Главная // Актуальные документы // ГОСТ (Государственный стандарт)СПРАВКА
Источник публикации
М.: Стандартинформ, 2014
Примечание к документу
Текст данного документа приведен с учетом поправок, опубликованных в "ИУС",
N 3, 2019;
N 8, 2020;
поправки, введенной в действие с 20.04.2022, опубликованной в "ИУС", N 5, 2022;
поправки, введенной в действие с 05.08.2022, опубликованной в "ИУС", N 9, 2022.
Документ
введен в действие с 01.07.2015.
Взамен ГОСТ 18855-94.
Название документа
"ГОСТ 18855-2013 (ISO 281:2007). Межгосударственный стандарт. Подшипники качения. Динамическая грузоподъемность и номинальный ресурс"
(введен в действие Приказом Росстандарта от 08.11.2013 N 1382-ст)
"ГОСТ 18855-2013 (ISO 281:2007). Межгосударственный стандарт. Подшипники качения. Динамическая грузоподъемность и номинальный ресурс"
(введен в действие Приказом Росстандарта от 08.11.2013 N 1382-ст)
по техническому регулированию
и метрологии
от 8 ноября 2013 г. N 1382-ст
МЕЖГОСУДАРСТВЕННЫЙ СТАНДАРТ
ПОДШИПНИКИ КАЧЕНИЯ
ДИНАМИЧЕСКАЯ ГРУЗОПОДЪЕМНОСТЬ И НОМИНАЛЬНЫЙ РЕСУРС
Rolling bearings. Dynamic load rating and rating life
(ISO 281:2007, MOD)
ГОСТ 18855-2013
(ISO 281:2007)
ОКП 46 000
Дата введения
1 июля 2015 года
Цели, основные принципы и основной порядок проведения работ по межгосударственной стандартизации установлены
ГОСТ 1.0-92 "Межгосударственная система стандартизации. Основные положения" и
ГОСТ 1.2-2009 "Межгосударственная система стандартизации. Стандарты межгосударственные, правила и рекомендации по межгосударственной стандартизации. Порядок разработки, принятия, применения, обновления и отмены"
1 РАЗРАБОТАН Обществом с ограниченной ответственностью "Инжиниринговый центр ЕПК" (ООО "ИЦ ЕПК")
2 ВНЕСЕН Межгосударственным техническим комитетом по стандартизации МТК 307 "Подшипники качения"
3 ПРИНЯТ Межгосударственным советом по стандартизации, метрологии и сертификации по переписке (протокол от 27 сентября 2013 г. N 59-П)
За принятие стандарта проголосовали:
Краткое наименование страны по МК (ИСО 3166) 004-97 | Код страны по МК (ИСО 3166) 004-97 | Сокращенное наименование национального органа по стандартизации |
Армения | AM | Минэкономики Республики Армения |
Беларусь | BY | Госстандарт Республики Беларусь |
Казахстан | KZ | Госстандарт Республики Казахстан |
Киргизия | KG | Кыргызстандарт |
Молдова | MD | Молдова-Стандарт |
Россия | RU | Росстандарт |
Узбекистан | UZ | Узстандарт |
4 Настоящий стандарт модифицирован по отношению к международному стандарту ISO 281:2007 Rolling bearings - Dynamic load ratings and rating life (Подшипники качения. Динамическая грузоподъемность и номинальный ресурс) путем внесения дополнительных положений. Дополнительные положения приведены в
5.1.2.1 и
5.2.2.1 и заключены в рамки из тонких линий. Разъяснение причин их внесения приведено в примечании к тексту. Дополнительные значения показателей внесены в
таблицу 3 и выделены полужирным курсивом. Дополнительные значения показателей даны для углов контакта, которые наиболее широко применяются в конструкциях радиально-упорных шариковых подшипников, которые производят страны СНГ.
Сравнение структуры международного стандарта со структурой настоящего стандарта приведено в приложении Д. Разъяснение причин изменения структуры приведено в примечаниях в
приложении Д.
Международный стандарт разработан подкомитетом ISO/TC 4/SC 8 "Грузоподъемность и ресурс" технического комитета по стандартизации ISO/TC 4 "Подшипники качения" Международной организации по стандартизации (ISO).
Перевод с английского языка (en).
Официальные экземпляры международного стандарта, на основе которого разработан настоящий межгосударственный стандарт, и международных документов, на которые даны ссылки, имеются в Федеральном агентстве по техническому регулированию и метрологии.
Ссылки на международные стандарты, которые приняты в качестве межгосударственных стандартов, заменены в
разделе "Нормативные ссылки" и тексте стандарта ссылками на соответствующие модифицированные межгосударственные стандарты.
Ссылки на международные стандарты, которые не приняты в качестве межгосударственных стандартов, заменены в
разделе "Нормативные ссылки" и тексте стандарта ссылками на соответствующие межгосударственные стандарты.
Информация о замене ссылок с разъяснением причин их внесения приведена в
приложении Г.
Степень соответствия - модифицированная (MOD)
5
Приказом Федерального агентства по техническому регулированию и метрологии от 08 ноября 2013 г. N 1382-ст межгосударственный стандарт ГОСТ 18855-2013 (ISO 281:2007) введен в действие в качестве национального стандарта Российской Федерации с 1 июля 2015 г.
6 ВЗАМЕН ГОСТ 18855-94
Информация об изменениях к настоящему стандарту публикуется в ежегодном информационном указателе "Национальные стандарты", а текст изменений и поправок - в ежемесячном информационном указателе "Национальные стандарты". В случае пересмотра (замены) или отмены настоящего стандарта соответствующее уведомление будет опубликовано в ежемесячном информационном указателе "Национальные стандарты". Соответствующая информация, уведомление и тексты размещаются также в информационной системе общего пользования - на официальном сайте Федерального агентства по техническому регулированию и метрологии в сети Интернет
Часто бывает нерационально обосновывать пригодность подшипника для конкретных условий применения путем испытания достаточного количества подшипников при данных условиях. В этом случае ресурс, как он определен в
3.1, является первейшим показателем соответствия условиям применения. Поэтому расчет времени безотказной работы рассматривается как подходящая и целесообразная замена испытаний. Целью настоящего стандарта является создание необходимой основы для расчета ресурса.
С момента последнего опубликования стандарта были приобретены дополнительные знания о влиянии на ресурс подшипника загрязнений, условий смазки, внутренних напряжений при монтаже, напряжений от термообработки и т.д. В настоящем стандарте представлен практический метод учета влияния на ресурс подшипника условий смазки и загрязнения смазочного материала.
Расчеты в соответствии с данным стандартом не дают удовлетворительных результатов для подшипников, работающих в таких условиях применения и/или с такой внутренней конструкцией, которые вызывают значительное уменьшение зоны контакта между телами качения и дорожками качения. Так, например, результаты модифицированного расчета неприменимы к шариковым подшипникам с пазом для ввода шариков, который значительно вступает в зону контакта шарик/дорожка качения, когда в условиях применения на подшипник действует осевая нагрузка. В этих случаях следует проконсультироваться у изготовителей подшипников.
Коэффициенты модификации ресурса по вероятности безотказной работы a1 были незначительно изменены и распространены до 99,95% вероятности безотказной работы.
В настоящем стандарте вместо ссылки на ISO/TR 8646 используется ссылка на ISO/TR 1281-1, который заменяет указанный документ.
Настоящий стандарт устанавливает методы расчета динамической грузоподъемности подшипников качения в диапазоне размеров, приведенных в соответствующих стандартах на типы и размеры, изготовленных из современной, обычно применяемой закаленной подшипниковой стали хорошего качества, в условиях хорошо налаженного производства и имеющих обычную конструкцию и формы контактных поверхностей качения.
Настоящий документ также устанавливает методы расчета номинального ресурса, соответствующего 90% вероятности безотказной работы при применении широко используемого материала хорошего качества при хорошем качестве изготовления в нормальных условиях эксплуатации. Кроме того, настоящий документ устанавливает методы расчета модифицированного ресурса с учетом различных значений вероятности безотказной работы, условий смазки, загрязненности смазочного материала и предела усталостной нагрузки подшипника.
Влияние износа, коррозии и электроэрозии на ресурс подшипника в данном стандарте не рассматривается.
Настоящий документ не применим к конструкциям, тела качения в которых воздействуют непосредственно на поверхности вала или корпуса, если эти поверхности не эквивалентны во всех отношениях дорожкам качения колец подшипника, которые они заменяют.
Двухрядные радиальные и радиально-упорные подшипники и двойные упорные и упорно-радиальные подшипники рассматривают в данном стандарте как симметричные.
Дополнительные ограничения в отношении отдельных типов подшипников включены в соответствующие разделы.
В настоящем стандарте использованы ссылки на следующие нормативные документы:
ГОСТ 24955-81 Подшипники качения. Термины и определения
ГОСТ 18854-2013 Подшипники качения. Статическая грузоподъемность
ISO 15241:2012 Подшипники качения. Обозначение величин
<*>
--------------------------------
<*> Действует до введения ГОСТ, разработанного на основе ISO 15241. Перевод стандарта имеется в ФГУП "СТАНДАРТИНФОРМ".
ISO/TR 1281-1:2008 Подшипники качения. Пояснительная записка к ISO 281 Часть 1. Базовая динамическая грузоподъемность и номинальный ресурс
<**>
--------------------------------
<**> Перевод документа имеется в ФГУП "СТАНДАРТИНФОРМ".
В настоящем стандарте применены термины по ГОСТ 24955, а также следующие термины с соответствующими определениями:
3.1
ресурс (life): Число оборотов конкретного подшипника качения, которое одно из колец подшипника совершает относительно другого кольца до появления первых признаков усталости материала одного из колец или одного из тел качения.
Примечание - Ресурс может быть выражен количеством часов работы при постоянной частоте вращения.
3.2
вероятность безотказной работы (reliability): Процентная доля группы предположительно идентичных подшипников качения, работающих в одинаковых условиях, которые, как ожидается, достигнут или превысят определенный ресурс.
Примечание - Вероятность безотказной работы отдельного подшипника качения - это вероятность того, что он достигнет или превысит определенный ресурс.
3.3 расчетный ресурс (rating life): Ожидаемое значение ресурса, основанное на динамической радиальной грузоподъемности или динамической осевой грузоподъемности.
3.4 номинальный ресурс (basic rating life): Расчетный ресурс, соответствующий 90% вероятности безотказной работы для подшипников, изготовленных из широко используемого материала хорошего качества, при хорошем качестве изготовления и работающих в нормальных условиях эксплуатации.
3.5 модифицированный ресурс (modified rating life): Расчетный ресурс, модифицированный в соответствии с 90%-ной или другой вероятностью безотказной работы, пределом усталостной нагрузки подшипника, особыми свойствами подшипника, загрязнением смазочного материала или другими специфическими условиями эксплуатации
Примечание - Термин "модифицированный ресурс" является новым в этом документе и заменяет термин "скорректированный расчетный ресурс".
3.6 динамическая радиальная грузоподъемность (basic dynamic radial load rating): Постоянная неподвижная радиальная нагрузка, которую подшипник качения теоретически может выдерживать в течение номинального ресурса в один миллион оборотов.
Примечание - Для радиально-упорного однорядного подшипника радиальная грузоподъемность относится к радиальной составляющей нагрузки, которая вызывает чисто радиальное смещение колец подшипников относительно друг друга.
3.7 динамическая осевая грузоподъемность (basic dynamic axial load rating): Постоянная центральная осевая нагрузка, которую подшипник качения теоретически может выдерживать в течение номинального ресурса в один миллион оборотов.
3.8 динамическая эквивалентная радиальная нагрузка (dynamic equivalent radial load): Постоянная неподвижная радиальная нагрузка, под воздействием которой подшипник качения будет иметь такой же ресурс, как и в условиях действительного нагружения.
3.9 динамическая эквивалентная осевая нагрузка (dynamic equivalent axial load): Постоянная центральная осевая нагрузка, под воздействием которой подшипник качения будет иметь такой же ресурс, как и в условиях действительного нагружения.
3.10
предел усталостной нагрузки (fatigue load limit): Нагрузка подшипника, при которой в наиболее нагруженном контакте дорожки качения будет достигнут предел усталостного напряжения

