Главная // Актуальные документы // ГОСТ (Государственный стандарт)СПРАВКА
Источник публикации
М.: Стандартинформ, 2013
Примечание к документу
Документ
введен в действие с 1 июля 2012 года.
Название документа
"ГОСТ ISO 6330-2011. Межгосударственный стандарт. Материалы текстильные. Методы домашней стирки и сушки для испытаний"
(введен в действие Приказом Росстандарта от 14.12.2011 N 1544-ст)
"ГОСТ ISO 6330-2011. Межгосударственный стандарт. Материалы текстильные. Методы домашней стирки и сушки для испытаний"
(введен в действие Приказом Росстандарта от 14.12.2011 N 1544-ст)
по техническому регулированию
и метрологии
от 14 декабря 2011 г. N 1544-ст
МЕЖГОСУДАРСТВЕННЫЙ СТАНДАРТ
МАТЕРИАЛЫ ТЕКСТИЛЬНЫЕ
МЕТОДЫ ДОМАШНЕЙ СТИРКИ И СУШКИ ДЛЯ ИСПЫТАНИЙ
Textiles. Domestic washing and drying procedures
for textile testing
(ISO 6330:2000, IDT)
ГОСТ ISO 6330-2011
Дата введения
1 июля 2012 года
Цели, основные принципы и основной порядок проведения работ по межгосударственной стандартизации установлены
ГОСТ 1.0-92 "Межгосударственная система стандартизации. Основные положения" и
ГОСТ 1.2-2009 "Межгосударственная система стандартизации. Стандарты межгосударственные, правила и рекомендации по межгосударственной стандартизации. Правила разработки, принятия, применения, обновления и отмены"
1 ПОДГОТОВЛЕН Техническим комитетом по стандартизации ТК 412 "Текстиль", Открытым акционерным обществом "Всероссийский научно-исследовательский институт сертификации" (ОАО "ВНИИС") на основе аутентичного перевода стандарта, указанного в
пункте 5
2 ВНЕСЕН Федеральным агентством по техническому регулированию и метрологии
3 ПРИНЯТ Межгосударственным советом по стандартизации, метрологии и сертификации (протокол от 29 ноября 2011 г. N 40)
За принятие проголосовали:
Краткое наименование страны по МК (ИСО 3166) 004-97 | Код страны по МК (ИСО 3166) 004-97 | Сокращенное наименование национального органа по стандартизации |
Азербайджан | AZ | Азгосстандарт |
Армения | AM | Армгосстандарт |
Беларусь | BY | Госстандарт Республики Беларусь |
Грузия | GE | Грузстандарт |
Казахстан | KZ | Госстандарт Республики Казахстан |
Киргизия | KG | Кыргызстандарт |
Молдова | MD | Молдова-стандарт |
Российская Федерация | RU | Росстандарт |
Таджикистан | TJ | Таджикстандарт |
Туркменистан | TM | Главгосслужба "Туркменстандартлары" |
Узбекистан | UZ | Узгосстандарт |
Украина | UA | Минэкономразвития Украины |
4
Приказом Федерального агентства по техническому регулированию и метрологии от 14 декабря 2011 г. N 1544-ст межгосударственный стандарт ГОСТ ISO 6330-2011 введен в действие в качестве национального стандарта Российской Федерации с 1 июля 2012 г.
5 Настоящий стандарт идентичен международному стандарту ISO 6330:2000 Textiles. Domestic washing and drying procedures for textile testing (Текстиль. Методы домашней стирки и сушки, применяемые для испытаний текстиля).
Перевод с английского языка (en).
Степень соответствия - идентичная (IDT).
Наименование настоящего стандарта изменено относительно наименования международного стандарта в связи с особенностями построения межгосударственной системы стандартизации.
В
разделе "Нормативные ссылки" и тексте стандарта ссылки на международные стандарты актуализированы.
Сведения о соответствии межгосударственных стандартов ссылочным международным стандартам приведены в дополнительном
приложении ДА.
