Главная // Актуальные документы // ГОСТ (Государственный стандарт)СПРАВКА
Источник публикации
М.: ИПК Издательство стандартов, 1999
Примечание к документу
Ограничение срока действия снято по Протоколу N 2-92 Межгосударственного совета по стандартизации, метрологии и сертификации ("ИУС", N 2, 1993).
Документ
введен в действие с 01.01.1970.
Взамен ГОСТ 5983-51 в части метода определения содержания сырого протеина, ГОСТ 80-62 в части определения суммарного содержания растворимых протеинов и ГОСТ 606-62 в части определения суммарного содержания растворимых протеинов.
Название документа
"ГОСТ 13979.3-68*. Межгосударственный стандарт. Жмыхи и шроты. Метод определения суммарной массовой доли растворимых протеинов"
(введен Постановлением Госстандарта СССР от 01.11.1968 N 73)
(ред. от 01.09.1987)
"ГОСТ 13979.3-68*. Межгосударственный стандарт. Жмыхи и шроты. Метод определения суммарной массовой доли растворимых протеинов"
(введен Постановлением Госстандарта СССР от 01.11.1968 N 73)
(ред. от 01.09.1987)
Введен Постановлением
Комитета стандартов, мер
и измерительных приборов
при Совете Министров СССР
от 1 ноября 1968 г. N 73
МЕЖГОСУДАРСТВЕННЫЙ СТАНДАРТ
ЖМЫХИ И ШРОТЫ
МЕТОД ОПРЕДЕЛЕНИЯ СУММАРНОЙ
МАССОВОЙ ДОЛИ РАСТВОРИМЫХ ПРОТЕИНОВ
Oilcakes oil-meals.
Methods of determination of soluble proteins
ГОСТ 13979.3-68*
| | Список изменяющих документов (в ред. Изменения N 1, утв. марте 1983 г., Изменения N 2, утв. в сентябре 1987 г.) | |
Взамен ГОСТ 5983-51
в части метода определения
содержания сырого протеина,
ГОСТ 80-62 в части
определения суммарного содержания
растворимых протеинов
и ГОСТ 606-62 в части
определения суммарного содержания
растворимых протеинов
Постановлением Комитета стандартов, мер и измерительных приборов при Совете Министров СССР от 1 ноября 1968 г. N 73 дата введения установлена
с 1 января 1970 года
Ограничение срока действия снято по протоколу N 2-92 Межгосударственного Совета по стандартизации, метрологии и сертификации (ИУС 2-93).
Переиздание (март 1999 г.) с Изменениями N 1, 2, утвержденными в марте 1983 г., сентябре 1987 г. (ИУС 7-83, 1-88).
Настоящий стандарт распространяется на жмыхи и шроты, получаемые при переработке масличных семян, и устанавливает метод определения суммарной массовой доли растворимых протеинов.
Сущность метода состоит в выделении водо- и щелочерастворимых протеинов и количественном определении их по методу Кьельдаля.
(Измененная редакция, Изм. N 2).
Разд. 2. (Исключен, Изм. N 2).
3. МЕТОД ОПРЕДЕЛЕНИЯ СУММАРНОГО СОДЕРЖАНИЯ
РАСТВОРИМЫХ ПРОТЕИНОВ
Сущность метода заключается в выделении водо- и щелочерастворимых протеинов в количественном определении их по методу Кьельдаля.
3.1. Аппаратура, реактивы и материалы
3.1.1. Для проведения испытания должны применяться следующие аппаратура, реактивы и материалы:
весы лабораторные класса точности 3 или 4 с наибольшим пределом взвешивания 200 г или 500 г или другие весы с таким же классом точности;
установка для отгонки аммиака;
колбонагреватели;
насос водоструйный или насос Комовского;
парообразователи;
измельчитель механический;
сито с величиной отверстий 0,5 мм из набора лабораторных сит;
натр едкий технический по
ГОСТ 2263-79, раствор с массовой долей 33%;
натрия гидрат окиси по
ГОСТ 4328-77, раствор с массовой долей 0,2%;
индикатор метиловый красный по нормативно-технической документации, раствор с массовой долей 0,2%, спиртовой раствор;
калия гидрат окиси по ГОСТ 23363-90, c(KOH) = 0,1 моль/дм3 (0,1 н.);
(Измененная редакция, Изм. N 2).
3.2. Подготовка к испытанию
3.2.1. Из средней пробы выделяют пробу для анализа массой около 15 г, отвешивают на весах классов точности 3 или 4. Выделенную пробу измельчают до прохода через сито с величиной отверстий 0,5 мм. Остаток на сите, не поддающийся измельчению, тщательно смешивают с материалом, прошедшим через сито.
(Измененная редакция, Изм. N 1).
3.3. Проведение испытания
3.3.1. На весах класса точности 3 или 4 отвешивают 5 г пробы измельченного исследуемого продукта, помещают в коническую колбу, приливают 200 см3 натрия гидрат окиси раствора с массовой долей 0,2%, перемешивают содержимое колбы легким вращением ее и оставляют настаиваться в течение 1,5 ч, перемешивая через каждые 15 мин. По истечении указанного времени содержимое колбы фильтруют через складчатый фильтр.
Примечание. В случае, если растворы фильтруются медленно, рекомендуется проводить фильтрацию на воронке Бюхнера через слой бумажного теста (толщиной слоя около 1 см) при слабом отсасывании водоструйным насосом или насосом Комовского.
(Измененная редакция, Изм. N 1, 2).
3.3.2. После того, как будет отфильтровано 75 - 80 см3 жидкости, берут пипеткой 25 см3 прозрачного фильтрата и помещают в колбу Кьельдаля. Туда же приливают 5 мл концентрированной серной кислоты, вводят несколько кристалликов перекристаллизованной сернокислой меди и ставят колбу на колбонагреватель.
Сначала выпаривают воду из колбы, затем ведут сжигание органических веществ до получения голубоватой прозрачной жидкости.
3.3.3. По окончании сжигания колбу охлаждают, приливают в нее 75 см3 дистиллированной воды и производят отгонку образовавшегося аммиака паром на установке Кьельдаля (черт. 2).
1 - колба Кьельдаля; 2 - колбонагреватель;
3 - электроплитка; 4 - парообразователь; 5 - соединительная
трубка; 6 - зажим; 7 - воронка; 8 - каплеуловитель;
9 - пробка; 10 - холодильник; 11 - приемная колба
Черт. 2 <*>
--------------------------------
<*> Черт. 1 (Исключен, Изм. N 2).
Для этого помещают колбу Кьельдаля на колбонагреватель, плотно закрывают пробкой, в которую вставлен каплеуловитель и трубка, соединяющая колбу Кьельдаля с парообразователем.
В приемную колбу наливают из бюретки 25 см3 0,1 моль/дм3 раствора серной кислоты и 3 - 5 капель метилового красного в качестве индикатора. Приемник устанавливают под холодильником так, чтобы оттянутый конец холодильника был погружен в серную кислоту.
3.3.4. Когда прибор собран, пропускают воду через холодильник, а в колбу Кьельдаля через воронку быстро приливают 30 - 40 см3 раствора с массовой долей 33% едкого натра, закрывают зажим воронки и соединяют колбу с парообразователем, предварительно доведенным на электроплитке до кипения.
Включают колбонагреватель и начинают отгонку аммиака. Отгонку ведут до тех пор, пока объем в приемной колбе не увеличится на 125 - 150 см3, после чего проверяют полноту отгонки аммиака с помощью лакмусовой бумажки. Красная бумажка не должна окрашиваться в синий цвет.
Конец трубки обмывают из промывалки дистиллированной водой и продолжают отгонку еще 5 мин для смывания кислоты с внутренней поверхности трубки холодильника.
По окончании отгонки содержимое колбы титруют 0,1 моль/дм3 раствором едкого калия до перехода окраски от красной к желтой.
В таких же условиях проводят контрольный опыт (без пробы продукта).
3.4. Обработка результатов
3.4.1. Суммарная массовая доля растворимого протеина в продукте

