Наименование государства | Наименование национального органа по стандартизации |
Азербайджанская Республика | Азгосстандарт |
Республика Белоруссия | Белстандарт |
Республика Казахстан | Госстандарт Республики Казахстан |
Киргизская Республика | Киргизстандарт |
Республика Молдова | Молдовастандарт |
Российская Федерация | Госстандарт России |
Республика Таджикистан | Таджикский государственный центр по стандартизации, метрологии и сертификации |
Туркменистан | Туркменглавгосинспекция |
Украина | Госстандарт Украины |

Режим работы | Тип машины | Характер нагрузки | Cр при числе смен работы ремней | ||||||||
1 | 2 | 3 | 1 | 2 | 3 | 1 | 2 | 3 | |||
Электродвигатель переменного тока общепромышленного применения, электродвигатель постоянного тока шунтовой, турбины | Электродвигатель постоянного тока компаундный, двигатель внутреннего сгорания с частотой вращения свыше 600 мин-1 | Электродвигатель переменного тока с повышенным пусковым моментом; электродвигатель постоянного тока сериесный; двигатель внутреннего сгорания с частотой вращения ниже 600 мин-1 | |||||||||
Легкий | Станки с непрерывным процессом резания: токарные, сверлильные, шлифовальные, легкие вентиляторы, насосы и компрессоры центробежные и ротационные, ленточные конвейеры, веялки, сепараторы, легкие грохоты, машины для очистки и погрузки зерна и др. | Спокойная. Максимальная кратковременная нагрузка до 120% от номинальной | 1,0 | 1,1 | 1,4 | 1,1 | 1,2 | 1,5 | 1,2 | 1,4 | 1,6 |
Средний | Станки фрезерные, зубофрезерные и револьверные, полиграфические машины, электрические генераторы; поршневые насосы и компрессоры с тремя и более цилиндрами, вентиляторы и воздуходувки, цепные транспортеры, элеваторы, дисковые пилы для дерева, трансмиссии прядильные, бумажные, пищевые машины, тяжелые грохоты, вращающиеся печи, станки скоростного шлифования и др. | Умеренные колебания нагрузки. Максимальная кратковременная нагрузка до 150% от номинальной | 1,0 | 1,2 | 1,5 | 1,2 | 1,4 | 1,6 | 1,3 | 1,5 | 1,7 |
Тяжелый | Станки строгальные, долбежные, зубодолбежные и деревообрабатывающие, насосы и компрессоры поршневые с одним или двумя цилиндрами, вентиляторы и воздуходувки тяжелого типа, конвейеры винтовые, скребковые, дезинтеграторы, прессы винтовые с относительно тяжелым маховиком, ткацкие машины, хлопкоочистительные машины, машины для прессования и брикетирования кормов и др. | Значительное колебание нагрузки. Максимальная кратковременная нагрузка до 200% от номинальной | 1,2 | 1,3 | 1,6 | 1,3 | 1,5 | 1,7 | 1,4 | 1,6 | 1,9 |
Очень тяжелый | Подъемники, экскаваторы, драги, прессы винтовые и эксцентриковые с относительно легким маховиком, ножницы, молоты, бегуны, глиномялки, мельницы шаровые, жерновые, вальцовые, дробилки, лесопильные рамы и др. | Ударная и резконеравномерная нагрузка. Максимальная кратковременная нагрузка до 300% от номинальной | 1,3 | 1,5 | 1,7 | 1,4 | 1,6 | 1,8 | 1,5 | 1,7 | 2,0 |
Режим работы | Тип машины и агрегата сельхозмашин | Характер нагрузки | Cр при числе смен работы ремней | |||||
1 | 2 | 3 | 1 | 2 | 3 | |||
Электродвигатель переменного и постоянного тока | Двигатель внутреннего сгорания | |||||||
Легкий | Равномерно вращающиеся роторы, ленточные и цепочнопланчатые элеваторы, клавишные соломотрясы, шнековые питатели, подборщики стеблей, вентиляторы очистки, гидронасосы, погрузчики тюков, плющилки травы, стеклоподъемники | Спокойная. Кратковременная перегрузка до 120% номинальной | 1,0 | 1,1 | 1,4 | 1,1 | 1,2 | 1,5 |
Средний | Мотовило, шнеки жаток, грохоты, гидростатическая передача, питающие транспортеры, легкие ротационные почвообрабатывающие органы; приводы ходовой части самоходных машин | Умеренная колебательная. Кратковременная перегрузка до 150% номинальной | 1,1 | 1,2 | 1,5 | 1,2 | 1,4 | 1,6 |
Тяжелый | Молотильные барабаны, режущие аппараты, измельчители стеблей, вентиляторы измельченной массы, прессы для соломы (сена), разбрасыватели удобрений, тяжелые грохоты и ротационные почвообрабатывающие органы | Значительные колебательные. Кратковременная перегрузка до 200% номинальной | 1,2 | 1,3 | 1,6 | 1,3 | 1,5 | 1,7 |
Примечание. При реверсировании, частом пуске и установке натяжного шкива на ведущей ветви коэффициент Cр увеличивается на 0,1. | ||||||||

, (2)
. (4)
, (5)
, (6)
; (8)
, (9)
, град.
, (10)
,
.
, (11)
, (12)Класс ремня (ГОСТ 1284.2) | S1 | S2 |
I, II | 0,025 | 0,009 |
III, IV | 0,020 | 0,009 |
Примечание. По согласованию потребителя с разработчиком ремней для движущихся сельхозмашин допускается изменять пределы регулирования межцентрового расстояния. | ||


Величина | Номер рисунка | Расчетная формула |
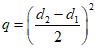
Межцентровое расстояние | a1 = x2; ; ![]() | |
a1 = x2; ; ![]() | ||
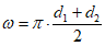
Углы наклона ветвей к линиям, соединяющим центры шкивов, рад | ; ; ![]() | |
; ; ![]() | ||
Углы наклона ветвей к оси x, рад | ; ![]() | |
; ![]() | ||
Углы обхвата шкивов, рад | ; ; ![]() | |
; ; ![]() | ||
Длина ремня | ![]() | |
![]() | ||
, (15)
и спокойном режиме работы (таблицы 5 - 17);d1, мм | i | P0, кВт, при частоте вращения меньшего шкива, мин-1 | ||||||||||||||||||
200 | 400 | 700 | 800 | 950 | 1200 | 1450 | 1600 | 2000 | 2400 | 2800 | 3200 | 3600 | 4000 | 4500 | 5000 | 5500 | 6000 | |||
63 | 1,00 | 0,09 | 0,17 | 0,27 | 0,30 | 0,34 | 0,41 | 0,48 | 0,51 | 0,61 | 0,70 | 0,78 | 0,85 | 0,91 | 0,97 | 1,03 | 1,07 | 1,10 | 1,11 | |
1,05 | 0,10 | 0,17 | 0,27 | 0,31 | 0,35 | 0,42 | 0,49 | 0,53 | 0,63 | 0,72 | 0,80 | 0,88 | 0,94 | 1,00 | 1,06 | 1,11 | 1,14 | 1,15 | ||
1,20 | 0,10 | 0,18 | 0,28 | 0,32 | 0,36 | 0,44 | 0,51 | 0,55 | 0,63 | 0,75 | 0,83 | 0,91 | 0,98 | 1,04 | 1,10 | 1,14 | 1,17 | 1,19 | ||
1,50 | 0,10 | 0,19 | 0,29 | 0,33 | 0,38 | 0,45 | 0,53 | 0,57 | 0,67 | 0,77 | 0,86 | 0,94 | 1,01 | 1,07 | 1,13 | 1,18 | 1,21 | 1,23 | ||
>= 3,00 | 0,11 | 0,19 | 0,30 | 0,34 | 0,39 | 0,47 | 0,54 | 0,59 | 0,69 | 0,79 | 0,88 | 0,97 | 1,04 | 1,10 | 1,17 | 1,22 | 1,25 | 1,26 | ||
71 | 1,00 | 0,11 | 0,20 | 0,33 | 0,37 | 0,42 | 0,51 | 0,59 | 0,64 | 0,76 | 0,88 | 0,98 | 1,07 | 1,15 | 1,22 | 1,29 | 1,35 | 1,38 | 1,39 | |
1,05 | 0,12 | 0,21 | 0,34 | 0,38 | 0,44 | 0,53 | 0,61 | 0,66 | 0,79 | 0,91 | 1,10 | 1,11 | 1,19 | 1,27 | 1,34 | 1,39 | 1,43 | 1,44 | ||
1,20 | 0,12 | 0,22 | 0,35 | 0,39 | 0,45 | 0,54 | 0,63 | 0,69 | 0,82 | 0,94 | 1,05 | 1,14 | 1,23 | 1,31 | 1,39 | 1,44 | 1,48 | 1,48 | ||
1,50 | 0,13 | 0,23 | 0,36 | 0,40 | 0,46 | 0,56 | 0,66 | 0,71 | 0,84 | 0,97 | 1,08 | 1,18 | 1,27 | 1,35 | 1,43 | 1,49 | 1,52 | 1,53 | ||
>= 3,00 | 0,13 | 0,23 | 0,37 | 0,42 | 0,48 | 0,58 | 0,68 | 0,73 | 0,87 | 1,00 | 1,11 | 1,22 | 1,31 | 1,39 | 1,48 | 1,54 | 1,57 | 1,58 | ||
80 | 1,00 | 0,14 | 0,25 | 0,40 | 0,44 | 0,51 | 0,62 | 0,72 | 0,78 | 0,93 | 1,07 | 1,20 | 1,31 | 1,41 | 1,49 | 1,57 | 1,60 | 1,65 | 1,65 | |
1,05 | 0,14 | 0,25 | 0,41 | 0,46 | 0,53 | 0,64 | 0,75 | 0,81 | 0,97 | 1,11 | 1,24 | 1,34 | 1,46 | 1,54 | 1,63 | 1,68 | 1,71 | 1,71 | ||
1,20 | 0,15 | 0,26 | 0,42 | 0,47 | 0,55 | 0,66 | 0,77 | 0,84 | 1,00 | 1,15 | 1,28 | 1,40 | 1,51 | 1,60 | 1,68 | 1,74 | 1,77 | 1,76 | ||
1,50 | 0,15 | 0,27 | 0,44 | 0,49 | 0,56 | 0,68 | 0,80 | 0,86 | 1,03 | 1,18 | 1,32 | 1,45 | 1,56 | 1,65 | 1,74 | 1,80 | 1,83 | 1,82 | ||
>= 3,00 | 0,15 | 0,28 | 0,45 | 0,50 | 0,58 | 0,71 | 0,82 | 0,89 | 1,06 | 1,22 | 1,36 | 1,49 | 1,60 | 1,70 | 1,79 | 1,86 | 1,88 | 1,88 | ||
90 | 1,00 | 0,16 | 0,29 | 0,47 | 0,53 | 0,61 | 0,74 | 0,86 | 0,94 | 1,12 | 1,28 | 1,43 | 1,56 | 1,67 | 1,77 | 1,85 | 1,90 | 1,90 | 1,86 | |
1,05 | 0,17 | 0,30 | 0,49 | 0,54 | 0,63 | 0,77 | 0,89 | 0,97 | 1,16 | 1,33 | 1,48 | 1,62 | 1,73 | 1,83 | 1,91 | 1,96 | 1,97 | 1,93 | ||
1,20 | 0,17 | 0,31 | 0,50 | 0,56 | 0,65 | 0,79 | 0,93 | 1,00 | 1,20 | 1,37 | 1,53 | 1,67 | 1,79 | 1,89 | 1,98 | 2,03 | 2,03 | 1,99 | ||
1,50 | 0,18 | 0,32 | 0,52 | 0,58 | 0,67 | 0,82 | 0,96 | 1,03 | 1,23 | 1,42 | 1,58 | 1,73 | 1,85 | 1,95 | 2,04 | 2,09 | 2,10 | 2,06 | ||
>= 3,00 | 0,18 | 0,33 | 0,54 | 0,60 | 0,69 | 0,84 | 0,99 | 1,07 | 1,27 | 1,46 | 1,63 | 1,78 | 1,91 | 2,01 | 2,11 | 2,16 | 2,17 | 2,12 | ||
v, м/с | 2 | 5 | 10 | 15 | 20 | 25 | 30 | |||||||||||||
d1, мм | i | P0, кВт, при частоте вращения меньшего шкива, мин-1 | |||||||||||||||||
200 | 400 | 700 | 800 | 950 | 1200 | 1450 | 1600 | 2000 | 2400 | 2800 | 3200 | 3600 | 4000 | 4500 | 5000 | 5500 | 6000 | ||
100 | 1,00 | 0,18 | 0,34 | 0,54 | 0,61 | 0,71 | 0,86 | 1,00 | 1,09 | 1,30 | 1,49 | 1,65 | 1,80 | 1,92 | 2,01 | 2,09 | 2,11 | 2,08 | 2,00 |
1,05 | 0,19 | 0,35 | 0,56 | 0,63 | 0,73 | 0,89 | 1,04 | 1,13 | 1,34 | 1,54 | 1,71 | 1,86 | 1,99 | 2,08 | 2,16 | 2,19 | 2,16 | 2,07 | |
1,20 | 0,20 | 0,36 | 0,58 | 0,65 | 0,75 | 0,92 | 1,07 | 1,16 | 1,39 | 1,59 | 1,77 | 1,93 | 2,05 | 2,15 | 2,23 | 2,26 | 2,23 | 2,14 | |
1,50 | 0,20 | 0,37 | 0,60 | 0,67 | 0,78 | 0,95 | 1,11 | 1,20 | 1,43 | 1,64 | 1,83 | 1,99 | 2,12 | 2,22 | 2,31 | 2,34 | 2,30 | 2,21 | |
>= 3,00 | 0,21 | 0,38 | 0,62 | 0,70 | 0,80 | 0,98 | 1,14 | 1,24 | 1,48 | 1,69 | 1,89 | 2,05 | 2,19 | 2,29 | 2,38 | 2,41 | 2,38 | 2,28 | |
112 и более | 1,00 | 0,21 | 0,39 | 0,63 | 0,71 | 0,82 | 1,00 | 1,17 | 1,26 | 1,51 | 1,72 | 1,91 | 2,06 | 2,19 | 2,27 | 2,32 | 2,30 | 2,21 | |
1,05 | 0,22 | 0,40 | 0,65 | 0,73 | 0,85 | 1,03 | 1,21 | 1,31 | 1,56 | 1,78 | 1,97 | 2,14 | 2,26 | 2,35 | 2,40 | 2,38 | 2,29 | ||
1,20 | 0,23 | 0,42 | 0,68 | 0,76 | 0,88 | 1,07 | 1,25 | 1,35 | 1,61 | 1,84 | 2,04 | 2,21 | 2,34 | 2,43 | 2,48 | 2,46 | 2,36 | ||
1,50 | 0,23 | 0,43 | 0,70 | 0,78 | 0,91 | 1,10 | 1,29 | 1,40 | 1,66 | 1,90 | 2,11 | 2,28 | 2,42 | 2,51 | 2,57 | 2,54 | 2,44 | ||
>= 3,00 | 0,24 | 0,44 | 0,72 | 0,81 | 0,94 | 1,14 | 1,33 | 1,44 | 1,72 | 1,96 | 2,17 | 2,35 | 2,49 | 2,59 | 2,65 | 2,63 | 2,52 | ||
v, м/с | 2 | 5 | 10 | 15 | 20 | 25 | 50 | ||||||||||||
d1, мм | i | P0, кВт, при частоте вращения меньшего шкива, мин-1 | ||||||||||||||||||||
200 | 400 | 700 | 800 | 950 | 1200 | 1450 | 1600 | 1800 | 2000 | 2200 | 2400 | 2600 | 2800 | 3200 | 3600 | 4000 | 4500 | |||||
90 | 1,00 | 0,22 | 0,39 | 0,61 | 0,68 | 0,77 | 0,93 | 1,07 | 1,15 | 1,24 | 1,34 | 1,42 | 1,50 | 1,58 | 1,64 | 1,75 | 1,83 | 1,87 | 1,88 | |||
1,05 | 0,23 | 0,40 | 0,63 | 0,70 | 0,80 | 0,96 | 1,10 | 1,19 | 1,29 | 1,38 | 1,47 | 1,56 | 1,63 | 1,70 | 1,81 | 1,89 | 1,94 | 1,94 | ||||
1,20 | 0,24 | 0,41 | 0,65 | 0,72 | 0,83 | 0,99 | 1,14 | 1,23 | 1,33 | 1,43 | 1,52 | 1,61 | 1,69 | 1,76 | 1,87 | 1,96 | 2,00 | 2,01 | ||||
1,50 | 0,24 | 0,43 | 0,67 | 0,75 | 0,85 | 1,02 | 1,18 | 1,27 | 1,38 | 1,48 | 1,57 | 1,66 | 1,74 | 1,82 | 1,94 | 2,02 | 2,07 | 2,07 | ||||
>= 3,00 | 0,25 | 0,44 | 0,69 | 0,77 | 0,88 | 1,05 | 1,21 | 1,31 | 1,42 | 1,53 | 1,62 | 1,71 | 1,80 | 1,87 | 2,00 | 2,09 | 2,14 | 2,14 | ||||
100 | 1,00 | 0,26 | 0,47 | 0,74 | 0,83 | 0,95 | 1,14 | 1,32 | 1,42 | 1,54 | 1,66 | 1,77 | 1,87 | 1,97 | 2,05 | 2,19 | 2,28 | 2,34 | 2,33 | |||
1,05 | 0,27 | 0,48 | 0,77 | 0,85 | 0,98 | 1,18 | 1,36 | 1,47 | 1,60 | 1,72 | 1,83 | 1,94 | 2,04 | 2,12 | 2,26 | 2,36 | 2,42 | 2,42 | ||||
1,20 | 0,28 | 0,50 | 0,79 | 0,88 | 1,01 | 1,22 | 1,41 | 1,52 | 1,65 | 1,78 | 1,90 | 2,01 | 2,10 | 2,19 | 2,34 | 2,44 | 2,50 | 2,50 | ||||
1,50 | 0,29 | 0,52 | 0,82 | 0,91 | 1,05 | 1,25 | 1,45 | 1,57 | 1,71 | 1,84 | 1,96 | 2,07 | 2,17 | 2,27 | 2,42 | 2,52 | 2,58 | 2,58 | ||||
>= 3,00 | 0,30 | 0,53 | 0,84 | 0,94 | 1,08 | 1,30 | 1,50 | 1,62 | 1,76 | 1,89 | 2,02 | 2,14 | 2,24 | 2,34 | 2,49 | 2,60 | 2,66 | 2,66 | ||||
112 | 1,00 | 0,31 | 0,56 | 0,90 | 1,00 | 1,15 | 1,39 | 1,61 | 1,74 | 1,89 | 2,04 | 2,18 | 2,30 | 2,41 | 2,51 | 2,68 | 2,78 | 2,83 | 2,79 | |||
1,05 | 0,32 | 0,58 | 0,93 | 1,04 | 1,19 | 1,44 | 1,67 | 1,80 | 1,96 | 2,11 | 2,25 | 2,38 | 2,50 | 2,60 | 2,77 | 2,88 | 2,93 | 2,89 | ||||
