Главная // Актуальные документы // ГОСТ (Государственный стандарт)СПРАВКА
Источник публикации
М.: Стандартинформ, 2016
Примечание к документу
Документ включен в
Перечень международных и региональных (межгосударственных) стандартов, а в случае их отсутствия - национальных (государственных) стандартов, содержащих правила и методы исследований (испытаний) и измерений, в том числе правила отбора образцов, необходимые для применения и исполнения требований технического
регламента Таможенного союза "О безопасности низковольтного оборудования" (ТР ТС 004/2011) и осуществления оценки соответствия объектов технического регулирования (
Решение Коллегии Евразийской экономической комиссии от 11.05.2023 N 55).
Документ включен в
Перечень национальных стандартов, содержащих правила и методы исследований (испытаний) и измерений, в том числе правила отбора образцов, необходимых для применения и исполнения Федерального
закона от 22.07.2008 N 123-ФЗ "Технический регламент о требованиях пожарной безопасности" и осуществления оценки соответствия (
Распоряжение Правительства РФ от 10.03.2009 N 304-р).
Документ
введен в действие с 1 января 2017 года.
Название документа
"ГОСТ IEC 60754-2-2015. Межгосударственный стандарт. Испытания материалов конструкции кабелей при горении. Часть 2. Определение степени кислотности выделяемых газов измерением pH и удельной проводимости"
(введен в действие Приказом Росстандарта от 28.06.2016 N 716-ст)
"ГОСТ IEC 60754-2-2015. Межгосударственный стандарт. Испытания материалов конструкции кабелей при горении. Часть 2. Определение степени кислотности выделяемых газов измерением pH и удельной проводимости"
(введен в действие Приказом Росстандарта от 28.06.2016 N 716-ст)
агентства по техническому
регулированию и метрологии
от 28 июня 2016 г. N 716-ст
МЕЖГОСУДАРСТВЕННЫЙ СТАНДАРТ
ИСПЫТАНИЯ МАТЕРИАЛОВ КОНСТРУКЦИИ КАБЕЛЕЙ ПРИ ГОРЕНИИ
ЧАСТЬ 2
ОПРЕДЕЛЕНИЕ СТЕПЕНИ КИСЛОТНОСТИ ВЫДЕЛЯЕМЫХ ГАЗОВ
ИЗМЕРЕНИЕМ pH И УДЕЛЬНОЙ ПРОВОДИМОСТИ
Tests on gases evolved during combustion
of materials from cables. Part 2. Determination
of acidity (by pH measurement) and conductivity
(IEC 60754-2:2011, IDT)
ГОСТ IEC 60754-2-2015
Дата введения
1 января 2017 года
Цели, основные принципы и основной порядок проведения работ по межгосударственной стандартизации установлены
ГОСТ 1.0-2015 "Межгосударственная система стандартизации. Основные положения" и
ГОСТ 1.2-2015 "Межгосударственная система стандартизации. Стандарты межгосударственные, правила и рекомендации по межгосударственной стандартизации. Правила разработки, принятия, обновления и отмены".
1 ПОДГОТОВЛЕН Открытым акционерным обществом "Всероссийский научно-исследовательский, проектно-конструкторский и технологический институт кабельной промышленности" (ОАО "ВНИИКП") на основе собственного перевода на русский язык англоязычной версии стандарта, указанного в
пункте 5
2 ВНЕСЕН Межгосударственным техническим комитетом по стандартизации МТК 46 "Кабельные изделия"
3 ПРИНЯТ Межгосударственным советом по стандартизации, метрологии и сертификации по результатам голосования (протокол от 27 октября 2015 г. N 81-П)
За принятие проголосовали:
Краткое наименование страны по МК (ИСО 3166) 004-97 | Код страны по МК (ИСО 3166) 004-97 | Сокращенное наименование национального органа по стандартизации |
Армения | AM | Минэкономики Республики Армения |
Беларусь | BY | Госстандарт Республики Беларусь |
Казахстан | KZ | Госстандарт Республики Казахстан |
Киргизия | KG | Кыргызстандарт |
Молдова | MD | Молдова-Стандарт |
Россия | RU | Росстандарт |
Таджикистан | TJ | Таджикстандарт |
4
Приказом Федерального агентства по техническому регулированию и метрологии от 28 июня 2016 г. N 716-ст межгосударственный стандарт ГОСТ IEC 60754-2-2015 введен в действие в качестве национального стандарта Российской Федерации с 1 июля 2017 г.
