Главная // Актуальные документы // ГОСТ (Государственный стандарт)СПРАВКА
Источник публикации
М.: Стандартинформ, 2014
Примечание к документу
Текст данного документа приведен с учетом
поправки, введенной в действие с 03.11.2021, опубликованной в "ИУС", N 2, 2022.
Документ
введен в действие с 01.07.2014.
Название документа
"ГОСТ ISO 8973-2013. Межгосударственный стандарт. Газы углеводородные сжиженные. Расчет плотности и давления насыщенных паров"
(введен в действие Приказом Росстандарта от 14.08.2013 N 519-ст)
"ГОСТ ISO 8973-2013. Межгосударственный стандарт. Газы углеводородные сжиженные. Расчет плотности и давления насыщенных паров"
(введен в действие Приказом Росстандарта от 14.08.2013 N 519-ст)
агентства по техническому
регулированию и метрологии
от 14 августа 2013 г. N 519-ст
МЕЖГОСУДАРСТВЕННЫЙ СТАНДАРТ
ГАЗЫ УГЛЕВОДОРОДНЫЕ СЖИЖЕННЫЕ
РАСЧЕТ ПЛОТНОСТИ И ДАВЛЕНИЯ НАСЫЩЕННЫХ ПАРОВ
Liquefied petroleum gases. Calculation of density
and saturated vapour pressure
(ISO 8973:1997, IDT)
ГОСТ ISO 8973-2013
Дата введения
1 июля 2014 года
Цели, основные принципы и порядок проведения работ по межгосударственной стандартизации установлены
ГОСТ 1.0-92 "Межгосударственная система стандартизации. Основные положения" и
ГОСТ 1.2-2009 "Межгосударственная система стандартизации. Стандарты межгосударственные, правила и рекомендации по межгосударственной стандартизации. Правила разработки, принятия, применения, обновления и отмены"
1 ПОДГОТОВЛЕН Федеральным государственным унитарным предприятием "Всероссийский научно-исследовательский центр стандартизации, информации и сертификации сырья, материалов и веществ" (ФГУП "ВНИЦСМВ") на основе аутентичного перевода на русский язык указанного в
пункте 4 стандарта, который выполнен ФГУП "СТАНДАРТИНФОРМ"
2 ВНЕСЕН Федеральным агентством по техническому регулированию и метрологии
3 ПРИНЯТ Межгосударственным советом по стандартизации, метрологии и сертификации (протокол N 43-2013 от 7 июня 2013 г.)
За принятие проголосовали:
Краткое наименование страны по МК (ИСО 3166) 004-97 | Код страны по МК (ИСО 3166) 004-97 | Сокращенное наименование национального органа по стандартизации |
Казахстан | KZ | Госстандарт Республики Казахстан |
Киргизия | KG | Кыргызстандарт |
Россия | RU | Росстандарт |
Узбекистан | UZ | Узстандарт |
4 Настоящий стандарт идентичен международному стандарту ISO 8973:1997 Liquefied petroleum gas - Calculation method for density and vapour pressure (Сжиженные углеводородные газы. Метод расчета плотности и давления пара).
Международный стандарт разработан Техническим комитетом по стандартизации ISO/TC 28 "Нефтепродукты и смазочные материалы" Международной организации по стандартизации (ISO).
Перевод с английского языка (en).
Наименование настоящего стандарта изменено относительно наименования международного стандарта для приведения в соответствие с ГОСТ 1.5-2001
(подраздел 3.6).
Официальные экземпляры международного стандарта, на основе которого подготовлен настоящий межгосударственный стандарт, международные стандарты, на которые даны ссылки, имеются в Федеральном информационном фонде технических регламентов и стандартов.
Сведения о соответствии межгосударственных стандартов ссылочным международным стандартам приведены в дополнительном
приложении Д.А.
Степень соответствия - идентичная (IDT)
5
Приказом Федерального агентства по техническому регулированию и метрологии от 14 августа 2013 г. N 519-ст межгосударственный стандарт ГОСТ ISO 8973-2013 введен в действие в качестве национального стандарта Российской Федерации с 01 июля 2014 г.
6 ВВЕДЕН ВПЕРВЫЕ
Информация об изменениях к настоящему стандарту публикуется в ежегодном информационном указателе "Национальные стандарты", а текст изменений и поправок - в ежемесячном информационном указателе "Национальные стандарты". В случае пересмотра (замены) или отмены настоящего стандарта соответствующее уведомление будет опубликовано в ежемесячном информационном указателе "Национальные стандарты". Соответствующая информация, уведомление и тексты размещаются также в информационной системе общего пользования - на официальном сайте Федерального агентства по техническому регулированию и метрологии в сети Интернет
Настоящий стандарт устанавливает упрощенный метод расчета плотности и давления насыщенных паров сжиженных углеводородных газов (СУГ), основанный на данных о составе и коэффициентах плотности и давления насыщенных паров отдельных компонентов СУГ. В настоящем стандарте приведен перечень этих коэффициентов. Метод предназначен для технических условий на продукцию и не предназначен для определения плотности и давления насыщенных паров при проведении приемо-сдаточных испытаний (ISO 6578).
2.1 Для применения настоящего стандарта необходимы следующие ссылочные документы. Для датированных ссылок применяют только указанное издание ссылочного документа:
ISO 6578:1991 Refrigerated hydrocarbon liquids - Static measurement - Calculation procedure (Охлажденные углеводородные жидкости. Измерения в статических условиях. Методика расчета)
ISO 7941:1988 Commercial propane and butane - Analysis by gas chromatography (Товарный пропан и бутан. Анализ методом газовой хроматографии)
В настоящем стандарте применены следующие термины с соответствующими определениями:
3.1 сжиженный углеводородный газ; СУГ (liquefied petroleum gas): Углеводородный газ, который можно хранить и/или транспортировать в жидком состоянии при умеренном давлении и температуре окружающей среды. Он состоит в основном из алканов или алкенов C3 и C4 или их смеси и обычно содержит менее 5% объема жидкого вещества с большим числом атомов углерода и имеет избыточное давление насыщенных паров не более приблизительно 1600 кПа при температуре 40 °C.
3.2 коэффициент плотности (density factor): Плотность компонента в жидкой фазе под своим собственным давлением насыщенных паров при температуре 15 °C, выражаемая в килограммах на кубический метр.
3.3 давление паров (vapour pressure): Давление насыщенных паров, складываемое из избыточного давления и атмосферного внешнего давления, выражаемое в килопаскалях.
3.4 коэффициент давления паров (vapour pressure factor): Абсолютное давление насыщенных паров компонента жидкости при температуре 37,8 °C, 40 °C, 50 °C или 70 °C.
Молярный состав СУГ определяют методом газовой хроматографии в соответствии с ISO 7941. Настоящий метод применяют для расчета плотности жидкости и давления насыщенных паров, используя коэффициент плотности и давление насыщенных паров каждого компонента, приведенные в настоящем стандарте.
Молярный состав определяют по ISO 7941.
6.1 В приведенных ниже формулах используют значения относительной молекулярной массы, коэффициентов плотности и давления насыщенных паров компонента СУГ по
таблице A.1 (приложение A).
6.2 Плотность
6.2.1 Массовую долю каждого компонента смеси, Wi, вычисляют по формуле

