Главная // Актуальные документы // ГОСТ (Государственный стандарт)СПРАВКА
Источник публикации
М.: Стандартинформ, 2016
Примечание к документу
Документ включен в Перечень международных и региональных (межгосударственных) стандартов (
п. п. 410,
973), а в случае их отсутствия - национальных (государственных) стандартов, в результате применения которых на добровольной основе обеспечивается соблюдение требований технического
регламента Таможенного союза "О безопасности машин и оборудования" (ТР ТС 010/2011) и в Перечень международных и региональных (межгосударственных) стандартов (
п. п. 406,
864), а в случае их отсутствия - национальных (государственных) стандартов, содержащих правила и методы исследований (испытаний) и измерений, в том числе правила отбора образцов, необходимые для применения и исполнения требований технического
регламента Таможенного союза "О безопасности машин и оборудования" (ТР ТС 010/2011) и осуществления оценки соответствия объектов технического регулирования (
Решение Коллегии Евразийской экономической комиссии от 09.03.2021 N 28).
Документ
введен в действие с 01.06.2017.
Название документа
"ГОСТ 33651-2015 (EN 12159:2012). Межгосударственный стандарт. Подъемники строительные грузопассажирские. Общие технические условия"
(введен в действие Приказом Росстандарта от 02.06.2016 N 496-ст)
"ГОСТ 33651-2015 (EN 12159:2012). Межгосударственный стандарт. Подъемники строительные грузопассажирские. Общие технические условия"
(введен в действие Приказом Росстандарта от 02.06.2016 N 496-ст)
агентства по техническому
регулированию и метрологии
от 2 июня 2016 г. N 496-ст
МЕЖГОСУДАРСТВЕННЫЙ СТАНДАРТ
ПОДЪЕМНИКИ СТРОИТЕЛЬНЫЕ ГРУЗОПАССАЖИРСКИЕ
ОБЩИЕ ТЕХНИЧЕСКИЕ УСЛОВИЯ
Passenger and freight construction site hoists.
General specifications
(EN 12159:2012,
Builders hoists for persons and materials
with vertically guided cages,
MOD)
ГОСТ 33651-2015
(EN 12159:2012)
Дата введения
1 июня 2017 года
Цели, основные принципы и основной порядок проведения работ по межгосударственной стандартизации установлены в
ГОСТ 1.0-2015 "Межгосударственная система стандартизации. Основные положения" и
ГОСТ 1.2-2015 "Межгосударственная система стандартизации. Стандарты межгосударственные, правила и рекомендации по межгосударственной стандартизации. Правила разработки, принятия, обновления и отмены"
1 ПОДГОТОВЛЕН Техническим комитетом по стандартизации 438 "Подъемники с рабочими платформами" на основе собственного перевода на русский язык немецкоязычной версии стандарта, указанного в
пункте 5
2 ВНЕСЕН Федеральным агентством по техническому регулированию и метрологии (Росстандарт)
3 ПРИНЯТ Межгосударственным советом по стандартизации, метрологии и сертификации (протокол от 10 декабря 2015 г. N 48-2015)
За принятие проголосовали:
Краткое наименование страны по МК (ИСО 3166) 004-97 | Код страны по МК (ИСО 3166) 004-97 | Сокращенное наименование национального органа по стандартизации |
Армения | AM | Минэкономики Республики Армения |
Беларусь | BY | Госстандарт Республики Беларусь |
Казахстан | KZ | Госстандарт Республики Казахстан |
Киргизия | KG | Кыргызстандарт |
Россия | RU | Росстандарт |
Таджикистан | TJ | Таджикстандарт |
4
Приказом Федерального агентства по техническому регулированию и метрологии от 2 июня 2016 г. N 496-ст межгосударственный стандарт ГОСТ 33651-2015 (EN 12159:2012) введен в действие в качестве национального стандарта Российской Федерации с 1 июня 2017 г.
5 Настоящий стандарт является модифицированным по отношению к европейскому стандарту EN 12159:2012 "Подъемники строительные с вертикально направляемой клетью для перемещения людей и материалов" ("Builders hoists for persons and materials with vertically guided cages", MOD) путем включения дополнительных положений, фраз, слов, которые выделены в тексте курсивом, а также путем изменения его структуры для приведения в соответствие с правилами, установленными в ГОСТ 1.5-2001 (
подразделы 4.2 и
4.3).
Сравнение структуры настоящего стандарта со структурой указанного европейского стандарта приведено в дополнительном
приложении ДА.
Объяснения причин технических отклонений и редакторских изменений приведены в дополнительном
приложении ДБ.
Наименование настоящего стандарта изменено относительно наименования указанного европейского регионального стандарта для приведения в соответствие с ГОСТ 1.5-2001
(подраздел 3.6).
6 Настоящий стандарт может быть применен на добровольной основе для соблюдения технического
регламента Таможенного союза "О безопасности машин и оборудования"
7 ВВЕДЕН ВПЕРВЫЕ
Информация об изменениях к настоящему стандарту публикуется в ежегодном информационном указателе "Национальные стандарты", а текст изменений и поправок - в ежемесячном информационном указателе "Национальные стандарты". В случае пересмотра (замены) или отмены настоящего стандарта соответствующее уведомление будет опубликовано в ежемесячном информационном указателе "Национальные стандарты". Соответствующая информация, уведомление и тексты размещаются также в информационной системе общего пользования - на официальном сайте Федерального агентства по техническому регулированию и метрологии в сети Интернет (www.gost.ru)
В соответствии с EN 1070 существует иерархическая структура стандартов в области безопасности:
a) стандарты типа A (основополагающие стандарты по безопасности), содержащие основные концепции, принципы конструирования и общие аспекты, которые могут быть применены к оборудованию всех видов;
b) стандарты типа B (групповые стандарты по безопасности), относящиеся к одному аспекту безопасности или к одному типу защитного устройства, применяющиеся для оборудования, имеющего широкий диапазон использования:
- стандарты типа B1 распространяются на определенные аспекты безопасности (например, безопасное расстояние, температура поверхности, шум);
- стандарты типа B2 распространяются на устройства, обеспечивающие безопасность (например, двуручный орган управления, блокирующее устройство);
c) стандарты типа C (стандарты по безопасности машин), содержащие детальные требования по безопасности отдельных видов машин или группы однородных машин.
Настоящий стандарт относится к стандартам типа C и рассматривает требования безопасности, предъявляемые к строительным грузовым подъемникам.
Опасные факторы, рассматриваемые в настоящем стандарте, приведены в
разделе 4. Опасные факторы, характерные для всех видов оборудования, приведены в EN 292.
Если требования настоящего стандарта отличаются от положений, которые установлены в стандартах типа A или B, то требования настоящего стандарта имеют приоритет над положениями других стандартов.
1.1 Настоящий стандарт распространяется на грузопассажирские строительные подъемники (далее - подъемники), предназначенные для использования рабочим персоналом, имеющим разрешение для входа на строительную площадку и строительные сооружения.
Настоящий стандарт распространяется на подъемники, обслуживающие площадки различных уровней:
- перемещающиеся вертикально по направляющим, отклонение которых от вертикали составляет не более 15°;
- удерживаемые или перемещаемые при помощи канатного привода, зубчато-реечного привода, гидравлического привода (прямого или непрямого действия) или механизмом пантографного типа;
- с мачтами, которые требуют или не требуют поддержки отдельных элементов.
1.2 В настоящем стандарте описаны опасности, возникающие при эксплуатации подъемника (см.
раздел 4), а также методы по их предотвращению или снижению при использовании подъемника по назначению.
1.3 Настоящий стандарт не устанавливает дополнительных требований:
- для работы в сложных условиях (например, в зонах с экстремальными климатическими условиями или в зонах действия сильного магнитного поля);
- к защите от грозовых разрядов;
- для работы, к которой предъявляются особые требования (например, во взрывоопасных зонах);
- к электромагнитной совместимости (помехоэмиссия, помехоустойчивость);
- к обращению с грузами, свойства которых могут привести к созданию опасной ситуации (например, расплавы, кислоты или щелочи, радиоактивные материалы, бьющиеся грузы);
- к использованию двигателей внутреннего сгорания;
- к использованию дистанционного управления;
- к опасностям, возникающим при изготовлении;
- к опасностям, возникающим вследствие месторасположения подъемника;
- к опасностям, возникающим в том случае, если подъемник устанавливается над зонами движения общественного транспорта;
- к работе при землетрясении.
1.4 Настоящий стандарт не распространяется на:
- лифты по стандартам
[1] -
[4];
- рабочие кабины, подвешенные к подъемным устройствам;
- вилочные напольные подъемники;
- рабочие платформы по стандарту
[5];
- канатные дороги;
- подъемники, сконструированные специально для военных целей;
- шахтные подъемники;
- театральные подъемники;
- подъемники специального назначения;
- подъемники с гидравлическими системами привода/тормозов и гидравлическими системами безопасности.
Настоящий стандарт не применим к строительным грузопассажирским подъемникам, которые изготовлены до введения в действие настоящего стандарта.
1.5 Настоящий стандарт распространяется на подъемники в целом и его оборудование, в том числе опорную раму и ограждения, но не рассматривает требования к фундаментам, например из бетона, стали и дерева. В стандарт включены конструкции анкерных креплений мачт, но он не устанавливает требования к анкерам, используемым строителями. Стандарт рассматривает двери погрузочных площадок и их рамы, но не устанавливает требования к средствам их крепления.
В настоящем стандарте использованы нормативные ссылки на следующие межгосударственные стандарты:
ГОСТ 2.601-2013 Единая система конструкторской документации. Эксплуатационные документы
ГОСТ EN 894-1-2012 Безопасность машин. Эргономические требования к оформлению индикаторов и органов управления. Часть 1. Общие принципы при взаимодействии оператора с индикаторами и органами управления
ГОСТ EN 953-2002 Безопасность оборудования. Защитные устройства. Общие требования по конструированию и изготовлению неподвижных и перемещаемых устройств
ГОСТ 1451-77 Краны грузоподъемные. Нагрузка ветровая. Нормы и метод определения
ГОСТ ISO 3864-1-2013 Графические символы. Сигнальные цвета и знаки безопасности. Часть 1. Принципы проектирования знаков и сигнальной разметки
ГОСТ ISO 12100-2013 Безопасность машин. Основные принципы конструирования. Оценки риска и снижения риска
ГОСТ ISO 13857-2012 Безопасность машин. Безопасные расстояния для предохранения верхних и нижних конечностей от попадания в опасную зону
ГОСТ 14254-96 (IEC 60529:1989) Степени защиты, обеспечиваемые оболочками (код IP)
ГОСТ 15150-69 Машины, приборы и другие технические изделия. Исполнения для различных климатических районов. Категории, условия эксплуатации, хранения и транспортирования в части воздействия климатических факторов внешней среды
ГОСТ 30691-2001 (ИСО 4871-96) Шум машин. Заявление и контроль значений шумовых характеристик
ГОСТ 33558.1-2015 (EN 12158-1:2000+A1:2010) Подъемники строительные грузовые вертикальные. Общие технические условия
ГОСТ 33558.2-2015 (EN 12158-2:2000+A1:2010) Подъемники строительные грузовые наклонные. Общие технические условия
ГОСТ IEC 60947-5-1-2014 Аппаратура распределения и управления низковольтная. Часть 5-1. Аппараты и коммутационные элементы цепей управления. Электромеханические аппараты для цепей управления
Примечание - При пользовании настоящим стандартом целесообразно проверить действие ссылочных стандартов в информационной системе общего пользования - на официальном сайте Федерального агентства по техническому регулированию и метрологии в сети Интернет или по ежегодному информационному указателю стандартов "Национальные стандарты", который опубликован по состоянию на 1 января текущего года, и по выпускам ежемесячного информационного указателя "Национальные стандарты" за текущий год. Если ссылочный стандарт заменен (изменен), то при пользовании настоящим стандартом следует руководствоваться заменяющим (измененным) стандартом. Если ссылочный стандарт отменен без замены, то положение, в котором дана ссылка на него, применяется в части, не затрагивающей эту ссылку.
В настоящем стандарте применены термины по
ГОСТ ISO 12100,
ГОСТ 33558.1, а также следующие термины с соответствующими определениями:
3.1 привод с геометрическим замыканием: Привод, не основанный на трении.
3.2 анкерное крепление мачты: Соединение между мачтой и строительным сооружением, предназначенное для боковой опоры мачты.
3.3 траектория движения: Путь, который проходит грузонесущее устройство и груз.
3.4 траектория движения противовеса: Путь, который проходит противовес.
3.5 кабина: Грузонесущее устройство, состоящее из пола, стен, дверей и крыши.
3.6 тормозной путь: Отрезок пути, который проходит кабина с момента размыкания предохранительной цепи управления до момента полной остановки.
3.7 режим эксплуатации: Режим работы, предусмотренный для регулярного транспортирования груза, при котором исключаются работы по техническому обслуживанию, монтажу и демонтажу.
3.8 рабочее состояние: Состояние эксплуатационной готовности, независимо от того, в каком месте находится кабина, нагружена ли она или нет, движется ли она или нет.
3.9 нерабочее состояние: Состояние, когда пустая кабина установленного подъемника находится в положении, наилучшим образом защищенном от порывов ветра, - как правило, но не обязательно, на уровне земли.
4. Перечень опасных факторов
Перечень опасных факторов, приведенный в настоящем стандарте, определен в соответствии с
ГОСТ ISO 12100.
Перечень опасных факторов, характерных для подъемников, опасных факторов, создаваемых подъемником в движении и опасных факторов, связанных с подъемом людей и грузов, а также рассматриваемые в настоящем стандарте меры по их предотвращению или уменьшению приведены в таблицах 1.1,
1.2 и
1.3 (соответственно).
Опасные факторы, которые не определены пунктами настоящего стандарта, но могут иметь место, обозначены как "Не учитывается".