1,20 | 0,34 | 0,60 | 0,96 | 1,07 | 1,23 | 1,49 | 1,72 | 1,86 | 2,03 | 2,18 | 2,33 | 2,46 | 2,58 | 2,69 | 2,86 | 2,98 | 3,03 | 2,99 | ||||
1,50 | 0,35 | 0,62 | 0,99 | 1,11 | 1,27 | 1,54 | 1,78 | 1,92 | 2,09 | 2,25 | 2,40 | 2,54 | 2,67 | 2,78 | 2,96 | 3,08 | 3,13 | 3,09 | ||||
>= 3,00 | 0,36 | 0,64 | 1,02 | 1,14 | 1,31 | 1,59 | 1,84 | 1,98 | 2,16 | 2,33 | 2,48 | 2,62 | 2,75 | 2,87 | 3,05 | 3,17 | 3,22 | 3,18 | ||||
125 | 1,00 | 0,37 | 0,67 | 1,07 | 1,19 | 1,37 | 1,66 | 1,92 | 2,07 | 2,26 | 2,44 | 2,60 | 2,74 | 2,87 | 2,98 | 3,16 | 3,26 | 3,28 | 3,17 | |||
1,05 | 0,38 | 0,69 | 1,10 | 1,23 | 1,42 | 1,72 | 1,99 | 2,15 | 2,34 | 2,52 | 2,69 | 2,84 | 2,97 | 3,09 | 3,27 | 3,37 | 3,39 | 3,28 | ||||
1,20 | 0,39 | 0,71 | 1,14 | 1,28 | 1,47 | 1,77 | 2,06 | 2,22 | 2,42 | 2,61 | 2,78 | 2,93 | 3,07 | 3,19 | 3,38 | 3,49 | 3,51 | 3,39 | ||||
1,50 | 0,41 | 0,74 | 1,18 | 1,32 | 1,52 | 1,83 | 2,13 | 2,29 | 2,50 | 2,69 | 2,87 | 3,03 | 3,17 | 3,30 | 3,49 | 3,60 | 3,62 | 3,50 | ||||
>= 3,00 | 0,42 | 0,76 | 1,22 | 1,36 | 1,57 | 1,89 | 2,19 | 2,36 | 2,58 | 2,78 | 2,96 | 3,12 | 3,27 | 3,40 | 3,60 | 3,72 | 3,74 | 3,62 | ||||
v, м/с | 2 | 5 | 10 | 15 | 20 | 25 | 30 | |||||||||||||||
d1, мм | i | P0, кВт, при частоте вращения меньшего шкива, мин-1 | |||||||||||||||||||||||
200 | 400 | 700 | 800 | 950 | 1200 | 1450 | 1600 | 1800 | 2000 | 2200 | 2400 | 2600 | 2800 | 3200 | 3600 | 4000 | 4500 | ||||||||
140 | 1,00 | 0,43 | 0,78 | 1,26 | 1,41 | 1,62 | 1,96 | 2,28 | 2,45 | 2,67 | 2,87 | 3,06 | 3,22 | 3,36 | 3,48 | 3,65 | 3,79 | 3,67 | 3,44 | ||||||
1,05 | 0,45 | 0,81 | 1,30 | 1,46 | 1,68 | 2,03 | 2,36 | 2,54 | 2,76 | 2,97 | 3,16 | 3,33 | 3,48 | 3,60 | 3,78 | 3,85 | 3,80 | 3,56 | |||||||
1,20 | 0,46 | 0,84 | 1,35 | 1,51 | 1,74 | 2,10 | 2,43 | 2,62 | 2,86 | 3,07 | 3,27 | 3,44 | 3,60 | 3,72 | 3,91 | 3,98 | 3,93 | 3,68 | |||||||
1,50 | 0,48 | 0,86 | 1,39 | 1,56 | 1,79 | 2,17 | 2,51 | 2,71 | 2,95 | 3,17 | 3,38 | 3,56 | 3,71 | 3,85 | 4,03 | 4,11 | 4,06 | 3,80 | |||||||
>= 3,00 | 0,49 | 0,89 | 1,43 | 1,60 | 1,85 | 2,24 | 2,59 | 2,79 | 3,04 | 3,27 | 3,48 | 3,67 | 3,83 | 3,87 | 4,16 | 4,24 | 4,19 | 3,92 | |||||||
160 | 1,00 | 0,51 | 0,94 | 1,51 | 1,69 | 1,95 | 2,36 | 2,73 | 2,94 | 3,19 | 3,42 | 3,63 | 3,80 | 3,95 | 4,06 | 4,19 | 4,17 | ||||||||
1,05 | 0,53 | 0,97 | 1,56 | 1,75 | 2,02 | 2,44 | 2,82 | 3,04 | 3,30 | 3,54 | 3,75 | 3,93 | 4,09 | 4,20 | 4,34 | 4,31 | |||||||||
1,20 | 0,55 | 1,00 | 1,62 | 1,81 | 2,09 | 2,52 | 2,92 | 3,14 | 3,61 | 3,66 | 3,88 | 4,07 | 4,22 | 4,35 | 4,48 | 4,46 | |||||||||
1,50 | 0,57 | 1,03 | 1,67 | 1,87 | 2,15 | 2,60 | 3,02 | 3,24 | 3,53 | 3,78 | 4,01 | 4,20 | 4,36 | 4,49 | 4,63 | 4,60 | |||||||||
>= 3,00 | 0,58 | 1,07 | 1,72 | 1,93 | 2,22 | 2,69 | 3,11 | 3,35 | 3,64 | 3,90 | 4,13 | 4,33 | 4,50 | 4,63 | 4,78 | 4,75 | |||||||||
180 и более | 1,00 | 0,59 | 1,09 | 1,76 | 1,97 | 2,27 | 2,74 | 3,16 | 3,40 | 3,68 | 3,93 | 4,14 | 4,32 | 4,45 | 4,54 | 4,58 | |||||||||
1,05 | 0,61 | 1,12 | 1,82 | 2,04 | 2,35 | 2,83 | 3,27 | 3,52 | 3,81 | 4,07 | 4,29 | 4,47 | 4,61 | 4,70 | 4,74 | ||||||||||
1,20 | 0,63 | 1,16 | 1,88 | 2,10 | 2,43 | 2,93 | 3,38 | 3,63 | 3,94 | 4,20 | 4,43 | 4,62 | 4,76 | 4,86 | 4,90 | ||||||||||
1,50 | 0,66 | 1,20 | 1,94 | 2,17 | 2,51 | 3,03 | 3,50 | 3,75 | 4,07 | 4,34 | 4,58 | 4,77 | 4,92 | 5,02 | 5,05 | ||||||||||
>= 3,00 | 0,68 | 1,24 | 2,00 | 2,24 | 2,59 | 3,12 | 3,61 | 3,87 | 4,19 | 4,48 | 4,72 | 4,92 | 5,07 | 5,18 | 5,22 | ||||||||||
v, м/с | 2 | 5 | 10 | 15 | 20 | 25 | 30 | ||||||||||||||||||
d1, мм | i | P0, кВт, при частоте вращения меньшего шкива, мин-1 | ||||||||||||||||||
200 | 300 | 400 | 500 | 600 | 700 | 800 | 950 | 1000 | 1200 | 1450 | 1600 | 1800 | 2000 | 2200 | 2400 | 2600 | 2900 | |||
125 | 1,00 | 0,48 | 0,67 | 0,84 | 1,00 | 1,16 | 1,30 | 1,44 | 1,64 | 1,70 | 1,93 | 2,19 | 2,33 | 2,50 | 2,64 | 2,76 | 2,85 | 2,92 | 2,96 | |
1,05 | 0,50 | 0,69 | 0,87 | 1,04 | 1,20 | 1,35 | 1,49 | 1,69 | 1,76 | 2,00 | 2,27 | 2,41 | 2,59 | 2,73 | 2,86 | 2,95 | 3,02 | 3,06 | ||
1,20 | 0,52 | 0,72 | 0,90 | 1,07 | 1,24 | 1,39 | 1,54 | 1,75 | 1,82 | 2,07 | 2,35 | 2,50 | 2,67 | 2,83 | 2,95 | 3,05 | 3,12 | 3,16 | ||
1,50 | 0,53 | 0,74 | 0,93 | 1,11 | 1,28 | 1,44 | 1,59 | 1,81 | 1,88 | 2,13 | 2,42 | 2,58 | 2,76 | 2,92 | 3,05 | 3,15 | 3,22 | 3,27 | ||
>= 3,00 | 0,55 | 0,76 | 0,96 | 1,14 | 1,32 | 1,48 | 1,64 | 1,86 | 1,93 | 2,20 | 2,50 | 2,66 | 2,85 | 3,01 | 3,15 | 3,25 | 3,33 | 3,37 | ||
140 | 1,00 | 0,59 | 0,83 | 1,05 | 1,26 | 1,45 | 1,64 | 1,82 | 2,08 | 2,16 | 2,47 | 2,82 | 3,00 | 3,23 | 3,42 | 3,58 | 3,70 | 3,79 | 3,85 | |
1,05 | 0,61 | 0,86 | 1,09 | 1,30 | 1,50 | 1,70 | 1,89 | 2,15 | 2,24 | 2,56 | 2,91 | 3,11 | 3,34 | 3,54 | 3,70 | 3,83 | 3,93 | 3,98 | ||
1,20 | 0,64 | 0,89 | 1,12 | 1,34 | 1,55 | 1,76 | 1,95 | 2,22 | 2,32 | 2,64 | 3,01 | 3,21 | 3,45 | 3,66 | 3,83 | 3,96 | 4,06 | 4,11 | ||
1,50 | 0,66 | 0,92 | 1,16 | 1,39 | 1,61 | 1,81 | 2,01 | 2,30 | 2,39 | 2,72 | 3,10 | 3,32 | 3,56 | 3,78 | 3,95 | 4,09 | 4,19 | 4,25 | ||
>= 3,00 | 0,68 | 0,95 | 1,20 | 1,43 | 1,66 | 1,87 | 2,08 | 2,37 | 2,46 | 2,82 | 3,21 | 3,42 | 3,68 | 3,90 | 4,08 | 4,22 | 4,33 | 4,38 | ||
160 | 1,00 | 0,74 | 1,04 | 1,32 | 1,59 | 1,84 | 2,09 | 2,32 | 2,66 | 2,76 | 3,17 | 3,62 | 3,86 | 4,15 | 4,40 | 4,60 | 4,75 | 4,85 | 4,89 | |
1,05 | 0,76 | 1,08 | 1,37 | 1,64 | 1,91 | 2,16 | 2,40 | 2,75 | 2,86 | 3,28 | 3,75 | 4,00 | 4,30 | 4,55 | 4,76 | 4,91 | 5,02 | 5,06 | ||
1,20 | 0,79 | 1,11 | 1,41 | 1,70 | 1,97 | 2,23 | 2,48 | 2,84 | 2,96 | 3,39 | 3,87 | 4,13 | 4,44 | 4,70 | 4,92 | 5,08 | 5,19 | 5,23 | ||
1,50 | 0,82 | 1,15 | 1,46 | 1,75 | 2,04 | 2,31 | 2,57 | 2,94 | 3,05 | 3,50 | 4,00 | 4,27 | 4,59 | 4,86 | 5,08 | 5,25 | 5,35 | 5,40 | ||
>= 3,00 | 0,84 | 1,18 | 1,51 | 1,81 | 2,10 | 2,38 | 2,65 | 3,03 | 3,15 | 3,61 | 4,13 | 4,40 | 4,73 | 5,01 | 5,24 | 5,41 | 5,52 | 5,58 | ||
180 | 1,00 | 0,88 | 1,25 | 1,59 | 1,91 | 2,23 | 2,53 | 2,81 | 3,22 | 3,35 | 3,85 | 4,39 | 4,68 | 5,02 | 5,30 | 5,52 | 5,67 | 5,75 | 5,76 | |
1,05 | 0,91 | 1,20 | 1,64 | 1,98 | 2,30 | 2,61 | 2,91 | 3,33 | 3,47 | 3,98 | 4,55 | 4,85 | 5,20 | 5,49 | 5,71 | 5,87 | 5,95 | 5,96 | ||
1,20 | 0,94 | 1,33 | 1,70 | 2,05 | 2,38 | 2,70 | 3,01 | 3,45 | 3,59 | 4,11 | 4,70 | 5,01 | 5,37 | 5,67 | 5,91 | 6,07 | 6,16 | 6,16 | ||
1,50 | 0,98 | 1,38 | 1,76 | 2,12 | 2,46 | 2,79 | 3,11 | 3,56 | 3,70 | 4,25 | 4,85 | 5,17 | 5,55 | 5,86 | 6,10 | 6,27 | 6,36 | 6,36 | ||
>= 3,00 | 1,01 | 1,42 | 1,81 | 2,18 | 2,54 | 2,88 | 3,21 | 3,67 | 3,82 | 4,38 | 5,01 | 5,34 | 5,73 | 6,05 | 6,29 | 6,47 | 6,56 | 6,56 | ||
v, м/с | 5 | 10 | 15 | 20 | 25 | |||||||||||||||
d1, мм | i | P0, кВт, при частоте вращения меньшего шкива, мин-1 | ||||||||||||||||||||
200 | 300 | 400 | 500 | 600 | 700 | 800 | 950 | 1000 | 1200 | 1450 | 1600 | 1800 | 2000 | 2200 | 2400 | 2600 | 2900 | |||||
200 | 1,00 | 1,02 | 1,45 | 1,85 | 2,24 | 2,60 | 2,96 | 3,30 | 3,70 | 3,93 | 4,50 | 5,13 | 5,46 | 5,83 | 6,13 | 6,35 | 6,47 | 6,50 | 6,43 | |||
1,05 | 1,06 | 1,50 | 1,92 | 2,32 | 2,70 | 3,06 | 3,41 | 3,91 | 4,07 | 4,66 | 6,31 | 5,65 | 6,04 | 6,35 | 6,57 | 6,70 | 6,73 | 6,66 | ||||
1,20 | 1,10 | 1,55 | 1,98 | 2,39 | 2,79 | 3,16 | 3,53 | 4,04 | 4,20 | 4,82 | 5,49 | 5,84 | 6,24 | 6,56 | 6,79 | 6,93 | 6,90 | 6,88 | ||||
1,50 | 1,13 | 1,60 | 2,05 | 2,47 | 2,88 | 3,27 | 3,64 | 5,17 | 4,34 | 4,97 | 5,67 | 6,03 | 6,45 | 6,78 | 7,01 | 7,15 | 7,19 | 7,11 | ||||
>= 3,00 | 1,17 | 1,65 | 2,11 | 2,55 | 2,97 | 3,37 | 3,76 | 4,30 | 4,48 | 5,13 | 5,85 | 6,22 | 6,65 | 6,99 | 7,24 | 7,42 | 7,46 | 7,33 | ||||
224 | 1,00 | 1,19 | 1,67 | 2,17 | 2,62 | 3,05 | 3,47 | 3,86 | 4,42 | 4,60 | 5,26 | 5,97 | 6,33 | 6,73 | 7,02 | 7,19 | 7,25 | 7,17 | ||||
1,05 | 1,24 | 1,75 | 2,24 | 2,71 | 3,16 | 3,59 | 4,00 | 4,58 | 4,76 | 5,44 | 6,18 | 6,55 | 6,96 | 7,26 | 7,49 | 7,55 | 7,47 | |||||
1,20 | 1,28 | 1,81 | 2,32 | 2,80 | 3,27 | 3,71 | 4,13 | 4,73 | 4,92 | 5,63 | 6,39 | 6,77 | 7,20 | 7,55 | 7,74 | 7,80 | 7,72 | |||||
1,50 | 1,32 | 1,87 | 2,40 | 2,89 | 3,37 | 3,83 | 4,27 | 4,89 | 5,08 | 5,81 | 6,60 | 7,70 | 7,48 | 7,80 | 8,00 | 8,08 | 7,97 | |||||
>= 3,00 | 1,36 | 1,93 | 2,47 | 2,99 | 3,48 | 3,95 | 4,40 | 5,04 | 5,24 | 6,00 | 6,81 | 7,22 | 7,71 | 8,05 | 8,25 | 8,31 | 8,22 | |||||
250 | 1,00 | 1,37 | 1,95 | 2,50 | 3,03 | 3,53 | 4,00 | 4,46 | 5,10 | 5,30 | 6,04 | 6,82 | 7,20 | 7,63 | 7,87 | 7,97 | 7,89 | |||||
1,05 | 1,42 | 2,02 | 2,59 | 3,13 | 3,65 | 4,14 | 4,62 | 5,28 | 5,49 | 6,25 | 7,06 | 7,49 | 7,89 | 8,15 | 8,24 | 8,10 | ||||||
1,20 | 1,47 | 2,09 | 2,68 | 3,24 | 3,77 | 4,28 | 4,77 | 5,46 | 5,67 | 6,47 | 7,30 | 7,74 | 8,16 | 8,42 | 8,52 | 8,44 | ||||||
1,50 | 1,52 | 2,16 | 2,77 | 3,34 | 3,90 | 4,42 | 4,93 | 5,63 | 5,86 | 6,68 | 7,58 | 8,00 | 8,43 | 8,70 | 8,80 | 8,71 | ||||||
>= 3,00 | 1,57 | 2,23 | 2,85 | 3,45 | 4,02 | 4,56 | 5,08 | 5,81 | 5,85 | 6,89 | 7,82 | 8,25 | 8,69 | 8,97 | 9,07 | 8,99 | ||||||
280 и более | 1,00 | 1,58 | 2,25 | 2,89 | 3,49 | 4,06 | 4,61 | 6,04 | 5,13 | 6,08 | 6,90 | 7,76 | 8,13 | 8,46 | 8,60 | 8,53 | ||||||
1,05 | 1,64 | 2,33 | 2,99 | 3,61 | 4,21 | 4,77 | 5,31 | 6,06 | 6,29 | 7,14 | 8,03 | 8,41 | 8,76 | 8,90 | 8,83 | |||||||
1,20 | 1,69 | 2,41 | 3,09 | 3,73 | 4,35 | 4,93 | 5,49 | 6,26 | 6,50 | 7,42 | 8,30 | 8,69 | 9,05 | 9,20 | 9,12 | |||||||
1,50 | 1,75 | 2,49 | 3,19 | 3,86 | 4,49 | 5,10 | 5,67 | 6,47 | 6,72 | 7,66 | 8,57 | 8,97 | 9,35 | 9,50 | 9,42 | |||||||
>= 3,00 | 1,80 | 2,57 | 3,29 | 3,96 | 4,63 | 5,26 | 5,85 | 6,67 | 6,93 | 7,91 | 8,84 | 9,26 | 9,64 | 9,80 | 9,72 | |||||||
v, м/с | 5 | 10 | 15 | 20 | 25 | 30 | ||||||||||||||||
d1, мм | i | P0, кВт, при частоте вращения меньшего шкива, мин-1 | |||||||||
50 | 100 | 200 | 300 | 400 | 500 | 600 | 700 | 800 | |||
200 | 1,00 | 0,44 | 0,79 | 1,39 | 1,92 | 2,41 | 2,87 | 3,30 | 3,69 | 4,07 | |
1,05 | 0,46 | 0,81 | 1,44 | 1,99 | 2,50 | 2,97 | 3,41 | 3,81 | 4,21 | ||
1,20 | 0,47 | 0,84 | 1,48 | 2,06 | 2,58 | 3,07 | 3,53 | 3,95 | 4,35 | ||
1,50 | 0,49 | 0,87 | 1,53 | 2,12 | 2,67 | 3,17 | 3,64 | 4,08 | 4,49 | ||
>= 3,00 | 0,51 | 0,90 | 1,58 | 2,19 | 2,75 | 3,27 | 3,76 | 4,21 | 4,64 | ||
224 | 1,00 | 0,53 | 0,95 | 1,70 | 2,37 | 2,99 | 3,58 | 4,12 | 4,64 | 5,12 | |
1,05 | 0,55 | 0,99 | 1,76 | 2,45 | 3,10 | 3,70 | 4,27 | 4,80 | 5,30 | ||
1,20 | 0,57 | 1,02 | 1,82 | 2,54 | 3,20 | 3,83 | 4,41 | 4,96 | 5,47 | ||
1,50 | 0,59 | 1,05 | 1,88 | 2,62 | 3,31 | 3,95 | 4,56 | 5,12 | 5,65 | ||
>= 3,00 | 0,61 | 1,09 | 1,94 | 2,70 | 3,41 | 4,08 | 4,70 | 5,29 | 5,83 | ||
250 | 1,00 | 0,63 | 1,13 | 2,03 | 2,85 | 3,62 | 4,33 | 5,00 | 5,64 | 6,23 | |
1,05 | 0,65 | 1,17 | 2,11 | 2,95 | 3,74 | 4,48 | 5,18 | 5,83 | 6,45 | ||
1,20 | 0,67 | 1,21 | 2,18 | 3,05 | 3,87 | 4,64 | 5,35 | 6,03 | 6,66 | ||
1,50 | 0,69 | 1,25 | 2,25 | 3,15 | 4,00 | 4,79 | 5,53 | 6,23 | 6,88 | ||
>= 3,00 | 0,71 | 1,28 | 2,32 | 3,25 | 4,12 | 4,94 | 5,71 | 6,43 | 7,10 | ||
280 | 1,00 | 0,74 | 1,34 | 2,42 | 3,40 | 4,32 | 5,19 | 6,00 | 6,76 | 7,52 | |
1,05 | 0,76 | 1,38 | 2,50 | 3,52 | 4,48 | 5,37 | 6,21 | 7,00 | 7,78 | ||
1,20 | 0,79 | 1,43 | 2,59 | 3,64 | 4,63 | 5,55 | 6,42 | 7,24 | 8,04 | ||
1,50 | 0,81 | 1,48 | 2,67 | 3,76 | 4,78 | 5,73 | 6,63 | 7,52 | 8,30 | ||
>= 3,00 | 0,84 | 1,52 | 2,76 | 3,88 | 4,93 | 5,92 | 6,84 | 7,76 | 8,57 | ||
v, м/с | 5 | 10 | |||||||||
d1, мм | i | P0, кВт, при частоте вращения меньшего шкива, мин-1 | ||||||||||||
950 | 1000 | 1100 | 1200 | 1300 | 1450 | 1600 | 1800 | 2000 | ||||||
200 | 1,00 | 4,58 | 4,73 | 5,03 | 5,29 | 5,53 | 5,84 | 6,07 | 6,28 | 6,34 | ||||
1,05 | 4,74 | 4,90 | 5,20 | 5,48 | 5,73 | 6,04 | 6,29 | 6,50 | 6,57 | |||||
1,20 | 4,80 | 5,06 | 5,38 | 5,66 | 5,92 | 6,25 | 6,50 | 6,72 | 6,79 | |||||
1,50 | 5,06 | 5,23 | 5,55 | 5,85 | 6,11 | 6,45 | 6,71 | 6,94 | 7,01 | |||||
>= 3,00 | 5,22 | 5,40 | 5,73 | 6,03 | 6,31 | 6,66 | 6,93 | 7,16 | 7,23 | |||||