5 Настоящий стандарт идентичен международному стандарту IEC 60754-2:2011 "Испытания по газам, выделяемым при горении материалов конструкции кабелей. Часть 2. Определение кислотности (измерением pH) и удельной проводимости" ("Test on gases evolved during combustion of materials from cables - Part 2: Determination of acidity (by pH measurement) and conductivity", IDT).
Международный стандарт IEC 60754-2:2011 разработан техническим комитетом ТС 20 "Электрические кабели" Международной электротехнической комиссии (IEC).
Официальные экземпляры международного стандарта, на основе которого подготовлен настоящий межгосударственный стандарт, и международных стандартов, на которые даны ссылки, имеются в Федеральном информационном фонде технических регламентов и стандартов.
При применении настоящего стандарта рекомендуется использовать вместо ссылочных международных стандартов соответствующие им межгосударственные стандарты, сведения о которых приведены в дополнительном
приложении ДА
7 Некоторые элементы настоящего стандарта могут быть объектом патентного права. IEC не несет ответственность за установление подлинности каких-либо или всех таких патентных прав
Информация об изменениях к настоящему стандарту публикуется в ежегодном информационном указателе "Национальные стандарты", а текст изменений и поправок - в ежемесячном информационном указателе "Национальные стандарты". В случае пересмотра (замены) или отмены настоящего стандарта соответствующее уведомление будет опубликовано в ежемесячном информационном указателе "Национальные стандарты". Соответствующая информация, уведомление и тексты размещаются также в информационной системе общего пользования - на официальном сайте Федерального агентства по техническому регулированию и метрологии в сети Интернет.
Серия стандартов ГОСТ IEC 60754 состоит из двух частей под общим заголовком "Испытания материалов конструкции кабелей при горении":
- Часть 1: Определение количества выделяемых газов галогенных кислот;
- Часть 2: Определение степени кислотности выделяемых газов измерением pH и удельной проводимости.
ГОСТ IEC 60754-2 был разработан вследствие необходимости контроля количества кислотных газов, образующихся при горении изоляции, оболочки и других материалов конструкции некоторых кабелей, поскольку такие агрессивные выделения могут приводить к значительным повреждениям электрического и электронного оборудования, которое не подверглось горению.
Примечание - Руководство по коррозионной активности продуктов горения содержит IEC 60695-1.
В настоящем стандарте приведен метод определения степени кислотности (путем измерения pH) и удельной проводимости водного раствора газов, выделяющихся при горении материалов, с целью установления их предельных допускаемых значений в стандартах или технических условиях на конкретные кабельные изделия. Так как данное испытание проводят не на образце готового кабеля, то для оценки риска выделения недопустимо большого количества кислотных газов следует учитывать реальный объем материала в конструкции кабеля.
Данный метод позволяет получить косвенную оценку коррозионной активности. Однако рекомендуемые предельные значения pH и удельной проводимости можно рассматривать только как справочные, так как взаимосвязь между коррозией и этими двумя параметрами необязательно охватывает все материалы конструкции кабелей.
Настоящий стандарт взаимосвязан с ГОСТ IEC 60754-1, но имеет существенные отличия в процедуре испытания.
Настоящий стандарт устанавливает метод определения коррозионной активности газов, выделяемых при горении материалов (компаундов) элементов конструкции электрических или оптических кабелей, путем измерения кислотности (pH) и удельной проводимости водного раствора этих газов.