Таблица 1.1
Перечень основных опасных факторов,
характерных для подъемников
| Соответствующие пункты настоящего стандарта |
1 | Механические опасности: |
1.1 | Опасность раздавливания | |
1.2 | Опасность пореза | |
1.3 | Опасность отрезания | |
1.4 | Опасность наматывания | |
1.5 | Опасность затягивания | |
1.6 | Опасность удара | |
1.7 | Опасность прокалывания | Не учитывается |
1.8 | Опасность, связанная с трением или истиранием | |
1.9 | Опасность выброса жидкости под высоким давлением | Не учитывается |
1.10 | Опасность, связанная с выбросом частей оборудования | |
1.11 | Опасность, связанная с потерей устойчивости | |
1.12 | Опасность поскользнуться, споткнуться или упасть | |
2 | Электрические опасности: | |
2.1 | Электрический контакт | |
2.2 | Электростатические процессы | Не учитывается |
2.3 | Термическое излучение | Не учитывается |
2.4 | Внешнее воздействие на электрооборудование | |
3 | Термические опасности: | |
3.1 | Ожоги | Не учитывается |
3.2 | Нанесение вреда здоровью из-за воздействия высоких или низких температур в рабочей зоне | Не учитывается |
4 | Опасности, связанные с шумом: | |
4.1 | Ухудшение слуха (глухота), другие физиологические нарушения (например, потеря равновесия, потеря ориентации и т.п.) | |
4.2 | Ухудшение речевой коммуникации, ухудшение восприятия звуковых сигналов и т.п. | |
5 | Опасности, обусловленные вибрацией | Не учитывается |
6 | Опасности, обусловленные излучением: | |
6.1 | Электрических дуг | Не учитывается |
6.2 | Лазерного излучения | Не учитывается |
6.3 | Источников ионизирующего излучения | Не учитывается |
6.4 | Высокочастотных электромагнитных полей | Не учитывается |
7 | Опасности, вызванные материалами и веществами, которые применяются, обрабатываются или выделяются оборудованием: | |
7.1 | Опасность, возникающая при контакте с токсичными жидкостями, пылью и испарениями, а также при вдыхании токсичных газов, паров или пыли | Не учитывается |
7.2 | Опасность пожара или взрыва | Не учитывается |
7.3 | Опасные биологические и микробиологические (вирусные или бактериальные) факторы | Не учитывается |
8 | Опасности из-за несоблюдения эргономических принципов в конструкции оборудования (несоответствие параметров оборудования антропометрическим данным человека): |
8.1 | Неудобное положение или чрезмерное физическое напряжение | |
8.2 | Неправильное расположение рук и ног с точки зрения антропометрических особенностей | |
8.3 | Отказ в использовании индивидуальных средств защиты | Не учитывается |
8.4 | Недостаточное освещение | |
8.5 | Повышенное моральное напряжение, стресс | |
| | ИС МЕГАНОРМ: примечание. В официальном тексте документа, видимо, допущена опечатка: пункт 5.19 отсутствует. | |
|
8.6 | Субъективная ошибка | |
9 | Комбинация опасностей | Не учитывается |
9.1 | Ветровые нагрузки | |
10 | Опасности, возникающие при нарушении энергоснабжения, поломке деталей оборудования и других функциональных нарушениях: |
10.1 | Нарушение энергоснабжения | |
10.2 | Неожиданный выброс частей оборудования или разбрызгивание жидкостей | |
| | ИС МЕГАНОРМ: примечание. В официальном тексте документа, видимо, допущена опечатка: пункт 5.10.26 отсутствует. | |
|
10.3 | Сбой (отказ) или нарушения в работе системы управления | |
10.4 | Ошибка при монтаже оборудования | |
10.5 | Опрокидывание оборудования, неожиданная потеря устойчивости | |
11 | Опасности, возникающие при отсутствии и/или неправильном расположении защитных средств: | |
11.1 | Все виды защитных ограждений | |
11.2 | Все виды предохранительных устройств | |
11.3 | Устройства пуска и останова | |
11.4 | Символы и сигналы, предупреждающие об опасности | |
11.5 | Все виды информационных или предупреждающих устройств | |
11.6 | Устройства отключения энергоснабжения | |
11.7 | Аварийные устройства | |
11.8 | Механизм подачи обрабатываемых материалов | Не учитывается |
11.9 | Устройство, необходимое для безопасного монтажа и/или технического обслуживания оборудования | |
11.10 | Оборудование для отвода газов и т.п. | Не учитывается |
Таблица 1.2
Перечень опасных факторов, связанных
с передвижением подъемников и подъемом ими грузов
Опасный фактор | Соответствующие пункты настоящего стандарта |
Опасности, вызванные передвижением подъемников |
12 | Недостаточное освещение рабочей зоны и маршрута передвижения | Не учитывается |
13 | Опасность, связанная с внезапным движением, неустойчивостью во время управления и т.п. | Не учитывается |
14 | Несоответствие рабочего положения или положения во время движения | Не учитывается |
15 | Механические опасности | Не учитывается |
16 | Опасности во время подъема груза: |
16.1 | Отсутствие устойчивости | |
16.2 | Сход оборудования с направляющих | |
16.3 | Потеря механической прочности оборудования или грузоподъемных устройств | |
16.4 | Опасности, вызванные неконтролируемыми перемещениями | |
16.5 | Опасность от неконтролируемого движения кабины | |
16.6 | Опасность от падения предметов на кабину | |
17 | Недостаточный обзор траектории движения частей оборудования | |
18 | Опасности, связанные с поражением молнией | Не учитывается |
19 | Опасности, связанные с нагрузкой или перегрузкой | |
Таблица 1.3
Перечень опасных факторов,
связанных с подъемом людей и грузов
Опасный фактор | Соответствующие пункты настоящего стандарта |
Опасности для людей, поднимающихся на подъемнике |
20 | Опасности, связанные с перегрузкой или переполнением кабины | |
21 | Неожиданные движения кабины вследствие заданных снаружи команд на движение или иных движений оборудования | |
22 | Превышение скорости | |
23 | Выпадение людей из кабины | |
24 | Падение или опрокидывание кабины | |
25 | Ускорение или торможение | |
26 | Неправильная маркировка | |
27 | Опасность для людей в или на кабине | |
28 | Управление на местах погрузки | |
29 | Вход в кабину | |
5. Требования и меры безопасности
Конструкция подъемника должна обеспечивать безопасную эксплуатацию, монтаж/демонтаж, а также техническое обслуживание. Должна быть предусмотрена возможность монтажа подъемника с помощью безопасных средств доступа, например крыши кабины, или с использованием соответствующих устройств.
При проектировании всех конструкций, например секций мачт, следует рассчитывать их массу с учетом того, что их монтаж будет осуществляться вручную. В руководстве по эксплуатации необходимо сделать указания об использовании подъемных механизмов для перемещения деталей, масса которых превышает допустимую. Все снимаемые и откидные крышки должны иметь закрепляющие элементы.
5.1.1 Подъемники должны изготовляться в климатическом исполнении У категории размещения I по ГОСТ 15150 для работы при температуре окружающего воздуха от минус 40 °C до плюс 40 °C с верхним значением относительной влажности воздуха 80% при 25 °C, атмосферой типа II по ГОСТ 15150, в I - V ветровых районах по ГОСТ 1451 при скорости ветра для рабочего состояния подъемника на высоте 10 м не более 14 м/с.
Подъемники должны сохранять работоспособность на высоте над уровнем моря до 2000 м.
Подъемники, предназначенные для эксплуатации в районах с холодным и тропическим климатом (исполнения ХЛ и Т), следует изготовлять по техническим условиям, разработанным на основе настоящего стандарта.
5.1.2 Свободностоящие подъемники, не крепящиеся к сооружению, используемые в районах с сейсмичностью более 6 баллов, должны быть выполнены в сейсмостойком исполнении с указанием в паспорте допустимого района установки.
5.1.3 Металлоконструкции подъемника следует изготовлять из сталей с механическими свойствами (в т.ч. и ударной вязкостью), химическим составом, свариваемостью, обеспечивающими работоспособность подъемника в диапазоне температур по 5.1.1.
5.2.1 Подъемник должен быть сконструирован таким образом, чтобы при всех предусмотренных условиях эксплуатации, в том числе при монтаже и демонтаже, а также, например, при низких температурах, его прочность была достаточной.
Конструирование подъемника и каждой относящейся к нему составной части должно происходить с учетом всех возможных случаев нагрузки, описанных в настоящем разделе. При этом во всех случаях нагрузки необходимо учитывать самое неблагоприятное положение кабины и груза по отношению к мачте и ее анкерному креплению, как при движении кабины вверх и вниз, так и при ее возможном горизонтальном перемещении, например повороте. Анкерное крепление между мачтой и строительным сооружением должно рассматриваться как часть конструкции подъемника.
5.2.2 При расчете подъемника и каждой относящейся к нему составной части необходимо учитывать следующие усилия и нагрузки:
5.2.2.1 Собственная масса, за исключением кабины и тех составных частей, которые перемещаются вместе с кабиной.
5.2.2.2 Собственная масса кабины без груза и всех составных частей, которые перемещаются вместе с кабиной.
5.2.2.3 Собственная масса платформы погрузочной площадки и дверей, если они создают нагрузку на конструкцию подъемника.
5.2.2.4 Номинальная нагрузка кабины
Воздействие сил, которые возникают вследствие номинальной нагрузки кабины и мачты, необходимо учитывать путем использования одного из двух следующих способов, которые различаются по удельной нагрузке на пол кабины:
где F - номинальная нагрузка, кН;
A - общая площадь пола кабины, м2,
то номинальная нагрузка считается распределенной по уменьшенной площади A1, которая обеспечивает удельную нагрузку на единицу площади 4,0 кН/м2. При этом форма и расположение этой площади должны быть выбраны с условием самого неблагоприятного случая нагрузки как для кабины, так и для мачты. Пример приведен на рисунке 1.
Рисунок 1 - Пример нагрузки в соответствии с
5.2.2.4 a)
то номинальная нагрузка считается распределенной по площади A2, составляющей 80% всей опорной площади пола кабины. При этом форма и расположение этой площади должны быть выбраны с условием самого неблагоприятного случая нагрузки как для кабины, так и для мачты. Пример приведен на рисунке 2.
Рисунок 2 - Пример нагрузки в соответствии с
5.2.2.4 b)
5.2.2.5 Если при равномерном распределении номинальной нагрузки по всей опорной площади пола кабины нагрузка окажется меньше 4,0 кН/м
2, то при расчете следует исходить из нагрузки не менее 4,0 кН/м
2 на всей площади
A пола кабины (см. рисунок 3).
Рисунок 3 - Равномерное распределение нагрузки
5.2.2.6 Усилие при загрузке и разгрузке рассчитывают как результирующую вертикальных и горизонтальных сил (см.
рисунок 4), каждую из которых рассчитывают следующим образом:
- вертикальная сила Fv равна 50% номинальной нагрузки, но не менее чем 2,0 кН, или для номинальной нагрузки, превышающей 20 кН, рассчитывают по следующей формуле

(1)
где Fv - вертикальная сила, кН;
F - номинальная нагрузка, кН;
- горизонтальная сила FH равна 20% номинальной нагрузки, но не менее чем 0,5 кН и не более чем 2,5 кН.
Рисунок 4 - Пример действия сил при загрузке и разгрузке
Предполагается, что местом приложения обеих сил является точка, расположенная на уровне пола на расстоянии 1/3 ширины входного проема кабины. Направление их действия выбирается с условием самого неблагоприятного случая нагрузки как для кабины, так и для мачты. Нагрузки, возникающие в мачте и в кабине, рассчитывают, минимум для следующих точек приложения сил, действующих при загрузке и разгрузке:
- на пороге кабины;
- на кромке трапа или другом выступе кабины, если они не опираются на погрузочную площадку.
При этом следует предполагать, что остальная часть номинальной нагрузки Fv1 должна быть приложена в центре кабины.
Соответствующие нагрузки следует учитывать при расчете порога погрузочной площадки и всех поддерживающих конструкций. Информация об этих нагрузках должна приводиться в руководстве по эксплуатации.
5.2.2.7 Динамические нагрузки рассчитывают посредством умножения фактической массы всех подвижных элементов (кабины, номинальной нагрузки, стальных канатов и т.п.) на коэффициент


(2)
где V - номинальная скорость, м/с.
Можно использовать другие коэффициенты при условии, что они приведут к более точным результатам.
5.2.2.8 Для определения сил, возникающих при срабатывании ловителя, фактическую массу всех подвижных элементов необходимо умножить на коэффициент 2,5.
Можно использовать меньший коэффициент, но не менее 1,2, принимая во внимание, что он применим для всех условий загрузки и нагрузки, превышающей номинальную в 1,3 раза. При расчетах необходимо учитывать также и силу инерции системы привода.
5.2.2.9 Если крышу кабины используют для монтажа и демонтажа, технического обслуживания или в качестве аварийного выхода, она должна выдерживать нагрузку не менее 3,0 кН, приложенную на площади, равной 1,0 м
2, расположенной в самом неблагоприятном месте. Крыша должна также выдерживать нагрузку в 1,2 кН, приложенную на площади 0,1 x 0,1 м в любом месте.
5.2.2.10 Если крыша кабины не предназначена для нахождения на ней обслуживающего персонала, то она должна выдерживать нагрузку в 1,0 кН, приложенную на площади 0,1 x 0,1 м в любом месте.
5.2.2.11 Пол кабины должен выдерживать без остаточной деформации статическую нагрузку 1,5 кН или 25% от полезной нагрузки (выбирается большее значение), но не более 3 кН, приложенную на площади 0,1 x 0,1 м в самом неблагоприятном месте.
5.2.2.12 Воздействие ветровой нагрузки
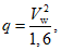
5.2.2.12.1 Скоростной напор ветра q, Н/м2, рассчитывают по общей формуле

(3)
где Vw - скорость ветра, м/с.
Предполагают, что ветер действует горизонтально в любом направлении. При расчете принимают самое неблагоприятное направление потока ветра.
Расчеты следует проводить по
ГОСТ 1451 с учетом следующих требований:
5.2.2.12.2 Воздействие ветровой нагрузки на кабину
При расчете ветровой нагрузки на кабину следует предполагать, что боковые стенки являются сплошными. Аэродинамический коэффициент c предполагается равным 1,2. Это значение учитывает как коэффициент формы, так и коэффициент затенения.
Если конструкция кабины позволяет транспортирование грузов, выступающих за пределы кабины, согласно
5.6.1.4.3, то при расчете ветровой нагрузки при эксплуатации подъемника необходимо учитывать дополнительную площадь, равную площади полностенного корпуса, с площадью основания, равного площади отверстия в крыше кабины, и высотой 2 м над уровнем кабины.
5.2.2.12.3 Ветровые нагрузки
5.2.2.12.3.1 Общее
При расчете ветровых нагрузок для подъемника рассматривают три случая:
5.2.2.12.3.2 Действие ветровой нагрузки во время эксплуатации подъемника
Независимо от высоты расположения подъемника необходимо исходить из минимального значения скоростного напора ветра q = 250 Н/м2, что соответствует скорости ветра V = 20 м/с.
5.2.2.12.3.3 Ветровая нагрузка, действующая на подъемник в нерабочем состоянии
Если подъемник находится в нерабочем состоянии, то предполагаемое значение скоростного напора ветра зависит от высоты расположения подъемника над уровнем земли, а также географического региона его установки.
При расчете принимают минимальные значения скоростного напора ветра, приведенные в таблице 2.
Таблица 2
Минимальные значения скоростного напора ветра
Высота расположения подъемника над уровнем земли H, м | Скоростной напор ветра q для географических регионов A - E, Н/м2 |
A/B | C | D | E |
0 < H <= 10 | 544 | 741 | 968 | 1225 |
10 < H <= 20 | 627 | 853 | 1114 | 1410 |
20 < H <= 50 | 757 | 1031 | 1347 | 1704 |
50 < H <= 100 | 879 | 1196 | 1562 | 1977 |
100 < H <= 150 | 960 | 1306 | 1706 | 2159 |
Регионы A - E приведены на европейской карте штормовых ветров (см.
приложение A).
5.2.2.12.3.4 Ветровая нагрузка во время монтажа и демонтажа подъемника
Независимо от высоты расположения подъемника необходимо исходить из минимального значения скоростного напора ветра
q = 100 Н/м
2, что соответствует скорости ветра
V = 12,5 м/с.
5.2.2.13 При расчете следует учитывать возможные угловые отклонения (мачты) от вертикали не менее 0,5°.
5.2.2.14 При расчете ветровой нагрузки при монтаже и демонтаже подъемника можно не принимать в расчет благоприятное воздействие противовеса.
5.2.2.15 При учете сил, возникающих при посадке на буфер, необходимо принимать в расчет замедление 1g, если меньшее значение замедления не обосновано.
5.2.3 Коэффициенты запаса прочности
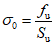
5.2.3.1 Стальные конструкции
a) Допускаемые напряжения

, возникающие в стальных конструкциях, рассчитывают по формуле

(4)
где fy - предел текучести, Н/мм2;
Sy - коэффициент запаса прочности по пределу текучести.
b) Расчеты в соответствии со второй теорией прочности (теорией продольных деформаций):
при расчете напряжений необходимо учитывать прогиб конструкции. Это важно при расчете гибких конструкций или в случае применения материалов с низким модулем упругости. Такой расчет можно производить с помощью второй теории прочности.
Из двух значений

или

применяют самое неблагоприятное значение
f'y - фактический предел текучести, Н/мм
2. Коэффициенты запаса прочности
fy и
f'y должны соответствовать значениям, представленным в таблице 3 в соответствии с нагрузками по
таблице 7.
Таблица 3
Коэффициенты запаса прочности для стальных конструкций
Расчетный вариант нагрузки | Коэффициент запаса прочности, Sy |
A | 2,0 |
B | 1,33 |
C | 1,25 |
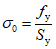
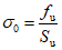
5.2.3.2 Алюминиевые конструкции
a) Допускаемые напряжения

, возникающие в алюминиевых конструкциях, рассчитывают по формулам:

(5)
или

(6)
и из двух значений применяют меньшее значение,
где fy - напряжение при разрыве, Н/мм2,
Sy - коэффициент запаса прочности по отношению к напряжению при разрыве.
b) Расчеты в соответствии со второй теорией прочности (теорией наибольших продольных деформаций):
при расчете напряжений необходимо одновременно учитывать прогиб конструкции. Это важно при расчете гибких конструкций или в случае применения материалов с низким модулем упругости. Такой расчет может проводиться с помощью второй теории прочности.