224 | 1,00 | 5,78 | 5,98 | 6,36 | 6,70 | 7,01 | 7,45 | 7,75 | 8,00 | 8,00 | ||||
1,05 | 5,98 | 6,19 | 6,58 | 6,94 | 7,26 | 7,71 | 8,02 | 8,28 | 8,35 | |||||
1,20 | 6,18 | 6,40 | 6,81 | 7,18 | 7,55 | 7,97 | 8,29 | 8,56 | 8,63 | |||||
1,50 | 6,38 | 6,61 | 7,03 | 7,45 | 7,80 | 8,23 | 8,56 | 8,84 | 8,91 | |||||
>= 3,00 | 6,58 | 6,82 | 7,25 | 7,69 | 8,04 | 8,49 | 8,83 | 9,12 | 9,19 | |||||
250 | 1,00 | 7,04 | 7,29 | 7,79 | 8,21 | 8,58 | 9,04 | 9,38 | 9,63 | 9,62 | ||||
1,05 | 7,28 | 7,59 | 8,07 | 8,50 | 8,88 | 9,36 | 9,71 | 9,96 | 9,95 | |||||
1,20 | 7,58 | 7,84 | 8,34 | 8,78 | 9,18 | 9,67 | 10,03 | 10,30 | 10,20 | |||||
1,50 | 7,82 | 8,10 | 8,61 | 9,07 | 9,48 | 9,99 | 10,36 | 10,63 | 10,62 | |||||
>= 3,00 | 8,07 | 8,35 | 8,88 | 9,36 | 9,78 | 10,30 | 10,69 | 10,97 | 10,96 | |||||
280 | 1,00 | 8,49 | 8,78 | 9,32 | 9,81 | 10,22 | 10,72 | 11,00 | 11,22 | 11,04 | ||||
1,05 | 8,78 | 9,06 | 9,65 | 10,15 | 10,58 | 11,10 | 11,44 | 11,61 | 11,42 | |||||
1,20 | 9,80 | 9,39 | 9,97 | 10,49 | 10,94 | 11,47 | 11,83 | 12,00 | 11,81 | |||||
1,50 | 9,37 | 9,70 | 10,30 | 10,82 | 11,29 | 11,84 | 12,21 | 12,39 | 12,19 | |||||
>= 3,00 | 9,67 | 10,00 | 10,62 | 11,17 | 11,65 | 12,22 | 12,60 | 12,79 | 12,58 | |||||
v, м/с | 15 | 20 | 25 | 30 | ||||||||||
d1, мм | i | P0, кВт, при частоте вращения меньшего шкива, мин-1 | |||||||||
50 | 100 | 200 | 300 | 400 | 500 | 600 | 700 | 800 | |||
315 | 1,00 | 0,86 | 1,57 | 2,86 | 4,04 | 5,14 | 6,17 | 7,14 | 8,09 | 8,92 | |
1,05 | 0,89 | 1,63 | 2,96 | 4,18 | 5,32 | 6,39 | 7,43 | 8,37 | 9,24 | ||
1,20 | 0,92 | 1,68 | 3,06 | 4,32 | 5,50 | 6,60 | 7,68 | 8,65 | 9,55 | ||
1,50 | 0,95 | 1,74 | 3,16 | 4,46 | 5,68 | 6,82 | 7,93 | 8,93 | 9,86 | ||
>= 3,00 | 0,98 | 1,79 | 3,26 | 4,60 | 5,86 | 7,03 | 8,18 | 9,21 | 10,17 | ||
355 | 1,00 | 1,00 | 1,84 | 3,36 | 4,75 | 6,05 | 7,27 | 8,45 | 9,50 | 10,46 | |
1,05 | 1,05 | 1,90 | 3,47 | 4,91 | 6,26 | 7,57 | 8,74 | 9,83 | 10,83 | ||
1,20 | 1,07 | 1,97 | 3,59 | 5,08 | 6,47 | 7,82 | 9,04 | 10,16 | 11,19 | ||
1,50 | 1,11 | 2,03 | 3,71 | 5,25 | 6,69 | 8,08 | 9,33 | 10,49 | 11,56 | ||
>= 3,00 | 1,14 | 2,10 | 3,82 | 5,41 | 6,90 | 8,33 | 9,62 | 10,82 | 11,92 | ||
400 | 1,00 | 1,16 | 2,13 | 3,91 | 5,54 | 7,06 | 8,52 | 9,82 | 11,02 | 12,10 | |
1,05 | 1,20 | 2,21 | 4,04 | 5,73 | 7,30 | 8,81 | 10,17 | 11,41 | 12,52 | ||
1,20 | 1,24 | 2,29 | 4,18 | 5,93 | 7,60 | 9,11 | 10,51 | 11,79 | 12,94 | ||
1,50 | 1,28 | 2,36 | 4,32 | 6,12 | 7,84 | 9,41 | 10,85 | 12,17 | 13,37 | ||
>= 3,00 | 1,32 | 2,43 | 4,45 | 6,31 | 8,09 | 9,70 | 11,19 | 12,56 | 13,79 | ||
450 и более | 1,00 | 1,33 | 2,46 | 4,51 | 6,40 | 8,20 | 9,81 | 11,29 | 12,63 | 13,80 | |
1,05 | 1,38 | 2,56 | 4,67 | 6,62 | 8,48 | 10,16 | 11,69 | 13,07 | 14,28 | ||
1,20 | 1,43 | 2,63 | 4,83 | 6,85 | 8,77 | 10,50 | 12,08 | 13,51 | 14,76 | ||
1,50 | 1,47 | 2,72 | 4,99 | 7,07 | 9,05 | 10,84 | 12,48 | 13,95 | 15,24 | ||
>= 3,00 | 1,52 | 2,80 | 5,15 | 7,30 | 9,34 | 11,18 | 12,87 | 14,39 | 15,72 | ||
v, м/с | 5 | 10 | 15 | ||||||||
d1, мм | i | P0, кВт, при частоте вращения меньшего шкива, мин-1 | ||||||||||
950 | 1000 | 1100 | 1200 | 1300 | 1450 | 1600 | 1800 | 2000 | ||||
315 | 1,00 | 10,05 | 10,38 | 11,00 | 11,53 | 11,97 | 12,46 | 12,72 | 12,67 | 12,14 | ||
1,05 | 10,40 | 10,75 | 11,38 | 11,93 | 12,39 | 12,89 | 13,16 | 13,11 | 12,56 | |||
1,20 | 10,75 | 11,11 | 11,76 | 12,33 | 12,81 | 13,33 | 13,60 | 13,56 | 12,99 | |||
1,50 | 11,10 | 11,47 | 12,15 | 12,73 | 13,22 | 13,76 | 14,05 | 14,00 | 13,41 | |||
>= 3,00 | 11,45 | 11,83 | 12,53 | 13,14 | 13,64 | 14,20 | 14,49 | 14,44 | 13,83 | |||
355 | 1,00 | 11,73 | 12,10 | 12,76 | 13,31 | 13,73 | 14,12 | 14,19 | 13,73 | |||
1,05 | 12,14 | 12,59 | 13,20 | 13,77 | 14,21 | 14,61 | 14,68 | 14,21 | ||||
1,20 | 12,55 | 12,94 | 13,65 | 14,23 | 14,69 | 15,10 | 15,18 | 14,69 | ||||
1,50 | 12,95 | 13,36 | 14,09 | 14,70 | 15,17 | 15,59 | 15,67 | 15,17 | ||||
>= 3,00 | 13,36 | 13,79 | 14,54 | 15,16 | 15,64 | 16,09 | 16,17 | 15,65 | ||||
400 | 1,00 | 13,48 | 13,86 | 14,53 | 15,04 | 15,37 | 15,53 | |||||
1,05 | 13,95 | 14,35 | 15,04 | 15,56 | 15,91 | 16,07 | ||||||
1,20 | 14,42 | 14,83 | 15,54 | 16,08 | 16,44 | 16,61 | ||||||
1,50 | 14,89 | 15,32 | 16,05 | 16,61 | 16,98 | 17,15 | ||||||
>= 3,00 | 15,36 | 15,80 | 16,56 | 17,13 | 17,52 | 17,70 | ||||||
450 и более | 1,00 | 15,23 | 15,61 | 16,21 | 16,59 | 16,74 | ||||||
1,05 | 15,76 | 16,15 | 16,78 | 17,17 | 17,32 | |||||||
1,20 | 16,29 | 16,70 | 17,34 | 17,75 | 17,90 | |||||||
1,50 | 16,82 | 17,24 | 17,91 | 18,33 | 18,49 | |||||||
>= 3,00 | 17,35 | 17,78 | 18,47 | 18,91 | 19,07 | |||||||
v, м/с | 20 | 25 | 30 | |||||||||
d1, мм | i | P0, кВт, при частоте вращения меньшего шкива, мин-1 | ||||||||||
50 | 100 | 150 | 200 | 250 | 300 | 350 | 400 | 450 | 500 | |||
315 | 1,00 | 1,37 | 2,22 | 3,33 | 4,22 | 5,04 | 5,82 | 6,59 | 7,28 | 7,98 | 8,69 | |
1,05 | 1,41 | 2,26 | 3,42 | 4,34 | 5,19 | 5,99 | 6,78 | 7,49 | 8,21 | 8,95 | ||
1,20 | 1,47 | 2,37 | 3,56 | 4,51 | 5,39 | 6,22 | 7,05 | 7,78 | 8,53 | 9,29 | ||
1,50 | 1,52 | 2,46 | 3,69 | 4,68 | 5,59 | 6,46 | 7,31 | 8,08 | 8,85 | 9,64 | ||
>= 3,00 | 1,56 | 2,53 | 3,79 | 4,81 | 5,74 | 6,63 | 7,51 | 8,29 | 9,09 | 9,90 | ||
355 | 1,00 | 1,69 | 3,01 | 4,20 | 5,31 | 6,36 | 7,35 | 8,34 | 9,24 | 10,09 | 10,90 | |
1,05 | 1,75 | 3,11 | 4,35 | 5,50 | 6,58 | 7,65 | 8,63 | 9,56 | 10,44 | 11,28 | ||
1,20 | 1,81 | 3,22 | 4,50 | 5,69 | 6,81 | 7,91 | 8,92 | 9,88 | 10,79 | 11,66 | ||
1,50 | 1,87 | 3,32 | 4,64 | 5,87 | 7,03 | 8,17 | 9,21 | 10,20 | 11,14 | 12,04 | ||
>= 3,00 | 1,92 | 3,43 | 4,79 | 6,06 | 7,25 | 8,43 | 9,50 | 10,52 | 11,50 | 12,42 | ||
400 | 1,00 | 2,03 | 3,66 | 5,14 | 6,52 | 7,88 | 9,13 | 10,32 | 11,45 | 12,52 | 13,55 | |
1,05 | 2,10 | 3,79 | 5,32 | 6,75 | 8,16 | 9,45 | 10,68 | 11,85 | 12,96 | 14,02 | ||
1,20 | 2,18 | 3,91 | 5,50 | 6,98 | 8,43 | 9,76 | 11,03 | 12,25 | 13,40 | 14,49 | ||
1,50 | 2,25 | 4,04 | 5,68 | 7,21 | 8,70 | 10,08 | 11,39 | 12,64 | 13,83 | 14,96 | ||
>= 3,00 | 2,32 | 4,17 | 5,86 | 7,48 | 8,98 | 10,40 | 11,75 | 13,04 | 14,27 | 15,44 | ||
450 | 1,00 | 2,41 | 4,37 | 6,17 | 7,90 | 9,50 | 11,02 | 12,47 | 13,85 | 15,16 | 16,40 | |
1,05 | 2,50 | 4,52 | 6,38 | 8,17 | 9,83 | 11,40 | 12,91 | 14,33 | 15,69 | 16,98 | ||
1,20 | 2,58 | 4,68 | 6,60 | 8,45 | 10,16 | 11,79 | 13,34 | 14,82 | 16,22 | 17,55 | ||
1,50 | 2,67 | 4,83 | 6,81 | 8,72 | 10,49 | 12,17 | 13,78 | 15,30 | 16,75 | 18,12 | ||
>= 3,00 | 2,75 | 4,98 | 7,03 | 9,00 | 10,82 | 12,56 | 14,21 | 15,78 | 17,28 | 18,69 | ||
500 | 1,00 | 2,79 | 5,08 | 7,18 | 9,21 | 11,09 | 12,88 | 14,58 | 16,20 | 17,73 | 19,17 | |
1,05 | 2,89 | 5,25 | 7,48 | 9,53 | 11,48 | 13,33 | 15,09 | 16,77 | 18,35 | 19,84 | ||
1,20 | 2,99 | 5,43 | 7,73 | 9,85 | 11,86 | 13,78 | 15,60 | 17,33 | 18,97 | 20,51 | ||
1,50 | 3,08 | 5,61 | 7,98 | 10,17 | 12,25 | 14,23 | 16,11 | 17,90 | 19,59 | 21,18 | ||
>= 3,00 | 3,18 | 5,79 | 8,23 | 10,49 | 12,64 | 14,68 | 16,62 | 18,46 | 20,21 | 21,85 | ||
v, м/с | 5 | 10 | ||||||||||
d1, мм | i | P0, кВт, при частоте вращения меньшего шкива, мин-1 | ||||||||
550 | 600 | 700 | 800 | 950 | 1000 | 1100 | 1200 | |||
315 | 1,00 | 9,35 | 9,99 | 11,23 | 12,45 | 14,09 | 14,64 | 15,78 | 16,78 | |
1,05 | 9,63 | 10,28 | 11,56 | 12,82 | 14,51 | 15,07 | 16,25 | 17,28 | ||
1,20 | 10,00 | 10,68 | 12,01 | 13,32 | 15,07 | 15,66 | 16,88 | 17,95 | ||
1,50 | 10,37 | 11,08 | 12,46 | 13,81 | 15,63 | 16,25 | 17,51 | 18,62 | ||
>= 3,00 | 10,65 | 11,38 | 12,80 | 14,19 | 16,06 | 16,68 | 17,98 | 19,12 | ||
355 | 1,00 | 11,67 | 12,39 | 13,70 | 14,83 | 16,15 | 16,48 | 16,98 | 17,25 | |
1,05 | 12,07 | 12,82 | 14,18 | 15,35 | 16,71 | 17,06 | 17,58 | 17,85 | ||
1,20 | 12,48 | 13,25 | 14,66 | 15,86 | 17,28 | 17,63 | 18,17 | 18,45 | ||
1,50 | 12,89 | 13,68 | 15,13 | 16,38 | 17,84 | 18,21 | 18,76 | 19,06 | ||
>= 3,00 | 13,29 | 14,12 | 15,61 | 16,90 | 18,40 | 18,78 | 19,36 | 19,66 | ||
400 | 1,00 | 14,51 | 15,42 | 17,07 | 18,46 | 20,06 | 20,45 | 20,99 | 21,20 | |
1,05 | 15,02 | 15,96 | 17,66 | 19,11 | 20,76 | 21,16 | 21,72 | 21,94 | ||
1,20 | 15,52 | 16,50 | 18,26 | 19,75 | 21,46 | 21,87 | 22,45 | 22,68 | ||
1,50 | 16,03 | 17,04 | 18,85 | 20,40 | 22,16 | 22,59 | 23,19 | 23,42 | ||
>= 3,00 | 16,54 | 17,57 | 19,45 | 21,04 | 22,86 | 23,30 | 23,92 | 24,16 | ||
450 | 1,00 | 17,57 | 18,67 | 20,63 | 22,25 | 24,01 | 24,39 | 24,84 | 24,84 | |
1,05 | 18,19 | 19,32 | 21,35 | 23,03 | 24,84 | 25,24 | 25,71 | 25,71 | ||
1,20 | 18,80 | 19,97 | 22,07 | 23,81 | 25,68 | 26,10 | 26,58 | 26,58 | ||
1,50 | 19,41 | 20,62 | 22,79 | 24,58 | 26,52 | 26,95 | 27,45 | 27,44 | ||
>= 3,00 | 20,03 | 21,28 | 23,51 | 25,36 | 27,36 | 27,80 | 28,32 | 28,31 | ||
500 | 1,00 | 20,53 | 21,78 | 23,99 | 25,76 | 27,50 | 27,82 | 28,02 | 27,61 | |
1,05 | 21,24 | 22,54 | 24,82 | 26,66 | 28,46 | 28,79 | 29,00 | 28,57 | ||
1,20 | 21,96 | 23,30 | 25,66 | 27,56 | 29,42 | 29,76 | 29,98 | 29,54 | ||
1,50 | 22,68 | 24,06 | 26,50 | 28,45 | 30,38 | 30,73 | 30,96 | 30,50 | ||
>= 3,00 | 23,39 | 24,82 | 27,34 | 29,35 | 31,34 | 31,70 | 31,94 | 31,47 | ||
v, м/с | 15 | 20 | 25 | 30 | ||||||
d1, мм | i | P0, кВт, при частоте вращения меньшего шкива, мин-1 | ||||||||||
50 | 100 | 150 | 200 | 250 | 300 | 350 | 400 | 450 | 500 | |||
560 | ||||||||||||
1,00 | 3,24 | 5,91 | 8,43 | 10,76 | 12,97 | 15,07 | 17,06 | 18,95 | 20,72 | 22,38 | ||
1,05 | 3,35 | 6,12 | 8,72 | 11,14 | 13,42 | 15,60 | 17,66 | 19,61 | 21,44 | 23,16 | ||
1,20 | 3,46 | 6,33 | 9,02 | 11,51 | 13,88 | 16,12 | 18,25 | 20,27 | 22,17 | 23,94 | ||
1,50 | 3,58 | 6,53 | 9,31 | 11,89 | 14,38 | 16,65 | 18,85 | 20,93 | 22,89 | 24,72 | ||
>= 3,00 | 3,69 | 6,74 | 9,60 | 12,26 | 14,78 | 17,17 | 19,45 | 21,59 | 23,61 | 25,50 | ||
630 | 1,00 | 3,75 | 6,88 | 9,82 | 12,54 | 15,13 | 17,57 | 19,88 | 22,05 | 24,07 | 25,94 | |
1,05 | 3,88 | 7,12 | 10,16 | 12,98 | 15,65 | 18,18 | 20,57 | 22,82 | 24,91 | 26,84 | ||
1,20 | 4,02 | 7,36 | 10,50 | 13,42 | 16,18 | 18,80 | 21,27 | 23,59 | 25,75 | 27,75 | ||
1,50 | 4,15 | 7,65 | 10,84 | 13,86 | 16,71 | 19,41 | 21,96 | 24,36 | 26,59 | 28,66 | ||
>= 3,00 | 4,28 | 7,89 | 11,19 | 14,29 | 17,24 | 20,02 | 22,66 | 25,13 | 27,43 | 29,56 | ||
710 | 1,00 | 4,34 | 8,01 | 11,38 | 14,55 | 17,54 | 20,35 | 22,99 | 25,45 | 27,71 | 29,76 | |
1,05 | 4,49 | 8,29 | 11,78 | 15,05 | 18,15 | 21,06 | 23,80 | 26,34 | 28,68 | 30,80 | ||
1,20 | 4,64 | 8,57 | 12,17 | 15,56 | 18,76 | 21,78 | 24,60 | 27,23 | 29,64 | 31,84 | ||
1,50 | 4,79 | 8,85 | 12,57 | 16,07 | 19,37 | 22,49 | 25,40 | 28,12 | 30,61 | 32,88 | ||
>= 3,00 | 4,94 | 9,13 | 12,97 | 16,58 | 19,99 | 23,20 | 26,21 | 29,01 | 31,58 | 33,92 | ||
800 и более | 1,00 | 4,99 | 9,22 | 13,11 | 16,76 | 20,18 | 23,39 | 26,36 | 29,08 | 31,55 | 33,72 | |
1,05 | 5,16 | 9,55 | 13,57 | 17,34 | 20,89 | 24,20 | 27,28 | 30,10 | 32,65 | 34,90 | ||
1,20 | 5,33 | 9,87 | 14,03 | 17,93 | 21,59 | 25,02 | 28,20 | 31,12 | 33,75 | 36,08 | ||
1,50 | 5,51 | 10,19 | 14,48 | 18,51 | 22,30 | 25,84 | 29,12 | 32,13 | 34,85 | 37,26 | ||
>= 3,00 | 5,68 | 10,51 | 14,94 | 19,10 | 23,00 | 26,66 | 30,04 | 33,15 | 35,96 | 38,44 | ||
v, м/с | 5 | 10 | 15 | 20 | ||||||||
d1, мм | i | P0, кВт, при частоте вращения меньшего шкива, мин-1 | ||||||||
550 | 600 | 700 | 800 | 950 | 1000 | 1100 | 1200 | |||
560 | ||||||||||
1,00 | 23,91 | 25,32 | 27,73 | 29,55 | 31,04 | 31,17 | 30,85 | |||
1,05 | 24,75 | 26,21 | 28,70 | 30,59 | 32,13 | 32,26 | 31,92 | |||
1,20 | 25,58 | 27,09 | 29,67 | 31,62 | 33,21 | 33,35 | 33,00 | |||
1,50 | 26,42 | 27,98 | 30,64 | 32,65 | 34,30 | 34,44 | 34,08 | |||
>= 3,00 | 27,25 | 28,86 | 31,61 | 33,68 | 35,38 | 35,53 | 35,16 | |||
630 | 1,00 | 27,64 | 29,18 | 31,68 | 33,38 | 34,19 | ||||
1,05 | 28,61 | 30,19 | 32,79 | 34,54 | 35,38 | |||||
1,20 | 29,57 | 31,21 | 33,90 | 35,71 | 36,58 | |||||
