Главная // Актуальные документы // ГОСТ (Государственный стандарт)СПРАВКА
Источник публикации
М.: Стандартинформ, 2013
Примечание к документу
Документ включен в Перечень международных и региональных (межгосударственных) стандартов (
п. п. 9,
202), а в случае их отсутствия - национальных (государственных) стандартов, содержащих правила и методы исследований (испытаний) и измерений, в том числе правила отбора образцов, необходимые для применения и исполнения требований технического
регламента Евразийского экономического союза "О безопасности алкогольной продукции" (ТР ЕАЭС 047/2018) и осуществления оценки соответствия объектов технического регулирования (
Решение Коллегии Евразийской экономической комиссии от 17.05.2022 N 80).
Документ
введен в действие с 1 июля 2013 года.
Название документа
"ГОСТ 31497-2012. Межгосударственный стандарт. Спирт этиловый. Спектрофотометрический метод определения содержания денатурирующих добавок (битрекса, керосина, бензина)"
(введен в действие Приказом Росстандарта от 28.09.2012 N 467-ст)
"ГОСТ 31497-2012. Межгосударственный стандарт. Спирт этиловый. Спектрофотометрический метод определения содержания денатурирующих добавок (битрекса, керосина, бензина)"
(введен в действие Приказом Росстандарта от 28.09.2012 N 467-ст)
Введен в действие
по техническому регулированию
и метрологии
от 28 сентября 2012 г. N 467-ст
МЕЖГОСУДАРСТВЕННЫЙ СТАНДАРТ
СПИРТ ЭТИЛОВЫЙ
СПЕКТРОФОТОМЕТРИЧЕСКИЙ МЕТОД ОПРЕДЕЛЕНИЯ СОДЕРЖАНИЯ
ДЕНАТУРИРУЮЩИХ ДОБАВОК (БИТРЕКСА, КЕРОСИНА, БЕНЗИНА)
Ethanol. Spectrophotometryc method for determination
of denaturant additives (bitrex, kerosene, gasoline)
content
ГОСТ 31497-2012
Дата введения
1 июля 2013 года
Цели, основные принципы и основной порядок проведения работ по межгосударственной стандартизации установлены
ГОСТ 1.0-92 "Межгосударственная система стандартизации. Основные положения" и
ГОСТ 1.2-2009 "Межгосударственная система стандартизации. Стандарты межгосударственные, правила и рекомендации по межгосударственной стандартизации. Правила разработки, принятия, применения, обновления и отмены".
1. Разработан Государственным научным учреждением Всероссийским научно-исследовательским институтом пищевой биотехнологии Россельхозакадемии (ГНУ ВНИИПБТ Россельхозакадемии).
2. Внесен Федеральным агентством по техническому регулированию и метрологии.
3. Принят Межгосударственным советом по стандартизации, метрологии и сертификации (Протокол N 41 от 24 мая 2012 г.).
За принятие проголосовали:
Краткое наименование страны по МК (ИСО 3166) 004-97 | Код страны по МК (ИСО 3166) 004-97 | Сокращенное наименование национального органа по стандартизации |
Азербайджан | AZ | Азстандарт |
Армения | AM | Минэкономики Республики Армения |
Беларусь | BY | Госстандарт Республики Беларусь |
Казахстан | KZ | Госстандарт Республики Казахстан |
Кыргызстан | KG | Кыргызстандарт |
Молдова | MD | Молдова-Стандарт |
Российская Федерация | RU | Росстандарт |
Таджикистан | TJ | Таджикстандарт |
Узбекистан | UZ | Узстандарт |
4.
Приказом Федерального агентства по техническому регулированию и метрологии от 28 сентября 2012 г. N 467-ст межгосударственный стандарт ГОСТ 31497-2012 введен в действие в качестве национального стандарта Российской Федерации с 1 июля 2013 г.
5. Настоящий стандарт подготовлен на основе применения ГОСТ Р 52826-2007.
6. Введен впервые.
Информация о введении в действие (прекращении действия) настоящего стандарта публикуется в ежемесячно издаваемом указателе "Национальные стандарты".
Информация об изменениях к настоящему стандарту публикуется в ежегодно издаваемом информационном указателе "Национальные стандарты", а текст изменений и поправок - в ежемесячно издаваемых информационных указателях "Национальные стандарты". В случае пересмотра или отмены настоящего стандарта соответствующая информация будет опубликована в ежемесячно издаваемом информационном указателе "Национальные стандарты".
Настоящий стандарт распространяется на этиловый ректификованный спирт, полученный из всех видов сырья, денатурированный битрексом, керосином или бензином, и устанавливает спектрофотометрические методы определения массовой доли битрекса и объемной доли керосина или бензина.
Диапазоны измерения составляют: массовой доли битрекса - от 0,00050% до 0,01500% включительно; объемной доли бензина (керосина) - от 0,0050% до 0,1000% включительно.
Допускается применять метод для определения более высокой объемной доли бензина (керосина) после разбавления анализируемой пробы исходным неденатурированным спиртом по
5.2.4.
В настоящем стандарте использованы ссылки на следующие стандарты:
ГОСТ ИСО 5725-1-2003 Точность (правильность и прецизионность) методов и результатов измерений. Часть 1. Основные положения и определения
ГОСТ ИСО 5725-6-2003 Точность (правильность и прецизионность) методов и результатов измерений. Часть 6. Использование значений точности на практике
ГОСТ 8.010-99 Государственная система обеспечения единства измерений. Методики выполнения измерений. Основные положения
ГОСТ 12.1.004-91 Система стандартов безопасности труда. Пожарная безопасность. Общие требования
ГОСТ 12.1.005-88 Система стандартов безопасности труда. Общие санитарно-гигиенические требования к воздуху рабочей зоны
ГОСТ 12.1.007-76 Система стандартов безопасности труда. Вредные вещества. Классификация и общие требования безопасности
ГОСТ 12.1.010-76 Система стандартов безопасности труда. Взрывобезопасность. Общие требования
ГОСТ 12.1.018-93 Система стандартов безопасности труда. Пожаровзрывобезопасность статического электричества. Общие требования
ГОСТ 12.1.019-79 Система стандартов безопасности труда. Электробезопасность. Общие требования и номенклатура видов защиты
ГОСТ 1770-74 (ИСО 1042-83, ИСО 4788-80) Посуда мерная лабораторная стеклянная. Цилиндры, мензурки, колбы, пробирки. Общие технические условия
ГОСТ 5964-93 Спирт этиловый. Правила приемки и методы анализа
ГОСТ 18300-87 Спирт этиловый ректификованный технический. Технические условия
ГОСТ 29227-91 (ИСО 835-1-81) Посуда мерная лабораторная стеклянная. Пипетки градуированные. Часть 1. Общие требования
Примечание. При пользовании настоящим стандартом целесообразно проверить действие ссылочных стандартов в информационной системе общего пользования - на официальном сайте Федерального агентства по техническому регулированию и метрологии в сети Интернет или по ежегодно издаваемому указателю "Национальные стандарты", который опубликован по состоянию на 1 января текущего года, и по соответствующим ежемесячно издаваемым информационным указателям, опубликованным в текущем году. Если ссылочный стандарт заменен (изменен), то при пользовании настоящим стандартом следует руководствоваться заменяющим (измененным) стандартом. Если ссылочный стандарт отменен без замены, то положение, в котором дана ссылка на него, применяется в части, не затрагивающей эту ссылку.
3. СРЕДСТВА ИЗМЕРЕНИЙ, ВСПОМОГАТЕЛЬНОЕ ОБОРУДОВАНИЕ,
РЕАКТИВЫ И МАТЕРИАЛЫ
3.1. Спектрофотометр с управлением от персонального компьютера, программа управления которым обеспечивает сохранение информации в текстовом формате в виде таблицы печати данных. Спектрофотометр должен обеспечивать измерение оптической плотности в диапазоне 0 - 5 при спектральной ширине щели 1 нм с интервалом 0,5 нм. Область сканирования - не менее 190 - 400 нм.
3.2. Программное обеспечение для обработки результатов измерений и вычисления массовой доли битрекса или объемной доли бензина (керосина) в пробе.
3.3. Хлопчатобумажная ткань любого типа.
3.4. Спирт этиловый ректификованный по
ГОСТ 18300, а также по нормативному документу, действующему на территории государства, принявшего стандарт.
3.5. Образец бензина или керосина, использованного при денатурации анализируемого образца этилового спирта.
3.8. Пипетки 1-1-2-1, 1-1-2-5 и 1-2-2-10 по
ГОСТ 29227.
4. ОТБОР ПРОБ И ПОДГОТОВКА ОБРАЗЦОВ
4.2. Готовят образец спирта. Для этого из одной бутылки спирта, направленной в лабораторию для проведения измерений, в кварцевую кювету толщиной 10 мм, предварительно дважды ополоснутую содержимым бутылки, пипеткой вместимостью 5 см3 вносят от 3 до 5 см3 продукта.
4.3. Для проведения проверки приемлемости результатов в условиях воспроизводимости объем отобранной пробы, направленной в лабораторию для проведения измерений, делят на две части и из каждой части готовят образец спирта по
4.2.
4.4. Анализ образца спирта, денатурированного битрексом, проводят по
5.1.3.
4.5. Анализ образца спирта, денатурированного бензином или керосином, проводят по
5.2.3.
5.1. Определение массовой доли битрекса (денатония бензоата)
5.1.1. Сущность метода
Метод основан на получении УФ-спектра поглощения анализируемого образца относительно неденатурированного этилового спирта по
3.4 и сопоставлении полученного спектра поглощения анализируемого образца