Из двух значений

или

применяют меньшее значение.
Коэффициенты запаса прочности по отношению к
fy и
fu должны соответствовать значениям, представленным в таблице 4, в соответствии с нагрузками по
таблице 5.
Таблица 4
Коэффициенты запаса прочности для алюминиевых конструкций
Расчетный вариант нагрузки | Коэффициент запаса прочности Sy по отношению к пределу текучести | Коэффициент запаса прочности Su по отношению к напряжению при разрыве |
A | 2,0 | 2,50 |
B | 1,55 | 2,25 |
C | 1,41 | 2,05 |
5.2.4 Расчетные варианты нагрузок; различные комбинации нагрузок и усилий
Таблица 5
Расчетные варианты нагрузок
Номер расчетного варианта нагрузки | Расчетный вариант нагрузки для | Силы и их воздействие согласно 5.2.2.(X) <1> | Расчетный вариант нагрузки <2> |
Ia | Обычного использования (детали конструкции, включая мачту, анкерные крепления мачты, опорную раму и все несущие детали конструкции) | | A |
Ib | Обычного использования: кабина | | A |
IIa | Обычной загрузки кабины: мачта | | A |
IIb | Обычной загрузки кабины: кабина | | A |
IIIa | Непредусмотренных усилий: мачта | | C |
IIIb | Непредусмотренных усилий: кабина | | C |
IVa | Непредусмотренных срабатываний ловителя: мачта | | C |
IVb | Непредусмотренных срабатываний ловителя: кабина | | C |
IVc | Непредусмотренных срабатываний ловителя: ловитель | | C |
Va | Непредусмотренных нагрузок в нерабочем режиме: мачта | | B |
Vb | Непредусмотренной эксплуатации: невозможность доступа на крышу кабины | | C |
VI | Непредусмотренных нагрузок в нерабочем режиме: мачта | | B |
VII | Непредусмотренного срабатывания: посадка кабины на нижний буфер | | C |
IX | Строительного сооружения (детали конструкции, включая мачту, анкерные крепления мачты, опорную раму и все остальные несущие детали конструкции) | | B |
<1> X соответствует номеру пункта 5.2.4. Например, для варианта нагрузки IIb (обычная загрузка кабины: кабина) необходимо учитывать следующие нагрузки и усилия: 5.2.2.2, 5.2.2.6 и 5.2.2.12.3.2. На них в таблице сделана ссылка в сокращенной форме: (2), (6), (12.3.2). <3> Если кабина перемещается с помощью механизма пантографного типа, то масса механизма умножается на коэффициент в соответствии с 5.2.2.7. |
Для свободностоящих подъемников во время монтажа и при эксплуатации используют расчетные варианты нагрузки и коэффициенты устойчивости, приведенные в таблице 6.
Таблица 6
Коэффициенты устойчивости
S0 для различных сил
Нагрузки или усилия, действующие на подъемник | Нагрузки и усилия согласно 5.2.2.(X) <1> | Коэффициент устойчивости S0 |
Собственная масса в состоянии покоя | | 1,1 |
Собственная масса в состоянии движения | | 1,5 |
Номинальная нагрузка | | 1,5 |
Ветровая нагрузка при эксплуатации | | 1,2 |
Ветровая нагрузка в нерабочем состоянии | | 1,2 |
Ветровая нагрузка при монтаже и демонтаже | | 1,2 |
Угловые отклонения мачты | | 1,0 |
|
Все усилия, влияющие на устойчивость, имеют коэффициент, равный 1,0.
Сумма удерживающих моментов должна быть больше или равна сумме опрокидывающих моментов, умноженных на коэффициенты устойчивости S0.
5.2.6 Расчет эксплуатационной (усталостной) прочности элементов привода и тормозной системы
5.2.6.1 Для всех несущих элементов, работающих под нагрузкой, у которых может наступить усталость материалов, должен быть произведен расчет эксплуатационной (усталостной) прочности. При расчете необходимо учитывать переменную величину напряжения и количество циклов нагружения, которые могут многократно превышать количество рабочих циклов подъемника.
При определении количества циклов нагружения изготовитель должен принимать следующее:
- 80000 циклов перемещений с нагрузкой в кабине, составляющей 50% от номинальной грузоподъемности;
- 80000 циклов перемещений с кабиной без нагрузки;
- при расчете элементов привода следует исходить из того, что один цикл перемещения (движение с ускорением из состояния покоя до номинальной скорости - движение с номинальной скоростью - торможение до состояния покоя) составляет 20 м (см. также
7.1.2.11).
При расчете каждого элемента следует принимать самый неблагоприятный случай перемещения вверх и вниз.
Примечание - В основе 160000 отдельных циклов перемещений, отделенных друг от друга временным интервалом, лежит следующее предположение: например, 10 лет, 40 недель в году, 40 ч в неделю, 10 перемещений в час.
5.2.6.2 Каждый вал должен иметь коэффициент запаса прочности не менее 2,0 по отношению к пределу усталости при знакопеременной нагрузке с учетом концентрации напряжений.
5.3.1 Опорная рама должна быть в состоянии выдерживать все действующие на подъемник усилия и передавать их на фундамент.
5.3.2 Устройства, передающие усилия на фундамент, не должны опираться на элементы, снабженные рессорной подвеской, или пневматические колеса.
5.3.3 Там, где предусмотрены регулируемые устройства для отвода усилий на фундамент, опорные элементы этих устройств должны иметь возможность отклоняться от горизонтали во всех плоскостях на угол не менее 15° для предотвращения изгибающих напряжений в конструкции. Если опорные устройства не имеют возможности отклонения, то при расчетах следует применять наибольшие изгибающие напряжения.
5.4. Мачта, анкерные крепления мачты и буфер
5.4.1 Направляющие и мачты
5.4.1.1 Направляющие могут быть частью мачты или частью механизма пантографного типа. Направляющие должны быть жесткими; гибкие элементы, такие как проволочные канаты или цепи, использовать не следует.
Деформация мачты или кабины должна быть ограничена настолько, чтобы исключить возможность столкновения, например с погрузочными площадками.
5.4.1.2 Направляющие или мачты должны быть сконструированы таким образом, чтобы они выдерживали все расчетные варианты нагрузок в соответствии с
5.2.
5.4.1.3 Соединения между отдельными секциями мачты или рычагами пантографа должны обеспечивать передачу нагрузок и направленность секций мачт. Их отсоединение возможно только в случае намеренных действий.
5.4.1.4 Точки поворота механизма пантографного типа должны быть сконструированы с возможностью их внешнего осмотра.
5.4.1.5 Крепления элементов привода (например, зубчатых реек) на направляющих или на мачте должны обеспечивать удержание элемента привода в правильном положении для обеспечения передачи предусмотренных нагрузок на мачту; элементы крепления должны быть защищены от ослабления, например, с помощью контргаек.
5.4.2 Анкерные крепления мачт
Анкерные крепления должны выдерживать расчетные варианты нагрузок в соответствии с
5.2. При этом особое внимание необходимо уделять усилиям, действующим во время монтажа и демонтажа.
5.4.3.1 Нижние точки траектории движения кабины и противовеса должны быть ограничены буферами.
5.4.3.2 При посадке кабины на буфер среднее значение замедления кабины с номинальной нагрузкой при свободном падении со скоростью движения, превышающей номинальную скорость на 0,2 м/с, не должна быть более
1g. Время действия ускорения замедления, превышающего 2,5g, не должно быть более 0,04 с (см.
5.2.2.15) в следующих случаях:
a) кабина с номинальной нагрузкой и скоростью, превышающей номинальную на 0,2 м/с;
b) кабина с номинальной нагрузкой и скоростью, превышающей номинальную на 0,4 м/с:
1) зубчатая передача или
2) кабина, которая отключена от приводной системы.
5.4.3.3 Конструкция гидравлических буферов должна быть оснащена устройством для контроля уровня масла. Электрический предохранительный выключатель должен контролировать ход гидравлического буфера, чтобы кабина не могла быть приведена в движение системой управления, когда буфер полностью сжат.
5.5. Защитные устройства траектории движения и погрузочных площадок
Подъемник, установленный для работы в обычных производственных условиях, должен иметь:
- ограждение на нижней погрузочной площадке;
- безопасную траекторию движения кабины;
- двери на каждой погрузочной площадке.
Эти устройства должны защищать обслуживающий персонал от травмирования движущимися частями, а также от падения в траекторию движения подъемника. Конструкция этих устройств рассматривается в настоящем подразделе. Инструкция по применению и монтажу этих устройств приведена в
разделе 7, а оценка их соответствия требованиям представлена в
разделе 6.
5.5.2 Ограждение подъемника на нижней погрузочной площадке
5.5.2.1 Ограждение подъемника на нижней погрузочной площадке должно обеспечить защиту со всех сторон и иметь высоту не менее 2,0 м, а также соответствовать требованиям
5.5.4 и ГОСТ ISO 13857 (таблица 1).
5.5.2.2 При наличии подвижного противовеса он должен находиться внутри ограждения нижней погрузочной площадки.
5.5.2.3 Дверь в ограждении на нижней погрузочной площадке для прохода персонала, осуществляющего техническое обслуживание подъемника, должна иметь возможность открываться как снаружи, так и изнутри.
5.5.3 Погрузочные площадки
5.5.3.1 Подъемник, установленный в обычных производственных условиях, должен иметь двери погрузочной площадки в каждом месте доступа к подъемнику, включая его ограждение на нижней погрузочной площадке.
5.5.3.2 Двери погрузочной площадки не должны открываться в зону движения подъемника.
5.5.3.3 Двери погрузочной площадки должны удовлетворять требованиям
5.5.4. Если они выполнены сплошными без просветов, то необходимо предусмотреть возможность контроля нахождения кабины на уровне погрузочной площадки (см.
5.6.1.5.1.2).
5.5.3.4 Раздвижные двери, открывающиеся вверх или вниз, должны иметь направляющие, перемещение по которым должно быть ограничено упорами.
5.5.3.5 Вертикально-раздвижные двери должны быть закреплены не менее чем на двух независимых элементах подвески. Коэффициент запаса прочности гибких элементов подвески должен быть не менее 6. Гибкие элементы подвески должны быть защищены от выхода из канавок шкивов или звездочек.
Шкивы, используемые в приводах вертикально-раздвижных дверей, должны иметь диаметр не менее 15 диаметров каната. Заделка концов проволочных канатов должна соответствовать требованиям
5.7.3.2.1.6.
Противовесы панелей дверей должны иметь направляющие и не должны выходить из них даже в случае отказа несущих элементов.
Разница в массе между панелями дверей и противовесом(ами) не должна превышать 5,0 кг. Должны быть предусмотрены средства для предотвращения защемления пальцев между панелями дверей.
5.5.3.6 Требования по эксплуатации дверей погрузочной площадки с механическим приводом должны соответствовать стандарту
[1], 7.5.2, при этом должны учитываться воздействия окружающей среды, например, такие как дождь и обледенение.
5.5.3.7 Во время движения кабины подъемника двери погрузочных площадок не должны иметь возможности открываться или закрываться с помощью механических или иных вспомогательных средств.
5.5.3.8 Двери погрузочной площадки (см. рисунок 5).
Высота защитного устройства - не менее 2,5 м,
дверей - не менее 2 м
Рисунок 5 - Пример дверей погрузочной площадки
5.5.3.8.1 Высота в свету дверей погрузочной площадки должна составлять не менее 2,0 м от уровня пола. Если высота в свету входа в строительное сооружение составляет менее 2,0 м, в виде исключения можно использовать двери погрузочной площадки меньшего размера, однако их высота в свету входа должна составлять не менее 1,8 м от уровня пола.
5.5.3.8.2 Доступ в зону между погрузочной площадкой и кабиной будет возможен в том случае, если автоматическое защитное устройство ограничит зазор между кабиной и боковым защитным ограждением погрузочной площадки до значения не более 150 мм.
5.5.3.8.3 Расстояние по горизонтали между порогом кабины и порогом погрузочной площадки во время загрузки и разгрузки не должно превышать 50 мм.
5.5.3.8.4 Расстояние в свету между закрытыми дверями кабины и закрытыми дверями погрузочных площадок или расстояние доступа между дверями должно быть не более 200 мм.
5.5.3.8.5 В закрытом положении двери погрузочных площадок должны полностью перекрывать доступ к траектории движения подъемника.
5.5.3.8.6 Зазоры у боковых кромок дверей или между сегментами дверей должны соответствовать требованиям ГОСТ ISO 13857 (таблица 4). При этом зазор между дверями и полом не должен превышать 35 мм.
5.5.3.9 Двери погрузочной площадки меньшего размера (см. рисунки 6,
7)
Рисунок 6 - Пример дверей погрузочной площадки меньшего
размера с безопасным расстоянием A не менее 500 мм
Рисунок 7 - Пример дверей погрузочной площадки меньшего
размера с безопасным расстоянием A не менее
500 мм и трапом для перекрытия расстояния между
кабиной и наружной кромкой погрузочной площадки
При выполнении приведенных ниже условий разрешается использование дверей погрузочной площадки меньшего размера, за исключением дверей на нижней погрузочной площадке. В этом случае требования
5.5.3.8 не применяются.
5.5.3.9.1 Высота дверей - от 1,1 до 1,2 м.
5.5.3.9.2 Безопасное расстояние A (см.
рисунки 6,
7) между обращенной к погрузочной площадке верхней кромкой дверей и движущимися частями подъемника при нормальных условиях эксплуатации составляет не менее 0,85 м при номинальной скорости подъемника более 0,7 м/с или 0,5 м при номинальной скорости менее 0,7 м/с. Безопасное расстояние B (см.
рисунки 6,
7) между обращенной к подъемнику верхней кромкой дверей и движущимися частями подъемника при нормальных условиях эксплуатации составляет не менее 0,75 м при номинальной скорости подъемника более 0,7 м/с или 0,4 м при номинальной скорости менее 0,7 м/с.
5.5.3.9.3 Двери должны перекрывать всю ширину проема и состоять не менее чем из одного защитного ограждения в виде барьера и одного промежуточного защитного ограждения, расположенного на половине высоты. Должна быть предусмотрена защитная планка на уровне стопы высотой не менее 150 мм над уровнем погрузочной площадки, расположенная на расстоянии не более 35 мм от уровня пола погрузочной площадки.
Если нижние части дверей со стороны погрузочной площадки находятся на расстоянии менее 0,5 м от движущихся частей подъемника, то они должны иметь дополнительное защитное ограждение, обеспечивающее зазор, в который не проходит шар диаметром 50 мм.
5.5.3.9.4 Расстояние от порога погрузочной площадки до закрытых дверей со стороны подъемника должно быть не более 200 мм.
5.5.3.9.5 Погрузочная площадка должна иметь боковое защитное ограждение. Высота ограждения должна быть от 1,1 до 1,2 м, иметь промежуточное защитное ограждение, расположенное на половине высоты, и защитную планку на уровне стопы высотой не менее 150 мм над уровнем погрузочной площадки.
5.5.3.9.6 Автоматическое защитное устройство должно ограничивать расстояние по горизонтали между порогом кабины и порогом погрузочной площадки, а также расстояние в свету между кабиной и боковым защитным ограждением погрузочной площадки до значения не более 150 мм как до открытия дверей погрузочной площадки, так и в течение всего периода времени, пока двери погрузочной площадки остаются открытыми, а кабина находится на уровне погрузочной площадки.
5.5.3.9.7 Если боковое защитное ограждение является составной частью дверей погрузочной площадки, которая во время вертикального движения кабины находится на безопасном расстоянии от 50 до 85 см, то расстояние между кабиной и боковым ограждением должно составлять не менее 100 мм.
