Главная // Актуальные документы // ГОСТ (Государственный стандарт)СПРАВКА
Источник публикации
М.: ИПК Издательство стандартов, 1998
Примечание к документу
С 1 июля 2003 года до вступления в силу технических регламентов акты федеральных органов исполнительной власти в сфере технического регулирования носят рекомендательный характер и подлежат обязательному исполнению только в части, соответствующей целям, указанным в
пункте 1 статьи 46 Федерального закона от 27.12.2002 N 184-ФЗ.
Документ
введен в действие с 1 января 1976 года.
Взамен ГОСТ 4643-67.
Название документа
"ГОСТ 4643-75. Государственный стандарт Союза ССР. Отходы потребления текстильные хлопчатобумажные сортированные. Технические условия"
(введен в действие Постановлением Госстандарта СССР от 04.03.1975 N 572)
(ред. от 01.04.1990)
"ГОСТ 4643-75. Государственный стандарт Союза ССР. Отходы потребления текстильные хлопчатобумажные сортированные. Технические условия"
(введен в действие Постановлением Госстандарта СССР от 04.03.1975 N 572)
(ред. от 01.04.1990)
Постановлением Государственного комитета
стандартов Совета Министров СССР
от 4 марта 1975 г. N 572
ГОСУДАРСТВЕННЫЙ СТАНДАРТ СОЮЗА ССР
ОТХОДЫ ПОТРЕБЛЕНИЯ ТЕКСТИЛЬНЫЕ ХЛОПЧАТОБУМАЖНЫЕ
СОРТИРОВАННЫЕ
ТЕХНИЧЕСКИЕ УСЛОВИЯ
Graded cotton textile consumption waste. Specifications
ГОСТ 4643-75
| | Список изменяющих документов (в ред. Изменения N 1, утв. в апреле 1980 г., Изменения N 2, утв. в апреле 1985 г., Изменения N 3, утв. в апреле 1990 г.) | |
Взамен
ГОСТ 4643-67
Постановлением Государственного комитета стандартов Совета Министров СССР от 4 марта 1975 г. N 572 дата введения установлена
1 января 1976 года
Ограничение срока действия снято по Протоколу N 5-94 Межгосударственного совета по стандартизации, метрологии и сертификации (ИУС 11-12-94).
Переиздание (июнь 1998 г.) с Изменениями N 1, 2, 3, утвержденными в апреле 1980 г., апреле 1985 г., апреле 1990 г. (ИУС 6-80, 7-85, 7-90).
Настоящий стандарт распространяется на текстильные отходы потребления хлопчатобумажные сортированные, состоящие из бывших в употреблении изделий из тканей, нетканых, трикотажных, плетеных, стеганых материалов, выработанных из хлопка и хлопка в смеси с химическими волокнами, и предназначенные для перерабатывающих предприятий.
(Измененная редакция, Изм. N 3).
1. ТЕХНИЧЕСКИЕ ТРЕБОВАНИЯ
1.1. Отходы в зависимости от рода волокна, способа выработки и цвета подразделяют на условные обозначения в соответствии с требованиями, указанными в таблице.
Условное обозначение отходов | Наименование отходов | Характеристика отходов |
по роду волокна | по способу выработки | по цвету |
501 | Изделия, бывшие в употреблении | Хлопчатобумажные | Тканые | Всех цветов |
504 | То же | То же | Трикотажные, нетканые | То же |
505 | " | Хлопок в смеси с химическими волокнами | Тканые, нетканые, трикотажные, плетеные | " |
506 | Изделия, бывшие в употреблении, из палаточных и брезентовых тканей | Хлопчатобумажные | Тканые | Всех цветов |
507 | Изделия, бывшие в употреблении | То же | Стеганые на вате | То же |
508 | Веревочно-канатные изделия (сети, веревки, шнуры, канаты и др.), бывшие в употреблении | Хлопчатобумажные | Крученые и плетеные | " |
509 | Изделия, бывшие в употреблении для обтирочной ветоши | То же | Тканые, нетканые, трикотажные | Белые и суровые |
510 | То же | Хлопчатобумажные, хлопок в смеси с химическими волокнами | То же | Всех цветов |
511 | Изделия, бывшие в употреблении для обтирочной ветоши (замасленные) | То же | " | То же |
Продолжение таблицы
Условное обозначение отходов | Нормированная влажность, % | Фактическая влажность, %, не более | Зольность, %, не более | Массовая доля пыли, %, не более | Код ОКП |
501 | 12 | 19 | 8 | 3 | 81 8922 2601 |
504 | 12 | 19 | - | - | 81 8922 2604 |
505 | 10 | 17 | - | - | 81 8922 2602 |
506 | 12 | 19 | - | - | 81 8921 2101 |
507 | 12 | 19 | 8 | - | 81 8921 2401 |
508 | 12 | 19 | - | - | 81 8921 3501 |
509 | 12 | 19 | - | - | 81 8921 2603 |
510 | 12 | 19 | - | - | 81 8922 2605 |
511 | 10 | 17 | - | - | 81 8921 2604 |
Примечание. При обработке изделий из грубой одежной ткани для условных обозначений 509, 510, 511 должны быть удалены воротники, пояса и манжеты. |
(Измененная редакция, Изм. N 1, 3).
