Главная // Актуальные документы // ГОСТ (Государственный стандарт)СПРАВКА
Источник публикации
М.: Стандартинформ, 2015
Примечание к документу
Документ
введен в действие с 1 апреля 2016 года.
Название документа
"ГОСТ EN 675-2014. Межгосударственный стандарт. Стекло и изделия из него. Методы определения тепловых характеристик. Определение сопротивления теплопередаче методом измерения теплового потока"
(введен в действие Приказом Росстандарта от 06.05.2015 N 335-ст)
"ГОСТ EN 675-2014. Межгосударственный стандарт. Стекло и изделия из него. Методы определения тепловых характеристик. Определение сопротивления теплопередаче методом измерения теплового потока"
(введен в действие Приказом Росстандарта от 06.05.2015 N 335-ст)
агентства по техническому
регулированию и метрологии
от 6 мая 2015 г. N 335-ст
МЕЖГОСУДАРСТВЕННЫЙ СТАНДАРТ
СТЕКЛО И ИЗДЕЛИЯ ИЗ НЕГО
МЕТОДЫ ОПРЕДЕЛЕНИЯ ТЕПЛОВЫХ ХАРАКТЕРИСТИК.
ОПРЕДЕЛЕНИЕ СОПРОТИВЛЕНИЯ ТЕПЛОПЕРЕДАЧЕ
МЕТОДОМ ИЗМЕРЕНИЯ ТЕПЛОВОГО ПОТОКА
Glass and glass products. Thermal properties
determination methods. Thermal resistance
determination by heat flow meter method
(EN 675:2011, IDT)
ГОСТ EN 675-2014
Дата введения
1 апреля 2016 года
Цели, основные принципы и основной порядок проведения работ по межгосударственной стандартизации установлены
ГОСТ 1.0-92 "Межгосударственная система стандартизации. Основные положения" и
ГОСТ 1.2-2009 "Межгосударственная система стандартизации. Стандарты межгосударственные, правила и рекомендации по межгосударственной стандартизации. Правила разработки, принятия, применения, обновления и отмены".
1 ПОДГОТОВЛЕН Открытым акционерным обществом "Институт стекла" (ТК 41 "Стекло")
2 ВНЕСЕН Федеральным агентством по техническому регулированию и метрологии (Росстандарт)
3 ПРИНЯТ Межгосударственным советом по стандартизации, метрологии и сертификации (протокол от 14 ноября 2014 г. N 72-П)
За принятие проголосовали:
Краткое наименование страны по МК (ИСО 3166) 004-97 | Код страны по МК (ИСО 3166) 004-97 | Сокращенное наименование национального органа по стандартизации |
Беларусь | BY | Госстандарт Республики Беларусь |
Киргизия | KG | Кыргызстандарт |
Молдова | MD | Молдова-Стандарт |
Россия | RU | Росстандарт |
Таджикистан | TJ | Таджикстандарт |
Узбекистан | UZ | Узстандарт |
Украина | UA | Минэкономразвития Украины |
4
Приказом Федерального агентства по техническому регулированию и метрологии от 6 мая 2015 г. N 335-ст межгосударственный стандарт ГОСТ EN 675-2014 введен в действие в качестве национального стандарта Российской Федерации с 1 апреля 2016 г.
5 Настоящий стандарт идентичен европейскому региональному стандарту EN 675:2011 Glass in building - Determination of thermal transmittance (U value) - Heat flow meter method (Стекло в строительстве. Определение коэффициента теплопередачи (величины U). Метод измерения теплового потока).
Европейский стандарт разработан техническим комитетом по стандартизации CEN/TC 129 "Стекло в строительстве" Европейского комитета по стандартизации (CEN).
Перевод с английского языка (en).
Официальные экземпляры европейского стандарта, на основе которого подготовлен настоящий межгосударственный стандарт, а также европейских и международных стандартов, на которые даны ссылки, имеются в Федеральном агентстве по техническому регулированию и метрологии.
В разделе "Нормативные ссылки" ссылки на европейские и международные стандарты актуализированы.
