Главная // Актуальные документы // ГОСТ (Государственный стандарт)СПРАВКА
Источник публикации
М.: ИПК Издательство стандартов, 2001
Примечание к документу
Документ включен в
Перечень национальных стандартов, содержащих правила и методы исследований (испытаний) и измерений, в том числе правила отбора образцов, необходимые для применения и исполнения технического
регламента о безопасности объектов внутреннего водного транспорта и осуществления оценки соответствия (
Распоряжение Правительства РФ от 29.06.2011 N 1100-р).
С 1 июля 2003 года до вступления в силу технических регламентов акты федеральных органов исполнительной власти в сфере технического регулирования носят рекомендательный характер и подлежат обязательному исполнению только в части, соответствующей целям, указанным в
пункте 1 статьи 46 Федерального закона от 27.12.2002 N 184-ФЗ.
Введен в действие с 1 июля 1996 года.
Название документа
"ГОСТ 30338-95/ГОСТ Р 50657-94. Межгосударственный стандарт. Совместимость радиоэлектронных средств электромагнитная. Устройства радиопередающие всех категорий и назначений народнохозяйственного применения. Требования к допустимым отклонениям частоты. Методы измерений и контроля"
(введен в действие Постановлением Госстандарта РФ от 12.03.1996 N 164)
"ГОСТ 30338-95/ГОСТ Р 50657-94. Межгосударственный стандарт. Совместимость радиоэлектронных средств электромагнитная. Устройства радиопередающие всех категорий и назначений народнохозяйственного применения. Требования к допустимым отклонениям частоты. Методы измерений и контроля"
(введен в действие Постановлением Госстандарта РФ от 12.03.1996 N 164)
Постановлением Госстандарта РФ
от 12 марта 1996 г. N 164
МЕЖГОСУДАРСТВЕННЫЙ СТАНДАРТ
СОВМЕСТИМОСТЬ РАДИОЭЛЕКТРОННЫХ СРЕДСТВ ЭЛЕКТРОМАГНИТНАЯ
УСТРОЙСТВА РАДИОПЕРЕДАЮЩИЕ ВСЕХ КАТЕГОРИЙ
И НАЗНАЧЕНИЙ НАРОДНОХОЗЯЙСТВЕННОГО ПРИМЕНЕНИЯ
ТРЕБОВАНИЯ К ДОПУСТИМЫМ ОТКЛОНЕНИЯМ ЧАСТОТЫ.
МЕТОДЫ ИЗМЕРЕНИЙ И КОНТРОЛЯ
Electromagnetic compatibiliti of radioelectronic equipment.
Radio transmitting devices of all types and purposes
for national economic use. Limits for frequency
tolerances. Measuring and monitoring methods
ГОСТ 30338-95/ГОСТ Р 50657-94
Группа Э59
Дата введения
1 июля 1996 года
1. Разработан и внесен Техническим комитетом по стандартизации в области электромагнитной совместимости технических средств (ТК ЭМС).
2. Принят Межгосударственным советом по стандартизации, метрологии и сертификации 26 апреля 1995 г. в качестве межгосударственного стандарта ГОСТ 30338-95.
Постановлением Госстандарта России от 12 марта 1996 г. N 164 ГОСТ 30338-95 введен в действие в качестве государственного стандарта Российской Федерации с момента принятия указанного Постановления и признан имеющим одинаковую силу с ГОСТ Р 50657-94 на территории Российской Федерации в связи с полной аутентичностью их содержания.
За принятие проголосовали:
┌───────────────────────────┬────────────────────────────────────┐
│ Наименование государства │ Наименование национального │
│ │ органа по стандартизации │
├───────────────────────────┼────────────────────────────────────┤
│Азербайджанская Республика │Азгосстандарт │
│Республика Армения │Армгосстандарт │
│Республика Беларусь │Госстандарт Республики Беларусь │
│Республика Казахстан │Госстандарт Республики Казахстан │
│Кыргызская Республика │Кыргызстандарт │
│Республика Молдова │Молдовастандарт │
│Российская Федерация │Госстандарт России │
│Республика Таджикистан │Таджикгосстандарт │
│Туркменистан │Главгосинспекция │
│ │"Туркменстандартлары" │
│Республика Узбекистан │Узгосстандарт │
│Украина │Госстандарт Украины │
└───────────────────────────┴────────────────────────────────────┘
3. Введен впервые.
4. Стандарт соответствует Регламенту радиосвязи, а также документам Международного консультативного комитета по радио (МККР): Рекомендациям 439-3, 475-1, 478-4, 489-1, 494, 633-1, 690, 693; Отчетам 181-4, 785-1; Нормам ГКРЧ 17-84.
Настоящий стандарт распространяется на вновь разрабатываемые (модернизируемые) радиопередатчики и устанавливает требования к допустимым отклонениям частоты радиопередатчиков всех категорий и назначений.
Применение более высоких требований к допустимым отклонениям частоты радиопередатчиков для некоторых служб решается по согласованию между заказчиком и разработчиком радиопередатчиков.
Настоящий стандарт является обязательным при стандартизации и сертификации радиопередатчиков в области электромагнитной совместимости.
В настоящем стандарте использованы ссылки на
ГОСТ 24375-80 Радиосвязь. Термины и определения.
Допустимое отклонение частоты - максимально допускаемое отклонение средней частоты полосы частот излучения от присвоенной частоты или характерной частоты излучения от относительной частоты.
Допустимое отклонение частоты выражается в миллионных долях (

