Главная // Актуальные документы // ГОСТ (Государственный стандарт)СПРАВКА
Источник публикации
М.: ИПК Издательство стандартов, 2003
Примечание к документу
Документ
введен в действие с 01.11.2003.
Взамен ГОСТ 10213.2-73.
Название документа
"ГОСТ 10213.2-2002. Межгосударственный стандарт. Волокно штапельное и жгут химические. Методы определения разрывной нагрузки и удлинения при разрыве"
(введен в действие Постановлением Госстандарта России от 10.12.2002 N 464-ст)
"ГОСТ 10213.2-2002. Межгосударственный стандарт. Волокно штапельное и жгут химические. Методы определения разрывной нагрузки и удлинения при разрыве"
(введен в действие Постановлением Госстандарта России от 10.12.2002 N 464-ст)
комитета Российской Федерации
по стандартизации и метрологии
от 10 декабря 2002 г. N 464-ст
МЕЖГОСУДАРСТВЕННЫЙ СТАНДАРТ
ВОЛОКНО ШТАПЕЛЬНОЕ И ЖГУТ ХИМИЧЕСКИЕ
МЕТОДЫ ОПРЕДЕЛЕНИЯ РАЗРЫВНОЙ НАГРУЗКИ
И УДЛИНЕНИЯ ПРИ РАЗРЫВЕ
Staple chemical fibre and tow. Methods for determination
of breaking strength and breaking elongation
ГОСТ 10213.2-2002
Дата введения
1 ноября 2003 года
1 РАЗРАБОТАН Межгосударственным техническим комитетом по стандартизации МТК 301 "Синтетические волокна и нити"
ВНЕСЕН Госстандартом России
2 ПРИНЯТ Межгосударственным Советом по стандартизации, метрологии и сертификации (протокол N 5 от 1 июля 2002 г., по переписке)
За принятие проголосовали:
Наименование государства | Наименование национального органа по стандартизации |
Азербайджанская Республика | Азгосстандарт |
Республика Армения | Армгосстандарт |
Республика Беларусь | Госстандарт Республики Беларусь |
Грузия | Грузстандарт |
Республика Казахстан | Госстандарт Республики Казахстан |
Кыргызская Республика | Кыргызстандарт |
Республика Молдова | Молдовастандарт |
Российская Федерация | Госстандарт России |
Республика Таджикистан | Таджикстандарт |
Туркменистан | Главгосслужба "Туркменстандартлары" |
Республика Узбекистан | Узгосстандарт |
Украина | Госстандарт Украины |
3
Приложение А настоящего стандарта представляет собой аутентичный текст международного стандарта ИСО 5079-95 "Волокна текстильные. Определение разрывного усилия и относительного удлинения при разрыве одиночных волокон"
| | ИС МЕГАНОРМ: примечание. Текст дан в соответствии с официальным текстом документа. | |
4
Постановлением Государственного комитета Российской Федерации по стандартизации и метрологии от 10 декабря 2002 г. N 464-ст межгосударственный стандарт ГОСТ 10213.2-2002 введен в действие непосредственно в качестве государственного стандарта Российской Федерации с 1 ноября 2002 г.
5 ВЗАМЕН ГОСТ 10213.2-73
Настоящий стандарт распространяется на химические штапельное волокно и жгут и устанавливает методы определения разрывной нагрузки и удлинения при разрыве штапельных волокон и элементарных нитей в жгуте в сухом и мокром состоянии.
Стандарт не распространяется на углеродное, асбестовое и стеклянное волокна.
Допускается при согласовании между изготовителем и потребителем применять метод определения разрывной нагрузки и удлинения при разрыве по
приложению А.
В настоящем стандарте использованы ссылки на следующие стандарты:
ГОСТ 10213.0-2002 Волокно штапельное и жгут химические. Правила приемки и метод отбора проб
ГОСТ 10213.1-2002 Волокно штапельное и жгут химические. Метод определения линейной плотности
ГОСТ 10681-75 Материалы текстильные. Климатические условия для кондиционирования и испытания проб и методы их определения
ГОСТ 26171-2001 Волокна и нити химические. Нормы предварительных нагрузок при испытаниях
В настоящем стандарте применяют следующие термины с соответствующими определениями:
3.1 разрывная нагрузка: Максимальное усилие, выдерживаемое штапельным волокном или элементарной нитью жгута при испытании на растяжение до разрыва.
