целей, таких как валидация процесса очистки или оценка производственного процесса, при выборе образцов для оценки бионагрузки могут использоваться различные стратегии.
A.4.2.2.2 При необходимости для оценки бионагрузки используется весь продукт, хотя это может оказаться неосуществимым из-за того, что продукт не помещается в лабораторную посуду. Тогда следует взять максимально большую часть продукта, которая позволяет оценить полную бионагрузку всего продукта. Тщательный выбор части продукта необходим тогда, когда контролируемый продукт является большим, например, хирургическая одежда или наружный дренажный комплект.
A.4.2.2.3 Во время отбора проб для оценки бионагрузки продукт должен находиться в своей стандартной упаковке.
При отборе части продукта для оценки бионагрузки нужно соблюдать осторожность при манипуляции с продуктом. Это должно быть сделано в чистых условиях (например, внутри ламинарного шкафа), чтобы избежать дополнительной контаминации.
A.4.2.3 Периодичность отбора проб
Периодичность оценки бионагрузки должна быть установлена на основе анализа изменяющихся факторов, к которым относятся:
a) данные предыдущей оценки бионагрузки;
b) цель, для которой осуществляется оценка бионагрузки;
c) используемый процесс производства;
d) размер серии;
e) частота производства продукта;
f) используемые материалы;
g) колебания в оценках бионагрузки.
Отбор проб может осуществляться через определенные промежутки времени (например, ежемесячно), или в зависимости от конкретного объема продукции (например, оценка других серий). Общая практика состоит в том, что оценка бионагрузки осуществляется с большей частотой в начале производства нового продукта и затем со снижающейся частотой по мере накопления знаний о бионагрузке.
Частота оценки бионагрузки должна позволять оценивать ее изменения, вызванные, например, сезонными колебаниями, изменениями производства или изменениями материалов.
A.4.2.4 Обработка
A.4.2.4.1 Общие положения
Степень адгезии микроорганизмов к поверхности зависит от природы поверхности самих микроорганизмов и других присутствующих материалов (например, смазки). Причина контаминации будет также оказывать влияние на степень адгезии. Для удаления микроорганизмов может использоваться отмывание с принудительным физическим воздействием или прямой отбор пробы с поверхности. Для лучшего выявления микроорганизмов может использоваться поверхностно-активное вещество, при высокой концентрации оно может ингибировать микроорганизмы (A.4.2.5).
С отдельными материалами некоторые микроорганизмы могут образовывать биопленки, т.е. структуры, в которых микроорганизмы инкапсулированы в матрицы, прочно скрепляющиеся с поверхностью. Микроорганизмы в биопленках могут проявлять увеличенную резистентность к процессу стерилизации. Образование биопленок обычно не происходит при производстве медицинских изделий, хотя в некоторых случаях они могут образовываться, например, при работе с материалами животного происхождения. В таких случаях нужно обратить внимание на возможность образования биопленки и учесть, что методы обработки, изложенные в A.4.2.4.2 и A.4.2.4.10, не могут применяться для выделения микроорганизмов, находящихся в биопленках. Наличие биопленки может быть установлено при валидации методов выделения, если высокое число микробиологических частиц отмечено в повторном выделении (A.5.2.1.1).
Любая технология, применяемая при оценке бионагрузки, должна быть воспроизводимой. Следует избегать условий, которые могут понизить жизнеспособность микроорганизмов, таких как чрезмерная кавитация, механические воздействия, повышение температуры или осмотический шок.
Некоторые методы легче поддаются контролю, чем другие. Изменения метода и средств контроля этих изменений должны рассматриваться при выборе метода и выборе подходящей комбинации изменений. Например, для данного метода может быть увеличено время или изменен принцип механического воздействия для увеличения эффекта удаления организмов.
Некоторые методы могут дезагрегировать продукт при контроле (например, дезинтеграция, растворение и перемешивание). Присутствие дезагрегированного материала может затруднить подсчет количества микроорганизмов и потребовать дополнительной обработки, например, для отделения дезагрегированного материала от элюента. Полученные при этом данные должны быть представительными.
Образцы для тестирования следует передавать в лабораторию как можно скорее. Если задержка передачи образцов в лабораторию неизбежна, то необходимо выбрать условия хранения таким образом, чтобы предотвратить потерю микроорганизмов или изменения их популяции. Должно быть указано максимальное время хранения. Высушивание может быть причиной значительного снижения числа микроорганизмов и должно быть учтено при выборе условий и времени хранения.
A.4.2.4.2 Отмывание
Образец для контроля и известный объем элюента помещают в стерильную емкость для отмывания. В емкости работают двухлопастные мешалки, принуждая элюент проходить через образец и вокруг него. Метод особенно эффективен для мягких, волокнистых и/или абсорбирующих материалов, но неприменим для любых материалов, которые могут привести в негодность емкость, например, устройств, содержащих иглы и большие предметы.
Должно быть указано время обработки.
Этот метод может давать суспензию с низкой концентрацией микроорганизмов, поскольку используется относительно большое количество элюента. Для последовательного подсчета могут потребоваться другие методы, такие как фильтрация (A.4.2.6.2) или чашечный метод (A.4.2.6.3).
A.4.2.4.3 Использование ультразвука
Контролируемый образец погружают в элюент известного объема в соответствующем сосуде. Каждый сосуд и его содержимое обрабатываются в ультразвуковой ванне, или в содержащийся в сосуде элюент погружают ультразвуковой зонд.
Определяют номинальную частоту ультразвука, продолжительность обработки и позиции, в которых образцы находятся в ультразвуковой ванне. Может потребоваться ограничение числа одновременно обрабатываемых образцов, чтобы мощности ультразвука хватило для эффективной обработки.
Метод особенно подходит для твердых водонепроницаемых образцов и продуктов сложной формы. Он может быть деструктивным для некоторых медицинских изделий, в особенности для содержащих электронные компоненты, таких как имплантируемые кардиогенераторы.
Энергия ультразвука и продолжительность обработки не должны быть велики настолько, чтобы вызвать гибель микроорганизмов или перегрев элюента.
