Главная // Актуальные документы // ГОСТ (Государственный стандарт)СПРАВКА
Источник публикации
М.: Издательство стандартов, 1989
Примечание к документу
Документ и его отдельные положения включены в Перечень международных и региональных (межгосударственных) стандартов (
п. п. 1155,
1167), а в случае их отсутствия - национальных (государственных) стандартов, содержащих правила и методы исследований (испытаний) и измерений, в том числе правила отбора образцов, необходимые для применения и исполнения требований технического
регламента Таможенного союза "О безопасности продукции, предназначенной для детей и подростков" (ТР ТС 007/2011) и осуществления оценки соответствия объектов технического регулирования (
Решение Коллегии Евразийской экономической комиссии от 14.03.2023 N 31).
Документ включен в
Перечень документов в области стандартизации, содержащих правила и методы исследований (испытаний) и измерений, в том числе правила отбора образцов, необходимые для применения и исполнения требований технического
регламента Таможенного союза "О безопасности продукции легкой промышленности" (ТР ТС 017/2011) и осуществления оценки (подтверждения) соответствия продукции (
Решение Комиссии Таможенного союза от 09.12.2011 N 876).
Документ включен в
Перечень документов в области стандартизации, содержащих правила и методы исследований (испытаний) и измерений, в том числе правила отбора образцов, необходимые для применения и исполнения требований технического
регламента Таможенного союза "О безопасности продукции, предназначенной для детей и подростков" (ТР ТС 007/2011) и осуществления оценки (подтверждения) соответствия продукции (
Решение Комиссии Таможенного союза от 23.09.2011 N 797).
Документ включен в
Перечень национальных стандартов, содержащих правила и методы исследований (испытаний) и измерений, в том числе правила отбора образцов, необходимые для применения и исполнения технического
регламента о безопасности средств индивидуальной защиты и осуществления оценки соответствия (
