Главная // Актуальные документы // ГОСТ (Государственный стандарт)СПРАВКА
Источник публикации
М.: Стандартинформ, 2014
Примечание к документу
Документ
введен в действие с 1 июля 2014 года.
Название документа
"ГОСТ IEC/TR 60825-9-2013. Межгосударственный стандарт. Безопасность лазерной аппаратуры. Часть 9. Компиляция максимально допустимой экспозиции некогерентного оптического излучения"
(введен в действие Приказом Росстандарта от 08.11.2013 N 1408-ст)
"ГОСТ IEC/TR 60825-9-2013. Межгосударственный стандарт. Безопасность лазерной аппаратуры. Часть 9. Компиляция максимально допустимой экспозиции некогерентного оптического излучения"
(введен в действие Приказом Росстандарта от 08.11.2013 N 1408-ст)
агентства по техническому
регулированию и метрологии
от 8 ноября 2013 г. N 1408-ст
МЕЖГОСУДАРСТВЕННЫЙ СТАНДАРТ
БЕЗОПАСНОСТЬ ЛАЗЕРНОЙ АППАРАТУРЫ
ЧАСТЬ 9
КОМПИЛЯЦИЯ МАКСИМАЛЬНО ДОПУСТИМОЙ ЭКСПОЗИЦИИ
НЕКОГЕРЕНТНОГО ОПТИЧЕСКОГО ИЗЛУЧЕНИЯ
Safety of laser products. Part 9. Compilation of maximum
permissible exposure to incoherent optical radiation
(IEC/TR 60825-9:1999, IDT)
ГОСТ IEC/TR 60825-9-2013
Дата введения
1 июля 2014 года
Цели, основные принципы и порядок проведения работ по межгосударственной стандартизации установлены
ГОСТ 1.0-92 "Межгосударственная система стандартизации. Основные положения" и
ГОСТ 1.2-2009 "Межгосударственная система стандартизации. Стандарты межгосударственные, правила и рекомендации по межгосударственной стандартизации. Правила разработки, принятия, применения, обновления и отмены"
1 ПОДГОТОВЛЕН Автономной некоммерческой организацией Научно-техническим центром сертификации электрооборудования "ИСЭП" (АНО НТЦСЭ "ИСЭП")
2 ВНЕСЕН Федеральным агентством по техническому регулированию и метрологии
3 ПРИНЯТ Межгосударственным советом по стандартизации, метрологии и сертификации (протокол N 43-2013 от 7 июня 2013 г.)
За принятие стандарта проголосовали:
Краткое наименование страны по МК (ИСО 3166) 004-97 | Код страны по МК (ИСО 3166) 004-97 | Сокращенное наименование национального органа по стандартизации |
Армения | AM | Минэкономики Республики Армения |
Казахстан | KZ | Госстандарт Республики Казахстан |
Кыргызстан | KG | Кыргызстандарт |
Российская Федерация | RU | Росстандарт |
Таджикистан | TJ | Таджикстандарт |
Узбекистан | UZ | Узстандарт |
4
Приказом Федерального агентства по техническому регулированию и метрологии от 08 ноября 2013 г. N 1408-ст межгосударственный стандарт ГОСТ IEC/TR 60825-9-2013 введен в действие в качестве национального стандарта Российской Федерации с 01 июля 2014 г.
5 Настоящий стандарт идентичен международному документу IEC/TR 60825-9:1999 Safety of laser products - Part 9: Compilation of maximum permissible exposure to incoherent optical radiation. (Безопасность лазерной аппаратуры Часть 9. Компиляция максимально допустимой экспозиции некогерентного оптического излучения).
Стандарт подготовлен на основе применения ГОСТ Р МЭК/ТО 60825-9-2009
Степень соответствия - идентичная (IDT).
Сведения о соответствии межгосударственных стандартов ссылочным международным стандартам приведены в дополнительном
приложении ДА.
6 ВВЕДЕН ВПЕРВЫЕ
Информация об изменениях к настоящему стандарту публикуется в ежегодном информационном указателе "Национальные стандарты", а текст изменений и поправок - в ежемесячном информационном указателе "Национальные стандарты". В случае пересмотра (замены) или отмены настоящего стандарта соответствующее уведомление будет опубликовано в ежемесячном информационном указателе "Национальные стандарты". Соответствующая информация, уведомление и тексты размещаются также в информационной системе общего пользования - на официальном сайте Федерального агентства по техническому регулированию и метрологии в сети Интернет
Настоящий стандарт приводит в соответствие действие значений максимально допустимой экспозиции (МДЭ) для экспозиции некогерентного оптического излучения от искусственных источников на глаз человека или его кожу в диапазоне длин волн от 180 до 3000 нм с предельным согласованием.
Эти величины базируются на доступной экспериментально изученной информации и могут использоваться только как инструкция при контроле экспозиции излучения искусственных источников, и не будут рассматриваться как линейный процесс между безопасностью и опасными уровнями.
Примечание - Значения МДЭ, приведенные в стандарте, применяются весьма индивидуально, однако некоторые индивидуумы чувствительны или особо чувствительны к оптическому излучению из-за генетического фактора, возраста, персональных привычек (курение, алкоголь или др.); им требуются для безопасности разные уровни максимально допустимой экспозиции. У таких индивидуумов может быть неадекватная реакция на нарушение здоровья при максимальной и минимальной дозах воздействующего оптического излучения.
Медики должны искать дополнительную оценку опасной величины для дополнительной защиты.
Эти величины главным образом относятся к экспозиции искусственных источников. Они могут также использоваться для оценки экспозиции солнечного излучения.
Значения МДЭ не должны применяться при экспозиции пациентов оптическим излучением с целью медицинского лечения.
Максимальные значения допустимой дозы при экспозиции излучением лазерных источников определены в IEC 60825-1.
Примечания
1 Базисными документами настоящего стандарта являются IEC 60825-1 (лазерное излучение) и IRPA/CNIRP инструкции (некогерентное излучение). Пределы ACGIH незначительно отличаются по диапазону длин волн и абсолютному значению.
2 Несмотря на тот факт, что светоизлучающие диоды испускают главным образом некогерентное излучение, в настоящее время они относятся к IEC 60825-1.
3 Механизм разрушения, как известно, для когерентных и некогерентных источников различен. Однако во многих случаях предельные значения величин в IEC 60825-1 более консервативны, чем в настоящем стандарте. Особенно точно надо определять диапазон длин волн для лазеров, который указан в МЭК 60825-1.
4 Экспозиционные уровни МДЭ должны быть различными для глаз или воздействия на кожу.
5 В спектральных диапазонах УФ-B и УФ-C значения МДЭ обусловливают минимальную энергетическую экспозицию излучения, вызывающую биологические изменения на поверхности роговицы сетчатки. Уровни, производящие опасные эффекты, в 2 - 3 раза больше.
1.1 Цель настоящего стандарта - определить требования для защиты человека от некогерентного оптического излучения в диапазоне длин волн от 180 нм до 1 мм, указывая безопасные уровни оптического излучения. Это излучение считается опасным для большинства индивидуумов; значения ниже безопасного уровня не вызывают никаких вредных эффектов. Только знание об этих уровнях и возможных эффектах воздействия на основе МДЭ позволяет определять экспозицию оптического излучения, безопасную для человека при восьмичасовом рабочем дне.
1.2 Методы измерения показывают, как измерять и рассчитывать уровень оптической радиации для намерения сравнить его с максимально допустимой экспозицией.
В данном разделе представлены следующие ссылочные стандарты, которые совершенно необходимы для применения настоящего стандарта. Дата ссылочных стандартов указана на действующее издание. В случае выхода более позднего по дате издания стандарта или утвержденных изменений к указанным ссылкам, они могут применяться наравне с перечисленными.
IEC 60050-845:1987, International electrotechnical vocabulary; Chapter 845: Lighting (Международный электротехнический словарь - Глава 845: Освещение)
IEC 60825-1:1993, Safety of laser products - Part 1: Equipment classification, requirements and user's guide (Безопасность лазерной аппаратуры - Часть 1: Классификация оборудования, требования и руководство пользователя)
ISO 1000:1992, SI units and recommendations for the use of their multiples and of certain other units (Единицы СИ и рекомендации по применению кратных и дольных от них и некоторых других единиц)
ISO 11145:1994, Optics and optical instruments - Lasers and laser-related equipment - Vocabulary and symbols (ИСО 11145:1994 Оптика и оптические приборы. Лазеры и лазерное оборудование. Словарь и условные обозначения)
ISO/IEC Guide 51:1999, Safety aspects - Guidelines for their inclusion in standards (Аспекты безопасности. Руководящие указания по включению их в стандарты)
В настоящем стандарте приводятся следующие определения. Основные определения даны в соответствии с ISO 1000:1992, ISO 11145:1994 и IEC 60050(845):1987. Некоторые из этих определений повторены в соответствующих определениях в IEC 60825-1 и в ISO/IEC Guide 51. Отклонения от основных документов сделаны преднамеренно и особо оговариваются.
3.1
угловое увеличение M (angular magnification M): Угловое увеличение M оптического прибора это отношение угла наблюдения объекта, опирающегося на входной зрачок прибора

