Главная // Актуальные документы // ГОСТ (Государственный стандарт)СПРАВКА
Источник публикации
М.: Стандартинформ, 2015
Примечание к документу
Документ
введен в действие с 1 октября 2015 года.
Название документа
"ГОСТ EN 13471-2011. Межгосударственный стандарт. Изделия теплоизоляционные, применяемые для инженерного оборудования зданий и промышленных установок. Метод определения коэффициента термического расширения"
(введен в действие Приказом Росстандарта от 09.04.2015 N 235-ст)
"ГОСТ EN 13471-2011. Межгосударственный стандарт. Изделия теплоизоляционные, применяемые для инженерного оборудования зданий и промышленных установок. Метод определения коэффициента термического расширения"
(введен в действие Приказом Росстандарта от 09.04.2015 N 235-ст)
агентства по техническому
регулированию и метрологии
от 9 апреля 2015 г. N 235-ст
МЕЖГОСУДАРСТВЕННЫЙ СТАНДАРТ
ИЗДЕЛИЯ ТЕПЛОИЗОЛЯЦИОННЫЕ, ПРИМЕНЯЕМЫЕ ДЛЯ ИНЖЕНЕРНОГО
ОБОРУДОВАНИЯ ЗДАНИЙ И ПРОМЫШЛЕННЫХ УСТАНОВОК
МЕТОД ОПРЕДЕЛЕНИЯ КОЭФФИЦИЕНТА ТЕРМИЧЕСКОГО РАСШИРЕНИЯ
Thermal insulating products for building equipment
and industrial installations. Method for determination
of the coefficient of thermal expansion
(EN 13471:2001, IDT)
ГОСТ EN 13471-2011
Дата введения
1 октября 2015 года
Цели, основные принципы и основной порядок работ по межгосударственной стандартизации установлены
ГОСТ 1.0-92 "Межгосударственная система стандартизации. Основные положения" и
ГОСТ 1.2-2009 "Межгосударственная система стандартизации. Стандарты межгосударственные, правила и рекомендации по межгосударственной стандартизации. Правила разработки, принятия, применения, обновления и отмены".
1 ПОДГОТОВЛЕН Некоммерческим партнерством "Производители современной минеральной изоляции "Росизол" на основе аутентичного перевода на русский язык европейского регионального стандарта, указанного в
пункте 5
2 ВНЕСЕН Техническим комитетом по стандартизации ТК 465 "Строительство"
3 ПРИНЯТ Межгосударственной научно-технической комиссией по стандартизации, техническому нормированию и оценке соответствия в строительстве (протокол от 8 декабря 2011 г. N 39)
За принятие проголосовали:
Краткое наименование страны по МК (ИСО 3166) 004-97 | Код страны по МК (ИСО 3166) 004-97 | Сокращенное наименование национального органа государственного управления строительством |
Азербайджан | AZ | Государственный комитет градостроительства и архитектуры |
Армения | AM | Министерство градостроительства |
Казахстан | KZ | Агентство по делам строительства и жилищно-коммунального хозяйства |
Киргизия | KG | Госстрой |
Молдова | MD | Министерство строительства и регионального развития |
Россия | RU | Министерство регионального развития |
Таджикистан | TJ | Агентство по строительству и архитектуре при Правительстве |
Узбекистан | UZ | Госархитектстрой |
4
Приказом Федерального агентства по техническому регулированию и метрологии от 9 апреля 2015 г. N 235-ст межгосударственный стандарт ГОСТ EN 13471-2011 введен в действие в качестве национального стандарта Российской Федерации с 1 октября 2015 г.
5 Настоящий стандарт идентичен европейскому региональному стандарту EN 13471:2001 Thermal insulating products for building equipment and industrial installations - Determination of the coefficient of thermal expansion (Теплоизоляционные изделия, применяемые для инженерного оборудования зданий и промышленных установок. Определение коэффициента термического расширения).
Наименование настоящего стандарта изменено по отношению к наименованию европейского регионального стандарта для приведения в соответствие с ГОСТ 1.5-2001
(пункт 3.6).
Перевод с английского языка (en).
Степень соответствия - идентичная (IDT).
Сведения о соответствии межгосударственных стандартов ссылочным европейским региональным стандартам приведены в дополнительном
приложении ДА
6 ВВЕДЕН ВПЕРВЫЕ
Информация об изменениях к настоящему стандарту публикуется в ежегодном информационном указателе "Национальные стандарты", а текст изменений и поправок - в ежемесячном информационном указателе "Национальные стандарты". В случае пересмотра (замены) или отмены настоящего стандарта соответствующее уведомление будет опубликовано в ежемесячном информационном указателе "Национальные стандарты". Соответствующая информация, уведомление и тексты размещаются также в информационной системе общего пользования - на официальном сайте Федерального агентства по техническому регулированию и метрологии в сети Интернет
Настоящий стандарт устанавливает требования к средствам испытания и методике определения коэффициента термического расширения теплоизоляционных изделий, применяемых для инженерного оборудования зданий и промышленных установок в температурном диапазоне от минус 196 °C до плюс 850 °C, с учетом возможного ограничения температуры испытания образцов.
Настоящий стандарт не распространяется на изделия, которые при испытаниях изменяют размеры вследствие потери гидратной воды или других фазовых изменений.
Примечание - Образцы, отбираемые от изделия для проведения испытаний, должны быть представительными для данного изделия.
В настоящем стандарте приведена ссылка на следующий европейский региональный стандарт:
EN 12085:1997 Thermal insulating products for building applications - Determination of linear dimensions of test specimens (Теплоизоляционные изделия, применяемые в строительстве. Определение линейных размеров образцов для испытаний)
В настоящем стандарте применены следующие термины с соответствующими определениями:
3.1 линейное термическое расширение: Обратимые изменения длины изделия, происходящие вследствие изменения температуры.
3.2 средний коэффициент линейного термического расширения