Основной метод, приведенный в настоящем стандарте, предусматривает испытание отдельных элементов конструкции кабеля. Формулы приведены для расчета взвешенного значения для совокупности неметаллических материалов, используемых в конструкции кабеля. Данный метод позволяет провести проверку выполнения соответствующих требований к отдельным и к нескольким элементам конструкции кабеля, установленных в стандартах или технических условиях на конкретные кабельные изделия.
Упрощенный метод, приведенный в настоящем стандарте, используют для испытания отдельных элементов конструкции кабеля, когда требуется подтвердить соответствие характеристик кабеля установленным требованиям в целях контроля качества кабелей.
Примечания
1 В стандартах или технических условиях на конкретные кабельные изделия должно быть указано, какие элементы конструкции кабеля испытывают и какой метод расчета из приведенных в
разделе 8 используют в спорных случаях.
2 Настоящий метод можно применять для испытания материалов, используемых при изготовлении кабелей/проводов, но заявление о характеристиках кабелей/проводов не должно основываться на таком испытании.
3 В настоящем стандарте термин "электрический кабель" распространяется на все кабельные изделия с изолированными металлическими токопроводящими жилами, предназначенные для передачи электрической энергии или сигналов.
Для применения настоящего стандарта необходимы следующие ссылочные документы. Для датированных ссылок применяют только указанное издание ссылочного документа, для недатированных ссылок применяют последнее издание ссылочного документа (включая все его изменения):
ISO 1042 Laboratory glassware - One-mark volumetric flasks (Посуда лабораторная стеклянная. Колбы мерные с одной меткой)
ISO 3696 Water for analytical laboratory use - Specification and test methods (Вода для лабораторного анализа. Технические требования и методы испытаний)
В настоящем стандарте применены следующие термины с соответствующими определениями:
3.1 значение pH (pH value): Значение pH водного раствора газов, выделяемых при горении материала в условиях, указанных в настоящем стандарте.
3.2 значение удельной проводимости (conductivity value): Значение удельной проводимости водного раствора газов, выделяемых при горении материала в условиях, указанных в настоящем стандарте.
Определенное количество испытуемого материала нагревают в потоке сухого воздуха. Выделяемые газы собирают, пропуская их через сосуды с дистиллированной или деминерализованной водой.
Определяют кислотность полученного раствора по значению pH. Также измеряют его удельную проводимость.
5. Испытательное оборудование
Схемы испытательного оборудования приведены на
рисунках 1 -
5.
Все элементы испытательного оборудования должны быть герметичными. Соединения между трубкой из кварцевого стекла и первым промывочным сосудом, и между последующими промывочными сосудами должны быть как можно короче. Для этих соединений следует использовать трубки из стекла или кремнийорганической резины.
Примечания
1 На выходе из трубки из кварцевого стекла, по возможности ближе к ее концу, допускается помещать пробку из кварцевой пряжи для сбора конденсата.
2 Третий пустой сосуд одинакового размера с промывочным сосудом, размещаемый перед промывочным сосудом, может быть использован для повышения безопасности, то есть для предотвращения обратного всасывания воды в трубку из кварцевого стекла.
Рабочая длина нагревательной зоны печи должна составлять от 480 до 620 мм, а ее внутренний диаметр - от 38 до 62 мм. Печь должна иметь регулируемую электрическую нагревательную систему.
5.3. Трубка из кварцевого стекла
Для проведения испытания внутри трубчатой печи должна быть установлена трубка из кварцевого стекла. Трубку располагают приблизительно концентрично относительно печи. Трубка должна быть устойчивой к воздействию коррозионных газов.