.
3.11 диаметр ролика (roller diameter): Теоретический диаметр в радиальной плоскости, проходящей через середину симметричного ролика.
Примечание 1 - Для конического ролика соответствующий диаметр равен среднему значению диаметров воображаемых кромок большого (сферического) и малого (плоского) торца ролика.
Примечание 2 - Для асимметричного выпуклого ролика соответствующий диаметр равен диаметру в точке контакта между роликом и безбортиковой дорожкой качения при нулевой нагрузке.
3.12
эффективная длина ролика (effective roller length): Максимальная теоретическая длина контакта ролика с той дорожкой качения, где этот контакт короче.
Примечание - За длину контакта обычно принимают либо расстояние между воображаемыми кромками ролика, за вычетом номинальных фасок ролика, либо ширину дорожки качения за вычетом галтелей, в зависимости от того, что меньше.
3.13 номинальный угол контакта (nominal contact angle): Угол между плоскостью, перпендикулярной оси подшипника, (радиальной плоскостью) и номинальной линией действия результирующей сил, передаваемых кольцом подшипника на тело качения.
Примечание - Для подшипников с асимметричными роликами номинальный угол контакта определяется контактом с безбортиковой дорожкой качения.
3.14 диаметр центровой окружности шариков (pitch diameter of ball set): Диаметр окружности, проходящей через центры шариков одного ряда подшипника.
3.15 диаметр центровой окружности роликов (pitch diameter of roller set): Диаметр окружности, проходящей через середины роликов одного ряда подшипника.
Примечание - Серединой ролика считается проекция середины образующей (цилиндрической или конической) поверхности ролика на ось ролика.
3.16 нормальные условия эксплуатации (conventional operating conditions): Условия, которые можно считать преобладающими для подшипников, которые должным образом установлены и защищены от загрязнения, надлежащим образом смазаны, обычным способом нагружены, не подвергаются резкому изменению температур и скорости вращения.
3.17 относительная вязкость (viscosity ratio): Отношение фактической кинематической вязкости масла при рабочей температуре к номинальной кинематической вязкости, требуемой для надлежащей смазки.
3.18 параметр смазочной пленки (film parameter): Отношение толщины смазочной пленки к совместной среднеквадратичной, СКЗ, шероховатости поверхностей, применяемое для оценки влияния условий смазки на ресурс подшипника.
3.19 пьезокоэффициент вязкости (pressure-viscosity coefficient): Параметр, характеризующий влияние давления масла на вязкость масла в контакте тела качения.
3.20 индекс вязкости (viscosity index): Показатель, характеризующий степень влияния температуры на вязкость смазочных масел.
3.21 опорный торец (back face): Торец кольца подшипника, предназначенный для восприятия осевой нагрузки. 3.22 неопорный торец (front face): Торец кольца подшипника, не предназначенный для восприятия осевой нагрузки. 3.23 сдвоенный подшипник (paired mounting): Два подшипника, установленных рядом на одном валу так, что они работают как единый узел. 3.24 комплект подшипников (stack mounting): Три или более подшипника, установленных рядом на одном валу так, что они работают как единый узел. 3.25 комплектный подшипник (matched rolling bearing): Подшипник качения, входящий в состав сдвоенного подшипника или в комплект подшипников. 3.26 компоновка по схеме тандем (схема T) (tandem arrangement): Сдвоенный подшипник или комплект подшипников, смонтированный опорным торцом наружного (свободного) кольца комплектного подшипника к неопорному торцу наружного (свободного) кольца соседнего комплектного подшипника. Примечание - Для упорного и упорно-радиального подшипника указанные торцы касаются не непосредственно, а через специально подобранное дистанционное кольцо. 3.27 компоновка по схеме O (схема O) (back-to-back arrangement): Сдвоенный подшипник, смонтированный опорными торцами наружных колец комплектных подшипников друг к другу. 3.28 компоновка по схеме X (схема X) (face-to-face arrangement): Сдвоенный подшипник, смонтированный неопорными торцами наружных колец комплектных подшипников друг к другу. Примечание - Термины 3.21 - 3.28, приведенные в ИСО 5593, используются в настоящем стандарте. |
В настоящем стандарте применены следующие обозначения:
aISO - системный коэффициент модификации ресурса;
a1 - коэффициент модификации ресурса по вероятности безотказной работы;
bm - оценочный коэффициент для современной, обычно применяемой, закаленной подшипниковой стали хорошего качества, в условиях хорошо налаженного производства, величина которого меняется в зависимости от типа и конструкции подшипника;
Ca - динамическая осевая грузоподъемность в ньютонах;
Cr - динамическая радиальная грузоподъемность в ньютонах;
Cu - предел усталостной нагрузки в ньютонах;
C0a - статическая осевая грузоподъемность
<*> в ньютонах;
C0r - статическая радиальная грузоподъемность
<*> в ньютонах;
--------------------------------
<*> Определение, метод расчета и значения C
0a, C
0r и f
0 см. в
ГОСТ 18854.
D - наружный диаметр подшипника в миллиметрах;
Dpw - диаметр центровой окружности шариков или роликов в миллиметрах;
Dw - номинальный диаметр шарика в миллиметрах;
Dwe - диаметр ролика, применяемый при расчете грузоподъемности в миллиметрах;
d - диаметр отверстия подшипника в миллиметрах;
e - предельное значение отношения Fa/Fr, определяющее значения коэффициентов X и Y;
eC - коэффициент загрязнения;
Fa - осевая нагрузка подшипника (осевая составляющая фактической нагрузки подшипника) в ньютонах;
Fr - радиальная нагрузка подшипника (радиальная составляющая фактической нагрузки подшипника) в ньютонах;
fc - коэффициент, зависящий от геометрии деталей подшипника, точности изготовления различных деталей и материала;
f0 - коэффициент для расчета статической грузоподъемности
<*>;
--------------------------------
<*> Определение, метод расчета и значения C
0a, C
0r и f
0 см. в
ГОСТ 18854.
i - число рядов тел качения;
Lnm - модифицированный ресурс в миллионах оборотов;
Lwe эффективная длина ролика, применяемая для расчета грузоподъемности, в миллиметрах;
L10 - номинальный ресурс в миллионах оборотов;
n - частота вращения в минутах в минус первой степени;
n - подстрочный индекс вероятности отказа в процентах;
P - динамическая эквивалентная нагрузка в ньютонах;
Pa - динамическая эквивалентная осевая нагрузка в ньютонах;
Pr - динамическая эквивалентная радиальная нагрузка в ньютонах;
S - вероятность безотказной работы в процентах;
X - коэффициент динамической радиальной нагрузки;
Y - коэффициент динамической осевой нагрузки;
Z - число тел качения в однорядном подшипнике; число тел качения в одном ряду многорядного подшипника с одинаковым числом тел качения в каждом ряду;

- номинальный угол контакта в градусах;

- относительная вязкость

;

- параметр смазочной пленки;

- фактическая кинематическая вязкость при рабочей температуре в квадратных миллиметрах в секунду;

- номинальная кинематическая вязкость, необходимая для достижения надлежащих условий смазки, в квадратных миллиметрах в секунду;

- (действительное) напряжение, применяемое в критерии усталости, в ньютонах на квадратный миллиметр;

- предел усталостного напряжения материала дорожки качения в ньютонах на квадратный миллиметр.
5 Радиальные и радиально-упорные шариковые подшипники
5.1 Динамическая радиальная грузоподъемность
5.1.1 Динамическая радиальная грузоподъемность отдельных подшипников
Динамическую радиальную грузоподъемность радиальных и радиально-упорных шариковых подшипников вычисляют по формулам

