Главная // Актуальные документы // ГОСТ (Государственный стандарт)СПРАВКА
Источник публикации
М.: Стандартинформ, 2013
Примечание к документу
Документ включен в
Перечень международных и региональных (межгосударственных) стандартов, а в случае их отсутствия - национальных (государственных) стандартов, содержащих правила и методы исследований (испытаний) и измерений, в том числе правила отбора образцов, необходимые для применения и исполнения требований технического
регламента Таможенного союза "О безопасности упаковки" (ТР ТС 005/2011) и осуществления оценки соответствия объектов технического регулирования (
Решение Коллегии Евразийской экономической комиссии от 29.01.2024 N 9).
Документ включен в Перечень международных и региональных (межгосударственных) стандартов (
п. п. 106,
300,
330,
1254), а в случае их отсутствия - национальных (государственных) стандартов, содержащих правила и методы исследований (испытаний) и измерений, в том числе правила отбора образцов, необходимые для применения и исполнения требований технического
регламента Таможенного союза "О безопасности продукции, предназначенной для детей и подростков" (ТР ТС 007/2011) и осуществления оценки соответствия объектов технического регулирования (
Решение Коллегии Евразийской экономической комиссии от 14.03.2023 N 31).
Текст данного документа приведен с учетом
поправки, опубликованной в "ИУС", N 6, 2019.
Документ
введен в действие с 1 января 2014 года.
Название документа
"ГОСТ 31949-2012. Межгосударственный стандарт. Вода питьевая. Метод определения содержания бора"
(введен в действие Приказом Росстандарта от 12.12.2012 N 1900-ст)
"ГОСТ 31949-2012. Межгосударственный стандарт. Вода питьевая. Метод определения содержания бора"
(введен в действие Приказом Росстандарта от 12.12.2012 N 1900-ст)
агентства по техническому
регулированию и метрологии
от 12 декабря 2012 г. N 1900-ст
МЕЖГОСУДАРСТВЕННЫЙ СТАНДАРТ
ВОДА ПИТЬЕВАЯ
МЕТОД ОПРЕДЕЛЕНИЯ СОДЕРЖАНИЯ БОРА
Drinking water. Method for determination of boron content
ГОСТ 31949-2012
ТН ВЭД 220100000
220110000
Дата введения
1 января 2014 года
Цели, основные принципы и основной порядок проведения работ по межгосударственной стандартизации установлены
ГОСТ 1.0-92 "Межгосударственная система стандартизации. Основные положения" и
ГОСТ 1.2-2009 "Межгосударственная система стандартизации. Стандарты межгосударственные, правила и рекомендации по межгосударственной стандартизации. Правила разработки, принятия, применения, обновления и отмены".
1. Подготовлен Обществом с ограниченной ответственностью "Протектор" совместно с группой компаний "Люмэкс".
2. Внесен Федеральным агентством по техническому регулированию и метрологии.
3. Принят Межгосударственным советом по стандартизации, метрологии и сертификации (протокол N 54 от 3 декабря 2012 г.).
За принятие стандарта проголосовали:
Краткое наименование страны по МК (ИСО 3166) 004-97 | Код страны по МК (ИСО 3166) 004-97 | Сокращенное наименование национального органа по стандартизации |
Армения | AM | Минэкономразвития Республики Армения |
Беларусь | BY | Госстандарт Республики Беларусь |
Казахстан | KZ | Госстандарт Республики Казахстан |
Кыргызстан | KG | Кыргызстандарт |
Российская Федерация | RU | Росстандарт |
Таджикистан | TJ | Таджикстандарт |
5.
Приказом Федерального агентства по техническому регулированию и метрологии от 12 декабря 2012 г. N 1900-ст межгосударственный стандарт введен в действие в качестве национального стандарта Российской Федерации с 1 января 2014 г.
6. Введен впервые.
Информация об изменениях к настоящему стандарту публикуется в ежегодном информационном указателе "Национальные стандарты", а текст изменений и поправок - в ежемесячном информационном указателе "Национальные стандарты". В случае пересмотра (замены) или отмены настоящего стандарта соответствующее уведомление будет опубликовано в ежемесячном информационном указателе "Национальные стандарты". Соответствующая информация, уведомление и тексты размещаются также в информационной системе общего пользования - на официальном сайте Федерального агентства по техническому регулированию и метрологии в сети Интернет.
