Главная // Актуальные документы // ГОСТ (Государственный стандарт)СПРАВКА
Источник публикации
М.: Стандартинформ, 2014
Примечание к документу
Документ
введен в действие с 01.01.2015.
Название документа
"ГОСТ EN 15452-2013. Межгосударственный стандарт. Удобрения. Определение хелатированных агентов. Определение железа, хелатированного o,p-EDDHA посредством реверсивной фазы HPLC. Определение железа, хелатированного EDDHSA, ион-парной хроматографией"
(введен в действие Приказом Росстандарта от 08.11.2013 N 1435-ст)
"ГОСТ EN 15452-2013. Межгосударственный стандарт. Удобрения. Определение хелатированных агентов. Определение железа, хелатированного o,p-EDDHA посредством реверсивной фазы HPLC. Определение железа, хелатированного EDDHSA, ион-парной хроматографией"
(введен в действие Приказом Росстандарта от 08.11.2013 N 1435-ст)
агентства по техническому
регулированию и метрологии
от 8 ноября 2013 г. N 1435-ст
МЕЖГОСУДАРСТВЕННЫЙ СТАНДАРТ
УДОБРЕНИЯ
ОПРЕДЕЛЕНИЕ ХЕЛАТИРОВАННЫХ АГЕНТОВ.
ОПРЕДЕЛЕНИЕ ЖЕЛЕЗА, ХЕЛАТИРОВАННОГО o,p-EDDHA
ПОСРЕДСТВОМ РЕВЕРСИВНОЙ ФАЗЫ HPLC
ОПРЕДЕЛЕНИЕ ЖЕЛЕЗА, ХЕЛАТИРОВАННОГО EDDHSA,
ИОН-ПАРНОЙ ХРОМАТОГРАФИЕЙ
Fertilizers. Determination of chelating agents.
Determination of iron chelated by EDDHSA
by ion pair chromatography
(EN 15452:2008, IDT)
ГОСТ EN 15452-2013
Дата введения
1 января 2015 года
Цели, основные принципы и порядок проведения работ по межгосударственной стандартизации установлены
ГОСТ 1.0-92 "Межгосударственная система стандартизации. Основные положения" и
ГОСТ 1.2-2009 "Межгосударственная система стандартизации. Стандарты межгосударственные, правила и рекомендации по межгосударственной стандартизации. Правила разработки, принятия, применения, обновления и отмены"
1 ПОДГОТОВЛЕН Федеральным государственным унитарным предприятием "Всероссийский научно-исследовательский центр стандартизации, информации и сертификации сырья, материалов и веществ" (ФГУП "ВНИЦСМВ") на основе собственного аутентичного перевода на русский язык стандарта, указанного в
пункте 4
2 ВНЕСЕН Межгосударственным техническим комитетом по стандартизации МТК 527 "Химия"
3 ПРИНЯТ Межгосударственным советом по стандартизации, метрологии и сертификации по переписке (протокол N 59-П от 27 сентября 2013 г.)
За принятие проголосовали:
Краткое наименование страны по МК (ИСО 3166) 004-97 | Код страны по МК (ИСО 3166) 004-97 | Сокращенное наименование национального органа по стандартизации |
Азербайджан | AZ | Азстандарт |
Армения | AM | Минэкономики Республики Армения |
Беларусь | BY | Госстандарт Республики Беларусь |
Киргизия | KG | Кыргызстандарт |
Молдова | MD | Молдова-Стандарт |
Россия | RU | Росстандарт |
Узбекистан | UZ | Узстандарт |
4 Настоящий стандарт идентичен европейскому региональному стандарту EN 15452:2008 Fertilizers - Determination of chelating agents - Determination of iron chelated by
o,
p-EDDHA by reversed phase HPLC (Удобрения. Определение хелатированных агентов. Определение железа, хелатированного
o,p-EDDHA, посредством реверсивной фазы HPLC).