A.4.2.4.4 Шейкинг (перемешивание встряхиванием) со стеклянными бусами и без них
Контролируемый образец погружается в сосуд с элюентом известного объема и подвергается тряске на механическом шейкере (возвратно-поступательного, кругового или осевого действия) для удаления микроорганизмов. Может использоваться ручной шейкер, но его эффективность зависит от оператора. Для увеличения поверхностного трения и коэффициента выделения в шейкер могут добавляться стеклянные бусы определенного размера. Размер стеклянных бус, время и частота действия шейкера не должны вызывать перегрева и/или возможного повреждения микроорганизмов.
Добавление стеклянных бус может увеличить площадь поверхности, к которой могут прилипать микроорганизмы.
Должны быть указаны время и частота действия шейкинга.
A.4.2.4.5 Вихревое смешивание
Контролируемые образцы погружают в закрытый контейнер, содержащий известный объем элюента, на который воздействует вращающаяся лопатка вихревого миксера с образованием вихрей.
Должны быть указаны используемый контейнер, время и скорость перемешивания. Образующиеся вихри будут также зависеть от давления, создаваемого руками, которое может быть различным. Метод прост и скор в обращении, но подходит только для образцов с правильными поверхностями.
A.4.2.4.6 Промывание сильным потоком
Элюент проходит через внутренние полости контролируемого образца.
Поток может образовываться за счет гравитации либо с помощью насоса. Может использоваться другой метод, когда продукт наполняют элюентом, затем сжимают и встряхивают.
Должны быть указаны время контакта между устройством и элюентом, скорость промывания и объем жидкости.
A.4.2.4.7 Гомогенизация (дезинтеграция)
Тестируемый образец погружают в элюент известного объема, находящийся в соответствующем сосуде. Образец перемешивают или измельчают в течение заданного времени, которое зависит от размера образца, но время не должно быть настолько большим, чтобы приводить к перегреву элюента и возможному повреждению микроорганизмов. Метод обеспечивает способ разделения образца на столь малые части, что микроорганизмы могут быть пересчитаны соответствующим методом.
A.4.2.4.8 Метод смыва тампонами
Тампоны состоят из абсорбирующего материала для взятия пробы, намотанного на палочку или рукоятку соответствующей формы. Материал может быть растворимым или нерастворимым.
Стандартный метод заключается в увлажнении тампона буферным раствором или жидкой питательной средой и протирании им поверхности, предназначенной для взятия пробы. Коэффициент регенерации может быть повышен в некоторых случаях первичным увлажнением поверхности и затем протиранием ее сухим тампоном. Тампон помещают в буферный раствор или жидкую питательную среду и встряхивают для того, чтобы удалить микроорганизмы из тампона. Тампон растворяется в буферном растворе или жидкой питательной среде. Полученную суспензию анализируют с помощью фильтрации, чашечным методом или другим способом.
Метод смыва применяется для контроля поверхностей неправильной формы или относительно недоступных поверхностей. Он также применим и для контроля больших поверхностей. При использовании этого метода вероятность ошибки велика из-за разнообразия способов манипулирования тампонами. Более того, все микроорганизмы с поверхности не могут быть собраны тампоном. Некоторые из собранных микроорганизмов могут попасть внутрь структуры тампона и таким образом остаться необнаруженными.
В тампоне не должно быть бактерицидных или бактериостатических агентов.
A.4.2.4.9 Покрытие агаром
Покрытие поверхности продукта расплавленной агаровой питательной средой (при максимальной температуре 45 °C) и инкубирование до получения видимых колоний применяют при малой бионагрузке и соответствующей конфигурации продукта.
Возможным недостатком метода является естественное образование конгломератов клеток на поверхностях, распределенных в колониях в контактных поверхностях агара, высыхание агара и возможность наличия анаэробов.
A.4.2.4.10 Контактные пластины
С помощью контактных пластин или слайдов затвердевшая питательная среда может прижиматься к поверхности для адгезии живых микроорганизмов к этой среде. Пластины и слайды инкубируются до появления колоний, которые затем подсчитываются.
Преимущество таких систем заключается в простоте. Результаты непосредственно относятся к поверхности контакта с твердой питательной средой.
Этот метод должен применяться только тогда, когда другие методы неприменимы, так как обычно он имеет низкую эффективность. Контактные пластины и слайды обычно применяются только для плоских поверхностей или поверхностей правильной формы.
A.4.2.5 Элюенты, разбавители и транспортные среды
Во время оценки бионагрузки элюент может использоваться для выделения микроорганизмов из продукта. Транспортные среды могут быть использованы для передачи выделенных микроорганизмов для подсчета. Разбавители могут использоваться для приготовления суспензий, содержащих микроорганизмы в счетных количествах.
Свойства смывных жидкостей и разбавителей могут оказывать заметное влияние на общую эффективность используемого метода. Выбирая элюенты и разбавители, нужно обратить внимание на их состав (например, составляющие компоненты и их концентрации, осмотическое давление и pH). Состав должен быть таким, чтобы не было ни пролиферации, ни инактивации микроорганизмов.
Для удаления микроорганизмов с твердых поверхностей с помощью жидкости в нее может добавляться поверхностно-активное вещество.
Основные элюенты и разбавители приведены в таблице A.1.
Таблица A.1
Примеры элюентов и разбавителей
Раствор
Концентрация в воде
Применение
Рингера
0,25%
Общее
Пептон
0,1 - 1,0%
Общее
Пептонный буфер
0,067 М фосфат
0,43% хлористый натрий
0,1% пептон
Общее
Фосфатный буфер
0,02 М фосфат
0,9% хлористый натрий
Общее
Хлористый натрий
0,25 - 0,9%
Общее
Кальгон Рингера
0,25%
Растворение тампонов с алигинатом кальция
Тиосульфат Рингера
0,25%
Нейтрализация остатков хлора
Вода
Растворение водяных проб, приготовление изотонических растворов растворимых материалов до начала подсчета
Примечание - Этот перечень не является исчерпывающим. Детергент, такой как полисорбат (Твин 80), может добавляться к элюенту и к разбавителю. Как правило, используют концентрацию от 0,01 до 0,1%, в зависимости от специфики применения. Соответствующую концентрацию детергента в каждом случае выбирают с таким расчетом, чтобы избежать пенообразования.