3.2 разрывная нагрузка в мокром состоянии: Максимальное усилие, выдерживаемое штапельным волокном или элементарной нитью жгута при испытании на растяжение в мокром состоянии до разрыва.
3.3 удельная разрывная нагрузка: Отношение разрывной нагрузки штапельного волокна или элементарной нити жгута к фактической линейной плотности.
3.4 удельная разрывная нагрузка в мокром состоянии: Отношение разрывной нагрузки штапельного волокна или элементарной нити жгута в мокром состоянии к фактической линейной плотности.
3.5 удлинение при разрыве: Удлинение, полученное к моменту окончательного разрыва штапельного волокна или элементарной нити жгута.
3.6 расстояние между зажимами: Расстояние между противоположно расположенными краями зажимных губок разрывной машины в точках выхода из них испытуемого участка штапельного волокна или элементарной нити жгута в исходном положении.
3.7 предварительная нагрузка: Усилие, прикладываемое к штапельному волокну или элементарной нити жгута перед его закреплением в зажимы разрывной машины с помощью грузиков-зажимов.
3.8 продолжительность испытания: Время, прошедшее от начала изменения длины штапельного волокна или элементарной нити жгута до разрыва, выраженное в секундах.
Сущность методов состоит в растяжении штапельного волокна или элементарных нитей в жгуте до разрыва и одновременном определении значения разрывной нагрузки и удлинения при разрыве в сухом и мокром состоянии.
5 Средства и вспомогательные устройства
5.1 Для проведения испытания применяют:
- машины разрывные маятникового типа;
- машины разрывные с постоянной скоростью растяжения;
- машины разрывные с постоянной скоростью возрастания нагрузки.
Погрешность измерения разрывной нагрузки - +/- 1%, при использовании автоматического оборудования - +/- 2%.
Погрешность измерения удлинения - +/- 0,1 мм.
При возникновении разногласий в определении разрывной нагрузки и удлинения при разрыве используют разрывные машины, на которые разработаны нормы по показателю "Удельная разрывная нагрузка и удлинение при разрыве" или коэффициенты их пересчета;
- грузики-зажимы предварительной нагрузки;
- доску-укладчик с бархатным или другим покрытием цвета, контрастного с цветом штапельного волокна или жгута, обеспечивающим хорошую сцепляемость со штапельным волокном или элементарной нитью жгута;
- секундомер по
[1] или другому НД;
- пинцет;
- сосуд для смачивания проб;
- смачиватель (неионогенный препарат) концентрации 1 г/дм3;
- воду дистиллированную;
- бумагу фильтровальную.
6 Порядок подготовки к проведению испытаний
6.1 Из разных мест лабораторной пробы, отобранной по
ГОСТ 10213.0, отбирают элементарную пробу массой не менее 0,5 г.
6.2 Из элементарной пробы штапельного волокна или жгута образуют пучок параллельных, невытянутых волокон.
6.3 Перед испытанием пучок штапельных волокон выдерживают в климатических условиях по
ГОСТ 10681.
В этих же условиях проводят испытания.
Продолжительность выдерживания пучка штапельных волокон - по
ГОСТ 10213.1.
6.4 Расстояние между зажимами разрывной машины устанавливают равным (10,0 +/- 0,1) мм или (20,0 +/- 0,1) мм.
6.5 На основании предварительного разрыва пяти - десяти штапельных волокон устанавливают скорость растяжения так, чтобы средняя продолжительность испытания штапельного волокна или элементарной нити жгута равнялась (20 +/- 3) с.
6.6 Количество испытаний должно быть не менее 50.