со спектром поглощения битрекса.
5.1.2. Подготовка к выполнению измерений
Подготовку спектрофотометра к работе выполняют в соответствии с инструкцией по его эксплуатации.
Подготовка образца спирта - по
4.2.
Перед установкой в кюветное отделение спектрофотометра наружную поверхность кюветы с образцом спирта тщательно протирают чистой хлопчатобумажной тканью.
Измерение проводят при соблюдении следующих условий:
температура окружающей среды, °C . . . . . . . . . от 10 до 35;
относительная влажность воздуха, % . . . . . . . . 65 +/- 15;
+22
напряжение переменного тока, В . . . . . . . . . . (220 );
-33
частота, Гц. . . . . . . . . . . . . . . . . . . . 50.
5.1.3. Выполнение измерений
Помещают в измерительный канал спектрофотометра кювету с анализируемым образцом этилового спирта.
Устанавливают:
- режим измерения - поглощение;
- спектральную ширину щели монохроматора - 1 нм;
- интервал измерения - 0,5 нм;
- скорость сканирования - медленную;
- диапазон сканирования - от 190 до 400 нм.
Измеряют суммарный спектр поглощения анализируемого образца спирта относительно воздуха.
Пробу денатурированного спирта анализируют два раза в условиях повторяемости в соответствии с требованиями ГОСТ ИСО 5725-1.
5.1.4. Обработка результатов измерений
Обработку результатов измерений выполняют в соответствии с описанным ниже алгоритмом. Вычисления проводят с использованием универсальных пакетов программного обеспечения для обработки экспериментальных данных, либо других специализированных программ из программного обеспечения для анализа спиртов.
Алгоритм обработки результатов измерений:
а) Вычитают из суммарного спектра поглощения анализируемого образца спирта спектр поглощения неденатурированного этилового спирта и получают спектр поглощения битрекса неизвестной концентрации