Внутренний диаметр трубки должен быть от 30 до 46 мм. Со стороны входа в печь конец трубки должен выступать на длину от 60 до 200 мм, со стороны выхода - на длину от 60 до 100 мм. Для компенсации теплового расширения допускается первоначальный зазор в соединениях. Для проведения измерений длины выступов конца трубки трубку рассматривают как часть постоянного диаметра.
Примечание - Наружный диаметр трубки выбирают с учетом внутреннего диаметра трубчатой печи.
Перед проведением каждого испытания трубка должна быть очищена по всей длине прокаливанием при температуре около 950 °C.
5.4. Лодочки для сжигания
Лодочки для сжигания должны быть изготовлены из фарфора, плавленого кварца или талькового камня и иметь следующие размеры:
- наружная длина - от 45 до 100 мм;
- наружная ширина - от 12 до 30 мм;
- внутренняя глубина - от 5 до 10 мм.
Примечание - Размеры лодочки следует выбирать с учетом внутреннего диаметра кварцевой трубки.
Рекомендуемый способ ввода лодочки для сжигания в трубку из кварцевого стекла приведен на рисунке 1.
1 - искусственный или сжатый воздух, отфильтрованный
и осушенный; 2 - стеклянная трубка; 3 - термопара;
4 - трубка из кварцевого стекла; 5 - испытуемый образец;
6 - стержневые магниты; 7 - платиновая проволока;
8 - лодочка для сжигания; 9 - стандартное притертое
соединение, размер которого соответствует диаметру
трубки из кварцевого стекла; 10 - печь
Рисунок 1 - Устройство для ввода лодочки
с образцом в трубку для сжигания
Перед проведением каждого испытания лодочку для сжигания промывают и прокаливают в муфельной печи при температуре около 950 °C в течение 4 ч, после чего лодочку помещают в сушильный шкаф и охлаждают до температуры окружающей среды. Затем лодочку для сжигания взвешивают с точностью до 0,1 мг, пока не будут получены подряд два одинаковых значения. Полученную массу (m1) регистрируют.
5.5. Устройства для пропускания газов
После выхода из трубки газы проходят через два промывочных сосуда (см. рисунок 2), каждый из которых содержит приблизительно 450 мл дистиллированной или деминерализованной воды чистотой не ниже третьей степени по ISO 3696.
1 - магнитная мешалка; h - от 100 до 120 мм
Рисунок 2 - Пример промывочного сосуда
Значение pH воды должно быть 5,5 - 7,5, а удельная проводимость - менее 0,5 мкСм/мм.
Для обеспечения турбулентного движения и лучшей абсорбции газов сгорания в первый промывочный сосуд помещают магнитную мешалку. Для лучшей абсорбции концы трубок в промывочных сосудах должны иметь внутренний диаметр не более 5 мм.
Уровень жидкости над концом трубки в каждом сосуде должен быть (110 +/- 10) мм.
Примечание - Для выполнения этого требования используют стандартный лабораторный стеклянный сосуд внутренним диаметром около 75 мм.
5.6. Система подачи воздуха
Для обеспечения горения используют воздух.
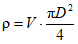
Расход воздуха, вводимого в трубку из кварцевого стекла, регулируют в зависимости от фактического внутреннего сечения трубки таким образом, чтобы скорость потока воздуха, проходящего через образец, составляла около 20 мл/мм2/ч.
Скорость потока воздуха регулируют через расход воздуха. Расход воздуха должен быть 0,0157D2 л/ч с допускаемым отклонением +/- 10%.
Примечание - Расчет расхода воздуха

, мл/ч, для установленной скорости потока воздуха проводят по формуле

, (1)
где V - скорость потока воздуха, мл/мм2/ч;
D - внутренний диаметр трубки, мм.
Подачу воздуха регулируют и контролируют с помощью игольчатого вентиля, а расход воздуха контролируют соответствующим ротаметром.
Подачу воздуха осуществляют одним из трех следующих способов.