A.4.2.6 Перенос в питательную среду
A.4.2.6.1 Общие положения
Процедура приготовления суспензии микроорганизмов должна предусматривать контроль наличия живых микроорганизмов в элюенте, который должен проводиться одним из методов, описанных в A.4.2.6.2 - A.4.2.6.7.
Перед переносом в питательную среду может потребоваться дополнительная обработка, чтобы дезагрегировать микроорганизмы и таким образом уменьшить разброс. В некоторых случаях метод, используемый для выделения микроорганизмов из контролируемого образца, может разрушать агрегаты. В некоторые моменты может быть необходимо проведение отдельной обработки.
Если в элюенте присутствуют бактерицидные или бактериостатические вещества, их концентрация может быть снижена до значения, не оказывающего никакого влияния на микроорганизмы при растворении, фильтрации или химической инактивации. Присутствие бактерицидных или бактериостатических веществ может по этой причине оказать влияние на выбор метода подсчета.
В методе подсчета колоний нужно принимать во внимание верхний предел колоний, появляющихся при инкубировании. Он должен быть таким, чтобы каждый живой микроорганизм мог быть выявлен как видимая колония, не испытывающая вредного влияния находящихся рядом микроорганизмов. Присутствие волокон может препятствовать образованию дискретных колоний и, следовательно, затруднять подсчет.
A.4.2.6.2 Мембранная фильтрация
Мембранная фильтрация и последующая инкубация фильтра на подходящей питательной среде для получения видимых колоний является эффективным средством оценки контаминации. Мембранные фильтры с соответствующими размерами пор способны удалять микроорганизмы из элюента, проходящего через них. Фильтр с порами размером 0,45 мкм обычно используется для улучшения условий образования колоний. Для инкубации мембранный фильтр может быть положен либо на поверхность агара, либо на абсорбирующую прокладку, пропитанную питательной средой. Образованные на поверхности мембранного фильтра колонии могут быть подсчитаны и изолированы для их классификации.
Мембранная фильтрация особенно пригодна для суспензий с низкой концентрацией микроорганизмов.
Фильтрацию используют, если жидкий субстрат содержит бактерицидные или бактериостатические вещества. Микроорганизмы удаляются из элюента и могут быть отмыты на мембранном фильтре перед инкубированием. Некоторые типы мембран могут абсорбировать или выделять вещества, которые могут ингибировать рост микроорганизмов, поэтому важно, чтобы использовались только мембранные фильтры, соответствующие целям подсчета микроорганизмов. Мембранный фильтр и элюент должны быть совместимы.
Обычно применяется вакуум или иногда сжатый воздух. Нужно проявлять осторожность, чтобы избегать избыточного противодавления, которое может вызвать изменение или повреждение мембранного фильтра.
Примечание - Мембранная фильтрация элюентов, содержащих остатки волокнистых продуктов, может быть затруднена, так как мембранный фильтр может быть блокирован.
A.4.2.6.3 Заливаемые пластины (метод разливок)
Отдельные части суспензии (аликвоты) каждого разведения смешивают с расплавленным агаром при температуре, не превышающей 45 °C, которые затвердевают на пластине, например, на чашке Петри. Залитую чашку инкубируют и подсчитывают колонии.
Заливаемые пластины не отделяют микроорганизмы от элюента. При наличии бактерицидных или бактериостатических веществ нужно руководствоваться рекомендациями A.4.2.6.1.
A.4.2.6.4 Пластины с распределением суспензии
Определенное количество данного разведения распределяют на поверхности твердой питательной среды с помощью шпателя.
Количество суспензии, распределенное на поверхности среды, должно быть поглощено средой так, чтобы образовались отдельные колонии; условие абсорбции определяет объем суспензии, который может использоваться на чашке.
При наличии бактерицидных или бактериостатических веществ нужно руководствоваться рекомендациями A.4.2.6.1.
A.4.2.6.5 Метод наиболее вероятного числа (НВЧ) для серийных разведений
При достаточном количестве элюента может быть сделан ряд последовательных разведений, которые инокулируются в питательную среду так, что часть инокулированной среды не дает видимого роста при последующей инкубации. Статистическая обработка числа разведений, в которых наблюдается рост, обеспечивает оценку исходного количества микроорганизмов. Таблицы [14], построенные на основе соответствующих статистических положений, позволяют непосредственно определить наиболее вероятное число микроорганизмов (НВЧ).
Метод НВЧ прост, но диапазон условий культивирования, который может быть использован, ограничен, и статистическая основа метода делает его более приемлемым скорее для ориентировочных, чем для точных оценок.
Если присутствуют бактерицидные или бактериостатические вещества, то нужно руководствоваться рекомендациями A.4.2.6.1.
A.4.2.6.6 Спиральные пластины
Определенное количество суспензии микроорганизмов распределяется на поверхности твердой питательной среды. Распределение происходит с уменьшающейся скоростью по спирали от центра чашки к периферии с помощью автоматического устройства.
После последующей инкубации число микроорганизмов в исходной суспензии определяется с помощью специальной счетной сетки и счетной техники, когда основой расчетов является вся чашка или обсчитываемый сектор.
При наличии бактерицидных или бактериостатических веществ нужно руководствоваться рекомендациями A.4.2.6.1.
Техника спиральных пластин дает воспроизводимые результаты, которые соответствуют результатам, полученным по методу серийных разведений, и технике распределения суспензии. Благодаря конструкции устройства, использованию капиллярной трубки и малым объемам метод спиральных пластин в первую очередь оказывает благоприятное влияние на инокулированную суспензию, которая хорошо гомогенизируется и становится свободной от частиц материала.