в процентах вычисляют по формуле

, (3)
где

- объем 0,1 моль/дм3 раствора едкого калия, израсходованный на титрование 25 мл 0,1 моль/дм3 раствора серной кислоты в контрольном опыте, мл;

- объем 0,1 моль/дм3 раствора едкого калия, израсходованный на титрование избытка серной кислоты в основной пробе, мл;
K - поправка к титру 0,1 моль/дм3 раствора едкого калия;
0,0014 - объем азота, эквивалентный 1 см3 точно 0,1 моль/дм3 раствора серной кислоты, г;
200 - объем исходного раствора, см3;
25 - объем раствора, взятый для анализа, см3;
m - масса продукта, г;
6,25 - коэффициент для пересчета количества азота на сырой протеин.
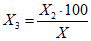
3.4.2. Суммарная массовая доля растворимого протеина к общему содержанию сырого протеина

в процентах вычисляют по формуле

, (4)
где

- массовая доля растворимого протеина, %;
X - массовая доля сырого протеина при фактической влажности продукта, %, определенного в соответствии с ГОСТ 13496.4-84.
Допускаемые расхождения между результатами двух параллельных определений не должны превышать 0,5%.
3.3.3, 3.3.4, 3.4, 3.4.1, 3.4.2. (Измененная редакция, Изм. N 2).