Настоящий стандарт распространяется на питьевую воду и воду источников хозяйственно-питьевого водоснабжения и устанавливает флуориметрический метод определения содержания бора (ионов бората) в диапазоне массовой концентрации от 0,05 до 5,0 мг/дм3.
Метод основан на взаимодействии ионов бората с хромотроповой кислотой в присутствии трилона Б (маскирующего ионы металлов) с образованием флуоресцирующего комплекса и последующим измерением интенсивности его флуоресценции. Присутствие в воде до 1 г/дм3 аммония, щелочных, щелочноземельных элементов, магния, алюминия, до 100 мг/дм3 фосфата, до 10 мг/дм3 фторида, цинка, свинца, меди, железа не оказывает влияния на результат определения.
В настоящем стандарте использованы нормативные ссылки на следующие межгосударственные стандарты:
ГОСТ 17.1.5.05-85 Охрана природы. Гидросфера. Общие требования к отбору проб поверхностных и морских вод, льда и атмосферных осадков
ГОСТ 1770-74 (ИСО 1042-83, ИСО 4788-80) Посуда мерная лабораторная стеклянная. Цилиндры, мензурки, колбы, пробирки. Общие технические условия
ГОСТ 4328-77 Реактивы. Натрия гидроокись. Технические условия
ГОСТ 10652-73 Реактивы. Соль динатриевая этилендиамин-N,N,N',N'-тетрауксусной кислоты 2-водная (трилон Б). Технические условия
ГОСТ 14919-83 Электроплиты, электроплитки и жарочные электрошкафы бытовые. Общие технические условия
--------------------------------
<*> В Российской Федерации действует
ГОСТ Р 53228-2008 "Весы неавтоматического действия. Часть 1. Метрологические и технические требования. Испытания".
ГОСТ 25336-82 Посуда и оборудование лабораторные стеклянные. Типы, основные параметры и размеры
ГОСТ 29169-91 (ИСО 648-77) Посуда лабораторная стеклянная. Пипетки с одной отметкой
ГОСТ 29227-91 (ИСО 835-1-81) Посуда лабораторная стеклянная. Пипетки градуированные. Часть I. Общие требования.
Примечание. При пользовании настоящим стандартом целесообразно проверить действие ссылочных стандартов в информационной системе общего пользования - на официальном сайте Федерального агентства по техническому регулированию и метрологии в сети Интернет или по ежегодно издаваемому информационному указателю "Национальные стандарты", который опубликован по состоянию на 1 января текущего года, и по соответствующим ежемесячно издаваемым информационным указателям, опубликованным в текущем году. Если ссылочный стандарт заменен (изменен), то при пользовании настоящим стандартом следует руководствоваться заменяющим (измененным) стандартом. Если ссылочный стандарт отменен без замены, то положение, в котором дана ссылка на него, применяется в части, не затрагивающей эту ссылку.
3. Средства измерений, вспомогательное оборудование,
реактивы, материалы
Флуориметр, спектрофлуориметр или анализатор жидкости флуоресцентный (далее - прибор), позволяющий регистрировать флуоресценцию в области спектра 350 - 375 нм при возбуждении в области 310 - 340 нм.
Государственный (межгосударственный) стандартный образец (ГСО) состава водного раствора бора массовой концентрации бора 1 мг/см3 (далее - ГСО состава раствора бора) или ГСО состава водного раствора ионов бората массовой концентрации ионов бората 1 мг/см3 (далее - ГСО состава раствора ионов бората) допускаемой погрешностью аттестованного значения не более +/- 2% при доверительной вероятности P = 0,95.
Весы лабораторные по
ГОСТ 24104 специального класса точности (I) с наибольшим пределом взвешивания 220 г и ценой деления (дискретностью отсчета) 0,1 мг.
Колбы мерные по
ГОСТ 1770, 2-го класса точности, вместимостью 25, 50, 100, 200 и 500 см3.
Пипетки с одной отметкой по
ГОСТ 29169, 2-го класса точности, исполнения 2, вместимостью 5, 10, 20 см3.
Пипетки градуированные по
ГОСТ 29227, 2-го класса точности, вместимостью 1, 2, 5 и 10 см3.
Колбы плоскодонные по
ГОСТ 25336, типа П-1, вместимостью 500 см3.
Воронки лабораторные по
ГОСТ 25336, типа В-36 или В-75.
Стаканы химические по
ГОСТ 25336, вместимостью 100, 250, 500 и 1000 см3.
Стаканы термостойкие по
ГОСТ 25336, типа В-1, вместимостью 50, 100 см3.
Плитка электрическая с закрытой спиралью по
ГОСТ 14919.
Соль динатриевая этилендиамин-N,N,N',N'-тетрауксусной кислоты 2-водная (трилон Б) по
ГОСТ 10652, х.ч.
Динатриевая соль хромотроповой кислоты, 2-водная.