A.4.2.6.7 Метод НВЧ для твердых образцов
Метод НВЧ может быть применен к небольшим отдельным образцам. Метод применим при достаточно низкой бионагрузке на образец и в случае, когда часть образцов, непосредственно введенных в питательную среду, не дает роста при инкубации. Результаты могут быть оценены по A.4.2.6.5. Для некоторых продуктов может быть подходящим введение более чем одного образца в каждую порцию среды роста.
При наличии бактерицидных или бактериостатических веществ нужно руководствоваться рекомендациями A.4.2.6.1.
A.4.2.7 Другие методы индикации микроорганизмов
Для определения бионагрузки, кроме метода подсчета колоний, могут применяться методы измерения метаболической активности (например, измерение сопротивления или эпифлуоресценция). Такие методы называют непрямыми. Эти методы должны быть калиброваны по числу колоний. Эти методы требуют относительно большого числа микроорганизмов в элюенте пробы, что ограничивает их применение. Как правило, минимальный предел обнаруживаемых частиц превосходит 100 колониеобразующих единиц (КОЕ).
A.4.3 Выбор питательных сред и условий инкубации
При выборе питательных сред и условий инкубации нужно учитывать следующее:
a) ни одна комбинация среды и условий инкубации не может обеспечить роста всех микроорганизмов, однако некоторые комбинации могут дать более представительные результаты, чем другие;
b) валидационные испытания могут потребовать более широкого диапазона питательных сред и условий инкубации, чем в текущем процессе;
c) прямой посев на селективные среды может не дать роста микроорганизмов, подвергшихся физиологическому стрессу, или поврежденных микроорганизмов;
d) выбор условий культивирования может быть сделан на основе оценки контролируемого продукта, вероятных источников микробной контаминации и вида предполагаемых микроорганизмов.
Примеры питательных сред и условий инкубации приведены в таблице A.2.
Таблица A.2
Примеры питательных сред и условий инкубации
Тип микроорганизмов
Твердая питательная среда
Жидкая питательная среда
Условия инкубации <1>
Неселективные аэробные бактерии
Соево-казеиновый питательный агар
Триптоно-соевый питательный агар
Питательный агар
Кровяной агар
Глюкозо-триптоновый агар
Соево-казеиновый питательный бульон
Триптоно-соевый бульон
Питательный бульон
От 30 до 35 °C, от 2 до 5 сут.
Дрожжи и плесени
Декстрозовый агар Сабуро
Агар солодового экстракта
Бенгальская роза
Хлороамфениколовый агар (Соево-казеиновый питательный агар)
Триптоно-соевый агар
Декстрозовый бульон Сабуро
Бульон солодового экстракта
Соево-казеиновый бульон
Триптоно-соевый бульон
От 20 до 25 °C, от 5 до 7 сут.
Анаэробные бактерии
Уплотненный агар для клостридий <2>
Агар Шидлера
Предварительно восстановленный кровяной агар <2>
Обедненный анаэробный агар <2>
Агар Вилкена-Челгрена <2>
Бульон Робертсона из жареного мяса
Жидкий тиогликолевый бульон
От 30 до 35 °C, от 3 до 5 сут.
<1> Указанные здесь условия инкубации являются обычными для типов микроорганизмов, приведенных в таблице.
<2> Культивируется в анаэробных условиях.
Примечание - Этот список не является исчерпывающим.
Дрожжи и плесени могут быть культивированы путем повторной инкубации чашек с аэробными бактериями и соответствующими питательными средами при более низких температурах, чем те, которые приведены в таблице A.2, дополнительно в течение от трех до семи дней. Этот метод требует более тщательного обращения.
Все методы неселективного культивирования анаэробов могут также выявить рост факультативных анаэробов.
A.5 Валидация методов оценки бионагрузки
A.5.1 Общие положения
Валидация методов оценки бионагрузки приводит к оценке микрофлоры, существующей на продукте. Для надежной оценки следует валидировать все используемые методы и определить эффективность регенерации.
A.5.2 Валидация методов удаления микроорганизмов
A.5.2.1 Подходы к валидации
Существуют два основных подхода к валидации эффективности удаления микроорганизмов из медицинских изделий. Эти подходы следующие:
a) повторяющаяся обработка пробы продукта;
b) инокуляция продукта определенным количеством микроорганизмов.
Повторяющаяся обработка пробы имеет преимущество при использовании естественной микробной контаминации, но требует относительно высокой начальной бионагрузки. Второй подход создает модель системы для испытаний, но ставит проблему применимости к естественной ситуации. Он может быть пригоден для продуктов с низким уровнем естественной контаминации.
A.5.2.1.1 Метод повторяющихся регенераций
Принцип метода заключается в том, что оценка бионагрузки повторяется до тех пор, пока число микроорганизмов, полученных при взятии проб, перестает увеличиваться. После каждой повторности элюент полностью смывают с продукта или его части и подсчитывают количество микроорганизмов. Аккумулированные результаты последовательных смывов сравнивают. Этот метод не обладает необходимой точностью. Нельзя определить точное соотношение между числом выявленных микроорганизмов и их действительным числом на продукте.
A.5.2.1.2 Метод инокуляции продукта
Для определения эффективности выделения может создаваться искусственная бионагрузка продукта инокуляцией известного количества выбранных микроорганизмов. Микроорганизмы могут быть вегетативными клетками или спорами; обычно используют аэробные бактериальные споры. Применение вегетативных микроорганизмов на практике затруднено из-за потери их жизнеспособности при высушивании.
Микроорганизмы, используемые для валидационных исследований, выбирают, исходя из естественной бионагрузки. Выбранные микроорганизмы могут включать представителей:
a) плесеней;
b) мезофильных вегетативных микроорганизмов (грамположительных и/или грамотрицательных);
c) спор спорообразующих грамположительных бактерий.
Использование анаэробных спорообразующих бактерий для валидационных исследований может представлять большие практические трудности.
Жизнеспособные частицы должны быть установлены во время инокуляции. После высушивания инокулята, если это допустимо для конкретного продукта, используется выбранный для него метод выделения микроорганизмов. Отношение полученного титра к титру исходного инокулята дает эффективность регенерации для конкретного метода и продукта.