6 ВВЕДЕН ВПЕРВЫЕ
Информация об изменениях к настоящему стандарту публикуется в ежегодно издаваемом информационном указателе "Национальные стандарты", а текст изменений и поправок - в ежемесячно издаваемом информационном указателе "Национальные стандарты". В случае пересмотра (замены) или отмены настоящего стандарта соответствующее уведомление будет опубликовано в ежемесячно издаваемом информационном указателе "Национальные стандарты". Соответствующая информация, уведомление и тексты размещаются также в информационной системе общего пользования - на официальном сайте Федерального агентства по техническому регулированию и метрологии в сети Интернет
Настоящий стандарт устанавливает методы домашней стирки и сушки для испытаний текстильных изделий. Данные методы применимы для тканей, одежды и иных текстильных изделий, которые подвергаются надлежащей комбинации процедур домашней стирки и сушки.
Настоящий стандарт устанавливает:
a) десять методов стирки, основанных на использовании стиральной машины с фронтальной загрузкой и горизонтальным барабаном (стиральная машина типа A), или
b) одиннадцать методов, основанных на использовании стиральной машины активаторного типа с вертикальной загрузкой (стиральная машина типа B).
Результаты, полученные при использовании двух названных типов стиральных машин, могут быть несопоставимы.
Каждый метод стирки соответствует одной домашней стирке.
Настоящий международный стандарт также устанавливает пять методов сушки:
A - сушка на веревке (Line dry);
B - сушка без отжима (Drip dry);
C - сушка в расправленном виде (Flat dry);
D - сушка под прессом (Flat press);
E - сушка в сушильной машине с вращающимся барабаном (Tumble dry).
Полное испытание включает стирку и сушку.
В настоящем стандарте использованы ссылки на следующие международные стандарты:
ISO 3758:2005 Textiles - Care labelling code using symbols (Текстиль. Маркировочные обозначения на этикетках с правилами по уходу)
ISO 6059:1984 Water quality. Determination of the sum of calcium and magnesium. EDTA titrimetric method (Качество воды. Определение суммарного содержания кальция и магния комплексопометрическим методом)
3. Метод проведения испытаний
Образец подвергается стирке в автоматической стиральной машине и сушке в соответствии с заданными методами.
4.1 Эталонные моющие средства
4.1.1 Эталонное моющее средство Американской ассоциации текстильных химиков и колористов (AATCC) 1993 (без оптического отбеливателя).
Примечание - Эталонное моющее средство AATCC 1993 используется только в стиральных машинах с вертикальной загрузкой (тип B).
Номинальный состав данного эталонного моющего средства AATCC 1993 приведен в
приложении A.
4.1.2 Нефосфатное эталонное моющее средство A Европейской экономической комиссии (ECE) (без оптического отбеливателя).
Примечание - Нефосфатное эталонное моющее средство ECE A может быть использовано во всех видах стиральных машин.
Номинальный состав нефосфатного эталонного моющего средства ECE A приведен в
приложении B.
4.1.3 Нефосфатное эталонное моющее средство A Международной электротехнической комиссии (IEC) (с оптическим отбеливателем). Данное средство не может быть использовано в тех случаях, когда проводятся испытания по определению прочности окраски.
Примечание - Нефосфатное эталонное моющее средство A IEC может быть использовано во всех видах стиральных машин.
Номинальный состав данного эталонного моющего средства A IEC приведен в
Приложении B.
4.2 Вода, жесткость которой не превышает 0,002% (20 ppm), выраженная как карбонат кальция, при определении в соответствии с ISO 6059.
5.1 Автоматические стиральные машины, способные работать при следующих условиях.
5.1.1 Стиральные машины типа A с фронтальной загрузкой и горизонтальным барабаном.
Примечание - Соответствующие машины доступны для приобретения. Наименования таких машин можно получить в национальных организациях по стандартизации. Другие машины могут использоваться в том случае, если установлено, что они позволяют получить эквивалентные результаты.
a) Фронтальная загрузка, горизонтальный вращающийся барабан.
b) Диаметр внутреннего барабана: (51,5 +/- 0,5) см.
c) Глубина внутреннего барабана: (33,5 +/- 0,5) см.
d) Расстояние между внутренним и наружным барабанами: (2,8 +/- 0,1) см.
e) Три лопасти, каждая высотой (5 +/- 0,5) см, расположенные внутри барабана под углом 120°.
f) Режим вращения:
1) Обычное: (12 +/- 0,1) с по часовой стрелке, (3 +/- 0,1) с с остановкой, (12 +/- 0,1) с против часовой стрелки, (3 +/- 0,1) с остановкой.