(1)
где Wi - массовая доля i-го компонента в смеси;
Xi - мольная доля i-го компонента в смеси; i - порядковый номер компонента;
Mi - относительная молекулярная масса i-го компонента смеси.
n - общее число компонентов;

- сумма произведений
X и
M для каждого компонента.
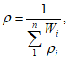
6.2.2 Плотность СУГ
, кг/м
3, при температуре 15 °C вычисляют по формуле

(2)
где

- плотность
i-го компонента в смеси при температуре 15 °C, кг/м
3;

- сумма отношений
W к

каждого компонента.
6.3 Давление паров
6.3.1 Парциальное давление насыщенных паров pvp для каждого компонента смеси вычисляют по формуле
pvp,i = Xipv,i, (3)
где pvp,i - абсолютное парциальное давление насыщенных паров i-го компонента в смеси при температуре 37,8 °C, 40 °C, 50 °C или 70 °C, кПа;
Xi - мольная доля i-го компонента в смеси;
pv,i - коэффициент давления насыщенных паров i-го компонента в смеси при температуре 37,8 °C, 40 °C, 50 °C или 70 °C, кПа.
6.3.2 Абсолютное давление насыщенных паров СУГ pv, кПа, при температуре 37,8 °C, 40 °C, 50 °C или 70 °C вычисляют по формуле