к углу наблюдения объекта глазом без прибора


.
Примечание - В технической оптике угол наблюдения объекта без оптического прибора базируется на расстоянии наилучшего видения 25 см. В стандарте минимальное расстояние наблюдения должно быть не меньше 10 см.
3.2
угловой размер (angular subtense): Угол наблюдения

, стягиваемый видимым источником при наблюдении глазом (рисунок 1) или полученный точкой измерения (см. также максимальный и минимальный угловой размер), единица измерения - радиан.
Рисунок 1 - Определение углового
размера

видимого источника
3.3 апертура, апертурная диафрагма (aperture, aperture stop): Апертурная диафрагма - это раскрываемый контур, в пределах которого лежит площадь, с которой измеряется излучение (см. также измерительную апертуру).
3.4 видимый источник (apparent source): Реальный или виртуальный размер (источника оптического излучения), который формирует наименьшее возможное изображение на сетчатке.
Примечание - Такое определение используется, чтобы найти положение видимого элемента излучения в диапазоне длин волн от 380 до 1400 нм с приближением видимого источника в пределах аккомодации глаза (обычно >= 100 мм).
3.5 опасность синего света (blue light hazard): Возможность фотохимического повреждения сетчатки, вызываемого экспозицией излучения на длинах волн главным образом между 380 и 500 нм.
3.6 когерентность (coherence): Характеристика электромагнитного поля, где в двух его точках разность фаз по времени и пространству одинакова.
3.7 длина когерентности (coherence length): Расстояние в пучке направленного распространения, при котором сохраняется постоянство разности фаз.
3.8 диодный излучатель (diode emitter): Любой полупроводниковый прибор с p-n переходом, который может генерировать электромагнитное излучение за счет рекомбинации в полупроводнике в диапазоне длин волн от 180 нм до 1 мм.
3.9 дистанция экспозиции (exposure distance): Самое короткое расстояние от оптического источника до ближайшего места человека, которое может подвергнуться воздействию излучения.
3.10 длительность экспозиции (exposure duration): Длительность импульса или серии, или цуга импульсов, или продолжительной эмиссии, падающей на человеческое тело, которое подвергается прямому воздействию излучения.
3.11 некогерентное излучение (incoherent): Излучение считается некогерентным, если длина когерентности меньше 1 мм.
3.12 инфракрасное излучение (infrared radiation): Для практических целей любое электромагнитное излучение в длинноволновом диапазоне 780 нм ... 1 мм. Инфракрасный спектр разделен по результатам производимой биологической опасности на три диапазона: ИК-A, ИК-B, ИК-C.
3.13 инфракрасное излучение A (ИК-A) (infrared A (IR-A)): Оптическое излучение, которое распространяется в спектральном интервале от 780 до 1400 нм.
3.14 инфракрасное излучение B (ИК-B) (infrared B (IR-B)): Оптическое излучение, которое распространяется в спектральном интервале от 1400 до 3000 нм.
3.15 инфракрасное излучение C (ИК-C) (infrared C (IR-C)): Оптическое излучение, которое распространяется в спектральном интервале от 3000 нм до 1 мм.
3.16 предназначенное использование (intended use): Использование аппаратуры, ее обработка или сервисное обслуживание в соответствии с требованиями, инструкциями и информацией, представленной поставщиком.
3.17
промежуточный источник (intermediate source): В основном, источник, формирующий изображение на сетчатке, такой большой, что тепловой поток в радиальном направлении (перпендикулярно оптической оси) от центра изображения к ближайшей границе биологической ткани соизмерим с тепловым потоком в осевом направлении (параллельно оптической оси).
Удлиненный промежуточный источник - источник, формирующий на сетчатке изображение большего размера, чем размер, на который действует максимально допустимая экспозиция от малого источника и от большого источника. Это удлинение необходимо потому, что некоторый глаз подвижен и может захватить большее поле излучения, которое в единицах МДЭ указано в представленных таблицах стандарта.
Примечание - В настоящем стандарте промежуточный источник в его основном значении воздействует на сетчатку в углах между 1,5 и 100 мрад, т.е. диаметр изображения на сетчатке лежит между 25 и 1700 мкм. Эти пределы относятся к времени экспозиции меньше, чем 0,7 с.
В настоящем стандарте удлиненный промежуточный источник охватывает углы между 11 и 100 мрад, т.е. диаметр изображения на сетчатке лежит между 187 и 1700 мкм.
Эти пределы не превышают время экспозиции больше 10 с. Для времени экспозиции между 0,7 и 10 с стягиваемый угол промежуточного источника зависит от времени экспозиции
(таблица 3).
3.18 энергетическая освещенность (irradiance): (E, Вт/м2): Частное от деления мощности излучения dP, падающего на элемент поверхности, на площадь dA этого элемента
E = dP/dA.
3.19
большой источник (large source): Источник, формирующий изображение на сетчатке, такой большой, что тепловой поток в радиальном направлении (перпендикулярно оптической оси) от центра изображения к ближайшей границе биологической ткани соизмерим с тепловым потоком в осевом направлении (параллельно оптической оси).
Примечание - В этом стандарте большой источник имеет стягиваемый угол больше, чем 100 мрад на сетчатке, т.е. диаметр его изображения на сетчатке больше 1700 мкм.
3.20 свет (light): Видимое излучение.
3.21 светоизлучающий диод (СИД) (light emitting diode (LED)): Диодный излучатель (Оптическое излучение СИД производится исключительно процессами спонтанной эмиссии).
3.22
максимальный угловой размер 
(maximum angular subtense

): Значение углового размера видимого источника, при котором источник считается большим - большой источник (см. также
таблицу 3).
3.23 максимально допустимая экспозиция (МДЭ) (maximum permissible exposure (MPE)): Значение экспозиции для глаза или кожи, которое при нормальных условиях не противоречит результатам появления биологических эффектов. Значение МДЭ зависит от длины волны излучения, длительности экспозиции, состояния ткани и размера места экспозиции. Для видимого и ближнего инфракрасного излучения в диапазоне от 380 нм до 1400 нм угловой размер источника определяет размер изображения на сетчатке.
3.24 измерительная апертура (measurement aperture): Круглая область используется при измерении энергетической освещенности, энергетической экспозиции, энергетической яркости и интегрированной по времени энергетической яркости. Эта апертура определяет площадь, при которой значения этих величин усредняются по числу измерений для сравнения со значением МДЭ.
3.25 монохроматическое излучение (monochromatic radiation): Излучение, характеризуемое одной длиной волны, как излучение линии в газоразрядной лампе низкого давления. На практике - излучения очень маленького интервала длин волн, приписываемого излучению одной длины волны, если биологическое действие спектра в этом интервале не сильно отличается.
3.26 оптическое излучение (optical radiation): Электромагнитное излучение на длинах волн между 100 нм и 1 мм. Ультрафиолетовое излучение в области длин волн меньше 180 нм (называемое вакуумным УФ) полностью поглощается кислородом воздуха. В этом стандарте диапазон длин волн оптического излучения ограничен с меньшей стороны излучением с длиной волн 180 нм.
Примечание - Принимая во внимание безопасность излучения, спектральный диапазон между 380 и 1400 нм нуждается в специальном рассмотрении, так как глаз пропускает излучение в этом спектральном диапазоне на сетчатку, где оно фокусируется, энергетическая освещенность может быть увеличена в несколько раз по абсолютному значению по сравнению с освещенностью роговой оболочки глаза.
3.27
световые величины (photometric quantities): Все радиометрические величины находятся в соответствии со световыми величинами через визуальное восприятие света. Для фотометрического излучения с длиной волны

световые величины могут быть рассчитаны через радиометрические величины, умножая последние на относительную спектральную эффективность

(см.
приложение C) или

и максимальную спектральную эффективность излучения
Kм или

Kм = 683 лм/Вт для фотопического зрения и

= 1700 лм/Вт для скотопического (ночного) зрения.
Наименование соответствующих радиометрических и световых величин представлено в таблице 1. Символы обеих величин одинаковы. Если необходимо, они могут различаться индексами: e (энергетический) для радиометрических величин и v (визуальный) для световых величин.
Таблица 1
Сравнительный перечень радиометрических и световых величин
Радиометрические величины | Символ | Световые величины |
Наименование | Единица | Наименование | Единица |
Мощность излучения | Вт | P, Ф | Световой поток | лм |
Энергия излучения | Дж | Q | Количество света | лм·с |
Энергетическая освещенность | Вт/м2 | E | Освещенность | лм/м2 = лк |
Энергетическая экспозиция | Дж/м2 | H | Световая экспозиция | лк·с |
Энергетическая яркость | Вт/(ср·м2) | L | Яркость | лм/(ср·м2) |
Энергетическая сила света | Вт/ср | I | Сила света | кд = лм/ср |
Интегральная по времени энергетическая яркость | Дж/(ср·м2) | Li | Интегральная по времени яркость | лм·с/(ср·м2) |
3.28 длительность импульса (pulse duration): Максимальное время, требующееся для измерения двух точек пересечения импульса ветви нарастания и убывания с прямой, проведенной параллельно оси абсцисс на уровне половины максимального значения.
3.29
энергетическая яркость L,
Li [Вт/(ср·м
2), Дж/(ср·м
2)] (radiance): Энергетическая яркость
L в данном направлении данной точки - это частное от мощности излучения d
P, переносимой через точку и распространяющейся в заданном направлении, на телесный угол

