Главная // Актуальные документы // ГОСТ (Государственный стандарт)СПРАВКА
Источник публикации
М.: ИПК Издательство стандартов, 1997
Примечание к документу
С 1 июля 2003 года до вступления в силу технических регламентов акты федеральных органов исполнительной власти в сфере технического регулирования носят рекомендательный характер и подлежат обязательному исполнению только в части, соответствующей целям, указанным в
пункте 1 статьи 46 Федерального закона от 27.12.2002 N 184-ФЗ.
Документ
введен в действие с 1 января 1998 года.
Название документа
"ГОСТ 30439-96. Межгосударственный стандарт. Пестициды. Ситовой анализ"
(введен в действие Постановлением Госстандарта России от 26.02.1997 N 64)
"ГОСТ 30439-96. Межгосударственный стандарт. Пестициды. Ситовой анализ"
(введен в действие Постановлением Госстандарта России от 26.02.1997 N 64)
Введен в действие
Постановлением Государственного
комитета Российской Федерации
по стандартизации, метрологии
и сертификации
от 26 февраля 1997 г. N 64
МЕЖГОСУДАРСТВЕННЫЙ СТАНДАРТ
ПЕСТИЦИДЫ
СИТОВОЙ АНАЛИЗ
Pesticides. Sieve analysis
ГОСТ 30439-96
Дата введения
1 января 1998 года
1. Разработан Межгосударственным техническим комитетом МТК 202 "Пестициды".
Внесен Госстандартом Российской Федерации.
2. Принят Межгосударственным Советом по стандартизации, метрологии и сертификации (протокол N 10 от 4 октября 1996 г.).
За принятие проголосовали:
Наименование государства | Наименование национального органа по стандартизации |
Азербайджанская Республика | Азгосстандарт |
Республика Армения | Армгосстандарт |
Республика Белоруссия | Белстандарт |
Республика Грузия | Грузстандарт |
Республика Казахстан | Госстандарт Республики Казахстан |
Киргизская Республика | Киргизстандарт |
Российская Федерация | Госстандарт России |
Республика Таджикистан | Таджикский государственный центр по стандартизации, метрологии и сертификации |
Туркменистан | Туркменглавгосинспекция |
Республика Узбекистан | Узгосстандарт |
Украина | Госстандарт Украины |
3. Постановлением Государственного комитета Российской Федерации по стандартизации, метрологии и сертификации от 26 февраля 1997 г. N 64 межгосударственный стандарт ГОСТ 30439-96 введен в действие непосредственно в качестве государственного стандарта Российской Федерации с 1 января 1998 г.
4. Введен впервые.
Настоящий стандарт распространяется на пестициды и устанавливает методы ситового анализа препаративных форм:
- метод определения дисперсности сухим просеиванием (смачивающиеся порошки, дусты);
- метод определения дисперсности мокрым просеиванием (смачивающиеся порошки, дусты, таблетки, суспензионные концентраты);
- метод определения гранулометрического состава (гранулированные препараты).
В настоящем стандарте использованы ссылки на следующие стандарты:
ГОСТ 1770-74 Посуда мерная лабораторная стеклянная. Цилиндры, мензурки, колбы, пробирки. Технические условия
ГОСТ 3826-82 Сетки проволочные тканые с квадратными ячейками. Технические условия
ГОСТ 6613-86 Сетки проволочные тканые с квадратными ячейками. Технические условия
ГОСТ 9147-80 Посуда и оборудование лабораторные фарфоровые. Технические условия
ГОСТ 14189-81 Пестициды. Правила приемки, методы отбора проб, упаковка, маркировка, транспортирование и хранение
ГОСТ 18300-87 Спирт этиловый ректификованный. Технические условия
ГОСТ 24104-88 Весы лабораторные общего назначения и образцовые. Общие технические условия
ГОСТ 25336-82 Посуда и оборудование лабораторные стеклянные. Типы, основные параметры и размеры
3.1. При проведении анализа соблюдают требования
ГОСТ 27025.
3.2. Пробы отбирают в соответствии с требованиями
ГОСТ 14189.
3.3. Метод определения и номер сетки должны быть указаны в нормативном документе на конкретный препарат.
3.4. Перед проведением анализа сетку необходимо протереть этиловым спиртом (не более 10 куб. см) по
ГОСТ 18300 для обезжиривания и высушить на воздухе.
Не допускается использовать сито, если полотно сетки имеет разрывы или растяжения.
3.5. Допускается применять другие средства измерения с метрологическими характеристиками и оборудование с техническими характеристиками не хуже, а также реактивы по качеству не ниже указанных в настоящем стандарте.
4. МЕТОД ОПРЕДЕЛЕНИЯ ДИСПЕРСНОСТИ СУХИМ ПРОСЕИВАНИЕМ
Метод основан на разделении пробы препарата при просеивании через сито с сеткой заданного номера и определении массовой доли остатка на сите.
4.1. Аппаратура, посуда, реактивы
Вибратор механический со следующими характеристиками: число круговых вращений от 270 до