Способ 1
Используют искусственный воздух или сжатый воздух из баллона. Воздух подают на вход трубки из кварцевого стекла, как показано на рисунке 3.
1 - редуктор; 2 - ротаметр; 3 - трубка из кварцевого стекла;
4 - печь; 5 - игольчатый вентиль; 6 - термопара;
7 - промывочные сосуды; 8 - искусственный воздух;
9 - устройство для ввода лодочки для сжигания с испытуемым
образцом; 10 - лодочка для сжигания с испытуемым образцом;
11 - магнитная мешалка; 12 - стержень магнитной мешалки
Рисунок 3 - Испытательное устройство для способа 1
с использованием искусственного или сжатого воздуха,
подаваемого из баллона
Способ 2
Используют сжатый воздух, полученный в лаборатории. Воздух подают на вход трубки, как показано на рисунке 4. Перед подачей воздух фильтруют и просушивают.
1 - редуктор; 2 - ротаметр; 3 - трубка из кварцевого стекла;
4 - печь; 5 - сжатый воздух; 6 - игольчатый вентиль;
7 - активированный уголь; 8 - силикагель; 9 - термопара;
10 - промывочные сосуды; 11 - воздушный фильтр;
12 - осушитель воздуха; 13 - устройство для ввода лодочки
для сжигания с испытуемым образцом; 14 - лодочка
для сжигания с испытуемым образцом; 15 - стержень
магнитной мешалки; 16 - магнитная мешалка
Рисунок 4 - Испытательное устройство для способа 2
с использованием сжатого воздуха из сосуда, подаваемого
из лабораторной установки
Способ 3
Используют воздух, находящийся в лаборатории, после его соответствующей фильтрации и просушивания. В этом случае смесь воздуха и газов сгорания прокачивают насосом, как показано на рисунке 5.
1 - редуктор; 2 - печь; 3 - воздух окружающей среды;
4 - трубка из кварцевого стекла; 5 - игольчатый вентиль;
6 - активированный уголь; 7 - силикагель; 8 - термопара;
9 - промывочные сосуды; 10 - всасывающий насос;
11 - воздушный фильтр; 12 - осушитель воздуха;
13 - устройство для ввода лодочки для сжигания
с испытуемым образцом; 14 - лодочка для сжигания
с испытуемым образцом; 15 - стержень магнитной
мешалки; 16 - магнитная мешалка
Рисунок 5 - Испытательное устройство для способа 3
с использованием атмосферного воздуха, подаваемого
всасывающим насосом
Погрешность весов не должна быть более +/- 0,1 мг.
5.8. Лабораторное оборудование
Для определения значения pH и удельной проводимости необходимо следующее лабораторное оборудование:
- одномерная колба емкостью не менее 1000 мл по ISO 1042.
Погрешность pH-метра с электродом не должна быть более +/- 0,02.
5.10. Устройство для измерения удельной проводимости
Используют устройство для измерения удельной проводимости в диапазоне от 10-1 до 102 мкСм/мм с соответствующим электродом.
6.1 Общие положения
Подготавливают три образца для основного метода испытания или два образца для упрощенного метода испытания. Каждый образец для испытания должен иметь массу (1000 +/- 5) мг. Образцы для испытания отбирают от образца материала, предназначенного для испытания. Образцы для испытания разрезают на небольшие кусочки.
Примечание - Для проведения испытания подходят образцы максимальным размером 3 мм.
6.2 Кондиционирование образцов
Образцы кондиционируют в течение не менее 16 ч при температуре (23 +/- 2) °C и относительной влажности воздуха (50 +/- 5)%.
6.3 Масса образца
Лодочку для сжигания взвешивают (
m1) с точностью до 0,1 мг (см.
5.4). После кондиционирования образец помещают в лодочку для сжигания и равномерно располагают на дне лодочки, затем взвешивают лодочку вместе с помещенным в нее образцом (
m2) с точностью до 0,1 мг. Массу
m2 регистрируют.