, в котором распространяется мощность, элементарную площадь поверхности d
A, содержащую эту точку, и косинус угла распространения потока в направлении

(см.
рисунок 2)

(1)
Одно из определений содержит интегрированную по времени энергетическую яркость Li и тогда мощность излучения dP заменяется на энергию излучения dQ

(2)
Примечание 1 - Это определение - упрощенная версия [IEV 60050(845), термин 845-01-34], достаточная для целей настоящего стандарта. В случаях сомнения следует пользоваться определением [IEV 60050(845)].
Примечание 2 - Энергетическая яркость и интегрированная по времени энергетическая яркость не изменяются оптическими приборами. Однако, если энергетическая яркость измеряется в первой среде
L1 с показателем преломления
n1 и желательно определить энергетическую яркость во второй среде
L2 с показателем преломления
n2, энергетическая яркость первой среды
L1 должна быть умножена на коэффициент

. Когда первая среда является воздухом (
n1 = 1), а вторая - глаз (
n2 = 1,336 для жидкостной влаги и стекловидного тела) этот коэффициент равен 0,56. При МДЭ используется энергетическая яркость, измеренная в воздухе, потому что этот коэффициент уже учтен в таблицах этого стандарта.
Рисунок 2 - Определение энергетической яркости
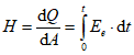
3.30 энергия излучения, Q (Дж) (radiant energy): Интеграл по времени мощности излучения за данный период t

(3)
3.31 энергетическая экспозиция, H (Дж/м2) (radiant exposure): Интеграл по времени от энергетической освещенности в данной точке за данную длительность t, т.е. отношение энергии излучения dQ, падающей на элемент поверхности, к площади dA этого элемента

(4)
3.32 мощность излучения (поток), P, (Ф) [Вт (лм)] (radiant power (flux)): Мощность, испускаемая, передаваемая или принимаемая в виде излучения [IEV 60050(845), термин 845-01-24].
3.33
коэффициент отражения,

(reflectance): Отношение отраженной мощности излучения к падающей мощности излучения при данных условиях [IEV 60050(845), термин 845-04-58].
3.34 сканирующее излучение (scanned radiation): Излучение, имеющее временное изменение направления с началом возникновения или диаграммой распространения по отношению к стационарному базовому положению.
3.35 малый источник (small source): По существу источник формирует изображение на клетчатке, которое так мало, что тепло легко струится в радиальном направлении (перпендикулярно оптической оси) от центра изображения к окружающим биологическим тканям.
С удлинением источник с размером изображения на сетчатке меньше, чем размер, на котором базируется значение максимально допустимой экспозиции. Это удлинение необходимо потому, что глаз подвижен, что учитывается в данных о МДЭ в таблицах настоящего стандарта (см. также
3.17 и
3.19)
Примечание - В настоящем стандарте малый источник в своем основном значении стягивает угол меньше, чем 1,5 мрад на сетчатке, т.е. диаметр его изображения на сетчатке меньше, чем 25 мкм. Этот размер применим для времени экспозиции 0,7 с.
Малый источник в своем удлиненном значении стягивает угол меньше, чем 11 мрад на сетчатке, т.е. диаметр его изображения на сетчатке меньше, чем 187 мкм. Этот размер применим для времени экспозиции 10 с; для времени экспозиции между 0,7 с и 10 с определяется углом, зависимым от времени экспозиции (см.
таблицу 3).
Термин "точечный источник" не может быть использован для малого источника, так как это приводит к путанице: "точечный источник" может быть пятном

, чем обычно считают за "точку". В настоящем стандарте термин "малый источник" поэтому используется в подобном смысле.
3.36
телесный угол,
(ср) (solid angle): Телесный угол с его вершиной в центре сферы радиуса
r - отношение площади
A, вырезаемой этим углом на поверхности сферы, на квадрат радиуса (см.
рисунок 3)

полный телесный угол равен

.
Рисунок 3 - Определение телесного угла
3.37
спектральная энергетическая освещенность, 
[Вт/(м
2 нм)] (spectral irradiance): Отношение мощности излучения d
P в интервале длин волн

, падающего на элемент поверхности площадью d
A этого элемента, и интервала длин волн

3.38
спектральная энергетическая яркость, 
[Вт/(м
2·ср·нм)] (spectral radiance): Спектральная энергетическая яркость

в интервале длин волн

в заданном направлении в данной точке - это частное от деления мощности излучения d
P, проходящей через точку и распространяемой в телесном угле

в направлении

и ограниченной спектральным интервалом

, и произведения площади проекции пучка на плоскость, перпендикулярную к направлению

, содержащему эту точку, телесный угол и интервал длин волн (см.
рисунок 2)
3.39 интегрированная по времени энергетическая яркость, Li [Дж/(м2·ср)] (time integrated radiance): Интеграл энергетической яркости за данное время экспозиции, выражаемый как энергия излучения с единицы площади излучающей поверхности в единице телесного угла эмиссии
3.40 ультрафиолетовое излучение (ultraviolet radiation): Практически любое излучение в диапазоне длин волн от 100 до 400 нм. Ультрафиолетовый спектр разделен на три спектральные области, обусловливающие разную степень фотобиологической опасности: ультрафиолет A, ультрафиолет B, ультрафиолет C. Ультрафиолетовое излучение меньше, чем 180 нм, называется вакуумным ультрафиолетовым излучением
Примечание - Во многих стандартах длинноволновая граница ультрафиолетового спектрального диапазона фиксируется 380 нм.
3.41
ультрафиолет A (УФ-A) (ultraviolet A (UV-A)): Оптическое излучение, которое охватывает полностью спектральный диапазон от 315 до 400 нм (см. также вышеприведенные
примечания).
3.42 ультрафиолет B (УФ-B) (ultraviolet B (UV-B)): Оптическое излучение, которое охватывает полностью спектральный диапазон от 280 до 315 нм.
3.43
ультрафиолет C (УФ-C) (ultraviolet C (UV-C)): Оптическое излучение, которое охватывает полностью спектральный диапазон от 100 до 280 нм (см. также вышеприведенные
примечания)
Примечание - Ультрафиолетовое излучение в диапазоне ниже 180 нм (называемом вакуумным УФ) полностью поглощается кислородом воздуха. Для целей этого стандарта нижней границей диапазона длин волн УФ-C принимается 180 нм.
3.44 видимое излучение (свет) (visible radiation (light)): Любое оптическое излучение, которое может непосредственно вызвать зрительное ощущение [IEV 60050(845), термин 845-01-03].
Примечание - В настоящем стандарте значения электромагнитного излучения, в котором длины волн монохроматических компонент лежат между 380 и 780 нм.
4 Максимально допустимая экспозиция
Значения максимально допустимой экспозиции (МДЭ) устанавливают нижние уровни вредных факторов, основанных на современных данных, полученных экспериментальным путем. Они применяются, чтобы учитывать экспозицию в течение восьмичасового периода. МДЭ должна использоваться как руководство при контроле экспозиций и не должна рассматриваться как строго определенное разделение между безопасными и опасными уровнями. Эти предельные уровни не применяются к световой чувствительности человека или частей его тела, подвергаемых экспозиции.
4.2 Измерительная апертура
Примерная апертура, которая должна использоваться при всех измерениях и расчетах уровней экспозиции, определяется как диаметр круга, в пределах которого действует энергетическая освещенность или энергетическая экспозиция. Значения этих апертур показаны в таблице 2.
Таблица 2
Минимальные диаметры апертур, применяемых
при измерении энергетической освещенности, энергетической
экспозиции, энергетической яркости и интегрированной
по времени энергетической яркости
Спектральный диапазон, применяемый в МДЭ | Пункты | Длительность экспозиции, с | Диаметр измерительной апертуры в случае экспозиции, мм |
глаз | кожи |
180 нм до 400 нм | | t <= 3 | 1 | 1 |
t > 3 | 7 | 7 |
> 380 до 1400 нм | | Любая | 7 | 3,5 |
> 1400 до 3000 нм | | t <= 3 | 1 | 1 |
t > 3 | 3,5 | 3,5 |
Могут использоваться