Распоряжение Правительства РФ от 15.02.2011 N 222-р).
С 1 июля 2003 года до вступления в силу технических регламентов акты федеральных органов исполнительной власти в сфере технического регулирования носят рекомендательный характер и подлежат обязательному исполнению только в части, соответствующей целям, указанным в
пункте 1 статьи 46 Федерального закона от 27.12.2002 N 184-ФЗ.
Ограничение срока действия снято Постановлением Госстандарта СССР от 16.12.1991 N 1961 ("ИУС", N 3, 1992).
Документ
введен в действие с 1 июля 1973 года.
Взамен ГОСТ 1059-61.
Название документа
"ГОСТ 1059-72. Государственный стандарт Союза ССР. Обувь валяная. Правила приемки и методы испытаний"
(утв. и введен в действие Постановлением Госстандарта СССР от 27.03.1972 N 616)
(ред. от 01.01.1987)
"ГОСТ 1059-72. Государственный стандарт Союза ССР. Обувь валяная. Правила приемки и методы испытаний"
(утв. и введен в действие Постановлением Госстандарта СССР от 27.03.1972 N 616)
(ред. от 01.01.1987)
Утвержден и введен в действие
Постановлением Государственного
комитета стандартов
Совета Министров СССР
от 27 марта 1972 г. N 616
ГОСУДАРСТВЕННЫЙ СТАНДАРТ СОЮЗА ССР
ОБУВЬ ВАЛЯНАЯ
ПРАВИЛА ПРИЕМКИ И МЕТОДЫ ИСПЫТАНИЙ
Felted high boots. Acceptance rules and test methods
ГОСТ 1059-72
| | Список изменяющих документов (в ред. Изменения N 1, утв. в октябре 1979 г., Изменения N 2, утв. в январе 1987 г.) | |
Срок действия
с 1 июля 1973 года
до 1 января 1990 года
1. Разработан и внесен Министерством легкой промышленности СССР.
Исполнители: А.И. Жирнов, З.С. Первухина, Е.М. Кудинова.
2. Утвержден и введен в действие Постановлением Государственного комитета стандартов Совета Министров СССР от 27 марта 1972 г. N 616.
3. Периодичность проверки - 5 лет.
4. Взамен ГОСТ 1059-61.
5. Ссылочные нормативно-технические документы
Обозначение НТД, на который дана ссылка | Номер пункта |
ГОСТ 166-80 | |
| |
| |
ГОСТ 7502-80 | |
ГОСТ 11358-74 | |
| |
6. Срок действия продлен до 01.01.90 Постановлением Госстандарта СССР от 21.01.88 N 83.