Примечание. Подготовку посуды проводят в соответствии с требованиями
Приложения А.
Пробу воды не менее 100 см3 отбирают в емкость из полиэтилена или стекла, не содержащего бор.
Срок хранения пробы от момента отбора пробы до проведения анализа не должен превышать 3 сут.
5. Порядок подготовки к проведению определения
5.1. Приготовление раствора динатриевой соли хромотроповой кислоты молярной концентрации 0,0025 моль/дм3
В мерную колбу вместимостью 50 см3 вносят 54,6 мг динатриевой соли хромотроповой кислоты, растворяют в небольшом количестве дистиллированной воды и затем доводят объем раствора до метки дистиллированной водой. Раствор пригоден для использования в течение 1 мес при хранении в емкости из стекла, не содержащего бора, или полиэтилена в темноте при комнатной температуре.
5.2. Приготовление смешанного реагента
Для приготовления раствора в колбу помещают 5,6 г трилона Б, растворяют в 50 см3 горячей дистиллированной воды и, после охлаждения, переносят в мерную колбу вместимостью 100 см3, добавляют 10 см3 раствора динатриевой соли хромотроповой кислоты по
5.1 и доводят до метки дистиллированной водой. Раствор готовят непосредственно перед использованием.
5.3. Приготовление раствора гидроксида натрия молярной концентрации 0,1 моль/дм3
В мерную колбу вместимостью 1000 см3 вносят 200 - 300 см3 дистиллированной воды, растворяют в ней 4 г гидроксида натрия и доводят до метки дистиллированной водой. Раствор пригоден для использования в течение 2 мес при хранении в емкости из полиэтилена при комнатной температуре.
5.4. Приготовление раствора бора
5.4.1. Приготовление раствора бора массовой концентрации 100 мг/дм3
В мерную колбу вместимостью 50 см3 вносят 5 см3 ГСО состава раствора бора массовой концентрации 1 мг/см3 и доводят до метки дистиллированной водой. Раствор пригоден для использования в течение 1 мес при хранении в емкости из полиэтилена при комнатной температуре.
5.4.2. Приготовление раствора бора массовой концентрации 5 мг/дм3
В мерную колбу вместимостью 100 см3 вносят 5 см3 раствора бора массовой концентрации 100 мг/дм3 по
5.4.1 и доводят до метки дистиллированной водой. Раствор пригоден для использования в течение 7 сут при хранении в емкости из полиэтилена при комнатной температуре.
5.5. Приготовление растворов ионов бората
5.5.1 Приготовление раствора ионов бората массовой концентрации 200 мг/дм3
В мерную колбу вместимостью 25 см3 вносят 5 см3 ГСО состава раствора ионов бората массовой концентрации 1 мг/см3 и доводят до метки дистиллированной водой. Концентрация бора в данном растворе составляет 36,7 мг/дм3.
Раствор пригоден для использования в течение 14 сут при хранении в емкости из полиэтилена при комнатной температуре.
5.5.2. Приготовление раствора ионов бората массовой концентрации 20 мг/дм3
В мерную колбу вместимостью 50 см3 вносят 5 см3 раствора бора массовой концентрации 200 мг/дм3 по
5.5.1 и доводят до метки дистиллированной водой. Концентрация бора в данном растворе составляет 3,67 мг/дм3.
Раствор пригоден для использования в течение 7 сут при хранении в емкости из полиэтилена при комнатной температуре.
5.6. Подготовка прибора к измерениям и его градуировка
5.6.1. Подготовку прибора к работе проводят в соответствии с руководством (инструкцией) по эксплуатации прибора.
Возбуждение флуоресценции проводится в интервале длин волн 310 - 340 нм, регистрация флуоресценции - в интервале 350 - 375 нм. При наличии технической возможности длины волн возбуждения и регистрации люминесценции выбирают в указанном диапазоне таким образом, чтобы обеспечить достижение наибольшего значения градуировочного коэффициента при градуировке прибора (см.
5.6.6).
5.6.2. Градуировку прибора осуществляют измерением интенсивности флуоресценции градуировочного раствора и холостой пробы.
5.6.3. Для приготовления градуировочного раствора в мерную колбу вместимостью 25 см3 помещают 5 см3 раствора бора по
5.4.2 массовой концентрации 5 мг/дм3 или раствора ионов бората массовой концентрации 20 мг/дм3 по
5.5.2, добавляют 5 см3 смешанного реагента по
5.2. Содержимое колбы доводят до метки раствором гидроксида натрия по
5.3, перемешивают и сразу же измеряют интенсивность флуоресценции

