Главная // Актуальные документы // ГОСТ (Государственный стандарт)СПРАВКА
Источник публикации
М.: Стандартинформ, 2014
Примечание к документу
Документ
введен в действие с 1 января 2013 года.
Название документа
"ГОСТ ISO 9801-2011. Межгосударственный стандарт. Наборы пробных очковых линз. Технические требования и методы испытаний"
(введен в действие Приказом Росстандарта от 13.12.2011 N 1270-ст)
"ГОСТ ISO 9801-2011. Межгосударственный стандарт. Наборы пробных очковых линз. Технические требования и методы испытаний"
(введен в действие Приказом Росстандарта от 13.12.2011 N 1270-ст)
по техническому регулированию
и метрологии
от 13 декабря 2011 г. N 1270-ст
МЕЖГОСУДАРСТВЕННЫЙ СТАНДАРТ
НАБОРЫ ПРОБНЫХ ОЧКОВЫХ ЛИНЗ
ТЕХНИЧЕСКИЕ ТРЕБОВАНИЯ И МЕТОДЫ ИСПЫТАНИЙ
Trial case lenses. Technical requirement and test methods
(ISO 9801:1997, IDT)
ГОСТ ISO 9801-2011
Дата введения
1 января 2013 года
Цели, основные принципы и основной порядок проведения работ по межгосударственной стандартизации установлены
ГОСТ 1.0-92 "Межгосударственная система стандартизации. Основные положения" и
ГОСТ 1.2-2009 "Межгосударственная система стандартизации. Стандарты межгосударственные, правила и рекомендации по межгосударственной стандартизации. Правила разработки, принятия, применения, обновления и отмены".
1. Подготовлен Федеральным государственным унитарным предприятием "Всероссийский научно-исследовательский институт стандартизации и сертификации в машиностроении" (ВНИИНМАШ).
2. Внесен Федеральным агентством по техническому регулированию и метрологии (Росстандарт).
3. Принят Межгосударственным советом по стандартизации, метрологии и сертификации (Протокол от 29 ноября 2011 г. N 40).
За принятие проголосовали:
Краткое наименование страны по МК (ИСО 3166) 004-97 | Код страны по МК (ИСО 3166) 004-97 | Сокращенное наименование национального органа по стандартизации |
Республика Беларусь | BY | Госстандарт Республики Беларусь |
Республика Казахстан | KZ | Госстандарт Республики Казахстан |
Киргизия | KG | Кыргызстандарт |
Россия | RU | Росстандарт |
Республика Таджикистан | TJ | Таджикстандарт |
Республика Узбекистан | UZ | Узстандарт |
4.
Приказом Федерального агентства по техническому регулированию и метрологии от 13 декабря 2011 г. N 1270-ст межгосударственный стандарт ГОСТ ISO 9801-2011 введен в действие в качестве национального стандарта Российской Федерации с 1 января 2013 г.
5. Настоящий стандарт идентичен международному стандарту ISO 9801:1997 Ophthalmic instruments - Trial case lenses (Наборы пробных очковых линз).
Сведения о соответствии межгосударственных стандартов ссылочным международным стандартам приведены в дополнительном
Приложении ДА.
Степень соответствия - идентичная (IDT).
6. Введен впервые.
Информация об изменениях к настоящему стандарту публикуется в ежегодном информационном указателе "Национальные стандарты", а текст изменений и поправок - в ежемесячном информационном указателе "Национальные стандарты". В случае пересмотра (замены) или отмены настоящего стандарта соответствующее уведомление будет опубликовано в ежемесячном информационном указателе "Национальные стандарты". Соответствующая информация, уведомление и тексты размещаются также в информационной системе общего пользования - на официальном сайте Федерального агентства по техническому регулированию и метрологии в сети Интернет.
Настоящий стандарт устанавливает технические требования к офтальмологическим наборам пробных очковых линз в оправе полной и/или уменьшенной апертуры, предназначенным для определения ошибки рефракции глаза, и требования к методам их испытаний.
При различиях в настоящем стандарте и международном стандарте ISO 15004 приоритет имеет настоящий стандарт.
В настоящем стандарте использованы ссылки на следующие международные стандарты:
ISO 7944
<1> Optics and optical instruments - Reference wavelengths (Оптика и оптические приборы. Эталонные значения длин волн)
ISO 13666
<1> Ophthalmic optics - Spectacle lenses - Vocabulary (Оптика офтальмологическая. Очковые линзы. Словарь)
ISO 15004 <1> Ophthalmic instruments - Fundamental requirements and test methods (Приборы офтальмологические. Основополагающие требования и методы испытаний).
--------------------------------
<1> Недатированная ссылка. Необходимо использовать последнюю версию издания.
В настоящем стандарте применены термины с соответствующими определениями, приведенные в ISO 13666:
3.1. Набор пробных очковых линз (trial case lens): линзы в оправе, используемые для оценки ошибки рефракции глаза человека.
3.2. Набор пробных очковых линз полной апертуры (full-aperture trial case lens): набор пробных очковых линз в защитной оправе, имеющей максимальную толщину, стенки которой около 1 мм, и позволяющей получать максимально возможную открытую апертуру линзы.
3.3. Набор пробных очковых линз уменьшенной апертуры (reduced-aperture trial case lens): набор пробных очковых линз с обозначенной открытой апертурой, которая значительно меньше наружного диаметра оправы, что позволяет уменьшить толщину линзы.
3.4. Скиаскопическая линейка (additive power trial case lens set): линейка из комбинаций сферических, цилиндрических или сфероцилиндрических пробных очковых линз, в которой измеренная задняя вершинная рефракция от последней поверхности равна сумме значений, маркированных на пробных линзах линейки и линзы на бегунке, когда они совмещены (см. ISO 12867
[1]).
3.5. Оптическая сила линзы (lens power):
(1) (сферическая (стигматическая) линза): задняя вершинная рефракция, выраженная в диоптриях.
(2) (цилиндрическая (астигматическая) линза): задняя вершинная рефракция в главном меридиональном сечении, в котором она не равна нулю, выраженная в диоптриях.
Примечание. Цилиндрические пробные очковые линзы имеют в одном главном меридиональном сечении рефракцию, равную нулю.
3.6. Призматическая сила (prismatic power):
(призматическая линза, призма): призматическое действие, определяемое как величина смещения в сантиметрах светового луча на экране, расположенном перпендикулярно к падающему лучу на расстоянии 1 м от линзы.
Примечания:
1. Призматическую силу выражают в призматических диоптриях (пр. дптр).
2. Основание призмы обозначают линией или треугольником на оправе (см.
раздел 6). Положение основания призмы обозначают согласно ISO 8429
[2].
4.1. Общие требования
Наборы пробных очковых линз должны соответствовать требованиям ISO 15004. Соответствие требованиям 4.2 -
4.4 должно быть проверено согласно
разделу 5.
4.2. Требования к оптическим элементам
Наборы пробных очковых линз должны соответствовать требованиям, указанным в таблицах 1 -
6. Соответствие этим требованиям должно быть проверено согласно
5.1.
Таблица 1
Предельные отклонения параметров линз с рефракцией,
равной нулю
Номинальное значение рефракции | Предельное отклонение |
среднего значения рефракции  | астигматической разности рефракций  | призматического действия, пр. дптр. |
0 | +/- 0,03 | 0,03 | 0,06 |
Примечание.  и  - значения задней вершинной рефракции в главных меридиональных сечениях. |
Таблица 2
Предельные отклонения параметров сферических пробных
очковых линз
Номинальное абсолютное значение сферической рефракции, дптр. | Предельное отклонение |
среднего значения рефракции  | астигматической разности рефракций  |
0,12 | +/- 0,03 | 0,03 |
Св. 0,12 до 6,00 | +/- 0,06 | 0,03 |
Св. 6,00 до 12,00 | +/- 0,09 | 0,03 |
Св. 12,00 | +/- 0,12 | 0,03 |
Примечание.  и  - значения вершинной рефракции в главных меридиональных сечениях. |
Таблица 3
Предельные отклонения параметров цилиндрических пробных
очковых линз
Номинальное значение цилиндрической рефракции, дптр. | Предельное отклонение, дптр. |
0,12 | +/- 0,03 |
Св. 0,12 до 1,00 | +/- 0,06 |
Св. 1,00 до 4,00 | +/- 0,09 |
Св. 4,00 до 6,00 | +/- 0,12 |
Св. 6,00 | +/- 0,18 |
Таблица 4
Предельные отклонения параметров призматических линз
Призматическое действие, пр. дптр. | Предельное отклонение, дптр. |
Номинальное значение | Предельное отклонение | Сферической рефракции | Цилиндрической рефракции |
До 6 | +/- 0,12 | +/- 0,03 | 0,03 |
Св. 6 | +/- 0,25 | +/- 0,03 | 0,03 |
Таблица 5
Номинальное значение оптической силы линзы, дптр. | Допустимое значение призматического действия, возникающего из-за децентрации, пр. дптр. |
От 0,12 до 2,00 | +/- 0,12 |
Св. 2,00 до 5,00 | +/- 0,25 |
Св. 5,00 до 8,00 | +/- 0,38 |
Св. 8,00 до 12,00 | +/- 0,50 |
Св. 12,00 | +/- 0,75 |
Таблица 6
Допуск на нанесение меток осей цилиндра и основание призмы
Цилиндрические линзы | Номинальное значение цилиндрической рефракции, дптр. | Предельное отклонение |
До 0,25 | +/- 3° |
Св. 0,25 до 0,50 | +/- 2° |
Св. 0,50 | +/- 1° |
Призматические линзы | Номинальное значение призматического действия, пр. дптр. | Предельное отклонение |
До 0,5 | +/- 7° |
Св. 0,5 до 1,0 | +/- 4° |
Св. 1,0 до 2,0 | +/- 2° |
Св. 2,0 до 10,0 | +/- 1,5° |
Св. 10,0 | +/- 1° |
Значения рефракции, приведенные в
таблицах 1 -
4, должны быть определены при длине волны