(4)
6.3.3 Избыточное давление насыщенных паров pve вычисляют по формуле
pve = pv - локальное атмосферное давление, равное 101,325 кПа. (5)
Записывают рассчитанную плотность с точностью до 0,1 кг/м3 и рассчитанное давление насыщенных паров с точностью до 1 кПа.
Сходимость данного метода зависит от сходимости первоначального определения методом газовой хроматографии состава СУГ и точности коэффициентов, учитываемых при расчете.
Протокол испытания должен содержать:
a) обозначение настоящего стандарта;
b) тип и полную идентификацию испытуемого вещества;
d) любое отклонение от методики;
e) дату проведения испытания.
(обязательное)
РАСЧЕТНЫЕ КОЭФФИЦИЕНТЫ
Таблица A.1
Коэффициенты для определения плотности жидкости и давления
насыщенных паров сжиженных углеводородных газов
путем расчета
Компонент | Относительная молекулярная масса | Коэффициент плотности, кг/м3, при температуре 15 °C | Коэффициент давления насыщенных паров <a>, кПа, при температуре |
37,8 °C | 40 °C | 50 °C | 70 °C |
Этан | 30,0694 | 375,76 | 5269 | 5611 | 6282 | 9119 |
Этилен | 28,0536 | 369,00 | 8106 | 8821 | 9930 | 13679 |
Пропан | 44,0972 | 507,30 | 1317 | 1352 | 1672 | 2634 |
Пропилен | 42,0814 | 521,33 | 1570 | 1661 | 2026 | 3141 |
2-Метилпропан (изобутан) | 58,1230 | 562,98 | 507 | 531 | 659 | 1115 |
Бутан | 58,1230 | 584,06 | 355 | 377 | 468 | 831 |
1-Бутен | 56,1072 | 601,15 | 415 | 457 | 588 | 973 |
2-Метилпропен (изобутен) | 56,1072 | 600,50 | 426 | 467 | 598 | 993 |
Цис-2-бутен | 56,1072 | 627,20 | 314 | 337 | 436 | 729 |
Транс-2-бутен | 56,1072 | 610,00 | 340 | 365 | 466 | 800 |
1,2-Бутадиен | 54,0914 | 658,00 | - | 272 | - | - |
1,3-Бутадиен | 54,0914 | 627,30 | 405 | 436 | 547 | 973 |
Метилбутан (изопентан) | 72,1498 | 624,35 | 142 | 151 | 203 | 355 |
Пентан | 72,1498 | 631,00 | 106 | 115 | 152 | 284 |
1-Пентен | 70,1340 | 645,65 | | 141 | | - |
<a> Значения взяты из Maxwell J.B. "Data Book on hydrocarbon". <b> Значения приблизительные, экстраполированы или интерполированы на основе кривой из T. Earl Jordan "Vapour pressure of organic compounds", "Interscience Publishers, Inc.; New York 1954". Примечания 1 Вышеприведенные коэффициенты являются эмпирическими значениями, которые применяют только в методиках расчета по настоящему стандарту. Коэффициенты взяты из ряда опубликованных источников и представляют стандартные значения для расчетов в соответствии с настоящим стандартом. 2 Значения основаны на следующих значениях относительной атомной массы углерода и водорода: 12C = 12,011 +/- 0,001; 1H = 1,0079 +/- 0,0001. |
(справочное)
БИБЛИОГРАФИЯ
[1] | ISO 3993:1984 | Liquefied petroleum gas and light hydrocarbons - Determination of density or relative density - Pressure hydrometer method (Сжиженные углеводородные газы и легкие углеводороды. Определение плотности или относительной плотности. Метод с использованием ареометра под давлением) |
[2] | ISO 4256:1996 | Liquefied petroleum gases - Determination of gauge vapour pressure - LPG method (Сжиженные углеводородные газы. Определение манометрического давления насыщенных паров. Метод СУГ) |
(справочное)
СВЕДЕНИЯ О СООТВЕТСТВИИ МЕЖГОСУДАРСТВЕННЫХ СТАНДАРТОВ
ССЫЛОЧНЫМ МЕЖДУНАРОДНЫМ СТАНДАРТАМ
Таблица Д.А.1
Обозначение и наименование международного стандарта | Степень соответствия | Обозначение и наименование межгосударственного стандарта |
ISO 6578:1991 Охлажденные углеводородные жидкости. Измерения в статических условиях. Методика расчета | - | |
ISO 7941:1988 Товарный пропан и бутан. Анализ методом газовой хроматографии | - | |
<*> Соответствующий межгосударственный стандарт отсутствует. Оригинал международного стандарта находится в Федеральном информационном фонде технических регламентов и стандартов. |
УДК 661.715.2:006.354 | | | IDT |
Ключевые слова: сжиженные углеводородные газы, расчет, плотность, давление насыщенных паров |