) или в герцах. Отклонение частоты допустимо как в сторону ее повышения, так и в сторону понижения.
Мощность несущей (радиопередатчика) - по
ГОСТ 24375.
Относительная частота - частота, занимающая по отношению к присвоенной частоте фиксированное и определенное положение. Отклонение этой частоты по отношению к присвоенной частоте имеет те же абсолютную величину и знак, что и отклонение характерной частоты по отношению к середине полосы частот, занимаемой излучением.
Пиковая мощность огибающей (радиопередатчика) - по
ГОСТ 24375.
Радиоопределение - определение местонахождения, скорости и (или) других характеристик объекта или получение данных относительно этих параметров посредством свойств распространения радиоволн.
Средняя мощность (радиопередатчика) - по
ГОСТ 24375.
Характерная частота - частота, которую можно легко опознать и измерить в данном излучении. Например, несущую частоту можно рассматривать как характерную частоту.
Воздушная подвижная служба - подвижная служба между стационарными станциями воздушной подвижной службы и станциями воздушных судов или между станциями воздушных судов, в которой могут участвовать станции спасательных средств; станции радиомаяков - указателей места бедствия могут также участвовать в этой службе на определенных частотах бедствия и аварии.
Морская подвижная служба - подвижная служба между береговыми станциями и судовыми станциями, или между судовыми станциями, или между взаимодействующими станциями внутрисудовой связи; станции спасательных средств и станции радиомаяков - указателей места бедствия также могут участвовать в этой службе.
Подвижная служба - служба радиосвязи между подвижной и сухопутной станциями или между подвижными станциями.
Радиовещательная служба - служба радиосвязи, передачи которой предназначены для непосредственного приема населением. Эта служба может осуществлять передачи звуков, передачи телевидения или другие виды передач.
Служба радиосвязи - служба, включающая передачу, излучение и (или) прием радиоволн для определенных целей электросвязи.
Служба радиоопределения - служба радиосвязи для целей радиоопределения.
Сухопутная подвижная служба - подвижная служба между базовыми станциями и сухопутными подвижными станциями или между сухопутными подвижными станциями.
Фиксированная служба - служба радиосвязи между определенными фиксированными пунктами.
Фиксированная спутниковая служба - служба радиосвязи между земными станциями, расположенными в определенных фиксированных пунктах, при использовании одного или нескольких спутников; в некоторых случаях эта служба включает линии "спутник - спутник", которые могут также использоваться в межспутниковой службе; фиксированная спутниковая служба может включать также фидерные линии для других служб космической радиосвязи.
Станция - один или несколько передатчиков или приемников или комбинация передатчиков и приемников, включая вспомогательное оборудование, необходимое в определенном месте для осуществления службы радиосвязи или радиоастрономической службы.
Каждая станция классифицируется в соответствии со службой, в которой она действует постоянно или временно.
Базовая станция - сухопутная станция сухопутной подвижной службы.
Береговая станция - сухопутная станция морской подвижной службы.
Земная станция - станция, расположенная либо на поверхности Земли, либо в основной части атмосферы Земли и предназначенная для связи с одной или несколькими космическими станциями или с одной или несколькими подобными ей станциями с помощью одного или нескольких отражающих спутников или других объектов в космосе.
Космическая станция - станция, расположенная на объекте, который находится либо находился за пределами основной части атмосферы Земли или предназначен для вывода за эти пределы.
Подвижная станция - станция подвижной службы, предназначенная для работы во время движения или во время остановок в неопределенных пунктах.
Сухопутная станция - станция подвижной службы, не предназначенная для работы во время движения.
Сухопутная подвижная станция - подвижная станция сухопутной подвижной службы, способная перемещаться по поверхности в пределах географических границ страны или континента.
Стационарная станция воздушной подвижной службы - сухопутная станция воздушной подвижной службы. В некоторых случаях стационарная станция воздушной подвижной службы может устанавливаться, например, на борту морского судна или на морской платформе.
Станция воздушного судна - подвижная станция воздушной подвижной службы, отличная от станции спасательного средства, установленная на борту воздушного судна.
Станция внутрисудовой связи - маломощная подвижная станция морской подвижной службы, предназначенная для внутренней связи на борту судна, или между судном и его спасательными лодками и спасательными плотами во время тренировок спасательных средств или при спасательных операциях, или для связи в группе буксируемых или толкаемых судов, а также для передачи указаний по швартовке и причаливанию.
Станция спасательного средства - подвижная станция морской подвижной службы или воздушной подвижной службы, предназначенная исключительно для спасательных целей и установленная на спасательной лодке, спасательном плоту или другом спасательном средстве.
Судовой аварийный передатчик - судовой передатчик, используемый исключительно на частоте бедствия для нужд, связанных с бедствием, срочностью или безопасностью.
Судовая станция - подвижная станция морской подвижной службы, установленная на борту судна, не закрепленного постоянно на одном месте, отличная от станции спасательного средства.
Станция радиомаяка - указателя места бедствия - станция подвижной службы, излучения которой предназначены для обеспечения операций по поиску и спасанию.
Станция радиоопределения - станция службы радиоопределения.
Радиовещательная станция - станция радиовещательной службы.
Фиксированная станция - станция фиксированной службы.
4. Требования к допустимым отклонениям частоты
радиопередатчиков всех категорий и назначений
4.1. Допустимые отклонения частоты радиопередатчиков всех категорий и назначений не должны превышать значений, приведенных в таблице 1 (выражаются в миллионных долях