или

согласно ISO 7944.
При использовании других длин волн требуется указать значение основной длины волны.
Требования для линз с рефракцией, равной нулю (плоские линзы), приведены в
таблице 1.
Требования для сферических линз приведены в
таблице 2.
Требования для цилиндрических линз следующие:
- предельные отклонения параметров в главном меридиональном сечении нулевого действия - не более +/- 0,03 дптр. и 0,12 пр. дптр.;
- предельные отклонения параметров в главном меридиональном сечении линзы с цилиндрической рефракцией - в соответствии с
таблицей 3.
Требования для призматических линз приведены в
таблице 4.
Допуск на оптическую децентрацию сферических и цилиндрических пробных очковых линз - в соответствии с
таблицей 5.
Значения показателей точности ориентации осей цилиндра или основания призмы относительно соответствующих меток (см.
раздел 6) приведены в
таблице 6.
4.3. Конструктивные требования
Требования, приведенные в настоящем подразделе, распространяются на конструкцию оправ и пробных очковых линз.
Пробные очковые линзы, входящие в наборы, должны быть закреплены в оправы с закругленными краями, с радиусом кривизны не более 1,4 мм.
Наружный диаметр пробной очковой линзы в оправе должен быть равен

.
Максимальная толщина линзы, включая толщину оправы, не должна превышать 2,8 мм.
Примечания
1. Для пробных очковых линз с полной и уменьшенной апертурами наружные диаметры оправ равны.
2. Наборы пробных очковых линз предназначены для установки в пробную оправу для подбора очков с толщиной линзы 3 мм согласно ISO 12867
[1]. Линзы полной апертуры, рефракция которых превышает +/- 5,00 дптр., могут иметь большую толщину.
Призматические линзы полной и уменьшенной апертуры, рефракция которых превышает 3,0 пр. дптр., могут иметь большую толщину со стороны, ближайшей к объекту.
Для пробных очковых линз с номинальным значением рефракции не более 12,00 дптр. диаметр апертуры должен быть не более 18 мм.
Для пробных очковых линз с номинальным значением рефракции свыше 12,00 дптр. диаметр апертуры должен быть не более 16 мм.
Примечание. Диаметр апертуры 16 мм применим для большинства случаев. Больший диаметр используют реже.
4.3.3. Призматические линзы
Призматические линзы должны быть установлены так, чтобы поверхность, ближайшая к глазу, была параллельна плоскости оправы.
Значение призматической рефракции, маркированной на оправе, должно соответствовать величине отклонения светового луча, падающего перпендикулярно к поверхности линзы, ближайшей к глазу.
Примечание. Это значение соответствует результату измерений на диоптриметре.
4.3.4. Конструкция оправы
Оправа не должна содержать поверхностей с острыми краями или углами, которые могли бы поранить пациента или врача при эксплуатации.
Маркировка должна быть нанесена на оправе согласно
разделу 6.
4.4. Требования к качеству материала и обработке поверхности
4.4.1. Линза не должна содержать пузырей, пятен, царапин и прочих дефектов поверхности, видимых невооруженным глазом.
Эти требования относятся ко всей рабочей поверхности линзы.
4.4.2. Материалы, используемые для изготовления оправ, должны иметь некоррозийный состав, и, соответственно, обработанная поверхность должна быть коррозионно-стойкой для применения в клинических атмосферных условиях.
Все испытания, описанные в настоящем стандарте, являются методами поверки.
5.1. Проверка требований к оптическим элементам
Соответствие требованиям
4.2 должно быть проверено с помощью средства поверки, погрешность измерений которого не превышает 0,01 дптр. или 20% заданного предела отклонения значения вершинной рефракции и 0,5° для ориентации осей цилиндра и установки основания призмы.
Измерения должны быть выполнены в центре апертуры рабочей поверхности пробной очковой линзы.
Результаты поверки должны быть оценены согласно общим правилам статистики.
5.2. Проверка качества материала и поверхности
Качество материала и поверхности проверяют наблюдением границы света и тени через пробную очковую линзу.
