Главная // Актуальные документы // ГОСТ (Государственный стандарт)СПРАВКА
Источник публикации
М.: Стандартинформ, 2013
Примечание к документу
Текст данного документа приведен с учетом
поправки, опубликованной в "ИУС", N 2, 2019.
Документ
введен в действие с 1 июля 2014 года.
Название документа
"ГОСТ 31734-2012. Межгосударственный стандарт. Топлива нефтяные. Метод определения воды и осадка методом центрифугирования"
(введен в действие Приказом Росстандарта от 15.11.2012 N 893-ст)
"ГОСТ 31734-2012. Межгосударственный стандарт. Топлива нефтяные. Метод определения воды и осадка методом центрифугирования"
(введен в действие Приказом Росстандарта от 15.11.2012 N 893-ст)
по техническому регулированию
и метрологии
от 15 ноября 2012 г. N 893-ст
МЕЖГОСУДАРСТВЕННЫЙ СТАНДАРТ
ТОПЛИВА НЕФТЯНЫЕ
МЕТОД ОПРЕДЕЛЕНИЯ ВОДЫ И ОСАДКА МЕТОДОМ ЦЕНТРИФУГИРОВАНИЯ
Fuel oils. Method for determination of water and sediment by
centrifuge method
ГОСТ 31734-2012
Дата введения
1 июля 2014 года
Цели, основные принципы и порядок проведения работ по межгосударственной стандартизации установлены
ГОСТ 1.0-92 "Межгосударственная система стандартизации. Основные положения" и
ГОСТ 1.2-2009 "Межгосударственная система стандартизации. Стандарты межгосударственные, правила и рекомендации по межгосударственной стандартизации. Правила разработки, принятия, применения, обновления и отмены"
1 ПОДГОТОВЛЕН Научно-производственным республиканским унитарным предприятием "Белорусский государственный институт стандартизации и сертификации" (БелГИСС), Техническим комитетом по стандартизации ТК 160 "Продукция нефтехимического комплекса" на основе собственного аутентичного перевода на русский язык стандарта, указанного в
пункте 4
2 ВНЕСЕН Федеральным агентством по техническому регулированию и метрологии
3 ПРИНЯТ Межгосударственным советом по стандартизации, метрологии и сертификации (протокол от 1 октября 2012 г. N 51-П)
За принятие проголосовали:
Краткое наименование страны по МК (ИСО 3166) 004-97 | Код страны по МК (ИСО 3166) 004-97 | Сокращенное наименование национального органа по стандартизации |
Азербайджан | AZ | Азстандарт |
Армения | AM | Минэкономики Республики Армения |
Беларусь | BY | Госстандарт Республики Беларусь |
Киргизия | KG | Кыргызстандарт |
Молдова | MD | Молдова-Стандарт |
Россия | RU | Росстандарт |
Таджикистан | TJ | Таджикстандарт |
Узбекистан | UZ | Узстандарт |
4 Настоящий стандарт идентичен стандарту ASTM D 1796-11 Standard test method for water and sediment in fuel oils by the centrifuge method (laboratory procedure) [Стандартный метод определения воды и осадка в нефтяных топливах центрифугированием (лабораторный метод)].
Стандарт разработан подкомитетом D02.02 по определению остатка и воды технического комитета ASTM D02 по нефтепродуктам и смазочным материалам и технического комитета API по статистическим измерениям нефти Американского общества по испытаниям и материалам (ASTM).
Официальные экземпляры стандарта ASTM, на основе которого подготовлен настоящий межгосударственный стандарт, стандарты ASTM, на которые даны ссылки, имеются в Федеральном информационном фонде технических регламентов и стандартов.
Наименование настоящего стандарта изменено относительно наименования указанного стандарта для приведения в соответствие с ГОСТ 1.5-2001
(подраздел 3.6).
В
разделе "Нормативные ссылки" ссылки на стандарты ASTM актуализированы.
Перевод с английского языка (en).