Европейский стандарт разработан Европейским комитетом по стандартизации CEN/TC 260 "Удобрения и известковые материалы".
Перевод с английского языка (en).
Официальные экземпляры европейского стандарта, на основе которого подготовлен настоящий межгосударственный стандарт, и международных стандартов, на которые даны ссылки, имеются в Федеральном информационном фонде технических регламентов и стандартов.
Сведения о соответствии межгосударственных стандартов ссылочным стандартам приведены в дополнительном
приложении Д.А.
Степень соответствия - идентичная (IDT)
5
Приказом Федерального агентства по техническому регулированию и метрологии от 08 ноября 2013 г. N 1435-ст межгосударственный стандарт ГОСТ EN 15452-201 введен в действие в качестве национального стандарта Российской Федерации с 01 января 2015 г.
6 ВВЕДЕН ВПЕРВЫЕ
Информация об изменениях к настоящему стандарту публикуется в ежегодно издаваемом информационном указателе "Национальные стандарты", а текст изменений и поправок - в ежемесячно издаваемом информационном указателе "Национальные стандарты". В случае пересмотра (замены) или отмены настоящего стандарта соответствующее уведомление будет опубликовано в ежемесячно издаваемом информационном указателе "Национальные стандарты". Соответствующая информация, уведомление и тексты размещаются также в информационной системе общего пользования - на официальном сайте Федерального агентства по техническому регулированию и метрологии в сети Интернет
Настоящий стандарт устанавливает метод хроматографического определения количества железа в хелатной форме каждого из отдельных изомеров хелатообразователя орто-пара EDDHA (o,p-EDDHA) в удобрениях. Метод позволяет идентифицировать этот хелатирующий агент и определить количество водорастворимой части железа, хелатированного этим хелатирующим агентом. Метод неприменим для определения количества свободного хелатообразователя.
Примечания
1 Было показано, что данный метод подходит для определения количества железа, хелатированного каждым из отдельных изомеров хелатирующего агента орто-орто EDDHA (o,o-EDDHA) в удобрениях.
2
o,
o-EDDHA и
o,
p-EDDHA являются сокращениями, используемыми в настоящем стандарте. Полные наименования приведены в
приложении C.
3 Вещества o,o-EDDHA и o,p-EDDHA существуют как разные стереоизомеры. Для o,o-EDDHA существуют мезоформа и d/I пара (рацемические изомеры), для o,p-EDDHA существуют две разные d/I пары. В этом методе все четыре стереоизомера наблюдаются отдельно.
4 В настоящее время аналитически чистый стандартный образец существует только для o,o-EDDHA. Метод для o,p-EDDHA был разработан со стандартным образцом o,p-EDDHA, содержащим неопределенную концентрацию o,p-EDDHA.
Для применения настоящего стандарта необходим следующий ссылочный документ. Для недатированных ссылок применяют последнее издание ссылочного документа (включая все его изменения).
EN 1482-2 Fertilizers and liming materials - Sampling and sample preparation - Part 2: Sample preparation (Удобрения и известковые материалы. Отбор проб и подготовка проб. Часть 2. Подготовка проб)
Используют обратную высокоэффективную жидкостную хроматографию (ВЭЖХ) с УФ-детектором при 277 нм. Образец разделяют на колонке для обращенно-фазовой хроматографии на основе диоксида кремния с использованием формиата натрия (молярная концентрация c = 0,015 моль/дм3, pH 3,0), и ацетонитрила в качестве подвижной фазы. Для o,p-EDDHA и o,o-EDDHA наблюдают два пика стереоизомера. Концентрацию железа, хелатированного o,p-EDDHA (o,p-Fe) определяют в соответствии с методом внешнего стандарта.
