Главная // Актуальные документы // ГОСТ (Государственный стандарт)СПРАВКА
Источник публикации
М.: Издательство стандартов, 1982
Примечание к документу
С 1 июля 2003 года до вступления в силу технических регламентов акты федеральных органов исполнительной власти в сфере технического регулирования носят рекомендательный характер и подлежат обязательному исполнению только в части, соответствующей целям, указанным в
пункте 1 статьи 46 Федерального закона от 27.12.2002 N 184-ФЗ.
Документ
введен в действие с 1 января 1980 года.
Название документа
"ГОСТ 8.320-78. Государственный стандарт Союза ССР. Государственная система обеспечения единства измерений. Расходомеры электромагнитные. Методы и средства поверки"
(введен Постановлением Госстандарта СССР от 17.08.1978 N 2237)
"ГОСТ 8.320-78. Государственный стандарт Союза ССР. Государственная система обеспечения единства измерений. Расходомеры электромагнитные. Методы и средства поверки"
(введен Постановлением Госстандарта СССР от 17.08.1978 N 2237)
Постановлением Государственного
комитета СССР по стандартам
от 17 августа 1978 г. N 2237
ГОСУДАРСТВЕННЫЙ СТАНДАРТ СОЮЗА ССР
ГОСУДАРСТВЕННАЯ СИСТЕМА ОБЕСПЕЧЕНИЯ ЕДИНСТВА ИЗМЕРЕНИЙ
РАСХОДОМЕРЫ ЭЛЕКТРОМАГНИТНЫЕ
МЕТОДЫ И СРЕДСТВА ПОВЕРКИ
State system for ensuring the uniformity of measurements.
Flowmeter electromagnetic industry. Methods and means
for verification
ГОСТ 8.320-78
Группа Т88
Постановлением Государственного комитета СССР по стандартам от 17 августа 1978 г. N 2237 срок введения установлен
с 1 января 1980 года
Переиздание. Ноябрь 1981 г.
Настоящий стандарт распространяется на электромагнитные расходомеры (далее - расходомеры) по ГОСТ 11988-72 и устанавливает методы и средства их первичной и периодической поверок.
1.1. При проведении поверки должны быть выполнены операции, указанные ниже:
проверка герметичности и прочности трубы преобразователя расхода
(п. 4.3);
проверка сопротивления изоляции электродов преобразователя расхода
(п. 4.4);
проверка сопротивления изоляции цепей питания расходомера
(п. 4.5);
определение основной погрешности расходомера
(п. 4.6).
2.1. При проведении поверки расходомеров должны быть применены следующие образцовые и вспомогательные средства измерений:
поверочная расходомерная установка по ГОСТ 8.252-77 или установка типа УГИР (см. справочное
Приложение 1). Основные технические характеристики этих установок приведены в справочном
Приложении 2;
амперметр типа М1104 с пределом измерения 7,5 мА, класса точности 0,2 по ГОСТ 8711-78 или измерительный преобразователь типа Ф-573 класса точности 0,1 по ГОСТ 14014-68;
мегаомметр типа М4100/1-5 на номинальное напряжение 500 В по ГОСТ 23706-79;
образцовый манометр типа МО с пределом измерения 0 - 1,6 кгс/см2, класса точности 0,25 по ГОСТ 6521-72;
контрольный манометр с пределами измерения 0 - 10, 0 - 16 и 0 - 40 кгс/см2, класса точности не ниже 0,4 по ГОСТ 2405-80.
Соотношение пределов допускаемых относительных погрешностей образцовых и поверяемых средств измерения должно быть не более 1:3 по ГОСТ 8.145-75.
2.2. Все образцовые средства и приборы должны быть аттестованы (поверены) органами государственной метрологической службы и иметь действующие свидетельства о поверке.
2.3. Допускается использовать вновь разработанные или находящиеся в применении средства поверки, прошедшие метрологическую аттестацию в органах государственной метрологической службы и удовлетворяющие по точности требованиям настоящего стандарта.
2.4. Типы расходомеров и их технические характеристики приведены в справочном
Приложении 4.
3. УСЛОВИЯ ПОВЕРКИ И ПОДГОТОВКА К НЕЙ
3.1. При проведении поверки должны быть соблюдены условия по ГОСТ 11988-72, разд. 2.
3.2. Перед проведением поверки необходимо выполнить следующие подготовительные работы:
установить расходомер на поверочную расходомерную установку или подключить к установке типа УГИР;
смонтировать внешние электрические соединения и отрегулировать поверяемый расходомер в соответствии с технической документацией на него.
3.3. При поверке расходомеров с унифицированным токовым сигналом в цепь токового выхода должен быть включен амперметр или измерительный преобразователь постоянного тока.