(1)
для Dw <= 25,4 мм

(2)
для Dw > 25,4 мм.
Значения
bm и
fc приведены в
таблицах 1 и
2, соответственно.
Таблица 1
Значения
bm для радиальных
и радиально-упорных шариковых подшипников
Тип подшипника | bm |
Радиальный или радиально-упорный шариковый подшипник (без паза для ввода шариков), вкладышный подшипник и шариковый сферический подшипник | 1,3 |
Подшипник с пазом для ввода шариков | 1,1 |
Значения этих коэффициентов применимы к подшипникам с радиусом поперечного сечения желоба дорожки качения не более 0,52 Dw на внутренних кольцах радиальных и радиально-упорных шариковых подшипников и не более 0,53 Dw на наружных кольцах радиальных и радиально-упорных шариковых подшипников и на внутренних кольцах шариковых сферических подшипников.
Таблица 2
для радиальных и радиально-упорных шариковых подшипников
| Коэффициент fc |
Радиальный шариковый однорядный подшипник и радиально-упорный шариковый однорядный или двухрядный подшипник | Радиальный шариковый двухрядный подшипник | Радиальный шариковый сферический однорядный или двухрядный подшипник | Радиальный шариковый однорядный разъемный подшипник (магнетный подшипник) |
0,01 | 29,1 | 27,5 | 9,9 | 9,4 |
0,02 | 35,8 | 33,9 | 12,4 | 11,7 |
0,03 | 40,3 | 38,2 | 14,3 | 13,4 |
0,04 | 43,8 | 41,5 | 15,9 | 14,9 |
0,05 | 46,7 | 44,2 | 17,3 | 16,2 |
| | | | |
0,06 | 49,1 | 46,5 | 18,6 | 17,4 |
0,07 | 51,1 | 48,4 | 19,9 | 18,5 |
0,08 | 52,8 | 50,0 | 21,1 | 19,5 |
0,09 | 54,3 | 51,4 | 22,3 | 20,6 |
0,10 | 55,5 | 52,6 | 23,4 | 21,5 |
| | | | |
0,11 | 56,6 | 53,6 | 24,5 | 22,5 |
0,12 | 57,5 | 54,5 | 25,6 | 23,4 |
0,13 | 58,2 | 55,2 | 26,6 | 24,4 |
0,14 | 58,8 | 55,7 | 27,7 | 25,3 |
0,15 | 59,3 | 56,1 | 28,7 | 26,2 |
| | | | |
0,16 | 59,6 | 56,5 | 29,7 | 27,1 |
0,17 | 59,8 | 56,7 | 30,7 | 27,9 |
0,18 | 59,9 | 56,8 | 31,7 | 28,8 |
0,19 | 60,0 | 56,8 | 32,6 | 29,7 |
0,20 | 59,9 | 56,8 | 33,5 | 30,5 |
| | | | |
0,21 | 59,8 | 56,6 | 34,4 | 31,3 |
0,22 | 59,6 | 56,5 | 35,2 | 32,1 |
0,23 | 59,3 | 56,2 | 36,1 | 32,9 |
0,24 | 59,0 | 55,9 | 36,8 | 33,7 |
0,25 | 58,6 | 55,5 | 37,5 | 34,5 |
| | | | |
0,26 | 58,2 | 55,1 | 38,2 | 35,2 |
0,27 | 57,7 | 54,6 | 38,8 | 35,9 |
0,28 | 57,1 | 54,1 | 39,4 | 36,6 |
0,29 | 56,6 | 53,6 | 39,9 | 37,2 |
0,30 | 56,0 | 53,0 | 40,3 | 37,8 |
| | | | |
0,31 | 55,3 | 52,4 | 40,6 | 38,4 |
0,32 | 54,6 | 51,8 | 40,9 | 38,9 |
0,33 | 53,9 | 51,1 | 41,1 | 39,4 |
0,34 | 53,2 | 50,4 | 41,2 | 39,8 |
0,35 | 52,4 | 49,7 | 41,3 | 40,1 |
| | | | |
0,36 | 51,7 | 48,9 | 41,3 | 40,4 |
0,37 | 50,9 | 48,2 | 41,2 | 40,7 |
0,38 | 50,0 | 47,4 | 41,0 | 40,8 |
0,39 | 49,2 | 46,6 | 40,7 | 40,9 |
0,40 | 48,4 | 45,8 | 40,4 | 40,9 |
<a> Значения fc для промежуточных значений  получают линейным интерполированием. |
Грузоподъемность подшипника не обязательно возрастает при меньшем радиусе желоба, но она снижается при радиусе желоба большем, чем указано выше. В последнем случае следует применять соответственно уменьшенное значение fc. Расчет этого уменьшенного значения fc может быть сделан по ISO/TR 1281-1 [уравнение (15)].
5.1.2 Динамическая радиальная грузоподъемность комбинаций подшипников
5.1.2.1 Два радиальных шариковых однорядных подшипника, работающих как единый узел
При расчете динамической радиальной грузоподъемности два одинаковых радиальных шариковых однорядных подшипника, смонтированные рядом на одном валу так, что они работают как единый узел (сдвоенный подшипник), рассматривают как один радиальный шариковый двухрядный подшипник.
Два одинаковых радиальных шариковых однорядных подшипника, специально изготовленные и работающие по схеме O или по схеме X, рассматривают как один радиально-упорный шариковый двухрядный подшипник. Примечание - Требование добавлено, поскольку в настоящее время радиальные подшипники производят также для работы по схеме O и схеме X. |
5.1.2.2 Схема O или X для радиально-упорных шариковых однорядных подшипников
При расчете динамической радиальной грузоподъемности два одинаковых радиально-упорных шариковых однорядных подшипника, смонтированные рядом на одном валу так, что они работают как единый узел (сдвоенный подшипник) по схеме O или по схеме X, рассматривают как один радиально-упорный шариковый двухрядный подшипник.
5.1.2.3 Компоновка по схеме тандем
Динамическая радиальная грузоподъемность двух или более одинаковых радиальных шариковых однорядных подшипников или двух или более одинаковых радиально-упорных шариковых подшипников, смонтированных рядом на одном валу так, что они работают как единый узел (сдвоенный подшипник или комплект подшипников) по схеме тандем, равна грузоподъемности одного однорядного подшипника, умноженной на число подшипников в степени 0,7. Подшипники должны быть надлежащим образом изготовлены и смонтированы для равномерного распределения нагрузки между ними.
5.1.2.4 Независимо заменяемые подшипники
Положения
5.1.2.3 не применимы, если по каким-либо техническим основаниям компоновка подшипников рассматривается как ряд однорядных подшипников, которые заменяются независимо друг от друга.
5.2 Динамическая эквивалентная радиальная нагрузка
5.2.1 Динамическая эквивалентная радиальная нагрузка отдельных подшипников
Динамическую эквивалентную радиальную нагрузку радиальных и радиально-упорных шариковых подшипников при постоянных радиальной и осевой нагрузках вычисляют по формуле
Значения коэффициентов
X и
Y приведены в
таблице 3. Эти коэффициенты применяют к подшипникам с радиусами желобов дорожек качения в поперечном сечении по
5.1.1. Для других радиусов желобов расчет коэффициентов
X и
Y может быть сделан в соответствии с ISO/TR 1281-1 (подраздел 5.2).
Таблица 3
Значения
X и
Y для радиальных
и радиально-упорных шариковых подшипников
Тип подшипника | "Относительная осевая нагрузка" <a> <b> | Однорядный подшипник | Двухрядный подшипник | e |
| | | |
X | Y | X | Y | X | Y | X | Y |
Радиальный шариковый подшипник | | | | | | | | | | | |
0,172 | 0,172 | 1 | 0 | 0,56 | 2,30 | 1 | 0 | 0,56 | 2,30 | 0,19 |
0,345 | 0,345 | 1,99 | 1,99 | 0,22 |
0,689 | 0,689 | 1,71 | 1,71 | 0,26 |
1,030 | 1,030 | 1,55 | 1,55 | 0,28 |
1,380 | 1,380 | 1,45 | 1,45 | 0,30 |
2,070 | 2,070 | 1,31 | 1,31 | 0,34 |
3,450 | 3,450 | 1,15 | 1,15 | 0,38 |
5,170 | 5,170 | 1,04 | 1,04 | 0,42 |
6,890 | 6,890 | 1,00 | 1,00 | 0,44 |
| | | | | | | | | | |
Радиально-упорный шариковый подшипник | | 0,173 | 0,172 | 1 | 0 | Для данного типа используют величины X, Y и e, применяемые для радиальных шариковых однорядных подшипников | 1 | 2,78 | 0,78 | 3,74 | 0,23 |
0,346 | 0,345 | 2,40 | 3,23 | 0,26 |
0,692 | 0,689 | 2,07 | 2,78 | 0,30 |
1,040 | 1,030 | 1,87 | 2,52 | 0,34 |
1,380 | 1,380 | 1,75 | 2,36 | 0,36 |
2,080 | 2,070 | 1,58 | 2,13 | 0,40 |
3,460 | 3,450 | 1,39 | 1,87 | 0,45 |
5,190 | 5,170 | 1,26 | 1,69 | 0,50 |
6,920 | 6,890 | 1,21 | 1,63 | 0,52 |
| 0,175 | 0,172 | 1 | 0 | 0,46 | 1,88 | 1 | 2,18 | 0,75 | 3,06 | 0,29 |
0,350 | 0,345 | 1,71 | 1,98 | 2,78 | 0,32 |
0,700 | 0,689 | 1,52 | 1,76 | 2,47 | 0,36 |
1,050 | 1,030 | 1,41 | 1,63 | 2,29 | 0,38 |
1,400 | 1,380 | 1,34 | 1,55 | 2,18 | 0,40 |
2,100 | 2,070 | 1,23 | 1,42 | 2,00 | 0,44 |
3,500 | 3,450 | 1,10 | 1,27 | 1,79 | 0,49 |
5,250 | 5,170 | 1,01 | 1,17 | 1,64 | 0,54 |
7,000 | 6,890 | 1,00 | 1,16 | 1,63 | 0,54 |
| | 0,176 | 0,172 | 1 | 0 | 0,45 | 1,72 | 1 | 1,97 | 0,74 | 2,79 | 0,33 |
0,353 | 0,345 | 1,62 | 1,82 | 2,58 | 0,35 |
0,706 | 0,689 | 1,43 | 1,64 | 2,33 | 0,39 |
1,042 | 1,030 | 1,34 | 1,53 | 2,17 | 0,41 |
1,412 | 1,380 | 1,28 | 1,47 | 2,08 | 0,43 |
2,116 | 2,070 | 1,19 | 1,36 | 1,93 | 0,46 |
3,528 | 3,450 | 1,07 | 1,22 | 1,74 | 0,51 |
5,290 | 5,170 | 1,01 | 1,15 | 1,64 | 0,55 |
7,056 | 6,890 | 1,00 | 1,14 | 1,63 | 0,55 |
| 0,178 | 0,172 | 1 | 0 | 0,44 | 1,47 | 1 | 1,65 | 0,72 | 2,39 | 0,38 |
0,357 | 0,345 | 1,40 | 1,57 | 2,28 | 0,40 |
0,714 | 0,689 | 1,30 | 1,46 | 2,11 | 0,43 |
1,070 | 1,030 | 1,23 | 1,38 | 2,00 | 0,46 |
1,430 | 1,380 | 1,19 | 1,34 | 1,93 | 0,47 |
2,140 | 2,070 | 1,12 | 1,26 | 1,82 | 0,50 |
3,570 | 3,450 | 1,02 | 1,14 | 1,66 | 0,55 |
5,350 | 5,170 | 1,00 | 1,12 | 1,63 | 0,56 |
7,140 | 6,890 | 1,00 | 1,12 | 1,63 | 0,56 |
| | - | - | 1 | 0 | 0,43 | 1,00 | 1 | 1,09 | 0,70 | 1,63 | 0,57 |
| - | - | 0,41 | 0,87 | 0,92 | 0,67 | 1,41 | 0,68 |
| - | - | 0,40 | 0,83 | 0,86 | 0,65 | 1,34 | 0,73 |
| - | - | 0,39 | 0,76 | 0,78 | 0,63 | 1,24 | 0,80 |
| - | - | 0,37 | 0,66 | 0,66 | 0,60 | 1,07 | 0,95 |
| - | - | 0,35 | 0,57 | 0,55 | 0,57 | 0,93 | 1,14 |
| - | - | 0,33 | 0,50 | 0,47 | 0,54 | 0,81 | 1,34 |
Шариковый сферический подшипник | 1 | 0 | 0,40 | | 1 | | 0,65 | | |
Радиальный шариковый однорядный разъемный подшипник (магнетный) | 1 | 0 | 0,50 | 2,50 | - | - | - | - | 0,20 |
<a> Допустимое максимальное значение зависит от конструкции подшипника (внутренний зазор и глубина желоба на дорожке качения). Использовать первую или вторую графу в зависимости от имеющейся информации. <b> Значения X, Y и e для промежуточных значений "относительных осевых нагрузок" и/или углов контакта получают линейным интерполированием. <c> Значения f0 приведены в ГОСТ 18854. |
5.2.2 Динамическая эквивалентная радиальная нагрузка комбинаций подшипников
5.2.2.1 Два однорядных радиальных шариковых подшипника, работающие как единый узел При расчете эквивалентной радиальной нагрузки два одинаковых радиальных шариковых однорядных подшипника, смонтированные рядом на одном валу так, что они работают как единый узел (сдвоенный подшипник), рассматривают как один радиальный шариковый двухрядный подшипник. Два одинаковых радиальных шариковых однорядных подшипника, специально изготовленные и работающие по схеме O или по схеме X, рассматривают как один радиально-упорный шариковый двухрядный подшипник. Примечание - Требования добавлены, для учета всех возможных комбинаций двух радиальных шариковых однорядных подшипников. |
5.2.2.2 Схема O или X для радиально-упорных шариковых однорядных подшипников
При расчете эквивалентной радиальной нагрузки два одинаковых радиально-упорных шариковых однорядных подшипника, смонтированные рядом на одном валу так, что они работают как единый узел (сдвоенный подшипник), скомпонованный по схеме O или по схеме X, рассматривают как один радиально-упорный шариковый двухрядный подшипник.
5.2.2.3 Компоновка по схеме тандем
При расчете эквивалентной радиальной нагрузки двух или более одинаковых радиальных шариковых однорядных подшипников или двух или более одинаковых радиально-упорных шариковых однорядных подшипников, смонтированных рядом на одном валу так, что они работают как единый узел (сдвоенный подшипник или комплект подшипников), скомпонованный по схеме тандем, следует использовать значения X и Y для однорядного подшипника.
"Относительную осевую нагрузку" (см.
таблицу 3) определяют, используя значение
i, равное 1, и значения
Fa и
C0r, оба из которых относятся только к одному из подшипников (даже если для расчета эквивалентной нагрузки всего узла используют значения
Fr и
Fa, относящиеся к общим нагрузкам).
5.3.1 Формула ресурса
Номинальный ресурс радиального и радиально-упорного шарикового подшипника вычисляют по формуле ресурса

. (4)
Данную формулу ресурса используют также для определения ресурса двух или более однорядных подшипников, работающих как единый узел, как указано в
5.1.2. В этом случае грузоподъемность
Cr вычисляют для всей компоновки подшипников в целом, а эквивалентную нагрузку
Pr вычисляют исходя из общей нагрузки, действующей на компоновку, с использованием значений
X и
Y по
5.2.2.
5.3.2 Ограничения для нагрузки в формуле ресурса
Формула ресурса дает удовлетворительные результаты расчета в широком диапазоне нагрузок, действующих на подшипник. Однако сверхтяжелые нагрузки могут вызвать недопустимо большие пластические деформации в контакте шариков с дорожками качения. Поэтому потребитель должен проконсультироваться у изготовителя подшипников относительно применимости формулы ресурса в случаях, когда Pr превышает C0r или 0,5 Cr, даже незначительно.
Очень легкие нагрузки могут вызвать разные виды повреждений. Эти виды повреждений не рассматриваются в настоящем стандарте.
6 Упорные и упорно-радиальные шариковые подшипники
6.1 Динамическая осевая грузоподъемность
6.1.1 Динамическая осевая грузоподъемность однорядных подшипников
Динамическую осевую грузоподъемность упорных и упорно-радиальных шариковых однорядных одинарных и двойных подшипников вычисляют по формулам:

(5)
для
Dw <= 25,4 мм и

,

(6)
для
Dw <= 25,4 мм и

,

(7)
для
Dw > 25,4 мм и

,

(8)
для
Dw > 25,4 мм и

,
где Z является числом шариков, воспринимающих нагрузку в одном направлении, а bm равно 1,3.
Значения
fc приведены в
таблице 4 и применимы к подшипникам с радиусами желобов в поперечном сечении дорожки качения не более 0,54
Dw.
Таблица 4
и упорно-радиальных шариковых подшипников
| fc | | fc |
| | | |
0,01 | 36,7 | 0,01 | 42,1 | 39,2 | 37,3 |
0,02 | 45,2 | 0,02 | 51,7 | 48,1 | 45,9 |
0,03 | 51,1 | 0,03 | 58,2 | 54,2 | 51,7 |
0,04 | 55,7 | 0,04 | 63,3 | 58,9 | 56,1 |
0,05 | 59,5 | 0,05 | 67,3 | 62,6 | 59,7 |
0,06 | 62,9 | 0,06 | 70,7 | 65,8 | 62,7 |
0,07 | 65,8 | 0,07 | 73,5 | 68,4 | 65,2 |
0,08 | 68,5 | 0,08 | 75,9 | 70,7 | 67,3 |
0,09 | 71,0 | 0,09 | 78,0 | 72,6 | 69,2 |
0,10 | 73,3 | 0,10 | 79,7 | 74,2 | 70,7 |
0,11 | 75,4 | 0,11 | 81,1 | 75,5 | - |
0,12 | 77,4 | 0,12 | 82,3 | 76,6 | - |
0,13 | 79,3 | 0,13 | 83,3 | 77,5 | - |
0,14 | 81,1 | 0,14 | 84,1 | 78,3 | - |
0,15 | 82,7 | 0,15 | 84,7 | 78,8 | - |
0,16 | 84,4 | 0,16 | 85,1 | 79,2 | - |
0,17 | 85,9 | 0,17 | 85,4 | 79,5 | - |
0,18 | 87,4 | 0,18 | 85,5 | 79,6 | - |
0,19 | 88,8 | 0,19 | 85,5 | 79,6 | - |
0,20 | 90,2 | 0,20 | 85,4 | 79,5 | - |
0,21 | 91,5 | 0,21 | 85,2 | - | - |
0,22 | 92,8 | 0,22 | 84,9 | - | - |
0,23 | 94,1 | 0,23 | 84,5 | - | - |
0,24 | 95,3 | 0,24 | 84,0 | - | - |
0,25 | 96,4 | 0,25 | 83,4 | - | - |
0,26 | 97,6 | 0,26 | 82,8 | - | - |
0,27 | 98,7 | 0,27 | 82,0 | - | - |
0,28 | 99,8 | 0,28 | 81,3 | - | - |
0,29 | 100,8 | 0,29 | 80,4 | - | - |
0,30 | 101,9 | 0,30 | 79,6 | - | - |
0,31 | 102,9 | - | - | - | - |
0,32 | 103,9 | - | - | - | - |
0,33 | 104,8 | - | - | - | - |
0,34 | 105,8 | - | - | - | - |
0,35 | 106,7 | - | - | - | - |
<a> Значения fc для Dw/ Dpw или  и/или углов контакта, не указанных в таблице, определяют линейным интерполированием. <b> Угол контакта упорно-радиальных подшипников  больше 45°. Значения для угла контакта  , равного 45°, даны для того, чтобы обеспечить интерполяцию значений для углов контакта  более 45° и менее 60°. |
Грузоподъемность подшипника не обязательно возрастает при меньшем радиусе желоба, но она снижается при радиусе желоба большем, чем указано выше. В последнем случае следует применять соответственно уменьшенное значение fc. Расчет этого уменьшенного значения fc для подшипников с углом контакта менее 90° может быть сделан по ISO/TR 1281-1 [уравнение (20)], а для подшипников с углом контакта, равным 90°, - по ISO/TR 1281-1 [уравнение (25)].
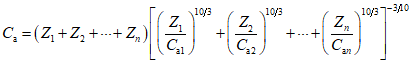
6.1.2 Динамическая осевая грузоподъемность подшипников с двумя или более рядами шариков
Динамическую осевую грузоподъемность упорных и упорно-радиальных шариковых подшипников с двумя и более рядами одинаковых шариков, воспринимающих нагрузку в одном направлении, вычисляют по формуле