1,50 | 30,54 | 32,23 | 35,01 | 36,88 | 37,78 | |||||
>= 3,00 | 31,51 | 33,25 | 36,11 | 38,04 | 38,97 | |||||
710 | 1,00 | 31,59 | 33,18 | 35,59 | 36,87 | 36,35 | ||||
1,05 | 32,69 | 34,34 | 36,83 | 38,16 | 37,62 | |||||
1,20 | 33,80 | 35,50 | 38,08 | 39,44 | 38,90 | |||||
1,50 | 34,90 | 36,66 | 39,32 | 40,73 | 40,17 | |||||
>= 3,00 | 36,00 | 37,82 | 40,57 | 42,02 | 41,44 | |||||
800 и более | 1,00 | 35,59 | 37,13 | 39,14 | 39,55 | |||||
1,05 | 36,83 | 38,43 | 40,51 | 40,94 | ||||||
1,20 | 38,08 | 39,73 | 41,88 | 42,32 | ||||||
1,50 | 39,32 | 41,03 | 43,25 | 43,70 | ||||||
>= 3,00 | 40,57 | 42,33 | 44,61 | 45,08 | ||||||
v, м/с | 25 | 30 | ||||||||
d1, мм | i | P0, кВт, при частоте вращения меньшего шкива, мин-1 | |||||||||
50 | 100 | 150 | 200 | 250 | 300 | 350 | 400 | 450 | |||
500 | 1,00 | 3,42 | 6,12 | 8,60 | 10,86 | 12,97 | 14,96 | 16,81 | 18,55 | 20,16 | |
1,05 | 3,54 | 6,33 | 8,90 | 11,24 | 13,42 | 15,48 | 17,40 | 19,20 | 20,87 | ||
1,20 | 3,66 | 6,54 | 9,20 | 11,61 | 13,88 | 16,00 | 17,99 | 19,85 | 21,57 | ||
1,50 | 3,78 | 6,76 | 9,50 | 11,99 | 14,33 | 16,52 | 18,58 | 20,49 | 22,28 | ||
>= 3,00 | 3,90 | 6,97 | 9,79 | 12,37 | 14,78 | 17,04 | 19,16 | 21,14 | 22,98 | ||
560 | 1,00 | 4,06 | 7,32 | 10,33 | 13,09 | 15,67 | 18,10 | 20,38 | 22,49 | 24,45 | |
1,05 | 4,20 | 7,62 | 10,69 | 13,54 | 16,22 | 18,73 | 21,09 | 23,28 | 25,31 | ||
1,20 | 4,35 | 7,87 | 11,05 | 14,00 | 16,77 | 19,37 | 21,80 | 24,07 | 26,16 | ||
1,50 | 4,49 | 8,13 | 11,41 | 14,46 | 17,31 | 20,00 | 22,51 | 24,85 | 27,02 | ||
>= 3,00 | 4,63 | 8,39 | 11,77 | 14,91 | 17,86 | 20,63 | 23,22 | 25,64 | 27,87 | ||
630 | 1,00 | 4,80 | 8,75 | 12,32 | 15,65 | 18,77 | 21,69 | 24,42 | 26,95 | 29,26 | |
1,05 | 4,97 | 9,05 | 12,75 | 16,19 | 19,42 | 22,45 | 25,27 | 27,89 | 30,29 | ||
1,20 | 5,14 | 9,36 | 13,18 | 16,74 | 20,08 | 23,21 | 26,13 | 28,83 | 31,31 | ||
1,50 | 5,31 | 9,66 | 13,61 | 17,28 | 20,73 | 23,96 | 26,98 | 29,77 | 32,33 | ||
>= 3,00 | 5,48 | 9,97 | 14,04 | 17,83 | 21,39 | 24,72 | 27,83 | 30,71 | 33,35 | ||
710 | 1,00 | 5,64 | 10,31 | 14,56 | 18,52 | 22,23 | 25,69 | 28,89 | 31,83 | 34,49 | |
1,05 | 5,84 | 10,67 | 15,07 | 19,17 | 23,01 | 26,59 | 29,90 | 32,94 | 35,69 | ||
1,20 | 6,04 | 11,03 | 15,58 | 19,82 | 23,78 | 27,48 | 30,91 | 34,06 | 36,90 | ||
1,50 | 6,23 | 11,39 | 16,09 | 20,46 | 24,56 | 28,38 | 31,92 | 35,17 | 38,10 | ||
>= 3,00 | 6,43 | 11,75 | 16,59 | 21,11 | 25,34 | 29,28 | 32,93 | 36,28 | 39,31 | ||
v, м/с | 5 | 10 | 15 | ||||||||
d1, мм | i | P0, кВт, при частоте вращения меньшего шкива, мин-1 | ||||||||||
500 | 550 | 600 | 650 | 700 | 750 | 800 | 850 | 950 | ||||
500 | 1,00 | 21,65 | 23,00 | 24,21 | 25,29 | 26,21 | 26,97 | 27,57 | 28,00 | 28,32 | ||
1,05 | 22,40 | 23,80 | 25,06 | 26,17 | 27,12 | 27,92 | 28,54 | 28,98 | 29,31 | |||
1,20 | 23,16 | 24,61 | 25,91 | 27,05 | 28,04 | 28,86 | 29,50 | 29,96 | 30,30 | |||
1,50 | 23,92 | 25,41 | 26,75 | 27,94 | 28,96 | 29,80 | 30,46 | 30,94 | 31,28 | |||
>= 3,00 | 24,67 | 26,21 | 27,60 | 28,82 | 29,87 | 30,74 | 31,43 | 31,92 | 32,27 | |||
560 | 1,00 | 26,25 | 27,86 | 29,30 | 30,55 | 31,59 | 32,42 | 33,03 | 33,40 | 33,40 | ||
1,05 | 27,16 | 28,84 | 30,33 | 31,61 | 32,69 | 33,55 | 34,18 | 34,57 | 34,57 | |||
1,20 | 28,08 | 29,81 | 31,35 | 32,68 | 33,80 | 34,69 | 35,34 | 35,74 | 34,74 | |||
1,50 | 29,00 | 30,79 | 32,37 | 33,75 | 34,90 | 35,82 | 36,49 | 36,90 | 36,90 | |||
>= 3,00 | 29,91 | 31,76 | 33,40 | 34,82 | 36,01 | 36,95 | 37,65 | 38,07 | 38,07 | |||
630 | 1,00 | 31,36 | 33,22 | 34,83 | 36,19 | 37,26 | 38,04 | 38,52 | 38,66 | 37,92 | ||
1,05 | 32,45 | 34,38 | 36,05 | 37,45 | 38,56 | 39,37 | 39,86 | 40,02 | 39,24 | |||
1,20 | 33,55 | 35,54 | 37,27 | 38,72 | 39,87 | 40,70 | 41,21 | 41,37 | 40,57 | |||
1,50 | 34,65 | 36,70 | 38,49 | 39,98 | 41,17 | 42,03 | 42,56 | 42,72 | 41,89 | |||
>= 3,00 | 35,74 | 37,86 | 39,70 | 41,25 | 42,47 | 43,36 | 43,90 | 44,07 | 43,22 | |||
710 | 1,00 | 36,85 | 38,88 | 40,58 | 41,92 | 42,87 | 43,41 | 43,52 | 43,18 | |||
1,05 | 38,13 | 40,24 | 42,00 | 43,39 | 44,37 | 44,93 | 45,05 | 44,69 | ||||
1,20 | 39,42 | 41,60 | 43,42 | 44,85 | 45,87 | 46,45 | 46,57 | 46,20 | ||||
1,50 | 40,71 | 42,96 | 44,84 | 46,32 | 47,37 | 47,97 | 48,09 | 47,71 | ||||
>= 3,00 | 42,00 | 44,32 | 46,26 | 47,78 | 48,87 | 49,49 | 49,61 | 49,22 | ||||
v, м/с | 20 | 25 | 30 | |||||||||
d1, мм | i | P0, кВт, при частоте вращения меньшего шкива, мин-1 | |||||||||
50 | 100 | 150 | 200 | 250 | 300 | 350 | 400 | 450 | |||
800 | 1,00 | 6,57 | 12,05 | 17,05 | 21,70 | 26,03 | 30,06 | 33,73 | 37,05 | 40,00 | |
1,05 | 6,80 | 12,47 | 17,64 | 22,46 | 26,94 | 31,10 | 34,90 | 38,35 | 41,40 | ||
1,20 | 7,03 | 12,89 | 18,24 | 23,21 | 27,85 | 32,15 | 36,08 | 39,64 | 42,79 | ||
1,50 | 7,26 | 13,31 | 18,83 | 23,97 | 28,76 | 33,20 | 37,26 | 40,94 | 44,19 | ||
>= 3,00 | 7,54 | 13,74 | 19,43 | 24,73 | 29,67 | 34,25 | 38,44 | 42,23 | 45,59 | ||
900 | 1,00 | 7,64 | 13,96 | 19,76 | 25,15 | 30,14 | 34,71 | 38,84 | 42,49 | 45,63 | |
1,05 | 7,94 | 14,44 | 20,45 | 26,03 | 31,19 | 35,92 | 40,20 | 43,98 | 47,22 | ||
1,20 | 8,17 | 14,94 | 21,14 | 26,91 | 32,24 | 37,13 | 41,55 | 45,56 | 48,82 | ||
1,50 | 8,44 | 15,42 | 21,84 | 27,79 | 33,30 | 38,35 | 42,91 | 46,95 | 50,41 | ||
>= 3,00 | 8,70 | 15,91 | 22,53 | 28,67 | 34,35 | 39,56 | 44,27 | 48,43 | 52,01 | ||
1000 и более | 1,00 | 8,65 | 15,84 | 22,44 | 28,52 | 34,11 | 39,17 | 43,66 | 47,52 | 50,69 | |
1,05 | 8,95 | 16,40 | 23,22 | 29,52 | 35,31 | 40,54 | 45,19 | 49,18 | 52,47 | ||
1,20 | 9,26 | 16,95 | 24,00 | 30,52 | 36,50 | 41,91 | 46,71 | 50,84 | 54,24 | ||
1,50 | 9,56 | 17,50 | 24,79 | 31,51 | 37,69 | 43,28 | 48,24 | 52,51 | 56,01 | ||
>= 3,00 | 9,86 | 18,06 | 25,57 | 32,51 | 38,88 | 44,65 | 49,77 | 54,17 | 57,78 | ||
v, м/с | 5 | 10 | 15 | 20 | |||||||
d1, мм | i | P0, кВт, при частоте вращения меньшего шкива, мин-1 | ||||||||||
500 | 550 | 600 | 650 | 700 | 750 | 800 | 850 | 950 | ||||
800 | 1,00 | 42,53 | 44,63 | 46,26 | 47,38 | 47,96 | 47,97 | |||||
1,05 | 44,02 | 46,19 | 47,87 | 49,04 | 49,64 | 49,65 | ||||||
1,20 | 45,51 | 47,75 | 49,49 | 50,69 | 51,32 | 51,33 | ||||||
1,50 | 47,00 | 49,31 | 51,11 | 52,35 | 52,99 | 53,01 | ||||||
>= 3,00 | 48,48 | 50,87 | 52,73 | 54,01 | 54,67 | 54,68 | ||||||
900 | 1,00 | 48,20 | 50,17 | 51,48 | 52,09 | |||||||
1,05 | 49,89 | 51,92 | 53,28 | 53,91 | ||||||||
1,20 | 51,57 | 53,68 | 55,08 | 55,73 | ||||||||
1,50 | 53,26 | 55,43 | 56,88 | 57,56 | ||||||||
>= 3,00 | 54,94 | 57,18 | 58,68 | 59,38 | ||||||||
1000 и более | 1,00 | 53,12 | 54,73 | 55,45 | ||||||||
1,05 | 54,97 | 56,64 | 57,39 | |||||||||
1,20 | 56,83 | 58,55 | 59,38 | |||||||||
1,50 | 58,69 | 60,47 | 61,27 | |||||||||
>= 3,00 | 60,55 | 62,38 | 63,21 | |||||||||
v, м/с | 25 | 30 | ||||||||||
d1, мм | i | P0, кВт, при частоте вращения меньшего шкива, мин-1 | |||||||||||||||||
50 | 100 | 150 | 200 | 250 | 300 | 350 | 400 | 450 | 500 | 550 | 600 | 650 | 700 | ||||||
800 | 1,00 | 7,29 | 13,25 | 18,40 | 23,26 | 27,67 | 31,65 | 35,18 | 38,27 | 40,85 | 43,35 | 44,38 | 45,26 | 45,34 | 44,82 | ||||
1,05 | 7,51 | 13,62 | 18,99 | 24,14 | 28,70 | 32,83 | 36,58 | 39,89 | 42,61 | 44,89 | 46,59 | 47,69 | 47,99 | 47,55 | |||||
1,20 | 7,65 | 14,06 | 19,58 | 25,61 | 29,73 | 34,00 | 37,98 | 41,51 | 44,45 | 46,88 | 48,79 | 50,05 | 50,64 | 50,34 | |||||
1,50 | 7,87 | 14,49 | 20,24 | 25,76 | 30,76 | 35,18 | 39,45 | 43,13 | 46,37 | 48,94 | 51,08 | 52,48 | 53,43 | 53,14 | |||||
>= 3,00 | 8,17 | 14,87 | 20,83 | 26,49 | 31,87 | 36,51 | 40,85 | 44,82 | 48,21 | 50,93 | 53,29 | 54,90 | 56,08 | 55,94 | |||||
900 | 1,00 | 8,61 | 15,23 | 22,08 | 27,82 | 33,56 | 38,20 | 42,17 | 45,70 | 48,43 | 50,71 | 52,62 | 52,62 | 52,33 | |||||
1,05 | 8,83 | 15,50 | 22,67 | 28,70 | 34,59 | 39,38 | 43,49 | 47,39 | 50,19 | 52,69 | 54,83 | 55,05 | 54,98 | ||||||
1,20 | 8,98 | 15,97 | 23,26 | 29,51 | 35,62 | 40,55 | 44,89 | 49,02 | 52,03 | 54,76 | 57,04 | 57,41 | 57,33 | ||||||
1,50 | 9,20 | 16,34 | 23,85 | 30,32 | 36,58 | 41,73 | 46,37 | 50,64 | 53,95 | 56,67 | 59,32 | 59,84 | 59,62 | ||||||
>= 3,00 | 9,42 | 16,78 | 24,43 | 31,13 | 37,61 | 43,05 | 47,77 | 52,26 | 55,86 | 58,73 | 61,53 | 62,26 | 63,00 | ||||||
1000 | 1,00 | 10,01 | 18,25 | 25,76 | 32,60 | 38,64 | 44,08 | 48,65 | 52,69 | 55,57 | 57,78 | 58,29 | 58,36 | ||||||
1,05 | 10,23 | 18,69 | 26,35 | 33,41 | 39,59 | 45,34 | 50,12 | 54,24 | 57,41 | 59,76 | 60,49 | 60,79 | |||||||
1,20 | 10,38 | 19,14 | 26,94 | 34,22 | 40,63 | 46,44 | 51,52 | 55,86 | 59,25 | 61,75 | 62,71 | 63,29 | |||||||
1,50 | 10,59 | 19,43 | 27,53 | 35,03 | 41,66 | 47,32 | 52,99 | 57,48 | 61,01 | 64,55 | 64,99 | 66,17 | |||||||
>= 3,00 | 10,82 | 19,87 | 28,11 | 35,84 | 42,69 | 49,02 | 54,39 | 59,17 | 62,93 | 66,53 | 67,19 | 68,15 | |||||||
1120 | 1,00 | 11,63 | 21,34 | 30,03 | 37,90 | 44,97 | 51,08 | 56,30 | 61,97 | 62,85 | 64,40 | 64,77 | |||||||
1,05 | 11,85 | 21,64 | 30,62 | 38,64 | 45,93 | 52,26 | 57,70 | 63,59 | 64,62 | 66,46 | 66,98 | ||||||||
1,20 | 12,07 | 22,08 | 31,28 | 39,52 | 46,96 | 53,43 | 59,17 | 65,21 | 66,46 | 68,45 | 69,18 | ||||||||
1,50 | 12,29 | 22,45 | 31,79 | 40,33 | 47,99 | 54,68 | 59,91 | 66,83 | 68,37 | 70,51 | 71,39 | ||||||||
>= 3,00 | 12,44 | 22,96 | 32,38 | 40,55 | 49,02 | 55,94 | 62,04 | 68,45 | 70,21 | 72,49 | 73,60 | ||||||||
v, м/с | 5 | 10 | 15 | 20 | 25 | 30 | |||||||||||||
d1, мм | i | P0, кВт, при частоте вращения меньшего шкива, мин-1 | |||||||||||||||||||
50 | 100 | 150 | 200 | 250 | 300 | 350 | 400 | 450 | 500 | 550 | 600 | ||||||||||
1250 | 1,00 | 12,81 | 24,43 | 34,44 | 43,57 | 51,45 | 58,14 | 63,81 | 67,27 | 69,55 | 69,92 | ||||||||||
1,05 | 13,03 | 24,88 | 35,11 | 44,45 | 52,40 | 59,32 | 65,21 | 68,89 | 71,39 | 71,91 | |||||||||||
1,20 | 13,25 | 25,32 | 35,62 | 45,26 | 53,43 | 60,57 | 66,68 | 71,24 | 73,30 | 73,97 | |||||||||||
1,50 | 13,47 | 25,76 | 36,21 | 46,00 | 54,46 | 61,82 | 68,08 | 72,57 | 75,07 | 76,03 | |||||||||||
>= 3,00 | 13,62 | 26,13 | 36,87 | 46,74 | 55,57 | 63,07 | 69,55 | 73,75 | 76,91 | 78,02 | |||||||||||
1400 и более | 1,00 | 15,38 | 28,19 | 39,59 | 49,68 | 58,51 | 65,79 | 71,02 | 74,26 | 74,70 | |||||||||||
1,05 | 15,60 | 28,56 | 40,18 | 50,64 | 59,47 | 66,90 | 72,42 | 75,88 | 76,54 | ||||||||||||
1,20 | 15,75 | 28,99 | 40,77 | 51,45 | 60,49 | 68,15 | 73,82 | 77,50 | 78,38 | ||||||||||||
1,50 | 15,97 | 29,44 | 41,44 | 52,26 | 61,53 | 69,48 | 75,22 | 79,12 | 80,22 | ||||||||||||
>= 3,00 | 16,19 | 29,81 | 42,02 | 52,99 | 62,56 | 70,66 | 77,21 | 80,81 | 82,06 | ||||||||||||
v, м/с | 5 | 10 | 15 | 20 | 25 | 30 | |||||||||||||||
d1, мм | i | P0, кВт, при частоте вращения меньшего шкива, мин-1 | ||||||||||
200,0 | 400,0 | 600,0 | 800,0 | 950,0 | 1200,0 | 1450,0 | 1600,0 | 2000,0 | 2400,0 | 2850,0 | ||
50,0 | 1,00 | 0,06 | 0,10 | 0,12 | 0,14 | 0,15 | 0,16 | 0,17 | 0,17 | 0,17 | 0,16 | 0,14 |
1,05 | 0,06 | 0,10 | 0,13 | 0,15 | 0,17 | 0,18 | 0,20 | 0,20 | 0,21 | 0,20 | 0,19 | |
1,20 | 0,07 | 0,11 | 0,15 | 0,18 | 0,19 | 0,22 | 0,24 | 0,24 | 0,26 | 0,27 | 0,27 | |
1,50 | 0,07 | 0,12 | 0,16 | 0,19 | 0,21 | 0,24 | 0,26 | 0,27 | 0,29 | 0,31 | 0,31 | |
>= 3,00 | 0,07 | 0,12 | 0,16 | 0,19 | 0,21 | 0,24 | 0,27 | 0,28 | 0,30 | 0,32 | 0,33 | |
56,0 | 1,00 | 0,09 | 0,14 | 0,19 | 0,22 | 0,25 | 0,28 | 0,31 | 0,32 | 0,35 | 0,37 | 0,38 |
1,05 | 0,09 | 0,15 | 0,20 | 0,24 | 0,26 | 0,30 | 0,33 | 0,35 | 0,39 | 0,41 | 0,43 | |
1,20 | 0,09 | 0,16 | 0,21 | 0,26 | 0,29 | 0,34 | 0,38 | 0,40 | 0,45 | 0,48 | 0,52 | |
1,50 | 0,10 | 0,17 | 0,22 | 0,27 | 0,31 | 0,36 | 0,40 | 0,43 | 0,48 | 0,53 | 0,57 | |
>= 3,00 | 0,10 | 0,17 | 0,23 | 0,28 | 0,32 | 0,37 | 0,41 | 0,44 | 0,50 | 0,55 | 0,59 | |
63,0 | 1,00 | 0,11 | 0,19 | 0,26 | 0,32 | 0,36 | 0,42 | 0,47 | 0,50 | 0,56 | 0,62 | 0,66 |