3.4. При поверке расходомеров с унифицированным пневматическим выходным сигналом в цепь выхода должен быть включен образцовый манометр.
При внешнем осмотре должно быть установлено:
наличие паспорта у расходомера, выпущенного из производства и ремонта, и свидетельства о предыдущей поверке у расходомера, находящегося в эксплуатации;
наличие неповрежденной пломбы и оттиска поверительного клейма органа государственной метрологической службы;
отсутствие крупных дефектов в окраске корпуса и дефектов на шкале измерительного устройства, затрудняющих отсчет показаний;
соответствие маркировки требованиям ГОСТ 11988-72.
При опробовании расходомера, включенного при номинальном напряжении питания, проверяют:
действие органов управления и регулирования;
установку указателя расходомера на нуль при включении и выключении питания;
работоспособность расходомера при подаче на вход сигнала расхода.
4.3. Проверка герметичности и прочности трубы преобразователя расхода
Проверку проводят подачей воды в полость трубы преобразователя расхода под давлением, в 1,5 раза превышающим рабочее. Результаты проверки считают удовлетворительными, если в течение 15 мин не наблюдается снижение давления по контрольному манометру.
4.4. Проверка сопротивления изоляции электродов преобразователя расхода
Сопротивление изоляции электродов преобразователя расхода относительно корпуса проверяют мегаомметром при напряжении 500 +/- 50 В. На внутренней поверхности канала и фланцах преобразователя расхода не должно быть следов влаги или электропроводящего поверхностного налета. Перед измерением необходимо убедиться в отсутствии напряжения в проверяемых электрических цепях. Преобразователь расхода должен быть отключен от измерительного устройства.
Один зажим мегаомметра с обозначением "земля" соединяют с корпусом, а другой - с каждым из электродов преобразователя расхода.
Расходомер считают выдержавшим испытание, если сопротивление изоляции электродов преобразователя расхода относительно корпуса не менее 100 МОм.
4.5. Проверка сопротивления изоляции цепей питания расходомера
Сопротивление изоляции цепей питания расходомера относительно корпуса проверяют по методике
п. 4.4 измерением сопротивления между корпусом и цепью питания преобразователя расхода и измерительного устройства. Сопротивление изоляции должно быть не менее 40 МОм.
4.6. Определение основной погрешности расходомера
4.6.1. До определения основной погрешности расходомер должен быть прогрет в течение времени, указанного в технической документации на него. После прогрева необходимо проверить заполнение испытательного устройства и поверяемого расходомера измеряемой жидкостью и правильность установки указателя прибора на нуль, когда измеряемая жидкость находится в состоянии покоя.
4.6.2. Основную погрешность определяют сравнением показаний поверяемого расходомера с показаниями поверочной расходомерной установки или установки типа УГИР в последовательности, приведенной ниже:
устанавливают средство измерения количества жидкости в положение готовности к началу измерения;
устанавливают стабильный поток соответственно выбранному значению измеряемого расхода;
подают с устройства формирования интервала времени команду к началу измерения, при этом средство измерения количества жидкости должно отвести измеряемую среду в мерник, а устройство формирования интервала времени измерения должно начать отсчитывать время;
снимают показание расходомера;
подают команду к окончанию измерения до истечения выбранного интервала времени измерения с устройства формирования интервала времени. При помощи средства измерения количества жидкости измеряемая среда отводится в устройство опорожнения средств измерения и магистрали;
отсчитывают количество жидкости и интервал времени по указателям средств измерения жидкости и устройства формирования интервала времени измерения.
Все вышеизложенные операции повторяют для всех значений расхода. Сравнивают отметки 30, 60 и 90% верхнего предела измерения поверяемого расходомера. В каждой отметке проводят не менее трех измерений на поверочной расходомерной установке, а по поверяемому расходомеру - не менее девяти измерений.
4.6.3. Основную погрешность расходомера