Степень соответствия - идентичная (IDT)
5
Приказом Федерального агентства по техническому регулированию и метрологии от 15 ноября 2012 г. N 893-ст межгосударственный стандарт ГОСТ 31734-2012 введен в действие в качестве национального стандарта Российской Федерации с 1 июля 2014 г.
6 ВВЕДЕН ВПЕРВЫЕ
Информация об изменениях к настоящему стандарту публикуется в ежегодном информационном указателе "Национальные стандарты", а текст изменений и поправок - в ежемесячном информационном указателе "Национальные стандарты". В случае пересмотра (замены) или отмены настоящего стандарта соответствующее уведомление будет опубликовано в ежемесячном информационном указателе "Национальные стандарты". Соответствующая информация, уведомление и тексты размещаются также в информационной системе общего пользования - на официальном сайте Федерального агентства по техническому регулированию и метрологии в сети Интернет
1.1 Настоящий стандарт устанавливает метод лабораторного определения содержания воды и осадка в нефтяных топливах в диапазоне значений от 0% до 30% (по объему) центрифугированием.
Примечание 1 - Для некоторых видов нефтяных топлив, например для топочного мазута или дистиллятных нефтяных топлив, содержащих остаточные компоненты, определение содержания воды или осадка настоящим методом затруднено. Для данных топлив могут применяться методы испытаний по ASTM D 95 (API MPMS, раздел 10.5) или ASTM D 473 (API MPMS, раздел 10.1).
Примечание 2 - Стандарты API MPMS, раздел 10.6 (ASTM D 1796) и API MPMS, раздел 10.3 (ASTM D 4007) были введены взамен стандарта API 2548.
1.2 Значения, выраженные в единицах СИ, следует считать стандартными. Значения, указанные в скобках, являются справочными.
1.3 Настоящий стандарт не рассматривает всех проблем безопасности, связанных с его применением. Пользователь настоящего стандарта несет ответственность за обеспечение соблюдения техники безопасности, охрану здоровья и определение границ применимости стандарта до начала его применения. Особые меры предосторожности приведены в
6.1.
Для применения настоящего стандарта необходимы следующие ссылочные стандарты. Для недатированных ссылок применяют последнее издание ссылочного стандарта (включая все его изменения).
--------------------------------
<1> Ссылки на стандарты ASTM можно уточнить на сайте ASTM website, www.astm.org или в службе поддержки клиентов ASTM service@astro.org, а также в информационном томе ежегодного сборника стандартов ASTM (Website standard's Document Summary).
ASTM D 446-07 Test method for water in petroleum products and bituminous materials by distillation (Метод определения содержания воды в нефтепродуктах и битуминозных материалах дистилляцией)
ASTM D 473-07 Test method for sediment in crude oils and fuel oils by the extraction method (Метод определения осадка в сырой нефти и нефтяных топливах методом экстракции)
ASTM D 4007-11 Test method for water and sediment in crude oil by the centrifuge method (laboratory procedure) [Метод определения воды и осадка в сырой нефти методом центрифугирования (лабораторный метод)]
ASTM D 4057-06 (2011) Practice for manual sampling of petroleum and petroleum products (Руководство по ручному отбору проб нефти и нефтепродуктов)
ASTM D 4177-95 (2010) Practice for automatic sampling of petroleum and petroleum products (Руководство по автоматическому отбору проб нефти и нефтепродуктов)
ASTM D 5854-96 (2010) Practice for mixing and handling of liquid samples of petroleum and petroleum products (Руководство по перемешиванию и обращению с жидкими пробами нефти и нефтепродуктов)
ASTM D 6304-07 Test method for determination of water in petroleum products, lubricating oils, and additives by coulometric Karl Fischer titration (Метод определения воды в нефтепродуктах, смазочных маслах и присадках кулонометрическим титрованием по Карлу Фишеру)
ASTM E 542-01 (2007) Practice for calibration of laboratory volumetric apparatus (Руководство по калибровке лабораторной мерной аппаратуры)
--------------------------------
<2> Опубликованы в качестве руководства по стандартам измерений в нефтяной промышленности. Стандарт можно получить в Американском институте нефти, 1220 L.St., N.W., Washington, DC 20005.