в интервале температур: Отношение значения обратимого изменения длины образца к его первоначальной длине при заданной температуре и разности температур двух испытаний.
3.3 коэффициент термического расширения

при температуре T: Предельное значение

, зависящее от того, как меняется график "относительное изменение длины образца - температура" при возрастании температуры (см.
рисунок 1).
a - температура; 1 - средний коэффициент термического
расширения в интервале температур T1 и T2 (пунктирная
линия между точками A и B); 2 - коэффициент термического
расширения при температуре T (тангенс угла наклона
прямой в точке C)
Рисунок 1 - График зависимости относительного изменения
длины образца от температуры
Примечание - При определении

и

предполагается, что функция, описывающая изменение длины в зависимости от изменения температуры, непрерывна. Данное предположение исключает использование среднего коэффициента термического расширения

, если образцы претерпевают физические изменения вследствие фазовых изменений, например перекристаллизацию или потерю гидратной воды. График зависимости изменения длины от изменения температуры показывает, что средний коэффициент термического расширения не может быть определен для той части графика, которая не является непрерывной.
Определяют изменение линейных размеров изделия при изменении его температуры и строят график зависимости относительного изменения длины образца от температуры.
Данную процедуру проводят непрерывно, если необходим график во всем температурном диапазоне, или для двух заданных температур, если средний коэффициент термического расширения необходимо определить в интервале между этими двумя температурами.
5.1 Дилатометр
Дилатометр подходящего размера и температурного диапазона (см.
рисунок 2).
Примечание - Типовые дилатометры трубчатого или стержневого типа изготовлены из кварца высокой чистоты.
1 - микрометрический винт; 2 - термостат; 3 - толкатель;
4 - защитная труба; 5 - печь; 6 - образец; 7 - датчик
линейного дифференциального изменения длины; 8 - держатель
образца; 9 - термопара
Рисунок 2 - Пример типового дилатометра
5.2 Микронный штангенциркуль
Штангенциркуль со шкалой в микрометрах (микронах), позволяющий проводить прямые измерения длины образца при разных температурах. Точность измерений должна быть такой, чтобы все последовательные измерения при одинаковой температуре проводились с точностью до 2·10-4 l0 для длины и 2·10-5 l0 - для изменения длины.
5.3 Электрическая печь
Электрическая печь, обеспечивающая создание высоких температур. Электрическая печь должна поддерживать среднюю, максимальную и минимальную температуры образца с точностью +/- 2 °C. Скорость изменения температуры в электрической печи не должна превышать 1 °C/мин в момент перехода от одной температуры испытания к другой.
5.4 Испытательная камера
Испытательная камера для низких и криогенных температур должна поддерживать среднюю, максимальную и минимальную температуры образца с точностью +/- 1 °C от заданной температуры испытания.
Скорость изменения температуры в испытательной камере не должна превышать 1 °C/мин в момент перехода от одной температуры испытаний к другой.
5.5 Средства измерения температуры
Калиброванные термопары с погрешностью измерения температуры: +/- 0,5 °C в диапазоне от минус 196 °C до 200 °C; +/- 1 °C - в диапазоне от 200 °C до 500 °C; +/- 2 °C - в диапазоне от 500 °C до 850 °C.
Термопары подсоединяют к постоянно записывающей аппаратуре. Если требуется определить средний коэффициент термического расширения