в процентах в каждой проверяемой отметке определяют по формуле
где N - показание (значение выходного сигнала) поверяемого расходомера;

- верхний предел измерения (максимальное значение выходного сигнала) поверяемого расходомера;
Q - показание поверочной расходомерной установки, м3/с;

- верхний предел измерения расхода, м3/с.
Для электромагнитных расходомеров, используемых в измерительно-информационных системах и системах автоматического регулирования, основную погрешность в каждой проверяемой отметке определяют как сумму систематической и случайной погрешностей, т.е.
где

- систематическая погрешность расходомера;

- случайная погрешность расходомера.
Систематическую погрешность расходомера в процентах определяют по формуле
где

- среднее арифметическое значение показаний поверяемого расходомера на данной отметке, определяемое по формуле
где

- среднее арифметическое значение показаний поверочной расходомерной установки, определяемое по формуле
где

- показания поверяемого расходомера;
n - число измерений на одной отметке расходомером;

- показания поверочной расходомерной установки, м3/с;
m - число измерений на одной отметке поверочной расходомерной установки.
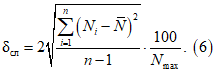
Случайную погрешность расходомера в процентах определяют по формуле
4.6.4. За основную погрешность расходомера принимают максимальное значение погрешности для проверяемых отметок, рассчитанное по
формуле (1) или
(2).
4.6.5. Определение основной погрешности расходомера на установке типа УГИР отличается от вышеизложенного тем, что показание Q вычисляют в последовательности, изложенной ниже:
определяют сечение S канала преобразователя по
формуле (2) справочного Приложения 1;
устанавливают значение коэффициента делителя

соответственно измеряемому значению расхода (справочное Приложение 1,
п. 2.2);
снимают показание расходомера;
вычисляют показание установки по формуле
где

- постоянная установки;
F - суммарная площадь витков в индукционных катушках установки, м2;
определяют основную погрешность расходомера по
формуле (1).
4.6.6. Основная погрешность расходомера не должна превышать значений, указанных в ГОСТ 11988-72.
5. ОФОРМЛЕНИЕ РЕЗУЛЬТАТОВ ПОВЕРКИ
5.1. На расходомеры, признанные годными при государственной поверке, выдают свидетельство о поверке установленной формы, навешивают пломбу с оттиском поверительного клейма в местах, препятствующих доступу к регулирующим устройствам расходомера.
5.2. Результаты поверки заносят в протокол поверки по форме, приведенной в обязательном
Приложении 3.
5.3. Расходомеры, не удовлетворяющие требованиям настоящего стандарта, к применению не допускают. Клеймо гасят, пломбу снимают.
Справочное
МЕТОД БЕЗЖИДКОСТНОЙ ПОВЕРКИ РАСХОДОМЕРА НА УСТАНОВКЕ
ТИПА УГИР
1. Метод безжидкостной поверки электромагнитных расходомеров основан на электрическом моделировании сигнала расхода на электродах по формуле
где U - напряжение на электродах, В;