Микробная инокуляция имеет такие ограничения, как инкрустация, адгезия суспензии, группировка клеток в конгломераты и колебания уровня инокулята, и эти ограничения должны приниматься в расчет при инокуляции продукта.
Инокуляция продуктов из абсорбирующих материалов может совершаться погружением в суспензию выбранных микроорганизмов. Эта процедура может приводить к равномерному распределению микроорганизмов на продукте.
A.5.2.2 Элюент
Элюент не должен способствовать росту или ингибировать рост микроорганизмов, удаляемых с продукта. Чтобы установить такой эффект элюента, небольшое известное количество микроорганизмов должно быть инокулировано в продукт и оставлено в элюенте на время, представляющее худшие условия работы с ним. Тогда метод оценки бионагрузки может быть использован с учетом эффектов ингибирования или способствования росту.
A.5.2.3 Физические методы удаления
Для удаления микроорганизмов из продукта могут быть использованы физические воздействия (A.4.2.4). Должна быть установлена эффективность этого воздействия на оценку бионагрузки с использованием небольшого количества микроорганизмов (около 100 КОЕ). Эффективность определяется путем подсчета микроорганизмов. При этом должны приниматься во внимание возможные эффекты воздействия элюента на выживаемость удаляемых из продукта микроорганизмов (A.5.2.2).
A.5.3 Валидация методов подсчета
A.5.3.1 При валидации методов подсчета нужно учитывать:
a) вид введенных микроорганизмов;
b) число ожидаемых микроорганизмов-контаминантов. Для этого может потребоваться концентрирование или разведение элюента;
c) возможность использования метаболической активности для оценки числа микроорганизмов.
A.5.3.2 Валидация оценки бионагрузки зависит главным образом от следующих факторов:
a) способности выбранных питательных сред поддерживать выявленные микроорганизмы, составляющие бионагрузку;
b) соотношения выбранной температуры и времени инокуляции поддерживающих рост микроорганизмов в выбранной питательной среде.
A.6 Использование методов оценки
A.6.1 Общие положения
При использовании оценки бионагрузки для определения режима стерилизации важное значение имеет точность этой оценки. При текущем контроле процесса производства нужно пользоваться точным методом оценки бионагрузки, чтобы установить изменения до того, как будет достигнут уровень, при котором стерилизация окажется неэффективной.
Для подтверждения адекватности установленного процесса стерилизации на практике необходимо иметь общее представление о бионагрузке, причем оценка ее должна быть аккуратной и точной.
Оценка бионагрузки во время начальной валидации дает основу для обнаружения изменений в процессе эксплуатации. Эта оценка может служить для определения непредвиденных изменений или влияния изменений на производственный процесс или производственную среду. Установление контролируемых пределов процесса и анализ тенденций позволяют своевременно определять изменения бионагрузки.
A.6.2 Пределы контроля
Выбор пределов оценки бионагрузки при контроле основывается на ретроспективном анализе. Данные могут анализироваться на соответствие известному математическому распределению (например, нормальному, распределению Пуассона, биноминальному). Экспериментальные статистические данные могут быть преобразованы и использованы для построения известного математического распределения. Если это успешно сделано, то могут быть вычислены доверительные пределы для оценки. Неправильное преобразование полученных данных к известному математическому распределению может привести к неверному результату.
При невозможности получения известного распределения самый легкий и наиболее распространенный путь установления пределов - это ретроспективный анализ данных и нахождение уровня, ниже которого располагаются 95% числа выживших колоний микроорганизмов (или 90%, или 99%). Периодический обзор принятых пределов, соответствующих требованиям, указан в настоящем стандарте.
A.6.3 Анализ тенденций при контроле
Анализ тенденций проводят для подтверждения того, что процесс изменился, даже если оценки находятся в установленных пределах. Анализ выполняется путем изучения данных, отклоняющихся от обычного случайного распределения оценок.
ИС МЕГАНОРМ: примечание.
В официальном тексте документа, видимо, допущена опечатка: пункт [21] в библиографии отсутствует.
Допускается применять стандартные принципы статистического контроля [20, 15, 17, 18, 21].
Тенденции изменений в процессе с постепенным увеличением числа подсчитанных микроорганизмов могут маскироваться случайными отклонениями или известными циклическими флуктуациями (например, сезонными колебаниями) и поэтому могут остаться незамеченными.
Очень часто микробиологические данные находятся на удовлетворительном уровне в течение определенного времени, после чего дают явный, обычно короткий пик. Следует контролировать частоту появления этих пиков.
Приложение B
(справочное)
РУКОВОДСТВО
ПО ВАЛИДАЦИИ МИКРОБИОЛОГИЧЕСКИХ МЕТОДОВ ОЦЕНКИ
B.1 Введение
В этом приложении приведены методы, которые могут быть использованы для валидации методов оценки бионагрузки. Могут быть использованы иные подходы.
Для точного применения этих методов необходим соответствующим образом подготовленный и квалифицированный персонал. Необходимо учитывать конфигурацию продукта и ситуации, в которых среди микроорганизмов, составляющих бионагрузку, находятся некоторые контаминанты.
B.2 Валидация методов удаления микроорганизмов из продуктов
Примечание - В этом приложении содержатся два метода валидации процесса удаления микроорганизмов из продукта, которые были введены в A.5.2; в B.2.1 приведен метод повторяющейся обработки (A.5.2.1.1), в B.2.2 - метод инокулированного продукта (A.5.2.1.2).
B.2.1 Валидация с использованием повторяющейся обработки
Примечание - При этом методе для валидации используют фактическую бионагрузку. Иногда этот метод именуется "избыточной регенерацией".
B.2.1.1 Перед началом валидации процесса удаления микроорганизмов из продукта бионагрузка должна быть определена и документирована.
Примечание - В процессе экспериментов принятый метод нельзя заменять другим. Поэтому необходимо провести предварительные эксперименты для поиска и оптимизации метода, который подлежит валидации.