или

в герцах).
4.2. Если нет другого указания, то мощность для различных категорий станций представляет собой пиковую мощность огибающей для однополосных передатчиков и среднюю мощность для всех других передатчиков.
┌────────────────────────────────────────────────────┬────────────────────────┐
│ Полоса частот (исключая нижний и включая верхний │ Допустимое отклонение │
│ пределы) и категории станций │ -6 │
│ │ частоты +/- (N х 10 , │
│ │ N , Гц) │
│ │ 1 │
│ ├────────────┬───────────┤
│ │ N │ N │
│ │ │ 1 │
├────────────────────────────────────────────────────┼────────────┼───────────┤
│ Полоса 9 - 535 кГц │ │ │
│ │ │ │
│Фиксированные станции │ │10 Гц │
│Сухопутные станции: │ │ │
│ береговые станции │100
<1> │ │
│ стационарные станции воздушной подвижной службы │50 │ │
│Подвижные станции: │ │ │
│ судовые станции │200
<1> │ │
│ судовые аварийные передатчики (станции) │500
<2> │ │
│ станции спасательных средств │500 │ │
│ станции воздушных судов │100 │ │
│Станции радиоопределения │100 │ │
│Радиовещательные станции │ │10 Гц │
│Радиовещательные станции, работающие в режиме │ │0,01 Гц │
│синхронизации частоты │ │ │
│ │ │ │
│ Полоса 535 - 1606,5 кГц │ │ │
│ │ │ │
│Радиовещательные станции │ │10 Гц │
│Радиовещательные станции, работающие в режиме │ │0,01 Гц │
│синхронизации частоты │ │ │
│Станции радиоопределения │100 │ │
│ │ │ │
│ Полоса 1606,5 - 4000 кГц │ │ │
│ │ │ │
│Фиксированные станции мощностью: │ │ │
│ 200 Вт и менее │50 │ │
│ с излучением на одной боковой полосе │ │50 Гц │
│ более 200 Вт │ │20 Гц │
│ с излучением частотной манипуляции любой мощности │ │10 Гц │
│Сухопутные станции мощностью: │ │ │
│ 200 Вт и менее │100
<1>, │ │
│ более 200 Вт │50
<1>,
<3>,│ │
│Подвижные станции: │ │ │
│ судовые станции │ │40 Гц
<1> │
│ с излучением класса А1А │50 │ │
│ станции спасательных средств │100 │ │
│ радиомаяки - указатели места бедствия │100 │ │
│ станции воздушных судов │ │20 Гц │
│ сухопутные подвижные станции │50
<5> │ │
│Станции радиоопределения мощностью: │ │ │
│ 200 Вт и менее │20 │ │
│ более 200 Вт │10 │ │
│Радиомаяки в полосе 1606,5 - 1800 кГц │50 │ │
│Радиовещательные станции │ │10 Гц │
│Радиовещательные станции, работающие в режиме │ │0,1 Гц │
│синхронизации частоты │ │ │
│ │ │ │
│ Полоса 4 - 29,7 МГц │ │ │
│ │ │ │
│Фиксированные станции: │ │ │
│ с излучением на одной боковой полосе и на │ │ │
│независимой боковой полосе мощностью: │ │ │
│ 500 Вт и менее │ │50 Гц │
│ более 500 Вт │ │20 Гц │
│ с излучением класса F1B │ │10 Гц │
│ с излучением других классов мощностью: │ │ │
│ 500 Вт и менее │20 │ │
│ более 500 Вт │10 │ │
│Сухопутные станции: │ │ │
│ береговые станции │ │20 Гц
<1> │
│ с излучением класса А1А │10 │ │
│ стационарные станции воздушной подвижной службы │ │10 Гц │
│базовые станции мощностью: │ │ │
│ 500 Вт и менее │20 │ │
│ более 500 Вт │10 │ │
│Подвижные станции: │ │ │
│ судовые станции │ │ │
│ с излучением класса А1А │10 │ │
│ с излучением других классов, кроме А1А │ │50 Гц
<1>, │
│ станции спасательных средств │50 │ │
│ станции воздушных судов │ │20 Гц │
│ сухопутные подвижные станции │40
<7> │ │
│Радиовещательные станции │ │10 Гц │
│Радиовещательные станции, работающие в режиме │ │0,1 Гц │
│синхронизации частоты │ │ │
│Космические станции │20 │ │
│Земные станции │20 │ │
│ │ │ │
│ Полоса 29,7 - 100 МГц │ │ │
│ │ │ │
│Фиксированные станции │20 │ │
│Сухопутные станции мощностью: │ │ │
│ 2 Вт и менее │30 │ │
│ более 2 Вт до 15 Вт включительно │20 │ │
│ более 15 Вт │10 │ │
│Подвижные станции мощностью: │ │ │
│ 2 Вт и более │20 │ │
│ носимые с мощностью не более 2 Вт │40 │ │
│Станции радиоопределения │50 │ │
│Радиовещательные станции (кроме телевизионных) │ │ │
│мощностью: │ │ │
│ 50 Вт и менее │ │3000 Гц │
│ более 50 Вт │ │2000 Гц │
│Радиовещательные станции (телевизионные - │ │ │
│изображение и звуковое сопровождение): │ │ │
│ мощностью менее 1000 Вт │ │350 Гц │
│ мощностью 1000 Вт и более │ │100 Гц │
│работающие в режиме точного смещения частот несущих │ │1 Гц │
│Космические стации │20 │ │
│Земные станции │0,5
<8> │ │
│ │ │ │
│ Полоса 100 - 470 МГц │ │ │
│ │ │ │
│Фиксированные станции мощностью: │ │ │
│ 50 Вт и менее │20
<9> │ │
│ более 50 Вт │10 │ │
│Сухопутные станции: │ │ │
│ береговые станции │5 │ │
│ стационарные станции воздушной подвижной службы │20 │ │
│ базовые станции при разносе частот между соседними │ │ │
│каналами не менее 20 кГц: │ │ │
│ в полосе 100 - 235 МГц │10
<12> │ │
│ в полосе 235 - 401 МГц │7 │ │
│ в полосе 401 - 470 МГц │5 │ │
│Подвижные станции: │ │ │
│ судовые станции и станции спасательных средств: │ │ │
│ в полосе 156 - 174 МГц │10 │ │
│ вне полосы 156 - 174 МГц │50
<10>, │ │
│ станции воздушных судов │30 │ │
│ сухопутные подвижные станции при разносе частот │ │ │
│между соседними каналами не менее 20 кГц: │ │ │
│ в полосе 100 - 235 МГц │10
<12> │ │
│ в полосе 235 - 401 МГц │7
<12> │ │
│ в полосе 401 - 470 МГц │5
<12> │ │
│Станции радиоопределения │50
<13> │ │
│Радиомаяки - указатели места бедствия на частоте │ │2000 Гц │
│406,025 МГц │ │ │
│Радиовещательные станции (кроме телевизионных) │10 │3000 Гц │
│со средней мощностью 50 Вт и менее в полосах ниже │ │ │
│108 МГц │ │ │
│Радиовещательные станции (телевизионные - │ │ │
│изображение и звуковое сопровождение): │ │ │
│ мощностью менее 1000 Вт │ │350 Гц │
│ мощностью 1000 Вт и более │ │100 Гц │
│ работающие в режиме точного смещения частот несущих│ │1 Гц │
│Космические станции │20 │ │
│Земные станции │0,5
<8> │ │
│ │ │ │
│ Полоса 470 - 2450 МГц │ │ │
│ │ │ │
│Фиксированные станции: │50 │ │
│ радиорелейные линии (РРЛ) с мощностью передатчиков │100
<14> │ │
│20 Вт и менее │ │ │
│Сухопутные станции │20 │ │
│Подвижные станции │20 │ │
│Станции радиоопределения: │500
<13>, │ │
│ с кварцевой стабилизацией │100 │ │
│Радиовещательные станции (кроме телевизионных) │100 │ │
│Радиовещательные станции (телевизионные - │ │ │
│изображение и звуковое сопровождение) в полосе 470 -│ │ │
│960 МГц: │ │ │
│ мощностью менее 1000 Вт │ │500 Гц │
│ мощностью 1000 Вт и более │ │100 Гц │
│ работающие в режиме точного смещения частот несущих│ │1 Гц │
│Космические станции │20 │ │
│Земные станции │0,3 │ │
│ │ │ │
│ Полоса 2450 - 10500 МГц │ │ │
│ │ │ │
│Фиксированные станции: │50 │ │
│ радиорелейные линии с мощностью передатчиков 20 Вт │200
<14> │ │
│и менее │ │ │
│Сухопутные станции │100 │ │
│Подвижные станции │100
<16> │ │
│Станции радиоопределения: │1200
<13> │ │
│ с кварцевой стабилизацией │100 │ │
│Земные станции │1
<18> │ │
│ │ │ │
│ Полоса 10,5 - 40 ГГц │ │ │
│ │ │ │
│Фиксированные станции: │100 │ │
│ радиорелейные линии с мощностью передатчиков 10 Вт │300
<19> │ │
│и менее │ │ │
│Подвижные станции │300
<16> │ │
│Станции радиоопределения: │3000
<13> │ │
│ с кварцевой стабилизацией │500 │ │
│Радиовещательные станции │100 │ │
│Космические станции │1
<18> │ │
│Земные станции │1
<18> │ │
└────────────────────────────────────────────────────┴────────────┴───────────┘
--------------------------------
<1> Для передатчиков береговых и судовых станций, используемых для буквопечатающей телеграфии или передачи данных, допустимое отклонение частоты составляет:
- 5 Гц при узкополосной фазовой манипуляции;
- 10 Гц при частотной манипуляции и цифровом избирательном вызове для передатчиков, установленных после 01.01.1992.
<2> Если аварийный передатчик одновременно является резервным для основного, то его допустимое отклонение частоты должно быть таким же, как и для основного.
<3> Для однополосных передатчиков стационарных станций, работающих в полосах частот, распределенных на исключительной основе воздушной подвижной службы, допустимое отклонение частоты составляет 10 Гц.
<4> Для однополосных радиотелефонных передатчиков с мощностью 2 Вт и менее допустимое отклонение частоты составляет 40 Гц, с мощностью более 2 Вт - 20 Гц.
<5> Для передатчиков, используемых для однополосной радиосвязи с мощностью более 2 Вт, допустимое отклонение частоты составляет 20 Гц, а для передатчиков, используемых для радиотелеграфии с частотной манипуляцией, а также для передатчиков мощностью 2 Вт и менее, используемых для однополосной радиосвязи, - 40 Гц.
<6> Для передатчиков небольших судов, работающих в прибрежных водах или вблизи них с мощностью несущей не более 5 Вт в полосе 26175 - 27500 кГц с излучениями классов А3Е, F3E или G3E, допустимое отклонение частоты составляет

