Главная // Актуальные документы // ГОСТ (Государственный стандарт)СПРАВКА
Источник публикации
М.: Стандартинформ, 2014
Примечание к документу
Текст данного документа приведен с учетом
поправки, опубликованной в "ИУС", N 6, 2023.
Документ
введен в действие с 01.07.2014.
Название документа
"ГОСТ ISO/TS 10272-2-2013. Межгосударственный стандарт. Микробиология пищевых продуктов и кормов для животных. Методы обнаружения и подсчета бактерий Campylobacter spp. Часть 2. Метод подсчета колоний"
(введен в действие Приказом Росстандарта от 27.06.2013 N 228-ст)
"ГОСТ ISO/TS 10272-2-2013. Межгосударственный стандарт. Микробиология пищевых продуктов и кормов для животных. Методы обнаружения и подсчета бактерий Campylobacter spp. Часть 2. Метод подсчета колоний"
(введен в действие Приказом Росстандарта от 27.06.2013 N 228-ст)
по техническому регулированию
и метрологии
от 27 июня 2013 г. N 228-ст
МЕЖГОСУДАРСТВЕННЫЙ СТАНДАРТ
МИКРОБИОЛОГИЯ ПИЩЕВЫХ ПРОДУКТОВ И КОРМОВ ДЛЯ ЖИВОТНЫХ
МЕТОДЫ ОБНАРУЖЕНИЯ И ПОДСЧЕТА БАКТЕРИЙ CAMPYLOBACTER SPP.
ЧАСТЬ 2
МЕТОД ПОДСЧЕТА КОЛОНИЙ
Microbiology of food and animal feeding stuffs. Methods
for detection and enumeration of Campylobacter spp.
Part 2. Colony-count technique
(ISO/TS 10272-2:2006, IDT)
ГОСТ ISO/TS 10272-2-2013
Дата введения
1 июля 2014 года
Цели, основные принципы и основной порядок проведения работ по межгосударственной стандартизации установлены
ГОСТ 1.0-92 "Межгосударственная система стандартизации. Основные положения" и
ГОСТ 1.2-2009 "Межгосударственная система стандартизации. Стандарты межгосударственные, правила и рекомендации по межгосударственной стандартизации. Правила разработки, принятия, применения, обновления и отмены".
1. Подготовлен ОАО "Всероссийский научно-исследовательский институт сертификации" (ОАО "ВНИИС").
2. Внесен Федеральным агентством по техническому регулированию и метрологии (ТК 335).
3. Принят Межгосударственным советом по стандартизации, метрологии и сертификации (Протокол от 7 июня 2013 г. N 43).
За принятие проголосовали:
Краткое наименование страны по МК (ИСО 3166) 004-97 | Код страны по МК (ИСО 3166) 004-97 | Сокращенное наименование национального органа по стандартизации |
Беларусь | BY | Госстандарт Республики Беларусь |
Казахстан | KZ | Госстандарт Республики Казахстан |
Киргизия | KG | Кыргызстандарт |
Россия | RU | Росстандарт |
Таджикистан | TJ | Таджикстандарт |
Узбекистан | UZ | Узстандарт |
4.
Приказом Федерального агентства по техническому регулированию и метрологии от 27 июня 2013 г. N 228-ст межгосударственный стандарт ГОСТ ISO/TS 10272-2-2013 введен в действие в качестве национального стандарта Российской Федерации с 1 июля 2014 г.
5. Настоящий стандарт идентичен международному документу ISO/TS 10272-2:2006 Microbiology of food and animal feeding stuffs - Horizontal method for detection and enumeration of Campylobacter spp. - Part 2: Colony-count technique (Микробиология пищевых продуктов и кормов для животных. Горизонтальный метод обнаружения и подсчета бактерий Campylobacter spp. Часть 2. Метод подсчета колоний).
Международный стандарт разработан подкомитетом SC 9 "Микробиология" Технического комитета по стандартизации ISO/TC 34 "Пищевые продукты" Международной организации по стандартизации (ISO).