.
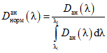
б) С целью идентификации наличия в пробе денатурирующей добавки битрекса сопоставляют спектры поглощения анализируемого образца и битрекса, приведенные к одному масштабу путем деления на площадь под кривой оптической плотности на выбранном для сравнения интервале длин волн:

и

Если модуль разности нормированных спектров

меньше или равен 0,2 на выбранном для сравнения интервале длин волн, то кривые считают идентичными и, следовательно, в пробе содержится битрекс.
в) Массовую долю битрекса в образце C, %, вычисляют на основании закона Бугера-Ламберта-Бера по формуле
где M - молекулярная масса битрекса, г/моль;

- плотность этилового спирта, г/дм3;
l - длина оптического пути, см;

- молярный коэффициент экстинкции битрекса, дм3/см · моль;

- поглощение анализируемого образца.
Примечание. Для реализации алгоритма обработки результатов необходима дополнительная информация, представленная в виде цифровых таблиц: усредненный спектр поглощения неденатурированного этилового спирта; спектр поглощения при массовой доле битрекса в этиловом спирте 0,00150%; спектральная зависимость молярного коэффициента экстинкции битрекса. Эта информация содержится в базе данных программы "methodic_01" в форме таблиц печати данных. Если при обработке используют универсальные пакеты программного обеспечения для обработки экспериментальных данных, то необходимо предварительно измерить спектры поглощения неденатурированного этилового спирта и раствора битрекса в этом спирте с известной молярной концентрацией. Процедура выполнения измерений и вычисления коэффициента молярной экстинкции описаны в монографиях и руководствах по электронной абсорбционной спектроскопии.
5.1.5. За результат измерений принимают среднеарифметическое значение двух параллельных определений, полученных в условиях повторяемости, если выполняется условие приемлемости
где