1.2. Отходы должны быть обработаны в соответствии с технологической инструкцией, утвержденной в установленном порядке. Отходы, предназначенные для производства кровельного картона, должны подвергаться дезинфекции и обеспыливанию.
1.3. Отходы сортируют по размеру:
отходы различной формы и размером отдельного куска до 400 см2,
отходы размером куска более 400 см2 и шириной не менее 15 см для обтирочной ветоши.
1.2, 1.3. (Измененная редакция, Изм. N 3).
1.4. (Исключен, Изм. N 1).
1.5. При обработке отходов карманы должны быть очищены от посторонних примесей, а в трикотажных изделиях должна быть удалена резинка.
(Измененная редакция, Изм. N 1, 3).
1.6. В каждом условном обозначении отходов допускается содержание отходов других условных обозначений не более 2%.
1.7. (Исключен, Изм. N 1).
1.8. В отходах не допускаются:
посторонние нетекстильные примеси (мочало, резина, бумага, кожа, фанера, стекло, металлическая стружка, пуговицы, застежки, крючки, пряжки, кнопки, замки "молния" и др.);
текстильные примеси, не предусмотренные настоящим стандартом.
1.9. Не допускаются отходы:
прорезиненные, проклеенные, жестко накрахмаленные (воротнички, манжеты и др.), пропитанные водоотталкивающим составом, масляными красками, лаками, смолами и различными полимерными материалами;
пониженной прочности, прелые, горелые;
покрытые грязью, гипсом, углем, рудой и другими нерастворимыми в воде веществами.
1.8, 1.9. (Измененная редакция, Изм. N 3).
1.10 - 1.14. (Исключены, Изм. N 1).
1.15. (Исключен, Изм. N 3).
1.16. В отходах условных обозначений 501 и 507, используемых для производства кровельного картона, массовая доля хлопкового волокна должна быть не менее 90%.
(Введен дополнительно, Изм. N 3).
2.1. Приемку отходов производят по ГОСТ 5551-82.
Каждая партия сортированных отходов должна сопровождаться документом о проделанной обработке.
(Измененная редакция, Изм. N 3).
2.2, 2.3. (Исключены, Изм. N 3).
2.4. Определение показателей "зольность" и "остаточное содержание пыли" производится периодически, не реже одного раза в квартал, а также по требованию потребителя.
(Введен дополнительно, Изм. N 1).
2.5. Определение массовой доли хлопкового волокна производится для каждой партии отходов, используемых в производстве кровельного картона.
(Введен дополнительно, Изм. N 3).
3.1. Отбор проб - по ГОСТ 5551-82.
(Измененная редакция, Изм. N 2).
3.2. Определение влажности - по
ГОСТ 3816-81 со следующим дополнением: из объединенной пробы, отобранной по ГОСТ 5551-82, из разных мест ножницами нарезают три лабораторные пробы, из которых одна является контрольной.
Масса лабораторной пробы должна быть в граммах:
200 - для кондиционного аппарата;
50 - для сушильной установки.
Если при определении влажности расхождение между результатами двух лабораторных проб превышает 3 абс. %, проводят испытание третьей лабораторной пробы и за окончательный результат принимают среднее арифметическое результатов трех определений.
3.1, 3.2. (Измененная редакция, Изм. N 2).
3.3. Содержание пыли - по ГОСТ 1274-76.
3.4. Определение зольности
3.4.1. Отбор проб
Из разных мест объединенной пробы, отобранной по ГОСТ 5551-82, нарезают пробы массой по 10 г каждая. Допускается использовать пробы, отобранные для определения влажности.
3.4.2. Аппаратура
Для проведения испытаний применяют:
тигли;
печь муфельную;
шкаф сушильный лабораторный;
весы аналитические не ниже 2-го класса точности.
(Измененная редакция, Изм. N 3).
3.4.3. Проведение испытаний
Пробы измельчают, помещают в тигли с постоянной массой и высушивают в сушильном шкафу до постоянно сухой массы. Затем тигли переносят в муфельную печь, где пробы сжигают при температуре 150 - 200 °C до прекращения выделения продуктов сухой перегонки (в виде дыма). Далее температуру муфельной печи поднимают до 600 - 800 °C и выдерживают тигли при этой температуре в течение 2 ч.
Затем тигли охлаждают в эксикаторе и взвешивают. Повторные озоления производят в течение 15 мин при температуре 600 - 800 °C до тех пор, пока масса тигля с золой не станет постоянной. Взвешивание производят с погрешностью не более 0,1 г.
3.4.4. Обработка результатов
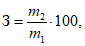
Зольность (З) в процентах вычисляют по формуле
где