1,05 | 0,12 | 0,20 | 0,27 | 0,33 | 0,37 | 0,44 | 0,49 | 0,52 | 0,60 | 0,66 | 0,71 | |
1,20 | 0,12 | 0,21 | 0,29 | 0,36 | 0,40 | 0,47 | 0,54 | 0,57 | 0,66 | 0,73 | 0,80 | |
1,50 | 0,13 | 0,22 | 0,30 | 0,37 | 0,42 | 0,50 | 0,57 | 0,61 | 0,70 | 0,78 | 0,86 | |
>= 3,00 | 0,13 | 0,22 | 0,31 | 0,38 | 0,43 | 0,51 | 0,59 | 0,63 | 0,72 | 0,81 | 0,89 | |
71,0 | 1,00 | 0,14 | 0,25 | 0,34 | 0,42 | 0,48 | 0,57 | 0,65 | 0,69 | 0,79 | 0,88 | 0,97 |
1,05 | 0,15 | 0,26 | 0,35 | 0,44 | 0,50 | 0,59 | 0,67 | 0,72 | 0,83 | 0,93 | 1,02 | |
1,20 | 0,15 | 0,27 | 0,37 | 0,46 | 0,53 | 0,63 | 0,72 | 0,77 | 0,89 | 1,00 | 1,11 | |
1,50 | 0,16 | 0,28 | 0,39 | 0,48 | 0,55 | 0,66 | 0,75 | 0,81 | 0,94 | 1,06 | 1,18 | |
>= 3,00 | 0,16 | 0,28 | 0,39 | 0,49 | 0,57 | 0,67 | 0,78 | 0,83 | 0,97 | 1,10 | 1,23 | |
v, м/с | 2 | 5 | ||||||||||
d1, мм | i | P0, кВт, при частоте вращения меньшего шкива, мин-1 | |||||||||||||||
3200,0 | 3600,0 | 4000,0 | 4500,0 | 5000,0 | 5500,0 | 6000,0 | 6500,0 | 7000,0 | 7500,0 | 8000,0 | |||||||
50,0 | 1,00 | 0,12 | 0,08 | 0,04 | |||||||||||||
1,05 | 0,17 | 0,15 | 0,11 | ||||||||||||||
1,20 | 0,26 | 0,24 | 0,22 | ||||||||||||||
1,50 | 0,31 | 0,30 | 0,28 | ||||||||||||||
>= 3,00 | 0,33 | 0,32 | 0,30 | ||||||||||||||
56,0 | 1,00 | 0,38 | 0,38 | 0,36 | 0,32 | 0,28 | 0,21 | 0,14 | 0,04 | ||||||||
1,05 | 0,44 | 0,44 | 0,43 | 0,40 | 0,36 | 0,31 | 0,24 | 0,15 | |||||||||
1,20 | 0,53 | 0,54 | 0,54 | 0,53 | 0,51 | 0,47 | 0,41 | 0,34 | |||||||||
1,50 | 0,59 | 0,61 | 0,62 | 0,61 | 0,60 | 0,57 | 0,52 | 0,46 | |||||||||
>= 3,00 | 0,62 | 0,64 | 0,65 | 0,65 | 0,64 | 0,61 | 0,57 | 0,51 | |||||||||
63,0 | 1,00 | 0,69 | 0,71 | 0,71 | 0,71 | 0,68 | 0,64 | 0,57 | 0,49 | 0,38 | 0,26 | 0,11 | |||||
1,05 | 0,74 | 0,77 | 0,78 | 0,78 | 0,77 | 0,73 | 0,68 | 0,60 | 0,50 | 0,38 | 0,24 | ||||||
1,20 | 0,84 | 0,88 | 0,90 | 0,92 | 0,92 | 0,90 | 0,86 | 0,80 | 0,72 | 0,62 | 0,49 | ||||||
1,50 | 0,91 | 0,96 | 0,99 | 1,02 | 1,03 | 1,02 | 0,99 | 0,94 | 0,87 | 0,78 | 0,66 | ||||||
>= 3,00 | 0,95 | 1,00 | 1,04 | 1,07 | 1,09 | 1,08 | 1,06 | 1,01 | 0,95 | 0,86 | 0,75 | ||||||
71,0 | 1,00 | 1,02 | 1,07 | 1,10 | 1,12 | 1,11 | 1,09 | 1,03 | 0,94 | 0,83 | 0,69 | 0,51 | |||||
1,05 | 1,08 | 1,13 | 1,17 | 1,20 | 1,20 | 1,18 | 1,13 | 1,06 | 0,95 | 0,82 | 0,65 | ||||||
1,20 | 1,18 | 1,25 | 1,30 | 1,34 | 1,36 | 1,36 | 1,33 | 1,27 | 1,18 | 1,06 | 0,91 | ||||||
1,50 | 1,26 | 1,34 | 1,40 | 1,46 | 1,49 | 1,50 | 1,48 | 1,43 | 1,35 | 1,25 | 1,11 | ||||||
>= 3,00 | 1,31 | 1,39 | 1,46 | 1,52 | 1,57 | 1,58 | 1,57 | 1,53 | 1,46 | 1,36 | 1,23 | ||||||
v, м/с | 10 | 15 | 20 | 25 | 30 | ||||||||||||
d1, мм | i | P0, кВт, при частоте вращения меньшего шкива, мин-1 | ||||||||||
200,0 | 400,0 | 600,0 | 800,0 | 950,0 | 1200,0 | 1450,0 | 1600,0 | 2000,0 | 2400,0 | 2850,0 | ||
80,0 | 1,00 | 0,18 | 0,31 | 0,43 | 0,54 | 0,62 | 0,73 | 0,84 | 0,90 | 1,05 | 1,18 | 1,30 |
1,05 | 0,18 | 0,32 | 0,44 | 0,55 | 0,63 | 0,75 | 0,87 | 0,93 | 1,09 | 1,22 | 1,35 | |
1,20 | 0,19 | 0,33 | 0,46 | 0,58 | 0,66 | 0,80 | 0,92 | 0,98 | 1,15 | 1,30 | 1,45 | |
1,50 | 0,19 | 0,34 | 0,48 | 0,60 | 0,69 | 0,83 | 0,96 | 1,03 | 1,21 | 1,37 | 1,53 | |
>= 3,00 | 0,20 | 0,35 | 0,49 | 0,62 | 0,71 | 0,85 | 0,99 | 1,06 | 1,25 | 1,42 | 1,59 | |
90,0 | 1,00 | 0,21 | 0,38 | 0,53 | 0,67 | 0,77 | 0,92 | 1,06 | 1,13 | 1,33 | 1,50 | 1,66 |
1,05 | 0,22 | 0,39 | 0,54 | 0,68 | 0,78 | 0,94 | 1,08 | 1,16 | 1,36 | 1,54 | 1,71 | |
1,20 | 0,23 | 0,40 | 0,56 | 0,71 | 0,82 | 0,98 | 1,13 | 1,22 | 1,43 | 1,62 | 1,81 | |
1,50 | 0,23 | 0,42 | 0,58 | 0,74 | 0,85 | 1,02 | 1,18 | 1,27 | 1,50 | 1,70 | 1,90 | |
>= 3,00 | 0,24 | 0,43 | 0,60 | 0,76 | 0,87 | 1,05 | 1,21 | 1,31 | 1,55 | 1,76 | 1,97 | |
100,0 | 1,00 | 0,25 | 0,45 | 0,63 | 0,80 | 0,91 | 1,10 | 1,27 | 1,36 | 1,60 | 1,81 | 2,01 |
1,05 | 0,26 | 0,46 | 0,64 | 0,81 | 0,93 | 1,12 | 1,29 | 1,39 | 1,63 | 1,85 | 2,06 | |
1,20 | 0,26 | 0,47 | 0,66 | 0,84 | 0,96 | 1,16 | 1,34 | 1,45 | 1,71 | 1,93 | 2,16 | |
1,50 | 0,27 | 0,49 | 0,68 | 0,87 | 1,00 | 1,20 | 1,39 | 1,50 | 1,77 | 2,02 | 2,26 | |
>= 3,00 | 0,28 | 0,50 | 0,70 | 0,89 | 1,03 | 1,24 | 1,44 | 1,55 | 1,84 | 2,09 | 2,34 | |
112,0 и более | 1,00 | 0,30 | 0,53 | 0,75 | 0,95 | 1,09 | 1,31 | 1,51 | 1,63 | 1,91 | 2,16 | 2,40 |
1,05 | 0,30 | 0,54 | 0,76 | 0,96 | 1,10 | 1,33 | 1,54 | 1,66 | 1,95 | 2,20 | 2,45 | |
1,20 | 0,31 | 0,56 | 0,78 | 0,99 | 1,14 | 1,37 | 1,59 | 1,72 | 2,02 | 2,29 | 2,55 | |
1,50 | 0,31 | 0,57 | 0,80 | 1,02 | 1,17 | 1,42 | 1,64 | 1,77 | 2,10 | 2,38 | 2,66 | |
>= 3,00 | 0,32 | 0,58 | 0,82 | 1,05 | 1,21 | 1,46 | 1,70 | 1,83 | 2,17 | 2,47 | 2,77 | |
v, м/с | 2 | 5 | 10 | |||||||||
d1, мм | i | P0, кВт, при частоте вращения меньшего шкива, мин-1 | |||||||||||||
3200,0 | 3600,0 | 4000,0 | 4500,0 | 5000,0 | 5500,0 | 6000,0 | 6500,0 | 7000,0 | 7500,0 | 8000,0 | |||||
80,0 | 1,00 | 1,38 | 1,46 | 1,51 | 1,56 | 1,56 | 1,54 | 1,48 | 1,38 | 1,24 | 1,06 | ||||
1,05 | 1,44 | 1,52 | 1,58 | 1,63 | 1,65 | 1,64 | 1,58 | 1,49 | 1,36 | 1,19 | |||||
1,20 | 1,55 | 1,64 | 1,72 | 1,79 | 1,82 | 1,82 | 1,79 | 1,71 | 1,60 | 1,45 | |||||
1,50 | 1,64 | 1,74 | 1,83 | 1,91 | 1,96 | 1,98 | 1,96 | 1,90 | 1,80 | 1,66 | |||||
>= 3,00 | 1,70 | 1,82 | 1,91 | 2,00 | 2,06 | 2,09 | 2,08 | 2,03 | 1,94 | 1,81 | |||||
90,0 | 1,00 | 1,77 | 1,87 | 1,94 | 2,00 | 2,01 | 1,98 | 1,90 | 1,77 | ||||||
1,05 | 1,82 | 1,93 | 2,01 | 2,08 | 2,10 | 2,08 | 2,00 | 1,88 | |||||||
1,20 | 1,94 | 2,06 | 2,15 | 2,24 | 2,28 | 2,27 | 2,22 | 2,11 | |||||||
1,50 | 2,04 | 2,17 | 2,28 | 2,38 | 2,44 | 2,44 | 2,41 | 2,31 | |||||||
>= 3,00 | 2,12 | 2,26 | 2,38 | 2,49 | 2,56 | 2,59 | 2,56 | 2,48 | |||||||
100,0 | 1,00 | 2,13 | 2,25 | 2,34 | 2,40 | 2,41 | 2,35 | 2,23 | |||||||
1,05 | 2,19 | 2,32 | 2,41 | 2,48 | 2,49 | 2,45 | 2,33 | ||||||||
1,20 | 2,31 | 2,45 | 2,56 | 2,64 | 2,68 | 2,65 | 2,55 | ||||||||
1,50 | 2,42 | 2,57 | 2,69 | 2,80 | 2,85 | 2,83 | 2,76 | ||||||||
>= 3,00 | 2,52 | 2,68 | 2,82 | 2,94 | 3,00 | 3,00 | 2,94 | ||||||||
112,0 и более | 1,00 | 2,55 | 2,68 | 2,77 | 2,82 | 2,80 | |||||||||
1,05 | 2,61 | 2,75 | 2,04 | 2,90 | 2,88 | ||||||||||
1,20 | 2,72 | 2,88 | 2,99 | 3,07 | 3,07 | ||||||||||
1,50 | 2,84 | 3,01 | 3,14 | 3,24 | 3,26 | ||||||||||
>= 3,00 | 2,96 | 3,15 | 3,29 | 3,40 | 3,44 | ||||||||||
v, м/с | 15 | 20 | 25 | 30 | |||||||||||
d1, мм | i | P0, кВт, при частоте вращения меньшего шкива, мин-1 | |||||||||||
200,0 | 400,0 | 600,0 | 800,0 | 950,0 | 1200,0 | 1450,0 | 1600,0 | 1800,0 | 2000,0 | 2200,0 | |||
75,0 | 1,00 | 0,22 | 0,39 | 0,53 | 0,66 | 0,74 | 0,88 | 1,00 | 1,06 | 1,14 | 1,22 | 1,29 | |
1,05 | 0,23 | 0,40 | 0,55 | 0,69 | 0,78 | 0,92 | 1,05 | 1,12 | 1,21 | 1,29 | 1,37 | ||
1,20 | 0,24 | 0,43 | 0,59 | 0,73 | 0,84 | 0,99 | 1,14 | 1,22 | 1,32 | 1,41 | 1,50 | ||
1,50 | 0,25 | 0,44 | 0,61 | 0,76 | 0,87 | 1,04 | 1,19 | 1,27 | 1,38 | 1,48 | 1,58 | ||
>= 3,00 | 0,25 | 0,45 | 0,62 | 0,77 | 0,88 | 1,05 | 1,21 | 1,30 | 1,41 | 1,51 | 1,61 | ||
80,0 | 1,00 | 0,26 | 0,45 | 0,62 | 0,78 | 0,89 | 1,05 | 1,20 | 1,29 | 1,39 | 1,49 | 1,58 | |
1,05 | 0,27 | 0,47 | 0,65 | 0,81 | 0,92 | 1,10 | 1,26 | 1,35 | 1,46 | 1,57 | 1,66 | ||
1,20 | 0,28 | 0,49 | 0,68 | 0,86 | 0,98 | 1,17 | 1,35 | 1,45 | 1,57 | 1,69 | 1,80 | ||
1,50 | 0,29 | 0,51 | 0,71 | 0,89 | 1,02 | 1,22 | 1,41 | 1,51 | 1,65 | 1,77 | 1,89 | ||
>= 3,00 | 0,29 | 0,52 | 0,72 | 0,90 | 1,03 | 1,24 | 1,43 | 1,54 | 1,67 | 1,80 | 1,93 | ||
90,0 | 1,00 | 0,33 | 0,58 | 0,81 | 1,02 | 1,17 | 1,40 | 1,62 | 1,74 | 1,89 | 2,03 | 2,17 | |
1,05 | 0,33 | 0,60 | 0,83 | 1,05 | 1,21 | 1,45 | 1,67 | 1,80 | 1,96 | 2,11 | 2,25 | ||
1,20 | 0,35 | 0,63 | 0,87 | 1,11 | 1,27 | 1,53 | 1,77 | 1,90 | 2,08 | 2,24 | 2,40 | ||
1,50 | 0,36 | 0,64 | 0,90 | 1,14 | 1,31 | 1,58 | 1,83 | 1,98 | 2,16 | 2,33 | 2,50 | ||
>= 3,00 | 0,36 | 0,65 | 0,92 | 1,16 | 1,34 | 1,61 | 1,87 | 2,01 | 2,20 | 2,38 | 2,55 | ||
100,0 | 1,00 | 0,40 | 0,71 | 1,00 | 1,26 | 1,45 | 1,75 | 2,02 | 2,18 | 2,37 | 2,56 | 2,74 | |
1,05 | 0,40 | 0,73 | 1,02 | 1,29 | 1,49 | 1,79 | 2,07 | 2,24 | 2,44 | 2,64 | 2,82 | ||
1,20 | 0,42 | 0,76 | 1,06 | 1,35 | 1,55 | 1,87 | 2,18 | 2,35 | 2,57 | 2,78 | 2,97 | ||
1,50 | 0,43 | 0,78 | 1,09 | 1,39 | 1,60 | 1,94 | 2,25 | 2,43 | 2,66 | 2,88 | 3,09 | ||
>= 3,00 | 0,43 | 0,79 | 0,11 | 1,42 | 1,63 | 1,97 | 2,30 | 2,48 | 2,72 | 2,94 | 3,16 | ||
v, м/с | 2 | 5 | 10 | ||||||||||
d1, мм | i | P0, кВт, при частоте вращения меньшего шкива, мин-1 | ||||||||||||||
200,0 | 400,0 | 600,0 | 800,0 | 950,0 | 1200,0 | 1450,0 | 1600,0 | 1800,0 | 2000,0 | 2200,0 | ||||||
112,0 | 1,00 | 0,48 | 0,86 | 1,22 | 1,55 | 1,78 | 2,15 | 2,50 | 2,69 | 2,94 | 3,18 | 3,40 | ||||
1,05 | 0,48 | 0,88 | 1,24 | 1,58 | 1,82 | 2,20 | 2,55 | 2,75 | 3,01 | 3,26 | 3,48 | |||||
1,20 | 0,50 | 0,91 | 1,29 | 1,64 | 1,89 | 2,29 | 2,66 | 2,87 | 3,14 | 3,40 | 3,65 | |||||
1,50 | 0,51 | 0,93 | 1,32 | 1,68 | 1,94 | 2,36 | 2,75 | 2,97 | 3,25 | 3,52 | 3,78 | |||||
>= 3,00 | 0,52 | 0,95 | 1,35 | 1,72 | 1,98 | 2,41 | 2,80 | 3,03 | 3,32 | 3,60 | 3,87 | |||||
125,0 | 1,00 | 0,56 | 1,03 | 1,45 | 1,85 | 2,14 | 2,59 | 3,01 | 3,24 | 3,55 | 3,83 | 4,10 | ||||
1,05 | 0,57 | 1,04 | 1,48 | 1,88 | 2,17 | 2,63 | 3,06 | 3,31 | 3,62 | 3,91 | 4,18 | |||||
1,20 | 0,59 | 1,07 | 1,52 | 1,94 | 2,25 | 2,72 | 3,17 | 3,43 | 3,75 | 4,06 | 4,35 | |||||
1,50 | 0,60 | 1,10 | 1,56 | 2,00 | 2,31 | 2,80 | 3,27 | 3,53 | 3,87 | 4,19 | 4,50 | |||||
>= 3,00 | 0,61 | 1,12 | 1,59 | 2,04 | 2,36 | 2,86 | 3,34 | 3,61 | 3,96 | 4,30 | 4,61 | |||||
140,0 | 1,00 | 0,66 | 1,22 | 1,72 | 2,20 | 2,54 | 3,08 | 3,58 | 3,86 | 4,22 | 4,56 | 4,88 | ||||
1,05 | 0,67 | 1,23 | 1,75 | 2,23 | 2,58 | 3,12 | 3,63 | 3,92 | 4,29 | 4,64 | 4,96 | |||||
1,20 | 0,69 | 1,26 | 1,79 | 2,29 | 2,65 | 3,22 | 3,75 | 4,05 | 4,43 | 4,80 | 5,13 | |||||
1,50 | 0,70 | 1,29 | 1,84 | 2,35 | 2,72 | 3,30 | 3,85 | 4,17 | 4,57 | 4,94 | 5,29 | |||||
>= 3,00 | 0,71 | 1,32 | 1,88 | 2,40 | 2,78 | 3,38 | 3,95 | 4,27 | 4,68 | 5,07 | 5,43 | |||||
160,0 | 1,00 | 0,80 | 1,46 | 2,08 | 2,66 | 3,07 | 3,72 | 4,32 | 4,66 | 5,09 | 5,49 | 5,86 | ||||
1,05 | 0,80 | 1,48 | 2,10 | 2,69 | 3,10 | 3,76 | 4,38 | 4,73 | 5,16 | 5,57 | 5,94 | |||||
1,20 | 0,82 | 1,51 | 2,15 | 2,75 | 3,18 | 3,86 | 4,50 | 4,96 | 5,31 | 5,73 | 6,12 | |||||
1,50 | 0,84 | 1,54 | 2,20 | 2,82 | 3,26 | 3,96 | 4,61 | 4,88 | 5,45 | 5,89 | 6,30 | |||||
>= 3,00 | 0,85 | 1,57 | 2,24 | 2,88 | 3,33 | 4,05 | 4,73 | 5,11 | 5,59 | 6,05 | 6,47 | |||||
180 и более | 1,00 | 0,93 | 1,71 | 2,43 | 3,10 | 3,58 | 4,34 | 5,04 | 5,43 | 5,92 | 6,37 | 6,78 | ||||
1,05 | 0,93 | 1,72 | 2,45 | 3,13 | 3,62 | 4,39 | 5,10 | 5,50 | 5,99 | 6,45 | 6,86 | |||||
1,20 | 0,95 | 1,75 | 2,50 | 3,20 | 3,70 | 4,49 | 5,22 | 5,63 | 6,14 | 6,62 | 7,05 | |||||
1,50 | 0,97 | 1,79 | 2,55 | 3,27 | 3,78 | 4,59 | 5,34 | 5,77 | 6,30 | 6,79 | 7,24 | |||||
>= 3,00 | 0,99 | 1,83 | 2,61 | 3,34 | 3,87 | 4,70 | 5,48 | 5,92 | 6,47 | 6,98 | 7,44 | |||||
v, м/с | 2 | 5 | 10 | 15 | 20 | |||||||||||
d1, мм | i | P0, кВт, при частоте вращения меньшего шкива, мин-1 | ||||||||||||
2400,0 | 2600,0 | 2850,0 | 3000,0 | 3200,0 | 3600,0 | 4000,0 | 4500,0 | 5000,0 | 5500,0 | 6000,0 | ||||
75,0 | 1,00 | |||||||||||||
1,05 | 1,44 | 1,50 | 1,57 | 1,61 | 1,65 | 1,72 | 1,76 | 1,78 | 1,75 | 1,67 | 1,55 | |||
1,20 | 1,58 | 1,66 | 1,74 | 1,79 | 1,85 | 1,94 | 2,01 | 2,05 | 2,05 | 2,01 | 1,91 | |||
1,50 | 1,67 | 1,75 | 1,84 | 1,90 | 1,96 | 2,07 | 2,15 | 2,21 | 2,23 | 2,20 | 2,12 | |||
>= 3,00 | 1,70 | 1,78 | 1,88 | 1,94 | 2,00 | 2,11 | 2,20 | 2,27 | 2,30 | 2,27 | 2,20 | |||
80,0 | 1,00 | 1,67 | 1,74 | 1,83 | 1,87 | 1,93 | 2,02 | 2,07 | 2,10 | 2,08 | 1,99 | 1,85 | ||
1,05 | 1,76 | 1,84 | 1,93 | 1,99 | 2,05 | 2,15 | 2,22 | 2,27 | 2,26 | 2,20 | 2,08 | |||
1,20 | 1,91 | 2,00 | 2,11 | 2,18 | 2,25 | 2,38 | 2,48 | 2,55 | 2,58 | 2,55 | 2,46 | |||