,

- результаты параллельных определений массовой доли битрекса, %;
r - значение предела повторяемости (см. таблицу 1), %.
Диапазон измерений массовой доли битрекса в этиловом спирте, % | Показатель точности (границы относительной погрешности)  , при P = 0,95 | Показатель повторяемости (относительное среднеквадратическое отклонение повторяемости),  | Показатель воспроизводимости (относительное среднеквадратическое отклонение воспроизводимости),  | Предел повторяемости, r, %, P = 0,95, n = 2 |
От 0,00050 до 0,00150 включ. | 15 | 3 | 6 | 8 |
Св. 0,00150 до 0,00500 включ. | 8 | 2 | 3 | 5,5 |
Св. 0,00500 до 0,01500 включ. | 5 | 1 | 2 | 3 |
Если
условие (3) не выполняется, выясняют причины превышения предела повторяемости, устраняют их и повторяют выполнение измерений в соответствии с
5.1.3.
5.1.6. Результат анализа в документах, предусматривающих его использование, представляют в виде

при P = 0,95,
где

- среднеарифметическое значение двух результатов измерений массовой доли битрекса, признанных приемлемыми, %;

- границы относительной погрешности, % (см.
таблицу 1).
В случае если содержание компонента ниже нижней или выше верхней границ диапазона измерений, гарантированных данной методикой (см.
таблицу 1), результаты представляют в виде:
массовая доля битрекса:

или

.
5.1.7. Проверка приемлемости результатов измерений, полученных в условиях воспроизводимости
5.1.7.1. Для проведения проверки приемлемости результатов измерений в условиях воспроизводимости при необходимости повторных испытаний каждая лаборатория использует пробы, оставленные на хранение.
5.1.7.2. Приемлемость результатов измерений, полученных в двух лабораториях, оценивают сравнением разности этих результатов с критической разностью

по формуле
где

,

- средние значения массовой доли битрекса, полученные в первой и второй лабораториях, %;

- значение критической разности для массовой доли битрекса, %, при условии

(

,

- число параллельных определений в первой и второй лабораториях), вычисляемое по формуле
где 2,77 - коэффициент критического диапазона для двух параллельных определений по ГОСТ ИСО 5725-6;

- показатель воспроизводимости (см.
таблицу 1);
0,01 - множитель для перехода от процентов к массовой доле;

- среднеарифметическое значение результатов определения массовой доли денатурирующей добавки, полученных в первой и второй лабораториях, %, вычисляемое по формуле
Если критическая разность не превышена, то приемлемы оба результата измерений, приводимые двумя лабораториями, и в качестве окончательного результата используют их общее среднее значение. Если критическая разность превышена, выполняют процедуры в соответствии с ГОСТ ИСО 5725-6 (пункт 5.3.3). При разногласиях руководствуются ГОСТ ИСО 5725-6 (пункт 5.3.4).
5.1.8. Контроль стабильности результатов измерений при реализации методики в лаборатории
Контроль стабильности результатов измерений в лаборатории при реализации методики осуществляют по ГОСТ ИСО 5725-6, используя метод контроля стабильности стандартного отклонения повторяемости по ГОСТ ИСО 5725-6 (пункт 6.2.2) с применением контрольных карт Шухарта.
При этом вместо результатов, полученных с использованием стандартных образцов лаборатории, обрабатывают параллельные определения для получаемых по данной методике результатов анализа 20 - 30 образцов контролируемой продукции. Разности выражают в относительных процентах, а исходное значение стандартного отклонения повторяемости