API MPMS Chapter 8.1 (R2006) Practice for manual sampling of petroleum and petroleum products (ASTM D 4057) (Руководство по ручному отбору проб нефти и нефтепродуктов)
API MPMS Chapter 8.2 (R2010) Practice for automatic sampling of petroleum and petroleum products (ASTM D 4177) (Руководство по автоматическому отбору проб нефти и нефтепродуктов)
API MPMS Chapter 8.3 (R2010) Practice for mixing and handling of liquid samples of petroleum and petroleum products (ASTM D 5854) (Руководство по перемешиванию и обращению с жидкими пробами нефти и нефтепродуктов)
API MPMS Chapter 10.1 (2007) Test method for sediment in crude oils by the extraction method (ASTM D 473) (Определение содержания остатка в сырой нефти методом экстракции)
API MPMS Chapter 10.3 (2008) Test method for water and sediment in crude oil by the centrifuge method (laboratory procedure) (ASTM D 4007) [Определение содержания воды и остатка в сырой нефти методом центрифугирования (лабораторный метод)]
API MPMS Chapter 10.5 (R2010) Test method for water in petroleum products and bituminous materials by distillation (ASTM D 95) Определение содержания воды и остатка в нефтепродуктах и битуминозных материалах дистилляцией
--------------------------------
<3> Имеются в наличии в Институте энергии, 61 New Cavendish St., London, WIG 7AR, U.K.
Methods Book, appendix B. Specification for methylbenzenes (toluenes) [Сборник методов, приложение B. Технические требования к метилбензолу (толуолу)]
--------------------------------
<4> Имеются в наличии в Американском институте стандартов (ANSI), 25 W.43
rd St., 4
th Floor, New York, NY 10036, http://www.ansi.org.
ISO 5272:1979 Toluene for industrial use - Specifications (Толуол для промышленного применения. Технические требования)
3.1 Равные объемы нефтяного топлива и насыщенного водой толуола помещают в каждую из двух конических пробирок для центрифугирования. После центрифугирования снимают показания объема слоя воды и осадка на дне пробирок.
4.1 Сведения о содержании воды и осадка в нефтяном топливе имеют большое значение, поскольку указанные компоненты могут вызывать коррозию оборудования и сопутствующие проблемы при эксплуатации. Сведения о содержании воды и остатка необходимы для точного определения чистого объема нефтяного топлива, учитываемого при продаже, налогообложении, обмене и транспортировании.
4.2 Настоящий метод может быть не применим для продуктов, содержащих растворимые в воде спирты. В тех случаях, когда спирты могут оказывать значительное влияние на результаты испытания, пользователю рекомендуется рассмотреть возможность применения другого метода испытания, например метода испытания по ASTM D 6304.
5.1 Центрифуга
5.1.1 Используют центрифугу, обеспечивающую вращение двух (или более) заполненных конических пробирок для центрифугирования высотой 203 мм (8 дюймов), с возможностью регулирования скорости вращения для создания относительной центробежной силы (
rcf) от дна пробирок в диапазоне значений от 500 до 800
(5.1.6).
5.1.2 Вращающаяся головка привода, опорные кольца и гильзы, включая уплотнительные прокладки, должны иметь надежную конструкцию, способную выдерживать максимальную центробежную силу, создаваемую источником электропитания. Гильзы и уплотнительные прокладки к ним должны прочно удерживать пробирки во время вращения центрифуги. Центрифуга должна быть закрыта достаточно прочным металлическим экраном или кожухом (корпусом) для обеспечения безопасности в случае возникновения поломок.
5.1.3 Нагревание и поддержание температуры центрифуги должны контролироваться термостатически для предотвращения возникновения опасных ситуаций. Центрифуга должна обеспечивать поддержание температуры пробы (60 +/- 1) °C [(140,0 +/- 1,8) °F] в течение всего процесса центрифугирования. Система термостатического регулирования должна обеспечивать поддержание температуры в пределах указанного диапазона и быть безопасной при эксплуатации в воспламеняющейся атмосфере.