B.2.1.2 Отбирается определенное количество продуктов или частей продуктов, для которых нужно определить коэффициент регенерации. Каждый продукт должен быть испытан (B.2.1.1). Этот метод используется для оценки числа микроорганизмов на продукте.
После определения микробной загрязненности продукта этот же метод может быть использован несколько раз для того же продукта, чтобы определить эффективность отбора.
Примечание - Точное число повторений, которое может быть сделано, зависит от множества факторов, включая природу продукта и микроорганизмов, составляющих бионагрузку, и исходного уровня контаминации. Для определения числа повторений могут быть проведены предварительные эксперименты.
B.2.1.3 Для некоторых продуктов полезно выяснить, остались ли жизнеспособные микроорганизмы на продукте после повторной обработки. Это можно сделать одним из следующих способов:
a) покрытие поверхности продукта расплавленной питательной средой, которая после затвердевания помещается в подходящие условия культивирования (A.4.2.4.9). Образовавшиеся колонии подсчитываются;
b) погружение продукта в жидкую питательную среду с последующим культивированием и исследованием роста. Если после погружения в жидкую питательную среду и культивирования на части продуктов присутствуют живые микроорганизмы, то результаты могут быть использованы для вычисления по методу НВЧ (A.4.2.6.7). Если на всех образцах отмечается рост, метод НВЧ нельзя использовать, и метод валидации должен быть пересмотрен.
B.2.1.4 Число колоний, подсчитанных после первичного применения методов удаления (B.2.1.2), выражают как часть общего числа подсчитываемых колоний.
Примечание - Часть общего числа колоний может быть рассчитана для каждого продукта и использована для определения эффективности отбора. В B.5.2.1.1 приведен рабочий пример.
B.2.2 Валидация с использованием инокулированного продукта
B.2.2.1 Используемый метод валидации должен быть определен и документирован перед началом валидации процесса удаления микроорганизмов из продукта.
Примечание - Важно не менять методы в процессе валидационных экспериментов. Поэтому может оказаться необходимым провести предварительные эксперименты для поиска и оптимизации метода, который подлежит валидации.
B.2.2.2 Должна быть приготовлена суспензия микроорганизмов, используемая для инокуляции продукта, и в ней должны быть подсчитаны жизнеспособные микроорганизмы.
Примечание - Выбор микроорганизмов, используемых для валидации путем инокуляции продукта, рассматривается в A.5.2.1.2. Микроорганизмы, выбранные для инокуляции, должны противостоять воздействию процесса высушивания. Поэтому обычно используются споры аэробных бактерий. Считаются подходящими по своим свойствам споры Bacillus subtilis var. niger; может быть пригодной водная суспензия Bacillus subtilis var. niger, приготовленная в соответствии с ISO 11138-2.
B.2.2.3 Должно быть приготовлено соответствующее разведение этой суспензии и определено количество жизнеспособных микроорганизмов в этом разведении. Инокулят должен иметь ту же концентрацию, что и естественная контаминация продукта. Для образцов с низкой бионагрузкой может быть подходящим объем суспензии с концентрацией, позволяющей расположить на продукте 100 живых микроорганизмов.
Примечание - Может оказаться необходимым проведение предварительных экспериментов (B.2.2.1).
B.2.2.4 Должно быть выбрано некоторое количество стерильных продуктов или их частей. Каждый продукт инокулируется определенным объемом суспензии микроорганизмов (B.2.2.3) и, если это допустимо для конкретного продукта, подвергается сушке в условиях ламинарного потока воздуха.
Примечание - Если образец был простерилизован оксидом этилена, то он должен быть полностью проветрен, чтобы уменьшить влияние каких бы то ни было остатков оксида этилена. Все возможные эффекты ингибирования, вызываемые выделениями веществ из продуктов, должны быть исследованы в предварительных экспериментах (B.2.2.1 и B.4).
Суспензия должна быть распределена в продукте таким образом, чтобы часть продукта, из которой наиболее трудно удалить микроорганизмы в естественном процессе, тоже была включена.
B.2.2.5 Установленные методы (B.2.2) используются для определения числа инокулированных микроорганизмов, удаляемых из продукта.
B.2.2.6 Число удаляемых микроорганизмов выражается как часть числа микроорганизмов, инокулированных в продукт. Такие части могут быть рассчитаны для каждого продукта (B.2.2.4) и использованы для вычисления эффективности отбора. В разделе B.5 приведен конкретный пример.
Примечание - Данные, отклоняющиеся от результатов валидации регенерации процесса отбора, использующей прямую инокуляцию, должны рассматриваться с осторожностью, так как этот метод может неточно имитировать истинную бионагрузку.
B.3 Оценка условий культивирования
Условия культивирования, т.е. питательная среда и условия инкубирования, выбранные для оценки бионагрузки, не могут обеспечить обнаружения всех потенциальных контаминантов. Поэтому на практике неизбежно занижение бионагрузки. Тем не менее решение об условиях культивирования должно быть принято. Эти условия следует определить при валидации метода оценки (7.2).
Рациональное определение условий культивирования базируется на знании процесса производства, производственной среды и материалов и последующем сравнении микроорганизмов, подсчитанных при этих условиях культивирования и альтернативных комбинациях питательной среды и условий инкубирования.
Если при этом подходе получена низкая бионагрузка, то предложенные условия культивирования должны быть пересмотрены с целью оптимизации количества подсчитанных микроорганизмов.
B.4 Проверка выделения веществ, противодействующих оценке бионагрузки
Эта проверка имеет целью изучение воздействия на потенциально чувствительные микроорганизмы веществ, которые могут выделяться в суспензирующую жидкость. Здесь приведен пример подхода, который может быть использован для оценки методов на соответствие 6.2 настоящего стандарта и A.4.2.6.1.
B.4.1 Должны быть выбраны стерилизуемые продукты, и каждый продукт должен быть подвергнут испытанию для определения эффекта удаления микроорганизмов с помощью процессов, которые надлежит использовать в текущей работе. Если в процессе удаления используют элюент, то следует использовать процедуру, описанную в B.4.2. Если продукт непосредственно вводится в питательную среду, то более подходящим является 4.3.