>= 1,50 | 2,00 | 2,11 | 2,23 | 2,29 | 2,38 | 2,52 | 2,63 | 2,73 | 2,77 | 2,76 | 2,69 | |||
2,04 | 2,15 | 2,27 | 2,34 | 2,43 | 2,58 | 2,70 | 2,80 | 2,85 | 2,85 | 2,79 | ||||
90,0 | 1,00 | 2,29 | 2,41 | 2,54 | 2,61 | 2,70 | 2,85 | 2,96 | 3,03 | 3,03 | 2,96 | 2,81 | ||
1,05 | 2,38 | 2,51 | 2,65 | 2,72 | 2,82 | 2,98 | 3,11 | 3,20 | 3,22 | 3,17 | 3,03 | |||
1,20 | 2,54 | 2,68 | 2,84 | 2,93 | 3,04 | 3,22 | 3,37 | 3,50 | 3,56 | 3,54 | 3,44 | |||
1,50 | 2,65 | 2,80 | 2,97 | 3,06 | 3,18 | 3,39 | 3,56 | 3,71 | 3,79 | 3,79 | 3,71 | |||
>= 3,00 | 2,71 | 2,86 | 3,04 | 3,13 | 3,26 | 3,47 | 3,65 | 3,81 | 3,90 | 3,92 | 3,85 | |||
100,0 | 1,00 | 2,90 | 3,05 | 3,23 | 3,32 | 3,44 | 3,64 | 3,78 | 3,89 | 3,90 | 3,81 | 3,61 | ||
1,05 | 2,99 | 3,15 | 3,34 | 3,44 | 3,56 | 3,77 | 3,93 | 4,06 | 4,09 | 4,01 | 3,84 | |||
1,20 | 3,16 | 3,33 | 3,54 | 3,65 | 3,79 | 4,03 | 4,22 | 4,37 | 4,44 | 4,40 | 4,26 | |||
1,50 | 3,29 | 3,47 | 3,69 | 3,81 | 3,96 | 4,22 | 4,43 | 4,61 | 4,70 | 4,69 | 4,57 | |||
>= 3,00 | 3,36 | 3,55 | 3,77 | 3,90 | 4,05 | 4,33 | 4,55 | 4,75 | 4,85 | 4,86 | 4,76 | |||
112,0 | 1,00 | 3,61 | 3,80 | 4,02 | 4,14 | 4,29 | 4,53 | 4,70 | 4,82 | 4,80 | ||||
1,05 | 3,70 | 3,90 | 4,13 | 4,26 | 4,41 | 4,67 | 4,86 | 4,99 | 4,99 | |||||
1,20 | 3,88 | 4,09 | 4,34 | 4,48 | 4,64 | 4,93 | 5,15 | 5,32 | 5,36 | |||||
1,50 | 4,02 | 4,25 | 4,51 | 4,65 | 4,84 | 5,15 | 5,39 | 5,59 | 5,66 | |||||
>= 3,00 | 4,12 | 4,35 | 4,62 | 4,78 | 4,96 | 5,29 | 5,55 | 5,77 | 5,86 | |||||
v, м/с | 10 | 15 | 20 | 25 | ||||||||||
d1, мм | i | P0, кВт, при частоте вращения меньшего шкива, мин-1 | ||||||||||||
2400,0 | 2600,0 | 2850,0 | 3000,0 | 3200,0 | 3600,0 | 4000,0 | 4500,0 | 5000,0 | 5500,0 | 6000,0 | ||||
125,0 | 1,00 | 4,35 | 4,58 | 4,84 | 4,98 | 5,15 | 5,42 | 5,61 | 5,69 | |||||
1,05 | 4,44 | 4,68 | 4,95 | 5,10 | 5,27 | 5,56 | 5,76 | 5,86 | ||||||
1,20 | 4,62 | 4,88 | 5,17 | 5,32 | 5,52 | 5,84 | 6,06 | 6,20 | ||||||
1,50 | 4,78 | 5,05 | 5,35 | 5,52 | 5,73 | 6,08 | 6,33 | 6,50 | ||||||
>= 3,00 | 4,90 | 5,18 | 5,50 | 5,68 | 5,89 | 6,26 | 6,53 | 6,73 | ||||||
140,0 | 1,00 | 5,17 | 5,43 | 5,73 | 5,89 | 6,07 | 6,35 | 6,51 | ||||||
1,05 | 5,26 | 5,53 | 5,84 | 6,00 | 6,19 | 6,49 | 6,66 | |||||||
1,20 | 5,45 | 5,74 | 6,06 | 6,24 | 6,45 | 6,78 | 6,98 | |||||||
1,50 | 5,62 | 5,93 | 6,27 | 6,46 | 6,68 | 7,04 | 7,27 | |||||||
>= 3,00 | 5,77 | 6,09 | 6,45 | 6,65 | 6,88 | 7,26 | 7,52 | |||||||
160,0 | 1,00 | 6,19 | 6,49 | 6,81 | 6,98 | 7,16 | 7,41 | |||||||
1,05 | 6,29 | 6,59 | 6,93 | 7,10 | 7,29 | 7,55 | ||||||||
1,20 | 6,48 | 6,80 | 7,16 | 7,34 | 7,55 | 7,84 | ||||||||
1,50 | 6,67 | 7,01 | 7,39 | 7,58 | 7,81 | 8,13 | ||||||||
>= 3,00 | 6,86 | 7,22 | 7,61 | 7,82 | 8,06 | 8,41 | ||||||||
180,0 и более | 1,00 | 7,14 | 7,46 | 7,78 | 7,93 | 8,09 | ||||||||
1,05 | 7,23 | 7,56 | 7,89 | 8,05 | 8,22 | |||||||||
1,20 | 7,44 | 7,77 | 8,13 | 8,30 | 8,48 | |||||||||
1,50 | 7,64 | 8,00 | 8,37 | 8,56 | 8,76 | |||||||||
>= 3,00 | 7,86 | 8,24 | 8,64 | 8,84 | 9,06 | |||||||||
v, м/с | 10 | 25 | 30 | |||||||||||
d1, мм | i | P0, кВт, при частоте вращения меньшего шкива, мин-1 | ||||||||||
200,0 | 300,0 | 400,0 | 500,0 | 600,0 | 700,0 | 800,0 | 950,0 | 1200,0 | 1450,0 | 1600,0 | ||
125,0 | 1,00 | 0,65 | 0,90 | 1,14 | 1,36 | 1,57 | 1,77 | 1,96 | 2,23 | 2,63 | 2,99 | 3,18 |
1,05 | 0,66 | 0,93 | 1,17 | 1,40 | 1,62 | 1,83 | 2,02 | 2,30 | 2,73 | 3,10 | 3,31 | |
1,20 | 0,69 | 0,97 | 1,23 | 1,47 | 1,71 | 1,93 | 2,14 | 2,44 | 2,90 | 3,31 | 3,54 | |
1,50 | 0,71 | 1,00 | 1,27 | 1,52 | 1,77 | 2,00 | 2,22 | 2,53 | 3,02 | 3,46 | 3,70 | |
>= 3,00 | 0,72 | 1,02 | 1,29 | 1,55 | 1,80 | 2,03 | 2,26 | 2,58 | 3,08 | 3,53 | 3,78 | |
140,0 | 1,00 | 0,80 | 1,12 | 1,42 | 1,71 | 1,98 | 2,24 | 2,48 | 2,83 | 3,37 | 3,85 | 4,11 |
1,05 | 0,82 | 1,15 | 1,46 | 1,75 | 2,03 | 2,29 | 2,55 | 2,91 | 3,47 | 3,97 | 4,24 | |
1,20 | 0,85 | 1,19 | 1,52 | 1,83 | 2,12 | 2,40 | 2,67 | 3,06 | 3,65 | 4,19 | 4,48 | |
1,50 | 0,87 | 1,23 | 1,56 | 1,88 | 2,19 | 2,48 | 2,76 | 3,17 | 3,79 | 4,35 | 4,66 | |
>= 3,00 | 0,88 | 1,25 | 1,59 | 1,92 | 2,23 | 2,53 | 2,82 | 3,23 | 3,87 | 4,45 | 4,77 | |
160,0 | 1,00 | 1,00 | 1,41 | 1,80 | 2,17 | 2,52 | 2,85 | 3,17 | 3,63 | 4,33 | 4,96 | 5,30 |
1,05 | 1,02 | 1,44 | 1,83 | 2,21 | 2,56 | 2,91 | 3,24 | 3,71 | 4,43 | 5,08 | 5,43 | |
1,20 | 1,05 | 1,48 | 1,90 | 2,29 | 2,66 | 3,02 | 3,37 | 3,86 | 4,62 | 5,31 | 5,69 | |
1,50 | 1,07 | 1,52 | 1,95 | 2,35 | 2,74 | 3,11 | 3,47 | 3,99 | 4,78 | 5,50 | 5,90 | |
>= 3,00 | 1,09 | 1,55 | 1,99 | 2,40 | 2,80 | 3,18 | 3,55 | 4,08 | 4,89 | 5,64 | 6,05 | |
180,0 | 1,00 | 1,20 | 1,70 | 2,17 | 2,62 | 3,04 | 3,45 | 3,85 | 4,41 | 5,27 | 6,03 | 6,44 |
1,05 | 1,21 | 1,72 | 2,20 | 2,66 | 3,09 | 3,51 | 3,91 | 4,49 | 5,37 | 6,15 | 6,57 | |
1,20 | 1,25 | 1,77 | 2,27 | 2,74 | 3,19 | 3,63 | 4,05 | 4,65 | 5,57 | 6,39 | 6,84 | |
1,50 | 1,28 | 1,82 | 2,33 | 2,81 | 3,28 | 3,73 | 4,17 | 4,79 | 5,74 | 6,61 | 7,08 | |
>= 3,00 | 1,30 | 1,85 | 2,37 | 2,87 | 3,35 | 3,81 | 4,26 | 4,90 | 5,89 | 6,78 | 7,27 | |
v, м/с | 5 | 10 | 15 | |||||||||
d1, мм | i | P0, кВт, при частоте вращения меньшего шкива, мин-1 | |||||||||||||
200,0 | 300,0 | 400,0 | 500,0 | 600,0 | 700,0 | 800,0 | 950,0 | 1200,0 | 1450,0 | 1600,0 | |||||
200,0 | 1,00 | 1,39 | 1,98 | 2,53 | 3,06 | 3,56 | 4,05 | 4,51 | 5,17 | 6,18 | 7,06 | 7,53 | |||
1,05 | 1,41 | 2,00 | 2,57 | 3,10 | 3,61 | 4,11 | 4,58 | 5,25 | 6,28 | 7,18 | 7,67 | ||||
1,20 | 1,44 | 2,06 | 2,63 | 3,19 | 3,72 | 4,22 | 4,71 | 5,41 | 6,48 | 7,43 | 7,94 | ||||
1,50 | 1,48 | 2,10 | 2,70 | 3,27 | 3,81 | 4,34 | 4,84 | 5,57 | 6,68 | 7,66 | 8,20 | ||||
>= 3,00 | 1,50 | 2,15 | 2,76 | 3,34 | 3,90 | 4,44 | 4,96 | 5,70 | 6,85 | 7,87 | 8,43 | ||||
224,0 | 1,00 | 1,63 | 2,31 | 2,96 | 3,58 | 4,18 | 4,75 | 5,29 | 6,06 | 7,23 | 8,24 | 8,77 | |||
1,05 | 1,64 | 2,34 | 3,00 | 3,63 | 4,23 | 4,80 | 5,36 | 6,14 | 7,33 | 8,36 | 8,90 | ||||
1,20 | 1,68 | 2,39 | 3,07 | 3,71 | 4,33 | 4,93 | 5,50 | 6,31 | 7,54 | 8,62 | 9,18 | ||||
1,50 | 1,71 | 2,44 | 3,14 | 3,80 | 4,44 | 5,05 | 5,64 | 6,47 | 7,75 | 8,87 | 9,46 | ||||
>= 3,00 | 1,75 | 2,50 | 3,21 | 3,89 | 4,54 | 5,17 | 5,78 | 6,64 | 7,96 | 9,12 | 9,74 | ||||
250,0 | 1,00 | 1,87 | 2,67 | 3,43 | 4,15 | 4,83 | 5,49 | 6,12 | 7,00 | 8,33 | 9,45 | 10,01 | |||
1,05 | 1,89 | 2,70 | 3,46 | 4,19 | 4,88 | 5,55 | 6,18 | 7,08 | 8,43 | 9,57 | 10,15 | ||||
1,20 | 1,93 | 2,75 | 3,53 | 4,28 | 4,99 | 5,67 | 6,33 | 7,25 | 8,64 | 9,83 | 10,44 | ||||
1,50 | 1,96 | 2,81 | 3,61 | 4,37 | 5,10 | 5,80 | 6,48 | 7,43 | 8,87 | 10,10 | 10,73 | ||||
>= 3,00 | 2,00 | 2,87 | 3,69 | 4,47 | 5,22 | 5,94 | 6,64 | 7,62 | 9,11 | 10,39 | 11,06 | ||||
280,0 | 1,00 | 2,16 | 3,08 | 3,95 | 4,78 | 5,57 | 6,33 | 7,04 | 8,05 | 9,53 | 10,73 | 11,32 | |||
1,05 | 2,18 | 3,11 | 3,99 | 4,82 | 5,62 | 6,38 | 7,11 | 8,13 | 9,63 | 10,86 | 11,45 | ||||
1,20 | 2,21 | 3,16 | 4,06 | 4,92 | 5,73 | 6,51 | 7,26 | 8,30 | 9,85 | 11,12 | 11,75 | ||||
1,50 | 2,25 | 3,22 | 4,14 | 5,01 | 5,85 | 6,65 | 7,42 | 8,49 | 10,09 | 11,41 | 12,06 | ||||
>= 3,00 | 2,30 | 3,29 | 4,23 | 5,13 | 5,99 | 6,81 | 7,60 | 8,71 | 10,36 | 11,75 | 12,43 | ||||
v, м/с | 5 | 10 | 15 | 20 | |||||||||||
d1, мм | i | P0, кВт, при частоте вращения меньшего шкива, мин-1 | |||||||||||||
1800,0 | 2000,0 | 2200,0 | 2400,0 | 2600,0 | 2850,0 | 3000,0 | 3200,0 | 3600,0 | 4000,0 | 4500,0 | |||||
125,0 | 1,00 | 3,41 | 3,61 | 3,78 | 3,92 | 4,03 | 4,11 | 4,14 | 4,14 | 4,03 | 3,75 | 3,16 | |||
1,05 | 3,56 | 3,77 | 3,96 | 4,11 | 4,24 | 4,34 | 4,38 | 4,40 | 4,32 | 4,08 | 3,52 | ||||
1,20 | 3,82 | 4,06 | 4,28 | 4,46 | 4,61 | 4,76 | 4,82 | 4,86 | 4,84 | 4,65 | 4,17 | ||||
1,50 | 4,00 | 4,26 | 4,50 | 4,70 | 4,88 | 5,04 | 5,12 | 5,18 | 5,20 | 5,06 | 4,62 | ||||
>= 3,00 | 4,09 | 4,36 | 4,61 | 4,83 | 5,01 | 5,19 | 5,27 | 5,35 | 5,38 | 5,26 | 4,85 | ||||
140,0 | 1,00 | 4,42 | 4,68 | 4,93 | 5,12 | 5,27 | 5,40 | 5,44 | 5,45 | 5,31 | 4,95 | ||||
1,05 | 4,57 | 4,86 | 5,11 | 5,32 | 5,48 | 5,63 | 5,68 | 5,71 | 5,60 | 5,27 | |||||
1,20 | 4,84 | 5,16 | 5,44 | 5,68 | 5,88 | 6,06 | 6,14 | 6,19 | 6,15 | 5,88 | |||||
1,50 | 5,05 | 5,39 | 5,70 | 5,96 | 6,18 | 6,39 | 6,48 | 6,56 | 6,56 | 6,34 | |||||
>= 3,00 | 5,17 | 5,53 | 5,85 | 6,12 | 6,36 | 6,59 | 6,69 | 6,78 | 6,81 | 6,62 | |||||
160,0 | 1,00 | 5,71 | 6,06 | 6,37 | 6,61 | 6,79 | 7,93 | 6,97 | 6,95 | 6,69 | |||||
1,05 | 5,86 | 6,23 | 6,55 | 6,81 | 7,01 | 7,17 | 7,21 | 7,21 | 6,98 | ||||||
1,20 | 6,14 | 6,55 | 6,90 | 7,19 | 7,42 | 7,62 | 7,69 | 7,72 | 7,56 | ||||||
1,50 | 6,38 | 6,81 | 7,19 | 7,51 | 7,77 | 8,00 | 8,09 | 8,15 | 8,04 | ||||||
>= 3,00 | 6,55 | 7,00 | 7,40 | 7,74 | 8,01 | 8,27 | 8,37 | 8,45 | 8,38 | ||||||
180,0 | 1,00 | 6,93 | 7,35 | 7,70 | 7,96 | 8,15 | 8,25 | 8,25 | 8,16 | ||||||
1,05 | 7,08 | 7,52 | 7,88 | 8,16 | 8,36 | 8,49 | 8,50 | 8,42 | |||||||
1,20 | 7,38 | 7,85 | 8,24 | 8,56 | 8,79 | 8,96 | 8,99 | 8,95 | |||||||
1,50 | 7,65 | 8,14 | 8,57 | 8,92 | 9,18 | 9,39 | 9,44 | 9,43 | |||||||
>= 3,00 | 7,86 | 8,38 | 8,83 | 9,20 | 9,49 | 9,72 | 9,80 | 9,81 | |||||||
v, м/с | 15 | 20 | 25 | 30 | |||||||||||
d1, мм | i | P0, кВт, при частоте вращения меньшего шкива, мин-1 | |||||||||||
1800,0 | 2000,0 | 2200,0 | 2400,0 | 2600,0 | 2850,0 | 3000,0 | |||||||
200,0 | 1,00 | 8,08 | 8,55 | 8,91 | 9,17 | 9,32 | 9,34 | 9,26 | |||||
1,05 | 8,23 | 8,71 | 9,09 | 9,37 | 9,53 | 9,58 | 9,51 | ||||||
1,20 | 8,54 | 9,05 | 9,47 | 9,78 | 9,98 | 10,07 | 10,02 | ||||||
1,50 | 8,83 | 9,38 | 9,82 | 10,17 | 10,40 | 10,52 | 10,51 | ||||||
>= 3,00 | 9,09 | 9,66 | 10,14 | 10,51 | 10,77 | 10,93 | 10,94 | ||||||
224,0 | 1,00 | 9,37 | 9,85 | 10,20 | 10,41 | 10,46 | |||||||
1,05 | 9,52 | 10,02 | 10,38 | 10,61 | 10,68 | ||||||||
1,20 | 9,84 | 10,37 | 10,77 | 11,03 | 11,14 | ||||||||
1,50 | 10,15 | 10,72 | 11,15 | 11,45 | 11,59 | ||||||||
>= 3,00 | 10,46 | 11,06 | 11,53 | 11,86 | 12,04 | ||||||||
250,0 | 1,00 | 10,64 | 11,09 | 11,37 | 11,46 | ||||||||
1,05 | 10,79 | 11,26 | 11,56 | 11,67 | |||||||||
1,20 | 11,11 | 11,62 | 11,95 | 12,10 | |||||||||
1,50 | 11,45 | 11,99 | 12,36 | 12,54 | |||||||||
>= 3,00 | 11,81 | 12,40 | 12,81 | 13,03 | |||||||||
280,0 и более | 1,00 | 11,91 | 12,29 | ||||||||||
1,05 | 12,07 | 12,46 | |||||||||||
1,20 | 12,40 | 12,82 | |||||||||||
1,50 | 12,75 | 13,22 | |||||||||||
>= 3,00 | 13,17 | 13,68 | |||||||||||
v, м/с | 20 | 25 | 30 | ||||||||||
ИС МЕГАНОРМ: примечание. Название таблицы дано в соответствии с официальным текстом документа. |
d1, мм | i | P0, кВт, при частоте вращения меньшего шкива, мин-1 | ||||||||||
50,0 | 100,0 | 200,0 | 300,0 | 400,0 | 500,0 | 600,0 | 700,0 | 800,0 | 950,0 | 1000,0 | ||
200,0 | 1,00 | 0,52 | 0,95 | 1,71 | 2,40 | 3,03 | 3,63 | 4,18 | 4,71 | 5,20 | 5,88 | 6,10 |
1,05 | 0,53 | 0,97 | 1,75 | 2,45 | 3,10 | 3,72 | 4,29 | 4,83 | 5,35 | 6,06 | 6,28 | |
1,20 | 0,55 | 1,00 | 1,82 | 2,55 | 3,24 | 3,89 | 4,49 | 5,07 | 5,62 | 6,38 | 6,62 | |
1,50 | 0,56 | 1,03 | 1,87 | 2,63 | 3,34 | 4,01 | 4,65 | 5,25 | 5,82 | 6,62 | 6,87 | |
>= 3,00 | 0,57 | 1,04 | 1,90 | 2,68 | 3,40 | 4,09 | 4,74 | 5,35 | 5,94 | 6,76 | 7,02 | |
224,0 | 1,00 | 0,63 | 1,15 | 2,08 | 2,93 | 3,72 | 4,46 | 5,15 | 5,81 | 6,43 | 7,29 | 7,56 |
1,05 | 0,64 | 1,17 | 2,12 | 2,98 | 3,79 | 4,55 | 5,26 | 5,94 | 6,58 | 7,47 | 7,74 | |
1,20 | 0,65 | 1,20 | 2,19 | 3,09 | 3,93 | 4,72 | 5,48 | 6,19 | 6,86 | 7,80 | 8,10 | |
1,50 | 0,67 | 1,23 | 2,24 | 3,17 | 4,04 | 4,87 | 5,65 | 6,39 | 7,09 | 8,07 | 8,38 | |
>= 3,00 | 0,68 | 1,25 | 2,28 | 3,23 | 4,12 | 4,97 | 5,77 | 6,53 | 7,25 | 8,26 | 8,58 | |
250,0 | 1,00 | 0,74 | 1,36 | 2,47 | 3,49 | 4,45 | 5,34 | 6,19 | 6,99 | 7,74 | 8,77 | 9,09 |
1,05 | 0,75 | 1,37 | 2,51 | 3,55 | 4,52 | 5,43 | 6,30 | 7,11 | 7,88 | 8,95 | 9,28 | |
1,20 | 0,77 | 1,41 | 2,58 | 3,66 | 4,67 | 5,62 | 6,52 | 7,37 | 8,18 | 9,30 | 9,65 | |