Массу m испытуемого образца рассчитывают по формуле
m = m2 - m1, (2)
где m - масса испытуемого образца, г;
m2 - масса лодочки для сжигания с образцом, г;
m1 - масса лодочки для сжигания, г.
7.1 Общие положения
Испытание по определению значения pH и удельной проводимости проводят на каждом испытуемом образце.
7.2 Испытательное оборудование
Испытание, указанное в настоящем разделе, проводят с использованием испытательного оборудования, указанного в
разделе 5.
7.3 Процедура нагрева
Расход воздуха устанавливают с помощью игольчатого вентиля на уровне, указанном в
5.6, и поддерживают постоянным в течение всего испытания.
Температуру измеряют с помощью термопары, имеющей антикоррозийную защиту и расположенной внутри трубки из кварцевого стекла. Система нагрева должна быть отрегулирована таким образом, чтобы температура в месте расположения лодочки для сжигания была не менее 935 °C и не более 965 °C. Температура в месте, удаленном от лодочки на 300 мм в направлении потока воздуха, должна быть не менее 900 °C.
Лодочку с образцом быстро вводят в рабочую зону нагрева трубки и располагают в указанном положении, определенном с помощью термопары, и включают секундомер. Лодочку для сжигания устанавливают таким образом, чтобы расстояние между лодочкой и входным концом рабочей зоны нагрева было не менее 300 мм. Рабочая зона нагрева - это зона, в которой температура, определяемая с помощью термопары, составляет не менее 900 °C.
Горение в печи при постоянной подаче воздуха должно продолжаться (30 +/- 1) мин.
Примечание - Оператор должен принимать меры предосторожности, например использовать защиту для глаз и соответствующую защитную одежду, так как некоторые материалы легко воспламеняются и могут вызвать обратный поток горячих газов. Следует также принять меры, чтобы не допустить избыточного давления в системе и обеспечить вытяжную вентиляцию для выходящих газов. Руководство, как избежать возникновения обратного потока горячих газов, приведено в
5.1 (примечание 2).
7.4 Процедура промывки
После проведения процедуры нагрева все используемые промывочные сосуды разъединяют, а их содержимое сливают в колбу емкостью не менее 1000 мл. Промывочные сосуды, соединительные трубки и, после охлаждения, выходную часть трубки из кварцевого стекла, включая кварцевую пряжу (если она используется), промывают водой, имеющей свойства, указанные в
5.5, которую после промывки сливают в колбу, содержимое которой доводят до 1000 мл.
7.5 Определение значения pH и удельной проводимости
pH измеряют с использованием pH-метра, откалиброванного в соответствии с инструкцией по эксплуатации прибора.
Значение pH раствора определяют при температуре (25 +/- 1) °C в соответствии с порядком проведения испытания, указанным изготовителем измерительного прибора.
Измерение значения удельной проводимости также проводят при температуре (25 +/- 1) °C в соответствии с инструкцией по эксплуатации прибора.
Значения pH и удельной проводимости предпочтительно должны быть зафиксированы с использованием автоматической системы температурной компенсации. Если данное оборудование не используют, то значения фиксируют при температуре раствора (25 +/- 1) °C.
Примечание - Система автоматической температурной компенсации, как правило, является составной частью оборудования для измерения pH и удельной проводимости.
8. Оценка результатов испытания
По результатам трех проведенных испытаний определяют среднее значение, стандартное отклонение и коэффициент вариации как для pH, так и для удельной проводимости.
Если коэффициент вариации более 5%, то проводят дополнительно три испытания и снова определяют среднее значение, стандартное отклонение и коэффициент вариации, используя шесть результатов испытаний.
По результатам двух проведенных испытаний образец материала считают удовлетворяющим требованиям, если оба значения pH не менее установленного значения и оба значения удельной проводимости не превышают установленное значение.