7. Переиздание (август 1988 г.) с Изменениями N 1, 2, утвержденными в октябре 1979 г., январе 1987 г. (ИУС 11-79, 4-88).
Настоящий стандарт распространяется на все виды грубошерстной, полугрубошерстной и фетровой валяной обуви, а также на валяную обувь с резиновым низом и устанавливает правила приемки и методы определения:
линейных размеров;
массы;
влажности;
плотности;
массовой доли свободной серной кислоты;
усадки после замачивания;
прочности крепления резиновой обсоюзки с валяной обувью.
1.1. Качество валяной обуви определяют по результатам внешнего осмотра и лабораторных испытаний.
1.2. Внешнему осмотру подвергают всю партию валяной обуви.
1.3. Партией валяной обуви считают одновременно предъявленное к сдаче-приемке количество пар валяной обуви, оформленное одним документом, удостоверяющим качество.
1.4. Для лабораторных испытаний от каждой партии отбирают:
для определения линейных размеров и массы - 0,5%, но не менее одной пары каждого размера;
для определения влажности, плотности, массовой доли свободной серной кислоты, прочности крепления резиновой обсоюзки с валяной обувью - 0,1%, но не менее одной полупары;
для определения усадки после замачивания для армейской обуви - 0,5%, но не менее одной пары каждого размера, для остальных видов обуви - 0,1%, но не менее одной полупары мужской, женской, детской обуви каждого артикула.
(Измененная редакция, Изм. N 1).
1.5. При неудовлетворительных результатах испытаний хотя бы по одному из показателей по нему проводят повторное испытание на удвоенном количестве образцов. Результат повторного испытания считают окончательным.
2.1. Определение линейных размеров
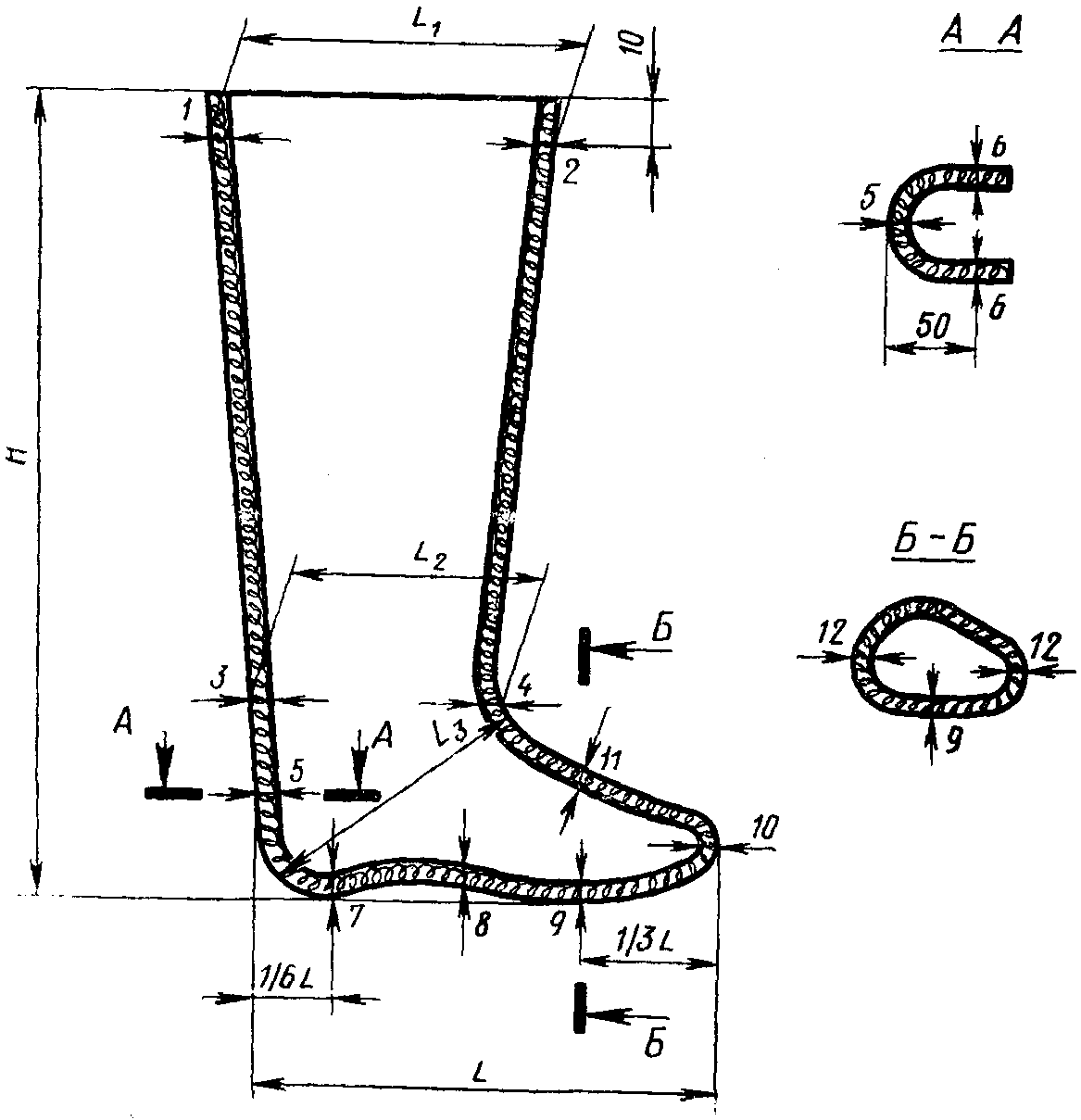
2.1.1. Линейные размеры сапог определяют в местах, указанных на чертеже.
2.1.2. Длину следа внутри обуви измеряют следомером или номерным линейным шаблоном, вставляемым внутрь обуви.
2.1.3. Длину окружности отдельных частей обуви измеряют по наружному диаметру с погрешностью не более 2 мм:
верха голенища