Примечание. Соответствующая схема измерений приведена в
Приложении B.
5.3. Проверка конструктивных требований
Соответствие требованиям
4.3.1 и
4.3.2 должно быть проверено средством поверки, неопределенность результата измерений которого не превышает 0,05 мм.
Соответствие требованиям
4.3.3 и
4.3.4 должно быть проверено визуально.
Номинальное значение вершинной рефракции или призматического действия должно быть нанесено на оправе пробной очковой линзы.
На цилиндрических и призматических линзах должна быть маркирована ориентация осей цилиндра или основания призмы соответственно на оправе или на линзе.
Если линза может проворачиваться в оправе, то соответствующие метки для оси цилиндра или основания призмы должны быть нанесены на линзе.
Тип линзы должен быть обозначен цветом оправы и/или цветом опознавательного знака или с помощью символа согласно таблице 7.
Таблица 7
Опознавательные знаки линзы
Тип линзы | Обозначение | Цвет оправы или опознавательного знака |
Сферическая и цилиндрическая линзы | Значение рефракции | |
Положительная | + | Черный |
| - | Красный |
Призматическая | | Белый |
Цилиндры Меддокса | MR | |
Щелевые диафрагмы | I или SS | |
Диски с точечной диафрагмой |  или PH | Белый или черный |
Непрозрачный экран (окклюдер) |  или BL | |
Матовая линза | FL | |
Перекрестье |  или CL | |
Красный светофильтр | RF | |
Зеленый светофильтр | GF | |
Поляризационный светофильтр | PF | |
<1> В случае пересечения цилиндров оси отрицательного цилиндра должны быть маркированы красным цветом. |
|
Примечания |
1. Цвет совместно с номинальными значениями определяет тип линзы: сферическая, цилиндрическая и призматическая рефракция может быть определена по маркировке линзы. |
2. Дополнительные принадлежности могут быть маркированы аналогичным образом. |
7. ИНФОРМАЦИЯ ИЗГОТОВИТЕЛЯ
7.1. Сопроводительные документы
Наборы пробных очковых линз сопровождают документами, содержащими руководство по эксплуатации и правила безопасной эксплуатации. В частности, должна быть приведена следующая информация:
a) наименование и адрес изготовителя;
b) инструкции для дезинфекции пробных очковых линз;
c) если набор пробных очковых линз заявлен как дополнительный тип, должно быть приложено руководство по эксплуатации;
d) если заявлено соответствие, то должно быть приложено заключение, что набор пробных очковых линз в оригинальной упаковке соответствует условиям транспортировки, приведенным в ISO 15004, пункт 5.3.
7.2. Идентификация набора пробных очковых линз
На футляр набора пробных очковых линз должна быть нанесена следующая информация:
a) наименование и адрес изготовителя или поставщика;
b) наименование и модель набора пробных очковых линз;
c) если требуется, рабочая длина волны (см.
4.2);
d) ссылка на настоящий стандарт, если изготовитель или поставщик заявляет о соответствии настоящему стандарту.
(рекомендуемое)
ПРИМЕР СРЕДСТВА ПОВЕРКИ НАБОРА ПРОБНЫХ ОЧКОВЫХ ЛИНЗ
A.1. Определение сферической и цилиндрической рефракции
Для проверки предельных отклонений рефракции сферических и цилиндрических пробных очковых линз согласно
5.1 настоящего стандарта необходимо, чтобы неопределенность результатов измерений средства поверки не превышала 20% заданного предела отклонения значения вершинной рефракции оптических элементов. Упрощенная схема проверки параметров сферических и цилиндрических линз показана на
рисунке A.1. Промышленные линзметры или диоптриметры (см. ISO 8598
[3]) не удовлетворяют этому требованию.
1 - окуляр; 2 - светоделитель; 3 - автоколлимационный телескоп; 4, 7 - линзы; 5 - диафрагма; 6 - фокальная плоскость; 8 - вогнутое зеркало
Рисунок A.1. Установка для поверки пробной очковой линзы
На рисунке A.1 показан ход лучей в случае, когда рефракция пробной очковой линзы равна нулю. Линзы 4 и 7 - высококачественные объективы. Объектив 4 и окуляр 1 образуют автоколлиматор с минимальным увеличением

