Главная // Актуальные документы // ГОСТ (Государственный стандарт)
СПРАВКА
Источник публикации
М.: ИПК Издательство стандартов, 1995
Примечание к документу
С 01.07.2003 до вступления в силу технических регламентов акты федеральных органов исполнительной власти в сфере технического регулирования носят рекомендательный характер и подлежат обязательному исполнению только в части, соответствующей целям, указанным в п. 1 ст. 46 Федерального закона от 27.12.2002 N 184-ФЗ.

Документ введен в действие с 01.01.1995.

Взамен ГОСТ 16218.4-82.
Название документа
"ГОСТ 16218.4-93. Межгосударственный стандарт. Изделия текстильно-галантерейные. Метод определения плотности"
(введен в действие Постановлением Госстандарта России от 02.06.1994 N 160)

"ГОСТ 16218.4-93. Межгосударственный стандарт. Изделия текстильно-галантерейные. Метод определения плотности"
(введен в действие Постановлением Госстандарта России от 02.06.1994 N 160)


Содержание


Введен в действие
Постановлением Комитета
Российской Федерации
по стандартизации,
метрологии и сертификации
от 2 июня 1994 г. N 160
МЕЖГОСУДАРСТВЕННЫЙ СТАНДАРТ
ИЗДЕЛИЯ ТЕКСТИЛЬНО-ГАЛАНТЕРЕЙНЫЕ
МЕТОД ОПРЕДЕЛЕНИЯ ПЛОТНОСТИ
Smallwares. Method for determination of density
ГОСТ 16218.4-93
Группа М59
ОКСТУ 8150
Дата введения
1 января 1995 года
Предисловие
1. РАЗРАБОТАН Госстандартом России
ВНЕСЕН Техническим секретариатом Межгосударственного Совета по стандартизации, метрологии и сертификации
2 ПРИНЯТ Межгосударственным Советом по стандартизации, метрологии и сертификации 21 октября 1993 г.
За принятие проголосовали:
Наименование государства
Наименование национального органа стандартизации
Республика Кыргызстан
Кыргызстандарт
Республика Молдова
Молдовастандарт
Российская Федерация
Госстандарт России
Республика Таджикистан
Таджикстандарт
Туркменистан
Туркменглавгосинспекция
3 Постановлением Комитета Российской Федерации по стандартизации, метрологии и сертификации от 02.06.94 N 160 межгосударственный стандарт ГОСТ 16218.4-93 введен в действие непосредственно в качестве государственного стандарта Российской Федерации с 01.01.95
4 ВЗАМЕН ГОСТ 16218.4-82
ИНФОРМАЦИОННЫЕ ДАННЫЕ
ССЫЛОЧНЫЕ НОРМАТИВНО-ТЕХНИЧЕСКИЕ ДОКУМЕНТЫ
Обозначение НТД, на который дана ссылка
Номер пункта, раздела
ГОСТ 7502-89
ГОСТ 16218.1-93
ОСТ 2-Д68-1-84
Настоящий стандарт распространяется на все виды тканых, плетеных, витых и вязаных текстильно-галантерейных изделий (ленты, тесьму, шнуры, бахрому, кружева) и устанавливает метод определения плотности.
Термины, применяемые в настоящем стандарте, и их пояснения указаны в приложении 1.
1. МЕТОД ОТБОРА ПРОБ
Отбор проб - по ГОСТ 16218.0 со следующим дополнением:
для определения плотности текстильно-галантерейных изделий используют точечные пробы длиной не менее 350 мм.
Допускается проводить измерение плотности не отрезая пробы, а только отмечая ее длину на единице продукции.
2. АППАРАТУРА
Для проведения испытания применяют:
средства оптические увеличительные (текстильную лупу и т.п.);
линейку измерительную по ГОСТ 427 или ОСТ 2-Д68-1 с ценой деления 1 мм;
рулетку по ГОСТ 7502 с ценой деления 1 мм;
иглу препаровальную;
пинцет;
ножницы.
3. ПОДГОТОВКА К ИСПЫТАНИЮ
3.1. Пробы перед испытанием должны быть выдержаны в свободном состоянии в климатических условиях по ГОСТ 10681 не менее 24 ч.
В этих же условиях проводят испытание.
3.2. Изделия из синтетического сырья допускается испытывать в комнатных условиях непосредственно после выдерживания в условиях по ГОСТ 10681.
При возникновении разногласий повторные испытания проводят в климатических условиях по ГОСТ 10681.
4. ПРОВЕДЕНИЕ ИСПЫТАНИЯ
4.1. Плотность текстильно-галантерейных изделий определяют на гладко разложенной пробе визуально с помощью оптических увеличительных средств или без них.
4.2. Измерение плотности изделий (кроме количества нитей основы и оплетки) проводят на расстоянии не менее 50 мм от конца пробы так, чтобы каждое последующее измерение не включало одни и те же нити.
4.3. Количество нитей основы тканых изделий и количество нитей оплетки плетеных изделий определяют непосредственным подсчетом основных или оплеточных нитей по всей ширине изделия или методом роспуска изделия.