- на расстоянии 10 мм от линии обреза;
низа голенища

- в месте перехода от голенища к головке;
косого подъема - через передний изгиб и угол пятки

;
пучка - по линии Б-Б на расстоянии 1/3 наружной длины следа, начиная от носка.
2.1.4. Высоту обуви H измеряют измерительной металлической линейкой по
ГОСТ 427-75 с погрешностью не более 1 мм по перпендикуляру, опущенному на плоскость основания через крайнюю точку, расположенную на линии обреза верха голенища в задней части.
2.1.5. Толщину отдельных частей валяной обуви, указанную в стандартах и нормативно-технической документации на соответствующий вид валяной обуви, измеряют толщиномерной иглой или толщиномером марки ТВ0-3 с погрешностью не более 1 мм в следующих местах:
верх голенища - в точках 1 и 2 на расстоянии 10 мм от линии обреза;
низ голенища - в точках 3 и 4 в местах перехода от голенища к головке;
задник - в точке 5 на середине участка от основания подошвы до линии низа голенища;
задник в боковых частях - по разрезу А-А в точках 6 (каждая на расстоянии 50 мм от точки 5);
пятку - в точке 7 на расстоянии 1/6 длины следа, начиная от пятки;
геленочную часть подошвы - в точке 8 на середине участка между точками 7 и 9;
подметку - в точке 9 по разрезу Б-Б;
носок - в точке 10 на крайнем выступе носка;
верх головки - в точке 11 по разрезу Б-Б на гребне наружной части головки;
щечки - в точках 12 по разрезу Б-Б по линии замера длины окружности пучка в наиболее выпуклых его частях.
2.1.4, 2.1.5. (Измененная редакция, Изм. N 2).
2.1.6. Толщину отдельных частей резинового низа определяют в зависимости от методов крепления двумя способами.
При методе прессовой вулканизации перед вулканизацией между валяным сапогом и резиновым низом прокладывают лист папиросной бумаги. После вулканизации резиновую подошву вместе с обсоюзкой и каблуком отделяют от валяного сапога как одну целую деталь, после чего измеряют толщину подошвы, каблука и обсоюзки.
При клеевом методе и методе котловой вулканизации толщину резиновой подошвы, каблука и обсоюзки измеряют в деталях до их крепления.
2.1.7. Толщину отдельных частей резинового низа измеряют по максимальной высоте рисунка рифления в следующих местах:
подошвы - по средней линии на расстоянии 1/3 длины следа, начиная от носка;
обсоюзки - в двух пучковых точках;
каблука - вертикально по середине его боковой поверхности от ходовой части до грани пятки.
2.1.8. Толщину резиновой подошвы и обсоюзки измеряют индикаторными толщиномерами типа ТВ-30-128 по нормативно-технической документации или типа ТР 25-100 по ГОСТ 11358-74 с диаметром зажимных дисков 10 мм с погрешностью измерения не более 0,1 мм.
Толщину каблука измеряют измерительной металлической линейкой по
ГОСТ 427-75 с погрешностью не более 1 мм.
Высоту резиновой обсоюзки измеряют измерительной металлической рулеткой по ГОСТ 7502-80 с погрешностью не более 1 мм.
2.1.7, 2.1.8. (Измененная редакция, Изм. N 2).
2.2.1. Массу валяной обуви определяют взвешиванием каждой пары валяной обуви, отобранной для лабораторных испытаний, на весах с погрешностью не более 5 г с пересчетом фактической массы на массу при установленной норме влажности.
Массу одной пары валяной обуви

в граммах при установленной норме влажности вычисляют по формуле

,
где

- фактическая масса одной пары валяной обуви, г;

- установленная норма влажности, %;

- фактическая влажность валяной обуви, %.
Вычисление производят с погрешностью не более 1 г.
2.3. Определение влажности (арбитражный метод)
Для проведения испытания применяют следующую аппаратуру:
шкаф сушильный;
стаканчики с притертыми крышками (бюксы);
весы лабораторные с погрешностью взвешивания +/- 1 мг.
(Измененная редакция, Изм. N 2).
2.3.2. Подготовка к испытанию
От валяной обуви, отобранной для лабораторных испытаний, сразу после взвешивания вырезают небольшие куски, из которых составляют две измельченные элементарные пробы массой по 6 - 10 г каждая.
2.3.3. Проведение испытания
Приготовленные пробы помещают в тарированные стаканчики с притертыми крышками, взвешивают и высушивают в сушильном шкафу при температуре 105 - 110 °C до постоянно сухой массы.
Во время высушивания стаканчики должны быть открыты, а при охлаждении и взвешивании закрыты. Перед взвешиванием стаканчики с пробами из сушильного шкафа переносят для охлаждения в эксикатор.
Взвешивания проб до и после высушивания производят с погрешностью не более 0,001 г.
Пробы считают высушенными до постоянно сухой массы, если отклонение между двумя последующими взвешиваниями с интервалом не менее 20 мин не превышает 0,001 г.
(Измененная редакция, Изм. N 2).
2.3.4. Обработка результатов
Фактическую влажность пробы

в процентах вычисляют по формуле

,
где

- масса пробы до высушивания, г;