(9)
Грузоподъемности
Ca1,
Ca2, ...,
Can для рядов с числом шариков
Z1,
Z2, ...,
Zn вычисляют по соответствующей формуле для однорядного подшипника, приведенной в
6.1.1.
6.2 Динамическая эквивалентная осевая нагрузка
Динамическую эквивалентную осевую нагрузку упорно-радиальных шариковых подшипников с углом контакта

менее 90° при постоянных радиальной и осевой нагрузках вычисляют по формуле
Значения
X и
Y приведены в
таблице 5. Эти коэффициенты применяют к подшипникам с радиусом желоба дорожки качения в поперечном сечении в соответствии с
6.1.1. Для других радиусов желобов расчет коэффициентов
X и
Y может быть сделан в соответствии с ISO/TR 1281-1 (подраздел 5.2).
Таблица 5
Значения
X и
Y для упорно-радиальных шариковых подшипников
| | Двойной подшипник | e |
| | |
X | Y | X | Y | X | Y |
| 0,66 | 1 | 1,18 | 0,59 | 0,66 | 1 | 1,25 |
50° | 0,73 | 1,37 | 0,57 | 0,73 | 1,49 |
55° | 0,81 | 1,60 | 0,56 | 0,81 | 1,79 |
60° | 0,92 | 1,90 | 0,55 | 0,92 | 2,17 |
65° | 1,06 | 2,30 | 0,54 | 1,06 | 2,68 |
70° | 1,28 | 2,90 | 0,53 | 1,28 | 3,43 |
75° | 1,66 | 3,89 | 0,52 | 1,66 | 4,67 |
80° | 2,43 | 5,86 | 0,52 | 2,43 | 7,09 |
85° | 4,80 | 11,75 | 0,51 | 4,80 | 14,29 |
| | 1 | | | | 1 | |
<a> Значения X, Y и e для промежуточных значений  определяют линейным интерполированием. <b> Отношение  не применимо для одинарных подшипников. <c> Угол контакта упорно-радиальных подшипников  больше 45°. Значения для угла контакта  , равного 45°, даны для того, чтобы обеспечить интерполяцию значений для углов контакта  более 45° и менее 60°. |
Упорные шариковые подшипники с углом контакта, равным 90° могут воспринимать только осевые нагрузки. Динамическую эквивалентную осевую нагрузку этого типа подшипников вычисляют по формуле
6.3.1 Формула ресурса
Номинальный ресурс упорно-радиального и упорного шарикового подшипника вычисляют по формуле ресурса

. (12)
Значения
Ca и
Pa вычисляют в соответствии с
6.1 и
6.2.
6.3.2 Ограничения для нагрузки в формуле ресурса
Формула ресурса дает удовлетворительные результаты вычислений в широком диапазоне нагрузок, действующих на подшипник. Однако сверхтяжелые нагрузки могут вызвать недопустимо большие пластические деформации в контакте шариков с дорожкой качения. Поэтому потребитель должен проконсультироваться у изготовителя подшипников относительно применимости формулы ресурса в случаях, когда Pa превышает 0,5 Ca.
Очень легкие нагрузки могут вызвать разные виды повреждений. Эти виды повреждений не рассматриваются в настоящем стандарте.
7 Радиальные и радиально-упорные роликовые подшипники
7.1 Динамическая радиальная грузоподъемность
7.1.1 Динамическая радиальная грузоподъемность отдельных подшипников
Динамическую радиальную грузоподъемность радиальных и радиально-упорных роликовых подшипников вычисляют по формуле

. (13)
Значения
bm и
fc приведены в
таблицах 6 и
7, соответственно. Эти значения являются максимальными и применимы только к роликовым подшипникам, у которых под воздействием нагрузки на подшипник контактное напряжение распределено равномерно вдоль наиболее тяжело нагруженной площадки контакта ролика с дорожкой качения.
Таблица 6
Значения
bm для радиальных
и радиально-упорных роликовых подшипников
Тип подшипника | bm |
Роликовый цилиндрический подшипник, роликовый конический подшипник и роликовый игольчатый подшипник с механически обработанными кольцами | 1,10 |
Роликовый игольчатый подшипник со штампованным наружным кольцом | 1,00 |
Роликовый сферический подшипник | 1,15 |
Таблица 7
Максимальные значения
fc для радиальных
и радиально-упорных роликовых подшипников
| fc |
0,01 | 52,1 |
0,02 | 60,8 |
0,03 | 66,5 |
0,04 | 70,7 |
0,05 | 74,1 |
0,06 | 76,9 |
0,07 | 79,2 |
0,08 | 81,2 |
0,09 | 82,8 |
0,10 | 84,2 |
0,11 | 85,4 |
0,12 | 86,4 |
0,13 | 87,1 |
0,14 | 87,7 |
0,15 | 88,2 |
0,16 | 88,5 |
0,17 | 88,7 |
0,18 | 88,8 |
0,19 | 88,8 |
0,20 | 88,7 |
0,21 | 88,5 |
0,22 | 88,2 |
0,23 | 87,9 |
0,24 | 87,5 |
0,25 | 87,0 |
0,26 | 86,4 |
0,27 | 85,8 |
0,28 | 85,2 |
0,29 | 84,5 |
0,30 | 83,8 |
<a> Значения fc для промежуточных значений  определяют линейным интерполированием. |
Значения
fc, меньшие указанных в
таблице 7, следует использовать в том случае, если под воздействием нагрузки в какой-то части площадки контакта ролика с дорожкой качения, имеется резко выраженная концентрация напряжений. Такие концентрации напряжений можно ожидать в центре площадки номинально точечных контактов или на краях площадки линейных контактов, в подшипниках, где ролики не имеют точного направления, а также в подшипниках с роликами, длина которых превышает их диаметр более чем в 2,5 раза.
7.1.2 Динамическая радиальная грузоподъемность комбинаций подшипников
7.1.2.1 Компоновка по схеме O или X
При расчете динамической радиальной грузоподъемности двух одинаковых радиальных или радиально-упорных роликовых однорядных подшипников, смонтированных рядом на одном валу и работающих как единый узел (сдвоенный подшипник), скомпонованный по схеме O или X, данную пару рассматривают как один двухрядный подшипник.
7.1.2.2 Независимо заменяемые подшипники в компоновке по схеме O или X
Положения
7.1.2.1 не применимы, если по каким-либо техническим основаниям компоновка подшипников рассматривается как два подшипника, заменяемые независимо друг от друга.
7.1.2.3 Компоновка по схеме тандем
Динамическая радиальная грузоподъемность двух или более одинаковых радиальных или радиально-упорных роликовых однорядных подшипников, смонтированных рядом на одном валу так, что они работают как единый узел (сдвоенный подшипник или комплект подшипников), скомпонованный по схеме тандем, равна грузоподъемности одного однорядного подшипника, умноженной на число подшипников в степени 7/9. Для равномерного распределения нагрузки между подшипниками их необходимо должным образом изготовить и смонтировать.
7.1.2.4 Независимо заменяемые подшипники в компоновке по схеме тандем
Положения
7.1.2.3 не применимы, если по каким-либо техническим основаниям компоновка подшипников рассматривается как ряд однорядных подшипников, заменяемых независимо друг от друга.
7.2 Динамическая эквивалентная радиальная нагрузка
7.2.1 Динамическая эквивалентная радиальная нагрузка отдельных подшипников
Динамическую эквивалентную радиальную нагрузку радиально-упорных роликовых подшипников с углом контакта

более 0° при постоянных радиальной и осевой нагрузках вычисляют по формуле
Динамическую эквивалентную радиальную нагрузку радиальных роликовых подшипников с углом контакта

, равным 0°, при чисто радиальной нагрузке вычисляют по формуле
Примечание - Способность радиальных роликовых подшипников с углом контакта

, равным 0°, воспринимать осевые нагрузки значительно меняется в зависимости от конструкции и исполнения подшипников. Поэтому потребители подшипников должны проконсультироваться у изготовителей по вопросу определения эквивалентной нагрузки и ресурса подшипников в случае, когда подшипник с углом контакта

, равным 0°, подвергается осевой нагрузке.
7.2.2 Динамическая эквивалентная радиальная нагрузка комбинаций подшипников
7.2.2.1 Компоновка по схеме O или X радиально-упорных роликовых однорядных подшипников
При расчете эквивалентной радиальной нагрузки двух одинаковых радиально-упорных роликовых однорядных подшипников, смонтированных рядом на одном валу и работающих как единый узел (сдвоенный подшипник), скомпонованный по схеме O или X, и которые, в соответствии с
пунктом 7.1.2.1, рассматриваются как один двухрядный подшипник, следует использовать значения
X и
Y для двухрядных подшипников, приведенные в
таблице 8.
7.2.2.2 Компоновка по схеме тандем
При расчете эквивалентной радиальной нагрузки двух одинаковых радиально-упорных роликовых однорядных подшипников, смонтированных рядом на одном валу и работающих как единый узел (сдвоенный подшипник), скомпонованный по схеме тандем, используют значения
X и
Y для однорядных подшипников, приведенные в
таблице 8.
Таблица 8
Значения
X и
Y для радиально-упорных роликовых подшипников
Тип подшипника | | | e |
X | Y | X | Y |
Однорядный,  | 1 | 0 | 0,40 | | |
Двухрядный,  | 1 | | 0,67 | | |
7.3.1 Формула ресурса
Номинальный ресурс радиального и радиально-упорного роликового подшипника вычисляют по формуле ресурса

. (16)
Значения
Cr и
Pr рассчитывают в соответствии с
7.1 и
7.2.
Эту формулу ресурса используют также для определения ресурса двух или более однорядных подшипников, работающих как единый узел, как указано в
7.1.2. В этом случае грузоподъемность
Cr вычисляют для всей компоновки подшипников в целом, а эквивалентную нагрузку
Pr вычисляют исходя из общей нагрузки, действующей на компоновку, с использованием значений
X и
Y, указанных в
7.2.2.
7.3.2 Ограничения для нагрузки в формуле ресурса
Формула ресурса дает удовлетворительные результаты вычисления в широком диапазоне нагрузок, действующих на подшипник. Однако сверхтяжелые нагрузки могут вызвать резкую концентрацию напряжений в некоторой части площадки контактов роликов с дорожкой качения. Поэтому потребитель должен проконсультироваться у изготовителя подшипников относительно применимости формулы ресурса в случаях, когда Pr превышает 0,5 Cr.
Очень легкие нагрузки могут вызвать разные виды повреждений. Эти виды повреждений не рассматриваются в настоящем стандарте.
8 Упорные и упорно-радиальные роликовые подшипники
8.1 Динамическая осевая грузоподъемность
8.1.1 Динамическая осевая грузоподъемность однорядных подшипников
Упорный и упорно-радиальный роликовый подшипник рассматривают как однорядный подшипник только в том случае, если все ролики, передающие нагрузку в одном направлении, имеют одну и ту же область контакта с дорожкой качения кольца.
Динамическую осевую грузоподъемность упорного роликового однорядного одинарного или двойного подшипника с углом контакта