Наименование настоящего стандарта изменено относительно наименования европейского стандарта в связи с особенностями построения межгосударственной системы стандартизации.
Сведения о соответствии межгосударственных стандартов ссылочным европейским и международным стандартам приведены в дополнительном
приложении ДА.
Сведения об определении величины сопротивления теплопередаче остекления и выборе климатических параметров при определении коэффициента теплопередачи и сопротивления теплопередаче для целей проектирования приведены в дополнительном
приложении ДБ.
Степень соответствия - идентичная (IDT)
6 Настоящий стандарт подготовлен на основе применения
ГОСТ Р 54165-2010 (ИСО 10293:1997) <*>
--------------------------------
| | ИС МЕГАНОРМ: примечание. В официальном тексте документа, видимо, допущена опечатка: Приказ Росстандарта N 335-ст имеет дату 06.05.2015, а не 06.05.2014. | |
<*>
Приказом Федерального агентства по техническому регулированию и метрологии от 6 мая 2014 г. N 335-ст стандарт
ГОСТ Р 54165-2010 (ИСО 10293:1997) отменен с 1 апреля 2016 г.
7 ВВЕДЕН ВПЕРВЫЕ
Информация об изменениях к настоящему стандарту публикуется в ежегодном информационном указателе "Национальные стандарты", а текст изменений и поправок - в ежемесячном информационном указателе "Национальные стандарты". В случае пересмотра (замены) или отмены настоящего стандарта соответствующее уведомление будет опубликовано в ежемесячном информационном указателе "Национальные стандарты". Соответствующая информация, уведомление и тексты размещаются также в информационной системе общего пользования - на официальном сайте Федерального агентства по техническому регулированию и метрологии в сети Интернет.
Настоящий стандарт подготовлен рабочей группой CEN/TC 129/WG9 "Пропускание света и энергии, теплоизоляция" на основе стандарта ISO/DIS 10293 "Glass in building - Determination of steady-state U values (thermal transmittance) of multiple glazing - Heat flow meter method" ("Стекло в строительстве. Определение стационарного значения величины U (коэффициента термического пропускания) многослойного остекления - Метод измерения теплового потока"), который был подготовлен техническим комитетом ISO/TC 160 "Стекло в строительстве". Впервые он был опубликован в 1997 году под обозначением EN 675.
Настоящее издание является переработкой EN 675:1997. Основным изменением в данной редакции является небольшое изменение коэффициентов теплообмена внутренней и внешней поверхности, которые отражают изменения, внесенные в стандарт EN 673. Также внесено разъяснение в область применения о том, что описанная в настоящем стандарте методика должна использоваться, главным образом, в тех случаях, когда расчетный метод, введенный EN 673, не применим или не подходит к рассматриваемому случаю.
Настоящий стандарт устанавливает метод определения коэффициента теплопередачи остекления с плоскими параллельными поверхностями. Поверхности с рельефом, такие как узорчатое стекло, также могут рассматриваться как плоские.
Положения настоящего стандарта применимы к многослойному остеклению с внешними листами, непрозрачными для излучения в дальнем инфракрасном диапазоне, что выполняется для натрий-кальций-силикатного стекла, боросиликатного стекла и стеклокерамики. Внутренние элементы остекления могут быть прозрачными в дальнем инфракрасном диапазоне.