- коэффициент, постоянный для расходомера конкретного типа;
B - магнитная индукция в канале расходомера, Т;
S - сечение канала преобразователя, м2;
Q - значение расхода, м3/с.
Метод заключается в преобразовании магнитной индукции в канале преобразователя в электрическое напряжение на установке типа УГИР.
При известном значении сечения S канала преобразователя по
формуле (4) настоящего Приложения находят соответствующее значение расхода Q.
2. Установка типа УГИР состоит из:
| | ИС МЕГАНОРМ: примечание. Взамен ГОСТ 868-72 Постановлением Госстандарта СССР от 04.06.1982 N 2305 с 1 января 1984 года введен в действие ГОСТ 868-82. | |
набора индикаторных нутромеров НИ 250-450, НИ 450-700, НИ 700-1000 по ГОСТ 868-72 для измерения площади сечения канала расходомеров диаметром 4-00 мм и более;
измерителя сечения канала преобразователя типа ИСТ для расходомеров диаметром до 400 мм;
преобразователя магнитной индукции поля в электрическое напряжение переменного тока типа ПМП.
2.1. В измерителе типа ИСТ
(черт. 1) используют гидростатический способ сечения, основанный на принципе сообщающихся сосудов, заполненных жидкостью. Одним из сосудов является трубопровод поверяемого расходомера, который устанавливают вертикально и закрывают снизу, другим - калиброванный стеклянный сосуд.
1 - преобразователь расхода; 2 - груз; 3 - калиброванный
стеклянный сосуд; 4 - катетометр
Сечение канала определяют по изменению уровня жидкости в калиброванном сосуде при погружении в канал преобразователя груза.
Уровень в калиброванном сосуде измеряют вертикальным катетометром. Площадь сечения канала определяют по формуле
где V - объем груза, м3;
h - разность уровней, м;
f - площадь сечения канала калиброванного стеклянного сосуда, м2.
Измеритель сечения типа ИСТ включает следующее образцовое оборудование:
набор грузов, объемы которых измерены с погрешностью не более +/- 0,05%;
катетометр типа В-320 по ГОСТ 19719-74;
калиброванный стеклянный сосуд диаметром 20 - 25 мм, площадь сечения которого измерена с погрешностью не более +/- 0,5%.
2.2. Преобразователь типа ПМП
(черт. 2) преобразует индукцию магнитного поля поверяемого расходомера в электрическое напряжение, эквивалентное напряжение между электродами приемного преобразователя при протекании потока контролируемой жидкости.
R4 - регулировочное сопротивление; C1 - емкость,
Тр1 - трансформатор; L1 ... Ln - набор регулировочных
индуктивностей
Набор индукционных катушек, воспринимающих индукцию магнитного поля, выполнен в виде рамок с однослойной намоткой, включенной между собой последовательно. Индукционные катушки установлены на зонде, при помощи которого они располагаются в канале поверяемого расходомера.
Э.д.с., индуцированную в катушках, уравновешивают подачей напряжения во вторичную обмотку катушки взаимной индуктивности

. Индикатором баланса служит индикатор нуля G.
Для создания необходимого напряжения на клеммах вторичной обмотки катушки взаимной индуктивности через ее первичную обмотку пропускают ток, значение которого устанавливают переменными сопротивлениями R5 и R6.
При балансе токов в цепи индикатора нуля G выходное напряжение преобразователя типа ПМП определяют по формуле
где U - напряжение на выходных клеммах преобразователя, В;

- индукция магнитного поля в i-м месте расположения индукционной катушки, Т;

- суммарная площадь витков j-й индукционной катушки, м2;
M - коэффициент взаимной индуктивности катушки;
R1, R2, R3 - меры безреактивных электрических сопротивлений, Ом.
Коэффициент делителя