, равным 90°, вычисляют по формуле

, (17)
а упорно-радиального подшипника с углом контакта

менее 90° вычисляют по формуле

, (18)
где Z - число роликов, несущих нагрузку в одном направлении.
Если несколько роликов по одну сторону от оси подшипника установлены так, что их оси совпадают, то эти ролики рассматривают как один ролик длиной
Lwe, равной сумме длин нескольких роликов (см.
3.12).
Значения
bm и
fc приведены в
таблицах 9 и
10, соответственно. Эти значения являются максимальными и применимы только к роликовым подшипникам, у которых под воздействием нагрузки на подшипник контактное напряжение распределено равномерно вдоль наиболее нагруженной площадки контакта ролика с дорожкой качения.
Таблица 9
и упорно-радиальных роликовых подшипников
Тип подшипника | bm |
Роликовый цилиндрический подшипник и роликовый игольчатый подшипник | 1,00 |
Роликовый конический подшипник | 1,10 |
Роликовый сферический подшипник | 1,15 |
Если под воздействием нагрузки в какой-то части площадки контакта роликов с дорожкой качения имеется резко выраженная концентрация напряжения, следует использовать значения
fc меньшие, чем указанные в
таблице 10. Такие концентрации напряжений можно ожидать, например, в центре площадки номинально точечных контактов или на краях площадки линейных контактов, в подшипниках, где ролики не имеют точного направления, а также в подшипниках с роликами, длина которых превышает их диаметр более чем в 2,5 раза.
Таблица 10
для упорных и упорно-радиальных роликовых подшипников
| fc | | fc |
| | | |
0,01 | 105,4 | 0,01 | 109,7 | 107,1 | 105,6 |
0,02 | 122,9 | 0,02 | 127,8 | 124,7 | 123 |
0,03 | 134,5 | 0,03 | 139,5 | 136,2 | 134,3 |
0,04 | 143,4 | 0,04 | 148,3 | 144,7 | 142,8 |
0,05 | 150,7 | 0,05 | 155,2 | 151,5 | 149,4 |
0,06 | 156,9 | 0,06 | 160,9 | 157,0 | 154,9 |
0,07 | 162,4 | 0,07 | 165,6 | 161,6 | 159,4 |
0,08 | 167,2 | 0,08 | 169,5 | 165,5 | 163,2 |
0,09 | 171,7 | 0,09 | 172,8 | 168,7 | 166,4 |
0,10 | 175,7 | 0,10 | 175,5 | 171,4 | 169,0 |
0,11 | 179,5 | 0,11 | 177,8 | 173,6 | 171,2 |
0,12 | 183,0 | 0,12 | 179,7 | 175,4 | 173,0 |
0,13 | 186,3 | 0,13 | 181,1 | 176,8 | 174,4 |
0,14 | 189,4 | 0,14 | 182,3 | 177,9 | 175,5 |
0,15 | 192,3 | 0,15 | 183,1 | 178,8 | 176,3 |
0,16 | 195,1 | 0,16 | 183,7 | 179,3 | - |
0,17 | 197,7 | 0,17 | 184,0 | 179,6 | - |
0,18 | 200,3 | 0,18 | 184,1 | 179,7 | - |
0,19 | 202,7 | 0,19 | 184,0 | 179,6 | - |
0,20 | 205,0 | 0,20 | 183,7 | 179,3 | - |
0,21 | 207,2 | 0,21 | 183,2 | - | - |
0,22 | 209,4 | 0,22 | 182,6 | - | - |
0,23 | 211,5 | 0,23 | 181,8 | - | - |
0,24 | 213,5 | 0,24 | 180,9 | - | - |
0,25 | 215,4 | 0,25 | 179,8 | - | - |
0,26 | 217,3 | 0,26 | 178,7 | - | - |
0,27 | 219,1 | - | - | - | - |
0,28 | 220,9 | - | - | - | - |
0,29 | 222,7 | - | - | - | - |
0,30 | 224,3 | - | - | - | - |
<a> Значения fc для промежуточных значений  или  определяют линейным интерполированием. <b> Применимы для углов контакта  более 45° и менее 60°. <c> Применимы для углов контакта  не менее 60° и менее 75°. <d> Применимы для углов контакта  не менее 75° и менее 90°. |
Меньшие значения fc следует также применять к роликовым упорным подшипникам, у которых геометрические особенности вызывают чрезмерное скольжение в зоне контакта ролика с дорожкой качения, например, у подшипников с цилиндрическими роликами, имеющими длину, сравнимую с диаметром центровой окружности роликов.
8.1.2 Динамическая осевая грузоподъемность подшипников с двумя или более рядами роликов
Динамическую осевую грузоподъемность упорных и упорно-радиальных роликовых подшипников с двумя или более рядами роликов, несущих нагрузку в одном направлении, вычисляют по формуле

. (19)
Грузоподъемности
Ca1,
Ca2, ...,
Can для рядов с числом роликов
Z1,
Z2, ...,
Zn длиной
Lwe1,
Lwe2, ...,
Lwen вычисляют по соответствующей формуле для однорядного подшипника, данной в
8.1.1.
Ролики и/или часть общего числа роликов, имеющие одну и ту же область контакта с дорожкой качения кольца, относят к одному ряду.
8.1.3 Динамическая осевая грузоподъемность комбинаций подшипников
8.1.3.1 Компоновка по схеме тандем
Динамическая осевая грузоподъемность двух или более одинаковых упорных или упорно-радиальных роликовых одинарных подшипников, смонтированных рядом на одном валу так, что они работают как единый узел (сдвоенный подшипник или комплект подшипников), скомпонованный по схеме тандем, равна грузоподъемности одного подшипника, умноженной на число подшипников в степени 7/9. Для равномерного распределения нагрузки между подшипниками их необходимо должным образом изготовить и смонтировать.
8.1.3.2 Независимо заменяемые подшипники
Положения
8.1.3.1 не применимы, если по каким-либо техническим основаниям компоновка подшипников рассматривается как ряд подшипников, заменяемых независимо друг от друга.
8.2 Динамическая эквивалентная осевая нагрузка
Динамическую эквивалентную осевую нагрузку упорно-радиальных роликовых подшипников с углом контакта

менее 90° при постоянной радиальной и осевой нагрузке вычисляют по формуле
Таблица 11
Значения
X и
Y для упорно-радиальных роликовых подшипников
Тип подшипника | | | e |
X | Y | X | Y |
Одинарный  | - <a> | - <a> | | 1 | |
Двойной  | | 0,67 | | 1 | |
<a> Отношение Fa/Fr <= e не применимо для одинарных подшипников. |
Упорные роликовые подшипники с углом контакта

, равным 90°, могут воспринимать только осевые нагрузки. Динамическую эквивалентную осевую нагрузку этого типа подшипников вычисляют по формуле
8.3.1 Формула ресурса
Номинальный ресурс упорного и упорно-радиального роликового подшипника вычисляют по формуле ресурса

. (22)
Значения
Ca и
Pa рассчитывают в соответствии с
8.1 и
8.2.
Эту формулу ресурса используют также для определения ресурса двух или более упорных и упорно-радиальных одинарных роликовых подшипников, работающих как единый узел, как указано в
8.1.3. В этом случае грузоподъемность
Ca вычисляют для всей компоновки подшипников в целом, а эквивалентную нагрузку
Pa вычисляют исходя из общей нагрузки, действующей на компоновку, с использованием значений
X и
Y, данных в
8.2 для одинарных подшипников.
8.3.2 Ограничения для нагрузки в формуле ресурса
Формула ресурса дает удовлетворительные результаты вычислений в широком диапазоне нагрузок, действующих на подшипник. Однако сверхтяжелые нагрузки могут вызвать резкую концентрацию напряжений в некоторой части площадки контактов роликов с дорожкой качения. Поэтому потребитель должен проконсультироваться у изготовителя подшипников относительно применимости формулы ресурса в случаях, когда Pa превышает 0,5 Ca.
Очень легкие нагрузки могут вызвать разные виды повреждений. Эти виды повреждений не рассматриваются в настоящем стандарте.
9 Модифицированный ресурс
В течение многих лет применение номинального ресурса L10 в качестве критерия работоспособности подшипника давало удовлетворительные результаты. Этот ресурс соответствует 90% вероятности безотказной работы, при хорошем качестве изготовления из обычно применяемых материалов и нормальных условиях эксплуатации.
Однако для многих видов применения оказалось целесообразным рассчитывать ресурс при различных значениях вероятности безотказной работы и/или более точно рассчитывать ресурс при определенных условиях смазки и состояниях загрязненности. Для современной подшипниковой стали высокого качества было обнаружено, что при благоприятных условиях эксплуатации и при известном понижении герцевского напряжения в контакте тела качения, можно достичь значительно большего ресурса подшипника, по сравнению с ресурсом L10, если не превышен предел усталостного напряжения подшипниковой стали. С другой стороны, при неблагоприятных условиях эксплуатации можно получить ресурсы подшипника меньшие, чем L10.
В настоящем стандарте применен системный подход для расчета ресурса по усталости. Такой метод рассматривает влияние на ресурс системы, обусловленной изменением и взаимодействием взаимосвязанных факторов, как отнесение всех факторов к возникновению дополнительного напряжения в контакте тел качения и под областью контакта.
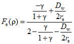
В настоящем стандарте в добавление к коэффициенту модификации a1 на базе системного подхода расчета ресурса введен коэффициент модификации ресурса aISO. Эти коэффициенты применяют в формуле модифицированного ресурса
Коэффициент модификации ресурса по вероятности безотказной работы
a1 для ряда значений вероятности безотказной работы приведен в
9.2, а метод определения коэффициента модификации системного подхода,
aISO, подробно описан в
9.3.
9.2 Коэффициент модификации ресурса по вероятности безотказной работы
Вероятность безотказной работы определена в
3.2. Модифицированный ресурс вычисляют по
формуле (23), а значения коэффициента модификации ресурса по вероятности безотказной работы
a1 даны в
таблице 12.
Примечание - В
таблице 12 значения
a1 для вероятности безотказной работы от 95% до 99% были незначительно изменены по сравнению с соответствующими значениями в предыдущем издании настоящего стандарта.
Таблица 12
Коэффициент модификации ресурса
по вероятности безотказной работы
Вероятность безотказной работы, % | Lnm | a1 |
90 | L10m | 1,00 |
95 | L5m | 0,64 |
96 | L4m | 0,55 |
97 | L3m | 0,47 |
98 | L2m | 0,37 |
99,0 | L1,0m | 0,25 |
99,2 | L0,8m | 0,22 |
99,4 | L0,6m | 0,19 |
99,6 | L0,4m | 0,16 |
99,8 | L0,2m | 0,12 |
99,90 | L0,1m | 0,093 |
99,92 | L0,08m | 0,087 |
99,94 | L0,06m | 0,080 |
99,95 | L0,05m | 0,077 |
9.3 Системный коэффициент модификации
9.3.1 Общие положения
При нагрузке ниже некоторого определенного значения современный высококачественный подшипник может достигать бесконечного ресурса, если условия смазки, чистота и другие условия эксплуатации являются благоприятными.
Для подшипников качения из обычно используемого материала хорошего качества и при хорошем качестве изготовления предел усталостного напряжения достигается при контактном напряжении, приблизительно равном 1500 МПа. Это значение напряжения учитывает дополнительные напряжения, вызванные допусками на размер и условиями эксплуатации. Снижение точности изготовления и/или качества материала приводит к снижению предела усталостного напряжения.
Однако в большинстве видов практического применения контактные напряжения больше чем 1500 МПа и, к тому же, условия эксплуатации могут быть причиной дополнительных напряжений, что повлечет дальнейшее снижение ресурса подшипника.
Все рабочие параметры можно соотнести с приложенными напряжениями и выносливостью материала, например:
- вмятины являются причиной краевых напряжений;
- недостаточная толщина масляной пленки является причиной увеличения напряжений в зоне контакта между дорожкой качения и телом качения;
- повышенная температура снижает предел усталостного напряжения материала, т.е. его выносливость;
- тугая посадка внутреннего кольца является причиной окружных напряжений.
Различные воздействия на ресурс подшипника взаимозависимы. Поэтому системный подход при расчете ресурса по усталости является наиболее предпочтительным, поскольку при этом учитываются изменения и взаимодействие взаимозависимых факторов, влияющих на ресурс системы. Для выполнения расчетов модифицированного ресурса, реализующего системный подход, были разработаны практические методы определения коэффициента модификации ресурса
aISO, который учитывает предел усталостного напряжения подшипниковой стали и позволяет легко определить влияние условий смазки и загрязнений на ресурс подшипника (смотри
9.3.3).
Теоретическое обоснование учета дополнительных воздействий: рабочего радиального зазора и неравномерности напряжения сжатия на дорожке качения при перекосе подшипника - представлено в ISO/TS 16281
[1].
9.3.2 Предел усталостной нагрузки
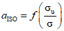
Коэффициент модификации ресурса
aISO можно выразить как функцию от величины

, являющийся отношением предела усталостного напряжения к действительному напряжению, в котором принимается во внимание столько влияющих факторов, сколько возможно (смотри
рисунок 1).
Рисунок 1 - Коэффициент модификации ресурса,
aISO
Кроме того, график на
рисунке 1 иллюстрирует, как при применении критерия усталости для определенных условий смазки
aISO асимптотически приближается к бесконечности и остается равным бесконечности, когда действительное напряжение

снижается и становится меньше предела усталостного напряжения

. При расчете ресурса подшипника в качестве критерия усталости традиционно использовали ортогональное касательное напряжение (см.
ссылку [3] в библиографии). Поэтому график на
рисунке 1 может также базироваться на усталостной выносливости по сдвигу.
График на
рисунке 1 можно выразить следующей формулой

. (24)
Напряжение, определяющее усталость на дорожке качения, главным образом, зависит от распределения нагрузки внутри подшипника и от распределения подповерхностных напряжений в наиболее нагруженном контакте. Для упрощения практических расчетов введен предел усталостной нагрузки
Cu (смотри
ссылку [3]).
Аналогично статической грузоподъемности по
ГОСТ 18854,
Cu определяется как нагрузка, при которой в наиболее нагруженном контакте дорожки качения достигается предел усталостного напряжения