2) Слабое: (3 +/- 0,1) с по часовой стрелке, (12 +/- 0,1) с с остановкой, (3 +/- 0,1) с против часовой стрелки, (12 +/- 0,1) с остановкой.
g) Частота вращения:
- во время стирки: 52 мин-1;
- во время отжима (центрифугирование): (500 +/- 20) мин-1.
h) Нормальная подача воды: (25 +/- 5) л/мин при (20 +/- 5) °C.
Примечание - В тропических странах указанную температуру следует считать минимальной. В случае, когда испытания проводятся при температуре воды, выходящей за названные пределы, температуру подаваемой воды следует указывать в протоколе испытаний.
i) Время заполнения: менее 2 мин при заполнении до уровня 13 см.
j) Время слива: менее 1 мин при сливе от уровня 13 см.
k) Нагрев: электрический, регулируемый с помощью термореле.
l) Мощность нагревательного прибора: 5,4 кВт при относительном отклонении +/- 2%.
5.1.2 Стиральные машины типа B активаторного типа с вертикальной загрузкой.
Примечание - Соответствующие машины доступны для приобретения. Наименования таких машин можно получить в национальных организациях по стандартизации. Другие машины могут использоваться в том случае, если установлено, что они позволяют получить эквивалентные результаты.
Приведенные условия соответствуют машинам, изготовленным в период с 1992 г. Для получения информации по техническим условиям для машин, изготовленных до 1992 г., необходимо обратиться в Секретариат ISO/TC 38/SC 2.
a) Машины имеют барабан с внутренней перфорированной корзиной диаметром (50 +/- 5) см и глубиной (30 +/- 5) см.
b) Примеры вариантов условий стирки указаны в таблице 1.
Таблица 1
Режим машины | Температура стирки |
1) Обычный/Прочный хлопок (Normal/Cotton sturdy) | II | (27 +/- 3) °C |
2) Мягкий (Delicate) | III | (41 +/- 3) °C |
3) Режим несминаемости (Durable press) | IV | (49 +/- 3) °C |
| V | (60 +/- 3) °C |
| VI | (70 +/- 3) °C |
Таблица 2
Примеры настроек машины без загрузки
Цикл | Обычный | Мягкий | Режим несминаемости |
Уровень воды | | | |
Скорость вращения | (2,983 +/- 0,033) с-1 [(179 +/- 2) об/мин] | (1,983 +/- 0,033) с-1 [(119 +/- 2) об/мин] | (2,983 +/- 0,033) с-1 [(179 +/- 2) об/мин] |
Время стирки | (12 +/- 1) мин | (8 +/- 1) мин | (10 +/- 1) мин |
Скорость центрифугирования | (10,75 +/- 0,25) с-1 [(645 +/- 15) об/мин] | (7,167 +/- 0,25) с-1 [(430 +/- 15) об/мин] | (7,167 +/- 0,25) с-1 [(430 +/- 15) об/мин] |
Заключительное время центрифугирования | (6 +/- 1) мин | (6 +/- 1) мин | (4 +/- 1) мин |
5.2 Сушилка с вращающимся барабаном, соответствующая следующим требованиям:
Примечание - Соответствующие машины доступны для приобретения. Наименования таких машин можно получить в национальных организациях по стандартизации. Другие машины могут использоваться в том случае, если установлено, что они позволяют получить эквивалентные результаты.
5.2.1 Используемые со стиральными машинами типа A:
a) Регулируемая температура выходящего воздуха: максимум 80 °C
(8.5)
b) Тангенциальное центробежное ускорение: от 0,6 g до 0,9 g
c) Вместимость барабана: от 80 до 120 л
d) Реверсия барабана: есть
e) Диаметр барабана: минимум 55 см
f) Наличие не менее трех лопастей, расположенных с равными интервалами внутри барабана, либо как составные части конструкции, либо как сборные элементы. Каждая лопасть должна иметь основание размером от 4 до 9 см и сужаться на высоте от 4 до 8 см до ширины от 1 до 2 см.
g) Мощность, потребляемая при нагреве: максимум 3,5 кВт
h) Период охлаждения: минимум 5 мин
5.2.2 Используемые со стиральными машинами типа B:
a) Машины имеют барабан с цилиндрической корзиной диаметром (75 +/- 5) см и глубиной не менее (40 +/- 5) см.
b) Варианты условий сушки указаны в таблице 3.