Влияющих факторов не выявлено. Хелаты железа с EDTA, HEDTA, DTPA и EDDHMA не интерферируют.
a) Все реактивы должны быть аналитической степени чистоты.
b) Вода, используемая для приготовления элюентов, стандартных растворов и растворов образцов, должна соответствовать степени чистоты 1 по стандарту
[4].
c) При использовании для приготовления стандартных растворов реактивов с заявленной чистотой (P) менее чем 99% необходимо сделать поправку для получения требуемой концентрации раствора.
5.2 Натрия гидроксид, раствор
c(NaOH) = 0,1 моль/дм
3: растворяют в воде, не содержащей диоксид углерода, 4 г гранулированного NaOH в мерной колбе вместимостью 1 дм
3, доводят до метки и гомогенизируют.
5.3 Кислота соляная, раствор
c(HCl) = 4 моль/дм
3: разбавляют 395 г концентрированной соляной кислоты (37%) до 1000 см
3 водой.
5.4 Кислота соляная, раствор
c(HCl) = 0,1 моль/дм
3: разбавляют 25 см
3 соляной кислоты
(5.3) до 1000 см
3 водой.
5.5 Железа (III) нитрат, раствор

: растворяют 3,04 г нонагидрата нитрата железа (III) [Fe(NO
3)
3·9H
2O] в 80 см
3 воды, добавляют 1 см
3 соляной кислоты
(5.3), переносят в мерную колбу вместимостью 100 см
3, доводят до метки водой и гомогенизируют. Проверяют, что концентрация Fe этого раствора - (4200 +/- 100) мг/дм
3 (например, AAS или йодометрическим титрованием). Этот раствор является стабильным примерно в течение одной недели.
5.6
o,
p-Fe-EDDHA, стандартный раствор

: в стакане вместимостью 100 см
3 взвешивают с точностью до 0,1 мг (64,5 +/- 1,0) мг·100/
P [где
P - комплексонометрическая чистота стандартного образца в процентах кислотной формы
o,
p-H
4-EDDHA, полученного ручным или автоматическим фотометрическим титрованием со стандартным раствором Fe (III) при постоянном pH 6 (непрерывная система контроля pH)],
o,
p-H
4-EDDHA
(
- см.
5.1). Добавляют 5 см
3 NaOH
(5.2) и тщательно растворяют образец путем перемешивания. После полного растворения добавляют 35 см
3 воды и 2,5 см
3 раствора нитрата железа (III)
(5.5). Доводят pH раствора до 3,0, используя NaOH
(5.2) или HCl
(5.4). Количественно переносят раствор в мерную колбу вместимостью 100 см
3. Доводят до метки водой и гомогенизируют.
5.7 Элюент раствор: растворяют 1,0 г формиата натрия в 800 см
3 воды. Доводят значение pH до 3,0, используя HCl (
5.3 или
5.4). Переносят раствор в мерную колбу вместимостью 1000 см
3. Разбавляют до метки водой и гомогенизируют. Фильтруют раствор через мембранный фильтр пористостью 0,45 мкм. Смешивают 915 см
3 раствора формиата натрия (pH 3,0) с 85 см
3 ацетонитрила. Гомогенизируют и дегазируют раствор.
Примечание - Качество и состояние колонки может влиять на время удерживания. Чтобы настроить время удержания, варьируют соотношение раствора формиата натрия и ацетонитрила.
6.1 Общие положения
Используют обычное лабораторное оборудование, посуду и:
6.2 Магнитную мешалку с магнитами.
6.3 Хроматограф, оборудованный:
a) изократическим насосом, доставляющим элюент при скорости потока 1,0 мл/мин;
b) нагнетательным клапаном с петлевым дозатором 20 мкл;
c) модифицированной капиллярной кварцевой колонкой C18 (ODS-2); 250 x 4,6 мм ID;
dp = 5 мкм
<*>;
d) защитной колонкой C18 (ODS-2) (рекомендуется использовать);
e) UV/VIS-детектором с фильтром пористостью 277 нм;
f) интегратором.