- постоянно сухая масса пробы после высушивания, г.
За фактическую влажность валяной обуви принимают среднее арифметическое результатов испытаний двух элементарных проб.
Вычисление производят с точностью до 0,1%.
2.4. Определение влажности (ускоренный метод)
2.4.1. Аппаратура
Для проведения испытания применяют сушильную установку типа СШ-3, состоящую из следующих основных частей:
шкафа сушильного с двумя инфракрасными лампами по 250 Вт;
весового квадранта со шкалой, градуированной до 50 г;
кассет для укладки элементарных проб;
подставок для установки кассет в шкафу при подсушке элементарных проб;
вентилятора.
2.4.2. Подготовка к испытанию
Перед началом испытания сушильную установку прогревают без элементарной пробы в течение 20 мин.
От валяной обуви, отобранной для лабораторных испытаний, после взвешивания составляют две измельченные элементарные пробы массой по 30 г каждая и закладывают их в кассеты равномерным слоем по всей площади.
2.4.3. Проведение испытания
Одну кассету с пробой подвешивают на крючок квадранта, другую помещают на подставку и устанавливают в шкафу для предварительной подсушки.
Крючок квадранта с подвешенной пробой в течение всего периода сушки не должен касаться стенок отверстия, через которое он опущен в шкаф. Подвешенная на крючок квадранта кассета также не должна соприкасаться с лампами и другой кассетой.
Температура воздуха в сушильном шкафу 100 - 110 °C.
Высушивание пробы до постоянно сухой массы считают законченным после того, как стрелка квадранта перестанет двигаться в течение 3 мин.
Снимать кассету с крючка квадранта необходимо при выключенных лампах. При снятии кассеты крючок квадранта придерживают рукой.
На место снятой с крючка кассеты подвешивают другую, находящуюся в подсушке.
2.4.4. Обработка результатов
Фактическую влажность элементарной пробы определяют в соответствии с
п. 2.3.4.
2.5. Определение объемной массы
2.5.1. Подготовка к испытанию
От валяной обуви, отобранной для лабораторных испытаний, вырезают элементарные пробы из подошвенной части обуви или из голенища согласно требованиям, указанным в стандартах и нормативно-технической документации на соответствующий вид валяной обуви.
Пробы из подошвенной части обуви вырезают по металлическому шаблону на расстоянии 1/3 длины следа от носка, сместив край шаблона в сторону от средней линии подошвы на 5 мм;
пробы из голенища вырезают на 50 мм ниже линии обреза верха голенища. Размеры проб должны быть 50 x 50 мм.
2.5.2. Проведение испытания
Длину и ширину проб измеряют штангенциркулем по
ГОСТ 166-80 или измерительной металлической линейкой по
ГОСТ 427-75 в трех местах: посередине и по краям.
Измерение производят с погрешностью не более 1 мм.
За длину и ширину проб принимают среднее арифметическое результатов трех соответствующих измерений, вычисленное с точностью до 0,1 мм.
Толщину проб измеряют индикаторными толщиномерами типов ТВ-30-128 по нормативно-технической документации; ТР 25-100 по ГОСТ 11358-74 с диаметром зажимных дисков 10 мм. Измерение производят в пяти произвольных точках с погрешностью не более 0,1 мм.
За толщину проб принимают среднее арифметическое результатов всех измерений, вычисленное с точностью до 0,01 мм.
Объем пробы (V) в кубических сантиметрах вычисляют по формуле

,
где l - длина пробы, см;
b - ширина пробы, см;
a - толщина пробы, см.
Вычисления производят с точностью до 0,01 см3.
Пробу взвешивают и высушивают в сушильном шкафу до постоянно сухой массы.
Массу пробы

в граммах при установленной норме влажности вычисляют по формуле

,
где

- фактическая масса пробы до высушивания, г;

- установленная норма влажности, %;

- фактическая влажность пробы, %.
(Измененная редакция, Изм. N 2).
2.5.3. Обработка результатов
Плотность элементарной пробы (J) в г/см3 вычисляют по формуле