Перевод с английского языка (en).
Официальные экземпляры международного стандарта, на основе которого подготовлен настоящий стандарт, и международных стандартов, на которые даны ссылки, имеются в национальных (государственных) органах по стандартизации указанных выше государств.
Степень соответствия - идентичная (IDT).
6. Введен впервые.
Информация об изменениях к настоящему стандарту публикуется в ежегодном информационном указателе "Национальные стандарты", а текст изменений и поправок - в ежемесячном информационном указателе "Национальные стандарты". В случае пересмотра (замены) или отмены настоящего стандарта соответствующее уведомление будет опубликовано в ежемесячном информационном указателе "Национальные стандарты". Соответствующая информация, уведомление и тексты размещаются также в информационной системе общего пользования - на официальном сайте Федерального агентства по техническому регулированию и метрологии в сети Интернет.
Настоящий стандарт устанавливает метод подсчета Campylobacter spp.
Настоящий стандарт распространяется:
- на пищевую продукцию и корма для животных;
- на пробы окружающей среды в области производства и обращения пищевой продукции.
В настоящем стандарте использованы нормативные ссылки на следующие стандарты:
ISO 6887 (все части) Microbiology of food and animal feeding stuffs - Preparation of test samples, initial suspension and decimal dilutions for microbiological examination (Микробиология пищевых продуктов и кормов для животных. Приготовление проб для испытаний, исходных суспензий и десятичных разведений для микробиологических исследований)
ISO 7218 Microbiology of food and animal feeding stuffs - General requirements and guidance for microbiological examinations (Микробиология пищевых продуктов и кормов для животных. Общие требования и рекомендации для микробиологических исследований)
ISO 8261 Milk and milk products. General guidance for the preparation of tests samples, initial suspensions and decimal dilutions for microbiological examination (Молоко и молочные продукты. Общие правила приготовления испытуемых проб для анализа, исходных суспензий и десятичных разведений для микробиологических исследований)
ISO/TS 11133-1 Microbiology of food and animal feeding stuffs - Guidelines on preparation and production of culture media - Part 1: General guidelines on quality assurance for the preparation of culture media in the laboratory (Микробиология пищевых продуктов и кормов для животных. Правила приготовления и производства питательных сред. Часть 1. Общие правила по обеспечению качества приготовления питательных сред в лаборатории)
ISO/TS 11133-2 Microbiology of food and animal feeding stuffs - Guidelines on preparation and production of culture media - Part 2: Practical guidelines on performance testing of culture media (Микробиология пищевых продуктов и кормов для животных. Руководящие указания по приготовлению и производству питательных сред. Часть 2: Практические руководящие указания по определению эффективности питательных сред)
В настоящем стандарте применены следующие термины с соответствующими определениями:
3.1. Campylobacter (Campylobacter): микроорганизмы, образующие характерные колонии на твердой селективной среде, при инкубировании в аэробных условиях при температуре 41,5 °C, но не при температуре 25 °C, которые обладают характерной подвижностью, биохимическими свойствами и способностью к росту, при условии проведения испытаний в соответствии с настоящим стандартом.
Примечание. Наиболее часто встречающимися видами являются Campylobacter jejuni и Campylobacter coli. Вместе с тем, были описаны и другие виды (Campylobacter lari, Campylobacter upsaliensis и некоторые другие).
3.2. Подсчитанное число Campylobacter (count of Campylobacter): число Campylobacter, обнаруженное в миллилитре или в грамме испытуемой пробы, когда испытания проводят в соответствии с настоящим стандартом.
4.1. Приготовление разведений
Приготовление десятичных разведений на основе испытуемой пробы - по ISO 6887 и ISO 8261.
4.2. Подсчет
Испытуемую пробу наносят на твердую селективную среду, модифицированный агар с углем, цефоперазоном и дезоксихолатом (агар mCCD), если продукт является жидким, или на исходную суспензию в случае других продуктов.
При соблюдении тех же условий приготовляют другие чашки, используя десятикратные разведения испытуемой пробы или исходной суспензии.
Чашки инкубируют при температуре 41,5 °C в аэробных условиях в течение 40 - 48 ч.
Колонии, предположительно Campylobacter, пересевают на неселективную агаровую среду, колумбийский кровяной агар, затем подтверждают посредством исследования под микроскопом и надлежащего биохимического испытания и теста на контроль роста.
Количество Campylobacter в 1 см3 или в грамме испытуемой пробы рассчитывают на основе количества подтвержденных типичных колоний в чашке.
5. ПИТАТЕЛЬНЫЕ СРЕДЫ И РЕАКТИВЫ
5.1. Общие положения
Качество подготовки, изготовления и оценки эффективности питательных сред для выращивания Campylobacter - по ISO 7218, ISO/TS 11133-1 и ISO/TS 11133-2.
5.2. Разбавитель - по ISO 6887.
5.3. Модифицированный агар с углем, цефоперазоном и дезоксихолатом (агар mCCD)
5.3.1.1. Состав:
мясной экстракт - 10,0 г;
продукт ферментативного переваривания животных тканей - 10,0 г;
натрия хлорид - 5,0 г;
древесный уголь - 4,0 г;
продукт ферментативного переваривания казеина - 3,0 г;
натрия дезоксихолат - 1,0 г;
железа (II) сульфат - 0,25 г;
натрия пируват - 0,25 г;
вода - 1000 см3.
--------------------------------
<1> В зависимости от прочности геля агара.
5.3.1.2. Приготовление
Основные компоненты или полную сухую базовую среду растворяют в воде, доводя до кипения. При необходимости корректируют pH так, чтобы после стерилизации он был равен (7,4 +/- 0,2) при температуре 25 °C. Базовую среду переносят в колбы подходящей вместимости. Стерилизуют в автоклаве
(6.1) при температуре 121 °C в течение 15 мин.
5.3.2. Раствор антибиотиков
5.3.2.1. Состав:
цефоперазон - 0,032 г;
амфотерицин B - 0,01 г;
вода - 5 см3.
5.3.2.2. Приготовление
Компоненты растворяют в воде. Стерилизуют путем фильтрации.
5.3.3. Полная среда
5.3.3.1. Состав:
раствор антибиотиков
(5.3.2) - 5 см3.
5.3.3.2. Приготовление
Раствор антибиотиков добавляют в базовую среду, охлажденную до температуры (47 +/- 2) °C, затем тщательно перемешивают. Около 15 см3 полной среды добавляют в стерильные чашки Петри
