Главная // Актуальные документы // ГОСТ (Государственный стандарт)СПРАВКА
Источник публикации
М.: Стандартинформ, 2008
Примечание к документу
Документ
введен в действие с 01.01.1993.
Название документа
"ГОСТ 29234.3-91. Межгосударственный стандарт. Пески формовочные. Метод определения среднего размера зерна и коэффициента однородности"
(утв. и введен в действие Постановлением Госстандарта СССР от 28.12.1991 N 2262)
"ГОСТ 29234.3-91. Межгосударственный стандарт. Пески формовочные. Метод определения среднего размера зерна и коэффициента однородности"
(утв. и введен в действие Постановлением Госстандарта СССР от 28.12.1991 N 2262)
Утвержден и введен в действие
Постановлением Комитета
стандартизации и метрологии СССР
от 28 декабря 1991 г. N 2262
МЕЖГОСУДАРСТВЕННЫЙ СТАНДАРТ
ПЕСКИ ФОРМОВОЧНЫЕ
МЕТОД ОПРЕДЕЛЕНИЯ СРЕДНЕГО РАЗМЕРА ЗЕРНА
И КОЭФФИЦИЕНТА ОДНОРОДНОСТИ
Moulding sands. Method for determination of medium
size of seed and coefficient of homogeneity
ГОСТ 29234.3-91
Дата введения
1 января 1993 года
--------------------------------
ИНФОРМАЦИОННЫЕ ДАННЫЕ <*>
--------------------------------
1. РАЗРАБОТАН И ВНЕСЕН ТК 252 "Литейное производство"
РАЗРАБОТЧИКИ
Н.Н. Кузьмин, И.А. Титова, Э.Л. Отрошенко (руководитель темы), Т.М. Мореева, Н.А. Рыкова
2. УТВЕРЖДЕН И ВВЕДЕН В ДЕЙСТВИЕ Постановлением Комитета стандартизации и метрологии СССР от 28.12.91 N 2262
3. Срок первой проверки - 1998 г.
Периодичность проверки - 5 лет
4. ВВЕДЕН ВЗАМЕН 23409.24-78 в части формовочных песков
5. ССЫЛОЧНЫЕ НОРМАТИВНО-ТЕХНИЧЕСКИЕ ДОКУМЕНТЫ
Обозначение НТД, на который дана ссылка | Номер раздела, пункта |
| |
| |
ГОСТ 24104-88 | |
| |
| |
Переиздание (по состоянию на апрель 2008 г.)
Настоящий стандарт распространяется на формовочные пески на основе кварцевого, применяемые в литейном производстве в качестве формовочного материала при изготовлении литейных форм и стержней и устанавливает метод определения среднего размера зерна и коэффициента однородности.
Средний размер зерна и коэффициент однородности рассчитывают по данным гранулометрического состава. Метод определения гранулометрического состава основан на определении количественного распределения частиц по крупности рассевом на ситах.
2. АППАРАТУРА И МАТЕРИАЛЫ
Прибор для определения гранулометрического состава, обеспечивающий частоту вращения эксцентрика (300 + 15) мин-1 и 180 ударов рычага в минуту или амплитуду колебаний полного набора сит с частотой 50 Гц.
Весы лабораторные 4-го класса с наибольшим пределом взвешивания 160 г погрешностью +/- 5 мг по ГОСТ 24104.
Навеску песка после определения в ней массовой доли глинистых частиц по
ГОСТ 29234.1 помещают на верхнее сито комплекта, в котором сита расположены в нисходящем порядке.
Рассев ведут в течение 15 мин, после чего прибор выключают, снимают сита, остатки песка раздельно с каждого сита количественно переносят на глянцевую бумагу (при этом сито тщательно очищают мягкой кистью) и взвешивают.
Испытание проводят на двух навесках.
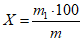
4.1. Массовую долю остатка песка на сите (X) в процентах вычисляют по формуле

,
где m1 - масса остатка на сите, г,
m - масса исходной навески, г.
4.2. Допускаемое расхождение между результатами двух параллельных определений не должно превышать 10%. Если результаты испытания отличаются от среднего арифметического более, чем на 10%, то определение повторяют один раз.
За результат испытания принимают среднее арифметическое результатов трех определений.
4.3. Для определения среднего размера зерна и коэффициента однородности строят интегральную кривую распределения частиц по размерам, для чего по оси абсцисс откладывают в логарифмическом масштабе размер сторон ячеек сетки в свету, а по оси ординат в линейном масштабе количество частиц меньше данного размера в процентах
(чертеж).
Средний размер зерна (Дср) соответствует размеру сторон ячеек сетки, через который проходит 50% песчаной основы.
Для определения коэффициента однородности (
О) по интегральной кривой находят процентное содержание частиц размером меньше 4/3
Дср и 2/3
Дср. Коэффициент однородности равен разности этих значений
(чертеж).
4.4. Пример заполнения таблицы с результатами для определения среднего размера зерна и коэффициента однородности приведен в
приложении.
ТАБЛИЦА ДЛЯ ОПРЕДЕЛЕНИЯ СРЕДНЕГО РАЗМЕРА ЗЕРНА
И КОЭФФИЦИЕНТА ОДНОРОДНОСТИ
Размер сторон ячейки сита в свету, мм | Остаток на сите, г | Остаток на сите, % | Частиц размером меньше сторон ячейки сита, % |
2,50 | 0 | 0 | 100 |
1,60 | 0 | 0 | 100 |
1,00 | 0,1 | 0,2 | 99,8 |
0,63 | 0,4 | 0,8 | 99,0 |
0,40 | 1,8 | 3,7 | 95,3 |
0,315 | 4,6 | 9,5 | 85,8 |
0,20 | 18,75 | 38,5 | 47,3 |
0,16 | 8,9 | 18,3 | 29,0 |
0,10 | 11,6 | 23,8 | 5,2 |
0,063 | 2,35 | 4,8 | 0,4 |
0,05 | 0,15 | 0,3 | 0,1 |
Тазик | 0,05 | 0,1 | 0 |
Всего | 50,00 | 100 | |
Дср = 0,206 | 4/3 Дср = 0,275 | 2/3 Дср = 0,137 | О = 56 |
ПРИМЕЧАНИЯ ФГУП "СТАНДАРТИНФОРМ"
1 На первой странице дополнить кодом: МКС
25.120.30 (указатель стандартов "Национальные стандарты", 2008).
2 Указанный в
разделе "Информационные данные" к ГОСТ 29234.3-91:
УДК 621.742.4:543.06:006.354 | |