.
<7> Для однополосных радиотелефонных передатчиков (кроме тех, которые работают в полосе 26175 - 27500 кГц) с пиковой мощностью огибающей не более 15 Вт допустимое отклонение частоты составляет 50 Гц.
<8> Должны быть рассмотрены технические меры, позволяющие к 1995 г. обеспечить допустимое отклонение частоты порядка

.
<9> Для многопролетных радиорелейных систем с непосредственным преобразованием частоты допустимое отклонение частоты составляет

.
<10> Это допустимое отклонение частоты не применяется к станциям спасательных средств, работающим на частоте 243 МГц.
<11> Для радиопередатчиков, используемых станциями внутрисудовой связи, допустимое отклонение частоты составляет

.
<12> Для портативного оборудования, не устанавливаемого на подвижных средствах, со средней мощностью передатчика не более 5 Вт допустимое отклонение частоты составляет

.
<13> Это допустимое отклонение частоты относится к станциям, использующим фиксированные рабочие частоты. Для остальных станций допустимое отклонение частоты радиопередатчиков не должно приводить к излучениям вне выделенной полосы частот.
<14> Допустимое отклонение частоты одного передатчика при подаче на вход эталонного сигнала составляет:
- на оконечных и узловых станциях магистральных РРЛ и на оконечных и промежуточных станциях внутризоновых РРЛ - не более