. Диафрагма ограничивает диаметр пучка лучей до 7 мм. Линза 4 этого автоколлимационного телескопа формирует изображение

объекта y в бесконечности. Пробную очковую линзу устанавливают в схему поверки так, чтобы ее главная плоскость совпала с передним фокусом линзы 7 и обе оптические оси совпали. Передняя поверхность пробной очковой линзы обращена к автоколлимационному телескопу.
Так как в этом примере линза имеет рефракцию, равную нулю, она строит изображения

в бесконечности. Линза 7 формирует другое изображение

в задней фокальной плоскости. Это действительное изображение совпадает с действительным изображением

, сформированным вогнутым зеркалом 8, которое может передвигаться вдоль оптической оси схемы поверки и положение которого измеряют с высокой точностью. Изображения совпадают в центре кривизны См зеркала 8, совпадение изображений достигается перемещением z зеркала. Лучи отражаются назад по их первоначальному направлению, формируя изображение

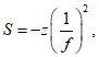
на окулярной шкале, рассматриваемой через окуляр 1. Рефракцию пробной очковой линзы вычисляют по формуле
где 1/f - оптическая сила линзы 7.
Поскольку лучи проходят через пробную очковую линзу дважды (по одному разу в двух направлениях), точность измерений будет вдвое больше, чем у стандартного диоптриметра. Погрешность измерения рефракции линзы будет минимальной.
A.2. Призматическое действие очковой линзы и определение основания призмы
Измерение призматического действия очковой линзы и определение основания призмы выполняют с помощью лазерного луча, прошедшего через линзу. Направление луча должно быть определено, как описано в настоящем стандарте.
(рекомендуемое)
ПРИМЕР СРЕДСТВА И МЕТОДА ПРОВЕРКИ КАЧЕСТВА
МАТЕРИАЛА И ПОВЕРХНОСТИ
1 - матовый черный экран (150 x 360 мм); 2 - люминесцентная лампа минимальной мощностью 15 Вт (350 лк); 3 - диафрагма; 4 - подвижная пробная очковая линза; 5 - плоскость расположения глаза наблюдателя; а) - юстируемая непрозрачная маска
Рисунок B.1. Система визуальной оценки дефектов линзы
Исследуют границу света и тени без увеличительной оптики и при освещении приблизительно в 200 лк.
Примечание. Такая оценка является субъективной и требует некоторого опыта.
(справочное)
СВЕДЕНИЯ О СООТВЕТСТВИИ МЕЖГОСУДАРСТВЕННЫХ СТАНДАРТОВ
ССЫЛОЧНЫМ МЕЖДУНАРОДНЫМ СТАНДАРТАМ
Таблица ДА.1
Обозначение и наименование международного стандарта | Степень соответствия | Обозначение и наименование межгосударственного стандарта |
ISO 7944 Оптика и оптические приборы. Эталонные значения длин волн | - | |
ISO 13666 Оптика офтальмологическая. Очковые линзы. Словарь | - | |
ISO 15004 Приборы офтальмологические. Основополагающие требования и методы испытаний | - | |
<*> Соответствующий межгосударственный стандарт отсутствует. До его утверждения рекомендуется использовать перевод на русский язык данного международного стандарта. Перевод данного международного стандарта находится в Федеральном информационном фонде технических регламентов и стандартов. |
| Инструменты офтальмологические. Оправ для подбора очков |
| Оптика и оптические приборы. Офтальмология. Градуированная шкала циферблатного типа |
| Оптика и оптические приборы - Фокометры |
--------------------------------
<1> Недатированная ссылка. Необходимо использовать последнюю версию издания.