--------------------------------
<*> Spherisorb ODS-2 от Waters или Allsphere ODS-2 от Alltech являются примерами подходящих продуктов, доступных на коммерческой основе. Данная информация приведена для удобства пользователей настоящего стандарта и не свидетельствует о поддержке CEN данного продукта.
6.4 Фильтры микромембранные, устойчивые к водным растворам, пористостью 0,45 мкм.
7 Отбор и подготовка пробы
Отбор пробы не является частью метода, установленного в настоящем стандарте. Рекомендованный метод отбора пробы приведен в стандарте
[1].
Подготовку пробы проводят в соответствии с EN 1482-2.
Примечание - Для уменьшения размера образцов с большим количеством хелатирующих агентов не рекомендуется использовать высокоскоростную лабораторную мельницу. Более удобно измельчать образец в ступке до размера частиц менее чем 1 мм.
8.1 Подготовка раствора образца
Взвешивают с точностью до 0,1 мг примерно (250 +/- 10) мг образца (ms) в химическом стакане вместимостью 250 см3. Добавляют 200 см3 воды и растворяют образец перемешиванием в течение 30 мин. Количественно переносят раствор в мерную колбу вместимостью 250 см3. Доводят до метки водой и гомогенизируют.
Примечание - Если концентрация o,p-Fe менее 0,5% или более 5%, то концентрация этих хелатов железа будет находиться за пределами диапазона градуировки. Для более точного определения ввод должен быть соответственно увеличен или уменьшен.
8.2 Подготовка стандартных растворов
Отбирают пипеткой объем стандартного раствора
o,
p-Fe-EDDHA V (см
3)
(5.6) (см.
таблицу 1) в шесть мерных колб вместимостью 50 см
3. Доводят до метки водой и гомогенизируют. Эти растворы содержат хелатированное
o,
p-EDDHA железо в апроксимированных концентрациях, приведенных в таблице 1.
Таблица 1
Подготовка стандартных растворов
Раствор | V, см3 | o,p-EDDHA |
d/I изомер-1 | d/I изомер-2 |
Fe, мг/дм3 | Fe, мг/дм3 |
1 | 2,5 | 2,5 | 2,5 |
2 | 5 | 5,0 | 5,0 |
3 | 10 | 10,0 | 10,0 |
4 | 15 | 15,0 | 15,0 |
5 | 20 | 20,0 | 20,0 |
6 | 25 | 25,0 | 25,0 |
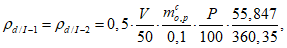
Точную массовую концентрацию хелатированного o,p-EDDHA железа, мг/дм3, рассчитывают по формуле

(1)
где

(2)
где V - количество использованного стандартного раствора, см3;

- количество
o,
p-H
4-EDDHA, использованного для подготовки стандартного раствора, мг;
P - чистота стандартного образца для градуировки, %.
Примечание - Предполагается, что стандартный образец o,p-EDDHA кислоты содержит равное количество двух стереоизомеров.
8.3 Хроматографический анализ
Непосредственно перед введением все растворы должны быть отфильтрованы через мембранный фильтр
(6.4) пористостью 0,45 мкм. Вводят стандартные растворы
(8.2) в хроматографическую систему
(6.3). Измеряют время удерживания и площади двух изомеров
o,
p-Fe-EDDHA (
d/I-1 и
d/I-2) для всех растворов. Проводят разную линию калибровки для каждого из двух изомеров со значениями площадей пиков стандартных растворов в сопоставлении с точной концентрацией Fe (мг/дм
3), хелатированного каждым изомером хелатирующего агента.
Вводят раствор образца
(8.1). Идентифицируют различные изомеры по времени удерживания полученных пиков (
рисунок A.1, приложение A). Измеряют площадь пика для каждого изомера. Определяют концентрацию железа в хелатной форме (мг/дм
3) для каждого изомера, используя соответствующую линию калибровки.