измерительные апертуры измерения по сравнению с данными в
таблице 2, если энергетическая освещенность равномерна по диаметру измерительной апертуры и если строго измерена чувствительность приемника в системе измерений. Однако с источниками оптического излучения нельзя достичь равномерной освещенности из-за структуры излучения (имеются более горячие точки), рекомендуется пользоваться данными
таблицы и для горячих точек.
Когда применяется МДЭ для кожи, рекомендуется использовать приемники, ответ которых пропорционален косинусу угла падения излучения.
Значения экспозиции для глаза при излучении в диапазоне длин волн от 380 до 1400 нм могут измеряться с диаметром апертуры 7 мм (глаз человека).
МДЭ применительно к глазу в диапазоне длин волн от 380 до 1400 нм
(4.8.2) базируется на стандартном диаметре зрачка
ds 7 мм для времени < 0,5 с и 3 мм для времени > 0,5 с. В зависимости от яркости наблюдаемого светового поля диаметр зрачка варьируется между значением меньше, чем 2 мм и больше, чем 7 мм. Диаметр зрачка варьируется также от индивидуальных особенностей человека, от предмета наблюдения, возраста и др. Формула (5) может быть использована для расчета диаметра зрачка
dзр, мм, от значения яркости
L, кд/м
2, объекта наблюдения

(5)
Рисунок 4 показывает зависимость диаметра зрачка от яркости.
Рисунок 4 - Зависимость диаметра зрачка от яркости
наблюдаемого поля в соответствии с
[5].
Корректировка значений МДЭ в диапазоне длин волн от 380 до 1400 нм и для времени > 0,5 с в отношении к стандартному диаметру зрачка ds (диаметр зрачка используют для определения МДЭ) производится в пропорциональной зависимости от площади зрачка:

или (6)

или (7)

(8)
Примечание - В случаях, когда источник излучения используется при очень разных условиях освещения (например, в течение дня, ночью и т.д.), будет наиболее безопасным рассчитывать безопасность излучения при 7 мм диаметре зрачка.
4.4 Повторяющиеся импульсы, модулированное или сканирующее излучение
Поскольку критерий экспозиции установлен для многократного импульса, необходимо установить ограничения при использовании повторяющихся импульсов излучения. Наиболее целесообразно использовать источники, имитирующие непрерывное излучение. Однако, если мгновенное значение выходного излучения периодически падает ниже 10% от его усредненного значения, применяются следующие методы.
Для длин волн < 380 нм значение величины МДЭ определяется использованием в большинстве случаев следующих ограничивающих требований
a) и
b).
Значение величины МДЭ для длин волн > 380 нм определяется использованием в большинстве случаев ограничительных мер
b) и
c).
a) Энергетическая экспозиция
Hsp (соответственно интегрированная по времени энергетическая яркость
Lsp) при любом одиночном импульсе длительностью
t внутри последовательности импульсов не превышает значение МДЭ
HМДЭ (
LМДЭ) для одиночного импульса длительностью
t:
Hsp <= HМДЭ(t) (9)
соответственно
Lsp <= LМДЭ(t) (10)
b) Усредненная по времени энергетическая освещенность
Em (соответственно энергетическая яркость
Lm) последовательности импульсов в течение
T не должна превышать значение МДЭ
EМДЭ (соответственно
LМДЭ) для одиночного импульса в последовательности
T:
Em <= EМДЭ(T) (11)
соответственно
Lm <= LМДЭ(T) (12)
Усредненная по времени энергетическая освещенность Em (соответственно энергетическая яркость Lm) за длительность экспозиции T может быть рассчитана следующими соотношениями:
Em = N·Hsp/T (13)
соответственно
Lm = N·Lsp/T, (14)
где N - полное число импульсов в течение длительности экспозиции T.
c) Энергетическая экспозиция
Hsp (соответственно интегрированная по времени энергетическая яркость
Lsp) любого одиночного импульса длительностью
t умножается на корректирующий коэффициент
C5. Этот корректирующий коэффициент
C5 применяется только для длительности импульса менее 0,25 с:
соответственно
где C5 = N-1/4;
N - ожидаемое полное число импульсов в экспозиции.
Эти два уравнения эквивалентны следующим уравнениям:

(17)
соответственно

(18)
Когда последовательность импульсов состоит из импульсов разной длительности
ti или разных одиночных импульсов, энергетическая экспозиция
Hspi (соответственно интегрированная по времени энергетическая яркость
Lspi), получается из
(17) и
(18) с учетом
уравнений (15) и
(16):

(19)
соответственно

(20)
где Ni - число импульсов длительностью ti;

- ожидаемое полное число импульсов в экспозиции.
В некоторых случаях энергетическая экспозиция одиночного импульса Hsp может быть ниже МДЭ, которая получена для непрерывной экспозиции на некотором значении пиковой мощности, используемой для установления времени экспозиции. Учитывая сказанное, может быть использована МДЭ для непрерывного излучения.
4.5 Угловой размер источника
Согласованное ограничение углового размера видимого источника используется в диапазоне длин волн от 380 до 1400 нм, где излучение может фокусироваться преломляющей частью глаза на сетчатке.
Два ограничения углового размера используются в настоящем стандарте: угол, определенный пределом между малым источником и промежуточным источником (минимальный угловой размер

), и угол, детерминированный пределом между промежуточным источником и большим источником (максимальный угловой размер

).
Меньшие значения минимального углового размера

МДЭ не зависят от размера источника. Значение

зависит от длительности экспозиции
t (см.
таблицу 3).
Примечание - Зависимость минимального углового размера от длительности экспозиции определяется временем перемещения глаза. Для времени > 10 с энергия, попадающая на площадь сетчатки, будет больше, чем для времени 0,7 с. Этот угол

равен 11 мрад. Для очень продолжительной экспозиции 1000 с и более, когда способность вращения глаза становится доминантой, угол будет больше 100 мрад.
Таблица 3
Предельный угловой размер для глаза
Угол | Время экспозиции |
| для t < 0,7 с |
| для 0,7 с <= t < 10 с |
| для t >= 10 с |
|

значения максимального углового размера

МДЭ не зависят от размера источника. Значение

не зависит от размера источника. Значение

зависит от времени экспозиции
t (таблица 3) и для всех случаев составляет 100 мрад.
Для значений, находящихся между минимальным угловым размером и максимальным угловым размером, значения МДЭ для тепловой опасности для сетчатки зависят от размера источника.
Значения величин, выражаемых как энергетическая яркость и интегрированная по времени энергетическая яркость, обратно пропорциональны размеру источника. Для описания зависимости МДЭ от размера источника используется корректирующий коэффициент

:
Значения предельных угловых размеров необходимы для того, чтобы использовать согласование применения длительности экспозиции, т.е.

для одиночных импульсов короче, чем 0,7 с, и

для длительности экспозиции больше, чем 10 с.
Угловой размер удлиненного источника определяется арифметическим значением максимальных и минимальных углов размера источника. Любой размер угла, больше чем

или меньше 1,5 мрад, должен лимитироваться

или 1,5 мрад соответственно, вместо прежнего значения размера.
Угловой размер источника определяется на расстоянии, при котором производится экспозиция. Наилучшее расстояние, при котором глаз человека способен резко фокусироваться, составляет 100 мм. При меньшем расстоянии изображение источника света будет несфокусированным и смазанным. Но расстояние меньше 100 мм применяется, поэтому в этом стандарте оно используется для расчета углового размера источника.
Любое необходимое согласование со значениями МДЭ базируется на ожидаемой длительности экспозиции. Когда наблюдаются яркие источники, имеющие яркость природных объектов более 104 кд/м2, предельным временем экспозиции будет 0,25 с. Когда МДЭ выражается в Дж/м2 и ожидается ее действие в течение 8, это свидетельствует о том, что при нормальных экспозиционных условиях этого достаточно, чтобы интегрировать энергетическую освещенность в ультрафиолетовой спектральной области в течение 8 и применить нормы восьмичасовой МДЭ.
4.7 Энергетическая яркость и энергетическая освещенность
В следующих разделах МДЭ характеризуется как энергетическая яркость (соответственно интегрированная по времени энергетическая яркость), а в некоторых - как энергетическая освещенность (соответственно энергетическая экспозиция).
Чтобы рассчитать энергетическую освещенность
E по энергетической яркости
L при угле наблюдения

(см.
3.29), достаточно последнюю умножить на телесный угол

, связывающий источник с глазом

(21)
Эта формула предполагает малый телесный угол

. Более общее выражение будет таким

(22)
Для малого круглого источника между плоским углом

и телесным углом

существует следующее соотношение

(23)
Это приводит к следующему соотношению между энергетической освещенностью и энергетической яркостью для углового размера

:

(24)
Эквивалентные соотношения применяются для интегрированной по времени энергетической яркости и энергетической экспозиции.
Примечание 1 - Прибор, определяющий энергетическую яркость по нормали, измеряет мощность излучения, проходящую через различные апертуры и при определенном угле приема. В настоящем стандарте, когда применяются эти соотношения, МДЭ выражается через энергетическую яркость, телесный угол

при измерениях должен быть рассчитан с использованием

.
Примечание 2 - Когда величина МДЭ выражается энергетической яркостью по измеренной энергетической освещенности с использованием этих зависимостей, энергетическая освещенность должна быть измерена с телесным углом

, связанным с наименьшим размером источника a, но не больше, чем

.
4.8 Максимально допустимая экспозиция для глаза
4.8.1 Ультрафиолетовый спектральный диапазон
4.8.1.1 Спектральный диапазон между 180 и 400 нм
В спектральном диапазоне между 180 и 400 нм эффективная энергетическая освещенность Eeff и соответственно энергетическая экспозиция Heff рассчитываются по следующим формулам