5.1.4 Центрифуги с электрическим приводом и нагреванием должны отвечать всем требованиям безопасности при эксплуатации в опасных зонах.
Примечание 3 - Некоторые центрифуги с нагреванием поддерживают в барабане давление незначительно ниже атмосферного и предусматривают снижение опасности, связанной с парами и газами, выделяемыми пробой и растворителем при проведении испытания, путем отвода всех паров в неопасную зону.
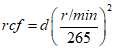
5.1.5 Рассчитывают скорость вращающейся головки, выраженную числом оборотов в минуту (r/min), по следующей формуле

, (1)
где rcf - относительная центробежная сила;
d - диаметр вращения, измеренный между концами противоположных пробирок, установленных в положении вращения, мм;
или по следующей формуле

, (2)
где rcf - относительная центробежная сила;
d - диаметр вращения, измеренный между концами противоположных пробирок, установленных в положении вращения, в дюймах.
5.1.6 Рассчитывают относительную центробежную силу, используя значение измеренной скорости вращения (
r/
min), по формуле

, (3)
где d - диаметр вращения, измеренный между концами противоположных пробирок, установленных в положении вращения, мм;
или по формуле

, (4)
где d - диаметр вращения, измеренный между концами противоположных пробирок, установленных в положении вращения, в дюймах.
5.2 Пробирки для центрифугирования
5.2.1 Каждая пробирка для центрифугирования должна быть изготовлена из хорошо отожженного стекла, иметь коническую форму и размеры, приведенные на
рисунке 1. Оцифрованные отметки шкалы, как показано на
рисунке 1, должны быть отчетливыми и хорошо различимыми. Горловина пробирки должна иметь форму, обеспечивающую укупоривание пробирки корковой или устойчивой к воздействию растворителей резиновой пробкой. Допускаемые отклонения показаний шкалы и цена наименьшего деления между различными градуировочными отметками приведены в
таблице 1 и применимы для калибровок с использованием воды, не содержащей воздух, при температуре 20 °C (68 °F) при снятии показаний по нижней точке затемненного мениска.
1 - боковая сторона конуса должна быть прямой; 2 - форма
внутреннего конуса; 3 - отметка 10 мл; 4 - отметка 1 мл;
5 - уровень дна внутренней стенки
Рисунок 1 - Пробирка для центрифугирования высотой 203 мм
(8 дюймов)
Таблица 1
Допускаемые отклонения калибровки пробирки
для центрифугирования высотой 203 мм (8 дюймов)
Диапазон, мл | Цена деления шкалы, мл | Допускаемые отклонения объема, мл |
0 до 0,1 | 0,05 | +/- 0,02 |
Свыше 0 до 0,3 | 0,05 | +/- 0,03 |
Свыше 0 до 0,5 | 0,05 | +/- 0,05 |
Свыше 0 до 1,0 | 0,10 | +/- 0,05 |
Свыше 1,0 до 2,0 | 0,10 | +/- 0,10 |
Свыше 2,0 до 3,0 | 0,20 | +/- 0,10 |
Свыше 3,0 до 5,0 | 0,50 | +/- 0,20 |
Свыше 5,0 до 10 | 1,00 | +/- 0,50 |
Свыше 10 до 25 | 5,00 | +/- 1,00 |
Свыше 25 до 100 | 25,00 | +/- 1,00 |
5.2.2 Погрешность градуировочных отметок проверяют объемным методом или проводят поверку гравиметрическим методом в соответствии с ASTM E 542, используя оборудование, прослеживаемое до эталонов Национального института стандартов и технологии (NIST)
<5> или других национальных эталонов. Проверяют или поверяют каждую отметку шкалы до объема 0,5 мл; отметки шкалы 1, 1,5, 2, 50 и 100 мл. Если погрешность шкалы превышает значения допускаемых отклонений, приведенных в
таблице 1, использование пробирки не допускается.
--------------------------------
<5> Имеются в наличии в Национальном институте стандартов и технологий (NIST), 100 Bureau Dr., Stop 3460, Gaithersburg, MD 20899-3460.