(6.8). Дают затвердеть. Непосредственно перед использованием тщательно высушивают агаровые чашки, предпочтительно с открытыми крышками и поверхностью агара вниз, в сушильном шкафу
(6.2) в течение 30 мин или до тех пор, пока поверхность агара не утратит видимую влагу. Если их готовят заранее, невысушенные агаровые чашки следует хранить не более 4 ч при комнатной температуре или в темном месте при (5 +/- 3) °C не более семи дней.
5.3.3.3. Проверка эффективности
Определение селективности и производительности - по ISO 11133-1. Информация о критериях эффективности - в ISO 11133-2, таблица B.5.
5.4. Колумбийский кровяной агар
5.4.1.1. Состав:
продукт ферментативного переваривания животных тканей - 23,0 г;
крахмал - 1,0 г;
натрия хлорид - 5,0 г;
вода - 1 000 см3.
--------------------------------
<1> В зависимости от прочности геля агара.
5.4.1.2. Приготовление
Основные компоненты или полную сухую среду растворяют в воде, доводя до кипения. При необходимости корректируют pH так, чтобы после стерилизации он был равен (7,3 +/- 0,2) ед. pH при температуре 25 °C. Базовую среду переносят в колбы подходящей вместимости. Стерилизуют в автоклаве
(6.1) при температуре 121 °C в течение 15 мин.
5.4.2. Стерильная дефибринированная баранья кровь.
5.4.3. Полная среда
5.4.3.1. Состав:
стерильная дефибринированная баранья кровь (5.4.2) - 50 см3.
5.4.3.2. Приготовление
Соблюдая стерильность, добавляют кровь к базовой среде, охлажденной до температуры (47 +/- 2) °C, затем перемешивают. Около 15 см3 полной среды добавляют в стерильные чашки Петри
(6.8). Дают затвердеть. Непосредственно перед использованием тщательно высушивают агаровые чашки, предпочтительно с открытыми крышками и поверхностью агара вниз, в сушильном шкафу
(6.2) в течение 30 мин или до тех пор, пока поверхность агара не утратит видимую влагу. Если их готовят заранее, невысушенные агаровые чашки следует хранить не более 4 ч при комнатной температуре или не более семи дней при (5 +/- 3) °C.
5.4.3.3. Проверка эффективности
Определение селективности и производительности сред - по ISO/TS 11133-1. Информация о проверке эффективности - по ISO/TS 11133-2. Контрольные штаммы C. coli ATCC 43478 или C. jejuni ATCC 33291 должны демонстрировать значительный рост на колумбийском кровяном агаре после аэробной инкубации в течение 24 ч при температуре 37 °C.
5.5. Жидкая среда для бруцелл
5.5.1. Состав:
продукт ферментативного переваривания казеина - 10,0 г;
продукт ферментативного переваривания животных тканей - 10,0 г;
глюкоза - 1,0 г;
экстракт из дрожжей - 2,0 г;
натрия хлорид - 5,0 г;
натрия гидросульфит - 0,1 г;
вода - 1 000 см3.
5.5.2. Приготовление
Основные компоненты или полную сухую среду растворяют в воде, в случае необходимости проводя нагрев. При необходимости корректируют pH так, чтобы после стерилизации он был равен (7,0 +/- 0,2) ед. pH при температуре 25 °C. Среду разливают порциями по 10 см3 в пробирки. Стерилизуют в автоклаве
(6.1) при температуре 121 °C в течение 15 мин.
5.5.3. Проверка эффективности
Определение селективности и производительности сред - по ISO/TS 11133-1. Информация о критериях эффективности - в ISO/TS 11133-2, таблица B.4.
5.6. Реактив для обнаружения оксидазы
5.6.1. Состав:

- 1,0 г;
вода - 100 см3.
5.6.2. Приготовление
Растворяют данный компонент в воде непосредственно перед использованием.
6. ОБОРУДОВАНИЕ И ХИМИЧЕСКАЯ СТЕКЛЯННАЯ ПОСУДА
Используют микробиологическое лабораторное оборудование по ИСО 7218 и, в частности, нижеприведенное.
6.1. Оборудование для сухой стерилизации (сушильный шкаф) или влажной стерилизации (автоклав) по ISO 7218.
6.2. Сушильный шкаф, ламинарный бокс или термостат, способные функционировать в диапазоне температур от 37 °C до 55 °C.
6.3. Термостат, работающий при температуре (41,5 +/- 1) °C.
6.4. Термостат, работающий при температуре (25 +/- 1) °C.
6.5. Водяная баня, работающая в диапазоне 44 °C - 47 °C.
6.6. pH-метр с точностью 0,1 ед. pH при температуре 25 °C.
6.7. Сосуды, пробирки, колбы, пригодные для стерилизации и хранения разбавителя и питательных сред.
6.8. Чашки Петри, предпочтительно с выемками, стеклянные или пластиковые, диаметром 90 - 100 мм.
6.9. Градуированные пипетки с полным сливом, с широким отверстием, номинальной вместимостью 1 см3 и 10 см3, градуированные с делениями 0,1 см3.
6.10. Резиновые груши или любая другая система безопасности, которую можно адаптировать к градуированным пипеткам.
6.11. Стерильные петли из проволоки платино-иридиевой, никелево-хромовой диаметром приблизительно 3 мм или стеклянная или пластиковая палочка.
Примечание. Никелево-хромовая петля непригодна для использования в испытании с оксидазой (см.
9.4.3).
6.12. Шпатель, стеклянный или пластиковый.
6.13. Микроскоп, предпочтительно с фазовым контрастом (для наблюдения характерной подвижности Campylobacter).
6.14. Надлежащее оборудование для достижения аэробных условий с содержанием кислорода (5 +/- 2)%, диоксида углерода (10 +/- 3)%, альтернативного водорода <= 10%, с соблюдением баланса азота. Используют подходящие герметичные контейнеры, способные удерживать чашки Петри, например, бактериологические анаэробные сосуды. Необходимые аэробные условия достигаются при использовании имеющихся в продаже газогенераторных комплектов (следует в точности соблюдать производственные инструкции, в частности, те из них, которые относятся к объему сосуда и вместимости газогенераторного комплекта). В качестве альтернативы используют промывание сосуда надлежащей газовой смесью перед инкубацией.
В лабораторию направляют представительную пробу. Проба не должна быть повреждена или изменена в процессе транспортирования или хранения.
Отбор проб не является частью метода, установленного в настоящем стандарте. Отбор проб проводят в соответствии с конкретным стандартом на данную продукцию. Рекомендуется достижение соглашения заинтересованных сторон по отбору проб конкретного продукта при отсутствии соответствующего стандарта.
Принимая во внимание, что Campylobacter spp. весьма чувствительны к замораживанию, испытуемые пробы следует хранить при температуре (3 +/- 2) °C и анализировать в кратчайшие сроки. Принимают меры по предотвращению высыхания проб.
8. ПРИГОТОВЛЕНИЕ ИСПЫТУЕМОЙ ПРОБЫ
Испытуемую пробу приготовляют в соответствии с конкретным стандартом на определенные виды продукции. Если не существует конкретного стандарта, рекомендуется, чтобы заинтересованные стороны достигли соглашения по данному вопросу.
9. МЕТОДИКА ПРОВЕДЕНИЯ ИСПЫТАНИЯ
9.1. Подготовка пробы, исходной суспензии и разведение - по ISO 6887 и конкретному стандарту на определенные виды продукции.
Приготовляют единичную серию десятикратных разведений на основе испытуемой пробы, если продукция жидкая, или на основе исходной суспензии в случае продукции других видов.
9.2. Посев и инкубация
9.2.1. Используя стерильную пипетку
(6.9), переносят 0,1 см3 исходных суспензий (9.1) в обе чашки с агаровой средой mCCD
(5.3). Тщательно и равномерно размазывают посев как можно быстрее по поверхности слоя, при этом не касаясь сторон чашки, используя стерильный шпатель
(6.12) до тех пор, пока на поверхности агара не исчезнет вся видимая жидкость.
При необходимости данную процедуру повторяют с последующими десятикратными разведениями.