B.4.2 Если в процессе удаления микроорганизмов используется элюент (A.4.2.5), то в него вводится определенное количество потенциально чувствительных микроорганизмов. Число используемых микроорганизмов должно быть приблизительно равным 100. Бактериостатические тесты, в основном, описаны в фармакопеях.
Примечание - В фармакопеях указываются виды используемых микроорганизмов или указывается возможность применения альтернативных микроорганизмов, таких как Pseudomonas fluorescens. Получающаяся в результате суспензия должна выдерживаться в течение периода времени, равного, по крайней мере, максимально допустимому времени, которое применяется для оценки бионагрузки. Затем подсчитывается число живых микроорганизмов.
B.4.3 Если продукт непосредственно вводится в питательную среду (например, оценка по методу НВЧ; A.4.2.6.7), то могут использоваться бактериостатические тесты, описанные в фармакопейных монографиях.
В этих тестах продукт вводится непосредственно в питательную среду и инкубируется в течение указанного времени. Затем малое количество микроорганизмов (B.4.2) вводят в питательную среду, и инкубация продолжается. После указанного периода времени питательная среда исследуется на рост живых микроорганизмов.
B.4.4 Если число инокулированных и число регенерированных микроорганизмов по B.4.2 отличаются значительно или вообще роста микроорганизмов по B.4.3 не отмечается, то техника оценки бионагрузки должна быть пересмотрена. Может оказаться необходимым ввести стадию нейтрализации или фильтрации для удаления ингибирующих веществ (A.4.2.6.1).
B.5 Пример расчетов корректирующих коэффициентов
B.5.1 Введение
Ниже приведены два примера расчета корректирующего коэффициента. Полученные величины необязательно использовать для оценки результатов валидационных экспериментов.
B.5.2 Валидация техники выделения
B.5.2.1 Повторяющаяся обработка
B.5.2.1.1 Идеализированная группа данных приведена в таблице B.1. Данные содержат пять повторностей для медицинских изделий.
Таблица B.1
Число колоний, определенных для медицинского изделия
при повторяющейся обработке в пяти повторностях
Опыты
Число колоний в повторностях
Среднее число колоний
1
2
3
4
5
1
60
50
70
55
45
56
2
10
12
5
2
3
6,4
3
1
0
2
0
0
0,6
4
0
1
0
0
1
0,4
Покрытие агаром
10
5
7
4
2
5,6
Общее число колоний
81
68
84
61
51
69
B.5.2.1.2 По данным таблицы B.1 эффективность выделения может быть рассчитана следующим образом:
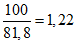
Средняя эффективность выделения микроорганизмов равна 81,8%. Пределы колебаний составляют 74 - 90%.
Примечание - В расчеты включена идеализированная ситуация с использованием метода покрывающего агара. Применению этого метода может препятствовать природа некоторых видов медицинских изделий (B.2.1.3 а).
Первые выделения
60
50
70
55
45
Общие
81
68
84
61
51
Отбор, %
74
74
83
90
88
B.5.2.1.3 Используя среднюю эффективность выделения, получим корректирующий коэффициент
Примечание - В некоторых случаях может быть принято решение использовать меньший предел колебаний, чтобы получить расчет для наихудших условий. Решение будет зависеть от намеченного использования данных.
B.5.2.2 Инокуляция продукта
B.5.2.2.1 Выбран метод инокуляции продукта, так как предварительные эксперименты показали, что бионагрузка была очень мала.
B.5.2.2.2 Была приготовлена суспензия Bacillus subtilis var. niger и было определено число жизнеспособных микроорганизмов с использованием оптимальных условий культивирования.
B.5.2.2.3 Было приготовлено разведение суспензии, в котором 0,1 мл содержит 100 спор. Выбранная часть медицинских изделий была инокулирована этим разведением суспензии и оставлена для высыхания под ламинарным потоком воздуха.
B.5.2.2.4 Из инокулированных продуктов выбранным процессом выделены споры Bacillus subtilis, причем среднее число выделенных спор равнялось 35 с пределами колебаний от 25 до 40.
B.5.2.2.5 Корректирующий коэффициент для эффективности выделения равен:
B.5.3 Оценка бионагрузки
Оценка бионагрузки может быть выполнена умножением предстерилизационного числа на корректирующий коэффициент, вычисленный по B.5.2 настоящего стандарта.
Библиография
[1] ISO/IEC Guide 25-90 Общие требования к компетентности поверочных и испытательных лабораторий
[2] ISO 9000-3:1997 Стандарты в области административного управления качеством и обеспечения качества. Часть 3. Руководящие указания по применению стандарта ISO 9001 при разработке, поставке и обслуживании программного обеспечения
[3] ISO 9004-1:1994 Административное управление качеством и элементы системы качества. Часть 1. Руководящие указания
[4] ISO/TR 13409:1996 Стерилизация медицинской продукции. Радиационная стерилизация. Обоснование использования дозы в 25 кГр как стерилизующей для небольших или нечасто изготавливаемых партий продукции
[5] ISO 13485:1996 Системы качества. Медицинские изделия. Частные требования к применению стандарта ИСО 9001
[6] ISO 13488:1996 Системы качества. Медицинские изделия. Частные требования к применению стандарта ИСО 9002
[7] Ассоциация британской медицинской промышленности и группы по гамма- и электронному облучению Соединенного Королевства. Руководство по оценке микробной контаминации: мониторинг окружающей среды и биозагрязнений, 1992. - Association of British Health-Care Industries and UK Panel on Gamma and Electron Irradiation. Guidelines for the estimation of microbial contamination; environmental and bioburden monitoring, 1992.