между двумя температурами, то измерения должны проводиться только для этих температур.
Примечание - Аппаратура, применяемая для синхронной регистрации изменения длины и температуры, записывает график зависимости изменения длины

от разности температур T
2 - T
1.
5.6 Приспособления для подготовки образцов
Для подготовки образцов к испытаниям применяют пилу или тонкостенную стальную трубу.
6.1 Размеры образцов
Размеры изделия должны быть такими, чтобы из него можно было вырезать образцы, соответствующие размеру дилатометра.
Размеры образцов указывают в стандартах или технических условиях на изделия конкретных видов.
Примечания
1 При отсутствии стандарта или технических условий на изделие размеры образцов согласовывают между заинтересованными сторонами.
2 Типовые образцы изготовляют длиной (50 +/- 1) мм, с квадратным сечением со стороной (10 +/- 1) мм или круглым сечением диаметром (10 +/- 1) мм. Допускается изготовлять образцы, размерами больше или меньше указанных, при этом следует учитывать, что образцы небольшой длины утрачивают чувствительность к высокой температуре, в образцах большой длины может возникать разность температур вдоль продольной оси образца или физические деформации, например, ползучесть или различные виды упругой деформации.
Отклонения от параллельности между двумя поверхностями и от плоскостности этих поверхностей образца не должны превышать 1% его линейного размера.
6.2 Подготовка образцов
С изделия удаляют любые слои, облицовки и/или покрытия.
Образцы выпиливают из изделия пилой или вырезают тонкостенной стальной трубой в направлении, в котором проводят измерение коэффициента линейного термического расширения, и определяют линейные размеры.
Специальные требования к подготовке образцов, например прокаливание или высушивание при заданных условиях, должны быть указаны в стандартах или технических условиях на изделие конкретного вида.
Для анизотропных изделий измерения проводят в обоих направлениях: по длине и ширине.
6.3 Число образцов
Число образцов должно быть указано в стандартах или технических условиях на изделие конкретного вида.
Если число образцов не установлено, испытывают не менее двух образцов.
Примечание - В случае отсутствия стандарта или технических условий на изделие число образцов может быть согласовано между заинтересованными сторонами.
6.4 Кондиционирование образцов
Образцы выдерживают не менее 6 ч при температуре (23 +/- 5) °C. В случае разногласий образцы следует выдерживать при температуре (23 +/- 2) °C и относительной влажности воздуха (50 +/- 5)% в течение времени, указанного в стандарте или технических условиях на изделие.
7. Методика проведения испытаний
7.1 Условия проведения испытаний
Испытания начинают при температуре (23 +/- 2) °C, так как точность поддержания температур является необходимым условием для испытаний.
7.2 Проведение испытаний
Образец очищают и устанавливают в дилатометр так, чтобы на поверхностях торцов образца, прилегающих к дилатометру, и контактных поверхностях дилатометра не было посторонних частиц.
Измеряют длину образца при температуре (23 +/- 2) °C (указанную температуру считают нормальной температурой).
Устанавливают термопары в необходимых точках так, чтобы они имели хороший контакт с образцом.
Дилатометр с образцом помещают в печь или в испытательную камеру.
Нагревают или охлаждают систему, соблюдая температурный градиент, заданный в стандарте или технических условиях на изделие. Если такие данные отсутствуют, то температурный градиент не должен превышать 3 °C/мин и 1 °C/мин для последнего температурного интервала, равного 50 °C.
Стабилизируют температуру в температурном интервале не более 50 °C за время, достаточное для достижения одинаковой температуры всего образца. Время, необходимое для установления стабильной температуры, 30 мин.
Измеряют температуру и длину образца в условиях постоянной температуры (отклонение +/- 2 °C - для высоких температур и +/- 1 °C - для низких температур). Непрерывно регистрируют кривые зависимости изменения длины от температуры, следуя инструкциям к используемому оборудованию.
Снижают температуру до нормального значения и вновь измеряют длину образца. Если имеют место необратимые изменения образца, испытания повторяют до тех пор, пока изменения станут только обратимыми.
Результаты испытаний рассчитывают только по данным, полученным на этапе обратимых изменений.
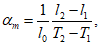
8. Обработка и представление результатов испытаний
В зависимости от прибора, примененного для измерения длины, проводят корректировку, например, длины кварцевого держателя образца в случае ее увеличения.
Рассчитывают средний коэффициент линейного термического расширения,