5.3 Баня
Следует использовать баню из цельнометаллического блока или жидкостную баню глубиной, достаточной для погружения в вертикальном положении пробирки для центрифугирования до отметки шкалы 100 мл. Баня должна обеспечивать поддержание температуры (60 +/- 1) °C [(140,0 +/- 1,8) °F]
(примечание 4).
Примечание 4 - Установлено, что для некоторых видов нефтяного топлива для получения достоверных результатов определения содержания воды и осадка может потребоваться более высокая температура чем 60 °C (140 °F). Применение (при необходимости) температуры, превышающей 60 °C, допускается только по согласованию заинтересованных сторон. Насыщение толуола водой может также проводиться при более высокой температуре
(приложение A.1).
6.1 Толуол, отвечающий техническим требованиям стандарта IP на метилбензолы (толуолы) или ISO 5272. (
Предупреждение - Легковоспламеняющаяся жидкость. Хранят вдали от источников тепла, искр и открытого огня. Вдыхание паров вредно. Толуол является токсичным веществом. Следует принимать особые меры предосторожности для предотвращения вдыхания паров и защиты глаз. Сосуд хранят закрытым. Применяют при соответствующей вентиляции. Следует избегать длительного или частого контакта с кожей.)
6.1.1 Характеристики реактива:
Молекулярная масса C6H5CH3 | 92,14 |
Цвет (по шкале APHA) | 10 |
Интервал температур кипения (от температуры начала кипения до температуры конца кипения) <A> | 2,0 °C (3,6 °F) |
Остаток после выпаривания | 0,001% |
Содержание веществ, темнеющих под воздействием H2SO4 | Должен выдерживать испытание ACS (Американского химического общества) |
Содержание серосодержащих соединений | 0,003% |
<A> Регистрируемая температура кипения 110,6 °C. |
Примечание 5 - Для некоторых видов топлив может потребоваться использование других растворителей или сочетаний растворитель-деэмульгатор. Применение упомянутых реактивов допускается по согласованию между покупателем и продавцом.
6.1.2 Растворитель должен быть насыщен водой при температуре (60 +/- 1) °C [(140,0 +/- 1,8) °F], но не должен содержать взвешенную воду.
Процедура насыщения растворителя водой приведена в приложении A.1.
6.2.1 При необходимости используют деэмульгатор для интенсификации отделения воды от пробы, предотвращения прилипания воды к стенкам пробирки для центрифугирования, а также для образования более четкой границы раздела воды и топлива.
6.2.2 Деэмульгатор (в случае его использования) следует применять в соответствии с рекомендациями изготовителя. Деэмульгатор не допускается добавлять к определяемому объему осадка и воды. Деэмульгатор применяют в виде исходного раствора деэмульгатор-растворитель или предварительно добавляют в используемый для проведения испытания растворитель.
7.1 Отбор пробы включает в себя все этапы, необходимые для получения аликвоты содержимого трубопровода, резервуара или другой системы и помещения аликвоты в лабораторный контейнер для испытаний.
7.2 Для проведения испытаний по методу настоящего стандарта должны использоваться только представительные пробы, отобранные в соответствии с ASTM D 4057 (API MPMS, раздел 8.1) и ASTM D 4177 (API MPMS, раздел 8.2).
7.3 В ASTM D 5854 (API MPMS, раздел 8.3) приведена дополнительная информация по отбору проб и эффективной гомогенизации неиспытанных смесей. Метод испытаний настоящего стандарта должен применяться при обязательном соблюдении требований ASTM D 5854 (API MPMS, раздел 8.3).
8.1 Заполняют каждую из пробирок
(5.2) до отметки 50 мл тщательно перемешенной пробой непосредственно из ее контейнера. Пипеткой добавляют 50 мл насыщенного водой растворителя
(6.1). Считывают показания на отметках 50 и 100 мл по верхней точке мениска. Пробирки плотно укупоривают и интенсивно встряхивают до достижения тщательного перемешивания содержимого. Ослабляют пробки на пробирках и погружают пробирки до отметки 100 мл на 10 мин в баню с температурой (60 +/- 1) °C [(140,0 +/- 1,8) °F].