Если для некоторых видов продукции необходимо оценить небольшое количество Campylobacter, предел подсчета может быть снижен на коэффициент 10 путем исследования 1,0 см3 исходной суспензии.
1,0 см3 посева распределяют на поверхности агаровой среды в широкой чашке Петри диаметром 140 мм или на поверхности агаровой среды в трех небольших чашках диаметром 90 мм, используя стерильный шпатель
(6.12). В обоих случаях приготовляют дублирующие пробы, используя две большие чашки или шесть маленьких чашек.
9.2.2. Чашки
(9.2.1) инкубируют при температуре 41,5 °C в течение 40 - 48 ч в аэробных условиях
(6.14).
9.3. Подсчет и отбор колоний для подтверждения
9.3.1. На агаре mCCD типичные колонии имеют сероватый цвет, нередко с металлическим отблеском, они плоские и влажные, с тенденцией к распространению. Размеры колоний уменьшаются на более сухой агаровой поверхности. Могут появиться другие формы колоний.
Отбирают чашки (9.2.2), содержащие менее 150 типичных или подозрительных колоний; эти колонии подсчитывают. Затем отбирают случайным образом пять таких колоний для субкультивирования для проведения подтверждающих испытаний (9.4).
9.3.2. Проводят штриховой посев каждой из отобранных колоний (9.3.1) на чашки с колумбийским кровяным агаром
(5.4) с целью содействия развитию изолированных колоний. Чашки инкубируют в аэробных условиях при температуре 41,5 °C в течение 24 - 48 ч. Для исследования морфологии, подвижности, аэробного роста при температуре 25 °C, аэробного роста при температуре 41,5 °C и наличия оксидазы используют чистые культуры.
9.4. Подтверждение вида Campylobacter
9.4.1. Исследование морфологии и подвижности
9.4.1.1. Суспендируют одну колонию из чашки с колумбийским кровяным агаром
(9.3.2) в 1 см3 жидкой среды для бруцелл
(5.5) и анализируют морфологию и подвижность с использованием микроскопа
(6.13).
9.4.1.2. Для последующих исследований сохраняют все культуры
(9.3.2), в которых обнаружены изогнутые бациллы с подвижностью спирального штопора (9.4.1.1).
9.4.2. Исследование аэробного роста при температуре 25 °C и 41,5 °C
Изолированные колонии, указанные в 9.4.1.2, пересевают петлей
(6.11) на поверхность обеих чашек с колумбийским кровяным агаром
(5.4).
Инкубируют одну чашку при температуре 25 °C в аэробных условиях
(6.14) в течение 40 - 48 ч. Инкубируют вторую чашку при температуре 41,5 °C в аэробных условиях в течение 40 - 48 ч.
Исследуют чашки на предмет видимого роста колоний Campylobacter.
9.4.3. Обнаружение оксидазы
Используя платиново-иридиевую петлю или стеклянную палочку
(6.11), отбирают часть изолированной колонии из каждой отдельной чашки
(9.4.1.2) и наносят на фильтровальную бумагу, смоченную реактивом для обнаружения оксидазы
(5.6). Появление лилового, сиреневого или темно-синего цвета в течение 10 с свидетельствует о положительной реакции. Если используется имеющийся в продаже набор для анализа оксидазы, необходимо следовать инструкциям изготовителя.
Результаты подтверждают, используя положительный и отрицательный контроль. Примерами подходящих контрольных штаммов являются Pseudomonas aeruginosa NCTC 10662 (положительный контроль) и Escherichia coli NCTC 9001 (отрицательный контроль).
Campylobacter spp. дает результаты согласно таблице 1.
Таблица 1
Характеристики Campylobacter spp.
Наименование показателя | Характеристика |
| Малые искривленные бациллы |
| Характерная |
| - |
| - |
| + |
10. ОБРАБОТКА РЕЗУЛЬТАТОВ
10.1. Подсчет колоний Campylobacter
10.1.1. Если подтверждается по крайней мере 80% отобранных колоний
(9.4.4), за число Campylobacter принимают число, приведенное в подсчете в соответствии с
9.3.
10.1.2. Во всех остальных случаях рассчитывают числа Campylobacter, которые были получены в соответствии с
9.3 и подтверждены
(9.4.4). Результат округляют до целого числа колоний.
10.2. Метод расчета
10.2.1. Общий случай - чашки, содержащие от 15 до 150 колоний презумптивных Campylobacter
Рассчитывают число N Campylobacter см3/г, присутствующих в испытуемой пробе как средневзвешенное значение на основе двух последовательных разведений, используя уравнение:
где