(25)
соответственно

, (26)
где

- спектральная энергетическая освещенность;

- спектральная энергетическая экспозиция;

- спектральный интервал.
Рисунок 5 - Относительная спектральная эффективность

Максимальная допустимая эффективная энергетическая экспозиция Heff равна
Heff = 30 Дж/м2 (27)
Для данной эффективной энергетической освещенности допустимое время экспозиции tмакс в секундах, для экспозиции ультрафиолетового излучения в случае незащищенного глаза определяется по формуле

(28)
Время экспозиции можно также определить по таблице 4, в которой дана максимально допустимая эффективная энергетическая освещенность для длительности экспозиции за день.
Таблица 4
Максимально допустимая экспозиция УФ излучения
Длительность экспозиции за день | Максимально допустимая освещенность, Eeff В/м2 | Длительность экспозиции за день | Максимально допустимая энергетическая освещенность Eeff, В/м2 |
8 ч | 0,001 | 5 мин | 0,1 |
4 ч | 0,002 | 30 с | 1 |
2 ч | 0,004 | 10 с | 3 |
1 ч | 0,008 | 5 с | 6 |
30 мин | 0,017 | 1 с | 30 |
15 мин | 0,033 | 0,5 с | 60 |
10 мин | 0,05 | 0,1 с | 300 |
4.8.1.2 Спектральный диапазон между 315 и 400 нм
Максимально допустимая полная энергетическая экспозиция в пределах восьмичасового периода в спектральный диапазон между 315 и 400 нм такая
HУФ = 104 Дж/м2 (29)
Примечание - В спектральном диапазоне от 315 до 400 нм ACGIH устанавливает энергетическую экспозицию 104 Дж/м
2, ограниченную длительностью 1000 с, а при

длительности - значением энергетической экспозиции 10 Дж/м
2.
4.8.2 Видимый и инфракрасный диапазоны спектра
Следующие три опасные функции могут быть названы так: тепловая опасность для сетчатки, фотохимическая опасность синего света для сетчатки и опасность инфракрасного излучения для роговицы и хрусталика. Наибольшее ограничение каждого из трех воздействий вносит источник излучения.
Значения максимально допустимой экспозиции п.п. 4.8.2.1 и
4.8.2.2 усреднены для стандартного диаметра зрачка по
4.3.
4.8.2.1 Тепловая опасность для сетчатки (от 380 до 1400 нм)
Определение эффективной энергетической яркости LRTH источника для диапазона от 380 до 1400 нм производится по следующей формуле

, (30)
где

- спектральная энергетическая яркость;

- спектральный интервал.
Рисунок 6 - Функция тепловой опасности для сетчатки

и функция опасности синего света для сетчатки

Чтобы защитить клетчатку глаза человека от вреда теплового воздействия, значение максимально допустимой эффективной энергетической яркости LRTH при длительности экспозиции t:
10 с < t

; (31)
18 мкс <= t <= 10 с

; (32)
t < 18 мкс

, (33)
где t - длительность экспозиции в секундах и

- корректирующий коэффициент согласно
4.5 в радианах.
Максимально допустимая энергетическая яркость определяется с использованием этих функций в диапазоне длин волн между 1050 и 1150 нм для

и

соответственно (рисунок 7).
Рисунок 7 - Зависимость максимально допустимой
энергетической яркости от времени при значениях LIR и LRTH
Для любого источника с угловым размером

большим, чем 0,1 рад, эти предельные значения рассчитываются так:
10 с < t

; (34)
18 мкс <= t <= 10 с

; (35)
t < 18 мкс

(36)
где t - длительность экспозиции в секундах.
Для инфракрасных источников со слабыми визуальными стимулами, неадекватными, чтобы произвести зрительное ощущение, эффективная инфракрасная энергетическая яркость LIR определяется по следующей формуле (Слабый визуальный стимул здесь такой, у которого максимальная яркость, усредненная в круглом поле зрения с углом 0,011 рад, составляет меньше, чем 10 кд/м2)

, (37)

- спектральная энергетическая яркость источника.
Чтобы защитить клетчатку глаза человека от вреда теплового воздействия, значение максимально допустимой эффективной инфракрасной энергетической яркости LIR должно быть
t >= 10 с

, (38)
где

- корректирующий коэффициент согласно
4.5 в радианах.
Вид функции для

и соответственно

в диапазоне длин волн между 1050 и 1150 нм показан на
рисунке 7.
4.8.2.2 Фотохимическая опасность синего света для сетчатки (от 300 до 700 нм)
Определение эффективной энергетической яркости синего света LB источника производится по следующей формуле

, (39)
где

- спектральная энергетическая яркость и весовая функция опасности синего света (см.
приложение A и
рисунок 6).
Чтобы защитить сетчатку глаза человека от повреждения излучением синего света, значение максимально допустимой эффективной инфракрасной энергетической яркости LB должно быть:
t <= 10000 с

, (40)
где t - длительность экспозиции в секундах, и
t > 10000 с

(41)
Примечание - Для длительностей экспозиции менее 10 с предельные значения тепловой опасности для сетчатки LRTH обычно меньше, чем предельные значения для опасности синего света.
Когда
(32) не удовлетворяет испытаниям, максимальная длительность
tмакс определяется по формуле

(42)
Для определения эффективной энергетической освещенности синего света EB пользуются следующей формулой

, (43)
где

- спектральная энергетическая освещенность;

- спектральный интервал.
Чтобы защитить сетчатку глаза человека от повреждения излучением синего света при угле стягивания источника

, значение максимально допустимой эффективной энергетической освещенности синего света
LB должно быть:
t <= 10000 с

(44)
t > 10000 с

, (45)
где t - длительность экспозиции в секундах.
Когда проводить расчеты длительности по
формуле (44) не представляется возможным, это время
tмакс определяется по формуле

(46)
4.8.2.3 Инфракрасная радиационная опасность для роговицы и хрусталика глаза (от 780 до 3000 нм)
Чтобы избежать опасности теплового воздействия на роговицу и по возможности уменьшить воздействие на хрусталик глаза (вызывающий катаракту) в спектральном диапазоне между 780 и 3000 нм полную энергетическую освещенность EIR ограничивают:
t >= 1000 с
EIR = 100 Вт/м2; (47)
t < 1000 с

, (48)
где t - длительность экспозиции в секундах.
При холодной окружающей среде эти пределы могут бы увеличены до 400 Вт/м2 при 0 °C и 300 Вт/м2 при 10 °C, когда инфракрасные источники используют тепловое излучение.
Значения максимально допустимой энергетической освещенности этого раздела усреднены для стандартного диаметра зрачка по
4.3, однако измерительную апертуру выбирают согласно
таблицы 2.
4.8.3 Общее представление о максимально допустимой экспозиции для глаз
Таблица 5 дает общее представление о значениях максимально допустимой экспозиции для глаз.
Таблица 5
Максимально допустимая экспозиция для глаз
Свойство и весовые функции | Длина Волны  , нм | Длительность экспозиции t, с |
10-9 - 1,8·10-5 | 1,8·10-5 - 10 | 10 - 103 | 103 - 104 | 104 - 3·104 |
| 180 до 400 | 30 Дж/м2 |
| 315 до 400 | 104 Дж/м2 |
| 300 до 700 | 1·106/t, Вт/м2·ср | |
| 380 до 1400 | | | |
| 780 до 1400 Яркость источника < 10 кд/м2 | |
| 780 до 3000 | | 100 Вт/м2 |
4.9 Максимально допустимая экспозиция для кожи
4.9.1 Ультрафиолетовый спектральный диапазон (180 до 400 нм)
В ультрафиолетовом спектральном диапазоне между 180 и 400 нм эффективная энергетическая освещенность Eeff, соответственно энергетическая экспозиция Heff рассчитываются по следующим весовым формулам:

(49)
соответственно

, (50)
где

- спектральная энергетическая освещенность;

- спектральная энергетическая экспозиция;

- спектральный интервал.
Максимальная допустимая эффективная энергетическая экспозиция Heff равна
Heff = 30 Дж/м2 (51)
Для данной эффективной энергетической освещенности допустимое время экспозиции tмакс в секундах, для экспозиции ультрафиолетового излучения в случае незащищенной кожи определяется так

(52)
Время экспозиции можно также определить по
таблице 4, в которой приведены значения времени экспозиции, соответствующие заданной эффективной энергетической освещенности.
4.9.2 Видимый и инфракрасный спектральные диапазоны
Чтобы защитить кожу от теплового вредного воздействия в спектральном диапазоне между 380 и 3000 нм, максимально возможная энергетическая экспозиция H для длительности экспозиции t < 10 с должна быть равна
H = 2·104·t1/4 Дж/м2, (53)
где t - длительность экспозиции в секундах. Этот предел предохраняет от тепловых ожогов кожи.
Не установлен предел для длительности экспозиции более 10 с, поэтому нормальная реакция организма будет определять предел действия излучения. Предельные значения для значительно больших длительностей экспозиции доминируют при тепловых воздействиях.
| | ИС МЕГАНОРМ: примечание. В официальном тексте документа, видимо, допущена опечатка: имеется в виду пункт 3.27, а не пункт 3.37. | |
Для некоторых источников излучения эмиссия характеризуется световыми величинами (обычно для фотопического зрения). Если эмиссия главным образом монохроматическая, то соответствующее радиометрическое свойство может быть рассчитано через фотометрические свойства с учетом относительной спектральной эффективности