;
- на промежуточных станциях магистральных РРЛ - не более

;
- на оконечных и промежуточных станциях местных РРЛ - не более

.
<15> Для радионавигационных подвижных станций допустимое отклонение частоты может составлять

при условии, что излучения находятся в пределах выделенной полосы.
<16> Для широкополосных частотно-модулированных радиопередатчиков, устанавливаемых на малых летательных аппаратах, допустимое отклонение частоты составляет

, при кратковременном режиме работы -

.
<17> Для передатчиков, использующих импульсные магнетроны, допустимое отклонение частоты определяется техническими условиями на указанные приборы.
<18> Допустимое отклонение частоты составляет:
- для радиопередатчиков широкополосных систем космических станций -

, земных станций -

;
- для радиопередатчиков, использующих один канал на несущей, космических и земных станций -

.
Для космических и земных станций под одним каналом на несущей понимается передача на отдельной несущей одного телефонного канала или канала данных;
под широкополосной системой понимается система, в которой на одной несущей передается многоканальное сообщение или сигналы изображения телевидения.
<19> Допустимое отклонение частоты одного радиопередатчика при подаче на вход эталонного сигнала составляет:
- внутризоновой РРЛ - не более

;
- местной РРЛ - не более

.
5. Методы измерений и контроля
5.1. Контроль допустимых отклонений частоты радиопередатчиков на соответствие установленным требованиям настоящего стандарта осуществляют при государственных, периодических и сертификационных испытаниях, а также в процессе эксплуатации.
5.2. Контроль допустимого отклонения частоты проводят с учетом воздействия на радиопередатчик дестабилизирующих факторов по параметрам и методикам испытаний, установленным техническими условиями на конкретные типы радиопередатчиков.
5.3. Контроль за выполнением установленных требований отклонения частоты радиопередатчиков, находящихся в эксплуатации, осуществляют обслуживающий персонал объектов и службы технического радиоконтроля.
5.4. Рабочую частоту радиопередатчика, настроенного на отдачу номинальной мощности в нагрузку (антенну или ее эквивалент), измеряют путем статистической оценки целого ряда (не менее 10) повторяющихся измерений, погрешность которых должна быть не хуже 0,1 допустимого отклонения частоты.
Отношение погрешности измерения, которая складывается из погрешности метода измерения и погрешности измерительных приборов, к допустимому отклонению частоты не должно превышать 1:3 <*>.
--------------------------------
<*> Для радиопередатчиков станций радиоопределения, работающих в режиме импульсной модуляции короткими импульсами в полосе частот 100 - 10500 МГц, допустимая точность измерения отклонения частоты одного порядка с контролируемой нормой. Для радиопередатчиков с прямым методом стабилизации допускается производить измерения частоты непрерывного сигнала в промежуточных каскадах, начиная с возбудителя частоты.
5.5. Измерение частоты радиопередатчиков проводят, как правило, в режиме без модуляции несущей частоты.
Рабочую частоту радиопередатчика настраивают на отдачу номинальной мощности в нагрузку (антенну или ее эквивалент).
5.6. Контроль допустимого отклонения частоты радиопередатчиков проводят методом, основанным на использовании частотомеров, или методом, основанным на сравнении частоты радиопередатчиков с генератором эталонной частоты.
Перечень измерительной аппаратуры и вспомогательных устройств, применяемых при измерении допустимых отклонений частоты радиопередатчиков, приведен в
Приложении А.
5.7. Контроль допустимого отклонения частоты радиопередатчиков, основанный на использовании электронно-счетных частотомеров, осуществляют по структурной схеме, приведенной на рисунке 1.
1 - проверяемый радиопередатчик;
2 - устройство связи;
3 - эквивалентное нагрузочное
сопротивление (эквивалент антенны);
4 - электронно-счетный частотомер;
5 - аттенюатор
Рисунок 1. Структурная схема измерения частоты
радиопередатчиков с применением электронно-счетных
частотомеров
Допускается подключать электронно-счетные частотомеры к промежуточным каскадам радиопередатчика-возбудителя, предварительному усилителю и др.
Частоту радиопередатчика (

) измеряют непосредственно частотомером 4 с погрешностью не хуже определенной в
5.4.
Установленные частоты радиопередатчика (

) и измеренные частоты частотомером (

) заносят в протокол испытаний. Значения относительного отклонения частоты определяют по формуле:

.
Результаты испытаний обрабатывают по методике, изложенной в
5.11.
5.8. Контроль допустимого отклонения частоты радиопередатчиков, основанный на использовании компаратора и стандарта частоты, осуществляют по структурной схеме, приведенной на рисунке 2.
1 - опорный генератор радиопередатчика;
2 - проверяемый радиопередатчик;
3 - эквивалентное нагрузочное
сопротивление (эквивалент антенны);
4 - стандарт частоты; 5 - компаратор частоты;
6 - аттенюатор; 7 - устройство связи
Рисунок 2. Структурная схема измерения частоты
радиопередатчиков с применением компаратора
и стандарта частоты
Метод испытаний применяют для радиопередатчиков с частотообразованием от единого опорного генератора.
5.9. Контроль допустимого отклонения частоты радиопередатчика, основанный на методе сравнения измеряемой частоты с частотой генератора эталонной частоты
Измеряемая частота радиопередатчика (

) определяется из условия равенства или известной кратности другой частоте, принимаемой за образцовую (

). Для индикации равенства или кратности этих частот применяют осциллограф (осциллографический способ). Структурная схема метода измерения приведена на рисунке 3.
1 - проверяемый радиопередатчик;
2 - устройство связи;
3 - эквивалентное нагрузочное
сопротивление (эквивалент антенны);
4 - генератор образцовой частоты;
5 - осциллограф; 6 - аттенюатор
Для определения