Методика, описанная в настоящем стандарте, позволяет определить коэффициент теплопередачи U <1> центральной зоны остекления. Краевые эффекты, связанные с тепловым мостиком через дистанционную рамку клееного стеклопакета или оконную раму, не рассматриваются.
--------------------------------
<1> В некоторых странах вместо обозначения U используется символ k.
Более того, передача энергии за счет солнечного излучения также не учитывается.
Данную методику следует использовать, в основном, только если метод расчета, описанный в EN 673, не применим или не подходит к рассматриваемому случаю.
Норматив на расчет общей величины
U окон, дверей и жалюзи (см.
[1]) содержит нормативную ссылку на величину
U компонентов остекления, полученную в соответствии с настоящим стандартом.
Для целей сравнения различных изделий измерения следует проводить при вертикальном положении остекления (см.
раздел 10).
Значения величины U, полученные в соответствии с настоящим стандартом, используются для сравнения изделий, а также для других целей, в частности для прогнозирования:
- потерь тепла через остекление;
- притока тепла за счет теплопроводности в летний период;
- конденсации на поверхностях остекления;
- влияния поглощенного солнечного излучения при определении солнечного фактора (см.
[2]).
Для применения значений величины
U остекления, определенных в соответствии с настоящим стандартом, следует использовать методики, приведенные в
[3],
[4],
[5] или других европейских стандартах, относящихся к расчету потерь тепла.
Коэффициент теплопередачи определяют для условий, соответствующих усредненным условиям эксплуатации остекления.
Для применения настоящего стандарта необходимы следующие ссылочные документы. Для недатированных ссылок применяют последнее издание ссылочного документа (включая все его изменения).
EN 673:2011 Glass in building - Determination of thermal transmittance (U value) - Calculation method (Стекло в строительстве. Определение коэффициента теплопередачи (величины U). Метод расчета)
EN 12898:2001 Glass in building - Determination of the emissivity (Стекло в строительстве. Определение коэффициента эмиссии)
ISO 8301:1991 Thermal insulation - Determination of steady-state thermal resistance and related properties - Heat flow meter apparatus (Теплоизоляция. Определение стационарного термического сопротивления и связанных с ним свойств. Оборудование для измерения теплового потока)
ISO 8302:1991 Thermal insulation - Determination of steady-state thermal resistance and related properties - Guarded hot plate apparatus (Теплоизоляция. Определение стационарного термического сопротивления и связанных с ним свойств. Оборудование для измерения методом защищенной горячей пластины)
В настоящем стандарте применены следующие термины с соответствующими определениями:
3.1 величина U (коэффициент теплопередачи) (U value), Вт/(м2·К): Параметр остекления, который характеризует теплопередачу через центральную зону остекления без учета краевых эффектов и определяется как отношение плотности стационарного теплового потока за единицу времени через единицу площади поверхности к перепаду между температурами окружающей среды с каждой стороны.
3.2 заявленное значение (declared value): Значение величины
U, полученное при стандартизованных граничных условиях (см.
11.2).
Коэффициент теплопередачи U зависит от термического сопротивления многослойного остекления и коэффициентов теплообмена внешней и внутренней поверхностей согласно уравнению