или используют для автоматической градуировки по
5.6.5.
5.6.4 Для приготовления холостой пробы в мерную колбу вместимостью 25 см3 помещают 5 см3 дистиллированной воды, добавляют 5 см3 смешанного реагента по
5.2. Содержимое колбы доводят до метки раствором гидроксида натрия по
5.3, перемешивают и сразу же измеряют интенсивность флуоресценции

или используют для автоматической градуировки по
5.6.5.
5.6.5 Если прибор снабжен компьютерной (микропроцессорной) системой сбора и обработки информации, то градуировочную характеристику устанавливают в соответствии с руководством (инструкцией) по эксплуатации прибора, используя градуировочный раствор по
5.6.3 и холостую пробу по
5.6.4.
5.6.6 При отсутствии компьютерной (микропроцессорной) системы сбора и обработки информации рассчитывают градуировочный коэффициент f по формуле

, (1)
где

- массовая концентрация бора в градуировочном растворе (

при использовании раствора бора по
5.4.2 или 0,73 мг/дм3 при использовании раствора ионов бората по
5.5.2); мг/дм3;

- интенсивность флуоресценции градуировочного раствора по
5.6.3, отн. ед.;

- интенсивность флуоресценции холостой пробы по
5.6.4, отн. ед.
6. Порядок проведения определения
В мерную колбу вместимостью 25 см3 помещают 5 см3 пробы воды, добавляют 5 см3 смешанного реагента по
5.2, содержимое колбы доводят до метки раствором гидроксида натрия по
5.3, перемешивают и сразу же измеряют интенсивность флуоресценции

или массовую концентрацию бора

при помощи прибора.
7. Правила обработки результатов определения
7.1. При использовании прибора, допускающего автоматическую градуировку, массовую концентрацию бора в пробе

, мг/дм3, определяют в процессе измерения по
разделу 6.
7.2. При отсутствии компьютерной (микропроцессорной) системы сбора и обработки информации массовую концентрацию бора в пробе

, мг/дм3, рассчитывают по формуле

, (2)
где f - градуировочный коэффициент, рассчитанный по
5.6.6;

- интенсивность флуоресценции пробы, измеренная прибором по
разделу 6, отн. ед.;

- интенсивность флуоресценции холостой пробы, измеренная прибором по
5.6.4, отн. ед.
Для расчета массовой концентрации ионов бората в пробе воды полученные значения концентрации бора необходимо умножить на коэффициент 5,4.
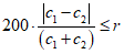
7.3. За результат определения массовой концентрации бора (ионов бората) X, мг/дм3, принимают среднеарифметическое значение результатов параллельных определений

и

. Приемлемость результатов определения оценивают исходя из условия

, (3)
где r - значение предела повторяемости (см.
таблицу 1).
При невыполнении условия
(3) используют методы проверки приемлемости результатов параллельных определений и установления окончательного результата измерений согласно [
1, подраздел 5.2] и
[2].
Примечание. При получении результатов измерений в двух лабораториях

и

результат измерений считают удовлетворительным при выполнении условия

, (4)
где R - значение предела воспроизводимости (см.
таблицу 1).
При невыполнении условия
(4) для проверки прецизионности в условиях воспроизводимости каждая лаборатория должна выполнить процедуры согласно [
1, пункты 5.2.2, 5.3.2.2] и
[2].
8. Метрологические характеристики
Метод обеспечивает получение результатов измерений с метрологическими характеристиками, не превышающими значений, приведенных в таблице 1, при доверительной вероятности P = 0,95.
Диапазон измеряемой массовой концентрации бора, мг/дм3 | Показатель точности (границы <*> интервала, в котором погрешность находится с доверительной вероятностью P = 0,95),  , % | Предел повторяемости (относительное значение допускаемого расхождения между двумя результатами параллельных определений при P = 0,95) r, % | Предел воспроизводимости (относительное значение допускаемого расхождения между двумя результатами определений, полученными в условиях воспроизводимости при Р = 0,95) R, % |
От | 0,05 | до | 0,25 | включ. | 30 | 31 | 42 |
Св. | 0,25 | " | 5,0 | " | 20 | 20 | 28 |
<*> Установленные численные значения границ интервала для погрешности соответствуют численным значениям расширенной неопределенности  (в относительных единицах) при коэффициенте охвата k = 2. |
9. Контроль показателей качества результатов измерений
Контроль показателей качества результатов измерений в лаборатории предусматривает проведение контроля стабильности результатов измерений с учетом требований [
1, раздел 6] или
[3].
10. Правила оформления результатов
Результаты измерений регистрируют в протоколе испытаний, который оформляют в соответствии с требованиями
ГОСТ ИСО/МЭК 17025, при этом протокол испытаний должен содержать ссылку на настоящий стандарт с указанием метода определения.
Результаты измерений содержания элемента в анализируемой пробе X, мг/дм3, представляют в виде (при подтвержденном в лаборатории соответствии аналитической процедуры требованиям настоящего стандарта)

