Главная // Актуальные документы // ГОСТ (Государственный стандарт)СПРАВКА
Источник публикации
М.: ИПК Издательство стандартов, 2004
Примечание к документу
Документ был включен в
Перечень документов в области стандартизации, содержащих правила и методы исследований (испытаний) и измерений, в том числе правила отбора образцов, необходимые для применения и исполнения требований технического
регламента Таможенного союза "О безопасности средств индивидуальной защиты" (ТР ТС 019/2011) и осуществления оценки (подтверждения) соответствия продукции (
Решение Комиссии Таможенного союза от 09.12.2011 N 878).
Документ включен в
Перечень национальных стандартов, содержащих правила и методы исследований (испытаний) и измерений, в том числе правила отбора образцов, необходимые для применения и исполнения технического регламента о безопасности средств индивидуальной защиты и осуществления оценки соответствия (
Распоряжение Правительства РФ от 15.02.2011 N 222-р).
С 1 июля 2003 года до вступления в силу технических регламентов акты федеральных органов исполнительной власти в сфере технического регулирования носят рекомендательный характер и подлежат обязательному исполнению только в части, соответствующей целям, указанным в
пункте 1 статьи 46 Федерального закона от 27.12.2002 N 184-ФЗ.
Документ
введен в действие с 1 января 1993 года.
Название документа
"ГОСТ 29104.15-91. Межгосударственный стандарт. Ткани технические. Метод определения массовой доли компонентов нитей в тканях"
(утв. и введен в действие Постановлением Госстандарта СССР от 27.09.1991 N 1550)
"ГОСТ 29104.15-91. Межгосударственный стандарт. Ткани технические. Метод определения массовой доли компонентов нитей в тканях"
(утв. и введен в действие Постановлением Госстандарта СССР от 27.09.1991 N 1550)
Утвержден и введен в действие
Постановлением Комитета
стандартизации и метрологии СССР
от 27 сентября 1991 г. N 1550
МЕЖГОСУДАРСТВЕННЫЙ СТАНДАРТ
ТКАНИ ТЕХНИЧЕСКИЕ
МЕТОД ОПРЕДЕЛЕНИЯ МАССОВОЙ ДОЛИ КОМПОНЕНТОВ НИТЕЙ В ТКАНЯХ
Industrial fabrics.
Method for determination of yarn components percentage
in woven cloths
ГОСТ 29104.15-91
Дата введения
1 января 1993 года
1. Разработан и внесен Государственным комитетом легкой промышленности СССР.
Разработчики:
В.В. Стулов, канд. техн. наук; И.С. Давыдова, канд. техн. наук; Н.В. Павлова, канд. техн. наук.
2. Утвержден и введен в действие Постановлением Комитета стандартизации и метрологии СССР от 27.09.91 N 1550.
3. Введен впервые.
4. Ссылочные нормативно-технические документы
Обозначение НТД, на который дана ссылка | Номер раздела, пункта |
| |
| |
| |
|
|
ГОСТ 24104-88 | |
| |
5. Переиздание. Сентябрь 2004 г.
Настоящий стандарт распространяется на технические ткани из пряжи всех видов волокон, химических нитей и смешанные, вырабатываемые из крученых комплексных и крученых комбинированных нитей.
Стандарт не распространяется на ткани, вырабатываемые из смешанной пряжи.
1.2. Из каждой точечной пробы на расстоянии не менее 50 мм от кромки вырезают по диагонали три элементарные пробы в виде квадратов размером 100 x 100 мм. Допускаемое отклонение по длине и ширине элементарной пробы не должно быть более 1 мм.
2. АППАРАТУРА И МАТЕРИАЛЫ
Для проведения испытаний применяют:
весы лабораторные общего назначения 2-го или 3-го класса точности с наибольшим пределом взвешивания 200 г по ГОСТ 24104 <*>;
--------------------------------
линейку измерительную металлическую по
ГОСТ 427;
ножницы;
3. ПОДГОТОВКА К ИСПЫТАНИЯМ
Перед испытанием точечные пробы выдерживают в климатических условиях по
ГОСТ 10681 не менее 24 ч. В этих же условиях проводят испытания.
4.1. Все элементарные пробы взвешивают одновременно с точностью до первого десятичного знака.
4.2. Для определения массовой доли компонентов нитей в тканях из крученых комплексных нитей каждую элементарную пробу вручную разбирают по системам нитей (основа и уток).
4.3. Каждую систему нитей из всех элементарных проб одновременно взвешивают с точностью до первого десятичного знака.
4.4. Для определения массовой доли компонентов нитей в тканях из крученых комбинированных нитей каждую элементарную пробу вручную разбирают по системам нитей.
Систему, состоящую из крученых комбинированных нитей, слегка раскручивают вручную и разделяют на составляющие компоненты.
4.5. Каждый компонент нитей из всех элементарных проб одновременно взвешивают с точностью до первого десятичного знака.
4.6. Результаты испытаний записывают в протокол в соответствии с
Приложением.
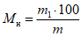
Массовую долю каждого компонента нитей (Mн) в ткани вычисляют по формуле

,
где m1 - масса каждого компонента (системы) нитей из всех элементарных проб, г;
m - масса всех элементарных проб, г.
Вычисление проводят с точностью до второго десятичного знака и округляют до первого десятичного знака.
Обязательное
Наименование ткани
Структура нитей:
основы
утка
Количество испытанных элементарных проб
Масса всех элементарных проб, г
Масса каждого компонента нитей, г
Массовая доля каждого компонента нитей в ткани (с указанием вида
волокна), %
Дата
Подпись проводившего испытания