Таблица 3
Наименование | Температура выходящего воздуха | Охлаждение |
a) Обычный/Прочный хлопок | (66 +/- 5) °C | 5 мин |
Режим несминаемости | (66 +/- 5) °C | 10 мин |
b) Мягкий | < 60 °C | 5 мин |
5.3.1 Используемый со стиральными машинами типа A:
Балласт представляет собой 100%-ное полиэфирное трикотажное полотно из текстурированных комплексных нитей с поверхностной плотностью (310 +/- 20) г/м2. Балластные образцы для испытаний должны состоять из четырех слоев ткани, обметанных вместе по всем четырем сторонам и скрепленных по углам. Образцы должны иметь квадратную форму размерами (20 +/- 4) см x (20 +/- 4) см. Каждый образец для испытаний должен весить (50 +/- 5) г.
В качестве альтернативы может использоваться подшитое полотно из 100%-ного отбеленного хлопка либо гладкое трикотажное полотно из 50%-ного полиэфира и 50%-ного хлопка. И в первом, и во втором случаях отношение массы к единице поверхности должно составлять (155 +/- 5) г/м2, а размеры образца могут быть (92 +/- 5) см x (92 +/- 5) см.
5.3.2 Используемый со стиральными машинами типа B:
Характеристики балласта | Тип I 100%-ный хлопок | Тип III 50/50 + 3%-ный полиэфир/хлопок |
Пряжа (кольцевого способа прядения) | 16/1 | 30/2 |
Переплетение нитей | 21 x (19 +/- 2) см | 19 x (19 +/- 2) см |
Масса ткани | (155 +/- 5) г | (155 +/- 5) г |
Размеры куска ткани | 92 x (92 +/- 2) см | 92 x (92 +/- 2) см |
Масса куска ткани | (130 +/- 10) г | (130 +/- 10) г |
5.4 Электрически нагреваемый (сухонагреваемый) безбортовой плоский пресс. Если применяется данный вид сушки, тип сушильного пресса должен устанавливаться согласно договоренности между заинтересованными сторонами.
5.5 Оборудование для сушки на веревке
(8.1) или сушки без отжима (см.
8.2).
5.6 Сетчатые стеллажи для сушки из нержавеющей стали или пластика, имеющие около 16 отверстий
(8.3).
Число образцов, подвергаемых процедурам стирки и сушки, которые устанавливаются настоящим стандартом, определяется согласно цели испытаний материала.
7.1 Выбирают метод стирки из списка, приведенного в таблице 4, для стиральных машин с фронтальной загрузкой, или в
таблице 5 - для машин с вертикальной загрузкой.
Таблица 4
Методы стирки для стиральной машины с горизонтальным
вращающимся барабаном - Тип A
<a>
Обозначение метода | Вращение во время стирки и полоскания | Общая загрузка (сухая масса) <a>, кг | Стирка | Полоскание 1 | Полоскание 2 | Полоскание 3 | Полоскание 4 |
| Уровень моющего раствора <c>, <d>, см | | | Уровень моющего раствора <c>, см | Время полоскания <e>, <g>, мин | Уровень моющего раствора <c>, см | Время полоскания <e>, <g>, мин | | Уровень моющего раствора <d>, см | Время полоскания <e>, <g>, мин | | Уровень моющего раствора <d>, см | Время полоскания <e>, <g>, мин | |
| Обычное | 2 +/- 0,1 | 92 +/- 3 | 10 | 15 | | 13 | 3 | 13 | 3 | - | 13 | 2 | - | 13 | 2 | 5 |
| Обычное | 2 +/- 0,1 | 60 +/- 3 | 10 | 15 | Нет | 13 | 3 | 13 | 3 | - | 13 | 2 | - | 13 | 2 | 5 |
| Обычное | 2 +/- 0,1 | 60 +/- 3 | 10 | 15 | Нет | 13 | 3 | 13 | 2 | - | 13 | 2 | | - | - | - |
| Обычное | 2 +/- 0,1 | 50 +/- 3 | 10 | 15 | Нет | 13 | 3 | 13 | 2 | - | 13 | 2 | | - | - | - |
| Обычное | 2 +/- 0,1 | 40 +/- 3 | 10 | 15 | Нет | 13 | 3 | 13 | 3 | - | 13 | 2 | - | 13 | 2 | 5 |
6A | Обычное | 2 +/- 0,1 | 40 +/- 3 | 10 | 15 | Нет | 13 | 3 | 13 | 2 | - | 13 | 2 | | 13 | - | - |
| | 2 +/- 0,1 | 40 +/- 3 | 13 | 3 | Нет | 13 | 3 | 13 | 3 | 1 | 13 | 2 | 6 | - | - | - |