Рассчитывают массовую долю железа Fe, хелатированного o,p-EDDHA, w, %, в удобрении по формуле
| | ИС МЕГАНОРМ: примечание. Формула дана в соответствии с официальным текстом документа. | |

(3)
где

- массовая концентрация Fe, хелатированного первой группой стереоизомеров (
d/I-1)
o,
p-EDDHA, мг/дм
3;

- массовая концентрация Fe, хелатированного второй группой стереоизомеров (
d/I-2)
o,
p-EDDHA, мг/дм
3;
ms - масса образца, взятого для анализа, мг.
10.1 Межлабораторное испытание
В 2005 г. 12 лабораториями было проведено межлабораторное испытание 4 разных товарных проб. Результаты этого межлабораторного испытания приведены в
приложении B. Повторяемость и воспроизводимость были рассчитаны в соответствии со стандартом
[2].
10.2 Повторяемость
Абсолютное расхождение двух результатов независимых единичных испытаний, полученных одним и тем же методом на идентичном анализируемом материале в одной лаборатории одним и тем же лаборантом, с использованием одного и того же оборудования в течение короткого интервала времени, будет не более чем в 5% случаев превышать значения r, приведенные в таблице 2.
Таблица 2
Средние значения, пределы повторяемости и воспроизводимости
Образец | o,p-Fe, % | p | n | r | R |
1 | 2,17 | 10 | 2 | 0,037 | 0,25 |
2 | 1,33 | 10 | 2 | 0,051 | 0,29 |
3 | 0,47 | 9 | 2 | 0,047 | 0,16 |
4 | 0,15 | 8 | 2 | 0,0070 | 0,25 |
Примечание - В настоящей таблице использованы следующие условные обозначения: o,p-Fe - среднее значение концентрации в процентах Fe, хелатированного o,p-EDDHA; p - количество участвующих лабораторий; n - количество повторных испытаний. r - предел повторяемости, г/100 г o,p-Fe; R - предел воспроизводимости, г/100 г o,p-Fe. |
10.3 Воспроизводимость
Абсолютное расхождение двух результатов независимых единичных испытаний, полученных одним и тем же методом на идентичном анализируемом материале в различных лабораториях разными лаборантами с использованием разного оборудования, будет не более чем в 5% случаев превышать значения
R, приведенные в
таблице 2.
Примечание - Пределы воспроизводимости, полученные для более низких концентраций Fe, хелатированного
o,
p-EDDHA, выше, чем допустимые значения, принятые регламентом
[3] для содержания микроэлементов.
Протокол испытаний должен содержать:
a) всю информацию, необходимую для полной идентификации образца;
b) используемый метод испытания со ссылкой на настоящий стандарт;
c) результаты испытания вместе с единицами измерения;
d) дату окончания испытания;
e) информацию о том, выполнены ли требования по пределу воспроизводимости;
f) все этапы методики, не указанные в настоящем стандарте или рассматриваемые как необязательные, а также данные о любых отклонениях от метода настоящего стандарта, которые могут повлиять на результаты испытания.
(справочное)
ТИПИЧНАЯ ХРОМАТОГРАММА
a - рацемический o,o-Fe-EDDHA; b - d/I-1 o,p-Fe-EDDHA;
c - d/I-2 o,p-Fe-EDDHA; d - мезо o,o-Fe-EDDHA
Рисунок A.1 - Типичная хроматограмма
товарного продукта Fe-EDDHA
(справочное)
СТАТИСТИЧЕСКИЕ РЕЗУЛЬТАТЫ МЕЖЛАБОРАТОРНЫХ ИСПЫТАНИЙ
Статистические результаты межлабораторных испытаний приведены в таблице B.1.