5.5.3.9.8 Должны быть предусмотрены устройства, уменьшающие расстояние по горизонтали между кабиной и порогом погрузочной площадки во время загрузки и разгрузки до значения не более 50 мм.
5.5.4 Требования к материалам, используемым для защитных устройств
5.5.4.1 Двери погрузочных площадок в запертом состоянии должны обладать достаточной механической прочностью, чтобы при воздействии усилия 300 Н на площадь 5000 мм
2 круглой или квадратной формы перпендикулярно в любом месте изнутри или снаружи к их поверхности:
- остаточная деформация не наблюдалась;
- прогиб не превышал 30 мм;
- безопасная работа дверей не была нарушена.
Указанные выше условия могут не соблюдаться при сохранении безопасной работы дверей при воздействии усилия 600 Н на площадь 5000 мм2 круглой или квадратной формы перпендикулярно в любом месте изнутри или снаружи к их поверхности.
5.5.4.2 Двери погрузочных площадок меньшего размера по
5.5.3.9 должны обладать достаточной механической прочностью, чтобы при воздействии вертикального усилия 1 кН в любом месте вдоль верхней кромки дверей или горизонтального усилия 300 Н в любом месте на защитное ограждение в виде барьера, промежуточного барьера или защитную планку:
- остаточная деформация не наблюдалась;
- безопасная работа дверей не была нарушена.
5.5.4.3 Защитные устройства траектории движения подъемника должны иметь механическую прочность согласно
5.5.4.1 и
5.5.4.2.
5.5.4.4 Размер зазоров или отверстий в защитных устройствах траектории движения подъемника или дверей погрузочных площадок в закрытом положении должен соответствовать ГОСТ ISO 13857 (таблица 4). Эти требования могут не выполняться в случае, если расстояние между защитным устройством или дверями погрузочной площадки и какими-либо движущимися частями подъемника при эксплуатации составляет не менее 0,85 м при номинальной скорости подъемника более 0,7 м/с или 0,5 м при номинальной скорости менее 0,7 м/с.
5.5.5 Замки дверей погрузочной площадки
5.5.5.1 Двери погрузочной площадки в соответствии с
5.5.3.8 (двери с полной высотой)
В условиях эксплуатации должно быть невозможно:
- открыть двери погрузочной площадки, если пол кабины не находится в пределах зоны отпирания. Протяженность зоны отпирания должна составлять +/- 0,15 м от уровня погрузочной площадки;
| | ИС МЕГАНОРМ: примечание. В официальном тексте документа, видимо, допущена опечатка: пункт 5.7.3.3.8 отсутствует. | |
Исключением является случай дополнительного регулирования положения подъемника по 5.7.3.3.8.
Если максимальный тормозной путь при движении кабины с номинальной нагрузкой и номинальной скоростью составляет более 0,25 м, то должно быть невозможно:
- открытие двери погрузочной площадки прежде, чем кабина остановится в пределах зоны отпирания +/- 0,25 м от уровня погрузочной площадки;
- начать и поддерживать движение кабины, если не все двери погрузочных площадок закрыты. Должна быть возможность аварийного отпирания дверей со стороны погрузочной площадки с помощью специального ключа (например, треугольный ключ) в соответствии со стандартом
[1].
5.5.5.2 Двери погрузочной площадки меньшего размера в соответствии с
5.5.3.9
Двери должны быть оснащены автоматическим замком, который может быть открыт вручную.
В режиме эксплуатации должно быть невозможно начать и поддерживать движение кабины, если не все двери погрузочных площадок закрыты. Исключением является случай дополнительного регулирования положения подъемника по 5.7.3.3.8.
5.5.5.3 Исполнение замков дверей
5.5.5.3.1 Электрические контакты замков дверей должны быть предохранительными контактами (см.
5.9.6).
5.5.5.3.2 Замки дверей по
5.5.3.8 и относящиеся к ним элементы управления и электрические контакты должны быть защищены от постороннего доступа и при необходимости быть регулируемыми со стороны погрузочной площадки только квалифицированными специалистами.
5.5.5.3.3 Замки дверей погрузочной площадки меньшего размера по
5.5.3.9 должны иметь конструкцию, не позволяющую без инструментов вывести из строя их электрические предохранительные устройства.
5.5.5.3.4 Замки дверей должны быть надежно закреплены, а крепления должны быть застрахованы от самопроизвольного ослабления.
5.5.5.3.5 Замки дверей и их крепления должны выдерживать усилие в 1 кН, прилагаемое на высоте замка в направлении открывания дверей.
5.5.5.3.6 Замки дверей должны допускать возможность технического обслуживания. Защита механических деталей, чувствительных к воде или пыли, должна обеспечиваться оболочкой IP 44
(ГОСТ 14254).
5.5.5.3.7 Снятие крышек корпуса замка не должно нанести вред механизму замка и электропроводке. Крепежные элементы крышки не должны выпадать из отверстий или должны оставаться в корпусе, когда крышка снимается.
5.5.5.3.8 Запирающие элементы должны удерживаться в положении блокировки силой упругости или силой тяжести. Сила упругости обеспечивается нажимными пружинами, находящимися в направляющих. Отказ одной пружины не должен нарушать надежность замка.
5.5.5.3.9 Электрическое предохранительное устройство не должно допускать движение кабины, если запирающие элементы не зайдут в зацепление не менее чем на 7 мм.
5.5.5.3.10 Электрическое предохранительное устройство не должно допускать движение кабины, если зазор, образующийся у дверей погрузочной площадки по
5.5.3.8, окажется больше, чем указано в
5.5.3.8.6.
5.5.5.3.11 Если створчатые двери запираются задвижкой, то задвижка должна перекрывать закрытие створок дверей по всей их ширине так, чтобы надежно предотвратить их открывание, если техническое обслуживание было проведено в соответствии с указаниями изготовителя.
5.5.6 Безопасные расстояния
5.5.6.1 Общие положения
Все безопасные расстояния, если они не определены в настоящем стандарте, должны соответствовать ГОСТ ISO 13857. Все минимальные расстояния должны соответствовать стандарту
[6].
5.5.6.2 Безопасные расстояния под кабиной
Для выполнения работ по техническому обслуживанию под кабиной подъемника должно быть предусмотрено защитное пространство минимальной высотой 1,8 м (например, обеспечиваемое передвижной стойкой). Защитное пространство должно располагаться под всей поверхностью кабины. Приспособление, предназначенное для создания защитного пространства, должно устанавливаться и убираться так, чтобы для этого персоналу не нужно было находиться под кабиной.
5.6. Грузонесущее устройство
5.6.1.1 Грузонесущим устройством должна быть кабина, огражденная со всех сторон.
За основу расчета при определении максимального количества лиц, которые могут находиться в кабине, принимается 0,2 м2 опорной поверхности на человека; при этом масса одного человека составляет 80 кг.
Кабину рассчитывают в соответствии с
5.2.
Кабина должна иметь жесткие направляющие, выдерживающие приложенные к ним нагрузки и усилия, для обеспечения безопасной работы подъемника.
Кабина должна быть оснащена эффективными аварийными устройствами, которые будут удерживать кабину в случае, если направляющие скольжения или роликовые направляющие выйдут из строя.
Механическими мерами необходимо обеспечить, чтобы кабина не смогла выйти из направляющих в конце траектории движения. Эти меры должны действовать как в режиме эксплуатации, так и в режиме монтажа, демонтажа и технического обслуживания.
5.6.1.2 Пол кабины
Пол должен быть механически прочным, выдерживать нагрузки в соответствии с
5.2.2.11, предотвращать опасность поскользнуться (например, иметь рифление) и обеспечивать свободный водосток.
Кабина должна иметь стенки на всей высоте между полом и крышей в соответствии с
5.5.4.1. Отверстия в стенке кабины должны соответствовать требованиям ГОСТ ISO 13857, (таблица 4), но не должны пропускать шар диаметром 25 мм.
Опасные выступы должны быть обозначены в соответствии с ГОСТ ISO 3864-1.
5.6.1.4.1 Кабина должна иметь крышу.
5.6.1.4.2 Высота в свету кабины должна составлять не менее 2,0 м.
5.6.1.4.3 Для транспортирования грузов, выступающих за пределы кабины, в крыше может быть предусмотрено отверстие размером не более 0,15 м
2, если соответствующими устройствами обеспечено, чтобы такие грузы не выступали за пределы траектории движения. Отверстие должно иметь откидной люк.
5.6.1.4.4 Если крышу используют для монтажа, демонтажа, технического обслуживания или в качестве аварийного выхода, то ее поверхность должна предотвращать опасность поскользнуться и иметь ограждение.
Это ограждение должно состоять из одного защитного ограждения в виде барьера, находящегося на высоте не менее 1,1 м над уровнем крыши, одного промежуточного барьера, расположенного на половине высоты, и защитной планки на уровне стопы высотой не менее 150 мм над уровнем крыши.
Ограждение должно обеспечивать безопасное проведение работ по монтажу, демонтажу, техническому обслуживанию и контролю. Расстояние по горизонтали от кромки крыши до ограждения должно быть не более 200 мм.
5.6.1.4.5 Если расстояние между внутренней кромкой ограждения и какой-либо подвижной частью кабины или противовеса составляет менее 0,3 м, то необходимо предусмотреть дополнительное защитное устройство высотой не менее 2 м, которое будет полностью защищать доступную часть крыши кабины по всей ее ширине и выступать за ее пределы на 0,1 м.
5.6.1.4.7 Если крыша имеет отверстия, то они не должны пропускать шар диаметром 25 мм.
5.6.1.5 Двери кабины
5.6.1.5.1 Двери с ручным управлением
5.6.1.5.1.1 Проем дверей должен иметь высоту в свету не менее 2,0 м и ширину в свету не менее 0,6 м.
Двери должны полностью перекрывать проем.
Отверстия в дверях должны соответствовать ГОСТ ISO 13857, но не должны пропускать шар диаметром 25 мм.
5.6.1.5.1.2 Если используют сплошные двери, то они должны быть оборудованы смотровым окном. Площадь такого смотрового окна должна составлять не менее 250 см
2, а его конструкция и расположение должны обеспечивать просмотр края погрузочной площадки.
5.6.1.5.1.4 Двери должны быть оснащены механическими замками, чтобы при эксплуатации подъемника было невозможно открыть кабину, если разница в высоте между уровнем пола кабины и уровнем погрузочной площадки не такая как в
5.5.5.1.
5.6.1.5.1.5 В условиях эксплуатации должно быть невозможно начать и поддерживать движение кабины, если двери кабины закрыты не полностью.
5.6.1.5.1.6 Двери кабины должны быть в состоянии без остаточной деформации и, не выходя из направляющих, выдерживать усилие 300 Н, приложенное в любом месте перпендикулярно к поверхности. Прогиб не должен превышать 30 мм. Усилие 300 Н создается жестким плоским, квадратным или круглым предметом площадью 5000 мм2.
5.6.1.5.1.7 Должно быть предусмотрено устройство, ограничивающее расстояние по горизонтали между порогом кабины и порогом погрузочной площадки, а также расстояние в свету между кабиной и боковым защитным ограждением погрузочной площадки до значения не более 150 мм, до того как могут быть открыты двери кабины, за исключением случая, когда это происходит в результате самого открывания дверей.
5.6.1.5.1.8 Все механические и электрические предохранительные устройства у входа в кабину должны быть сконструированы в соответствии с
5.5.5.3.1 и
5.5.5.3.4 -
5.5.5.3.11.
5.6.1.5.1.9 Замок дверей кабины и относящиеся к нему элементы включения и электрические контакты должны быть расположены или защищены от несанкционированного доступа, когда все двери кабины будут закрыты.
5.6.1.5.2 Двери с механическим приводом
Механический привод дверей должен отвечать требованиям стандарта
[1]. При использовании таких дверей необходимо учитывать воздействия окружающей среды, например дождя или снега.
5.6.1.6.1 При аварийной ситуации, описанной в
5.10, освобождение персонала из кабины следует всегда осуществлять снаружи.
5.6.1.6.2 Кабина должна иметь как минимум одну аварийную дверь или один аварийный люк, через которые обеспечивается выход в аварийной ситуации. Они должны открываться снаружи кабины без ключа, а изнутри - только специальным ключом. Аварийными выходами могут быть: двери кабины, люк в крыше или отдельная дверь аварийного выхода.
5.6.1.6.3 Блокировка двери аварийного выхода должна контролироваться электрическим предохранительным устройством, соответствующим
5.8.6. Это устройство должно вызывать остановку подъемника при снятии блокировки. Повторный пуск подъемника может осуществляться только после преднамеренной повторной блокировки.
5.6.1.6.4 Закрытое состояние аварийного люка на крыше должно контролироваться электрическим предохранительным устройством, соответствующим
5.8.6. Это устройство должно вызывать остановку подъемника, когда люк для выхода на крышу открыт.
5.6.1.6.5 Дверь аварийного выхода в боковой стенке кабины должна быть размером не менее 0,4 x 1,4 м, открываться внутрь или быть раздвижной и располагаться в местах, обеспечивающих надежный доступ к мачте или зданию.
5.6.1.6.6 Аварийный люк на крыше кабины должен быть размером не менее 0,4 x 0,6 м и не должен открываться внутрь кабины. Лестница, позволяющая добраться до такого люка, должна постоянно находиться в кабине.
5.6.2 Устройство безопасности, предотвращающее падение кабины
5.6.2.1 Общее
Подъемник должен иметь устройство безопасности, предотвращающее падение кабины. Применяют один из следующих видов устройств безопасности:
- ловители, срабатывающие от ограничителя скорости;
- отсечные клапаны (клапаны от разрыва).
5.6.2.2 Устройство безопасности должно иметь возможность сработать в любой момент, в том числе во время монтажа и демонтажа, а также при возвращении в исходное положение после срабатывания. Для устройств безопасности в качестве приводных элементов применяют только зубчатую рейку.
5.6.2.3 Устройство безопасности должно остановить и удержать кабину с нагрузкой, превышающей номинальную в 1,3 раза. Оно должно быть рассчитано в соответствии с
5.2 и, в частности, с
5.2.2.8.
Среднее значение замедления кабины при любой нагрузке, не превышающей номинальную, при срабатывании устройства безопасности должно находиться в пределах от 0,05g до 1,0g, при этом максимальное значение замедления не должно превышать 2,5g в течение более 0,04 с. Указанные значения могут быть превышены, если устройство безопасности срабатывает перед завершением возврата в исходное состояние.
5.6.2.4 Электрическое предохранительное устройство, соответствующее
5.9.6, должно автоматически предотвратить перемещение кабины в режиме эксплуатации, как только сработает ловитель.
5.6.2.5 Для отключения устройства безопасности с целью приведения подъемника в исходное положение необходимо вмешательство квалифицированного специалиста.
5.6.2.6 Испытания устройств безопасности следует проводить на безопасном расстоянии от кабины с помощью пульта дистанционного управления.
5.6.2.7 Кабина, приводимая в движение негидравлическим приводом, должна иметь устройство безопасности, срабатывающее от превышения скорости кабины.
5.6.2.8 Если ограничитель скорости регулируемый, то после установления скорости срабатывания он должен быть опломбирован.
5.6.2.9 Шкивы для регуляторов ограничения скорости устанавливают независимо от любой оси, на которой установлены шкивы подвесного каната.
5.6.2.10 Использование электрических или пневматических устройств для включения ловителей не допускается.
5.6.2.11 При срабатывании ловителя отклонение пола кабины от своего нормального положения при всех условиях загрузки не должно превышать 5%, пол кабины должен возвращаться в исходное положение без остаточной деформации.
5.6.2.12 Скорость срабатывания ограничителя скорости должна превышать номинальную скорость подъемника не более чем на 0,4 м/с.
5.6.2.13 Необходимо принять меры безопасности, чтобы не допустить выхода из строя устройства безопасности из-за скопления инородных тел или воздействия погодных условий.
5.6.2.14 Стальные канаты, заделка концов канатов и т.п. должны быть рассчитаны и сконструированы согласно требованиям в
5.7.3.2.1.