| | 2 +/- 0,1 | 30 +/- 3 | 13 | 3 | Нет | 13 | 3 | 13 | 3 | - | 13 | 2 | | - | - | - |
| | 2 | 92 +/- 3 | 10 | 12 | | 13 | 3 | 13 | 3 | - | 13 | 2 | | - | - | - |
Имитированная ручная стирка | | 2 | 40 +/- 3 | 10 | 1 | Нет | 13 | 2 | 13 | 2 | 2 | - | - | - | - | - | - |
<a> Для методов 1A, 2A и 5A рекомендуется загружать 5 кг, для метода 7A - 1 кг, в том случае, когда испытывается эффективность стирки изделий, определяется способность к истиранию или подобные испытания. <b> Все приведенные температуры для стирки и полоскания составляют (20 +/- 5) °C. <c> Уровень жидкости измеряется от дна полости после того, как стиральная машина отработала 1 мин и простояла 30 с в нерабочем состоянии. <d> Объемы жидкостей, соответствующие приведенным уровням, определяются отдельным испытанием с использованием градуированного мерного сосуда. <e> Приведенные значения времени имеют допуск +/- 20 с. <f> Охлаждение: доливают холодной воды до уровня 13 см и продолжают работу стиральной машины еще 2 мин. <g> Время ополаскивания измеряется, когда жидкость достигает соответствующего уровня. <h> Нагревают до 40 °C и выдерживают 15 мин перед нагревом до температуры стирки. <i> Только для безопасных лабораторных условий. <j> Краткий отжим или сушка без отжима. <k> Без вращения (перемешивания) во время нагревания. <l> Эта программа сохраняется, поскольку она является частью стандарта ISO 3758. |
Таблица 5
Методы стирки для стиральных машин с мешалкой - Тип B
Обозначение метода | Вращение при стирке и полоскании | Общая загрузка (сухая масса), кг | Стирка | Полоскание | Отжим |
Температура, °C | Уровень моющего раствора | Продолжительность цикла стирки, мин | | Время отжима |
1B | Обычное | 2 +/- 0,1 | 70 +/- 3 | Максимальный | 12 | Максимальный | Обычный цикл |
2B | Обычное | 2 +/- 0,1 | 60 +/- 3 | Максимальный | 12 | Максимальный | Обычный цикл |
3B | Обычное | 2 +/- 0,1 | 60 +/- 3 | Максимальный | 10 | Максимальный | Слабый цикл |
4B | Обычное | 2 +/- 0,1 | 50 +/- 3 | Максимальный | 12 | Максимальный | Обычный цикл |
5B | Обычное | 2 +/- 0,1 | 50 +/- 3 | Максимальный | 10 | Максимальный | Слабый цикл |
6B | Обычное | 2 +/- 0,1 | 40 +/- 3 | Максимальный | 12 | Максимальный | Обычный цикл |
7B | Обычное | 2 +/- 0,1 | 40 +/- 3 | Максимальный | 10 | Максимальный | Слабый цикл |
8B | Обычное | 2 +/- 0,1 | 40 +/- 3 | Максимальный | 8 | Максимальный | Слабый цикл |
9B | Обычное | 2 +/- 0,1 | 30 +/- 3 | Максимальный | 12 | Максимальный | Обычный цикл |
10B | Обычное | 2 +/- 0,1 | 30 +/- 3 | Максимальный | 10 | Максимальный | Слабый цикл |
11B | Слабое | 2 +/- 0,1 | 30 +/- 3 | Максимальный | 8 | Максимальный | Слабый цикл |
<a> Используют настройку холодной воды для цикла полоскания. |
7.2 Взвешивают (отдельные) образцы или сборные изделия
(8.2) либо предметы одежды
(8.5) перед стиркой в том случае, если они должны пройти процедуру сушки в барабане.
7.3 Кладут испытуемый материал в стиральную машину (
5.1.1 или
5.1.2) и добавляют необходимый балласт
(5.3); весь загруженный сухой материал проходит стирку согласно выбранной процедуре. Если определяется формоустойчивость материала, вес образцов для испытаний не должен превышать половину общего веса материала, загружаемого в машину. Затем добавляют соответствующее моющее средство (
4.1.1,
4.1.2 или
4.1.3) в количестве, достаточном для образования пены высотой не более (3 +/- 0,5) см в конце цикла стирки.