8.2 Пробирки плотно укупоривают, переворачивают для подтверждения равномерного перемешивания топлива и растворителя и осторожно встряхивают. (Предупреждение - Давление паров углеводородов при температуре 60 °C (140 °F), как правило, приблизительно в два раза выше, чем при температуре 40 °C (104 °F). Поэтому пробирки следует переворачивать, удерживая в положении ниже уровня глаз, для исключения травмы при выстреливании пробки.)
8.3 Устанавливают пробирки в гильзы с противоположных сторон центрифуги для обеспечения равновесия, проверяют отсутствие контакта пробирок и пробок с соседними или противоположными пробирками в выдвинутом положении. Вращают пробирки в течение 10 мин со скоростью, рассчитанной по формуле, приведенной в
5.1.6, достаточной для создания относительной центробежной силы (
rcf) от дна вращаемых пробирок в диапазоне значений от 500 до 800 (в
таблице 2 приведена зависимость между числом оборотов в минуту, диаметром вращения и относительной центробежной силой). Поддерживают во время центрифугирования температуру пробы (60 +/- 1) °C [(140,0 +/- 1,8)] °F
(примечание 4).
Таблица 2
Значения скорости вращения, применимые для центрифуг
с различными значениями диаметров вращения
Диаметр вращения | Число оборотов в минуту |
мм | | при 500 единиц rcf | при 800 единиц rcf |
305 | 12 | 1710 | 2170 |
330 | 13 | 1650 | 2010 |
356 | 14 | 1590 | 2000 |
381 | 15 | 1530 | 1930 |
406 | 16 | 1490 | 1870 |
432 | 17 | 1440 | 1820 |
457 | 18 | 1400 | 1770 |
483 | 19 | 1360 | 1720 |
508 | 20 | 1330 | 1680 |
533 | 21 | 1300 | 1640 |
559 | 22 | 1270 | 1600 |
584 | 23 | 1240 | 1560 |
610 | 24 | 1210 | 1530 |
<A> Значения диаметра вращения, приведенные в данной графе, измеряются в дюймах между концами противоположных пробирок в положении вращения. Примечание - rcf - относительная центробежная сила. |
8.4 Сразу же после остановки центрифуги (пробирки после остановки центрифуги должны быть сразу же установлены в вертикальное положение, поскольку установка пробирок под углом после остановки центрифуги может повлиять на результат испытания) считывают и регистрируют общий объем воды и осадка на дне каждой пробирки с точностью до 0,05 мл в диапазоне значений объема от 0,1 до 1 мл и с точностью до 0,1 мл при объеме выше 1 мл. Значение объема ниже 0,1 мл определяют с точностью до 0,025 мл (см.
рисунок 2). Если объем осадка и воды составляет менее 0,025 мл, то значение объема регистрируют как "менее 0,025 мл". При отсутствии различимых воды и осадка значение их объема регистрируют как "0,000 мл". Пробирки повторно устанавливают в центрифугу, стараясь не встряхивать, и вращают в течение последующих 10 мин с такой же скоростью.
Рисунок 2 - Снятие показаний содержания воды и осадка
при использовании конической пробирки для центрифугирования
ASTM вместимостью 100 мл
8.5 Повторяют процедуру центрифугирования до тех пор, пока общий объем воды и осадка при двух последовательных считываниях показаний не будет оставаться постоянным. Как правило, центрифугирование требуется проводить не более двух раз.
8.6 Если расхождение между окончательными значениями объема в двух пробирках не превышает значение, соответствующее одному делению шкалы пробирки для центрифугирования (см.
таблицу 1), или не превышает 0,0025 мл для объемов не более 0,10 мл, рассчитывают содержание воды и осадка по
формуле (5), приведенной в
разделе 9. Если расхождение превышает значение, соответствующее одному делению шкалы, или превышает 0,025 мл для объемов не более 0,10 мл, результат определения является недействительным. При получении указанного результата определения испытание повторяют, начиная с
8.1.