- сумма колоний, которые соответствуют критериям

идентификации, подсчитанных во всех чашках, оставшихся после двух последовательных разведений, и когда по меньшей мере одна чашка содержит минимум 15 колоний;
V - объем инокулята, внесенный в каждую чашку, см3/г;

- количество чашек, оставшихся при первом разведении;

- количество чашек, оставшихся при втором разведении;
d - коэффициент разведения, соответствующий первому оставшемуся разведению [d = 1, когда используется неразведенный жидкий продукт (испытуемая проба)].
Результаты округляют до двух значащих цифр. Это делают следующим образом: в случае, когда третья цифра меньше 5, предыдущую цифру не изменяют; если третья цифра больше или равна 5, предыдущую цифру увеличивают на единицу.
В качестве результата принимают число предпочтительно между 1,0 и 9,9, умноженное на 10 в соответствующей степени или целое число с двумя значащими цифрами.
Результат выражают следующим образом:
число N Campylobacter на сантиметр кубический (жидкого продукта) или на грамм (другие виды продукции).
Пример. Подсчет дал следующие результаты:
- при оставшемся первом разведении

- 66 или 80 колоний;
- при оставшемся втором разведении

- четыре или семь колоний.
Было проведено испытание отобранных колоний:
- для 66 колоний: пять колоний, четыре из которых согласуются с приведенным критерием a = 66 (см.
10.1.1);
- для 80 колоний: пять колоний, три из которых согласуются с приведенным критерием a = 48;
- для семи колоний: пять колоний, четыре из которых согласуются с приведенным критерием a = 7;
- для четырех колоний: все четыре колонии подтверждены.
После округления результата число Campylobacter составляет 57 000 или

на см3/г.
10.2.2. Случай двух чашек, содержащих менее 15 колоний
Если обе чашки при посеве и выдержке в случае испытуемой пробы (жидкий продукт), исходной суспензии (другие виды продуктов) или первого разведения содержат менее 15 типичных колоний, рассчитывают предполагаемое число

, присутствующих в испытуемой пробе как среднеарифметическое значение колоний, подсчитанных на обеих чашках, по уравнению:
где

- сумма колоний, подсчитанных на обеих чашках;
V - объем инокулята, внесенный в каждую чашку, см3/г;
n - количество оставшихся чашек (в данном случае п = 2);
d - коэффициент разведения исходной суспензии или первого инокулированного разведения [(d = 1, когда используется неразведенный жидкий продукт (испытуемая проба)].
Результат выражают следующим образом: предполагаемое число

на кубический сантиметр (жидкого продукта) или на грамм (других видов продукции).
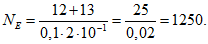
Пример. Подсчет дал следующие результаты:
- при оставшемся первом разведении

было подсчитано 12 и 13 колоний:
После округления результата, как это рекомендуется в
10.2.1, предполагаемое число

составляет 1300 или

на см3/г.
10.2.3. Случай двух чашек, не содержащих колоний
Если обе чашки при посеве и выдержке в случае испытуемой пробы (жидкий продукт), исходной суспензии (другие виды продуктов) или первого разведения не содержат никаких колоний, результаты выражают следующим образом:
менее 1/d · V Campylobacter на см3 (жидкого продукта) или на грамм (других видов продукции);
где d - коэффициент разведения исходной суспензии или первого разведения, инокулированных или выдержанных [