Если один образец для испытания не отвечает этим требованиям, испытание повторяют на двух дополнительных образцах, отобранных от того же образца материала. Оба эти образца должны иметь значения pH и удельной проводимости, соответствующие установленным значениям.
8.3 Взвешенные значения
8.3.1 Общие положения
Используя средние значения, рассчитанные по
8.1, проводят оценку pH и удельной проводимости водного раствора газов, выделяемых при горении совокупности материалов конструкции кабеля в заданных условиях, следующим образом.
Определяют массу wi каждого i-го неметаллического материала конструкции кабеля, приходящуюся на единицу его длины.
Взвешенное значение pH (pH') определяют по формуле

, (3)
где x - значение pH для каждого i-го неметаллического материала.
8.3.3 Удельная проводимость
Определяют массу wi каждого i-го неметаллического материала конструкции кабеля, приходящуюся на единицу его длины.
Взвешенное значение удельной проводимости c' определяют по формуле

, (4)
где ci - значение удельной проводимости для каждого i-го неметаллического материала.
9. Требования к характеристикам
Требования к характеристикам для конкретного компаунда или элемента конструкции провода или взвешенное значение для кабеля должны быть указаны в стандартах или технических условиях на конкретные кабельные изделия. При отсутствии любого такого требования значения, приведенные в
приложении A, рекомендуется принимать за минимально допустимый уровень требований.
В отчете об испытании должно быть указано:
a) полное описание испытуемого материала и кабеля, от которого он был отобран;
b) обозначение настоящего стандарта;
c) среднее значение pH и среднее значение удельной проводимости материала конструкции кабеля при температуре 25 °C;
d) метод, используемый при испытании (основной или упрощенный);
e) рассчитанные взвешенные значения pH и удельной проводимости для испытуемого кабеля (если требуется).
(справочное)
РЕКОМЕНДУЕМЫЕ ТРЕБОВАНИЯ К ХАРАКТЕРИСТИКАМ
A.1 Взвешенное значение для кабеля
Взвешенное значение pH, определенное в соответствии с
8.3.2, должно быть не менее 4,3.
Взвешенное значение удельной проводимости, определенное в соответствии с
8.3.3, должно быть не более 10 мкСм/мм.
A.2 Значение для материала
Значение pH, определенное в соответствии с
8.1 или
8.2, должно быть не менее 4,3.
Значение удельной проводимости, определенное в соответствии с
8.1 или
8.2, должно быть не более 10 мкСм/мм.
(справочное)
СВЕДЕНИЯ О СООТВЕТСТВИИ ССЫЛОЧНЫХ МЕЖДУНАРОДНЫХ
СТАНДАРТОВ МЕЖГОСУДАРСТВЕННЫМ СТАНДАРТАМ
Таблица ДА.1
Обозначение ссылочного международного стандарта | Степень соответствия | Обозначение и наименование соответствующего межгосударственного стандарта |
ISO 1042 | MOD | ГОСТ 1770-74 (ИСО 1042-83, ИСО 4788-80) "Посуда мерная лабораторная стеклянная. Цилиндры, мензурки, колбы, пробирки. Общие технические условия" |
ISO 3696 | - | |
<*> Соответствующий межгосударственный стандарт отсутствует. Действует ГОСТ Р 52501-2005 (ИСО 3696:1987) "Вода для лабораторного анализа. Технические условия". Примечание - В настоящей таблице использовано следующее условное обозначение степени соответствия стандарта: - MOD - модифицированный стандарт. |
IEC 60695-5-1 | Fire hazard testing - Part 5-1: Corrosion damage effects of fire effluent - General guidance (Испытания на пожарную опасность. Часть 5-1. Коррозионные повреждающие воздействия выделений при пожаре. Общее руководство) |
IEC Guide 104 | The preparation of safety publications and the use of basic safety publications and group safety publications (Подготовка публикаций по безопасности и использование основополагающих и групповых публикаций по безопасности) |