, частота встряхивания от 140 до

.
Сито металлическое диаметром (200 +/- 20) мм с крышкой и поддоном.
Весы лабораторные общего назначения 2-го класса по ГОСТ 24104 с наибольшим пределом взвешивания 200 г.
Секундомер.
Кисточка волосяная мягкая плоская шириной 15 - 30 мм.
Стаканчик для взвешивания типа СВ или СН или чашка типа ЧБН (чашка Петри) по
ГОСТ 25336.
20,00 г препарата взвешивают и с помощью кисточки количественно переносят на сито с поддоном. Затем сито закрывают крышкой и встряхивают с помощью механического вибратора в течение 10 мин., после чего вибратор выключают и кисточкой осторожно разрушают образовавшиеся мягкие агломераты частиц. Вибратор вновь включают на 5 мин.
Допускается проводить просеивание ручным способом, встряхивая сито в горизонтальном направлении, совершая попеременно кольцевые движения. При этом необходимо периодически ударять поддоном о твердое основание то с одной, то с другой стороны сита.
Образовавшиеся мягкие агломераты частиц также разрушают кисточкой; твердые комочки дробить не допускается.
Сито ручным способом встряхивают до тех пор, пока в течение 2 мин. через него не будут проходить никакие частицы.
После просева остаток на сите количественно переносят в предварительно высушенный до постоянной массы стаканчик для взвешивания или чашку Петри и взвешивают. Результаты всех взвешиваний в граммах записывают с точностью до четвертого десятичного знака.
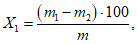
4.3. Обработка результатов
Массовую долю остатка на сите X, %, вычисляют по формуле:

(1)
где

- масса остатка на сите, г;
m - масса навески препарата, г.
За результат анализа принимают среднее арифметическое значение результатов двух параллельных определений, абсолютное расхождение между которыми не превышает допускаемое расхождение, равное 0,1%.
Допускаемая абсолютная суммарная погрешность результата анализа +/- 0,02% при доверительной вероятности P = 0,95.
5. МЕТОД ОПРЕДЕЛЕНИЯ ДИСПЕРСНОСТИ МОКРЫМ ПРОСЕИВАНИЕМ
Метод основан на определении массовой доли сухого остатка, полученного после прохождения свежеприготовленной водной суспензии препарата через сито с сеткой заданного номера.
5.1. Аппаратура, посуда, реактивы
Сито металлическое диаметром (200 +/- 20) мм.
Весы лабораторные общего назначения 2-го класса по ГОСТ 24104 с наибольшим пределом взвешивания 200 г.
Секундомер.
Кисточка волосяная мягкая плоская шириной 15 - 30 мм.
Шкаф сушильный, обеспечивающий нагрев до заданной температуры.
Шланг резиновый с внутренним диаметром 10 мм.
Палочка с резиновым наконечником.
Стаканчик для взвешивания типа СВ или СН или чашка типа ЧБН (чашка Петри) по
ГОСТ 25336.
Воронка типа ВФ или тигель типа ТФ с фильтром класса ПОР 40, или 16, или 3,0, или 1,6 по
ГОСТ 25336. Класс фильтра должен быть указан в нормативном документе на конкретный препарат.
Эмульгатор типа ОП, Сандовит или Цитоветт, раствор с массовой долей 0,5%.
20,00 г препарата взвешивают, помещают в стакан или фарфоровую кружку и при непрерывном перемешивании палочкой с резиновым наконечником (скорость перемешивания не более 4 об./с) добавляют порциями по 2 - 5 куб. см воду до образования сметанообразной массы. Для улучшения смачивания допускается применять раствор эмульгатора.
Затем к полученной массе добавляют 400 - 500 куб. см воды, перемешивают и тонкой струей выливают на сито. Остаток на сите промывают с помощью резинового шланга, подающего 4 - 6 куб. дм воды в минуту. Промывание проводят в течение 10 - 15 мин., направляя воду от периферии сита к его центру, придерживая при этом конец шланга на расстоянии не более 5 см от поверхности сита. Допускается, слегка притрагиваясь кисточкой, разрушать образовавшиеся мягкие агломераты частиц.
После промывания остаток с сита количественно переносят в предварительно высушенный до постоянной массы стаканчик для взвешивания, или чашку Петри, или на сито с сеткой, номер которой меньше заданного, и сушат до постоянной массы в сушильном шкафу. Температурный режим сушки должен быть указан в нормативном документе на конкретный препарат.
Допускается остаток с сита переносить в предварительно высушенные до постоянной массы воронку или тигель с фильтром, присоединенные через колбу с тубусом к водоструйному насосу, и сушить до постоянной массы, протягивая воздух при остаточном давлении 73315 - 79980 Па (550 - 600 мм рт. ст.).
Результаты всех взвешиваний в граммах записывают с точностью до четвертого десятичного знака.
5.3. Обработка результатов
Массовую долю остатка на сите