(см.
приложение C) и максимальной спектральной эффективности излучения K
м (см.
3.37). Для широкополосных источников этот расчет невозможен, если спектральное распределение эмиссии неизвестно.
Измерения должны проводиться при следующих условиях:
5.1.1 Точки в пространстве, доступные человеку в условиях экспозиции, необходимо предвидеть и оценить их степень риска.
Когда устанавливается экспозиция для глаза в диапазоне длин волн от 380 до 1400 нм, минимальное расстояние измерительной апертуры от видимого источника должно быть увязано с минимальным расстоянием наблюдателя при измерениях. Однако оно не должно быть меньше, чем 100 мм. Угловой размер

должен определяться на некотором расстоянии от видимого источника.
5.1.2 Приемник излучения измерительного прибора так располагают и так ориентируют, чтобы получить максимальный результат регистрации излучения и усреднить результаты по круглому водному пятну измерительной апертуры согласно
таблице 2.
5.1.3 При нахождении
LRTH и
LIR в случае видимых источников с углом стягивания

больше, чем

, при расчете МДЭ круглая измерительная апертура диаметром 7 мм (см. также
4.2 и
4.3) и эффективный угол приема, равный

, должен быть использован для определения МДЭ для глаз. Для определения горячего пятна его надо сканировать.
5.1.4 При нахождении
LRTH и
LIR в случае видимых источников с углом стягивания

меньше, чем

, при расчете МДЭ круглая измерительная апертура диаметром 7 мм (см. также
4.2 и
4.3) и эффективный угол приема, равный

, должен быть использован для определения МДЭ для глаз.
5.1.5 Время, зависимое от

, необходимо только при расчетах времени экспозиции между 0,7 с и 10 с, где оно является влияющей величиной. В большинстве случаев будет достаточно применять источники со следующими двумя углами: 1,5 мрад и 11 мрад.
5.1.6 Опасность синего света для сетчатки должна определяться при угле приема, равном

. Так как опасность синего света для сетчатки наиболее заметна только при большом времени экспозиции (больше, чем 10 с), в большинстве случаев достаточно использовать источник с углом приема 11
мрад.
5.1.7 В случае, когда видимый источник состоит из множества точек или линий или если это источник неравномерной энергетической яркости с угловым размером больше

и работает в диапазоне длин волн от 380 до 1400 нм, при измерении или нахождении тепловой опасности для сетчатки необходимо измерять каждую точку или группу точек, чтобы быть уверенным в выполнении ограничений МДЭ для каждого угла

каждого участка излучения, где

также хорошо отвечает согласованным требованиям во всех возможных положениях и угол приема не превышает

.
5.1.8 Для нахождения МДЭ величина углового размера
a линейного источника определяется значением наименьшего и наибольшего размера источника. В расчетах наименьшее значение никогда не берется меньше, чем

, а наибольшее значение никогда не берется больше, чем

.
5.1.9 МДЭ в диапазоне длин волн от 380 до 1400 нм в приложении к коже определяется приемником, имеющим отсчеты, пропорциональные косинусу угла падающего излучения.
Методы измерений, описанные далее, являются по возможности упрощенными методами. Могут использоваться любые другие эквивалентные методы. В этих измерениях должны использоваться подходящие измерительные средства с известными неопределенностями измерений.
5.2.1 Измерение интегрированной по времени энергетической яркости
Как дано в определении интегрированной по времени энергетической яркости
L (
Li) может быть определена (рисунок 8) измерением мощности излучения, проходящего через заданную измерительную апертурную диафрагму, имеющую площадь
A, найденную на расстоянии измерений. Плоский угол приема обусловливает часть излучения источника, в которой энергетическая яркость усредняется. Этот плоский угол приема

фактически определяет согласованный телесный угол приема

измеряемого места. Для малых круглых источников может быть использовано
уравнение (23) для соотношения плоского угла

и телесного угла

.
Рисунок 8 - Условия измерения для определения
интегрированной по времени энергетической яркости
Энергетическая яркость источника рассчитывается через мощность излучения
P, проходящего через измерительную апертуру, имеющую площадь
A и телесный угол


(54)
Интегрированная по времени энергетическая яркость измеряется тем же путем, однако вместо измерения мощности излучения P измеряют энергию излучения Q

(55)
5.2.2 Измерение размеров видимого источника
5.2.2.1 Открытые источники
В большинстве случаев физические размеры источников излучения известны. В этих случаях размеры видимого источника равны размерам источника.
Когда размеры источника неизвестны и источник не поддается измерениям, источник изображается, например, линзой. Как пример, такой метод показан на
рисунке 9. Линза с фокусным расстоянием
f имеет диаметр, достаточный, чтобы перехватывать полную испускаемую радиацию источника. В случаях, где это невозможно, минимальный диаметр
dl линзы получается из следующего соотношения
dl = 7 мм·(g/100 мм), (56)
где g - расстояние от (первая главная плоскость) линзы до источника. Эти размеры показаны на рисунке 9.
Рисунок 9 - Определение углового размера источника
Если b - расстояние от изображения до (вторая главная плоскость) линзы, то диаметр d источника определится соотношением
d = d'·(g/b) (57)
где
d' - диаметр изображения в плоскости изображения. Для определения
d' следует руководствоваться методами
5.2.2.3 и
5.2.2.4.
5.2.2.2 Комбинация источник/линза
Если излучатель состоит из соединения источника и оптического элемента (например, линза и/или зеркало), то расстояние от источника до линзы, фокусное расстояние оптического элемента и положение действительной плоскости оптического элемента неизвестны. В этом случае можно использовать рисунок 10, чтобы определять угловой размер источника. Диаметр второй линзы должен быть больше, чем диаметр комплекта излучателя. Для определения
d' следует пользоваться методами
5.2.2.3 и
5.2.2.4.
Рисунок 10 - Определение углового размера источника
Увеличение M источника определяется как

,
где f0 - фокусное расстояние линзы комплекта излучателя, а a - расстояние между правой и соответственно левой главной плоскостью двух линз. Определение размера изображения d' с линзами разного фокусного расстояния f и различного расстояния a между двумя линзами осложнено тем, что имеются две неизвестных величины f0 и d, которые должны быть установлены. Если a достаточно большое, то нет необходимости определять отдельно точное положение главной плоскости в неизвестной линзе, так как это едва ли внесет вклад в погрешность измерений.
5.2.2.3 Источник с круговой симметрией
Приемная система используется с круглой апертурой перед ней. При измерениях диаметр приемника и апертура должны быть больше изображения источника. При измерении полной мощности эта сборка располагается в плоскости изображения источника и центрирована относительно оптической оси.
Диаметр апертуры уменьшается до тех пор, пока проходящая через апертуру мощность не станет равной 63% от полной мощности. Рекомендуется повторять измерение диаметра пучка несколько раз. Диаметр апертуры этого положения определяет диаметр пучка в этом положении. Измеряется только минимальный диаметр изображения, если апертура позиционируется в плоскости резкого изображения источника. Рекомендуется повторять измерения диаметра пучка несколько раз в различных местах пространства предполагаемого положения плоского изображения.
5.2.2.4 Удлиненные источники
В случае прямоугольного и другого удлиненного источника метод определения размера пучка соответствует методу круглых источников. Однако вместо круглой апертуры используется прямоугольная апертура, если она перекрывает 63% полной проходящей мощности. Такие некруговые источники обычно имеют два предпочтительных направления, в которых стороны прямоугольника параллельны. Предпочтительное направление определяется наименее возможной шириной пучка и ортогональным направлением. Предпочтительные направления определяются с самого начала; это может быть сделано поворотом щели в плоскости, перпендикулярной плоскости распространения пучка.
Для того, чтобы определить наименее возможную неперпендикулярность, которая определяет 63% полной мощности, рекомендуется использовать повторяющийся метод. При измерении полной мощности прямоугольная апертура в плоскости приемника должна быть достаточно большой, но не влиять на предельное значение мощности, проходящей в любом другом направлении. Приемник и прямоугольный пучок должны быть центрированы по оптической оси в направлении распространения пучка. Теперь ширина прямоугольника может быть уменьшена в одном размере до корня квадратного из 0,63, т.е. 0,79 полной мощности, проходящей через прямоугольник. Для того, чтобы проверить центрирование прямоугольной апертуры к пучку в случае источника неравномерной энергетической яркости, прямоугольник следует передвигать и поворачивать в разных направлениях. Эта процедура повторяется до тех пор, пока наименее возможная ширина будет обнаружена.
Такая же процедура должна быть повторена для второй предполагаемой стороны прямоугольника.
Обе операции повторяются до тех пор, пока результат определения ширины и длины изображения источника (прямоугольного) не будут изменяться.
5.2.3 Определение углового размера
Угловой размер определяется на расстоянии, которое предполагается использовать при установлении экспозиции от видимого источника. Это расстояние должно быть не меньше 100 мм.
Угловой размер источника определяется отношением диаметра источника d к расстоянию наблюдения. Минимальное значение расстояния наблюдения задается предполагаемым минимальным значением расстояния аккомодации и равно 100 мм. В случае удлиненного источника устанавливается два значения углового размера: один для наименьшего размера, а другой - для наибольшего размера.
На
рисунке 9 угол