получают по методикам, действующим на территории государства, принявшего стандарт.
Периодичность контроля и процедуры контроля стабильности результатов измерений должны быть предусмотрены в руководстве по качеству лаборатории в соответствии с ГОСТ ИСО/МЭК 17025
(подраздел 4.2) и ГОСТ 8.010.
5.2. Определение объемной доли бензина или керосина
5.2.1. Сущность метода
Метод основан на измерении УФ-спектров поглощения:
- исходного (неденатурированного) этилового спирта по
3.4;
- градуировочного раствора денатурированного спирта с объемной долей денатурирующей добавки (бензина или керосина) 0,05%;
- пробы анализируемого денатурированного этилового спирта.
5.2.2. Подготовка к выполнению измерений
5.2.2.1. Приготовление раствора денатурированного спирта с объемной долей денатурирующей добавки 0,5%
В мерную колбу с пришлифованной пробкой вместимостью 100 см3 наливают 40 см3 этилового (неденатурированного) спирта и пипеткой 1,0 см3 вносят 0,5 см3 используемой денатурирующей добавки. Содержимое колбы перемешивают, доводят до метки этиловым (неденатурированным) спиртом при температуре (20,0 +/- 0,2) °C.
5.2.2.2. Приготовление градуировочного раствора денатурированного спирта с объемной долей денатурирующей добавки 0,05%
Отбирают 10 см3 раствора с объемной долей денатурирующей добавки 0,5% (см.
5.2.2.1), переносят в мерную колбу с пришлифованной пробкой вместимостью 100 см3 и доводят до метки этиловым (неденатурированным) спиртом при температуре (20,0 +/- 0,2) °C.
5.2.2.3. Подготовка образца спирта - по
4.2.
Перед установкой в кюветное отделение спектрофотометра наружную поверхность кюветы с образцом спирта тщательно протирают чистой хлопчатобумажной тканью.
Подготовку спектрофотометра к работе выполняют в соответствии с инструкцией по его эксплуатации.
Измерение проводят при соблюдении следующих условий:
температура окружающей среды, °C . . . . . . . . . от 10 до 35;
относительная влажность воздуха, % . . . . . . . . 65 +/- 15;
+22
напряжение переменного тока, В . . . . . . . . . . (220 );
-33
частота, Гц. . . . . . . . . . . . . . . . . . . . 50.
5.2.3. Выполнение измерений
Устанавливают в измерительный канал спектрофотометра кювету с анализируемым образцом.
Устанавливают:
- режим измерения - поглощение;
- спектральную ширину щели монохроматора - 1 нм;
- интервал измерения - 0,5 нм;
- скорость сканирования - медленную;
- диапазон сканирования - от 250 до 300 нм.
Измеряют суммарные спектры поглощения исходного этилового (неденатурированного) спирта, градуировочного раствора денатурированного спирта с объемной долей денатурирующей добавки 0,05% и пробы денатурированного спирта.
Пробу денатурированного спирта анализируют два раза в условиях повторяемости в соответствии с требованиями ГОСТ ИСО 5725-1.
5.2.4. Обработка результатов измерений
Обработку результатов измерений выполняют в соответствии с описанным ниже алгоритмом. Вычисления проводят с использованием универсальных пакетов программного обеспечения для обработки экспериментальных данных, либо других специализированных программ из программного обеспечения для анализа спиртов.
Алгоритм обработки результатов измерений:
а) Вычитают из спектров поглощения пробы и градуировочного раствора спектр поглощения спирта и получают:
-

- разность спектров поглощения пробы денатурированного спирта и спирта;
-

- разность спектров поглощения градуировочного раствора с объемной долей денатурирующей добавки 0,05% и спирта.
б) С целью идентификации наличия в пробе денатурирующей добавки спектры поглощения пробы и градуировочного раствора нормируются на интегральные значения оптической плотности в интервале волн от 250 до 300 нм. Полученные спектральные кривые сравнивают между собой. Если модуль разности нормированных спектров пробы и градуировочного раствора меньше или равен 0,2 во всем диапазоне от 250 до 300 нм, кривые считают идентичными и, следовательно, в пробе содержится та же денатурирующая добавка, что и в градуировочном растворе.
где

- для пробы и градуировочного раствора соответственно.
в) В том случае если в полученных спектрах амплитуда поглощения (оптическая плотность) D < 3, объемную долю денатурирующей добавки C, %, вычисляют по формуле
В случае если в полученных спектрах амплитуда поглощения (оптическая плотность) D > 3, растворяют взятую из емкости пробу исходным этиловым спиртом в пять раз и вновь измеряют спектр поглощения. Если оптическая плотность разбавленного раствора не превышает трех единиц, то вычисляют объемную долю денатурирующей добавки C, %, по формуле
где 5 - коэффициент разведения.
Если оптическая плотность разбавленного раствора D > 3, то вновь разводят пробу исходным этиловым спиртом (в 2, 3, 4 или 5 раз) до тех пор, пока условие корректного измерения оптической плотности (D <= 3) не будет соблюдено. Затем измеряют спектр поглощения и вычисляют объемную долю денатурирующей добавки C, %, по формуле
где K - общий коэффициент разведения.
5.2.5. За результат измерений принимают среднеарифметическое значение двух параллельных определений, полученных в условиях повторяемости, если выполняется условие приемлемости
где