7 Порядок проведения испытаний
7.1 Штапельное волокно или элементарную нить жгута заправляют в зажимы разрывной машины при предварительной нагрузке, которую устанавливают в зависимости от номинальной линейной плотности из расчета 5 мН/текс по
ГОСТ 26171; при испытании в мокром состоянии - из расчета 2,5 мН/текс.
7.2 При испытании штапельного волокна или элементарной нити жгута в мокром состоянии волокно или элементарную нить жгута заправляют в верхнем зажиме при предварительной нагрузке и помещают в раствор смачивателя на 30 с. Сосуд со смачивателем поднимают на такую высоту, чтобы уровень жидкости в нем находился у края верхнего зажима, но не касался его.
После смачивания штапельного волокна или элементарной нити жгута сосуд опускают. Во избежание изменения предварительной нагрузки перед закрытием нижнего зажима с грузиков и нижнего зажима разрывной машины удаляют фильтровальной бумагой капельки воды.
После закрепления штапельного волокна или элементарной нити жгута в нижнем зажиме сосуд со смачивателем поднимают и в течение всего процесса испытания штапельное волокно или элементарную нить жгута выдерживают в растворе. Уровень раствора не должен достигать верхнего зажима.
7.3 Разрыв штапельного волокна или элементарной нити жгута на расстоянии менее 1 мм от зажимов разрывной машины не учитывают.
Разрывная машина должна быть отрегулирована так, чтобы количество обрывов в зажимах не превышало 10% количества исследуемых проб.
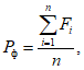
8 Правила обработки результатов испытаний
8.1 За фактическую разрывную нагрузку
Pф, гс, при разрыве принимают среднеарифметическое значение результатов всех единичных испытаний и вычисляют ее по формуле

(1)
где

- сумма результатов испытаний, гс;
n - число испытаний.
8.2 Фактическую разрывную нагрузку Pф, мН, при определении на разрывной машине F0 = 1с определяют по формуле

(2)
где 9,81 - коэффициент пересчета гс в мН;
m - масса сменного груза на маятнике, при котором проводились испытания, г;
M - среднеарифметическое значение результатов испытания, %;
m1 - масса грузика-зажима предварительной нагрузки, г.
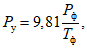
8.3 Удельную разрывную нагрузку Pу, мН/текс, вычисляют по формуле

(3)
где 9,81 - коэффициент пересчета гс в мН;
Pф - фактическая разрывная нагрузка штапельного волокна или элементарной нити жгута, гс;
Tф - фактическая линейная плотность штапельного волокна или элементарной нити жгута, текс.
8.4 Удлинение при разрыве L, %, вычисляют по формуле

(4)
где

- изменение длины штапельного волокна или элементарной нити жгута при разрыве, мм;
L0 - расстояние между зажимами разрывной машины, мм.
8.5 Среднее удлинение при разрыве

, %, вычисляют по формуле

(5)
где

- сумма результатов испытаний, %;
n - число испытаний.
8.6 Вычисление по
8.1 -
8.5 проводят с точностью до второго десятичного знака для единиц измерения гс, гс/текс и % с последующим округлением до первого десятичного знака и до первого десятичного знака для единиц измерения мН/текс, мН с последующим округлением до целого числа.
8.7 Вычисления разрывной нагрузки и удлинения при разрыве в мокром состоянии проводят по
8.1 -
8.6.
| | ИС МЕГАНОРМ: примечание. В официальном тексте документа, видимо, допущена опечатка: имеется в виду приложение В, а не приложение Б. | |
(рекомендуемое)
ВОЛОКНА ТЕКСТИЛЬНЫЕ. ОПРЕДЕЛЕНИЕ РАЗРЫВНОГО УСИЛИЯ
И ОТНОСИТЕЛЬНОГО УДЛИНЕНИЯ ПРИ РАЗРЫВЕ ОДИНОЧНЫХ ВОЛОКОН
(ИСО 5079-95)
А.1 Область применения
Настоящий стандарт устанавливает методы определения разрывной нагрузки и удлинения при разрыве одиночных волокон в сухом и мокром состоянии.