Стальной канат ограничителя скорости при монтаже должен быть закреплен непосредственно на мачте подъемника.
Сила натяжения каната ограничителя скорости должна быть равной большему из двух указанных ниже значений:
- 300 Н;
- удвоенной силе, необходимой для включения ловителя.
5.6.2.15 Устройства безопасности, воздействующие более чем на одну направляющую, должны воздействовать на все направляющие одновременно.
В устройствах безопасности, в которых торможение проводится с помощью пружин, выход из строя одной пружины не должен приводить к нарушению работоспособности устройств безопасности.
5.6.3 Устройство определения перегрузки
5.6.3.1 Подъемник должен иметь устройство для обнаружения перегрузки, которое должно подавать в кабину отчетливый сигнал и в случае перегрузки предотвращать движение кабины. Перегрузкой считается превышение номинальной нагрузки более чем на 20%.
Должно быть предусмотрено, чтобы отключение предупредительного сигнала пользователем было невозможно.
Определение перегрузки должно происходить при неподвижной кабине.
5.6.3.2 Конструкция и установка устройств индикации и определения перегрузки должны учитывать необходимость испытания подъемника с перегрузкой без их демонтажа и без снижения их работоспособности.
5.6.3.3 Все данные и установочные значения индикатора перегрузки должны сохраняться даже в случае отключения электропитания.
5.6.3.4 Устройства для обнаружения перегрузки должны быть защищены от повреждений при эксплуатации подъемника (ударов, вибраций), включая монтаж, демонтаж и техническое обслуживание, а также от воздействий окружающей среды, принятых в расчет изготовителем.
5.7.1.1 Каждый подъемник должен иметь не менее одного приводного механизма.
5.7.1.2 Каждый приводной механизм должен быть рассчитан в соответствии с
5.2 и с учетом особых требований, изложенных в
5.2.6.
5.7.1.3 Приводной двигатель должен быть соединен с канатным барабаном или приводным зубчатым колесом посредством геометрического замыкания (жестко) и не должен иметь возможности разъединения.
5.7.1.4 В режиме эксплуатации кабина должна подниматься и опускаться только с помощью усилия двигателя.
5.7.1.5 При обычных условиях эксплуатации любых подъемников превышение скорости движения пустой кабины, движущейся вверх, и скорости кабины с номинальной нагрузкой, движущейся вниз, может составлять не более 15% номинальной скорости.
5.7.2 Защитные устройства и возможность доступа
5.7.2.1 Если в режиме эксплуатации безопасное расстояние до элементов привода и относящихся к ним частей меньше 0,50 м, то они должны быть защищены в соответствии с ГОСТ EN 953. При этом должны быть соблюдены безопасные расстояния, указанные в стандарте
[6] и ГОСТ ISO 13857.
5.7.2.2 Должны быть предусмотрены неподвижные защитные ограждения, предотвращающие попадание материалов, способных повредить приводную систему, например щебня, дождя, снега, льда, жидкости и пыли.
5.7.2.3 Зубчатые колеса, ремни, цепи, валы, маховики, направляющие ролики, муфты зацепления и другие вращающиеся детали, если они являются опасными благодаря своей форме или расположению, должны быть оборудованы соответствующими защитными ограждениями, обеспечивающими свободный доступ для выполнения работ по осмотру и техническому обслуживанию.
Размеры зазоров или отверстий в защитных ограждениях и безопасное расстояние между ними и подвижными деталями должны соответствовать ГОСТ ISO 13857.
5.7.3 Привод и несущие средства
5.7.3.1 Зубчато-реечный привод
5.7.3.1.1 Общие положения
5.7.3.1.1.1 Зубчатые колеса приводов и ловителей должны быть закреплены на своих валах посредством геометрического замыкания. Использование методов крепления, основанных на трении или заклинивании, не допускается.
5.7.3.1.1.2 Зубчатое колесо ловителя следует располагать под приводными зубчатыми колесами.
5.7.3.1.1.3 Зубчатые рейки должны быть надежно закреплены. Места стыков между отдельными элементами зубчатых реек не должны влиять на зацепление с зубчатым колесом.
5.7.3.1.1.4 Необходимо предотвратить попадание инородных тел между зубчатыми колесами привода и ловителя и рейками.
5.7.3.1.1.5 Для других зубчатых приводов, таких как цевочные, действуют те же требования, которые описаны в
5.7.3.1.1 -
5.7.3.1.4, и те же коэффициенты запаса прочности.
5.7.3.1.2 Конструкция
5.7.3.1.2.1 Зубчатое колесо
В отношении прочности зубьев и питтинга зубчатые колеса должны быть спроектированы в соответствии со стандартами
[7] -
[10] и соответствовать требованиям
5.2.6.
Зубчатые колеса должны иметь коэффициент запаса прочности не менее 2,0 по отношению к пределу усталости, при этом должен быть учтен максимальный износ, указанный изготовителем в руководстве по эксплуатации.
Зубчатые колеса должны иметь коэффициент запаса прочности не менее 1,4 по отношению к питтингу.
5.7.3.1.2.2 Зубчатая рейка
Зубчатые рейки изготовляют из материала, который в отношении износостойкости соответствует материалу зубчатых колес, а в отношении прочности зубьев и питтинга - требованиям стандартов
[7] -
[10], при этом должны быть учтены требования
5.2.6.
Зубчатые рейки должны иметь коэффициент запаса прочности не менее 2,0 по отношению к статической прочности зубьев, при этом должен быть учтен максимальный износ, указанный изготовителем в руководстве по эксплуатации.
5.7.3.1.2.3 Распределение нагрузок
Если в зацеплении с зубчатой рейкой находится более одного зубчатого колеса, то должно быть устройство, автоматически распределяющее нагрузку на зубчатые колеса, или системы привода должны быть сконструированы таким образом, чтобы они соответствовали распределению нагрузок при нормальных условиях работы.
5.7.3.1.3 Модуль зуба
Модуль зубьев зубчатой рейки и зубчатого колеса должен быть не менее:
- 4 - для систем привода, у которых опорный вал или другие обеспечивающие зацепление элементы воздействуют на зубчатую рейку непосредственно, без использования промежуточных деталей мачты;
- 6 - для систем привода, у которых усилие опоры вала или другого обеспечивающего зацепление элемента воздействует на деталь мачты, находящейся в прямом контакте с зубчатой рейкой.
5.7.3.1.4 Зацепление зубчатой рейки и зубчатого колеса
5.7.3.1.4.1 Соответствующие устройства и приспособления должны обеспечить надежное зацепление зубчатой рейки и всех зубчатых колес привода и ловителя при всех нагрузках. Эти устройства не должны ограничиваться исключительно направляющими валами или башмаками платформы.
Зацепление является правильным в том случае, когда делительный диаметр зубчатого колеса касается делительной прямой зубчатой рейки или располагается на расстоянии не более чем на 1/3 модуля от нее (см. рисунок 8).
A - зубчатое колесо; B - зубчатая рейка; d1 - диаметр
окружности вершин зубьев зубчатого колеса; d0 - диаметр
делительной окружности зубчатого колеса; d2 - диаметр
окружности впадин зубьев зубчатого колеса; d - делительная
прямая зубчатой рейки; e - не более 1/3 модуля
Рисунок 8 - Правильное зубчатое зацепление
5.7.3.1.4.2 Необходимо обеспечить, чтобы в случае отказа устройств, описанных в
5.7.3.1.4.1, делительный диаметр зубчатого колеса никогда не располагался на расстоянии более чем на 2/3 модуля от делительной прямой зубчатой рейки (см. рисунок 9).
A - зубчатое колесо; B - зубчатая рейка; d1 - диаметр
окружности вершин зубьев зубчатого колеса; d0 - диаметр
делительной окружности зубчатого колеса; d2 - диаметр
окружности впадин зубьев зубчатого колеса; d - делительная
прямая зубчатой рейки; f - не более 2/3 модуля
Рисунок 9 - Минимальное зубчатое зацепление
5.7.3.1.4.3 С помощью соответствующих устройств и приспособлений необходимо обеспечить сохранение расчетной ширины зацепления зубчатой рейки с зубчатым колесом (см. рисунок 10).
A - зубчатое колесо; B - зубчатая рейка; C - фаска;
d0 - диаметр делительной окружности зубчатого колеса;
g - длина зуба; i - длина зуба шестерни по d0
Рисунок 10 - Правильное зубчатое зацепление
5.7.3.1.4.4 С помощью других устройств необходимо обеспечить, чтобы в случае отказа устройств, описанных в
5.7.3.1.4.3, сохранялось не менее 90% расчетной ширины зацепления между зубчатой рейкой и зубчатым колесом (см. рисунок 11).
A - зубчатое колесо; B - зубчатая рейка; C - фаска;
d0 - диаметр делительной окружности зубчатого колеса;
g - длина зуба; h - 90% от длины зуба;
i - длина зуба шестерни по d0
Рисунок 11 - Минимальное зубчатое зацепление
5.7.3.2 Канатные (цепные) подвески кабины и противовеса
5.7.3.2.1 Требования к канатам
5.7.3.2.1.1 Разрешается использовать только стальные проволочные канаты.
5.7.3.2.1.2 Число канатов должно быть не менее двух. Канаты должны быть независимыми друг от друга. При заделке решающим аргументом должно быть количество канатов, а не количество жил каната.
Для канатов должно быть предусмотрено автоматическое выравнивание нагрузки. Пружины должны быть сконструированы, как пружины сжатия.
Электрическое предохранительное устройство должно вызывать остановку подъемника, если канат имеет недопустимое удлинение или порвется (см.
5.8.3).
5.7.3.2.1.3 Номинальный диаметр каната должен составлять не менее 8 мм.
5.7.3.2.1.4 Характеристики несущих канатов должны как минимум соответствовать характеристикам, установленным в стандарте
[11].
5.7.3.2.1.5 Коэффициент безопасности несущих канатов должен составлять не менее:
- 12 - для барабанных приводов;
- 6 - для подвески противовесов.
Коэффициент безопасности - это отношение минимального разрывного усилия каната к наибольшему расчетному натяжению в канате.
5.7.3.2.1.6 Прочность заделки концов канатов должна быть не менее 80% минимального разрывного усилия каната. Если канат закреплен на канатном барабане канатного подъемника, то в расчет можно принять до двух холостых витков.
Проволочные канаты должны иметь надежные способы заделки, например (см. рисунок 12):
Рисунок 12 - Способы заделки концов каната
Использование элементов заделки концов канатов, способных повредить канат, как, например U-образные зажимы для проволочных канатов, не допускается.
5.7.3.2.1.7 Для защиты от коррозии проволочные канаты должны иметь гальваническое или другое защитное покрытие, предотвращающее коррозию.
5.7.3.2.1.8 Отношение расчетного диаметра шкива или барабана к номинальному диаметру проволочного каната должно составлять не менее 30.
5.7.3.2.1.9 Хранение несущего каната
При хранении несущего каната должны соблюдаться следующие требования:
- если хранящийся несущий канат предназначен для дальнейшего наращивания, то он должен храниться на канатном барабане с винтовыми канавками под действием растягивающей нагрузки. Соотношение между диаметром этого барабана, измеренным между серединами каната, и номинальным диаметром несущего каната должно составлять не менее 15:1;
- как исключение несущий канат может храниться намотанным в несколько слоев на барабан без канавок и растягивающей нагрузки. Устройства, снимающие растягивающую нагрузку хранящегося каната, не должны подвергать канат изгибу меньше 15 диаметров каната. Заделка проволочного каната может быть использована в том случае, если растягивающая нагрузка снимается перед заделкой с помощью не менее трех оборотов с невращающегося барабана; при этом элементы заделки не должны повредить канат и барабан должен иметь диаметр, равный не менее 15 диаметрам каната, измеренный между серединами каната;
- по краям барабана должны быть выполнены реборды высотой не менее двух диаметров каната.
5.7.3.2.2 Требования к канатоведущему шкиву
Канатоведущий шкив должен удовлетворять следующим требованиям:
- радиус канавки шкива должен быть больше радиуса каната на 5% - 7,5%. Глубина канавки должна быть не менее 1,5 диаметра каната;
- концевые отводные ролики, от которых канат идет вверх, должны быть защищены от попадания инородных предметов;
- необходимо принять эффективные меры, предотвращающие спадание канатов с концевых отводных роликов;
- угол отклонения каната по отношению к поверхности концевого отводного ролика не должен превышать 2,5°.
5.7.3.2.3 Требования к канатным барабанам
Несущий канат должен быть намотан на барабан в один слой, за исключением случая, когда используют приспособление для намотки каната, в этом случае допускается намотка в два слоя.
На барабане должно оставаться не менее двух витков каната.
По краям барабана должны быть выполнены реборды высотой не менее двух диаметров каната. Канатный барабан должен иметь канавки.
Угол отклонения канатов относительно канавок не должен превышать 4°. Канавки для каната должны удовлетворять следующим требованиям:
- угол канавки должен быть не менее 120° и иметь радиус больше радиуса каната на 5% - 7,5%.
Глубина канавки должна быть не менее 1/3 номинального диаметра несущего каната;
- шаг канавок должен рассчитываться таким образом, чтобы расстояние между двумя витками, измеренное между серединами каната, намотанного на барабан, составляло не менее 1,15 диаметра каната.
5.7.4 Тормозное устройство
5.7.4.1 Подъемник должен быть оснащен тормозным устройством, срабатывающим автоматически:
- при прекращении подачи напряжения от основного источника питания;
- при отказе источника питания в электрических или гидравлических цепях управления подъемником.
5.7.4.2 Тормозное устройство должно включать в себя электромеханический или гидравлический тормоз фрикционного типа, но дополнительно можно использовать другие средства торможения (электрические или гидравлические).
5.7.4.3 Использование ленточного тормоза не допускается.
5.7.4.4 Детали, на которые воздействует тормоз, должны быть соединены с канатным барабаном или приводным зубчатым колесом посредством геометрического замыкания. Запрещается использовать ремни и цепи.
5.7.4.5 Тормоз(а) должен (должны) останавливать кабину, движущуюся вниз, с нагрузкой, превышающей номинальную в 1,25 раза, при номинальной скорости. В дополнение к этому тормоз(а) должен (должны) останавливать кабину с номинальной нагрузкой и со скоростью срабатывания ограничителя скорости. При всех условиях замедление кабины не должно превышать
1,0g.
5.7.4.6 Пружины тормозов, участвующие в создании тормозного усилия на тормозной диск или тормозной барабан, должны быть сконструированы и установлены так, чтобы в случае обнаружения дефекта в одной из них тормозное усилие было достаточным для остановки кабины с номинальной нагрузкой.
5.7.4.7 Усилие торможения должно создаваться пружинами сжатия. Пружины должны быть закреплены и не должны быть нагружены более 80%-ного предела прочности при кручении.
5.7.4.8 Для удержания тормозного устройства в разомкнутом состоянии во время эксплуатации необходима непрерывная подача электрической или гидравлической энергии. При использовании электромеханического тормоза подача энергии должна прерываться не менее чем двумя независимыми друг от друга электрическими устройствами, теми же, которые прерывают подачу энергии к приводу. Если при остановке подъемника одно из этих устройств не разомкнуло контакты сетевого питания, то дальнейшее движение должно быть предотвращено до следующего изменения в направлении движения.
5.7.4.9 После прерывания подачи энергии к тормозному устройству тормоз должен срабатывать без временной задержки (диод или конденсатор, подключенный параллельно к катушке тормозного устройства, не является средством временной задержки).
5.7.4.10 Тормоза должны быть оснащены регулировочным устройством для компенсации износа трущихся поверхностей.
5.7.4.11 Тормозное устройство должно иметь степень защиты IP 23
(ГОСТ 14254).
5.7.4.12 Каждый тормоз должен иметь возможность ручного растормаживания и требовать постоянного усилия, удерживающего его в разомкнутом состоянии.
5.7.5.1 Использование кабины в качестве противовеса для другой кабины не допускается.