,

- результаты параллельных определений объемной доли денатурирующей добавки, %;
r - значение предела повторяемости (см. таблицу 2), %.
Наименование продукта | Диапазон измерений объемной доли бензина (керосина), % | Показатель точности (границы относительной погрешности)  , при P = 0,95 | Показатель повторяемости (относительное среднеквадратическое отклонение повторяемости),  | Показатель воспроизводимости (относительное среднеквадратическое отклонение воспроизводимости),  | Предел повторяемости, r, %, P = 0,95, n = 2 |
Денатурированный этиловый спирт | От 0,0050 до 0,1000 включ. | 6 | 1,5 | 3 | 4 |
Если
условие (11) не выполняется, выясняют причины превышения предела повторяемости, устраняют их и повторяют выполнение измерений в соответствии с
5.2.3.
5.2.6. Результат анализа в документах, предусматривающих его использование, представляют в виде:

при P = 0,95,
где

- границы относительной погрешности, % (см.
таблицу 2);

- среднеарифметическое значение двух результатов измерений объемной доли денатурирующей добавки, признанных приемлемыми, %, вычисляемое по формуле
где

- измеренное значение объемной доли денатурирующей добавки, %;
K - общий коэффициент разведения.
В случае если содержание компонента ниже границы диапазона измерений, гарантированных данной методикой (см.
таблицу 2), результаты представляют в виде:
объемная доля бензина или керосина < 0,0050%.
5.2.7. Проверка приемлемости результатов измерений, полученных в условиях воспроизводимости
5.2.7.1. Для проведения проверки приемлемости результатов измерений в условиях воспроизводимости при необходимости повторных испытаний каждая лаборатория использует пробы, оставленные на хранение.
5.2.7.2. Приемлемость результатов измерений, полученных в двух лабораториях, оценивают сравнением разности этих результатов с критической разностью

по формуле
где

,

- средние значения объемной доли денатурирующей добавки, полученные в первой и второй лабораториях, %;

- значение критической разности для объемной доли денатурирующей добавки, %, при условии

(

,

- число параллельных определений в первой и второй лабораториях), вычисляемое по формуле
где 2,77 - коэффициент критического диапазона для двух параллельных определений по ГОСТ ИСО 5725-6;

- среднеарифметическое значение результатов определения объемной доли денатурирующей добавки, полученных в первой и второй лабораториях, %, вычисляемое по формуле
где

- показатель воспроизводимости (см.
таблицу 2);
0,01 - множитель для перехода от процентов к объемной доле.
Если критическая разность не превышена, то приемлемы оба результата измерений, приводимые двумя лабораториями, и в качестве окончательного результата используют их общее среднее значение. Если критическая разность превышена, выполняют процедуры в соответствии с ГОСТ ИСО 5725-6 (пункт 5.3.3). При разногласиях руководствуются ГОСТ ИСО 5725-6 (пункт 5.3.4).
5.2.8. Контроль стабильности результатов измерений при реализации методики в лаборатории
Контроль стабильности результатов измерений в лаборатории при реализации методики осуществляют по ГОСТ ИСО 5725-6, используя метод контроля стабильности стандартного отклонения повторяемости по ГОСТ ИСО 5725-6 (пункт 6.2.2) с применением контрольных карт Шухарта.
При этом вместо результатов, полученных с использованием стандартных образцов лаборатории, обрабатывают параллельные определения для получаемых по данной методике результатов анализа 20 - 30 образцов контролируемой продукции, а исходное значение стандартного отклонения повторяемости

получают по методикам, действующим на территории государства, принявшего стандарт.
Периодичность контроля и процедуры контроля стабильности результатов измерений должны быть предусмотрены в руководстве по качеству лаборатории в соответствии с ГОСТ ИСО/МЭК 17025
(подраздел 4.2) и по ГОСТ 8.010.
6. ТРЕБОВАНИЯ БЕЗОПАСНОСТИ
При проведении анализов следует соблюдать:
- требования работы с вредными веществами в соответствии с
ГОСТ 12.1.007;
- общие санитарно-гигиенические требования к воздуху рабочей зоны в соответствии с
ГОСТ 12.1.005.
К выполнению измерений допускаются специалисты, имеющие квалификацию не ниже техника, изучившие инструкцию по эксплуатации спектрофотометра, требования безопасности, прошедшие обучение и освоившие метод выполнения измерений.