. Кроме того, отношение

можно адекватно приблизить отношением
Cu/
P и коэффициент модификации ресурса
aISO выразить как:

. (25)
При расчете Cu следует учитывать влияние следующих факторов:
- тип, размер и внутреннюю геометрию подшипника;
- профиль тел качения и дорожек качения;
- качество изготовления;
- предел усталостного напряжения материала дорожек качения.
Значения предела усталостной нагрузки
Cu могут быть определены по формулам, приведенным в
приложении В.
9.3.3 Практические методы оценки коэффициента модификации ресурса
9.3.3.1 Общие положения
Современная технология дает возможность определить aISO путем сочетания теории, при ее компьютерной поддержке, с экспериментальной проверкой и практическим опытом. Кроме типа подшипника, предела усталостной нагрузки и нагрузки подшипника, коэффициент aISO в настоящем стандарте учитывает влияние таких факторов, как:
- условия смазки (тип смазочного материала, вязкость, частота вращения подшипника, размер подшипника, присадки);
- окружающая среда (уровень загрязнения, уплотнения);
- частицы загрязняющего вещества (твердость и размер частиц по отношению к размеру подшипника, метод смазывания, фильтрация);
- монтаж (соблюдение чистоты во время монтажа, например, тщательная промывка узла, фильтрация поставляемого масла).
Влияние зазора и перекоса подшипника на ресурс подшипника представлено в ISO/TS 16281
[1].
Коэффициент модификации ресурса aISO можно вывести из следующего уравнения

. (26)
Коэффициенты
eC и

учитывают загрязнение и условия смазки. Эти коэффициенты рассматриваются в
9.3.3.2 и
9.3.3.3.
Значения коэффициента модификации ресурса
aISO для соответствующего типа подшипника могут быть определены по графикам на
рисунках 3 -
6.
9.3.3.2 Коэффициент загрязнения
Если смазочный материал загрязнен твердыми частицами, то в результате перекатывания этих частиц могут образовываться остаточные вмятины на дорожке качения. В местах этих вмятин происходит повышение локального напряжения, которое ведет к снижению ресурса подшипника. Это снижение ресурса вследствие загрязнения масляной пленки учитывается коэффициентом загрязнения eC.
Снижение ресурса в результате присутствия твердых частиц в масляной пленке зависит от таких факторов, как:
- тип, размер, твердость и количество частиц;
- толщина масляной пленки (относительная вязкость

, смотри
9.3.3.3);
- размер подшипника.
Ориентировочные значения коэффициента загрязнения можно выбрать в
таблице 13, в которой приведены типичные уровни загрязнения для хорошо смазанных подшипников. Более точные и подробные справочные значения можно получить, используя графики или формулы в
приложении А. Эти величины действительны для смеси из частиц разной твердости и прочности, в которой твердые частицы определяют модифицированный ресурс. Если присутствуют крупные твердые частицы, которые выходят за пределы размеров, предполагаемых классами чистоты по ISO 4406
<*> [7], то ресурс подшипника может оказаться значительно меньше расчетного ресурса.
--------------------------------
Таблица 13
Коэффициент загрязнения,
eC
Уровень загрязнения | eC |
Dpw < 100 мм | Dpw >= 100 мм |
Сверхвысокий уровень чистоты. Размер частиц соизмерим с толщиной масляной пленки; лабораторные условия | 1 | 1 |
Высокий уровень чистоты. Масло отфильтровано сверхтонким фильтром; типичные условия для подшипников ресурсного смазывания с уплотнениями | от 0,6 до 0,8 | от 0,8 до 0,9 |
Нормальный уровень чистоты. Масло отфильтровано тонким фильтром; типичные условия для подшипников ресурсного смазывания с защитными шайбами | от 0,5 до 0,6 | от 0,6 до 0,8 |
| | ИС МЕГАНОРМ: примечание. Значение во втором столбце дано в соответствии с официальным текстом документа. | |
|
Легкий уровень загрязнения. Присутствие незначительного загрязнения в смазочном материале | от 0,3 от 0,5 | от 0,4 до 0,6 |
Типичное загрязнение. Типичные условия для подшипников без встроенных уплотнений; проточная фильтрация; частички износа и загрязнения из окружающей среды | от 0,1 до 0,3 | от 0,2 до 0,4 |
Сильное загрязнение. Окружающая среда подшипника очень загрязнена и подшипниковый узел не уплотнен надлежащим образом | от 0 до 0,1 | от 0 до 0,1 |
Очень сильное загрязнение | 0 | 0 |
Загрязнение водой или другими жидкостями в данном стандарте не рассматривается.
В случае сильного загрязнения (когда eC приближается к нулю) отказ может быть вызван износом, и ресурс подшипника может оказаться значительно ниже расчетного модифицированного ресурса.
9.3.3.3 Относительная вязкость
9.3.3.3.1 Расчет относительной вязкости
Эффективность смазочного материала главным образом определяется степенью разделения контактирующих поверхностей качения. Для образования соответствующей разделительной смазочной пленки смазочный материал должен обладать определенной минимальной вязкостью при достижении подшипником рабочей температуры. Условие разделения смазочным материалом характеризуется относительной вязкостью

, являющейся отношением действительной кинематической вязкости

к номинальной кинематической вязкости

. Значение кинематической вязкости

принимают при рабочей температуре смазочного материала.

. (27)
Для образования соответствующей масляной пленки между контактирующими поверхностями качения смазочный материал должен сохранять определенную минимальную вязкость при рабочей температуре. Ресурс подшипника может увеличиться при увеличении кинематической вязкости

.
Номинальную кинематическую вязкость

можно определить при помощи графика на
рисунке 2 с учетом частоты вращения подшипника и диаметра центровой окружности
Dpw [можно также использовать средний диаметр подшипника 0,5 (
d +
D)] или вычислить по следующим формулам:

для
n < 1000 мин
-1, (28)

для
n >= 1000 мин
-1. (29)
Рисунок 2 - Номинальная кинематическая вязкость

9.3.3.3.2 Ограничения при расчете коэффициента вязкости
Расчет

базируется на применении минеральных масел и механической обработки поверхностей дорожек качения подшипника при хорошем качестве изготовления.
График на
рисунке 2 и
формулы (28) и
(29) также можно приближенно использовать для синтетических масел, например синтетических масел углеводородного типа (SHC), для которых более высокий индекс вязкости (малое изменение вязкости в зависимости от температуры) компенсируется более высоким пьезокоэффициентом вязкости у минеральных масел, и в силу этого создается почти одинаковая масляная пленка при различных рабочих температурах, если масло обоих типов имеет одинаковую вязкость при 40 °C.
Однако если есть необходимость в более точной оценке значения

, например, для особой чистоты обработки поверхности дорожки качения, специфического пьезокоэффициента вязкости, конкретной плотности, и т.д., можно применить параметр пленки

. Этот параметр пленки хорошо известен в литературе, например по
ссылке [4].
Если рассчитан параметр

, то значение

можно приближенно оценить по следующей формуле

. (30)
9.3.3.3.3 Пластичный смазочный материал
График на
рисунке 2 и
формулы (28) и
(29) в равной мере применимы к вязкости базового масла пластичного смазочного материала. При использовании пластичного смазочного материала контакты могут работать в условиях сильного голодания из-за плохой текучести пластичного смазочного материала, ведущей к плохой смазке и возможному снижению ресурса.
9.3.3.3.4 Учет противозадирных присадок
В случае, когда относительная вязкость

и коэффициент загрязнения
eC >= 0,2 при этой относительной вязкости, то можно использовать значение

при расчете
eC и
aISO, если используется смазочный материал с апробированными эффективными противозадирными присадками. В этом случае коэффициент модификации ресурса,
aISO, должен быть ограничен до
aISO <= 3 по отношению к коэффициенту модификации ресурса,
aISO, рассчитанному для обычных смазочных материалов с действительным значением

, если это значение
aISO больше 3.
Мотивация увеличения значения

заключается в том, что можно ожидать благотворного эффекта сглаживания контактирующих поверхностей, если применяют эффективную противозадирную присадку. В случае сильного загрязнения (коэффициент загрязнения
eC < 0,2) эффективность противозадирных присадок следует проверить при фактическом загрязнении смазочного материала. Эффективность противозадирных присадок должна быть проверена в реальных условиях эксплуатации или при соответствующем испытании подшипника.
9.3.3.4 Расчет коэффициента модификации ресурса
Ориентировочные значения коэффициента загрязнения
eC можно взять из
таблицы 13. Более точные и более подробные ориентировочные значения можно определить из графиков или формул, приведенных в
приложении А.
На практике коэффициент модификации ресурса следует ограничить aISO <= 50. Это ограничение применимо также при eCCu/P > 5.
При

следует использовать значение

.
Если значение

, то при существующем в настоящее время опыте расчет коэффициента
aISO невозможен и значения
aISO для

выходят за пределы формул и графиков.
Рисунок 3 - Коэффициент модификации ресурса,
aISO,
для радиальных и радиально-упорных шариковых подшипников
Кривые на
рисунке 3 основаны на следующих формулах:

для

, (31)

для

, (32)

для

. (33)
Рисунок 4 - Коэффициент модификации ресурса,
aISO,
для радиальных и радиально-упорных роликовых подшипников
Кривые на
рисунке 4 основаны на следующих формулах:

для

, (34)

для

, (35)

для

. (36)
Рисунок 5 - Коэффициент модификации ресурса,
aISO,
для упорных и упорно-радиальных шариковых подшипников
Кривые на
рисунке 5 основаны на следующих формулах:

для

, (37)

для

, (38)

для

. (39)
Рисунок 6 - Коэффициент модификации ресурса,
aISO,
для упорных и упорно-радиальных роликовых подшипников
Кривые на
рисунке 6 основаны на следующих формулах:

для

, (40)

для

, (41)

для

. (42)
(справочное)
ПОДРОБНЫЙ МЕТОД ОЦЕНКИ КОЭФФИЦИЕНТА ЗАГРЯЗНЕНИЯ
А.1 Общие положения
Упрощенный метод оценки значения коэффициента загрязнения,
eC, приведен в
9.3.3.2. Настоящее приложение дает более совершенный и подробный метод расчета коэффициента
eC, и, кроме этого, разъясняет посредством графиков степень влияния различных действующих факторов на загрязнение. После того как
eC определен, он используется для расчета коэффициента модификации ресурса в соответствии с
пунктом 9.3.3.4.
Коэффициенты загрязнения можно определить либо посредством графиков, либо вычислить по формулам для следующих способов смазывания:
- циркуляционное смазывание маслом, отфильтрованным встроенными фильтрами перед подачей к подшипникам,
- смазывание масляной ванной или циркуляционное смазывание маслом, отфильтрованным автономными фильтрами,
- смазывание пластичным смазочным материалом.
Для оценки влияния загрязнения на коэффициент
eC, в случае смазывания масляным туманом, см. ISO/TR 1281-2
[2].
А.2 Обозначения
В настоящем приложении применены обозначения
раздела 4, а также указанные ниже.
x - размер частички загрязнения в мкм(с) с калибровкой по ГОСТ Р ИСО 11171
[5]

- коэффициент фильтрования при размере частиц загрязнения
x (обозначение
x см. выше)
Обозначение (
c) подразумевает то, что счетчики частиц - частиц размером
x мкм - будут откалиброваны APC (автоматическим оптическим счетчиком одиночных частиц) по ГОСТ Р ИСО 11171
[5].
А.3 Условия для выбора графиков и формул для различных методов смазывания
А.3.1 Циркулирующее масло со встроенными фильтрами
Коэффициент фильтрования

для частиц размером
x мкм(с) в соответствии с
ГОСТ Р ИСО 16889 [6] является наиболее влиятельным фактором при выборе графиков и формул. Кроме того, на этих графиках указан уровень загрязнения, соответствующий диапазону кода чистоты по ISO 4406
[7]. Уровень загрязнения главным образом соответствует состоянию масла до прохождения его через встроенный фильтр.
Примечание - Исследования точности измерения чистоты масла посредством отбора проб масел привело к заключению, что определить чистоту масла с какой-либо степенью точности крайне трудно. Даже соблюдая все меры предосторожности, очень трудно не загрязнить пробу масла и, кроме того, существует риск включения выкристаллизовавшихся присадок масла при подсчете частиц. Риск получения неправильных результатов измерения обусловлен тем, что внешнее загрязнение является максимальным при анализе очень чистых масел.
Чистота циркулирующего масла в применениях со встроенным фильтром обычно улучшается, если масло в определенный период времени проходит через фильтр. Поэтому общий уровень загрязнения масла перед прохождением через встроенный фильтр может обеспечить наилучшие показатели фактической чистоты масла в системах с циркуляцией масла. Трудность, связанная с точным измерением чистоты масла, является причиной применения коэффициента фильтрации