9.1 Записывают окончательные значения объема воды и осадка в каждой пробирке.
9.2 Рассчитывают содержание воды и осадка в пробе V, % об., по формуле
где V1 - окончательное значение объема воды и осадка в пробе объемом 50 мл в первой пробирке, мл;
V2 - окончательное значение объема воды и осадка в пробе объемом 50 мл во второй пробирке, мл.
9.3 Записывают сумму двух соответствующих определений содержания воды и осадка, как объемную долю в процентах.
10.1 Записывают в протокол испытаний результат определения содержания воды и осадка
V, % об., как указано в
таблице 3.
Таблица 3
Выражение результатов, мл
Пробирка 1 - Объем воды и осадка, мл | Пробирка 2 - Объем воды и осадка, мл | Содержание воды и осадка, % об. |
Отсутствие различимых воды и осадка | Отсутствие различимых воды и осадка | 0,00 |
Отсутствие различимых воды и осадка | 0,025 | 0,025 |
0,025 | 0,025 | 0,05 |
0,025 | 0,05 | 0,075 |
0,05 | 0,05 | 0,10 |
0,05 | 0,075 | 0,125 |
0,075 | 0,075 | 0,15 |
0,075 | 0,10 | 0,175 |
0,10 | 0,10 | 0,20 |
0,10 | 0,15 | 0,20 |
10.2 Результаты определения округляют, как описано ниже.
10.2.1 Значение результата определения более 2,0% об. округляют до 0,1% об.
10.2.2 Значение результата определения в диапазоне от 0,20% об. до 2,0% об. округляют до 0,05% об.
10.2.3 Значение результата определения менее 0,20% об. округляют, как указано в
таблице 3.
10.3 Если в качестве растворителя использовался не толуол, указывают в протоколе испытания применявшийся растворитель
(примечание 5). Если при проведении испытания использовался деэмульгатор
(6.2), указывают в протоколе его наименование и объем. Записывают в протокол температуру испытания, если данная температура отличается от 60 °C (140 °F)
(примечание 4).
11 Прецизионность и отклонение
11.1 Прецизионность
Оценку приемлемости результатов испытания (при доверительной вероятности 95%) следует проводить на основании критериев, приведенных в
11.1.1 и
11.1.2.
Расхождение между двумя результатами испытания, полученными одним и тем же оператором при работе на одном и том же оборудовании при одинаковых условиях испытания на идентичном испытуемом продукте в течение длительного промежутка времени при нормальном и правильном выполнении метода, только в одном случае из двадцати может превысить значения, указанные на
рисунке 3.
Расхождение между двумя отдельными и независимыми результатами испытания, полученными разными операторами в разных лабораториях на идентичном испытуемом продукте при нормальном и правильном выполнении метода, только в одном случае из двадцати может превысить значения, указанные на
рисунке 3.
1 - повторяемость; 2 - воспроизводимость
Рисунок 3 - Кривые прецизионности метода с использованием
пробирок для центрифугирования
11.2 Отклонение
Отклонение настоящего метода не установлено из-за отсутствия аттестованного стандартного образца для оценки отклонения результата определения содержания воды и осадка в нефтяных топливах методом центрифугирования.
11.3 Сравнение прецизионности методов перегонки и центрифугирования для сырой нефти
11.3.1 При выполнении программы межлабораторных испытаний для сырой нефти (см. приложение XI в ASTM D 4007/API MPMS, раздел 10.6) было установлено, что метод дистилляции с практической точки зрения является более точным, чем метод центрифугирования. Среднее значение поправки для метода дистилляции составляет около 0,06, в то время как среднее значение поправки для метода центрифугирования - около 0,10. Однако указанная поправка не является постоянной, а также не обладает удовлетворительной корреляцией с измеренным значением концентрации.