, (1)
где R - термическое сопротивление многослойного остекления, м2·К/Вт;
he - коэффициент теплообмена внешней поверхности, Вт/(м2·К);
hi - коэффициент теплообмена внутренней поверхности, Вт/(м2·К).
Согласно настоящему стандарту термическое сопротивление многослойного остекления определяют методом измерения теплового потока. Затем по
уравнению (1) определяют заявленное значение
U, используя значения коэффициентов внутреннего и внешнего теплообмена, приведенные в
11.2.
5. Краткое описание метода измерения
Термическое сопротивление многослойного остекления определяют методом измерения теплового потока, который приведен в ISO 8301. Следует соблюдать рекомендации данного стандарта за исключением изменений, вносимых настоящим стандартом, и изменений, являющихся следствием особой конструкции образца.
Учитывая особенности объекта измерения, требуется ввести дополнительные требования. В частности, размеры испытываемых образцов и порядок выполнения измерений должны соответствовать особым требованиям к измерениям многослойного остекления (см. разделы 6 -
13).
6. Испытательное оборудование
Для измерения термического сопротивления образца используют установку с симметричной конфигурацией для одного образца или установку для двух образцов, как показано на рисунках 1 и
2.

- область контакта измерителя теплового потока;

- термоизоляция;

- защитный материал;

- тонкий лист пенорезины;
1 - охлаждающий элемент; 2 - эталонный
образец/испытуемый образец; 3 - нагревательный элемент
Рисунок 1 - Установка для одного образца

- область контакта измерителя теплового потока;

- термоизоляция;

- защитный материал;

- тонкий лист пенорезины;
1 - охлаждающий элемент; 2 - контрольный образец;
3 - нагревательный элемент; 4 - эталонный
образец/испытуемый образец; 5 - охлаждающий элемент
Рисунок 2 - Установка для двух образцов
Установка для одного образца состоит из нагревательного и охлаждающего элементов, между которыми размещают испытываемый образец или эталонный образец для калибровки аппаратуры. Размеры поверхностей нагревательного и охлаждающего элементов должны быть одинаковыми.
Измерители теплового потока размещают в центрах поверхностей горячей и холодной пластин так, чтобы они были обращены друг к другу и располагались по обеим сторонам испытываемого или эталонного образца. На обеих сторонах каждого измерителя теплового потока размещают тонкие листы натурального или синтетического эластичного пеноматериала (пенорезины) для обеспечения достаточного теплового контакта. Поверхностного контакта добиваются приложением давления. Размеры поверхностей листов эластичного пеноматериала должны быть такими же, как у нагревательного элемента.
Установка для двух образцов состоит из нагревательного элемента и двух внешних охлаждающих элементов. Нагревательный элемент располагается между испытываемым и контрольным образцами. Для калибровки на место испытываемого образца помещают эталонный образец. Измерители теплового потока размещают на каждой стороне эталонного (испытываемого) образца и контрольного образца. На обеих сторонах каждого измерителя теплового потока размещают тонкие листы эластичного пеноматериала (пенорезины) для обеспечения достаточного теплового контакта. Размеры поверхностей всех элементов и расположение измерителей теплового потока должны быть такими же, как в установке для одного образца.
Нагревательные элементы установок обоих типов должны иметь такие размеры, чтобы полностью закрывать поверхность эталонного (испытываемого) образца и, при использовании установки для двух образцов, контрольного образца. Потери тепла через внешние границы измерителей теплового потока должны быть ограничены при помощи термоизоляции краев и/или поддержания необходимой температуры окружающего воздуха.
Область контакта измерителей теплового потока установок обоих типов должна быть круглой или квадратной формы и иметь минимальную площадь поверхности 75 см
2. Максимальный размер поверхности измерительной зоны (50 x 50) см. Область измерения должна быть окружена защитным материалом того же состава и толщины с допуском не более +/- 0,1 мм, что и покрытие всей поверхности образца (см.
рисунки 1 и
2).
Термопары устанавливают парами так, чтобы они располагались напротив друг друга и имели прямой контакт с поверхностями эталонного (испытываемого) образца и также и при использовании установки для двух образцов.
Следует использовать не менее трех пар термопар. Одна пара должна находиться в центре области контакта измерителей теплового потока. Другие две пары должны располагаться диаметрально противоположно друг к другу на расстоянии от центра, равном 2/3 расстояния от центра до периметра измерительной зоны. Дополнительные пары термопар размещают так, чтобы добиться оптимального покрытия измерительной зоны.
Указанные термопары должны иметь толщину, не превышающую 0,2 мм, спаи должны быть уплотнены так, чтобы не превышать 0,2 мм. Для обеспечения хорошего термоконтакта между спаем и образцом следует использовать термоконтактный материал (например, силиконовую смазку с оксидом цинка или металлическую ленту).
7. Калибровка испытательной установки
Метод измерения теплового потока является относительным методом измерения, так как основан на оценке отношения термического сопротивления испытываемого образца к термическому сопротивлению эталонного образца. Термическое сопротивление эталонного образца определяют независимо по ISO 8302 при помощи установки с изолированной горячей пластиной. Эталонный образец должен состоять из однородного негигроскопичного материала и иметь плоские параллельные поверхности. Его термическое сопротивление должно быть сопоставимым с термическим сопротивлением испытываемого образца.
Плотность теплового потока