осциллографическим способом при синусоидальной развертке напряжение

подают на вход усилителя горизонтального отклонения, а напряжение

- на вход усилителя вертикального отклонения. Внутренний генератор развертки осциллографа выключают.
Изменением

добиваются получения на экране электронно-лучевой трубки неподвижной или медленно вращающейся фигуры Лиссажу.
Если последняя представляет собой наклонную прямую, эллипс или окружность, то сравниваемые частоты равны. Если же фигура Лиссажу получается более сложной, то необходимо определить кратность частот. Для этого фигуру Лиссажу мысленно пересекают вертикальной и горизонтальной линиями (рисунок 4) и определяют число пересечений ими фигуры Лиссажу по вертикали

и горизонтали

.
Рисунок 4. Определение кратности частот по фигурам Лиссажу
Отношение чисел

и

равно отношению частот

и

:

.
Синусоидальную развертку применяют до кратности частот порядка 10, т.к. при большем числе пересечений их трудно сосчитать. Точность измерений зависит от точности градуировки шкалы генератора образцовых частот и от стабильности сравниваемых частот.
Присвоенную частоту радиопередатчика (

) и измеренную частоту (

) записывают в протокол испытаний и находят относительное отклонение частоты радиопередатчика по методике
5.11.
5.10. Измерения допустимого отклонения частоты радиопередатчиков с излучением класса J3E
Непосредственные измерения проводят в соответствии со структурной схемой, приведенной на рисунке 5.
1 - низкочастотный генератор сигналов;
2 - проверяемый радиопередатчик (в режиме передачи);
3 - устройство связи; 4 - эквивалентное нагрузочное
сопротивление (эквивалент антенны);
5 и 7 - электронно-счетные частотомеры;
6 - аттенюатор
Рисунок 5. Структурная схема измерения
частоты радиопередатчиков с излучением класса J3E
На вход радиопередатчика подают сигнал с частотой 1000 Гц с таким уровнем, при котором выходная мощность радиопередатчика равна номинальной величине, а необходимый уровень сигнала на входе измерителя частоты 5 устанавливают аттенюатором 6. Частоту модулирующего сигнала при измерениях поддерживают равной 1000 Гц.
На выходе радиопередатчика измеряют частоту сигнала

и определяют отклонение частоты

в герцах от присвоенного значения

по формуле:

,
где "+" - соответствует передаче нижней боковой полосы;
"-" - соответствует передаче верхней боковой полосы;

- измеренное значение частоты;

- присвоенная частота подавленной несущей передатчика.
Измерения частоты радиопередатчиков с классом J3E по электромагнитному полю проводят по структурной схеме, приведенной на рисунке 6, при этом восстановление несущей частоты осуществляется в приемнике.
1 - проверяемый радиопередатчик;
2 - синтезатор частоты; 3 - переключатель;
4 - радиоприемник; 5 и 7 - полосовые фильтры,
настроенные на первую и вторую гармоники
основной частоты речевого спектра; 6 - осциллограф;
8 - электронно-счетный частотомер
Рисунок 6. Структурная схема измерения частоты
радиопередатчиков с излучением класса J3E
по электромагнитному полю
Настройку радиоприемника 4 (переключатель 3 в положении А) производят сначала по максимальной разборчивости передаваемого сообщения, а затем по наибольшей устойчивости на экране осциллографа фигуры Лиссажу.
Переключатель 3 переводят в положение Б, частоту синтезатора частот 2 устанавливают по нулевым биениям на выходе усилителя низкой частоты радиоприемника. Частоту синтезатора частот, которая будет в этом случае равна подавленной несущей, измеряют с помощью электронно-счетного частотомера 8.
Результаты измерений частот

и соответствующие им присвоенные частоты записывают в протокол. Допустимые отклонения частот радиопередатчика определяют по методу 5.11.
5.11. Обработка результатов измерений
Среднее арифметическое значение разности между измеряемыми

и присвоенными

частотами на всем множестве измеренных значений

в герцах вычисляют по формуле:

,
где

(i = 1,..., 10) - измеренные значения частоты.
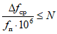
Проверяемый радиопередатчик соответствует требованиям
таблицы 1 при следующих условиях:

, где N - допустимое отклонение частоты в миллионных долях;

, где

- допустимое отклонение частоты в герцах.
(рекомендуемое)
ИЗМЕРИТЕЛЬНОЙ АППАРАТУРЫ
Основные типы и параметры рекомендуемой измерительной аппаратуры, используемой для контроля допустимых отклонений частоты радиопередатчиков, представлены в
таблицах А.1 -
А.8.
Для измерений может быть использована и другая аппаратура с аналогичными характеристиками и требованиями
раздела 5.
Вспомогательные измерительные устройства (устройства связи, эквивалентные нагрузочные сопротивления, аттенюаторы и др.) предназначены для ответвления с выхода передатчика мощности, необходимой для измерительного тракта. Коэффициент передачи мощности устройства связи

в измерительный тракт должен соответствовать условию:

,
где

,

- соответственно чувствительность и максимально допустимое значение мощности на входе измерительного тракта;