При определении этих свойств на различных типах оборудования могут быть получены различные результаты. Для того, чтобы уменьшить разницу между результатами на различном оборудовании, испытания проводят на разрывной машине с постоянной скоростью растяжения текстильных волокон.
Стандарт распространяется на текстильные волокна, включая извитые.
Примечание - Для определения разрывной нагрузки и удлинения при разрыве натуральных волокон (особенно шерсти и хлопка) используют пучки волокон (см. ИСО 3060 и ИВТО 32).
А.2 Нормативные ссылки
В настоящем стандарте использованы ссылки на следующие стандарты:
ИСО 139-73
<*> Текстиль. Стандартные атмосферные условия для кондиционирования и испытаний
ИСО 1130-75
<*> Волокна текстильные. Некоторые методы отбора образцов для испытаний
ИСО 1973-95
<*> Волокна текстильные. Определение линейной плотности. Гравиметрический метод и метод с применением виброскопа
ИСО 2602-80
<*> Статистическая обработка результатов испытаний. Оценка среднего значения. Доверительный интервал
ИСО 3060-74
<*> Текстиль. Хлопковые волокна. Определение удельной разрывной нагрузки плоских пучков
ИВТО 32-82
<**> Определение прочности пучка шерстяных волокон на разрыв. Международная организация по шерстяному текстилю. Брюссель
--------------------------------
<*> Международные стандарты - во ВНИИКИ Госстандарта России.
<**> Стандарт находится в Техническом секретариате ТК 198 "Шерсть".
А.3 Определения
В настоящем стандарте применяют следующие термины с соответствующими определениями:
А.3.1 разрывная нагрузка: Максимальное усилие, выдерживаемое волокном при растяжении его до разрыва в заданных условиях (см. A1 на рисунке 1).
Рисунок 1 - Типичная кривая разрывная
нагрузка - относительное удлинение
А.3.2 разрывная нагрузка при разрушении: Усилие перед полным разрушением волокна (см. B1 на рисунке 1).
А.3.3 удлинение (растяжение): Увеличение длины волокна при испытании на растяжение, выраженное в единицах длины.
А.3.4 относительное удлинение: Увеличение длины волокна при испытании на растяжение, выраженное в процентах к номинальной длине.
А.3.5
относительное удлинение при разрыве: Приращение длины испытуемого волокна в момент разрыва (см.
A2 на
рисунке 1).
А.3.6
относительное удлинение при разрушении: Удлинение испытуемого волокна, соответствующее его разрушению (см.
B2 на
рисунке 1).
А.3.7 зажимная длина: Расстояние между противоположно расположенными краями зажимов разрывной машины в исходном состоянии.
А.3.8 исходная длина: Длина испытуемого волокна под определенным предварительным натяжением в начале испытания.
Примечание - При определении разрывной нагрузки исходная длина измеряется между двумя точками зажима.
А.3.9 предварительное натяжение: Усилие, прикладываемое к волокну перед его закреплением в зажимы разрывной машины.
А.3.10 натяжение: Усилие, способное вызвать растяжение волокна.
Примечание - Натяжение, применяемое для испытания волокна, зависит от линейной плотности или площади поперечного сечения.
А.3.11 удельная разрывная нагрузка: Отношение разрывной нагрузки волокна к фактической линейной плотности.
А.4 Сущность метода
Сущность метода заключается в растяжении волокна до разрыва и одновременном определении разрывной нагрузки и удлинения при разрыве.
Для расчета удельной разрывной нагрузки необходимо определить линейную плотность одиночного волокна или среднее значение линейной плотности лабораторного образца (см. ИСО 1973).
А.5 Средства испытаний и вспомогательные устройства
А.5.1 Для проведения испытаний применяют:
машину с постоянной скоростью растяжения со специальными зажимами для закрепления одиночного волокна при определенной зажимной длине и устройством для растяжения волокна;
устройство для регистрации силы, действующей на волокно, и соответствующего удлинения;
устройство для записи кривой нагрузка - удлинение, цифровой дисплей или система сбора данных.