,
где

- масса пробы при установленной норме влажности, г;
V - объем пробы, см3.
Вычисление производят с точностью до 0,001 г/см3.
2.6. Определение массовой доли свободной серной кислоты (по водной вытяжке)
2.6.1. Подготовка к испытанию
Измельченную элементарную пробу массой 10 г предварительно высушивают до постоянно сухой массы согласно
п. 2.3.3, взвешивают с погрешностью не более 0,001 г и помещают в коническую колбу емкостью не менее 300 см3.
2.6.2. Проведение испытания
В колбу наливают 200 см3 дистиллированной воды и в течение 2 ч нагревают ее на водяной бане с обратным холодильником до 70 - 80 °C.
Полученную водную вытяжку отфильтровывают в коническую колбу, а пробу, оставшуюся на фильтре, промывают горячей дистиллированной водой в несколько приемов, наливая каждый раз около 60 см3 воды с таким расчетом, чтобы общий объем фильтрата в колбе составил 500 см3. Полученный фильтрат тщательно перемешивают и в теплом виде (весь объем сразу) титруют 0,1 н раствором щелочи в присутствии 1%-ного спиртового раствора индикатора фенолфталеина.
(Измененная редакция, Изм. N 2).
2.6.3. Обработка результатов
Массовую долю свободной серной кислоты (X) в процентах вычисляют по формуле

,
где 0,0049 - количество серной кислоты, соответствующее 1 см3 0,1 н раствора щелочи, г;
v - количество израсходованного на титрование 0,1 н раствора щелочи, см3;

- постоянно сухая масса пробы перед началом испытания, г;

- установленная норма влажности, %.
Вычисление производят с точностью до 0,01%.
2.7. Определение усадки после замачивания
Усадку отдельных частей валяной обуви после замачивания определяют в местах, указанных в стандартах и нормативно-технической документации на соответствующий вид валяной обуви. Усадку определяют в обуви с ворсом и без ворса.
2.7.1. Подготовка к испытанию
Отобранную валяную обувь взвешивают, затем в местах обмера наносят цветным мелом линии и производят обмер:
длины окружности голенища вверху;
длины окружности голенища внизу;
длины ступни внутри;
длины окружности в пучках;
высоты обуви.
Указанные места измеряют в соответствии с требованиями
п. 2.1.3, за исключением длины ступни, которую измеряют номерным линейным шаблоном.
(Измененная редакция, Изм. N 2).
2.7.2. Проведение испытания
После взвешивания и обмера валяную обувь замачивают в течение 1 ч в воде при температуре 15 - 20 °C и выдерживают в течение 30 - 40 мин на стеллажах для стекания воды.
Затем обувь сушат без насадки на колодки при температуре 50 - 60 °C до первоначальной массы и вновь обмеряют ее в тех же самых местах по ранее нанесенным меловым линиям.
По разности показателей линейных замеров до и после замачивания определяют процент усадки обуви.
2.7.3. Обработка результатов
Усадку валяной обуви (У) в процентах вычисляют по формуле

,
где L - линейный размер валяной обуви до замачивания, мм;

- линейный размер валяной обуви после замачивания и сушки, мм.
2.8. Определение прочности крепления резиновой обсоюзки с валяной обувью
2.8.1. Подготовка к испытанию
От каждой полупары валяной обуви, отобранной для лабораторных испытаний, вырезают в носочно-пучковой части с внешней и внутренней сторон полупары по одной элементарной пробе длиной 12 см и шириной, равной высоте обсоюзки.
Ширину элементарной пробы измеряют в 10 точках с интервалом 1,0 см с погрешностью не более 1 мм.
За ширину элементарной пробы принимают среднее арифметическое результатов всех измерений. Элементарную пробу с одного конца предварительно вручную расслаивают на границе раздела "резина - войлок" на 2 см по длине для закрепления его в зажимах разрывной машины.
2.8.2. Проведение испытания
Испытание проводят на разрывной машине со скоростью движения нижнего зажима (100 +/- 10) мм/мин.
Элементарную пробу расслоенным концом заправляют в зажимы машины и подвергают его расслоению по
ГОСТ 6768-75.
Прочность крепления резиновой обсоюзки с боковой поверхностью валяной обуви определяют отношением нагрузки в килограмм-силах к средней ширине элементарных проб в сантиметрах.
За прочность крепления принимают среднее арифметическое результатов расслаивания двух элементарных проб, вырезанных соответственно с внешней и внутренней сторон полупары. Вычисление производят с точностью до 0,01 кгс/см.
2.8.1, 2.8.2. (Измененная редакция, Изм. N 2).