, либо

, (5)
где

- результат измерений, полученный в соответствии с процедурой по
7.3, мг/дм3;

- границы абсолютной погрешности измерений (доверительная вероятность P = 0,95) массовой концентрации бора, мг/дм3, рассчитываемая по формуле

,
где

- границы относительной погрешности измерений (доверительная вероятность P = 0,95) массовой концентрации бора по
таблице 1, %;
U - расширенная неопределенность при коэффициенте охвата k = 2, мг/дм3, рассчитываемая по формуле

,
где

- расширенная неопределенность (в относительных единицах) при коэффициенте охвата k = 2 по
таблице 1.
Допускается результат измерений представлять в виде

, мг/дм3 (6)
при условии

, где

- значение показателя точности измерений (доверительные границы абсолютной погрешности измерений), установленное при реализации настоящего метода в лаборатории и обеспечиваемое контролем стабильности результатов измерений;

, мг/дм3 (7)
при условии

, где

- значение расширенной неопределенности, установленное при реализации настоящего метода в лаборатории с учетом
[4] или
[5] и обеспечиваемое контролем стабильности результатов измерений в лаборатории.
Примечание. При необходимости (в соответствии с требованиями [
1, подраздел 5.2] для результата измерения

указывается количество параллельных определений и способ установления результата измерений.
(обязательное)
ПОДГОТОВКА ХИМИЧЕСКОЙ ПОСУДЫ ДЛЯ ВЫПОЛНЕНИЯ ОПРЕДЕЛЕНИЙ
При выполнении определений необходимо соблюдать чистоту химической посуды, руководствуясь следующими правилами:
А.1. Для мытья химической посуды необходимо использовать концентрированную серную или концентрированную азотную кислоту. Не допускается использовать соду, щелочи, синтетические моющие средства всех видов, хромовую смесь.
Посуду предварительно моют водопроводной водой, затем наливают на 1/2 объема кислоту, тщательно обмывают ею всю внутреннюю поверхность, а затем выливают в специальный сосуд.
Пипетки с использованием груши не менее трех раз промывают кислотой, заполняя ею пипетки выше отметки.
Посуду промывают дистиллированной водой не менее трех раз.
А.2. Для отбора каждого раствора необходимо иметь отдельный набор посуды, который используют только для определения бора.
А.3. Для испытаний необходимо иметь отдельный набор посуды, который используют только для определения бора.
А.4. Для хранения растворов, за исключением приготавливаемых непосредственно перед выполнением анализа, необходимо использовать посуду из полиэтилена, кварца или стекла, не содержащего бор.
| Международный стандарт ISO 5725-6:1994 <*> | Accuracy (trueness and precision) of measurement methods and results. Part 6. Use in practice of accuracy values (Точность (правильность и прецизионность) методов и результатов измерений. Часть 6. Использование значений точности на практике) |
| | Государственная система обеспечения единства измерений. Методики количественного химического анализа. Процедуры проверки приемлемости результатов анализа |
| Рекомендации по межгосударственной стандартизации РМГ 76-2004 | Государственная система обеспечения единства измерений. Внутренний контроль качества результатов количественного химического анализа |
| | Руководство ЕВРОХИМ/СИТАК "Количественное описание неопределенности в аналитических измерениях". 2-е издание, 2000, пер. с англ. - СПб, ВНИИМ им. Д.И. Менделеева, 2002 г. |
| | Государственная система обеспечения единства измерений. Статистические методы. Руководство по использованию оценок повторяемости, воспроизводимости и правильности при оценке неопределенности измерений |
--------------------------------
<*> В Российской Федерации действует
ГОСТ Р ИСО 5725-6-2002 "Точность (правильность и прецизионность) методов и результатов измерений. Часть 6. Использование значений точности на практике". До принятия межгосударственного стандарта используют аналогичные национальные стандарты, если они идентичны международному стандарту ISO 5725-6:1994.
<**> Действуют в Российской Федерации.