Заправка волокна в зажимы разрывной машины приведена в
приложении Б.
А.5.1.1 Машина должна быть снабжена устройством, обеспечивающим скорость растяжения в пределах от 5 до 20 мм/мин.
А.5.1.2 Погрешность измерения разрывной нагрузки должна быть +/- 1% среднего значения разрывной нагрузки волокна для испытаний.
Погрешность измерения удлинения - +/- 0,1 мм.
Погрешность измерения исходной длины - +/- 0,2 мм.
Постоянная скорость перемещения нижнего зажима должна изменяться в пределах +/- 5%.
А.5.1.3 Во избежание проскальзывания волокон в зажимах разрывной машины щечки зажимов, соприкасающиеся с волокном, должны быть покрыты таким материалом, который обеспечивает силу закрепления волокна без его повреждения.
А.5.2 Дистиллированная или деионизированная вода температурой (20 +/- 2) °C.
Смачиватель - раствор неионогенного поверхностно-активного вещества концентрацией 0,1%.
А.6 Климатические условия для кондиционирования образцов для испытаний
Для кондиционирования и испытания образцов используют климатические условия, установленные в ИСО 139.
А.7 Отбор проб
Для получения представительных образцов отбор проб следует проводить в соответствии с требованиями ИСО 1130.
А.8 Порядок подготовки и проведение испытаний
А.8.1 Испытания образцов проводят в климатических условиях по ИСО 139 (раздел 6).
А.8.2 Разрывную машину регулируют в зависимости от скорости подвижного зажима:
а) для волокон со средним удлинением при разрыве менее 8% скорость составляет 50% относительного удлинения в минуту;
б) для волокон со средним удлинением при разрыве, равным или превышающим 8%, скорость составляет 100% относительного удлинения в минуту.
Если значение номинального относительного удлинения при разрыве неизвестно, то устанавливают приблизительное значение в ходе предварительных испытаний.
Если относительное удлинение при разрыве составляет около 8%, то одно из вышеуказанных значений скорости должно быть согласовано между заинтересованными сторонами.
Если наряду с разрывной нагрузкой требуется определить линейную плотность, то ее определяют в соответствии с ИСО 1973 перед определением разрывной нагрузки.
Примечание - Если конечные результаты незначительно отличаются от тех, что получены в ходе предварительных испытаний, то повторные испытания при другой скорости не делают.
А.8.3 Волокно заправляют в зажимы разрывной машины при предварительной нагрузке по оси растяжения разрывной машины (см.
приложение Б).
А.8.3.1 Предварительную нагрузку устанавливают в зависимости от номинальной линейной плотности из расчета (1,0 +/- 0,1) сН/текс; при испытании в мокром состоянии - из расчета (0,5 +/- 0,05) сН/текс.
В таблице А.1 приведены значения предварительного натяжения для различных волокон.
Таблица А.1
Значения предварительного натяжения
Волокно | Предварительное натяжение <1>, сН/текс |
Целлюлозные искусственные волокна: | |
испытание в кондиционированном состоянии | 0,6 +/- 0,06 |
испытание в мокром состоянии | 0,25 +/- 0,03 |
Полиэфирные волокна: | |
линейная плотность < 2 дтекс | 2,0 +/- 0,2 |
линейная плотность >= 2 дтекс | 1,0 +/- 0,1 |
<1> При необходимости использования других значений предварительного натяжения требуется согласование между заинтересованными сторонами. |
А.8.3.2 Исходную длину между зажимами разрывной машины устанавливают равной 20 мм.
Примечание - Допускается использовать исходную длину 10 мм.
А.8.4 Волокно растягивают до разрыва при определенной скорости и записывают значения разрывной нагрузки и удлинения при разрыве.
А.8.5 Если нет других требований, то количество испытаний должно быть не менее 50.
Фиксируют количество обрывов в щечках зажимов, результаты в этом случае не учитывают.
Разрывная машина должна быть отрегулирована так, чтобы количество обрывов в зажимах не превышало 20% количества исследуемых образцов.