- мощность в тракте испытуемого радиопередатчика в месте подключения измерительного тракта.
В зависимости от мощности радиопередатчика устройство связи может быть выполнено в виде резисторного или емкостного делителя, встроенного в тракт передачи направленного ответвителя или свободного пространства (петля).
Эквивалентные нагрузочные сопротивления должны иметь допустимую мощность рассеивания не меньше максимальной средней мощности испытуемого радиопередатчика. Коэффициент стоячей волны по напряжению (КСВН) должен обеспечить нормальную работу радиопередатчика.
Аттенюаторы предназначены для регулирования уровня сигнала, подаваемого на измерительный тракт.
Таблица А.1
ЧАСТОТОМЕРЫ ЭЛЕКТРОННО-СЧЕТНЫЕ
┌───────┬───────────────────┬──────────────────┬─────────────────────────────┐
│ Тип │Диапазон измеряемых│Диапазон измерения│Пределы допускаемой относи- │
│прибора│частот непрерывных │ несущей частоты │тельной погрешности измерения│
│ │ сигналов │ ИМ-сигналов │частоты │
├───────┼───────────────────┼──────────────────┼─────────────────────────────┤
│Ч3-64 │0,005 Гц - 1500 МГц│100 - 1500 МГц │ │
│ │1,5 - 18 ГГц │1,5 - 18 ГГц │ │
│ │(со сменным блоком │(со сменным блоком│ │
│ │Я3Ч-175) │Я3Ч-175) │ │
│ │ │ │ 1 │
│Ч3-66 │10 Гц - 120 МГц │0,1 - 2 ГГц │+/- (дельта +/- ------) │
│ │0,1 - 2 ГГц │2 - 37,5 ГГц │ 0 f t │
│ │2 - 37,5 ГГц │ │ х сч │
└───────┴───────────────────┴──────────────────┴─────────────────────────────┘
Таблица А.2
СТАНДАРТ ЧАСТОТЫ
┌───────┬──────────────────┬────────────────────┬─────────────────────┐
│ Тип │ Номинальное │Среднеквадратическое│Погрешность измерения│
│прибора│ значение частоты │ относительное │ относительного │
│ │выходных сигналов,│отклонение частоты, │ отклонения частоты │
│ │ МГц │ не более │ за 1 с │
├───────┼──────────────────┼────────────────────┼─────────────────────┤
│ │ │ -12 │ -11 │
│Ч1-78 │5 │7 х 10 за 1 с │1,4 х 10 │
│ │ │ -14 │ -12 │
│Ч1-80 │5; 100 │10 за 1 сут. │+/- 1,5 х 10 │
└───────┴──────────────────┴────────────────────┴─────────────────────┘
Таблица А.3
КОМПАРАТОРЫ ЧАСТОТНЫЕ
┌───────┬─────────────────────────────────┬────────────────────────────┐
│ Тип │ Частоты входных сигналов, МГц │Систематическая погрешность │
│прибора│ │ измерения относительного │
│ │ │отклонения частоты, не более│
├───────┼─────────────────────────────────┼────────────────────────────┤
│ │ │ -13 │
│Ч7-45 │1; 5; 10 с внутренним гетеродином│1 х 10 │
│ │1 - 100 с внешним гетеродином │- │
│ │ │ -13 │
│Ч7-39 │1; 5; 10 с внутренним гетеродином│7 х 10 за 1 с │
│ │ │ -14 │
│ │1 - 50 с внешним гетеродином │5 х 10 за 10 с │
└───────┴─────────────────────────────────┴────────────────────────────┘
Таблица А.4
ГЕНЕРАТОРЫ СИГНАЛОВ
┌────────┬─────────────────┬────────────────────────┬─────────────┬────────────┐
│ Тип │ Диапазон частот │ Дискретность установки │ Погрешность │Стабильность│
│прибора │ │ в полосе, Гц, кГц, МГц │установленной│ │
│ │ │ │ частоты │ │
├────────┼─────────────────┼────────────────────────┼─────────────┼────────────┤
│ │ │ │ -5 │ -6 │
│Г3-27 │10 Гц - 10 МГц │10 Гц - 100 кГц 0,001 Гц│+/- 10 f │+/- 10 │
│ │ │100 кГц - 1 МГц 0,01 Гц│ п │за 15 мин. │
│ │ │1 - 10 МГц 0,1 Гц│ │ │
│ │ │ │ -7 │ -8 │
│Г3-119 │20 Гц - 20 МГц │ 0,001 - 0,01 Гц│+/- 5 х 10 │10 │
│ │ │ │ -4 │ -6 │
│Г4-174 │17,44 - 25,95 ГГц│ 1 МГц│+/- 10 │5 х 10 │
│ │ │ │ -4 │ -6 │
│Г4-175 │25,95 - 37,5 ГГц │ 1 МГц│+/- 10 │5 х 10 │
│ │ │ │ -7 │ -7 │
│Г4-187 │1,07 - 17,85 ГГц │ │5 х 10 │1 х 10 │
│ }│ │ │ │ │
│Г4-190 │ │ │ │ │
│ │ │ │ -5 │ -6 │
│Г4-158А │0,1 - 130 МГц │10 - 100 МГц 0,001 кГц│10 │5 х 10 │
│ │ │100 - 1000 кГц 0,01 кГц│ │ │
│ │ │1 - 16 МГц 0,1 кГц│ │ │
│ │ │16 - 130 МГц 1 кГц│ │ │
│ │ │ │ -7 │ │
│Г4-191 │0,1 - 70 МГц │ 10 кГц│10 │- │
│ │ │ │ -7 │ │
│Г4-192 │0,01 - 130 МГц │ 0,1 Гц│1,5 х 10 f │- │
│ │ │ │ п│ │
│ │ │ │ -7 │ -8 │