в случае, когда выдерживают непосредственно инокулированную испытуемую пробу (жидкий продукт)];
V - объем инокулята, внесенный в чашки, см3/г.
10.3. Прецизионность
Исключительно в силу статистических причин, в 95% случаев доверительные пределы данного метода подсчета колоний от +/- 16% до 52%
[3]. В случае подсчета колоний, когда их не более 15 в одной чашке, доверительные пределы приведены в Приложении A. На практике может иметь место даже больший разброс, особенно среди результатов, полученных различными операторами.
(справочное)
ДОВЕРИТЕЛЬНЫЕ ПРЕДЕЛЫ ДЛЯ ПОДСЧЕТА МАЛЫХ КОЛИЧЕСТВ КОЛОНИЙ
A.1. Доверительные пределы при уровне 95% для подсчета малых количеств, когда имеющихся колоний не более 15, приведены в таблице A.1.
Таблица A.1
Количество колоний микроорганизмов | Доверительные пределы при уровне 95% |
нижний | верхний |
1 | < 1 | 2 |
2 | < 1 | 4 |
3 | < 1 | 5 |
4 | 1 | 6 |
5 | 2 | 9 |
6 | 2 | 10 |
7 | 2 | 12 |
8 | 3 | 13 |
9 | 4 | 14 |
10 | 4 | 16 |
11 | 5 | 18 |
12 | 6 | 19 |
13 | 7 | 20 |
14 | 7 | 21 |
15 | 8 | 23 |
(справочное)
СВЕДЕНИЯ О СООТВЕТСТВИИ ССЫЛОЧНЫХ МЕЖГОСУДАРСТВЕННЫХ
СТАНДАРТОВ ССЫЛОЧНЫМ МЕЖДУНАРОДНЫМ СТАНДАРТАМ
Таблица ДА.1
Обозначение и наименование ссылочного международного стандарта | Степень соответствия | Обозначение и наименование соответствующего межгосударственного стандарта |
| - | |
ISO 7218:2007 Микробиология пищевых продуктов и кормов для животных. Общие требования и рекомендации по микробиологическим исследованиям | IDT | ГОСТ ISO 7218-2008 Микробиология пищевых продуктов и кормов для животных. Общие требования и рекомендации по микробиологическим исследованиям |
ISO 8261:2001 Молоко и молочные продукты. Общие правила приготовления проб для анализа, исходных суспензий и десятичных разведений для микробиологических исследований | - | |
ISO/TS 11133-1:2000 Микробиология пищевых продуктов и кормов для животных. Правила приготовления и производства питательных сред. Часть 1. Общие правила по обеспечению качества приготовления питательных сред в лаборатории | IDT | ГОСТ ISO 11133-1-2011 Микробиология пищевых продуктов и кормов для животных. Руководящие указания по приготовлению и производству культуральных сред. Часть 1. Общие руководящие указания по обеспечению качества приготовления культурных сред в лаборатории |
ISO/TS 11133-2:2003 Микробиология пищевых продуктов и кормов для животных. Правила приготовления и производства питательных сред. Часть 2. Практические руководящие указания по определению функциональных характеристик питательных сред | IDT | ГОСТ ISO 11133-2-2011 Микробиология пищевых продуктов и кормов для животных. Руководящие указания по приготовлению и производству культуральных сред. Часть 2. Практические руководящие указания по эксплуатационным испытаниям культуральных сред |
<*> Соответствующий межгосударственный стандарт отсутствует. До его утверждения рекомендуется использовать перевод на русский язык данного международного стандарта. Перевод данного международного стандарта находится в Федеральном информационном фонде технических регламентов и стандартов. |
|
Примечание. В настоящем стандарте использовано условное обозначение степени соответствия стандарта: |
- IDT - идентичные стандарты. |
--------------------------------
<1> ISO 6887-1:1999, ISO 6887-2:2003, ISO 6887:3-2003, ISO 6887-4/AMD. 1:2011, ISO 6887-5:2010.
[1] | BOLTON, F.J. et al. A blood-free selective medium for the isolation of Campylobacter jejuni from faeces. J. Clin. Microbiol. 19, 1984, pp. 169 - 171 |
[2] | CORRY, J.E.L. et al. (eds). Handbook of culture media for food microbiology. Progress in Industrial Microbiology. Vol. 37, Elsevier, Amsterdam, 2003 |
| COWELL N.D. and MORISETTI M.D. J. Sci. Fd. Agric. 20, 1969, p. 573 |
[4] | HUNT, J.M. et al. Campylobacter. In: Food and Drug Administration Bacteriological Analytical Manual, 8th edition, AOAC, Arlington VA, USA, 1998 |
[5] | HUTCHINSON, D.N. and BOLTON, F.J. Improved blood-free selective medium for the isolation of Campylobacter jejuni from faecal specimen. J. Clin. Pathol. 37, 1984, pp. 956 - 957 |