Перед загрузкой материала в стиральные машины типа B наполняют машины водой с выбранной температурой, добавляют (66 +/- 1) г эталонного моющего средства AATCC 1993 или соответствующее количество моющего средства IEC или ECE. Моющее средство должно обеспечивать образование пены высотой не более (3 +/- 0,5) см в конце цикла стирки.
7.4 После отжима по завершении процедуры стирки ткань вынимают, обращая внимание на то, чтобы она не была растянута или повреждена, затем сушат ткань согласно одному из методов сушки, описанных в
разделе 8.
7.5 Если материал сушится без отжима, стиральную машину останавливают перед последним центрифугированием, материал вынимают, следя за тем, чтобы он не был растянут или деформирован.
8.1 Метод A - Сушка на веревке
Материал после отжима развешивают на веревке и сушат согласно процедуре, описанной в
8.2.
8.2 Метод B - Сушка без отжима
Материал вынимают из стиральной машины и, не отжимая, вешают на веревку в помещении, где нет движения воздуха, при комнатной температуре оставляя на время сушки.
Направление основы ткани или петельных столбиков в ткани должно быть вертикальным. Готовые изделия необходимо развешивать в направлении носки.
8.3 Метод C - Сушка в расправленном виде
Материал раскладывают на горизонтальном сетчатом стеллаже для сушки
(5.6), расправляют складки рукой, не растягивая и не деформируя ткань, и оставляют на время сушки.
8.4 Метод D - Сушка под прессом
Материал помещают на плоское основание пресса
(5.4) и расправляют складки рукой. Затем на короткий промежуток времени опускают головку пресса, температуру которой устанавливают в зависимости от материала, и повторяют эту процедуру столько раз, сколько необходимо, чтобы высушить ткань. Записывают рабочую температуру и давление пресса.
8.5 Метод E - Сушка в сушильном барабане
Примечание - Данный метод не предназначен для оценки изделий, имеющих термочувствительные волокна. В настоящее время проводятся исследования по установлению соответствующего критерия для таких тканей.
После окончания стирки и отжима в машине испытуемую ткань вместе с балластом сразу помещают в сушилку с вращающимся барабаном
(5.2). Процесс сушки загруженного материала описан ниже.
Если измеряется температура ткани во время сушки, к ткани прикрепляют гибкие ленты (термоярлыки), которые измеряют температуру. Такие термоярлыки должны измерять температуру в диапазоне от 40 °C до 90 °C.
Чтобы определить оптимальные установки нагрева, сушилка работает при нормальных (высоких) установках нагрева в течение времени одного цикла испытания, которое рассчитывается по методу, описанному в
приложении C. По истечении расчетного времени испытательного цикла влажность должна быть эквивалентна абсолютной влажности кондиционированного текстиля (относительная влажность 0% при 20 °C и 60 °C).
Если используется устройство для взвешивания, сушильный барабан помещают на платформу этого устройства и определяют его массу. Затем помещают взвешенные образцы или предметы одежды вместе с балластом в сушилку и включают ее. Сушку продолжают до тех пор, пока масса не изменится, затем выключают нагрев и продолжают процесс сушки без нагрева в течение не менее 5 мин. После этого измеряют массу подсушенных образцов или предметов одежды.
Определяют размеры материала, который затем подвергают дальнейшей сушке до тех пор, пока влажность не станет равной 2% для синтетических материалов, 5% - для целлюлозных.
Сушку продолжают, пока масса не станет постоянной.
Для сушильных машин, указанных в
5.2.2, необходимо убедиться, что температура выходящего из них воздуха не превышает 70 °C для обычной ткани и 50 °C для тонкой ткани или ткани, обрабатываемой в режиме несминаемости. Сушилка действует до тех пор, пока сохнет загруженный материал, затем барабан продолжает работать еще в течение 5 мин при отключенном нагреве. После этого ткань немедленно извлекают из сушилки.
Протокол испытаний должен включать следующую информацию:
a) ссылку на настоящий стандарт;
b) тип стиральной машины и выбранный метод стирки;
c) выбранный метод сушки и тип машины, если применяется;
d) тип использованного моющего средства;
e) общая масса сухого материала: масса образцов и балласта;
f) описание любых отклонений от установленных методов;
g) использованный балласт.
Примечание - Прецизионность и систематическая погрешность методов, связанных с настоящей процедурой, устанавливаются и будут представлены в соответствующем международном стандарте.