, Вт/м
2, прошедшего через измеритель теплового потока, вычисляют по созданной разности потенциалов
V, (в вольтах) и средней температуре
Tm (в Кельвинах) измерительной зоны измерителя теплового потока по формуле (2):

, (2)
где константы C1 и C2 измерителя теплового потока определяют при помощи калибровки с использованием эталонного образца.
Проверку оборудования проводят следующим образом:
- если измерения проводят с использованием установки для одного образца, следует производить калибровку как установки для одного образца, так и установки с изолированной горячей пластиной путем периодических измерений на эталонном образце;
- если измерения проводят с использованием установки для двух образцов, контроль калибровки проводят с помощью контрольного образца непосредственно в процессе измерений.
Образцы должны иметь квадратную форму. Предпочтительные размеры образцов - 800 x 800 мм с максимально допустимым диапазоном от 750 x 750 мм до 850 x 850 мм.
Поверхности образцов должны быть плоскими и параллельными.
Допускается использовать образцы размером менее 450 x 450 мм, если можно показать, что в газовом промежутке(ах) не возникает значительной конвекции и возникающие ошибки не превышают погрешности, допустимой для установки размером 800 x 800 мм. Например, следует тщательно контролировать возможные ошибки вследствие боковых тепловых потоков через стекло образца.
Для образцов размером менее 800 x 800 мм размер измерительной зоны измерителя теплового потока (см.
раздел 6) должен быть таким, чтобы вдоль каждого края образца оставалась не накрытая измерительной зоной полоса шириной не менее 100 мм.
Сумма прогибов или выгибов внешних листов в центральной зоне образца не должна превышать 0,5 мм. Контроль прогибов и выгибов проводят после охлаждения образцов до достижения изотермического равновесия при 10 °C и измерением непосредственно перед размещением образцов в измерительной установке.
В случае слишком большого выгиба корректировка толщины образцов в центральной зоне может быть выполнена путем соответствующего изменения давления. В случае слишком большого прогиба допускается корректировка путем подкачки воздуха для газового заполнения, отличного от воздуха, если необходимая корректировка не превышает 0,5 мм.
Измерения должны проводить при вертикальном положении образца.
Однако измерения могут быть проведены при других углах наклона, например при горизонтальном положении образца. Угол наклона и направление теплового потока (восходящий или нисходящий) должны быть указаны в протоколе испытаний.
Измерения проводят при средней температуре образцов (10 +/- 0,5) °C. В этом случае средний перепад температур между горячей и холодной поверхностями образца составляет (15 +/- 1) °C.
11. Расчет и оформление результатов
11.1 Термическое сопротивление многослойного остекления
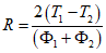
Термическое сопротивление остекления R, м2·К/Вт, определяют по формуле

, (3)
где

и

- плотности теплового потока, Вт/м
2, показанные измерителями теплового потока, расположенными по разные стороны образца;
T1 и T2 - средняя температура, К, горячей и холодной поверхностей образца, обращенных к области измерения измерителей теплового потока.
11.2 Коэффициент теплопередачи
U
Для многослойного остекления без покрытий с коэффициентом эмиссии ниже 0,837 на внешних поверхностях используют следующие стандартизованные значения коэффициентов поверхностного теплообмена:
- коэффициент теплообмена внутренней поверхности, hi = 7,7 Вт/(м2·К);
- коэффициент теплообмена внешней поверхности, he = 25 Вт/(м2·К).
Для многослойного остекления с покрытием, имеющим коэффициент эмиссии ниже 0,837, на поверхности, обращенной в помещение, стандартизованное значение коэффициента теплообмена внутренней поверхности hi, Вт/(м2·К), пересчитывают по формуле