5.7.5.2 Противовесы должны направляться посредством соответствующих направляющих башмаков или роликов, находящихся вблизи верхних и нижних частей их рам.
5.7.5.3 Если противовес состоит из набора грузов, то должны быть приняты меры предосторожности против изменения их положения.
На специальной табличке должна быть указана общая масса противовеса, а на каждой отдельной части должна иметься отметка о ее собственной массе.
5.7.5.4 Противовес должен быть промаркирован несмываемой краской согласно ГОСТ ISO 3864-1.
5.7.5.5 Если траектория движения противовеса будет располагаться над помещениями, где могут находиться люди, то конструкция противовеса должна предусматривать установку ловителя.
5.8. Электрические системы и оборудование
Электрические системы и оборудование должны соответствовать стандарту
[12].
Кроме того, необходимо учитывать диапазон рабочих температур, заданный изготовителем электронных деталей. В случае превышения указанных в стандарте
[12] пределов температуры окружающей среды необходимо принять соответствующие меры, например обогрев или охлаждение.
5.8.2 Защита от электрических неисправностей
5.8.2.1 Любая из нижеописанных неисправностей в электрической системе подъемника не должна приводить к опасности при его эксплуатации.
Неисправности, которые следует принимать во внимание:
- отсутствие и отключение напряжения;
- падение напряжения не менее чем на 20%;
- пробой изоляции на металлические конструкции или землю;
- короткое замыкание или разрыв цепи, изменение величины или функции электрических элементов, например сопротивлений, конденсаторов, транзисторов, ламп;
- ограничение хода сердечника контактора или реле;
- неразмыкание подвижной части контактора или реле;
- залипание контакта;
- несмыкание контакта.
5.8.2.2 Возможность залипания контактов не рассматривается в случае использования предохранительных выключателей, соответствующих требованиям
ГОСТ IEC 60947-5-1.
5.8.2.3 В случае неправильной последовательности фаз или пропадания одной фазы электропитания пуск подъемника должен быть невозможен.
5.8.2.4 Если в цепи управления направлением движения пропадает одна фаза, подъемник должен остановиться или не достичь скорости, при которой срабатывает ограничитель скорости.
5.8.2.5 Цепь управления должна быть рассчитана таким образом, чтобы работа двигателя в режиме генератора не приводила к опасной ситуации.
5.8.2.6 Цепь заземления на металлические конструкции или на землю должна содержать электрическое предохранительное устройство, которое при замыкании останавливает двигатель подъемника. Повторный пуск должен проводить только квалифицированный специалист.
5.8.3 Защита от воздействия внешних факторов
Все электрические устройства должны быть защищены от воздействия вредных или опасных внешних факторов и атмосферных осадков (дождя, снега, строительного раствора, пыли). Степень защиты (по
ГОСТ 14254) для пультов дистанционного управления должна быть не менее IP 65, для распределительных шкафов, переключателей и электрических компонентов тормоза - не менее IP 53 и для двигателей - не менее IP 44.
Все кабели и проводники подъемника должны быть защищены от механического повреждения. Особое внимание должно быть уделено подвесным кабелям, присоединенным к кабине, в отношении их прочности и подверженности влиянию климатических условий.
Конструкция и размещение разъемов и других съемных электрических устройств должны исключать возможность их неправильного подключения в соответствии со стандартом
[12].
5.8.5 Контакторы, релейные контакторы
Главные контакторы для двигателей переменного или постоянного тока должны соответствовать категориям AC-3 и DC-3 в соответствии со стандартом
[13].
Если главные контакторы приводятся в действие релейными контакторами, то эти релейные контакторы должны соответствовать не менее чем категории AC-15 для управления электромагнитами переменного тока и категории DC-13 для управления электромагнитами постоянного тока согласно
ГОСТ IEC 60947-5-1.
Как для главных контакторов, так и для релейных контакторов в рамках мер, принимаемых согласно
5.8.2.1, предполагается, что:
- если один из размыкающих контактов (обычно замкнутый) замкнут, то все замыкающие контакты разомкнуты;
- если один из замыкающих контактов (обычно разомкнутый) замкнут, то все размыкающие контакты разомкнуты.
5.8.6 Электрические устройства безопасности
5.8.6.1 Срабатывание электрического устройства безопасности, приведенного в
приложении B, должно предотвращать пуск привода или инициировать его немедленную остановку в соответствии со стандартом
[12], категория 0. Электрические устройства безопасности должны состоять из:
| | ИС МЕГАНОРМ: примечание. В официальном тексте документа, видимо, допущена опечатка: пункт 5.10.6.1 отсутствует. | |
- одного или нескольких предохранительных контактов по
5.8.7, которые непосредственно прерывают подачу тока к контакторам по 5.10.6.1, или их релейным контакторам, или к указанным в
5.9.6.1 электрическим устройствам;
- схемы блокировки в соответствии со стандартом
[1], являющейся частью управляющего контура, в котором последовательно подсоединены один или несколько предохранительных контактов.
5.8.6.2 В режиме эксплуатации к предохранительным контактам не должны быть параллельно подключены другие электрические устройства.
5.8.6.3 Элементы, которые приводят к срабатыванию электрических устройств безопасности, должны сохранять механическую прочность при длительной эксплуатации.
Если устройства, которые приводят к срабатыванию электрических устройств безопасности, доступны для посторонних лиц, то эти устройства должны быть исполнены таким образом, чтобы их рабочее состояние не могло быть нарушено с помощью простых средств (деталь параллельного соединения не рассматривается как простое средство).
5.8.6.4 Предохранительные переключатели следует устанавливать в соответствии со стандартом
[14].
5.8.7 Предохранительные контакты
5.8.7.1 Предохранительные контакты должны соответствовать
5.9.3 и быть рассчитанными на номинальное напряжение не менее 250 В.
Предохранительные контакты должны соответствовать категориям AC-15 (в контурах переменного тока) и DC-13 (в контурах постоянного тока) по
ГОСТ IEC 60947-5-1.
5.8.7.2 Предохранительные контакты должны прерывать подачу тока к приводу в соответствии с требованиями
5.9.6.
Если для подачи энергии к приводу используются релейные контакторы, то они рассматриваются как приборы, которые регулируют подачу энергии к приводу для пуска и остановки.
В режиме эксплуатации подъемника в кабине на устройствах управления освещенность должна быть не менее 50 лк.
5.9. Устройства управления
5.9.2 Концевые выключатели
5.9.2.1 Концевые выключатели для режима эксплуатации
Кабина, движущаяся с номинальной скоростью, должна автоматически останавливаться у верхней и нижней погрузочных площадок прежде, чем она дойдет до концевого выключателя.
5.9.2.2 Аварийный концевой выключатель
5.9.2.2.1 Подъемник должен быть оборудован аварийными концевыми выключателями. Они должны срабатывать прежде, чем кабина будет посажена на буфера.
5.9.2.2.2 После срабатывания аварийного концевого выключателя дальнейшее перемещение кабины должно быть возможно только после вмешательства квалифицированного специалиста.
5.9.2.2.3 Концевые выключатели не должны приводиться в действие теми же управляющими элементами, что и аварийные концевые выключатели.
5.9.2.2.4 Аварийные концевые выключатели должны соответствовать требованиям
5.8.6.
5.9.2.2.5 Аварийные концевые выключатели должны приводиться в действие непосредственно кабиной или устройством, связанным с движением кабины.
5.9.3 Контроль провисания каната
Подъемники и противовесы должны быть оснащены устройством контроля провисания каната. Это устройство должно содержать переключатель, соответствующий
5.9.6, который вызовет остановку кабины, дальнейшее движение которой может быть возможно после вмешательства квалифицированного специалиста (см.
5.7.3.2.1.2).
5.9.4 Приспособления для монтажа
Правильное расположение приспособлений для монтажа, демонтажа подъемника при обычном режиме работы и техобслуживании должно обеспечиваться конструкцией или контролироваться электрическим устройством, описанным в
5.9.6. Приспособления для монтажа включают оборудование для подъема мачты, устройства для установки растяжек мачты и т.д.
Устройства остановки и удержания кабины в нерабочем состоянии, включая привод дверей, устанавливают:
a) за пределами ограждения нижней погрузочной площадки;
b) в помещении для отводных блоков, при наличии;
c) на крыше кабины, если она доступна для персонала;
d) на устройстве управления для выполнения монтажа, технического обслуживания и осмотра;
e) в кабине.
Выключатели, указанные в перечислениях a) и b), должны соответствовать требованиям стандарта
[15] и иметь соответствующее обозначение. Для этих выключателей должны применяться электрические устройства безопасности по
5.9.6.
Выключатели, указанные в
перечислениях c) - e), должны быть аварийными выключателями, соответствующими требованиям стандарта
[16].
5.9.6.1 Остановка привода в результате срабатывания электрического устройства безопасности должна происходить вследствие прерывания подачи энергии к двигателю либо действием:
- самого электрического устройства безопасности;
- двух независимых друг от друга контакторов, контакты которых должны быть соединены в электрической цепи двигателя последовательно.
Использование устройств, не являющихся контакторами, в настоящем стандарте не рассматривается. Возможно использование других устройств при условии достижения такого же уровня безопасности. Более подробные сведения об этом приведены в стандарте
[1].
5.9.6.2 Дальнейшее движение кабины должно быть предотвращено не позднее следующего изменения направления движения.
5.9.7.1 Режим эксплуатации
5.9.7.1.1 Подъемник должен иметь возможность управления из кабины. Кроме этого, должна существовать возможность управления с земли и/или с погрузочных площадок.
5.9.7.1.2 Все устройства управления, кроме системы аварийного отключения, включаются только посредством преднамеренного действия.
5.9.7.1.3 Должно быть устройство, предотвращающее движение кабины после остановки в течение не менее двух секунд.
5.9.7.2 Режим монтажа, демонтажа и технического обслуживания
5.9.7.2.1 Движение подъемника во время монтажа, демонтажа и технического обслуживания должно происходить только при непосредственном воздействии на органы управления движением из кабины или с крыши кабины. Если боковые стенки кабины имеют высоту более 1,1 м, допускается проводить работы по монтажу, демонтажу и техническому обслуживанию из кабины, при условии, что их правильная установка контролируется электрическими устройствами безопасности, соответствующими
5.8.6, обеспечивая режим эксплуатации.
5.9.7.2.2 Во время монтажа, демонтажа и технического обслуживания не допускается превышение максимальной скорости движения кабины, равной 0,7 м/с, а перемещение кабины должно, как и в режиме эксплуатации, оставаться зависимым от всех устройств безопасности, за исключением следующих:
- верхний аварийный концевой выключатель и верхний концевой выключатель для режима эксплуатации могут не работать. В этом случае переезд за конец мачты должен быть предотвращен, например электрическим переключателем или другими автоматическими устройствами (см.
5.6.1);
- переключатели на дверях погрузочной площадки могут быть перемкнуты перемычкой.
5.9.7.2.3 Для режима монтажа, демонтажа и технического обслуживания должна быть предусмотрена отдельная система управления. Эта система должна состоять из:
- служебного выключателя, который соответствует требованиям для электрических устройств безопасности по
5.9.6, имеет два фиксированных положения и защищен от непреднамеренного включения и отключает все сигналы управления, за исключением сигналов отдельной системы управления. Повторный пуск кабины может осуществляться только при переводе служебного выключателя в другое положение;
- устройства управления с автоматическим возвратом в исходное положение, которое включается преднамеренно, при этом направление движения должно быть обозначено;
5.10. Мероприятия, проводимые при аварийных ситуациях
5.10.1 Устройство аварийной сигнализации
При необходимости вызова помощи для пользователей в кабине должно находиться легкодоступное и легкоразличимое аварийное устройство вызова.
В качестве аварийного устройства вызова можно использовать либо звонок или аналогичное устройство, либо переговорное устройство, способные работать в течение не менее одного часа вне зависимости от обычного энергоснабжения подъемника.
5.10.2 Аварийный выход
Для освобождения персонала из кабины необходимо предусмотреть возможность выхода из кабины с помощью устройств, описанных в
5.6.1.6.
5.10.3 Опускание кабины вручную персоналом, оказавшимся запертым в кабине
Если кабина оснащена устройством, позволяющим опустить ее вручную, то это устройство должно удовлетворять следующим требованиям:
- ручное усилие, с помощью которого возможно перемещение кабины к погрузочной площадке, не должно превышать 400 Н;
- устройство должно быть защищено от несанкционированного доступа, например защитной крышкой, которая может быть снята в аварийной ситуации;
- скорость движения должна регулироваться автоматически, и ее значение должно быть меньше скорости срабатывания ограничителя скорости, но не более 1,0 м/с.
5.10.4 Работа в аварийном режиме, выполняемая квалифицированным специалистом
5.10.4.1 Подъемник должен быть оборудован устройством, позволяющим в аварийном режиме переместить подъемник к погрузочной площадке.
5.10.4.2 Ручной аварийный режим
Усилие, прилагаемое для перемещения кабины с номинальной нагрузкой, не должно превышать 400 Н. Это устройство должно быть доступно только квалифицированному специалисту.
5.10.4.3 Электрический аварийный режим
Для устранения причин электрического аварийного режима должен быть переключатель возврата, который соответствует требованиям
5.8.6, доступный только квалифицированному персоналу, и предотвращает перемещения кабины, вызванные аварийным режимом.
Включение возвратного переключателя должно привести в рабочее состояние сенсорные переключатели, с помощью которых можно перемещать кабину без самоблокировки (самоудержания) и которые требуют преднамеренного постоянного воздействия на них и находятся поблизости от возвратного переключателя. На сенсорных переключателях должно быть четко обозначено направление движения.
С помощью возвратного переключателя можно напрямую или посредством какого-либо иного предохранительного устройства блокировать следующие электрические устройства безопасности: электрические устройства безопасности на ограничителе скорости, на ловителях, буферах, аварийных концевых переключателях, а также на переключателе разгруженного каната во время движения кабины вверх. Возвратный переключатель и сенсорные переключатели должны быть расположены так, чтобы при воздействии на них можно было наблюдать за перемещением кабины. Скорость движения кабины не должна превышать 0,7 м/с.
5.11.1 Общее
Машины должны быть спроектированы таким образом, чтобы риски воздушного шума уменьшились до самого нижнего уровня при соблюдении технического прогресса и использовании средств уменьшения шума, в особенности на источнике шума. Уровень шума можно сравнить с данными похожих машин.
5.11.2 Снижение шума на стадии проектирования
При проектировании машин должны учитываться информация и технические меры по регулировке шума на источнике, указанные в стандарте
[17]. Информация в стандарте
[18] может быть также использована. Главный источник шума - это реечный привод.
5.11.3 Измерение шума
Уровень шума на местах погрузки (1 м вокруг нижнего уровня погрузки и на высоте 1,60 м от пола) и на рабочем месте внутри кабины следует измерять в соответствии со стандартом
[19],
5.2.2.2, класс точности 2 (машиностроение).
Эксплуатационные условия во время испытаний - без груза.
Данные о шуме - в соответствии с
7.1.2.2.
6. Подтверждение соответствия
6.1. Соответствие в отношении конструкции
В
таблице 7 приведены методы, с помощью которых изготовитель должен проверять соблюдение требований и мер
раздела 5, а также приведены ссылки на соответствующие пункты настоящего стандарта. Пункты, не приведенные в таблице, проверяются как часть приведенных подразделов. Например,
пункт 5.2.2.7 проверяется как часть
подраздела 5.2.4. Изготовитель должен сохранять все протоколы проверок.