(рекомендуемое)
ЭТАЛОННОЕ МОЮЩЕЕ СРЕДСТВО AATCC 1993
(НЕФОСФАТНАЯ ФОРМУЛА, НЕ СОДЕРЖАЩАЯ ОТБЕЛИВАТЕЛЯ)
Таблица A.1
Номинальный состав | Процент |
Линейный алкилбензолсульфонат, соль натрия <a> | 18,00 |
Твердые алюмосиликаты натрия | 25,00 |
Карбонат натрия | 18,00 |
Твердые силикаты натрия <b> | 0,50 |
Сульфат натрия | 22,13 |
| 2,76 |
Полиакрилат натрия | 3,50 |
Силикон, пеногаситель | 0,04 |
Влагосодержание | 10,00 |
Прочее (не прореагировавшее с поверхностно-активными веществами) | 0,07 |
Всего | 100,00 |
<a> Линейный алкилбензолсульфонат C11.8LAS, представленный как Stepan's Calsoft L-50-12. <c> 2% в гранулах и 0,76% в составе пеногасителя. |
(рекомендуемое)
НЕФОСФАТНЫЕ ЭТАЛОННЫЕ МОЮЩИЕ СРЕДСТВА ECE И IEC
B.1 Содержание компонентов, %
Таблица B.1
Состав | Моющее средство ECE, % | Моющее средство IEC, % |
Линейный алкилбензолсульфонат натрия (средняя длина алифатической цепи C11-5) | 7,5 | 7,5 |
Этоксилированный жирный спирт C12-18 (7EO) | 4,0 | 4,0 |
Натриевое мыло (длина цепи C12-17: 46%; C18-20: 54%) | 2,8 | 2,8 |
Противопенная добавка с концентрацией 8% на неорганическом носителе | 5,0 | 5,0 |
Алюмосиликат натрия (цеолит 4A) | 25,0 | 25,0 |
Карбонат натрия | 9,1 | 9,1 |
Натриевая соль сополимера акриловой и малеиновой кислот | 4,0 | 4,0 |
Силикат натрия (SiO2:Na2O = 3,3:1) | 2,6 | 2,6 |
Карбоксиметилцеллюлоза | 1,0 | 1,0 |
Диэтилен-триаминопента (метилен фосфоновая кислота) | 0,6 | 0,6 |
Оптический отбеливатель для хлопка (стильбенового типа) | - | 0,2 |
Сульфат натрия (в качестве основного вещества или добавки) | 6,0 | 5,8 |
Вода | 9,4 | 9,4 |
Тетрагидрат пербората натрия | 20,0 | 20,0 |
Тетраацетилэтилендиамин | 3,0 | 3,0 |
Всего | 100,0 | 100,0 |
B.2 Состав и смешивание
Указанные моющие средства состоят из трех отдельных составляющих:
1) порошкообразного моющего средства;
2) тетрагидрата пербората натрия;
3) активатора отбеливания тетраацетилэтилендиамина.
Эти составляющие смешивают перед применением следующим способом.
С целью совместимости желательно предварительно растворить три указанные составляющие в следующих пропорциях: 77 частей порошкообразного моющего средства:20 частей пербората натрия:3 части активатора отбеливания. Растворяют порошкообразную основу и перборат натрия в воде при температуре 40 °C. Охлаждают данный раствор до 30 °C, добавляют активатор отбеливания перед добавлением конечного раствора в стиральную машину
(7.3).
Если необходимо оценить воздействие ферментов, можно дополнительно добавить следующие ферменты с соответствующим уменьшением порошкообразного моющего средства.
Протеаза | Савиназа 12T | 0,5% |
Липаза | Липолаза 100T | 0,1% |
Амилаза | Термамил 60T | 0,3% |
Целлюлаза | Целлюзим 0,7T | 0,3% |
Все перечисленные ферментативные препараты доступны в Novo Nordisk Bio-industrials <1>.
--------------------------------
<1> Указанные энзимы имеются в продаже. Данная информация приведена для удобства пользователей настоящего международного стандарта и не означает одобрение этих продуктов со стороны ISO.
(обязательное)
СУШКА В СУШИЛЬНОМ БАРАБАНЕ - ОПРЕДЕЛЕНИЕ
ПРОИЗВОДИТЕЛЬНОСТИ СУШКИ
C.1 Метод определения продолжительности цикла испытания
C.1.1 Для загрузки используют материал, состоящий на 100% из балласта
(5.3), и определяют его кондиционную массу.