- постоянно сухая масса пробы до сжигания, г;

- постоянно сухая масса пробы после озоления, г.
За окончательный результат испытания принимают среднее арифметическое результатов двух испытаний. Вычисление производят с точностью до второго десятичного знака с последующим округлением до первого десятичного знака.
3.4 - 3.4.4. (Введены дополнительно, Изм. N 1, 2).
3.5. Определение массовой доли хлопкового волокна
3.5.1. Подготовка к испытанию
Для проведения испытания из объединенной пробы, отобранной по ГОСТ 5551-82, из разных мест ножницами вырезают две элементарные пробы массой 5 г. Пробы предварительно обезжиривают и высушивают до постоянно-сухой массы в соответствии с п. 1.4 ГОСТ 4659-79.
3.5.2. Аппаратура, реактивы.
весы лабораторные 2-го класса точности с наибольшим пределом взвешивания 20 г по ГОСТ 24104-88:
шкаф сушильный лабораторный;
ножницы;
кислота соляная концентрированная по
ГОСТ 3118-77, х.ч., плотностью 1,15 - 1,19 г/см3;
индикатор метиловый оранжевый по нормативно-технической документации;
стаканчики для взвешивания (бюксы) с притертой крышкой по
ГОСТ 25336-82 тарированные;
пипетка по НТД;
палочки стеклянные.
3.5.3. Проведение испытания
Элементарную пробу помещают в стеклянную коническую колбу или фарфоровый стакан с концентрированной соляной кислотой и выдерживают при комнатной температуре в течение 30 мин, периодически перемешивая. Модуль ванны 1:50. Затем остаток пробы переносят на металлическую сетку, промывают свежей порцией концентрированной соляной кислоты, а затем водой до удаления следов кислоты, т.е. до прекращения окрашивания промывных вод в розовый цвет при добавлении индикатора метилового оранжевого.
Остаток отжимают, переносят в стаканчик для взвешивания, высушивают до постоянно-сухой массы, затем выдерживают в эксикаторе в течение 45 - 60 мин и взвешивают.
Затем остаток пробы переносят в стеклянную коническую колбу или фарфоровый стакан с концентрированной соляной кислотой и кипятят в течение 15 мин.
Остаток отжимают, высушивают до постоянно-сухой массы и взвешивают, как указано выше.
Массовую долю хлопкового волокна (m) в процентах вычисляют по формуле
где

- постоянно-сухая масса пробы после обработки концентрированной соляной кислотой при комнатной температуре, г;
1,04 - поправочный коэффициент, учитывающий изменение массы хлопкового волокна при обработке концентрированной соляной кислотой при комнатной температуре;

- постоянно-сухая масса пробы после обработки кипящей концентрированной соляной кислотой, г;

- постоянно-сухая масса пробы, г.
За результат испытания принимают среднее арифметическое результатов испытаний двух проб. Если эти результаты расходятся более, чем на 1 абс. %, то испытывают третью пробу и за результат принимают среднее арифметическое результатов испытаний трех проб.
Подсчет результатов производят с точностью до 0,1% и округляют до целого числа.
3.5 - 3.5.3. (Введены дополнительно, Изм. N 3).
4. УПАКОВКА, МАРКИРОВКА, ТРАНСПОРТИРОВАНИЕ И ХРАНЕНИЕ
4.1. Упаковка, маркировка, транспортирование и хранение отходов - по ГОСТ 5551-82.
(Измененная редакция, Изм. N 1, 3).
4.2. (Исключен, Изм. N 2).
Справочное
УСЛОВНЫЕ ОБОЗНАЧЕНИЯ ОТХОДОВ ПО ГОСТ 4643-75
И СООТВЕТСТВУЮЩИЕ ИМ УСЛОВНЫЕ ОБОЗНАЧЕНИЯ ПО РАНЕЕ
ДЕЙСТВУЮЩЕМУ СТАНДАРТУ
Условные обозначения по ГОСТ 4643-75 | Условные обозначения по ГОСТ 4643-67 |
501 | 501, 502 |
503 | 503 |
504 | 504 |
505 | 505 |
506 | 506 |
507 | 507 |
508 | 508 |
509 | 509 |
510 | 510 |
511 | 511 |