При заправке волокна в зажимы разрывной машины не допускается растягивать и раскручивать его.
А.8.6 Волокно, подвергаемое разрыву в мокром состоянии, помещают на 2 мин в дистиллированную или деионизированную воду. Затем закрепляют волокно в верхнем зажиме при предварительной нагрузке и смачивают его вторично в течение 10 с в наполненном водой стеклянном сосуде. После смачивания стеклянный сосуд опускают, закрепляют волокно в нижнем зажиме, поднимают сосуд со смачивателем и в течение всего процесса испытания волокно выдерживают в растворе. Уровень раствора не должен достигать верхнего зажима.
А.9 Обработка результатов испытаний
В соответствии с ИСО 2602 определяют следующие показатели:
а) среднее значение разрывной нагрузки, выраженное в сантиньютонах и подсчитанное до трех значимых цифр;
б) среднее значение относительного удлинения при разрыве, выраженное в процентах и подсчитанное до двух значимых цифр;
в) коэффициенты вариации по разрывной нагрузке и по относительному удлинению при разрыве, выраженные в процентах и подсчитанные с точностью до 0,1%;
г) 95%-ные доверительные интервалы разрывной нагрузки, выраженные в сантиньютонах сН, и относительного удлинения при разрыве, выраженные в процентах, подсчитанные с той же точностью, что и среднее значение;
д) удельная разрывная нагрузка, выраженная в сН/текс и подсчитанная с точностью до 0,1 сН/текс.
Удельная разрывная нагрузка может быть определена либо методом с применением виброскопа, либо гравиметрическим методом в соответствии с ИСО 1973.
Предпочтительным методом является метод с применением виброскопа.
А.10 Протокол испытания
Протокол испытания должен содержать:
А.10.1 общую информацию:
технические данные образца;
тип волокна;
климатические условия для кондиционирования, обработка образцов в мокром состоянии;
отбор проб, общее количество испытаний, количество обрывов в зажимах и при проскальзывании;
вид зажимов;
исходную длину, скорость разрыва в процентах в минуту, предварительное натяжение;
отклонение от заданной методики при согласовании или без него.
А.10.2 Результаты испытаний:
среднее значение разрывной нагрузки, сН;
среднее значение относительного удлинения, %;
коэффициенты вариации по разрывной нагрузке, %, и по относительному удлинению при разрыве, %;
95%-ные доверительные интервалы разрывной нагрузки, сН и относительного удлинения при разрыве, %;
среднее значение линейной плотности, децитекс;
метод, используемый для определения линейной плотности;
удельная разрывная нагрузка, сН/текс.
(справочное)
ЗАПРАВКА ОПЫТНЫХ ОБРАЗЦОВ В ЗАЖИМЫ РАЗРЫВНОЙ МАШИНЫ
(ИСО 5079-95)
Б.1 При заправке волокна в зажимы разрывной машины оно не должно быть повреждено. В процессе испытания волокно нельзя брать или держать пинцетом.
Б.2 Для хрупких волокон используют картонные держатели. В тонком картоне вырезают прямоугольное отверстие длиной, равной базовой длине. Волокно размещают поперек отверстия и закрепляют клеем. Необходимо следить за тем, чтобы клей не попадал на участок волокна, предназначенный для испытаний.
При проведении испытаний в мокром состоянии пластинка и клей должны быть влагоустойчивыми.
Б.3 При заправке волокон с предварительным натяжением используют зажимы "крокодил".
(обязательное)
Протокол испытаний должен содержать:
наименование продукции;
обозначение настоящего стандарта;
тип разрывной машины и вид зажимов;
значение предварительной нагрузки;
расстояние между зажимами;
количество испытаний;
фактическую разрывную нагрузку;
удельную разрывную нагрузку;
удлинение при разрыве;
дату проведения испытаний;
подпись лица, проводившего испытания.
(справочное)
БИБЛИОГРАФИЯ
[1] ТУ 25-1894.003-90 Секундомеры механические