стягивается изображением, получаемым линзой, и может быть определен так

(58)
Это может быть углом, который стягивается глазом, если расстояние видимости будет g. Стягиваемый угол варьируется расстоянием видимости g':

. (59)
На
рисунках 9 и
10 угол

стягивается изображением, получаемым линзой и может определяться

.
СПЕКТРАЛЬНЫЕ ФУНКЦИИ ОПАСНОСТИ СИНЕГО СВЕТА
И ТЕПЛОВОЙ ОПАСНОСТИ ДЛЯ СЕТЧАТКИ СОГЛАСНО ICNIRP
Длина волны, нм | Функция опасности синего света | Функция тепловой опасности для сетчатки |
300 - 380 | 0,01 | - |
380 | 0,01 | 0,1 |
385 | 0,013 | 0,13 |
390 | 0,025 | 0,25 |
395 | 0,05 | 0,5 |
400 | 0,10 | 1,0 |
405 | 0,20 | 2,0 |
410 | 0,40 | 4,0 |
415 | 0,80 | 8,0 |
420 | 0,90 | 9,0 |
425 | 0,95 | 9,5 |
430 | 0,98 | 9,8 |
435 | 1,00 | 10,0 |
440 | 1,00 | 10,0 |
445 | 0,97 | 9,7 |
450 | 0,94 | 9,4 |
455 | 0,90 | 9,0 |
460 | 0,80 | 8,0 |
465 | 0,70 | 7,0 |
470 | 0,62 | 6,2 |
475 | 0,55 | 5,5 |
480 | 0,45 | 4,5 |
485 | 0,40 | 4,0 |
490 | 0,22 | 2,2 |
495 | 0,16 | 1,6 |
500 | 0,10 | 1,0 |
> 500 - 600 | | 1 |
> 600 - 700 | 0,001 | 1 |
> 700 - 1050 | - | |
> 1050 - 1150 | - | 0,2 |
> 1150 - 1200 | - | |
> 1200 - 1400 | - | 0,02 |
<*> Длина волны  , нм |
ПРЕДЕЛЫ УЛЬТРАФИОЛЕТОВОЙ ЭКСПОЗИЦИИ
И СПЕКТРАЛЬНЫХ ВЕСОВЫХ ФУНКЦИЙ СОГЛАСНО ICNIRP
Длина волны, нм | Максимально допустимая экспозиция, Дж/м2 | Относительная спектральная эффективность  | | Длина волны, нм | Максимально допустимая экспозиция, Дж/м2 | Относительная спектральная эффективность  |
180 | 2500 | 0,012 | | 310 | 2000 | 0,015 |
190 | 1600 | 0,019 | | 313 | 5000 | 0,0060 |
200 | 1000 | 0,030 | | 315 | 10000 | 0,0030 |
205 | 590 | 0,051 | | 316 | 13000 | 0,0024 |
210 | 400 | 0,075 | | 317 | 15000 | 0,0020 |
215 | 320 | 0,095 | | 318 | 19000 | 0,0016 |
220 | 250 | 0,120 | | 319 | 25000 | 0,0012 |
225 | 200 | 0,150 | | 320 | 29000 | 0,0010 |
230 | 160 | 0,190 | | 322 | 45000 | 0,00067 |
235 | 130 | 0,240 | | 323 | 56000 | 0,00054 |
240 | 100 | 0,300 | | 325 | 60000 | 0,00050 |
245 | 83 | 0,360 | | 328 | 68000 | 0,00044 |
250 | 70 | 0,430 | | 330 | 73000 | 0,00041 |
254 | 60 | 0,500 | | 333 | 81000 | 0,00037 |
255 | 58 | 0,520 | | 335 | 88000 | 0,00028 |
260 | 46 | 0,650 | | 340 | 110000 | 0,00028 |
265 | 37 | 0,810 | | 345 | 130000 | 0,00024 |
270 | 30 | 1,000 | | 350 | 150000 | 0,00020 |
275 | 31 | 0,960 | | 355 | 190000 | 0,00016 |
280 | 34 | 0,880 | | 360 | 230000 | 0,00013 |
285 | 39 | 0,770 | | 365 | 270000 | 0,00011 |
290 | 47 | 0,640 | | 370 | 320000 | 0,000093 |
295 | 56 | 0,540 | | 375 | 390000 | 0,000077 |
297 | 65 | 0,460 | | 380 | 470000 | 0,000064 |
300 | 100 | 0,300 | | 385 | 570000 | 0,000053 |
303 | 250 | 0,120 | | 390 | 680000 | 0,000044 |
305 | 500 | 0,060 | | 395 | 830000 | 0,000036 |
308 | 1200 | 0,026 | | 400 | 1000000 | 0,000030 |
ОТНОСИТЕЛЬНАЯ СПЕКТРАЛЬНАЯ
СВЕТОВАЯ ЭФФЕКТИВНОСТЬ СОГЛАСНО МЭК
Длина волны, нм | Относительная спектральная световая эффективность фотопического зрения  | | Длина волны, нм | Относительная спектральная световая эффективность фотопического зрения  |
380 | 0,0000 | | 580 | 0,870 |
390 | 0,0001 | | 590 | 0,757 |
400 | 0,0004 | | 600 | 0,631 |
410 | 0,0012 | | 610 | 0,503 |
420 | 0,0040 | | 620 | 0,381 |
430 | 0,0116 | | 630 | 0,265 |
440 | 0,023 | | 640 | 0,175 |
450 | 0,038 | | 650 | 0,107 |
460 | 0,060 | | 660 | 0,061 |
470 | 0,091 | | 670 | 0,032 |
480 | 0,139 | | 680 | 0,017 |
490 | 0,208 | | 690 | 0,0082 |
500 | 0,323 | | 700 | 0,0041 |
510 | 0,503 | | 710 | 0,0021 |
520 | 0,710 | | 720 | 0,00105 |
530 | 0,862 | | 730 | 0,00052 |
540 | 0,954 | | 740 | 0,00025 |
550 | 0,995 | | 750 | 0,00012 |
555 | 1,0002 | | 760 | 0,00006 |
560 | 0,995 | | 770 | 0,00003 |
570 | 0,952 | | 780 | 0,000015 |
(справочное)
СПЕКТР ДЕЙСТВИЯ
Биоэффективная мера чувствительности глаза и кожи к ультрафиолетовому и инфракрасному излучению значительно отличается по длине волны. Следовательно, различие "спектра действия" проявляется в установлении зависимости от дозы. В фотобиологии термин "спектр действия" - это относительная спектральная эффективность на различных длинах волн, вызывающая биологический эффект. МДЭ в настоящем стандарте устанавливает "пакет безопасных режимов" различных спектров действия. В УФ излучении кривая спектра действия содержит безопасные режимы, например, порог экспозиционной дозы (энергетической экспозиции) в диапазоне возможного возникновения минимальной эритемы и кератоконъюнктивитов. Взаимодействие означает, что энергетическая освещенность E и длительность экспозиции t имеют взаимные влияния, а постоянное произведение E и t (т.е. энергетическая экспозиция H) определяет данный эффект. Там, где биологические эффекты вызываются разными спектрами действия, необходимо оценивать их отдельно по данным, которые здесь представлены.
Директива по безопасным режимам имеет некоторый запас по безопасности, чтобы защитить всех, в том числе индивидуумов с повышенной чувствительностью. Точное значение этого запаса не может быть дано, но для персон со светлой пигментацией оно варьируется примерно от 3 до 20 единиц спектральной плотности излучения.
D.1 Эритема (кожи)
Порог чувствительности для эритемы (например, покраснение кожи от солнечного ожога) зависит от анатомического строения, длины волны и времени между экспозицией и реакцией. Кроме того, различия в значении меры чувствительности должны устанавливаться по отличительным признакам в клинических условиях, при которых минимальная эритема определяется с помощью радиометрической измерительной техники. Эритема - это нормальная фотохимическая реакция кожи на чрезмерное воздействие излучения в УФ-C и УФ-B диапазонах. УФ-A, добавленная к УФ-B может значительно увеличить эритемную реакцию. Этот синергический эффект двух спектральных диапазонов известен как фотоаугментация.
Спектр действия для различных уровней эритемы очень различен. При наиболее жестком случае эритемы максимум чувствительности находится между 290 и 300 нм. Минимальная эритемная доза (МЭД) по публикациям [
6 -
8] для чистой кожи светлой пигментации составляет от 60 Дж/м
2 до 300 Дж/м
2. Эти данные МЭД предлагают для этого типа кожи предельное значение экспозиции приблизительно в от 1,3 до 6,5 раз меньше, чем значения МЭД.
Пигментация кожи и "кондиционирование" (утолщение слоя роговицы и дубление) может увеличить МЭД на несколько единиц по абсолютной величине.
Экспериментальный спектр действия для разного типа кожи представлен в таблице D.1. Когда значение взвешивается относительным спектром действия, мера чувствительности дозы по абсолютной величине должна быть 250 Дж·м-2. Значения максимально допустимой экспозиции в настоящем стандарте основаны на значениях для чувствительности кожи.
Таблица D.1
Относительный спектр действия для формирования эритемы
Диапазон длин волн, нм | Относительный спектр действия для чувствительной кожи | Относительный спектр действия для среднечувствительной кожи |
250 - 290 | 1 |
> 298 - 328 | |
> 328 - 380 | | |
<*> Длина волны  , нм |
D.2 Пигментация (кожи):
Ультрафиолетовое излучение обычно вызывает пигментацию кожи (дубление). Пигментация восстанавливает чувствительность кожи к УФ излучению поглощением радиации пигментом кожи.