В последнем случае подсчет ведут по образовавшейся от роспуска бахроме на конце изделия или по количеству нитей, извлеченных из полоски длиной не менее 20 мм.
4.4. Плотность по утку тканых изделий и плотность плетеных изделий определяют непосредственным подсчетом количества уточных нитей или количества плетений (прядей), приходящихся на 10 мм длины пробы.
У тканых лент высокой плотности и двойных лент подрезают пробу вдоль ленты по кромке, удаляют часть основных нитей и по образовавшейся бахроме подсчитывают количество уточных нитей на 10 мм длины вдоль основы.
Допускается определять плотность по утку (Пу) многослойных изделий подсчетом числа нитей на 10 мм (н/10 мм) в одном слое с последующим вычислением по формуле
Пу = c x n,
где c - количество нитей на 10 мм в одном слое;
n - количество слоев.
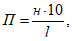
4.5. Для изделий плотностью менее 10 нитей, петель или плетений на 10 мм, а также для изделий рисунчатого переплетения с большим раппортом подсчет плотности проводят на участке 100 мм.
Для изделий рисунчатого переплетения с большим раппортом определяют число прядей или пучков нитей, составляющих раппорт или рисунок, а затем подсчитывают число нитей в пряди или пучке. Полученные результаты перемножают.
Окончательный результат пересчитывают на длину 10 мм (н/10 мм) по формуле
где н - количество нитей, петель или плетений (прядей) на измеряемом участке;
l - длина измеряемого участка, мм.
4.6. Плотность витых изделий определяют непосредственным подсчетом количества витков, приходящихся на 1 м изделия.
Допускается определять плотность витых изделий подсчетом количества витков на 0,1 м с дальнейшим пересчетом на 1 м.
4.7. Плотность вязаных изделий по вертикали или по горизонтали определяют подсчетом количества петельных рядов или петельных столбиков, приходящихся на 10 мм (для изделий шириной до 50 мм).
Для изделий шириной более 50 мм плотность определяют путем подсчета количества петельных рядов или петельных столбиков на 50 мм. Допускается определять плотность вязания подсчетом количества петельных рядов или петельных столбиков на 100 мм.
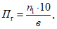
4.8. Плотность по горизонтали (Пг) вязаных изделий шириной менее 10 мм определяют подсчетом количества петельных столбиков (ст/10 см) по всей ширине изделия и вычисляют по формуле
где n1 - количество петельных столбиков в изделии;
в - ширина изделия, определенная по ГОСТ 16218.1, мм.
5. ОБРАБОТКА РЕЗУЛЬТАТОВ
5.1. За показатель плотности текстильно-галантерейного изделия принимают среднее арифметическое результатов всех измерений.
Вычисления производят с точностью до первого десятичного знака и округляют до целых единиц.
5.2. Протокол (свидетельство) испытания должен содержать данные, указанные в приложении 2.
Приложение 1
Справочное
ТЕРМИНЫ, ПРИМЕНЯЕМЫЕ В НАСТОЯЩЕМ СТАНДАРТЕ, И ИХ ПОЯСНЕНИЯ
Термин
Пояснение
1. Плотность по основе тканых лент
Количество основных нитей, приходящихся на ширину ленты
2. Плотность по утку тканых лент
Количество уточных нитей, приходящихся на 10 мм длины ленты
3. Количество нитей оплетки плетеных изделий
Общее количество нитей, из которых состоит основной или внешний слой плетеного изделия
4. Плотность плетения
Количество плетений (прядей), приходящихся на 10 мм по длине плетеного изделия
5. Плотность витого изделия
Количество витков или кручений на 1 м витого изделия
6. Плотность по вертикали вязаного изделия
Количество петельных рядов на 10, 50 или 100 мм по длине изделия
7. Плотность по горизонтали вязаного изделия
Количество петельных столбиков на 10, 50 или 100 мм по ширине изделия
Приложение 2
Обязательное
ПРОТОКОЛ (СВИДЕТЕЛЬСТВО) ИСПЫТАНИЯ
Протокол испытания должен содержать следующие данные:
место проведения испытания;
климатические условия, в которых проведены испытания;
данные для идентификации изделия (номер партии, наименование, сорт, номер артикула и т.п.);
средние показатели плотности изделия;
обозначение настоящего стандарта;
дату проведения испытания;
фамилию и подпись лица, проводившего испытание, заверенные печатью или штампом предприятия.
Допускается составлять общий протокол испытаний по всем физико-механическим показателям для каждой проверяемой партии изделий.