, °C
-1, в интервале температур T
1 и T
2 по формуле

(1)
где l0 - длина образца, мм, при нормальной температуре T0, °C;
l1 - длина образца, мм, при температуре T1, °C;
l2 - длина образца, мм, при температуре T2, °C.
Если необходимо, определяют коэффициент термического расширения

при температуре T как тангенс угла наклона касательной к кривой.
Примечание - Настоящий стандарт не содержит данных о точности метода, однако при последующем его пересмотре такие данные будут в него включены.
Отчет об испытаниях должен содержать:
a) ссылку на настоящий стандарт;
b) идентификацию изделия:
1) наименование изделия, предприятия-изготовителя или поставщика,
2) код маркировки изделия,
3) вид изделия,
4) вид упаковки,
5) форму поставки изделия в лабораторию,
6) дополнительную информацию (если необходимо), например номинальные размеры;
c) методику проведения испытания:
1) подготовку к испытаниям и порядок отбора образцов, например, кто и в каком месте проводил отбор образцов,
2) время ожидания до кондиционирования образцов,
3) условия кондиционирования образцов,
4) условия прокаливания или высушивания образцов,
5) наличие облицовок, массу облицовок и методы их удаления (при необходимости),
6) наличие поверхностных слоев, образовавшихся при изготовлении, и способы их удаления (если необходимо),
7) любые отклонения от требований, приведенных в
разделах 6 и
7 (при необходимости),
8) дату проведения испытаний,
9) общую информацию об испытаниях,
10) обстоятельства, которые могли бы повлиять на результаты испытаний.
Примечание - Сведения об оборудовании и о лаборанте, проводившем испытание, должны находиться в лаборатории, однако в отчете их не указывают;
d) результаты испытаний: все единичные и среднеарифметические значения коэффициента термического расширения в каждом температурном интервале или при каждой температуре.
(справочное)
СВЕДЕНИЯ О СООТВЕТСТВИИ МЕЖГОСУДАРСТВЕННЫХ СТАНДАРТОВ
ССЫЛОЧНЫМ ЕВРОПЕЙСКИМ РЕГИОНАЛЬНЫМ СТАНДАРТАМ
Таблица ДА.1
Обозначение и наименование ссылочного европейского регионального стандарта | Степень соответствия | Обозначение и наименование межгосударственного стандарта |
EN 12085:1997 Теплоизоляционные изделия, применяемые в строительстве. Определение линейных размеров образцов для испытания | IDT | ГОСТ EN 12085-2011 Изделия теплоизоляционные, применяемые в строительстве. Методы определения линейных размеров образцов, предназначенных для испытаний |
Примечание - В настоящей таблице использовано следующее условное обозначение степени соответствия стандартов: - IDT - идентичные стандарты. |