для частиц размером
x как наиболее влияющего коэффициента при выборе подходящего графика
eC или формулы для встроенных систем с циркуляцией масла
А.3.2 Смазывание в масляной ванне
Для систем смазывания в масляной ванне и смазывания циркулирующим маслом при применении только фильтров вне системы, выбор графиков или формул определяется требуемым уровнем загрязнения, данным как диапазон классов чистоты согласно ISO 4406.
А.3.3 Пластичный смазочный материал
Для пластичного смазочного материала рекомендуемый выбор графиков и формул для различных уровней чистоты указан в
таблице А.1, и этот выбор должен базироваться только на этой
таблице.
А.3.4 Монтаж подшипника и подача масла
Для достижения прогнозируемых ресурсов подшипника важно, чтобы подшипник работал в предполагаемых условиях с самого запуска и после подачи нового масла к системе смазывания.
Поэтому очень важной процедурой является тщательная промывка узла подшипника после монтажа, и особо высокие требования предъявляются, если подшипники будут работать в условиях повышенной чистоты. Важно также, чтобы новые масла были отфильтрованы перед подачей в масляную систему. Этот фильтр должен быть таким же качественным, но более эффективным, чем фильтры, применяемые для масляной системы.
А.4 Коэффициент загрязнения, eC, для циркуляционного масляного смазывания со встроенными фильтрами
Для систем циркулирующего масла со встроенным фильтром коэффициент загрязнения
eC перед подачей масла к подшипникам можно определить посредством графиков или формул на
рисунках А.1 -
А.4. Сначала по коэффициенту фильтрования

определяют выбор графика или формулы, и в этом случае для выбранного
x(
c) значение

должно быть такими же или выше значения, показанного для каждой диаграммы. Масляная система должна также иметь чистоту в пределах ряда, указывающего коды чистоты по ISO 4406.
Ряд кодов по ISO 4406: -/13/10, -/12/10, -/13/11, -/14/11
Рисунок А.1 - Коэффициент
eC для циркуляционного масляного
смазывания со встроенными фильтрами -

,
код по ISO 4406 -/13/10
Ряд кодов по ISO 4406: -/15/12, -/16/12, -/15/13, -/16/13
Рисунок А.2 - Коэффициент eC для циркуляционного масляного
смазывания со встроенными фильтрами -

,
код по ISO 4406 -/15/12
Ряд кодов по ISO 4406: -/17/14, -/18/14, -/18/15, -/19/15
Рисунок А.3 - Коэффициент eC для циркуляционного масляного
смазывания со встроенными фильтрами -

,
код по ISO 4406 -/17/14
Ряд кодов по ISO 4406: -/19/16, -/20/17, -/21/18, -/22/18
Рисунок А.4 - Коэффициент
eC для циркуляционного масляного
смазывания со встроенными фильтрами -

,
код по ISO 4406 -/19/16
А.5 Коэффициент загрязнения eC для смазывания маслом без фильтрации или с применением автономных фильтров
При смазывании маслом без фильтрации или при применении автономных фильтров коэффициент загрязнения
eC можно определить, используя графики или формулы на
рисунках А.5 -
А.9. Ряд кодов чистоты по ISO 4406, указанных для каждого рисунка, следует использовать для выбора подходящего графика или формулы.
Ряд кодов по ISO 4406: -/13/10, -/12/10, -/11/9, -/12/9
Рисунок А.5 - Коэффициент
eC для смазки маслом
без фильтрации или при применении автономных фильтров,
код -/13/10 по ISO 4406
Ряд кодов по ISO 4406: -/15/12, -/14/12, -/16/12, -/16/13
Рисунок А.6 - Коэффициент eC для смазывания маслом
без фильтрации или с применением автономных фильтров,
код -/15/12 по ISO 4406
Ряд кодов по ISO 4406: -/17/14, -/18/14, -/18/15, -/19/15
Рисунок А.7 - Коэффициент eC для смазывания маслом
без фильтрации или с применением автономных фильтров,
код -/17/14 по ISO 4406
Ряд кодов по ISO 4406: -/19/16, -/18/16, -/20/17, -/21/17
Рисунок А.8 - Коэффициент eC для смазывания маслом
без фильтрации или с применением автономных фильтров,
код -/19/16 по ISO 4406
Ряд кодов по ISO 4406 codes:
-/21/18, -/21/19, -/22/19, -/23/19
Рисунок А.9 - Коэффициент
eC для смазывания маслом
без фильтрации или с применением автономных фильтров,
код -/21/18 по ISO 4406
А.6 Коэффициент загрязнения eC для пластичного смазочного материала
Для пластичного смазочного материала коэффициент загрязнения
eC можно определить, используя графики или формулы на
рисунках А.10 -
А.14.
Таблицу А.1 следует использовать для выбора подходящего графика или формулы. Выбирают строку
таблицы с условиями эксплуатации, которые наиболее полно отвечают действительным условиям.
Таблица А.1
Выбор графиков и формул для пластичного смазочного материала
Условия эксплуатации | Уровень загрязнения |
Очень чистый, тщательно промытый узел; очень хорошая герметизация подшипника относительно рабочей среды; повторное смазывание производится непрерывно или через короткие интервалы времени Закрытые подшипники ресурсного смазывания с эффективной герметизацией относительно рабочей среды | |
Чистый, промытый узел; хорошая герметизация подшипника относительно рабочей среды; повторное смазывание согласно техническим условиям изготовителя Закрытые подшипники ресурсного смазывания с надлежащей герметизацией относительно рабочей среды; например подшипники с защитными шайбами | |
Чистый узел; умеренная герметизация относительно рабочей среды; повторное смазывание согласно техническим условиям изготовителя | |
Узел в цеховых условиях; подшипник и устройство после монтажа не промыты соответствующим образом; слабая герметизация относительно рабочей среды; интервалы повторного смазывания продолжительнее, чем рекомендовано изготовителем | |
Узел расположен в загрязненной среде; недостаточная герметизация; длительные интервалы повторного смазывания | |

Рисунок А.10 - Коэффициент
eC для пластичного смазочного
материала - Высокая степень чистоты
Формула:

где

и при ограничении

Рисунок А.11 - Коэффициент
eC для пластичного смазочного
материала - Нормальная чистота
Формулы:
- Для
Dpw < 500 мм,

где

и

- Для
Dpw >= 500 мм,

где

и

Рисунок А.12 - Коэффициент
eC для пластичного смазочного
материала - Обычное слабое загрязнение
Рисунок А.13 - Коэффициент
eC для пластичного смазочного
материала - Сильное загрязнение
Рисунок А.14 - Коэффициент
eC для пластичного смазочного
материала - Очень сильное загрязнение
(справочное)
РАСЧЕТ ПРЕДЕЛА УСТАЛОСТНОЙ НАГРУЗКИ
Б.1 Общие положения
Настоящее приложение содержит рекомендации для расчета предела усталостной нагрузки, Cu, с учетом типа подшипника, размера и внутренней геометрии подшипника, профиля тел качения и дорожек качения и предела усталостного напряжения материала дорожки качения.
Для применения этой процедуры используют указания и ограничения, приведенные в настоящем стандарте.
Предел усталостной нагрузки
Cu не следует применять как единственный критерий для выбора подшипника. Подшипники качения не обязательно будут иметь бесконечный ресурс при нагрузках подшипника ниже предела усталостной нагрузки. При практическом применении подшипников качения граничная или смешанная смазка и загрязнение смазочного материала могут привести к увеличению напряжений в материале дорожек качения, так что даже в случае, если нагрузка подшипника ниже предела усталостной нагрузки, предел усталостного напряжения материала дорожки качения может быть локально превышен. Такие влияния условий смазки и загрязнения смазочного материала учитывают в методах расчета ресурса, описанных в
9.3 и
приложении А.
Б.2 Обозначения
В настоящем приложении применены обозначения
раздела 4, а также приведенные ниже.
E - модуль упругости в ньютонах на миллиметр квадратный
E(X) - полный эллиптический интеграл второго рода
e - подстрочный знак для наружного кольца или свободного кольца

- относительная разность кривизны
i - подстрочный знак для внутреннего кольца или тугого кольца
K(X) - полный эллиптический интеграл первого рода
Qu - предел усталостной нагрузки единичного контакта в ньютонах
re - радиус желоба дорожки качения в поперечном сечении наружного кольца в миллиметрах
ri - радиус желоба дорожки качения в поперечном сечении внутреннего кольца в миллиметрах
X - отношение большой полуоси эллипса контакта к малой полуоси
y - вспомогательный параметр,


- угловое положение тела качения в градусах

- коэффициент Пуассона

- кривизна поверхности контакта в миллиметрах в минус первой степени

- суммарная кривизна в миллиметрах в минус первой степени

- Герцевское контактное напряжение, при котором достигается предел усталостного напряжения материала дорожки качения в ньютонах на миллиметр квадратный.
Б.3 Предел усталостной нагрузки, Cu
Б.3.1 Общие положения
Коэффициент модификации ресурса,
aISO, можно выразить как функцию отношения
Cu/
P, т.е. предела усталостной нагрузки, деленного на динамическую эквивалентную нагрузку подшипника, как это объясняется в
9.3.2.
| | ИС МЕГАНОРМ: примечание. В официальном тексте документа, видимо, допущена опечатка: имеется в виду пункт Б.3.2, а не В.3.2. | |
Усовершенствованный метод расчета предела усталостной нагрузки
Cu подшипника показан в
В.3.2. Применялось контактное напряжение между телами качения и дорожками качения, равное 1500 МПа
<4>. Это контактное напряжение рекомендуется для подшипников качения, изготовленных из обычно применяемого материала высокого качества, в условиях хорошо налаженного производства.
| | ИС МЕГАНОРМ: примечание. Нумерация сносок дана в соответствии с официальным текстом документа. | |
--------------------------------
Упрощенный метод для приблизительной оценки
Cu приведен в
Б.3.3.
Б.3.2 Усовершенствованный метод расчета предела усталостной нагрузки Cu
Б.3.2.1 Предел усталостной нагрузки единичного контакта
Б.3.2.1.1 Общие положения
Пределом усталостной нагрузки единичного контакта является нагрузка, при которой напряжение материала дорожки качения достигает предела усталостного напряжения этого материала. Для точечного контакта эту нагрузку можно рассчитать аналитически, в то время как для профилированного линейного контакта требуется более сложный численный анализ.
Б.3.2.1.2 Шариковые подшипники
При расчете предела усталостной нагрузки следует применять фактический радиус кривизны шарика и дорожек качения.
Предел усталостной нагрузки в единичном контакте дорожки качения внутреннего кольца [тугого кольца] и единичном контакте дорожки качения наружного кольца [свободного кольца] вычисляют по формуле

. (Б.1)
Отношение большой полуоси к малой полуоси эллипса контакта определяют из уравнения

. (Б.2)

, (Б.3)
а полный эллиптический интеграл второго рода

. (Б.4)
Суммарная кривизна контактов дорожки качения внутреннего кольца [тугого кольца] в
уравнении (Б.1)

(Б.5)
и суммарная кривизна контактов наружного кольца [свободного кольца]

(Б.6)
Относительная разность кривизны контактов дорожки качения внутреннего кольца [тугого кольца]

(Б.7)
и относительная разность кривизны контактов дорожки качения наружного кольца [свободного кольца]

. (Б.8)
При расчете пределов усталостных нагрузок наиболее нагруженных площадок контактов на дорожке качения внутреннего кольца [тугого кольца], Qui, и на дорожке качения наружного кольца [свободного кольца], Que, учитывают действительную геометрию контакта, т.е. радиусы кривизны шарика и дорожки качения.
При расчете предела усталостной нагрузки, Cu, из двух рассчитанных значений Qui и Que применяют наименьшее значение, т.е.
Для контакта дорожки качения наружного кольца самоустанавливающихся шариковых подшипников допускается предел усталостной нагрузки на 60% выше, чем соответствующее значение для радиальных шариковых подшипников. По аналогии со статической грузоподъемностью по ГОСТ 18854, наибольшее контактное напряжение может быть принято в контакте дорожки качения наружного кольца.
Б.3.2.1.3 Роликовые подшипники
При расчете пределов усталостных нагрузок наиболее нагруженных площадок контакта на дорожке качения внутреннего кольца [тугого кольца], Qui, и на дорожке качения наружного кольца [свободного кольца], Que, учитывают действительную геометрию контакта, т.е. радиусы кривизны и профили тела качения и дорожки качения.
При расчете контактного напряжения в профильном линейном контакте требуется более сложный численный анализ. Приемлемые методы расчета описаны в
[8],
[9] и
[10]. Для линейного контакта цилиндрических тел в
[11] уравнения Герца не применимы.
Б.3.2.2 Предел усталостной нагрузки подшипника в сборе
Б.3.2.2.1 Общие положения
Предел усталостной нагрузки,
Cu, подшипника в сборе определяют путем подстановки минимального предела усталостной нагрузки наиболее нагруженной площадки контакта
Qu [смотри
формулу (Б.9)] в
формулы (Б.10) -
(Б.17), приведенные ниже.
Б.3.2.2.2 Радиальные и радиально-упорные шариковые подшипники

для
Dpw <= 100 мм (Б.10)

для
Dpw > 100 мм (Б.11)
Б.3.2.2.3 Упорные и упорно-радиальные шариковые подшипники

для
Dpw <= 100 мм (Б.12)

для
Dpw > 100 мм (Б.13)
Б.3.2.2.4 Радиальные и радиально-упорные роликовые подшипники

для
Dpw <= 100 мм (Б.14)