1,50 | 0,78 | 1,44 | 2,65 | 3,75 | 4,79 | 5,78 | 6,71 | 7,59 | 8,43 | 9,60 | 9,97 | |
>= 3,00 | 0,79 | 1,47 | 2,70 | 3,83 | 4,89 | 5,90 | 6,86 | 7,77 | 8,63 | 9,83 | 10,21 | |
280,0 | 1,00 | 0,86 | 1,60 | 2,92 | 4,14 | 5,28 | 6,35 | 7,36 | 8,31 | 9,20 | 10,42 | 10,80 |
1,05 | 0,87 | 1,61 | 2,96 | 4,19 | 5,35 | 6,44 | 7,47 | 8,44 | 9,35 | 10,60 | 10,98 | |
1,20 | 0,89 | 1,65 | 3,03 | 4,31 | 5,50 | 6,63 | 7,70 | 8,70 | 9,65 | 10,96 | 11,36 | |
1,50 | 0,91 | 1,69 | 3,10 | 4,41 | 5,64 | 6,80 | 7,91 | 8,95 | 9,93 | 11,29 | 11,71 | |
>= 3,00 | 0,93 | 1,72 | 3,17 | 4,50 | 5,76 | 6,96 | 8,09 | 9,16 | 10,18 | 11,58 | 12,02 | |
v, м/с | 5 | 10 | 15 | |||||||||
d1, мм | i | P0, кВт, при частоте вращения меньшего шкива, мин-1 | ||||||||||
50,0 | 100,0 | 200,0 | 300,0 | 400,0 | 500,0 | 600,0 | 700,0 | 800,0 | 950,0 | 1000,0 | ||
315,0 | 1,00 | 1,01 | 1,87 | 3,44 | 4,88 | 6,23 | 7,50 | 8,69 | 9,81 | 10,85 | 12,26 | 12,69 |
1,05 | 1,02 | 1,89 | 3,48 | 4,94 | 6,30 | 7,59 | 8,80 | 9,94 | 11,00 | 12,44 | 12,88 | |
1,20 | 1,04 | 1,93 | 3,55 | 5,05 | 6,46 | 7,79 | 9,04 | 10,21 | 11,31 | 12,81 | 13,27 | |
1,50 | 1,06 | 1,97 | 3,63 | 5,17 | 6,61 | 7,98 | 9,27 | 10,48 | 11,62 | 13,18 | 13,65 | |
>= 3,00 | 1,08 | 2,00 | 3,70 | 5,28 | 6,76 | 8,16 | 9,49 | 10,74 | 11,91 | 13,58 | 14,02 | |
355,0 | 1,00 | 1,18 | 2,18 | 4,02 | 5,72 | 7,30 | 8,78 | 10,17 | 11,47 | 12,66 | 14,25 | 14,73 |
1,05 | 1,19 | 2,20 | 4,06 | 5,77 | 7,37 | 8,88 | 10,29 | 11,60 | 12,81 | 14,43 | 14,92 | |
1,20 | 1,21 | 2,24 | 4,14 | 5,89 | 7,53 | 9,08 | 10,53 | 11,88 | 13,13 | 14,81 | 15,32 | |
1,50 | 1,23 | 2,28 | 4,22 | 6,02 | 7,70 | 9,28 | 10,77 | 12,17 | 13,46 | 15,20 | 15,73 | |
>= 3,00 | 1,25 | 2,33 | 4,31 | 6,15 | 7,88 | 9,50 | 11,04 | 12,48 | 13,81 | 15,62 | 16,17 | |
400,0 | 1,00 | 1,36 | 2,53 | 4,67 | 6,64 | 8,48 | 10,20 | 11,79 | 13,26 | 14,60 | 16,34 | 16,84 |
1,05 | 1,37 | 2,55 | 4,71 | 6,70 | 8,56 | 10,29 | 11,90 | 13,39 | 14,75 | 16,52 | 17,03 | |
1,20 | 1,39 | 2,59 | 4,79 | 6,82 | 8,72 | 10,49 | 12,15 | 13,68 | 15,08 | 16,91 | 17,44 | |
1,50 | 1,41 | 2,64 | 4,88 | 6,95 | 8,90 | 10,71 | 12,41 | 13,99 | 15,43 | 17,32 | 17,88 | |
>= 3,00 | 1,44 | 2,69 | 4,98 | 7,11 | 9,10 | 10,97 | 12,72 | 14,34 | 15,84 | 17,81 | 18,39 | |
450,0 | 1,00 | 1,57 | 2,91 | 5,38 | 7,65 | 9,76 | 11,72 | 13,52 | 15,15 | 16,61 | 18,44 | 18,95 |
1,05 | 1,57 | 2,93 | 5,42 | 7,71 | 9,84 | 11,81 | 13,63 | 15,29 | 16,76 | 18,62 | 19,14 | |
1,20 | 1,60 | 2,98 | 5,50 | 7,84 | 10,01 | 12,02 | 13,88 | 15,58 | 17,10 | 19,02 | 19,56 | |
1,50 | 1,62 | 3,02 | 5,60 | 7,98 | 10,19 | 12,26 | 14,16 | 15,90 | 17,47 | 19,46 | 20,02 | |
>= 3,00 | 1,65 | 3,08 | 5,71 | 8,15 | 10,42 | 12,54 | 14,51 | 16,31 | 17,93 | 20,01 | 20,60 | |
v, м/с | 5 | 10 | 15 | 20 | ||||||||
d1, мм | i | P0, кВт, при частоте вращения меньшего шкива, мин-1 | ||||||||||||
1100,0 | 1200,0 | 1300,0 | 1450,0 | 1600,0 | 1800,0 | 2000,0 | 2200,0 | 2400,0 | 2600,0 | 2850,0 | ||||
200,0 | 1,00 | 6,50 | 6,87 | 7,21 | 7,66 | 8,04 | 8,42 | 8,64 | 8,71 | 8,61 | 8,33 | 7,70 | ||
1,05 | 6,70 | 7,09 | 7,45 | 7,93 | 8,33 | 8,74 | 9,01 | 9,11 | 9,04 | 8,80 | 8,21 | |||
1,20 | 7,07 | 7,49 | 7,89 | 8,42 | 8,87 | 9,35 | 9,68 | 9,85 | 9,86 | 9,68 | 9,18 | |||
1,50 | 7,35 | 7,80 | 8,22 | 8,78 | 9,28 | 9,81 | 10,19 | 10,41 | 10,47 | 10,34 | 9,90 | |||
>= 3,00 | 7,51 | 7,98 | 8,41 | 9,00 | 9,51 | 10,08 | 10,49 | 10,74 | 10,82 | 10,73 | 10,33 | |||
224,0 | 1,00 | 8,07 | 8,53 | 8,96 | 9,52 | 9,98 | 10,43 | 10,67 | 10,70 | 10,50 | 10,05 | |||
1,05 | 8,27 | 8,75 | 9,20 | 9,78 | 10,27 | 10,75 | 11,04 | 11,11 | 10,94 | 10,53 | ||||
1,20 | 8,65 | 9,17 | 9,65 | 10,29 | 10,83 | 11,39 | 11,74 | 11,88 | 11,79 | 11,44 | ||||
1,50 | 8,97 | 9,52 | 10,03 | 10,71 | 11,30 | 11,91 | 12,32 | 12,52 | 12,48 | 12,19 | ||||
>= 3,00 | 9,19 | 9,75 | 10,28 | 10,99 | 11,61 | 12,26 | 12,71 | 12,95 | 12,95 | 12,70 | ||||
250,0 | 1,00 | 9,70 | 10,26 | 10,76 | 11,41 | 11,92 | 12,39 | 12,59 | 12,50 | 12,09 | ||||
1,05 | 9,90 | 10,48 | 11,00 | 11,67 | 12,22 | 12,72 | 12,96 | 12,90 | 12,53 | |||||
1,20 | 10,31 | 10,92 | 11,47 | 12,20 | 12,80 | 13,38 | 13,69 | 13,71 | 13,41 | |||||
1,50 | 10,66 | 11,30 | 11,89 | 12,67 | 13,31 | 13,96 | 14,33 | 14,41 | 14,17 | |||||
>= 3,00 | 10,93 | 11,60 | 12,21 | 13,02 | 13,71 | 14,40 | 14,82 | 14,95 | 14,77 | |||||
280,0 | 1,00 | 11,50 | 12,14 | 12,71 | 13,42 | 13,95 | 14,36 | 14,41 | ||||||
1,05 | 11,71 | 12,36 | 12,95 | 13,69 | 14,25 | 14,70 | 14,78 | |||||||
1,20 | 12,12 | 12,82 | 13,44 | 14,24 | 14,85 | 15,38 | 15,53 | |||||||
1,50 | 12,51 | 13,24 | 13,90 | 14,75 | 15,42 | 16,01 | 16,24 | |||||||
>= 3,00 | 12,85 | 13,61 | 14,29 | 15,19 | 15,90 | 16,56 | 16,85 | |||||||
v, м/с | 15 | 20 | 25 | 30 | ||||||||||
d1, мм | i | P0, кВт, при частоте вращения меньшего шкива, мин-1 | |||||||||||||||
1100,0 | 1200,0 | 1300,0 | 1450,0 | 1600,0 | 1800,0 | 2000,0 | 2200,0 | 2400,0 | 2600,0 | 2850,0 | |||||||
315,0 | 1,00 | 13,49 | 14,19 | 14,80 | 15,53 | 16,00 | 16,23 | ||||||||||
1,05 | 13,69 | 14,42 | 15,04 | 15,80 | 16,30 | 16,57 | |||||||||||
1,20 | 14,12 | 14,89 | 15,55 | 16,36 | 16,93 | 17,27 | |||||||||||
1,50 | 14,54 | 15,34 | 16,05 | 16,92 | 17,54 | 17,96 | |||||||||||
>= 3,00 | 14,95 | 15,79 | 16,53 | 17,45 | 18,13 | 18,62 | |||||||||||
355,0 | 1,00 | 15,59 | 16,33 | 16,94 | 17,59 | 17,89 | |||||||||||
1,05 | 15,80 | 16,56 | 17,18 | 17,86 | 18,19 | ||||||||||||
1,20 | 16,24 | 17,04 | 17,70 | 18,44 | 18,84 | ||||||||||||
1,50 | 16,69 | 17,53 | 18,24 | 19,04 | 19,50 | ||||||||||||
>= 3,00 | 17,18 | 18,06 | 18,81 | 19,67 | 20,20 | ||||||||||||
400,0 | 1,00 | 17,73 | 18,45 | 18,98 | 19,42 | ||||||||||||
1,05 | 17,94 | 18,67 | 19,23 | 19,69 | |||||||||||||
1,20 | 18,39 | 19,17 | 19,76 | 20,29 | |||||||||||||
1,50 | 18,87 | 19,69 | 20,33 | 20,93 | |||||||||||||
>= 3,00 | 19,43 | 20,31 | 21,00 | 21,67 | |||||||||||||
450,0 | 1,00 | 19,80 | 20,41 | 20,77 | |||||||||||||
1,05 | 20,01 | 20,64 | 21,02 | ||||||||||||||
1,20 | 20,47 | 21,14 | 21,56 | ||||||||||||||
1,50 | 20,98 | 21,70 | 22,16 | ||||||||||||||
>= 3,00 | 21,61 | 22,39 | 22,92 | ||||||||||||||
v, м/с | 20 | 25 | 30 | ||||||||||||||
d1, мм | i | P0, кВт, при частоте вращения меньшего шкива, мин-1 | |||||||||||
50,0 | 100,0 | 150,0 | 200,0 | 250,0 | 300,0 | 350,0 | 400,0 | 450,0 | 500,0 | 550,0 | |||
355,0 | 1,00 | 1,44 | 2,62 | 3,70 | 4,71 | 5,67 | 6,59 | 7,45 | 8,28 | 9,06 | 9,80 | 10,50 | |
1,05 | 1,46 | 2,66 | 3,77 | 4,80 | 5,79 | 6,72 | 7,61 | 8,46 | 9,26 | 10,03 | 10,75 | ||
1,20 | 1,50 | 2,75 | 3,90 | 4,98 | 6,00 | 6,98 | 7,91 | 8,80 | 9,65 | 10,46 | 11,23 | ||
1,50 | 1,53 | 2,82 | 4,00 | 5,11 | 6,17 | 7,18 | 8,15 | 9,07 | 9,96 | 10,80 | 11,60 | ||
>= 3,00 | 1,56 | 2,86 | 4,06 | 5,20 | 6,28 | 7,31 | 8,30 | 9,25 | 10,15 | 11,02 | 11,84 | ||
400,0 | 1,00 | 1,72 | 3,16 | 4,48 | 5,72 | 6,90 | 8,02 | 9,09 | 10,10 | 11,06 | 11,97 | 12,83 | |
1,05 | 1,74 | 3,20 | 4,55 | 5,81 | 7,01 | 8,16 | 9,25 | 10,28 | 11,27 | 12,20 | 13,08 | ||
1,20 | 1,79 | 3,29 | 4,68 | 5,99 | 7,24 | 8,43 | 9,56 | 10,64 | 11,67 | 12,65 | 13,57 | ||
1,50 | 1,83 | 3,37 | 4,80 | 6,15 | 7,43 | 8,66 | 9,83 | 10,95 | 12,02 | 13,03 | 13,99 | ||
>= 3,00 | 1,86 | 3,43 | 4,88 | 6,26 | 7,57 | 8,83 | 10,03 | 11,17 | 12,27 | 13,31 | 14,30 | ||
450,0 | 1,00 | 2,04 | 3,75 | 5,33 | 6,83 | 8,24 | 9,59 | 10,86 | 12,08 | 13,22 | 14,30 | 15,31 | |
1,05 | 2,06 | 3,80 | 5,40 | 6,92 | 8,36 | 9,72 | 11,02 | 12,26 | 13,43 | 14,53 | 15,56 | ||
1,20 | 2,11 | 3,89 | 5,54 | 7,10 | 8,59 | 10,00 | 11,35 | 12,63 | 13,85 | 15,00 | 16,07 | ||
1,50 | 2,15 | 3,97 | 5,67 | 7,27 | 8,80 | 10,26 | 11,65 | 12,97 | 14,23 | 15,42 | 16,54 | ||
>= 3,00 | 2,18 | 4,04 | 5,78 | 7,42 | 8,98 | 10,47 | 11,90 | 13,26 | 14,55 | 15,78 | 16,93 | ||
500,0 | 1,00 | 2,35 | 4,34 | 6,18 | 7,91 | 9,56 | 11,12 | 12,60 | 14,00 | 15,32 | 16,55 | 17,68 | |
1,05 | 2,37 | 4,38 | 6,25 | 8,01 | 9,68 | 11,26 | 12,76 | 14,19 | 15,52 | 16,78 | 17,94 | ||
1,20 | 2,42 | 4,48 | 6,39 | 8,20 | 9,91 | 11,55 | 13,10 | 14,57 | 15,95 | 17,25 | 18,46 | ||
1,50 | 2,47 | 4,57 | 6,53 | 8,38 | 10,14 | 11,82 | 13,42 | 14,94 | 16,37 | 17,71 | 18,97 | ||
>= 3,00 | 2,51 | 4,66 | 6,66 | 8,55 | 10,36 | 12,08 | 13,72 | 15,28 | 16,75 | 18,14 | 19,44 | ||
v, м/с | 5 | 10 | |||||||||||
d1, мм | i | P0, кВт, при частоте вращения меньшего шкива, мин-1 | |||||||||||
50,0 | 100,0 | 150,0 | 200,0 | 250,0 | 300,0 | 350,0 | 400,0 | 450,0 | 500,0 | 550,0 | |||
560,0 | 1,00 | 2,72 | 5,03 | 7,18 | 9,20 | 11,12 | 12,93 | 14,64 | 16,24 | 17,74 | 19,12 | 20,38 | |
1,05 | 2,74 | 5,08 | 7,25 | 9,29 | 11,23 | 13,07 | 14,80 | 16,42 | 17,94 | 19,35 | 20,64 | ||
1,20 | 2,79 | 5,18 | 7,40 | 9,49 | 11,48 | 13,36 | 15,14 | 16,82 | 18,39 | 19,84 | 21,18 | ||
1,50 | 2,84 | 5,28 | 7,55 | 9,69 | 11,72 | 13,66 | 15,49 | 17,21 | 18,83 | 20,34 | 21,72 | ||
>= 3,00 | 2,89 | 5,38 | 7,70 | 9,89 | 11,98 | 13,96 | 15,84 | 17,62 | 19,29 | 20,84 | 22,28 | ||
630,0 | 1,00 | 3,15 | 5,84 | 8,33 | 10,68 | 12,89 | 14,98 | 16,93 | 18,75 | 20,42 | 21,95 | 23,31 | |
1,05 | 3,17 | 5,88 | 8,40 | 10,77 | 13,01 | 15,12 | 17,10 | 18,94 | 20,63 | 22,18 | 23,56 | ||
1,20 | 3,22 | 5,98 | 8,55 | 10,97 | 13,26 | 15,42 | 17,45 | 19,34 | 21,09 | 22,68 | 24,11 | ||
1,50 | 3,27 | 6,09 | 8,71 | 11,19 | 13,53 | 15,74 | 17,82 | 19,76 | 21,56 | 23,21 | 24,70 | ||
>= 3,00 | 3,33 | 6,21 | 8,89 | 11,42 | 13,82 | 16,09 | 18,23 | 20,24 | 22,10 | 23,80 | 25,35 | ||
710,0 | 1,00 | 3,63 | 6,74 | 9,63 | 12,34 | 14,88 | 17,25 | 19,46 | 21,48 | 23,31 | 24,93 | 26,33 | |
1,05 | 3,66 | 6,79 | 9,70 | 12,43 | 14,99 | 17,39 | 19,62 | 21,67 | 23,52 | 25,17 | 26,59 | ||
1,20 | 3,71 | 6,89 | 9,85 | 12,64 | 15,25 | 17,70 | 19,98 | 22,08 | 23,98 | 25,68 | 27,16 | ||
1,50 | 3,76 | 7,01 | 10,02 | 12,86 | 15,53 | 18,04 | 20,37 | 22,53 | 24,49 | 26,24 | 27,77 | ||
>= 3,00 | 3,83 | 7,14 | 10,23 | 13,13 | 15,87 | 18,45 | 20,85 | 23,07 | 25,10 | 26,92 | 28,52 | ||
800,0 и более | 1,00 | 4,17 | 7,75 | 11,06 | 14,16 | 17,05 | 19,72 | 22,16 | 24,36 | 26,30 | 27,96 | 29,30 | |
1,05 | 4,20 | 7,80 | 11,13 | 14,25 | 17,16 | 19,86 | 22,33 | 24,55 | 26,51 | 28,19 | 29,56 | ||
1,20 | 4,25 | 7,90 | 11,29 | 14,46 | 17,43 | 20,17 | 22,69 | 24,97 | 26,98 | 28,71 | 30,14 | ||
1,50 | 4,31 | 8,02 | 11,47 | 14,70 | 17,72 | 20,53 | 23,11 | 25,44 | 27,52 | 29,31 | 30,79 | ||
>= 3,00 | 4,38 | 8,17 | 11,70 | 15,01 | 18,10 | 20,99 | 23,64 | 26,06 | 28,21 | 30,07 | 31,63 | ||
v, м/с | 5 | 10 | 15 | 20 | |||||||||
d1, мм | i | P0, кВт, при частоте вращения меньшего шкива, мин-1 | |||||||||||||
600,0 | 700,0 | 800,0 | 950,0 | 1000,0 | 1100,0 | 1200,0 | 1300,0 | 1400,0 | 1450,0 | 1500,0 | |||||
355,0 | 1,00 | 11,16 | 12,35 | 13,36 | 14,51 | 14,78 | 15,17 | 15,32 | 15,22 | 14,85 | 14,56 | 14,19 | |||
1,05 | 11,44 | 12,67 | 13,72 | 14,94 | 15,24 | 15,67 | 15,86 | 15,81 | 15,48 | 15,21 | 14,87 | ||||
1,20 | 11,95 | 13,27 | 14,41 | 15,75 | 16,09 | 16,61 | 16,89 | 16,92 | 16,68 | 16,46 | 16,16 | ||||
1,50 | 12,36 | 13,75 | 14,95 | 16,40 | 16,77 | 17,36 | 17,71 | 17,81 | 17,64 | 17,44 | 17,18 | ||||
>= 3,00 | 12,62 | 14,05 | 15,30 | 16,81 | 17,21 | 17,84 | 18,23 | 18,37 | 18,24 | 18,07 | 17,83 | ||||
400,0 | 1,00 | 13,63 | 15,06 | 16,24 | 17,52 | 17,81 | 18,14 | 18,15 | 17,80 | 17,08 | 16,57 | 15,96 | |||
1,05 | 13,90 | 15,38 | 16,61 | 17,96 | 18,26 | 18,64 | 18,69 | 18,39 | 17,72 | 17,23 | 16,64 | ||||
1,20 | 14,44 | 16,00 | 17,33 | 18,81 | 19,16 | 19,63 | 19,77 | 19,56 | 18,97 | 18,53 | 17,99 | ||||
1,50 | 14,90 | 16,54 | 17,94 | 19,54 | 19,92 | 20,47 | 20,69 | 20,55 | 20,05 | 19,64 | 19,14 | ||||
>= 3,00 | 15,24 | 16,94 | 18,39 | 20,07 | 20,49 | 21,09 | 21,37 | 21,29 | 20,84 | 20,46 | 19,99 | ||||