C.1.2 Стирают загруженный материал согласно
разделу 7 настоящего стандарта. После центрифугирования материал взвешивают (начальная масса).
C.1.3 Сушилку
(5.2) устанавливают на время, превышающее 80 мин, и включают. Через 30 мин (или 60 мин, если требуется) машину останавливают, загруженный материал извлекают и взвешивают. Рассчитывают количество удаленной влаги и определяют "интенсивность сушки"
a, которая равна отношению массы удаленной влаги ко времени сушки.
C.1.4 Повторно увлажняют загруженный материал, заполняя машину до уровня, указанного в
7.1, затем включают программу на последний отжим. После окончания отжима загруженный материал взвешивают. Используя значения массы и интенсивности сушки
a, рассчитывают предварительное время цикла сушки, которое находится путем деления массы влаги на интенсивность сушки.
C.1.5 Повторно загружают сушилку, устанавливают время большее, чем предварительное время цикла, и включают ее.
C.1.6 Сразу по истечении предварительного времени цикла останавливают сушилку, извлекают загруженный материал и взвешивают его. Вычисляют количество удаленной влаги. Используя данное значение и предварительное время цикла, рассчитывают "интенсивность сушки" b, которая находится путем деления массы удаленной влаги на время цикла.
C.1.7 Проводят ряд циклов испытаний в течение времени, определенного при оценке окончательного времени цикла, по следующей формуле:
Пример метода расчета окончательного времени цикла испытания:
Кондиционная масса загружаемого материала | = 4,0 кг |
Начальная масса загруженного материала (C.1.2) | = 7,5 кг |
Масса оставшейся влаги | = 3,5 кг |
Масса удаленной влаги после 30 мин | = 1,3 кг (измеренная) |
или масса удаленной влаги после 60 мин | = 2,6 кг (измеренная) |
Тогда находим: интенсивность сушки (a) | = 2,6 кг/ч |
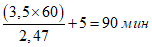
и, следовательно, предварительное время цикла |  (т.е. 81 мин) |
Масса удаленной влаги после 81 мин сушки | = 3,34 кг (измеренная) |
Тогда находим: интенсивность сушки (b) | |
Окончательное время цикла испытания | |
т.е. в данном случае | |
Как видно из примера, использование значения интенсивности сушки a для определения окончательного времени цикла испытания может привести к занижению результата определения на 5% и, следовательно, к необходимости проведения второго испытания, чтобы компенсировать падение интенсивности. Предполагается, что, если температура окружающей среды и относительная влажность в достаточной степени постоянны, интенсивность сушки b необходимо определять только раз, но если они изменяются, интенсивность сушки следует определять при новых условиях.
Время цикла, определяемое указанным способом, должно быть в пределах 2% от истинного времени, поскольку измерено с использованием точных весов. Данный уровень прецизионности является достаточным, если имеются в виду факторы пересушивания при сушке различных типов волокон при одной и той же загрузке.
C.2 Сминание
Для некоторых тканей сушка в сушильном барабане может быть предпочтительной в отношении устранения складок, образуемых в процессе стирки.
C.3 Повтор испытания
Машину необходимо охлаждать между испытаниями до температуры окружающей среды. Этого достигают повторением цикла охлаждения.
C.4 Конечный результат
Для всех текстильных материалов он находится в пределах от 0% до 3% от кондиционной массы:

.
(справочное)
О СООТВЕТСТВИИ МЕЖГОСУДАРСТВЕННЫХ СТАНДАРТОВ
ССЫЛОЧНЫМ МЕЖДУНАРОДНЫМ СТАНДАРТАМ
Таблица ДА.1
Обозначение и наименование международного стандарта | Степень соответствия | Обозначение и наименование межгосударственного стандарта |
ISO 3758:2005 Текстиль. Маркировочные обозначения на этикетках с правилами по уходу | IDT | ГОСТ ISO 3758-2006 Изделия текстильные. Маркировка символами по уходу |
ISO 6059:1984 Качество воды. Определение суммарного содержания кальция и магния комплексопометрическим методом | - | |
<*> Соответствующий межгосударственный стандарт отсутствует. Примечание - В настоящем стандарте использовано следующее условное обозначение степени соответствия стандарта: - IDT - идентичный стандарт. |