, позволяющий изменять выходное напряжение преобразователя от нуля до номинального значения, связи с расходом Q следующим уравнением
Сдвоенное электрическое сопротивление R4 предназначено для имитации внутреннего сопротивления преобразователя.
Преобразователь типа ПМП включает следующее образцовое оборудование.
набор индукционных катушек, аттестованных с погрешностью 0,2% по ГОСТ 21175-75;
катушку взаимной индуктивности с номинальным значением индуктивности 10 мГ, аттестованную с погрешностью 0,2% на частоте 50 Гц по ГОСТ 20798-75;
электронный индикатор нуля типа Ф-510 с диапазоном частот 20 - 20000 Гц и чувствительностью 1 мм/мкВ по ГОСТ 22261-76;
измерительный магазин сопротивления типа МСР, класса точности 0,05 по ГОСТ 23737-79;
измерительную катушку электрического сопротивления типа КСИБ с номинальным значением сопротивления 10 Ом (2 шт.) и 10 кОм (2 шт.), класса точности 0,02 по ГОСТ 23737-79.
2.3. В технической документации на установку типа УГИР должны быть приведены формулы расчета погрешности показаний для поверяемых расходомеров каждого типа.
Справочное
ТЕХНИЧЕСКИЕ ХАРАКТЕРИСТИКИ РАСХОДОМЕРНЫХ УСТАНОВОК,
ПРИМЕНЯЕМЫХ ДЛЯ ПОВЕРКИ ЭЛЕКТРОМАГНИТНЫХ РАСХОДОМЕРОВ
Наименование, тип | Диапазон измерения расхода, м3/ч | Погрешность, % |
РУ-0,1 | 0,02 - 0,10 | 0,3 |
РУ-1 | 0,1 - 1,0 |
РУ-10 | 1 - 10 | 0,6 (в диапазоне измерения 1 - 6); |
0,4 (в диапазоне измерения 6 - 10) |
РУ-20 | 2 - 20 | 0,3 |
РУ-100 | 10 - 100 | 0,3 (в диапазоне измерения 20 - 90); |
0,5 (в диапазоне измерения 10 - 100) |
РУ-400 | 1 - 400 | 0,5 |
РУ-1000 | 100 - 1000 | 0,3 |
15 - 1000 | 0,5 |
РУ-5000 | 650-5000 |
Установка типа УГИР-2Б на  80 - 200 мм для поверки расходомеров с однородным магнитным полем | 0 - 400 | 0,8 |
Установка типа УГИР-3 на  100 - 200 мм для поверки расходомеров с однородным магнитным полем | 0,5 |
Установка типа УГИР на  100 - 1000 мм для поверки расходомеров с неоднородным магнитным полем | 0 - 25000 |
Примечание. На установках типа УГИР применяют метод безжидкостной поверки. На остальных установках измеряемой средой является вода. |
Обязательное
ПОВЕРКИ ЭЛЕКТРОМАГНИТНОГО РАСХОДОМЕРА
Тип _______________ N _______________ класс точности _____________________,
диапазон измерения ________________________
Предприятие-изготовитель __________________________________________________
Принадлежит _______________________________________________________________
Поверочная расходомерная установка ________________________________________
Температура окружающей среды __________________________ °C
Результаты поверки
Внешний осмотр ____________________________________________________________
Опробование _______________________________________________________________
Герметичность и прочность трубы преобразователя расхода ___________________
Сопротивление изоляции электродов преобразователя расхода _________________
Сопротивление изоляции цепей питания расходомера __________________________
Определение основной погрешности расходомера
Значение расхода в проверяемой точке от верхнего предела измерения, % | Температура измеряемой среды, °C | Номер измерения по поверочной расходомерной установке | Показание поверочной расходомерной установки, м3/с | Среднее арифметическое значение показаний поверочной расходомерной установки, м3/с | Номер измерения поверяемого расходомера | Показание поверяемого расходомера  (кгс/см2, дел. шкалы) | Среднее арифметическое значение показаний поверяемого расходомера на данной отметке  , (кгс/см2, дел. шкалы) | Основная погрешность, % |
30 | 1 | | | | 1 | | | |
2 |
3 |
2 | | | | 1 | | | |
2 |
3 |
3 | | | | 1 | | | |
2 |
3 |
60 | 1 | | | | 1 | | | |
2 |
3 |
2 | | | | 1 | | | |
2 |
3 |
3 | | | | 1 | | | |
2 |
3 |
90 | 1 | | | | 1 | | | |
2 |
3 |
2 | | | | 1 | | | |
2 |
3 |
3 | | | | 1 | | | |
2 |
3 |
Заключение:
Наибольшая погрешность ____________________________________
Расходомер ____________________________________________________
(годен, не годен)
Дата поверки ________________ Подпись поверителя __________________________
(Ф.И.О.)
Справочное
ТИПЫ РАСХОДОМЕРОВ И ИХ ТЕХНИЧЕСКИЕ ХАРАКТЕРИСТИКИ
Тип расходомера | | Расход, м3/ч | Погрешность, % |
Индукция | 100 - 1000 | 32 - 5000 | 1,5 - 2,5 |
Индукция-М | 100 - 500 | 1,0 - 1,5 |
Индукция-51 | 0 - 600 | 1,5 |
ИР-1 | 15 - 70 | 1 - 40 |
ИР-11 | 10 - 300 | 0,32 - 2500 |
ИР-51 | 1,0 |
4-РИМ | 50 - 200 | 10 - 200 | 1,5 |
5-РИМ | 2,5 |
РГР7 | 0 - 100 | 3,5 - 350 |