Экспериментальный спектр действия для разного типа кожи представлен в таблице D.2. Когда значение взвешивается относительным спектром действия, мера чувствительности дозы по абсолютной величине должна быть 450 Дж·м-2.
Таблица D.2
Относительный спектр действия для пигментации
Диапазон длин волн, нм | Относительный спектр действия для чувствительной кожи | Относительный спектр действия для среднечувствительной кожи |
250 - 290 | 1 |
> 298 - 328 | |
> 328 - 380 | | |
<*> Длина волны  , нм |
D.3 Преждевременное старение кожи и рак кожи
Чрезмерные повторные экспозиции ультрафиолетового излучения от солнца или от ультрафиолетовых облучателей могут привести к преждевременному старению кожи скорее всего потому, что увеличивается риск развития кожных опухолей. Относительная эффективность различных длин волн, вызывающая преждевременное старение кожи и кожные опухоли, в настоящее время детально не известна. Однако изучение на животных указывает на то, что спектр действия для не-меланомного типа кожи может способствовать доброкачественным опухолям за счет спектра действия эритемы. Экспериментальные изучения кожи мышей указывают на то, что УФ-B как и УФ-A комплектуют онкогенное вещество, имеющее отношение к сквамозному раку кожи с высочайшей эффективностью в УФ-B диапазоне. Различные эксперименты последних лет показывают, что ожоги солнца, особенно в детстве, но также в состоянии зрелости, провоцируют риск злокачественной меланомы кожи. Злокачественная меланома наиболее летальная форма рака кожи. Точная количественная доза воздействия для разных форм рака кожи до сих пор не установлена. Имеют место индивидуальные особенности человека. Определенные фенотипы с низкосортной кожей, обладающие слабой способностью проявлять пигментацию и так далее, более предрасположены для развития рака кожи.
D.4 Фотокератоконъюнктивит (глаз)
Актиничное УФ излучение (УФ-B и УФ-C) сильно поглощается роговой оболочкой глаза и конъюнктивой (слизистая оболочка глаза). Передозировка этих тканей является причиной фотокератоконъюнктивита, как правило, от вспышки дуги сварочного агрегата, дуговых ламп и т.д. Конъюнктивиты имеют тенденцию развиваться медленно и сопровождаются эритемой кожи лица, окружающей веки. Некоторые люди имеют ощущение постороннего тела или песка в глазах, что может квалифицироваться как фотофобия (светобоязнь), слезотечение и тонический блефароспазм различной степени тяжести. Острые симптомы продолжаются от 6 до 74 часов, и дискомфорт исчезает обычно в течение 48 часов. Установленные требования по предельной экспозиции на длинах волн между 180 и 305 нм примерно от 1,3 до 4,6 раз меньше, чем порог минимального изменения
[9].
Максимальная чувствительность человеческого глаза проявляется на 270 нм. Отклик на длинах волн (относительный спектр действия) между 220 и 310 нм не очень большой, как при эритеме с мерой чувствительности от 4 до 140 Дж/м2. Повреждения роговицы в диапазоне длин волн УФ-A не наблюдаются при требуемом уровне, не превышающем 140 Дж/м2.
D.5 Катаракта (глаз)
Длины волн больше 295 нм могут проходить через роговицу и поглощаться хрусталиком глаза. Временное и постоянное помутнение хрусталика глаза (катаракты) могут быть вызваны у кроликов и обезьян при экспозиции УФ излучения, имеющего длины волн в интервале от 295 до 320 нм. Мера чувствительности к временному помутнению весьма значительно зависит от длины волны
[10], при экспозиции от 1,5 до 140 Дж/м2. Пороги для долговременных помутнений обычно в два раза превышают пороги для преходящих помутнений.
Также известны случаи образования катаракты (наведенная катаракта) при длительном воздействии теплового излучения с высоким уровнем инфракрасного излучения. Чтобы избегать возможных замедленных эффектов на хрусталике глаза, полная энергетическая освещенность при длинах волн больше 780 нм должна лимитироваться 100 В/м2 для очень длинной (> 1000 с) экспозиции. Повышение температуры в глазу содействует появлению катаракты от инфракрасного излучения. Энергия, поглощенная роговицей, радужной оболочкой и хрусталиком глаза, способствует подъему температуры. Это повышение должно быть меньше, чем 1 К.
D.6 Фотохимическое повреждение сетчатки (глаз)
При экспозиции синим светом, главным образом в диапазоне длин волн меньше 500 нм, известны случаи фотохимического повреждения сетчатки. Этот эффект описывается функцией опасности синего света (см.
приложение A).
СВЕДЕНИЯ О СООТВЕТСТВИИ МЕЖГОСУДАРСТВЕННЫХ
СТАНДАРТОВ ССЫЛОЧНЫМ МЕЖДУНАРОДНЫМ СТАНДАРТАМ
(МЕЖДУНАРОДНЫМ ДОКУМЕНТАМ)
Таблица ДА.1
Обозначение и наименование ссылочного международного стандарта | Степень соответствия | Обозначение и наименование соответствующего межгосударственного стандарта |
ISO/IEC Guide 51:1999 Аспекты безопасности. Руководящие указания по включению их в стандарты | - | |
ISO 1000:1992 Единицы СИ и рекомендации по применению кратных и дольных от них и некоторых других единиц | - | |
IEC 60825-1:1993 Безопасность лазерной аппаратуры - Часть 1: Классификация оборудования, требования и руководство пользователя | - | |
IEC 60050(845):1987 Международный электротехнический словарь (МЭС). Глава 845. Освещение | - | |
<*> Соответствующий межгосударственный стандарт отсутствует. До его утверждения рекомендуется использовать перевод на русский язык данного международного стандарта. Перевод данного международного стандарта находится в Федеральном информационном фонде технических регламентов и стандартов. |
[1] | ACGIH (American Conference of Governmental Industrial Hygienist) 1997 TLVs and BEIs; Threshold limit values for chemical substances and physical agents; Biological Exposure Indices, Cincinnati, ACGIH, 1997 |
[2] |  A.S. e. a. IRPA (International Radiation Protection Association) Guidelines on protection against non-ionising radiation//Pergamon Press - New York, 1991 |
[3] | INCIRP (International Comission on Non-Ionising Radiation Protection): Guidelines of limits of exposure to broadband incoherent optical radiation (0,38 to  )//Health Physics 73 (1997), 539 - 554 |
[4] | IRPA/INIRC (International Non-Ionising Radiation Committee): Guidelines on limits of exposure to ultraviolet radiation of wavelengths between 180 nm and 400 nm (Incoherent optical radiation)//Health Physics - Vol. 49 (1985), 331 - 340 and 56 (1989), 971 - 972 |
| Reeves P., JOSA 4, 35 - 43 (1920) |
| Everet M.A., Olson R.L., Sayer R.M. Ultraviolet erythema//Arch. Dermatol. 92 (1965), 713 - 729 |
[7] | Freeman R.G., Owens D.W., Knox J.M., Hudson H.T. Relative energy requirements for an erythemal response of the skin to monochromatic wavelengths for ultraviolet present in the solar spectrum//J. Invest. Dermatol. 47 (1966), 586 - 592 |
| Parrish J.A., Jaenicke K.F., Anderson R.R.: Erythema and melanogenesis action spectra of normal human skin//Photochem. Photobiol. 36 (1982), 187 - 191 |
| Pitts D.G., Tredici T.J. The effects ultraviolet on the eye//Am. Ind. Hyg. Ass. J. 32 (1971), 235 - 246 |
| Pitts D.G., Cullen A.P., Hacker P.D. Ocular ultraviolet effects from 295 nm to 400 nm in the rabbit eye//Nat. Inst. Occ. Safety and Health, Cincinnati, OH contract CDC-99-74-12, DHEW (NIOSH) Publ., No. 77 - 175 |