│Г7-2 │200 Гц - 81 МГц │ 0,001 Гц│+/- 10 │10 │
│ │ │ │ │за 24 ч │
└────────┴─────────────────┴────────────────────────┴─────────────┴────────────┘
Таблица А.5
АТТЕНЮАТОРЫ
┌──────────────┬───────────────────────┬─────────────────┬────────────────────┐
│ Тип прибора │ Диапазон частот, ГГц │ Ослабление, дБ │ Погрешность, дБ │
├──────────────┼───────────────────────┼─────────────────┼────────────────────┤
│Д2-13 │ 0,5 - 3,0 │ 9 - 40 │ +/- 0,5 │
│Д2-19 │ 0 - 3,0 │ 10 - 70 │ 0,8 - 0,01А │
│Д2-20 │ 0 - 3,0 │ 15 - 115 │ 0,8 - 0,001А │
│Д2-22 │ 0 - 1,5 │ 1 - 109 │ 1,0 │
│Д3-27 │ 5,65 - 8,25 │ - │ - │
│Д3-28А │ 3,93 - 5,65 │ 0 - 60 │ +/- 0,3 │
│Д3-29Б │ 2,58 - 3,93 │ - │ - │
│Д3-33А │ 8,24 - 12,05 │ - │ - │
│Д3-34А │ 12,05 - 17,44 │ - │ - │
│Д5-35А │ 17,44 - 25,86 │ - │ - │
│Д5-36А │ 25,86 - 37,5 │ - │ - │
└──────────────┴───────────────────────┴─────────────────┴────────────────────┘
Таблица А.6
НАГРУЗКИ СОГЛАСОВАННЫЕ ИЗМЕРИТЕЛЬНЫЕ
┌───────────────┬────────────────────┬───────────────────┬────────────────────┐
│ Тип прибора │Диапазон частот, ГГц│ КСВН │ Размеры, мм │
├───────────────┴────────────────────┴───────────────────┴────────────────────┤
│ Коаксиальные │
│2.260.145 │ 0 - 18 │ 1,2 │Тракт 3,5/1,52 │
│2.243.148 │ 0 - 18 │ 1,15 │ 7/3,04 │
│2.240.057-04 │ 0 - 2,14 │ 1,05 │ 16/6,95 │
│2.240.057 │ 0 - 2,14 │ 1,05 │ 16/4,6 │
│ Волноводные │
│2.243.040-5 │ 2,59 - 3,94 │ 1,05 │Волновод 72 х 34 │
│2.243.040-4 │ 3,20 - 4,80 │ 1,05 │ 58 х 25 │
│2.243.040-3 │ 3,94 - 5,64 │ 1,05 │ 48 х 24 │
│2.243.040-1 │ 5,64 - 8,24 │ 1,05 │ 35 х 15 │
│2.243.039-4 │ 6,85 - 9,93 │ 1,05 │ 28,5 х 12,6 │
│2.243.039-3 │ 8,24 - 12,05 │ 1,05 │ 23 х 10 │
│2.243.173 │ 12,05 - 17,44 │ 1,05 │ 16 х 8 │
└───────────────┴────────────────────┴───────────────────┴────────────────────┘
Таблица А.7
НАПРАВЛЕННЫЕ ОТВЕТВИТЕЛИ
┌─────────────┬─────────────┬───────────────┬────┬────────────────┬───────────┐
│ Тип прибора │ Диапазон │Направленность,│КСВН│Среднее значение│Минимальная│
│ │ частот, ГГц │ дБ │ │ переходного │направлен- │
│ │ │ │ │ ослабления │ность, дБ │
├─────────────┴─────────────┴───────────────┴────┴────────────────┴───────────┤
│ Коаксиальные │
│2.243.154-09 │ 2 - 8,3 │ 32 │1,25│ │ │
│2.243.159-011│ 8,15 - 18 │ 30 │1,3 │ │ │
│2.243.159-06 │ 2 - 8,3 │ 34 │1,25│ │ │
│ Волноводно-коаксиальные │
│2.243.152-01 │ 2,53 - 3,94 │ 36 │ │ │ │
│2.243.152 │ 3,2 - 4,8 │ 36 │ │ │ │
│2.243.152-02 │ 3,94 - 5,64 │ 36 │ │ │ │
│ Волноводные │
│2.245.081-07 │ 5,64 - 8,24 │ 38 │ - │ - │ - │
│2.245.081-04 │ 6,85 - 9,93 │ 38 │ - │ - │ - │
│2.245.081-01 │ 8,24 - 12,05│ 38 │ - │ - │ - │
│2.245.201 │12,05 - 17,44│ 36 │ - │ - │ - │
│ Полосковые │
│2.261.074 │ 1 - 4 │ 20 +/- 1 │1,15│ - │ 37 │
│2.261.075 │ 4 - 12,4 │ 20 +/- 1 │1,25│ - │ 32 │
│2.261.077 │ 1 - 7 │ 20 +/- 1 │ - │ 1,25 │ 33 - 35 │
│2.261-078 │ 2 - 18 │ 13 +/- 1 │ - │ 1,35 │ 28 - 30 │
│2.261.076 │ 18 - 26 │ 2 +/- 1 │ - │ 1,4 │ 26 - 28 │
└─────────────┴─────────────┴───────────────┴────┴────────────────┴───────────┘
Таблица А.8
┌───────┬────────────┬──────────────────────┬────────────────────┬──────────────┐
│ Тип │ Полоса │ Диапазон измерения │ Погрешность │ Входное │
│прибора│пропускания,│ амплитуд │ измерения │сопротивление,│
│ │ МГц │ │ │ емкость │
├───────┼────────────┼──────────────────────┼────────────────────┼──────────────┤
│С1-85 │0 - 100 │0,01 - 99,9 В │Амплитуд +/- 2% │1 МОм, │
│ │ │ │Временных интервалов│20 пФ │
│ │ │ │+/- 1% │ │
│С1-91/4│0 - 18 ГГц │2 - 200 мВ/деление │Временных интервалов│ │
│ │ │ │ 4 │ │
│ │ │ │+/- (4 + -), │ │
│ │ │ │ m │ │
│ │ │ │где m - размеры │ │
│ │ │ │изображения │ │
│С1-94 │0 - 10 │10 мВ/дел. - 5 В/дел. │+/- 6% │1 МОм, 40 пФ │
│С1-97 │0 - 350 │5 мВ/дел. - 0,5 В/дел.│+/- 3% │50 Ом, │
│ │ │ │ │100 кОм, │
│ │ │ │ │4 пФ │
└───────┴────────────┴──────────────────────┴────────────────────┴──────────────┘