11.3.2 Метод дистилляции по ASTM D 95 (API MPMS, раздел 10.5) обладает несколько лучшей прецизионностью: повторяемость 0,08 по сравнению с 0,1 и воспроизводимость 0,11 по сравнению с 0,2. Указанные значения применимы при содержании воды от 0,1% до 1% включительно.
11.3.3 Прецизионность метода центрифугирования ниже, чем метода дистилляции; повторяемость составляет 0,12, воспроизводимость - 0,28.
(обязательное)
ПРОЦЕДУРА НАСЫЩЕНИЯ ТОЛУОЛА ВОДОЙ
A.1.1 Область применения
A.1.1.1 Процедура, приведенная в настоящем приложении, предназначена для насыщения водой толуола, используемого для определения воды и осадка в нефтяном топливе методом центрифугирования.
A.1.2 Значение и применение
A.1.2.1 В соответствии с
рисунком A.1.1 вода в значительной степени растворима в толуоле. Процентное содержание растворенной воды увеличивается при повышении температуры приблизительно на 0,03% при температуре 21 °C (70 °F) до приблизительно 0,17% при температуре 70 °C (158 °F). Поставляемый толуол является относительно сухим и в случае его использования непосредственно после поставки будет растворять часть или всю воду, присутствующую в пробе нефтяного топлива. В результате указанного растворения будет происходить уменьшение уровня видимых осадка и воды в пробе нефтяного топлива. Для точного определения воды и осадка в пробе нефтяного топлива методом центрифугирования толуол предварительно должен быть насыщен водой при температуре испытания.
Рисунок A.1.1 - Растворимость воды в толуоле
A.1.3 Реактивы
A.1.3.1 Толуол, соответствующий техническим требованиям стандарта IP на метилбензолы (толуолы) или ISO 5272.
A.1.3.2 Вода дистиллированная или водопроводная.
A.1.4 Аппаратура
A.1.4.1 Жидкостная баня для нагревания глубиной, достаточной для погружения бутылки вместимостью 1 л. Баня должна обеспечивать поддержание температуры нагрева (60 +/- 1) °C [(140,0 +/- 1,8) °F].
A.1.4.2 Бутылка вместимостью 1 л с завинчивающейся крышкой.
A.1.5 Процедура
A.1.5.1 Доводят баню до температуры, при которой проводится центрифугирование. Поддерживают указанную температуру с погрешностью +/- 1 °C.
A.1.5.2 В стеклянную бутылку наливают 700 - 800 мл толуола. Добавляют достаточное количество воды (не менее 2 мл, но не более 25 мл), визуально отмечая ее избыточное количество. Завинчивают крышку и интенсивно встряхивают бутылку в течение 30 с.
A.1.5.3 Откручивают крышку и помещают бутылку в баню на 30 мин. Извлекают бутылку, закручивают крышку и осторожно встряхивают в течение 30 с. (
Предупреждение - Давление паров углеводородов при температуре 60 °C (140 °F), как правило, приблизительно в два раза выше, чем при температуре 40 °C (104 °F). Поэтому бутылку следует переворачивать, удерживая в положении ниже уровня глаз, для исключения травмы при выстреливании крышки.)
A.1.5.4 Процедуру, приведенную в
A.1.5.3, повторяют три раза.
A.1.5.5 Бутылку со смесью воды и толуола перед применением выдерживают в бане в течение 48 ч. Указанное выдерживание обеспечивает достижение полного равновесия между толуолом и свободной водой, а также полное насыщение при необходимой температуре. При необходимости использования толуола, насыщенного водой, до истечения 48 ч (время достижения равновесия), растворитель наливают в пробирки для центрифугирования и центрифугируют на том же оборудовании и при таких же значениях относительной центробежной силы и температуры, которые используются при проведении испытания. Толуол пипеткой осторожно извлекают из пробирки для центрифугирования, не затрагивая при этом свободной воды, которая может присутствовать на дне пробирки.
A.1.5.6 Насыщение зависит от времени и температуры. Для обеспечения возможности применения насыщенного водой растворителя в любое время рекомендуется, чтобы бутылка со смесью воды и толуола все время хранилась в бане при температуре испытания.