, %, вычисляют по формуле:

(2)
где

- масса стаканчика (чашки, сита, фильтра) с остатком, г;

- масса стаканчика (чашки, сита, фильтра), г;
m - масса навески препарата, г.
За результат анализа принимают среднее арифметическое значение результатов двух параллельных определений, абсолютное расхождение между которыми не превышает допускаемое расхождение, равное 0,1%.
Допускаемая абсолютная суммарная погрешность результата анализа +/- 0,02% при доверительной вероятности P = 0,95.
6. МЕТОД ОПРЕДЕЛЕНИЯ ГРАНУЛОМЕТРИЧЕСКОГО СОСТАВА
Метод основан на определении массовой доли фракций, полученных путем рассева пробы гранулированного препарата на ситах с сетками различных заданных номеров.
Вибратор механический (прибор для рассева) со следующими характеристиками: наклон плиты 5°, движение плиты - эксцентрическое, скорость вращения

, амплитуда встряхивания 4 мм, частота встряхивания

, или любой другой, характеристики которого должны быть указаны в нормативном документе на конкретный препарат.
Сита металлические диаметром (200 +/- 20) мм с крышкой и поддоном.
Весы лабораторные общего назначения 2-го класса по ГОСТ 24104 с наибольшим пределом взвешивания 200 г.
Секундомер.
100,00 г препарата взвешивают, количественно переносят на верхнее сито (с наибольшим заданным номером сетки), закрывают крышкой и проводят рассев с помощью прибора с течение 15 мин. Допускается изменять время рассева, указывая его в нормативном документе на конкретный препарат.
После рассева отбирают остаток с каждого сита и поддона и взвешивают. Результаты всех взвешиваний в граммах записывают с точностью до второго десятичного знака.
Допускается объединять остатки на ситах в пределах фракции.
Частицы, застрявшие в ячейках сита, объединяют с надситовой фракцией. Разрушение комков и мягких агломератов частиц не допускается.
Допускается проводить рассев ручным способом, осторожно наклоняя сита из стороны в сторону так, чтобы гранулы перекатывались по их поверхности без видимого истирания. Каждые 2 мин. сита необходимо встряхивать, ударяя поддоном о твердое основание то с одной, то с другой стороны сита.
Рассев ручным способом проводят до тех пор, пока в течение 2 мин. через сита не будут проходить никакие частицы.
При механическом и ручном способах рассева перед снятием крышки с сита следует подождать не менее 2 мин. для оседания пыли.
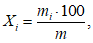
6.3. Обработка результатов
Массовую долю фракции

, %, вычисляют по формуле:

(3)
где

- масса фракции, г;
m - масса навески препарата, г.
За результат анализа принимают среднее арифметическое значение результатов двух параллельных определений, абсолютное расхождение между которыми не превышает допускаемое расхождение, равное 1,0%.
Допускаемая абсолютная суммарная погрешность результата анализа +/- 0,2% при доверительной вероятности P = 0,95.
Результат округляют до целого числа.