Таблица B.1
Статистические результаты
Образец | 1 | 2 | 3 | 4 |
Количество лабораторий | 11 | 11 | 11 | 9 |
Количество выбросов | 1 | 1 | 2 | 1 |
Оставшиеся лаборатории | 10 | 10 | 9 | 8 |
Среднее значение, г/100 г | 2,17 | 1,33 | 0,47 | 0,15 |
Стандартное отклонение повторяемости sr, г/100 г | 0,013 | 0,018 | 0,017 | 0,0025 |
Предел повторяемости r, г/100 г | 0,037 | 0,051 | 0,047 | 0,0070 |
RSDr, % | 0,61 | 1,4 | 3,6 | 1,7 |
Стандартное отклонение воспроизводимости sR, г/100 г | 0,089 | 0,10 | 0,057 | 0,090 |
Предел воспроизводимости R, г/100 г | 0,25 | 0,29 | 0,16 | 0,25 |
RSDR, % | 4,1 | 7,8 | 12,3 | 61,2 |
Значение Хорвица RSDH, % | 3,6 | 3,8 | 4,5 | 5,3 |
Коэффициент Хоррата | 1,15 | 2,04 | 2,75 | 11,5 |
(справочное)
ПОЛНЫЕ НАИМЕНОВАНИЯ ХЕЛАТИРУЮЩИХ АГЕНТОВ
O,o-EDDHA - этилендиамин-ди-(o-гидроксифенил) уксусная кислота |
C18H20N2O6 N CAS 1170-02-1 |
|
C18H20N2O6 N CAS 1170-02-1 |
EDTA - этилендиаминтетрауксусная кислота |
C10H16N2O8 N CAS 60-00-4 |
HEDTA - гидроксиэтилэтилендиамин ацетилацетоуксусная кислота |
C10H18N2O7 N CAS 150-39-0 |
DTPA - диэтилентриаминпентауксусная кислота |
C14H23N3O10 N CAS 67-43-6 |
o,o-EDDHMA - этилендиамин-ди-(o-гидрокси-п-метилфенил) уксусная кислота |
C20H24N2O6 N CAS 109172-81-8 |
| EN 1482-1 Fertilizers and liming materials - Sampling and sample preparation - Part 1: Sampling (Точность (правильность и прецизионность) методов и результатов измерений. Часть 1. Общие принципы и определения) |
| ISO 5725-2 Accuracy (trueness and precision) of measurement methods and results - Part 2: Basic method for the determination of repeatability and reproducibility of a standard measurement method (Точность (правильность и прецизионность) методов и результатов измерений. Часть 2. Основной метод определения повторяемости и воспроизводимости стандартного метода измерения) |
| Regulation (EC) No 2003/2003 of the European Parliament and of the Council of 13 October 2003 relating to fertilisers, Official Journal L 304, 21/11/2003 Pp. 1 - 194 (Регламент (EC) N 2003/2003 Европейского парламента и совета 13 октября 2003, относящийся к удобрениям, официальный журнал L 304, 21/11/2003 стр. 1 - 194) |
| EN ISO 3696:1995 Water for analytical laboratory use - Specification and test methods (ISO 3696:1987) [Вода для аналитического лабораторного использования. Технические требования и методы испытаний (ИСО 3696:1987)] |
(справочное)
СВЕДЕНИЯ О СООТВЕТСТВИИ МЕЖГОСУДАРСТВЕННЫХ СТАНДАРТОВ
ССЫЛОЧНЫМ СТАНДАРТАМ
Таблица Д.А.1
Обозначение и наименование ссылочного стандарта | Степень соответствия | Обозначение и наименование межгосударственного стандарта |
EN 1482-2:2007 Удобрения и известковые материалы. Отбор проб и подготовка проб. Часть 2. Подготовка проб | IDT | ГОСТ EN 1482-2 Удобрения и известковые материалы. Отбор проб и подготовка проб. Часть 2. Подготовка проб |
Примечание - В настоящей таблице использовано следующее условное обозначение степени соответствия стандартов: IDT - идентичные стандарты. |
УДК 631.8:006.354 | | IDT |
Ключевые слова: удобрения, определение содержания, хелатированные агенты, тонкость измельчения, сухой способ, испытание, реверсивная фаза HPLC |