для
Dpw > 100 мм (Б.15)
Б.3.2.2.5 Упорные и упорно-радиальные роликовые подшипники

для
Dpw <= 100 мм (Б.16)

для
Dpw > 100 мм (Б.17)
Б.3.3 Упрощенный метод расчета предела усталостной нагрузки, Cu
Б.3.3.1 Общие положения
Для упрощенной оценки предела усталостной нагрузки,
Cu, шариковых и роликовых подшипников можно использовать
формулы (Б.18) -
(Б.21).
Примечание - Результаты упрощенной оценки могут значительно отличаться от результатов усовершенствованного метода, приведенного в
Б.3.2. Предпочтительными являются результаты усовершенствованного метода.
Б.3.3.2 Шариковые подшипники

для подшипников с
Dpw <= 100 мм (Б.18)

для подшипников с
Dpw > 100 мм (Б.19)
Б.3.3.3 Роликовые подшипники

для подшипников с
Dpw <= 100 мм (Б.20)

для подшипников с
Dpw > 100 мм (Б.21)
Примечание - Отношение C0/Cu = 8,2 частично учитывает профиль ролика.
(справочное)
РЕЗКОЕ ИЗМЕНЕНИЕ ПРИ РАСЧЕТЕ ДИНАМИЧЕСКОЙ ГРУЗОПОДЪЕМНОСТИ
В.1 Общие положения
Коэффициенты, используемые согласно настоящему стандарту для расчета динамических грузоподъемностей Cr и Ca, несколько различаются для радиально-упорных и упорно-радиальных шариковых подшипников. Также различны способы учета влияния осевой нагрузки на ресурс подшипника.
Поэтому существует резкое изменение расчетных ресурсов в случаях, когда подшипник с углом контакта

сначала рассматривается как радиально-упорный подшипник, а затем как упорно-радиальный подшипник. В обоих случаях подшипник воспринимает только одну и ту же внешнюю осевую нагрузку
Fa.
В данном приложении объясняется то, почему коэффициенты грузоподъемности для расчета динамических грузоподъемностей Cr, и, Ca различны, и указывается, как эти грузоподъемности можно рассчитать, чтобы произвести правильное сравнение в одних и тех же условиях.
В.2 Обозначения
В настоящем приложении применены обозначения
раздела 4, а также приведенные ниже.
Caa - скорректированная динамическая осевая грузоподъемность для упорно-радиального подшипника

в ньютонах;
Car - скорректированная динамическая осевая грузоподъемность для радиально-упорного подшипника

в ньютонах;
re - радиус желоба дорожки качения наружного кольца в поперечном сечении в миллиметрах;
ri - радиус желоба дорожки качения внутреннего кольца в поперечном сечении в миллиметрах;

- коэффициент контактного напряжения.
В.3 Отличие параметров при расчете грузоподъемности и эквивалентной нагрузки радиально-упорных и упорно-радиальных шариковых подшипников
При проведении сравнения ресурсов радиально-упорного и упорно-радиального подшипников предполагается, что оба подшипника воспринимают одинаковую внешнюю чисто осевую нагрузку Fa.
а) Для упорно-радиальных шариковых подшипников
- При расчете Ca учитывают:
- развал дорожек качения относительно шарика ri/Dw <= 0,54 и re/Dw <= 0,54,
- коэффициент контактного напряжения

,
- коэффициент Y (Ca = Cr/Y), где

(В.1)
б) Для радиально-упорных шариковых подшипников
при Ca = Cr/Y

(В.2)
- При расчете Cr учитывают;
- развал дорожек качения относительно шарика ri/Dw <= 0,52 и re/Dw <= 0,53,
- коэффициент контактного напряжения

.
Коэффициент
Y вычисляют по
формуле (В.1) в случае, если все шарики нагружены, что является обычным для упорно-радиальных подшипников. Выражение

в
формуле (В.1) учитывает отрицательное влияние того факта, что все шарики нагружены, и включено в значения
fc для упорно-радиальных шариковых подшипников в
таблице 4.
Радиально-упорные подшипники обычно имеют радиальную нагрузку, и многие шарики не нагружены или слабо нагружены. Поэтому отрицательное влияние выражения

было уменьшено при расчете коэффициентов
Y для радиально-упорных шариковых подшипников в
таблице 3.
В.4 Сравнение скорректированных динамических осевых грузоподъемностей Car, и Caa радиально-упорных и упорно-радиальных шариковых подшипников
В.4.1 Общие положения
Для определенных видов применения шариковые подшипники с углом контакта

и с углом контакта

изготавливаются с одним и тем же развалом дорожек качения относительно шарика, и иногда необходимо рассчитать, а также сравнить их фактические осевые грузоподъемности.
Динамические грузоподъемности Cr и Ca можно рассчитать, применяя данный международный стандарт, или взять из каталога по подшипникам, если они там имеются.
Однако, как описано в
В.3,
Cr и
Ca рассчитывают, используя различные значения развала, коэффициента

и коэффициента
Y для радиально-упорных и упорно-радиальных подшипников. Чтобы сделать правильный расчет и сравнение,
Cr, и
Ca должны быть пересчитаны на скорректированные динамические осевые грузоподъемности
Car, и
Caa, на основе тех же значений развала, коэффициента

и коэффициента
Y.
Перерасчет можно выполнить, применяя
формулы (В.3),
(В.4),
(В.7) и
(В.8) для двух различных развалов - развалов радиально-упорного и упорно-радиального подшипников - как это определено в
5.1 и
6.1.1.
Сравнение грузоподъемностей главным образом представляет интерес для подшипников, предназначенных для работы с преобладанием осевых нагрузок, и поэтому данное приложение касается сравнения динамических осевых грузоподъемностей.
Угол контакта

принимается постоянным, независимым от осевой нагрузки. Это значит, что точность снижается для подшипников с малыми углами контакта, воспринимающими тяжелые нагрузки.
В.4.2 Шариковые подшипники с развалами радиально-упорного подшипника
(ri/Dw <= 0,52 и re/Dw <= 0,53)

(В.3)

(В.5)

(В.6)
В.4.3 Шариковые подшипники с развалами упорно-радиального подшипника
(ri/Dw <= 0,54 и re/Dw <= 0,54)

(В.7)
В.5 Примеры
В.5.1 Шариковые подшипники с углом контакта 
Сравнить скорректированные динамические осевые грузоподъемности
Car, и
Caa шарикового подшипника с углом контакта

, когда он рассматривается как радиально-упорный подшипник и как упорно-радиальный подшипник. Для выбранного подшипника

и
i = 1. Подшипник имеет развалы радиально-упорного подшипника.
Как радиально-упорный подшипник
Cr вычисляют по
формуле (1), т.е.
Cr =
Kfc, где
K есть коэффициент, включающий все параметры, которые являются одинаковыми для этого радиально-упорного и упорно-радиального подшипника. Согласно
таблице 2,
fc = 59,6.
Как упорно-радиальный подшипник
Caa = 1,24 x K x 85,1 x tg 45° = 106 x K
Эти расчеты показывают, что динамические грузоподъемности Car ~= Caa, что подтверждает отсутствие резкого изменения.
В.5.2 Шариковые подшипники с углом контакта 
Рассчитать скорректированную динамическую осевую грузоподъемность
Car однорядного шарикового подшипника с углом контакта

. Подшипник имеет значения развалов упорно-радиального подшипника.
Dw/
Dpw = 0,091, диаметр шарика
Dw = 7,5 мм и число шариков
Z = 27.
Согласно
таблице 2, для (
Dw cos 40°)/
Dpw = 0,091 x cos 40° = 0,07, и тогда
fc = 51,1.

.
Примечание - Эта грузоподъемность базируется на значении развалов радиально-упорного подшипника
Car = 1,91 x tg 40° x (1 - 0,333 sin 40°) x 18651 = 23493
Car = 23500N
В.5.3 Шариковый подшипник с углом контакта 
Рассчитать скорректированную динамическую осевую грузоподъемность
Caa однорядного шарикового подшипника с углом контакта

. Подшипник имеет значения развалов упорно-радиального подшипника.
Dw/
Dpw = 0,091, диаметр шарика
Dw = 7,5 мм и число шариков
Z = 27.
Согласно
таблице 4, для (
Dw cos 60°)/
Dpw = 0,091 x cos 60° = 0,046, и тогда
fc = 61,12.
Примечание - Эта грузоподъемность базируется на значении развала упорно-радиального подшипника.
Caa = Ca = 28700 Н.
(справочное)
ЗАМЕНА ССЫЛОК НА МЕЖДУНАРОДНЫЕ СТАНДАРТЫ
Г.1 Международные стандарты, ссылки на которые заменены ссылками на межгосударственные стандарты, и соответствующие межгосударственные стандарты приведены в
таблице Г.1.
Структурный элемент | Модификация |
| Ссылка на ISO 76 "Подшипники качения. Статическая грузоподъемность" заменена ссылкой на ГОСТ 18854-2013 <1> "Подшипники качения. Статическая грузоподъемность" |
| Ссылка на ISO 5593 "Подшипники качения. Словарь" заменена ссылкой на ГОСТ 24955-81 <2> "Подшипники качения. Термины и определения" |
<1> Степень соответствия - MOD. <2> Степень соответствия - NEQ. |
(справочное)
СРАВНЕНИЕ СТРУКТУРЫ МЕЖДУНАРОДНОГО СТАНДАРТА
СО СТРУКТУРОЙ МЕЖГОСУДАРСТВЕННОГО СТАНДАРТА
Д.1 Сравнение структуры международного стандарта со структурой межгосударственного стандарта дано в
таблице Д.1.
Структура международного стандарта | Структура межгосударственного стандарта |
Раздел 5 | |
Подраздел | Пункт | Подпункт | Подраздел | Пункт | Подпункт |
5.2 | 5.2.2 | - | | | |
5.2 | 5.2.2 | 5.2.2.1 | | | |
5.2 | 5.2.2 | 5.2.2.2 | | | |
Приложение | A | Приложение | |
B | |
C | |
- | |
- | Д |
Примечания 1 Сравнение структур стандартов приведено только для пункта 5.2.2 и приложений, так как остальные разделы стандартов и их структурные элементы (за исключением предисловия) имеют идентичную структуру. 2 Изменение структуры пункта 5.2.2 связано с добавлением в начале данного пункта нового подпункта, содержащего дополнительные требования, и изменением нумерации последующих подпунктов. 3 Изменение структуры приложений связано с требованиями к модифицированному стандарту обозначать приложения прописными буквами русского алфавита и добавлением двух приложений. |
| Технические условия ИСО 16281:2008 (ISO/TS 16281:2008) | Подшипники качения. Методы расчета базового модифицированного номинального ресурса универсально нагруженных подшипников (Rolling bearings - Methods for calculating the modified reference rating life for universally loaded bearings) |
| Технический отчет ИСО 1281-2:2008 (ISO/TR 1281:2008) | Подшипники качения. Пояснительная записка к ИСО 281. Часть 2: Расчет модифицированного ресурса, основанного на системном подходе к напряжению усталости (Rolling bearings - Explanatory notes on ISO 281 - Part 2: Modified rating life calculation, based on a systems approach of fatigue stresses) |
| Иоаннидес, Е., Берглинг, Г., Габелли, А. Аналитическое представление ресурса подшипников качения (Ioannides, E., Bergling, G., Gabelli, A. An analytical formulation for the life of rolling bearings, Acta Polytechnica Scandinavica, Mechanical Engineering Series No. 137, The Finnish Academy of Technology, 1999) |
| Харрис, Т.А. Исследование подшипников качения (Harris, T.A. Rolling bearings analysis, 4th Edition, John Wilsey & Sons Inc., 2001) |
| ГОСТ Р ИСО 11171:2012 | Гидропривод объемный. Калибровка автоматических счетчиков частиц в жидкости |
| | Гидропривод объемный. Фильтры. Метод многократного пропускания жидкости через фильтроэлемент для определения характеристик фильтрования |
| Международный стандарт ИСО 4406:1999 (ISO 4406:1999) | Гидравлический привод. Жидкости. Метод кодирования уровня загрязненности твердыми частицами (Hydraulic fluid power - Fluids - Methods for coding the level of contamination by solid particles) |
| Рейснер, Х. Напряжения сжатия и поверхностные деформации в контакте качения тел вращения (Reusner, H.  und  im  von  , Diss. TH Karlsruhe, 1977) |
| Де Муль, Дж. М., Калкер, Дж. Дж., Фредрикссон, Б. Контакт между телами вращения конечных размеров с произвольными образующими, (De Mul, J.M., Kalker, J.J., Frediksson, B. The Contact between Arbitrarily Curved Bodies of Finite Dimensions, Transactions of the ASME, Journal of Tribology, 108, Jan. 1986, pp. 140 - 148) |
| Хартнетт, М. Дж. Общее численное решение контактных задач для упругих тел (Hartnett, M.J. A General numerical solution for elastic body contact problems, ASME, Applied Mechanics Division, 39, 1980, pp. 51 - 66) |
| Герц, Г. О контакте твердых упругих тел и твердости (Hertz, H.  die  fester elastischer  und  die  , Verhandlungen des Vereins zur  des  , 1882, pp. 449 - 463) |