Таблица 7
Методы определения соответствия
требованиям и/или мерам безопасности
Подраздел, пункт | Требования безопасности | | Проверка работоспособности <2> | | | Информация для пользователя <5> |
| Общие положения | + | + | + | + | + |
| Нагрузки и расчеты | - | - | - | - | - |
| Конструирование | - | - | - | + | - |
| Расчет подъемника | - | - | - | + | + |
| Коэффициенты запаса прочности | - | - | - | + | - |
| Расчетные варианты нагрузок | - | - | - | + | + |
| Устойчивость | - | - | - | + | + |
| Эксплуатационная (усталостная) прочность | - | - | - | + | + |
| Опорная рама | - | - | - | - | - |
| Конструкция | + | - | - | + | - |
| Опорные устройства | + | - | - | - | + |
| Регулируемые опорные устройства | + | - | + | + | + |
| Мачта, анкерные крепления мачты и буфер | - | - | - | - | - |
| Направляющие и мачты | - | - | - | - | - |
| Жесткие направляющие | + | - | - | - | - |
| Конструкция направляющих и мачт | - | - | - | + | - |
| Соединения мачты | + | + | - | + | + |
| Шарниры | + | - | - | | - |
| Крепления элементов привода | + | - | - | + | - |
| Анкерные крепления мачт | + | + | - | + | + |
| Буфер | + | - | - | - | - |
| Нижний буфер | + | - | - | - | - |
| Замедление | - | + | + | + | - |
| | + | + | - | - | + |
| Защитные устройства траектории движения и погрузочных площадок | + | - | - | - | - |
| Общие положения | - | - | - | - | + |
| Ограждение подъемника на нижней погрузочной площадке | + | + | + | - | + |
| Погрузочные площадки | + | + | + | + | + |
| Требования к материалам, используемым для защитных устройств | + | + | + | + | - |
| Замки дверей погрузочной площадки <2> | + | + | + | - | - |
| Безопасные расстояния | + | - | + | - | + |
| Грузонесущее устройство | - | - | - | - | - |
| Общие требования | + | + | + | + | + |
| Устройство безопасности, предохраняющее от падения кабины <2> | + | + | + | + | + |
| Устройство обнаружения перегрузки | + | + | + | + | + |
| Привод | - | - | - | - | - |
| Общие положения | + | + | + | - | - |
| Защита и возможность доступа | + | + | + | - | - |
| Привод и несущие средства | + | + | + | + | |
| Тормозное устройство | + | + | + | + | + |
| Противовес | + | | | | + |
| Электрические системы и оборудование | | - | - | - | - |
| Общие положения | + | - | - | - | + |
| Защита от электрических неисправностей | + | + | + | - | + |
| Защита от воздействия внешних факторов | + | - | - | - | + |
| Электропроводка | + | - | - | - | - |
| Контакторы, релейные контакторы | + | - | - | - | - |
| Электрические устройства безопасности | + | + | - | - | + |
| Предохранительные контакты | + | - | - | - | - |
| Освещение | + | - | + | - | - |
| Органы управления | | - | - | - | - |
| Общие положения | + | - | - | - | - |
| Концевые выключатели | + | + | - | - | + |
| Контроль провисания каната | + | + | - | - | + |
| Вспомогательные средства для монтажа | + | + | - | - | + |
| Выключатели | + | + | - | - | |
| Остановка привода | + | + | - | - | + |
| Режимы работы | + | + | + | - | + |
| Мероприятия, проводимые при аварийных ситуациях | + | + | + | - | + |
<1> Визуальный контроль осуществляют для определения выполнения требований безопасности. <2> С помощью проверки/испытания определяют выполнение требований безопасности. <3> Путем измерений с помощью измерительных приборов устанавливают, соблюдаются ли требования безопасности в определенных рамках. <4> С помощью чертежей/расчетов определяют, соответствуют ли конструктивные свойства используемых узлов требованиям безопасности. <5> Подтверждение того, что требования безопасности приводятся в руководстве по эксплуатации или в информационных табличках. |
6.2. Проверка соответствия стандарту
6.2.1 Введение
6.2.1.1 Процедуры проверки соответствия стандарту следует проводить для следующих компонентов:
- замков дверей кабины и погрузочной площадки;
- ловителя и ограничителя скорости;
- буферов энергонакапливающего типа с амортизацией подскока и буферов энергорассеивающего типа.
Протоколы испытаний составляет и хранит изготовитель подъемников.
6.2.1.2 Общие положения
6.2.1.2.1 Испытания проводит организация, имеющая сертифицированную систему менеджмента качества. Такой организацией может быть изготовитель, его уполномоченный представитель или испытательная лаборатория.
6.2.1.2.2 Если изготовитель, его уполномоченный представитель или испытательная лаборатория не имеют испытательного оборудования, необходимого для проведения определенных испытаний, то он (она) может под свою ответственность поручить проведение этих испытаний другому испытательному органу.
6.2.1.2.3 Точность приборов должна позволять проводить измерения со следующей погрешностью:
- +/- 2% - для значений массы, силы, длины, времени, скорости;
- +/- 4% - для значений ускорения и замедления;
- +/- 2% - для значений напряжения и силы тока;
- +/- 2 °C - для значения температуры.
6.2.1.3 Протоколы результатов испытаний
Протокол результатов испытаний должен содержать:
- наименование организации, проводящей испытания;
- номер протокола результатов испытаний;
- категорию, вид, модель или торговую марку компонентов;
- наименование и адрес изготовителя;
- дату проведения испытания;
- место для печати, даты, сведений о лице, проводившем испытания.
6.2.2 Замки для дверей кабины и погрузочной площадки
6.2.2.1 Общие положения
6.2.2.1.1 Область применения
К замкам для дверей применяют указанные ниже методы испытаний. При этом каждый элемент, участвующий в запирании или контроле запирания дверей, относится к понятию "замок".
6.2.2.1.2 Цель испытаний
Целью испытания замка является подтверждение соответствия конструкции и исполнения требованиям настоящего стандарта.
6.2.2.1.3 Сопроводительная документация
К протоколу результатов испытаний прилагают следующие документы:
- принципиальную схему с описанием работы. На схеме должны быть приведены все детали, использующиеся при работе замка и обеспечивающие его эксплуатационную надежность, включая принцип действия замка при режиме эксплуатации с указанием эффективности запирания замка и положения, при котором срабатывает электрическое устройство безопасности, а также принцип управления и срабатывания устройства аварийного отпирания;
- данные о виде тока (переменный или постоянный) и значениях номинального напряжения и номинального тока.
6.2.2.1.4 Образец для испытаний
Испытание проводят на образце.
Если испытание замка возможно, когда он встроен в соответствующие двери (например, раздвижные или распашные двери с несколькими панелями), то он должен быть установлен в двери, готовые к работе. Размеры дверей могут быть уменьшены по отношению к серийным дверям, если это не искажает результаты испытания.
6.2.2.2 Методы испытаний
6.2.2.2.1 Проверка работоспособности
Испытания проводят для подтверждения работоспособности механических и электрических частей замка в отношении эксплуатационной надежности и соответствия требованиям настоящего стандарта.
При испытаниях проверяют:
- входят ли запирающие элементы в зацепление не менее чем на 7 мм, до того как сработает электрическое предохранительное устройство (см.
5.5.5.3.9);
- невозможность пуска подъемника из положения, обычно доступного для людей, с открытыми или незапертыми дверями.
6.2.2.2.2 Испытания
Испытания проводят для проверки прочности механических частей замка и электрических элементов.
Образец замка испытывают при режиме эксплуатации с помощью соответствующего устройства. Образец должен быть смазан в соответствии с требованиями изготовителя.
Количество полных рабочих циклов контролируют с помощью механических или электрических счетчиков.
6.2.2.2.2.1 Испытание на долговечность
Замок должен быть подвергнут 200000 (+/- 1%) полных рабочих циклов (один полный рабочий цикл состоит из одного отпирания и одного запирания замка).
Приведение в действие замка должно происходить плавно и без ударов.
Во время этого испытания переключатель запирающего замка следует приводить в действие, как в режиме эксплуатации.
6.2.2.2.2.2 Статическое испытание
При этом испытании к замку прикладывают статическую нагрузку величиной 1 кН в течение 5 мин. Эту нагрузку прикладывают в направлении открытия дверей в том месте, в котором пользователь попытается открыть двери.
6.2.2.2.2.3 Критерии для механического испытания
После испытания на долговечность
(6.2.2.2.2.1) и статического испытания (6.2.2.2.2.2) не должны наблюдаться износ, деформация или неисправности, которые могут нарушать безопасность работы.
6.2.3 Ловитель и ограничитель скорости
6.2.3.1 Общие требования
Ловитель и относящийся к нему ограничитель скорости подвергают совместному испытанию на соответствие настоящему стандарту, при этом должны быть применены используемые при эксплуатации несущие средства и направляющие системы. Изготовитель должен указать, для какой массы (кг) и с какой скоростью (м/с) должно быть проведено испытание. Если ловитель предназначен для различных масс и скоростей, то они должны быть указаны.
6.2.3.2 Методы испытаний
6.2.3.2.1 Ловитель и относящийся к нему ограничитель скорости подвергают испытаниям, при которых все их части испытывают нагрузки, возникающие при улавливании установленной массы.
6.2.3.2.2 Испытания проводят при указанной изготовителем скорости срабатывания ограничителя скорости.
6.2.3.2.3 Общее количество испытаний должно быть не менее 50. Должны быть проведены следующие испытания:
- 10 испытаний с номинальной нагрузкой и при включенном приводе (для подъемников без устройства обнаружения перегрузки с нагрузкой, превышающей номинальную в 1,5 раза);
- 5 испытаний с пустой кабиной при включенном приводе;
- 5 испытаний с нагрузкой, превышающей номинальную в 1,3 раза, и при включенном приводе;
- 5 испытаний с номинальной нагрузкой с отключенным приводом;
- 5 испытаний с нагрузкой, превышающей номинальную в 1,3 раза, и отключенным приводом.
6.2.3.2.4 При испытаниях должны быть измерены:
a) полная длина падения;
b) тормозной путь;
c) скорость срабатывания ловителя;
d) замедление, как функция времени.
6.2.3.2.5 При испытании должно быть проверено, что:
a) замедление соответствует требованиям
5.6.2.3;
b) максимальная скорость срабатывания соответствует требованиям
5.6.2.12;
c) отсутствуют разрушения (трещины или деформации);
d) сила натяжения каната соответствует требованиям
5.6.2.15.
6.2.3.3 Протокол испытаний
Протокол испытаний должен содержать:
b) модель и расположение ловителя и ограничителя скорости;
c) тип(ы) и конструктивный(ые) ряд(ы) подъемника (подъемников);
d) пределы допустимых масс, действующих на ловитель с учетом инерции;
e) скорость срабатывания ограничителя скорости;
f) для ловителей, воздействующих на направляющие, - допустимую толщину головки направляющих, минимальную ширину зоны захвата, тип поверхности направляющих, сведения о смазке направляющих;
g) для ограничителя скорости - диаметр и конструкцию используемого каната, усилие натяжения каната при срабатывании ограничителя скорости и минимальное усилие при растяжении с ведущим шкивом.
6.2.4 Буфера энергонакапливающего типа с амортизацией подскока и буфера энергорассеивающего типа. Специальные испытания этих видов буферов должны проводиться в соответствии с требованиями стандарта
[1] (приложение F5).
6.3. Испытания подъемников перед вводом в эксплуатацию
Изготовитель должен провести статические и динамические испытания для подтверждения, что подъемник изготовлен и смонтирован в соответствии с установленными требованиями и имеющиеся в наличии компоненты находятся в работоспособном состоянии. Это испытание может быть проведено как у изготовителя, так и у его уполномоченного представителя или на месте установки. При испытании проверяют:
- функционирование всех концевых выключателей;
- функционирование системы управления;
- функционирование ловителя в установленных пределах;
- срабатывание устройства обнаружения перегрузки в пределах от 1,0 до 1,2 значения номинальной нагрузки;
- длину тормозного пути в установленных пределах;
- функционирование замков дверей;
- динамическое состояние подъемника:
1) с устройством обнаружения перегрузки при нагрузке, превышающей номинальную в 1,1 раза;
2) без устройства обнаружения перегрузки при нагрузке, превышающей номинальную в 1,25 раза;
- электрическое оборудование согласно стандарту
[12].
7. Информация для пользователя
7.1. Руководство по эксплуатации
7.1.1 Общие требования
7.1.2 Содержание руководства по эксплуатации
7.1.2.1 Требования
Изготовитель или его уполномоченный представитель должен предоставить пользователю руководство по эксплуатации, содержащее, как минимум, следующие разделы:
- наименование и адрес изготовителя или его уполномоченного представителя;
- страна изготовления;
- обозначение модели;
- серийные номера, на которые распространяется руководство по эксплуатации;
- таблички и надписи о мерах предосторожности, размещенные на подъемнике, с объяснением их значения;
- перечень составных частей, предусмотренных для монтажа подъемника (секции мачты, двери погрузочных площадок, анкерные соединения, устройства управления и т.п.).
Информация для потребителя должна содержать не только указания по использованию машин по назначению, но также их предсказуемое неправомерное использование.
7.1.2.3 Технические характеристики:
- номинальная грузоподъемность;
- номинальная скорость;
- наибольшая высота свободно стоящей мачты в режиме эксплуатации и в нерабочем состоянии;
- наибольшая высота подъема, если мачта не имеет анкерного крепления;
- наибольшая высота подъема, если мачта имеет анкерное крепление;
- расстояние до анкерного крепления;
- длина незакрепленного конца мачты;
- наибольшая допустимая скорость ветра при монтаже и демонтаже;
- наибольшая допустимая скорость ветра в режиме эксплуатации;
- наибольшая допустимая скорость ветра в нерабочем состоянии; за основу взята европейская карта штормовых ветров (см.
приложение A, причем вследствие местных особенностей возможны отклонения). Для различных ветровых регионов должны быть указаны расстояния до анкерного крепления;
- ограничения в использовании, обусловленные условиями окружающей среды, например температурный диапазон;
- данные шумовой нагрузки от машин, или фактические данные, или данные измерений на идентичных машинах;
- уровень звукового давления по частотной характеристике A на рабочем месте внутри кабины;
- уровень звукового давления, скорректированный по частотной характеристике A, дБ(А), измеренный на расстоянии 1 м от ограждения нижней погрузочной площадки на высоте 1,60 м от уровня земли. Следует указывать место измерения и значение наибольшего уровня звукового давления по
ГОСТ 30691;
- данные должны сопровождаться пояснением метода измерений и использованных условий эксплуатации во время испытаний, а также значениями опасности K в заполненном формуляре (в двух экземплярах) в соответствии с
ГОСТ 30691.
Примечание - Информация о шумовой эмиссии должна быть указана также в рекламных проспектах.
Информация в руководстве по эксплуатации должна быть достаточной, для того чтобы в любой ситуации при монтаже пользователь мог получить конкретную информацию.
7.1.2.4 Размеры и масса
Должны быть приведены:
- расстояние между уровнем земли и полом кабины, расположенной на нижней погрузочной площадке в режиме эксплуатации;
- размеры кабины в свету (длина x ширина x высота);
- размеры секций мачты;
- масса секций мачты;
- размеры и масса основного блока (опорная рама, нижняя секция мачты, кабина и привод);
- минимальная площадь, необходимая для установки.
7.1.2.5 Сведения об энергоснабжении - электроприводы:
- мощность привода, кВт;
- напряжение питания/частота сети, В/Гц;
- напряжение питания/частота электрических систем управления, В/Гц;
- максимальный пусковой ток, А;
- максимальная потребляемая мощность, кВт;
- минимальная полная мощность, кВ·А;
- характеристика предохранителей источника напряжения, А;
- напряжение и сила тока розеток для технического обслуживания, В; А.
7.1.2.6 Устройства безопасности:
- вид устройства безопасности (например, ловитель, рабочий и концевые выключатели, электрическое устройство безопасности замков дверей погрузочных площадок);
- дополнительные устройства безопасности для монтажа, демонтажа и технического обслуживания;
- аварийные устройства опускания кабины.