[8] Боналски Дж. Р. Моделирующая система для тестирования сырья на содержание микроорганизмов. Фарм. Технол., 4(2), 1980, стр. 49 - 51. - Bonalsky J.R. A model system for testing raw materials for microbial content. Pharm. Technol., 4(2), 1980, pp. 49 - 51
[9] Де Ман Дж. К. Откорректированные таблицы MPN. Европейский журнал прикладной микробиологии, 17, 1983, стр. 301 - 305. - DeMan J.C. MPN tables corrected. Eur. J. Appl. Microbiol. 17, 1983, pp. 301 - 305
[10] Голдсмит П.Л. и Уитфилд Х. Средняя длина прогона в схемах кумулятивного контроля качества.
Технометрикс, 3, 1961, стр. 11 - 20. - Goldsmith P.L. and Whitfield H. Average run length in cumulative chart quality control schemes. Technometrics, 3, 1961, pp. 11 - 20
[11] Холлз Н.А. Halls N.A. et al. Случай нетипично высоких предстерилизационных чисел (всплесков) на гиподермических продуктах. Радиационная физическая химия, 22, (3 - 5) 1983, стр. 663 - 666. - The occurrence of atypically high presterilization microbial counts ("spikes") on hypodermic products. Radiat. Phys. Chem., 22, (3 - 5) 1983, pp. 663 - 666
[12] Джонсон Р.А. и Брэдшоу М. Эффект последовательной корреляции при выполнении тестов CUSUM. Технометрикс, 16, 1974, стр. 103 - 112. - Johnson R.A. and Bradshaw M. The effects of serial correlation on the performance of CUSUM tests. Technometrics, 16, 1974, pp. 103 - 112
[13] Лукас Дж. М. Разработка и использование схем контроля В-маск. Журнал технологии качества, 8(1), 1976. - Lucas J.M. The design and use of V-mask control schemes. J. Qual. Technol., 8(1), 1976
[14] Лундхолм М. Сравнение методов количественного определения бактерий в воздухе и оценка общей микробной контаминации. Прикладная микробиология окружающей среды, июль 1982, стр. 179 - 183. - Lundholm M. Comparison of methods of quantitative determinations of airborne bacteria and evaluation of total viable counts. Appl. Environ. Microbiol., July 1982, pp. 179 - 183
[15] Мал О. SPC и непрерывное улучшение, Публикации IFS, 1989. - Mal O. SPC and Continuous Improvement, IFS Publications, 1989
[16] Пэйдж Е.С. Общие кумулятивные диаграммы. Технометрикс, 3, 1961, стр. 1 - 9. - Page E.S. Cumulative sum charts. Technometrics, 3, 1961, pp. 1 - 9
[17] Целевая группа PDA по валидации восстановления живых организмов. Техн. отчет: Валидация восстановления живых организмов. Журнал парентеральной науки и технологии, 44(6), 1990, стр. 324 - 331. - PDA Bioburden recovery validation Task Force. Technical Report: Bioburden Recovery Validation. J. Parenter. Sci. technol., 44(6), 1990, pp. 324 - 331
[18] Пулео Дж. Р., Фаверо М.С. и Петерсон Дж. Использование ультразвуковой энергии при оценке микробного загрязнения поверхностей. Прикладная микробиология, 15(6), 1957, стр. 1345 - 1351. - Puleo J.R., Favero M.S. and Peterson J.J. Use of ultrasonic energy in assessing microbial contamination on surfaces. Appl. Microbiol., 15(6), 1967, pp. 1345 - 1351
[19] Ширц Дж. Т. Тесты на стерильность. Фармацевтическая инженерия, ноябрь - декабрь 1987, стр. 35 - 37. - Shirtz J.T. Sterility testing. Pharm. Eng., November - December, 1987, pp. 35 - 37
[20] Сокольски У.Т. и Чидестей К.Г. Усовершенствованный метод подсчета микроорганизмов для мазей, содержащих бензин. Журнал фармацевтических наук, 53, 1964, стр. 103 - 107. - Sokolsky W.T. and Chidestey C.G. Improved viable counting method for petroleum-based ointments. J. Pharm. Sci., 53, 1964, pp. 103 - 107
Приложение ДА
(справочное)
СВЕДЕНИЯ
О СООТВЕТСТВИИ МЕЖГОСУДАРСТВЕННЫХ СТАНДАРТОВ
ССЫЛОЧНЫМ МЕЖДУНАРОДНЫМ СТАНДАРТАМ
Таблица ДА 1
Обозначение и наименование международного стандарта
Степень соответствия
Обозначение и наименование межгосударственного стандарта
ISO 11134:1994
Стерилизация медицинской продукции. Требования к валидации и текущему контролю. Промышленная стерилизация влажным теплом
-
ИС МЕГАНОРМ: примечание.
ГОСТ ISO 11135-2012 утратил силу с 1 сентября 2018 года в связи с введением в действие ГОСТ ISO 11135-2017 (Приказ Росстандарта от 22.08.2017 N 938-ст).
ISO 11135:1994
Медицинские изделия. Проверка достоверности и текущий контроль стерилизации оксидом этилена
IDT
ГОСТ ISO 11135-2012 Медицинские изделия. Валидация и текущий контроль стерилизации оксидом этилена
ISO 11137:1995
Стерилизация медицинской продукции. Требования к валидации и текущему контролю. Радиационная стерилизация
-
ISO 11138-2:1994 Стерилизация медицинской продукции. Биологические индикаторы. Часть 2. Биологические индикаторы для стерилизации оксидом этилена
IDT
ГОСТ ISO 11138-2-2012 Стерилизация медицинской продукции. Биологические индикаторы. Часть 2. Биологические индикаторы для стерилизации оксидом этилена
ISO 9001:1994 Системы качества. Модель для обеспечения качества при проектировании, разработке, производстве, монтаже и обслуживании
-
ISO 9002:1994 Системы качества. Модель для обеспечения качества при производстве, монтаже и обслуживании
-
<*> Соответствующий межгосударственный стандарт отсутствует. До его утверждения рекомендуется использовать перевод на русский язык данного международного стандарта. Перевод данного международного стандарта находится в Федеральном информационном фонде технических регламентов и стандартов.
Примечание - В настоящем стандарте использовано следующее условное обозначение степени соответствия стандарта:
- IDT - идентичные стандарты.