450,0 | 1,00 | 16,25 | 17,89 | 19,20 | 20,48 | 20,71 | 20,85 | 20,53 | 19,73 | ||||||
1,05 | 16,52 | 18,21 | 19,56 | 20,92 | 21,17 | 21,36 | 21,08 | 20,32 | |||||||
1,20 | 17,08 | 18,86 | 20,31 | 21,80 | 22,10 | 22,38 | 22,20 | 21,53 | |||||||
1,50 | 17,59 | 19,45 | 20,99 | 22,61 | 22,95 | 23,31 | 23,22 | 22,63 | |||||||
>= 3,00 | 18,01 | 19,95 | 21,56 | 23,28 | 23,66 | 24,09 | 24,07 | 23,56 | |||||||
500,0 | 1,00 | 18,73 | 20,51 | 21,87 | 22,99 | 23,09 | 22,88 | 22,05 | |||||||
1,05 | 19,00 | 20,84 | 22,24 | 23,42 | 23,56 | 23,39 | 22,60 | ||||||||
1,20 | 19,58 | 21,51 | 23,00 | 24,33 | 24,51 | 24,44 | 23,75 | ||||||||
1,50 | 20,13 | 22,15 | 23,73 | 25,20 | 25,43 | 25,45 | 24,85 | ||||||||
>= 3,00 | 20,64 | 22,75 | 24,42 | 26,02 | 26,28 | 26,39 | 25,88 | ||||||||
v, м/с | 15 | 20 | 25 | 30 | |||||||||||
d1, мм | i | P0, кВт, при частоте вращения меньшего шкива, мин-1 | |||||||||||||
600,0 | 700,0 | 800,0 | 950,0 | 1000,0 | 1100,0 | 1200,0 | 1300,0 | 1400,0 | 1450,0 | 1500,0 | |||||
560,0 | 1,00 | 21,52 | 23,39 | 24,66 | 25,34 | 25,20 | |||||||||
1,05 | 21,80 | 23,71 | 25,04 | 25,78 | 25,66 | ||||||||||
1,20 | 22,38 | 24,40 | 25,82 | 26,71 | 26,64 | ||||||||||
1,50 | 22,98 | 25,09 | 26,61 | 27,65 | 27,63 | ||||||||||
>= 3,00 | 23,59 | 25,80 | 27,42 | 28,62 | 28,65 | ||||||||||
630,0 | 1,00 | 24,49 | 26,32 | 27,32 | 27,10 | ||||||||||
1,05 | 24,77 | 26,64 | 27,69 | 27,54 | |||||||||||
1,20 | 25,38 | 27,35 | 28,50 | 28,49 | |||||||||||
1,50 | 26,01 | 28,09 | 29,34 | 29,50 | |||||||||||
>= 3,00 | 26,72 | 28,92 | 30,29 | 30,63 | |||||||||||
710,0 | 1,00 | 27,50 | 29,06 | 29,47 | |||||||||||
1,05 | 27,78 | 29,38 | 29,85 | ||||||||||||
1,20 | 28,40 | 30,10 | 30,67 | ||||||||||||
1,50 | 29,07 | 30,89 | 31,57 | ||||||||||||
>= 3,00 | 29,89 | 31,84 | 32,66 | ||||||||||||
800,0 и более | 1,00 | 30,33 | 31,29 | ||||||||||||
1,05 | 30,61 | 31,62 | |||||||||||||
1,20 | 31,24 | 32,35 | |||||||||||||
1,50 | 31,95 | 33,18 | |||||||||||||
>= 3,00 | 32,87 | 34,25 | |||||||||||||
v, м/с | 25 | 30 | |||||||||||||
d1, мм | i | P0, кВт, при частоте вращения меньшего шкива, мин-1 | |||||||||||
50,0 | 100,0 | 150,0 | 200,0 | 250,0 | 300,0 | 350,0 | 400,0 | 450,0 | 500,0 | 550,0 | |||
500,0 | 1,00 | 3,87 | 7,11 | 10,09 | 12,89 | 15,55 | 18,06 | 20,44 | 22,69 | 24,80 | 26,78 | 28,62 | |
1,05 | 3,91 | 7,20 | 10,23 | 13,08 | 15,78 | 18,34 | 20,77 | 23,07 | 25,23 | 27,25 | 29,14 | ||
1,20 | 4,01 | 7,39 | 10,52 | 13,46 | 16,26 | 18,91 | 21,43 | 23,82 | 26,08 | 28,20 | 30,18 | ||
1,50 | 4,09 | 7,56 | 10,77 | 13,80 | 16,67 | 19,41 | 22,02 | 24,49 | 26,83 | 29,04 | 31,10 | ||
>= 3,00 | 4,16 | 7,69 | 10,96 | 14,06 | 17,00 | 19,81 | 22,48 | 25,02 | 27,42 | 29,69 | 31,82 | ||
560,0 | 1,00 | 4,53 | 8,35 | 11,88 | 15,20 | 18,34 | 21,31 | 24,11 | 26,75 | 29,21 | 31,50 | 33,60 | |
1,05 | 4,58 | 8,44 | 12,02 | 15,39 | 18,57 | 21,59 | 24,44 | 27,13 | 29,64 | 31,98 | 34,13 | ||
1,20 | 4,67 | 8,64 | 12,31 | 15,78 | 19,06 | 22,18 | 25,13 | 27,91 | 30,52 | 32,96 | 35,20 | ||
1,50 | 4,76 | 8,82 | 12,59 | 16,15 | 19,52 | 22,73 | 25,77 | 28,64 | 31,35 | 33,87 | 36,21 | ||
>= 3,00 | 4,85 | 8,98 | 12,83 | 16,47 | 19,92 | 23,21 | 26,33 | 29,29 | 32,07 | 34,68 | 37,10 | ||
630,0 | 1,00 | 5,29 | 9,78 | 13,94 | 17,84 | 21,53 | 25,01 | 28,27 | 31,32 | 34,15 | 36,73 | 39,07 | |
1,05 | 5,34 | 9,88 | 14,08 | 18,04 | 21,77 | 25,30 | 28,61 | 31,71 | 34,58 | 37,21 | 39,60 | ||
1,20 | 5,44 | 10,08 | 14,38 | 18,44 | 22,27 | 25,90 | 29,32 | 32,51 | 35,49 | 38,22 | 40,71 | ||
1,50 | 5,54 | 10,28 | 14,68 | 18,84 | 22,77 | 26,50 | 30,01 | 33,31 | 36,38 | 39,22 | 41,80 | ||
>= 3,00 | 5,64 | 10,47 | 14,97 | 19,23 | 23,26 | 27,08 | 30,69 | 34,09 | 37,26 | 40,19 | 42,88 | ||
710,0 | 1,00 | 6,15 | 11,40 | 16,26 | 20,81 | 25,10 | 29,12 | 32,87 | 36,33 | 39,50 | 42,34 | 44,84 | |
1,05 | 6,20 | 11,49 | 16,40 | 21,01 | 25,34 | 29,41 | 33,21 | 36,72 | 39,93 | 42,82 | 45,37 | ||
1,20 | 6,30 | 11,70 | 16,71 | 21,42 | 25,86 | 30,03 | 33,93 | 37,55 | 40,86 | 43,85 | 46,51 | ||
1,50 | 6,41 | 11,92 | 17,03 | 21,85 | 26,40 | 30,68 | 34,68 | 38,41 | 41,83 | 44,93 | 47,68 | ||
>= 3,00 | 6,53 | 12,15 | 17,38 | 22,31 | 26,97 | 31,37 | 35,49 | 39,33 | 42,86 | 46,08 | 48,95 | ||
v, м/с | 5 | 10 | 15 | ||||||||||
d1, мм | i | P0, кВт, при частоте вращения меньшего шкива, мин-1 | |||||||||||
50,0 | 100,0 | 150,0 | 200,0 | 250,0 | 300,0 | 350,0 | 400,0 | 450,0 | 500,0 | 550,0 | |||
800,0 | 1,00 | 7,11 | 13,20 | 18,83 | 24,09 | 29,02 | 33,60 | 37,83 | 41,68 | 45,12 | 48,12 | 50,65 | |
1,05 | 7,16 | 13,29 | 18,97 | 24,29 | 29,26 | 33,90 | 38,17 | 42,07 | 45,55 | 48,60 | 51,19 | ||
1,20 | 7,27 | 13,51 | 19,29 | 24,71 | 29,79 | 34,53 | 38,91 | 42,91 | 46,51 | 49,66 | 52,35 | ||
1,50 | 7,38 | 13,73 | 19,63 | 25,17 | 30,36 | 35,22 | 39,71 | 43,83 | 47,53 | 50,81 | 53,61 | ||
>= 3,00 | 7,52 | 14,00 | 20,03 | 25,70 | 31,03 | 36,02 | 40,65 | 44,90 | 48,74 | 52,14 | 55,08 | ||
900,0 | 1,00 | 8,17 | 15,17 | 21,63 | 27,65 | 33,25 | 38,39 | 43,07 | 47,23 | 50,84 | 53,85 | 56,21 | |
1,05 | 8,22 | 15,27 | 21,78 | 27,85 | 33,49 | 38,68 | 43,41 | 47,62 | 51,28 | 54,34 | 56,75 | ||
1,20 | 8,33 | 15,48 | 22,10 | 28,28 | 34,03 | 39,33 | 44,16 | 48,48 | 52,25 | 55,42 | 57,94 | ||
1,50 | 8,45 | 15,72 | 22,46 | 28,76 | 34,63 | 40,06 | 45,01 | 49,45 | 53,33 | 56,62 | 59,26 | ||
>= 3,00 | 8,60 | 16,03 | 22,92 | 29,37 | 35,39 | 40,96 | 46,07 | 50,66 | 54,70 | 58,14 | 60,93 | ||
1000,0 и более | 1,00 | 9,22 | 17,11 | 24,39 | 13,13 | 37,33 | 42,97 | 47,99 | 52,34 | 55,96 | 58,78 | 60,74 | |
1,05 | 9,26 | 17,21 | 24,54 | 31,33 | 37,58 | 43,26 | 48,33 | 52,73 | 56,40 | 59,27 | 61,27 | ||
1,20 | 9,37 | 17,43 | 24,87 | 31,76 | 38,13 | 43,92 | 49,10 | 53,61 | 57,39 | 60,37 | 62,48 | ||
1,50 | 9,50 | 17,68 | 25,24 | 32,27 | 38,76 | 44,68 | 49,98 | 54,62 | 58,52 | 61,62 | 63,86 | ||
>= 3,00 | 9,67 | 18,02 | 25,74 | 32,94 | 39,59 | 45,68 | 51,15 | 55,95 | 60,02 | 63,29 | 65,70 | ||
v, м/с | 5 | 10 | 15 | 20 | 25 | ||||||||
d1, мм | i | P0, кВт, при частоте вращения меньшего шкива, мин-1 | |||||||||||
600,0 | 650,0 | 700,0 | 750,0 | 800,0 | 850,0 | 900,0 | 950,0 | 1000,0 | 1050,0 | 1100,0 | |||
500,0 | 1,00 | 30,31 | 31,84 | 33,22 | 34,42 | 35,46 | 36,31 | 36,96 | 37,42 | 37,67 | 37,71 | 37,52 | |
1,05 | 30,88 | 32,46 | 33,88 | 35,14 | 36,22 | 37,11 | 37,82 | 38,32 | 38,62 | 38,71 | 38,56 | ||
1,20 | 32,01 | 33,69 | 35,21 | 36,56 | 37,73 | 38,72 | 39,52 | 40,12 | 40,52 | 40,69 | 40,65 | ||
1,50 | 33,01 | 34,78 | 36,38 | 37,81 | 39,07 | 40,14 | 41,03 | 41,71 | 42,19 | 42,45 | 42,48 | ||
>= 3,00 | 33,80 | 35,63 | 37,29 | 38,79 | 40,11 | 41,25 | 42,20 | 42,95 | 43,50 | 43,82 | 43,92 | ||
560,0 | 1,00 | 35,51 | 37,21 | 38,69 | 39,95 | 40,97 | 41,74 | 42,25 | 42,49 | 42,44 | 42,10 | ||
1,05 | 36,08 | 37,83 | 39,36 | 40,67 | 41,73 | 42,55 | 43,11 | 43,40 | 43,40 | 43,10 | |||
1,20 | 37,25 | 39,10 | 40,73 | 42,13 | 43,30 | 44,22 | 44,87 | 45,26 | 45,36 | 45,16 | |||
1,50 | 38,35 | 40,29 | 42,01 | 43,51 | 44,77 | 45,78 | 46,52 | 47,00 | 47,19 | 47,08 | |||
>= 3,00 | 39,32 | 41,34 | 43,14 | 44,72 | 46,06 | 47,15 | 47,97 | 48,53 | 48,80 | 48,77 | |||
630,0 | 1,00 | 41,14 | 42,93 | 44,43 | 45,62 | 46,47 | 46,99 | 47,14 | 46,90 | ||||
1,05 | 41,72 | 43,56 | 45,10 | 46,34 | 47,24 | 47,80 | 48,00 | 47,82 | |||||
1,20 | 42,93 | 44,87 | 46,52 | 47,85 | 48,86 | 49,52 | 49,82 | 49,73 | |||||
1,50 | 44,12 | 46,16 | 47,91 | 49,34 | 50,45 | 51,21 | 51,61 | 51,62 | |||||
3,00 | 45,29 | 47,43 | 49,27 | 50,81 | 52,01 | 52,87 | 53,36 | 53,48 | |||||
v, м/с | |||||||||||||
d1, мм | i | P0, кВт, при частоте вращения меньшего шкива, мин-1 | |||||||||||
600,0 | 650,0 | 700,0 | 750,0 | 800,0 | 850,0 | 900,0 | 950,0 | 1000,0 | 1050,0 | 1100,0 | |||
710,0 | |||||||||||||
1,00 | 46,97 | 48,72 | 50,07 | 50,97 | 51,42 | 51,39 | |||||||
1,05 | 47,55 | 49,35 | 50,74 | 51,70 | 52,20 | 52,21 | |||||||
1,20 | 48,80 | 50,70 | 52,19 | 53,25 | 53,85 | 53,97 | |||||||
1,50 | 50,08 | 52,09 | 53,69 | 54,86 | 55,57 | 55,79 | |||||||
>= 3,00 | 51,47 | 53,59 | 55,31 | 56,59 | 57,41 | 57,75 | |||||||
800,0 | 1,00 | 52,69 | 54,18 | 55,11 | 55,43 | ||||||||
1,05 | 53,27 | 54,81 | 55,79 | 56,15 | |||||||||
1,20 | 54,54 | 56,19 | 57,27 | 57,74 | |||||||||
1,50 | 55,91 | 57,67 | 58,87 | 59,46 | |||||||||
>= 3,00 | 57,51 | 59,41 | 60,74 | 61,46 | |||||||||
900,0 | 1,00 | 57,89 | 58,81 | ||||||||||
1,05 | 58,47 | 59,44 | |||||||||||
1,20 | 59,77 | 60,85 | |||||||||||
1,50 | 61,21 | 62,41 | |||||||||||
>= 3,00 | 63,03 | 64,38 | |||||||||||
v, м/с | 30 | ||||||||||||
Угол обхвата | 220 | 210 | 200 | 190 | 180 | 170 | 160 | 150 | 140 | 130 | 120 | 110 |
1,08 | 1,06 | 1,04 | 1,02 | 1,00 | 0,98 | 0,95 | 0,92 | 0,89 | 0,86 | 0,82 | 0,78 |
Угол обхвата | 100 | 90 |
0,74 | 0,69 |
Расчетная длина ремня, Lр мм | CL для ремней сечением | |||||||
Z(О) | A | B(Б) | C(В) | D(Г) | E(Д) | EO(Е) | 40 x 20 | |
400 | 0,49 | - | - | - | - | - | - | - |
425 | 0,51 | |||||||
450 | 0,53 | |||||||
475 | 0,56 | |||||||
500 | 0,58 | |||||||
530 | 0,61 | |||||||
560 | 0,63 | 0,71 | ||||||
600 | 0,66 | 0,72 | ||||||
630 | 0,68 | 0,74 | ||||||
670 | 0,71 | 0,75 | ||||||
710 | 0,73 | 0,77 | ||||||
750 | 0,76 | 0,78 | ||||||
800 | 0,78 | 0,80 | ||||||
850 | 0,81 | 0,82 | ||||||
900 | 0,84 | 0,83 | 0,80 | |||||
950 | 0,86 | 0,85 | 0,81 | |||||
1000 | 0,88 | 0,86 | 0,82 | |||||
1060 | 0,91 | 0,87 | 0,84 | |||||
1120 | 0,93 | 0,89 | 0,85 | |||||
1180 | 0,95 | 0,90 | 0,86 | |||||
1250 | 0,98 | 0,92 | 0,87 | |||||
1320 | 1,00 | 0,93 | 0,89 | |||||
1400 | 1,03 | 0,95 | 0,90 | |||||
1500 | 1,05 | 0,97 | 0,91 | |||||
1600 | 1,08 | 0,98 | 0,93 | |||||
1700 | 1,11 | 1,00 | 0,94 | |||||
1800 | 1,13 | 1,02 | 0,95 | 0,85 | ||||
1900 | 1,16 | 1,03 | 0,96 | 0,86 | ||||
2000 | 1,18 | 1,04 | 0,98 | 0,87 | ||||
2120 | 1,20 | 1,06 | 0,99 | 0,89 | ||||
2240 | 1,23 | 1,07 | 1,00 | 0,90 | ||||
2360 | 1,25 | 1,09 | 1,01 | 0,91 | ||||
2500 | 1,27 | 1,10 | 1,02 | 0,92 | ||||
2650 | - | 1,12 | 1,04 | 0,93 | ||||
2800 | 1,13 | 1,05 | 0,94 | |||||
3000 | 1,15 | 1,06 | 0,96 | |||||
3150 | 1,16 | 1,07 | 0,97 | 0,89 | ||||
3350 | 1,18 | 1,08 | 0,98 | 0,80 | ||||
3550 | 1,20 | 1,10 | 0,99 | 0,91 | ||||
3750 | 1,21 | 1,11 | 1,00 | 0,92 | ||||
4000 | 1,23 | 1,13 | 1,01 | 0,93 | ||||
4250 | - | 1,14 | 1,03 | 0,94 | ||||
4500 | 1,15 | 1,04 | 0,95 | |||||
4750 | 1,16 | 1,05 | 0,96 | 0,94 | ||||
5000 | 1,17 | 1,06 | 0,97 | 0,95 | ||||
5300 | 1,19 | 1,07 | 0,98 | 0,96 | 0,94 | |||
5600 | 1,20 | 1,08 | 0,99 | 0,96 | 0,95 | |||
6000 | 1,21 | 1,09 | 1,00 | 0,97 | 0,96 | |||
6300 | 1,22 | 1,10 | 1,01 | 0,98 | 0,92 | 0,97 | ||
6700 | - | 1,12 | 1,02 | 0,99 | 0,94 | 0,98 | ||
7100 | 1,13 | 1,03 | 1,00 | 0,96 | 0,98 | |||
7500 | 1,14 | 1,04 | 1,01 | 0,97 | 0,99 | |||
8000 | 1,15 | 1,05 | 1,02 | 0,98 | 1,00 | |||
8500 | 1,16 | 1,06 | 1,03 | 1,00 | 1,01 | |||
9000 | 1,17 | 1,07 | 1,04 | 1,01 | 1,02 | |||
9500 | 1,19 | 1,08 | 1,04 | 1,02 | 1,02 | |||
10000 | 1,20 | 1,09 | 1,05 | 1,03 | 1,03 | |||
10600 | 1,21 | 1,10 | 1,06 | 1,04 | 1,04 | |||
11200 | - | 1,11 | 1,07 | 1,06 | 1,05 | |||
11800 | 1,12 | 1,08 | 1,07 | 1,05 | ||||
12500 | 1,13 | 1,09 | 1,08 | 1,06 | ||||
13200 | 1,14 | 1,09 | 1,09 | 1,07 | ||||
14000 | 1,15 | 1,10 | 1,10 | 1,08 | ||||
15000 | 1,16 | 1,11 | 1,11 | 1,09 | ||||
16000 | - | 1,12 | 1,12 | 1,10 | ||||
17000 | 1,13 | 1,14 | 1,11 | |||||
18000 | 1,14 | 1,16 | 1,11 | |||||
Число ремней в передаче | CK |
2 | 0,80 - 0,85 |
3 | 0,77 - 0,82 |
4 | 0,76 - 0,80 |
5 - 6 | 0,75 - 0,79 |
Св. 6 | 0,75 |

. (17)
; (18)Сечение ремня | C0, H для класса | |
I, II | III, IV | |
Z(О) | 5 | 10 |
A | 5 | 10 |
B(Б) | 10 | 20 |
C(В) | 15 | 30 |
D(Г) | 35 | 40 |
E(Д) | 50 | 55 |
EO(Е) | 80 | 90 |
40 x 20 | 45 | 50 |