, (4)
где

- откорректированный коэффициент эмиссии поверхности;
0,837 - откорректированный коэффициент эмиссии поверхности без покрытия для натрий-кальций-силикатного стекла и боросиликатного стекла.
Откорректированный коэффициент эмиссии определяют по EN 12898.
Значения

менее 0,837 (из-за низкоэмиссионного покрытия) учитывают только в случае, если поверхность чистая и исключена конденсация воды на поверхности с покрытием.
Улучшение значений U благодаря покрытиям с пониженным коэффициентом эмиссии на внешней поверхности остекления не учитывают.
Примечание - Применение значения величины
U внешнего элемента здания, полученного при стандартных граничных условиях, для расчета потерь тепла не является строго корректным, в том числе из-за приближения сухого воздуха в отапливаемом помещении. На практике, в большинстве случаев результат достаточно точен, но для элементов остекления с относительно большой площадью и, особенно, с низкоэмиссионной внутренней поверхностью могут возникать ошибки. В таких случаях следует обратиться к
[3],
[4] или другим соответствующим европейским стандартам.
12. Представление результатов
12.1 Значения величины U
Значения величины U должны выражаться в Вт/(м2·К) с округлением до одной десятичной значащей цифры после запятой. Если вторая цифра после запятой равна пяти, то она округляется вверх.
Пример 1: 1,53 округляется до 1,5.
Пример 2: 1,55 округляется до 1,6.
Пример 3: 1,549 округляется до 1,5.
12.2 Термическое сопротивление
Термическое сопротивление должно округляться до трех десятичных знаков после запятой.
12.3 Промежуточные значения
Промежуточные значения не округляют.
13.1 Информация, включаемая в протокол испытаний
Протокол испытаний должен содержать следующую информацию:
13.2 Характеристики образцов:
- длина, мм;
- ширина, мм;
- полная толщина, измеренная на торцах, мм;
- толщина каждого листа стекла или другого материала остекления, мм;
- ширина газового промежутка (промежутков), измеренная на торцах, мм;
- тип газового заполнения (если известен);
- положение и коэффициент эмиссии ИК-отражающего покрытия (покрытий) (если известно);
- прогиб или выгиб в центральной зоне, мм;
- откорректированный коэффициент эмиссии поверхности, обращенной в помещение.
13.3 Поперечное сечение образца
Рисунок с изображением структуры образца (положение и толщина листов стекла, положение и ширина газового промежутка (промежутков), тип газового заполнения, положение внутренних пленок, положение ИК-отражающего покрытия (покрытий) и т.д.).
13.4 Результаты измерений:
- плотность теплового потока, Вт/м2;
- напряжение, В;
- средняя температура поверхности горячей стороны образцов, °C;
- средняя температура поверхности холодной стороны образцов, °C;
- средний перепад температур между горячей и холодной сторонами образцов, К;
- средняя температура образцов, °C;
- термическое сопротивление, м2·К/Вт;
- откорректированный коэффициент эмиссии поверхности, обращенной в помещение, в случае, если имеется изменяющее коэффициент эмиссии покрытие;
- коэффициент теплообмена внутренней поверхности hi, если покрытие изменяет коэффициент эмиссии, Вт/(м2·К);
- значение U, Вт/(м2·К);
- угол наклона остекления и направление теплового потока (вверх или вниз), если положение остекления не вертикальное;
- значения hi и he при использовании нестандартизованных значений для расчета проектного значения U, в этом случае должно использоваться обозначение "проектное значение U", Вт/(м2·К).
(справочное)
СВЕДЕНИЯ О СООТВЕТСТВИИ МЕЖГОСУДАРСТВЕННЫХ СТАНДАРТОВ
ССЫЛОЧНЫМ ЕВРОПЕЙСКИМ И МЕЖДУНАРОДНЫМ СТАНДАРТАМ
Таблица ДА.1
Обозначение и наименование европейского стандарта | Степень соответствия | Обозначение и наименование межгосударственного стандарта |
EN 673:2011 Стекло в строительстве. Определение коэффициента теплопередачи (величины U). Метод расчета | - | |
EN 12898:2001 Стекло в строительстве. Определение коэффициента эмиссии | IDT | ГОСТ EN 12898-2014 Стекло и изделия из него. Методы определения тепловых характеристик. Определение коэффициента эмиссии |
ISO 8301:1991 Теплоизоляция. Определение стационарного термического сопротивления и связанных с ним свойств. Оборудование для измерения теплового потока | - | |
ISO 8302:1991 Теплоизоляция. Определение стационарного термического сопротивления и связанных с ним свойств. Оборудование для измерения методом защищенной горячей пластины | - | |
<*> Соответствующий межгосударственный стандарт отсутствует. До его принятия рекомендуется использовать перевод на русский язык данного международного стандарта. В настоящей таблице использовано следующее условное обозначение степени соответствия стандартов: - IDT - идентичные стандарты. |
(справочное)
СОПРОТИВЛЕНИЕ ТЕПЛОПЕРЕДАЧЕ ОСТЕКЛЕНИЯ
По сложившейся в строительстве практике, наряду с величиной коэффициента теплопередачи U в нормативных документах и технической литературе часто используется понятие сопротивления теплопередаче.
Сопротивление теплопередаче центральной зоны остекления R0, м2·К/Вт, характеризует теплопередачу через центральную зону остекления без учета краевых эффектов и является величиной, обратной коэффициенту теплопередачи U.
Таким образом,
уравнение (1) является, по сути, уравнением определения сопротивления теплопередаче согласно настоящему стандарту:

.
Следует отметить, что при определении сопротивления теплопередаче
R0 и коэффициента теплопередачи
U остекления для целей сравнения и рекламы следует проводить измерения при средней температуре образцов (10 +/- 0,5) °C, среднем перепаде температур между горячей и холодной поверхностями образца (15 +/- 1) °C и использовать значения коэффициентов внутреннего и внешнего теплообмена, приведенные в
11.2.
При определении
R0 и
U для целей проектирования значения средней температуры образцов и перепада температур, указанные в
разделе 10, коэффициентов внутреннего и внешнего теплообмена, приведенные в
11.2, не отражают условий эксплуатации остекления. Поэтому величины
R0 и
U для целей проектирования определяют с учетом климатических особенностей региона применения, то есть при нестандартизованных граничных условиях.
Если R0 и U используют для проектирования с учетом климатических параметров холодного периода года, граничные условия выбирают таким образом, чтобы температура наружного воздуха соответствовала температуре наиболее холодной пятидневки обеспеченностью 0,92, а скорость ветра - значению средней скорости ветра за период со средней суточной температурой воздуха <= 8 °C.
Значения
R0 и
U для целей проектирования рассчитывают по
уравнению (1) с использованием соответствующих нестандартизованных значений
he и
hi средней температуры образцов и среднего перепада температур между горячей и холодной поверхностями образца.
| EN 410 Glass in building - Determination of luminous and solar characteristics of glazing |
| EN 673 Glass in building - Determination of thermal transmittance (U value) - Calculation method |
| EN ISO 10077-1 Thermal performance of windows, doors and shutters - Calculation of thermal transmittance - Part 1: General (ISO 10077-1:2006) |
| EN ISO 10211 Thermal bridges in building construction - Heat flows and surface temperatures - Part 1: Detailed calculations (ISO 10211:2007) |
| EN ISO 13790 Energy performance of buildings - Calculation of energy use for space heating and cooling (ISO 13790:2008) |