7.1.2.7 Дополнительные технические данные о:
- болтовых соединениях мачты (диаметр болта, класс прочности, момент затяжки, сроки замены, возможные ограничения относительно использования высокопрочных, предварительно напряженных болтов);
- нагрузке на основание в зависимости от конфигурации подъемника;
- расположении анкерных креплений мачты и усилиях, возникающих в точках анкерного крепления в зависимости от ветровых зон;
- усилиях, действующих на погрузочную площадку при загрузке и разгрузке;
- необходимости защиты опасных зон вокруг подъемника;
- местах строповки;
- характеристиках проволочных канатов;
- всех факторах, вызывающих значительное увеличение площади воздействия ветровой нагрузки;
- всех обстоятельствах, вызывающих значительное повышение скорости ветра, например, вследствие наличия по соседству высоких сооружений;
- сведения о подъездных путях к строительной площадке и от нее;
- для грузонесущих устройств должна быть указана информация об их использовании по назначению, ограничениях в использовании, указания по монтажу, использованию и обслуживанию, примененному значению коэффициента статических испытаний.
7.1.2.8 Сведения по монтажу и демонтажу
7.1.2.8.1 Общие требования
Руководство по эксплуатации должно содержать информацию о возможных исполнениях/конфигурациях подъемника, предусмотренных изготовителем. В случаях, когда требуются не указанные в руководстве по эксплуатации конфигурации подъемника, они должны быть согласованы между изготовителем, собственником и пользователем, а руководство по эксплуатации должно быть дополнено информацией о его особенностях в виде приложения.
7.1.2.8.2 Безопасные расстояния
7.1.2.8.2.1 Безопасные расстояния вокруг подъемника:
- если безопасное расстояние между доступной зоной и находящейся в движении вверх или вниз частью подъемника составляет менее 0,85 м (0,5 м при номинальной скорости не более 0,7 м/с), то защитное устройство должно соответствовать требованиям ГОСТ ISO 13857 и иметь высоту не менее 2,0 м или иметь высоту от пола до потолка, если потолок расположен на высоте менее 2 м;
- если безопасное расстояние составляет 0,85 м и более (0,5 м и более при номинальной скорости не более 0,7 м/с), должно быть предусмотрено защитное устройство (в виде защитного ограждения (барьера), промежуточного барьера и боковой защитной планки на уровне стопы) высотой не менее 1,1 м.
7.1.2.8.2.2 Путь переезда кабины (путь кабины от верхней точки траектории движения до упора)
На верхнем конце траектории движения кабины направляющие должны иметь длину достаточную, чтобы позволить кабине доехать до упора. Путь переезда кабины должен составлять не менее:
- 2 м - для подъемников с противовесом более тяжелым, чем пустая кабина;
- 0,5 м - для канатных подъемников или подъемников с противовесом массой меньше массы незагруженной кабины;
- 0,15 м - для реечных подъемников и подъемников с гидравлическим приводом непрямого действия;
- 0,1 м - для подъемников с гидравлическим приводом прямого действия.
Это расстояние измеряют от точки включения верхнего аварийного концевого выключателя. У подъемников с противовесом это расстояние измеряют от того места, у которого противовес касается буфера.
При номинальной скорости более 0,85 м/с путь переезда должен быть увеличен на 0,1V2, м (V - номинальная скорость, м/с).
При переезде над кабиной должно оставаться свободное расстояние не менее 1,8 м (0,3 м, если запрещено подниматься на крышу кабины). Дополнительно над всеми деталями конструкции и иными частями оборудования, связанными с кабиной и возвышающимися над кабиной, должно оставаться свободное расстояние не менее 0,3 м.
7.1.2.8.2.3 Путь переезда противовеса
Когда кабина покоится на полностью сжатом буфере, свободное расстояние над противовесом должно составлять не менее 0,3 м.
7.1.2.8.3 Фундамент
В руководстве по эксплуатации должны быть приведены сведения о подготовке места установки подъемника. Опорная рама подъемника и мачта должны быть установлены на фундаменте, который в состоянии выдерживать указанные в
5.2 нагрузки.
Если под опорной рамой подъемника находятся помещения, куда могут войти люди, то конструкция противовеса должна быть обеспечена предохранительным устройством.
7.1.2.8.4 Монтаж и демонтаж
Монтаж и демонтаж подъемника разрешается выполнять только квалифицированному специалисту. Электрическое подключение подъемника должен производить квалифицированный специалист в соответствии с национальными требованиями.
Инструкция по монтажу и демонтажу должна содержать:
- рекомендацию по применению защиты от токов утечки;
- способ доставки к строительной площадке;
- информацию по монтажу секций мачты и об анкерных креплениях, включая сведения о болтовых соединениях (диаметр, класс прочности, момент затяжки);
- рекомендации по подъему тяжелых деталей;
- информацию об ограждении мест доступа к траектории движения подъемника на нижней погрузочной площадке и дверях погрузочных площадок, а также о соответствующих требованиях безопасности;
- сведения об освещении погрузочных площадок (если подъемник эксплуатируется в условиях плохого освещения, то в инструкцию необходимо включить указание о необходимости обеспечения достаточного освещения всех погрузочных площадок);
- сведения об испытании полностью смонтированного подъемника.
В объем испытания должны входить:
- определение технических характеристик подъемника;
- эксплуатационные испытания:
1) систем привода и тормозов,
2) траектории движения в режиме эксплуатации,
3) дверей кабины и дверей погрузочных площадок,
4) устройства по определению перегрузки,
5) по проверке безопасных расстояний,
6) по пробному перемещению кабины с номинальной нагрузкой, указанной изготовителем по всей траектории движения,
7) ловителя;
- сведения о демонтаже.
7.1.2.9 Указания по обслуживанию и эксплуатации
Специальный раздел руководства по эксплуатации должен предоставить пользователю подъемника информацию о его безопасной эксплуатации и определить минимальные требования по обучению обслуживающего персонала. Загрузка, разгрузка и использование подъемника разрешается любому работнику, который регулярно находится на строительной площадке, если национальные требования по безопасности не предусматривают иное.
При этом должны быть даны подробные указания относительно:
- использования подъемника по назначению;
- обслуживания дверей погрузочных площадок и кабин;
- загрузки кабины и возможных ограничений относительно расположения и закрепления груза;
- использования контейнеров на колесах при переезде через возможные щели;
- запрещения перевозки грузов на крыше кабины;
- устройств управления кабиной, расположенных в кабине и на погрузочных площадках;
- условий окружающей среды, например максимальной скорости ветра во время эксплуатации.
7.1.2.10 Правила поведения при аварийной ситуации
Специальный раздел руководства по эксплуатации должен содержать информацию для специалистов, необходимую при аварийной ситуации, например:
- по использованию специальных устройств управления;
- об устройствах безопасности, таких как концевые выключатели и ловитель;
- правила поведения при неисправностях;
- о схемах электрических соединений;
7.1.2.11 Периодические испытания и работы по техническому обслуживанию
Специальный раздел руководства по эксплуатации (в зависимости от требований изготовителя) должен содержать всю необходимую информацию о периодичности работ по осмотру, испытаниям и техническому обслуживанию. В нем должны быть приведены сведения о подлежащих проверке компонентах и их пригодности к дальнейшей эксплуатации.
В руководстве по эксплуатации должно быть дано описание содержания журнала осмотра и технического обслуживания, если такой не поставляется вместе с подъемником.
В руководстве по эксплуатации приводится перечень деталей, наиболее подверженных износу, и периодичность их замены, например сведения по контролю и браковке проволочных канатов, согласно стандарту
[20]. Также должен быть раздел по проведению испытаний на эксплуатационную (усталостную) прочность (см.
5.2.6.1).
7.2.1 Общие требования
В соответствии с
ГОСТ ISO 12100 изготовитель должен разместить на одной или нескольких табличках, устанавливаемых на подъемнике на видном месте, следующую информацию.
| | ИС МЕГАНОРМ: примечание. Текст дан в соответствии с официальным текстом документа. | |
7.2.2 Типовая табличка
Типовая табличка должна содержать: должна содержать, как минимум, следующую информацию:
- наименование и адрес изготовителя или его уполномоченного представителя;
- обозначение модели;
- серийный номер;
- год изготовления;
- номинальную грузоподъемность, кг;
- высоту подъема;
- характеристики канатов, при необходимости;
- массу основного блока;
- номинальную скорость подъемника.
7.2.3 Табличка на секциях мачты или направляющих
Каждая отдельная секция мачты или направляющих должна быть снабжена маркировкой или серийным номером, на основании которых можно определить дату изготовления.
7.2.4 Информационная табличка для пользователя
На табличке должны быть приведены сведения о:
- высоте мачты;
- длине незакрепленного конца мачты;
- болтовых соединениях мачты (диаметр болта, класс прочности и момент затяжки);
- энергоснабжении (защита от утечек тока);
- эксплуатации свободно стоящей конструкции;
- безопасных расстояниях;
- анкерных креплениях мачты с необходимыми расстояниями (эскиз, чертеж);
- положении кабины в нерабочем состоянии;
- необходимости соблюдения руководства по эксплуатации;
- конфигурациях подъемника, при которых противовесы находятся над помещениями, где могут находиться люди.
7.2.5 Табличка в кабине
Табличка, устанавливаемая в кабине, должна содержать следующую информацию (минимальная высота букв - 25 мм):
- номинальная грузоподъемность и максимальное количество пассажиров;
- ограничения относительно расположения и закрепления груза.
7.2.6 Табличка на нижней погрузочной площадке
Табличка на нижней погрузочной площадке должна содержать надпись следующего содержания:
"Вход на огражденную нижнюю погрузочную площадку разрешен только специалистам и лицам с соответствующими полномочиями".
7.2.7 Табличка на ловителе
Табличка на ловителе должна содержать следующую информацию:
- наименование и адрес изготовителя;
- номер документа о прохождении испытания;
- скорость срабатывания;
- год изготовления и серийный номер.
7.2.8 Табличка на приводном двигателе
Табличка на приводном двигателе должна содержать следующую информацию:
- наименование и адрес изготовителя;
- обозначение модели;
- год изготовления и серийный номер.
7.3. Маркировка органов управления
Все органы управления должны быть четко обозначены. Для обозначения органов управления рекомендуется использовать пиктограммы.
(обязательное)
ЕВРОПЕЙСКАЯ КАРТА ШТОРМОВЫХ ВЕТРОВ
Рисунок A.1 - Европейская карта штормовых ветров
(обязательное)
ПЕРЕЧЕНЬ ЭЛЕКТРИЧЕСКИХ УСТРОЙСТВ БЕЗОПАСНОСТИ
Таблица B.1
Перечень электрических устройств безопасности
Пункт настоящего стандарта | Контролируемые устройства |
| Закрытое положение дверей погрузочной площадки |
| Закрытое положение замков на дверях погрузочной площадки |
| Закрытое положение дверей кабины |
| Запертое положение люка на крыше или двери аварийного выхода |
| Срабатывание ловителя |
| Недопустимое удлинение канатов приводной системы |
| Аварийный концевой выключатель |
| Провисание каната в приводной системе |
| Провисание каната в подвеске противовеса |
| Монтажные приспособления |
| Выключатели |
| Закрытое положение подвижных защитных устройств кабины |
| Служебный выключатель |
| Переключатель возврата |
(справочное)
СОПОСТАВЛЕНИЕ СТРУКТУРЫ НАСТОЯЩЕГО СТАНДАРТА СО СТРУКТУРОЙ
ПРИМЕНЯЕМОГО В НЕМ ЕВРОПЕЙСКОГО РЕГИОНАЛЬНОГО СТАНДАРТА
Таблица ДА.1
Структура настоящего стандарта | Структура европейского регионального стандарта (EN 12159:2012) |
Разделы | Подразделы | Пункты, подпункты | Разделы | Подразделы | Пункты, подпункты |
| | | 1 | | |
| | | 2 | | |
| | | 3 | | |
| | | | 3.1 | |
| | | | 3.2 | |
| | | | 3.3 | |
| | | | 3.4 | |
| | | | 3.5 | |
| | | | 3.6 | |
| | | | 3.7 | |
| | | | 3.8 | |
| | | | 3.9 | |
| | | | 3.10 | |
| | | | 3.11 | |
| | | | 3.12 | |
| | | | 3.13 | |
| | | | 3.14 | |
| | | | 3.15 | |
| | | | 3.16 | |
| | | | | |
| | | | 3.17 | |
| | | | 3.18 | |
| | | | 3.19 | |
| | | | 3.20 | |
| | | | 3.21 | |
| | | | 3.22 | |
| | | | 3.23 | |
| | | | 3.24 | |
| | | | 3.25 | |
| | | | 3.26 | |
| | | | 3.27 | |
| | | 4 | | |
| | | 5 | | |
| | | | 5.1 | |
| | | | - | |
| | | | - | |
| | | | - | |
| | | | 5.2 | |
| | | | 5.3 | |
| | | | 5.4 | |
| | | | 5.5 | |
| | | | 5.6 | |
| | | | 5.7 | |
| | | | 5.8 | |
| | | | 5.9 | |
| | | 6 | | |
| | | 7 | | |
| | | Приложение A | | |
| | | Приложение B | | |
| | | | | |
| | ИС МЕГАНОРМ: примечание. В официальном тексте документа, видимо, допущена опечатка: Приложение ДГ отсутствует. Возможно, имеется в виду Приложение ДВ. | |
|
| | | | | |
Примечания 1 Раздел 2 дополнен перечнем международных стандартов. 2 Раздел 5 настоящего стандарта дополнен подразделами и пунктами, расширяющими требования к климатическим исполнениям, требованиям монтажа и к конструкционным материалам, использующимся при изготовлении подъемников: 5.1.1 Требования к климатическим исполнениям и условиям эксплуатации; 5.1.2 Требования к условиям эксплуатации; 5.1.3 Требования к конструкционным материалам, использующимся при изготовлении подъемников. 4 Стандарт дополнен перечнем технических отклонений и редакционных изменений в настоящем стандарте по отношению к EN 12159:2012 (приложение ДБ). |
(справочное)
ТЕХНИЧЕСКИХ ОТКЛОНЕНИЙ И РЕДАКЦИОННЫХ ИЗМЕНЕНИЙ
В НАСТОЯЩЕМ СТАНДАРТЕ ПО ОТНОШЕНИЮ К EN 12159:2012
Таблица ДБ.1
Раздел, подраздел, пункт | Модификация |
Наименование стандарта |
| Наименование настоящего стандарта изменено относительно наименования указанного международного стандарта для приведения в соответствие с ГОСТ 1.5-2001 и терминологией по ГОСТ 33558.1 |
Пояснение - Наименование стандарта сформулировано согласно требованиям ГОСТ 1.5 |
|
| Уточнена область действия стандарта |
| | ИС МЕГАНОРМ: примечание. Текст дан в соответствии с официальным текстом документа. | |
|
Пояснение - Приведены ссылки на |
|
| | ИС МЕГАНОРМ: примечание. В официальном тексте документа, видимо, допущена опечатка: возможно, имеется в виду таблица Приложения ДВ, а не таблица Приложения ДА. | |
|
Весь раздел | Приведены ссылки на действующие межгосударственные стандарты взамен аналогичных международных стандартов, приведенных в ЕН 12159:2012. Остальные международные стандарты, на которые даны ссылки, приведены в разделе "Библиография". По тексту использованы ссылки на межгосударственные стандарты, заменяющие ЕН и ИСО согласно таблице приложения ДА |
Пояснение - Изменение внесено в соответствии с требованиями ГОСТ 1.5. |
Весь раздел | Раздел дополнен нормативными ссылками на стандарты, использованные в тексте |
|
Весь раздел | Отредактирован перечень терминов и определений, использующихся в тексте стандарта. Термины с соответствующими определениями приведены в ГОСТ 33558.1 |
4 Перечень опасных факторов |
Наименование раздела | "опасностей" заменено на "опасных факторов" |
| В наименовании таблицы термин "опасности" заменен на "опасные факторы" |
| В наименовании графы термин "опасность" заменен на "опасный фактор" |
Пояснение - Замена обусловлена необходимостью уточнения формулировки |
5 Требования безопасности |
| Добавлены пункты 5.1.1, 5.1.2 и 5.1.3, расширяющие требования к климатическим исполнениям, требованиям монтажа и к конструкционным материалам, использующимся при изготовлении подъемников |
Пояснение - Текст дополняет требования к объекту стандартизации |
| Подъемники должны изготовляться в климатическом исполнении У категории размещения I по ГОСТ 15150 для работы при температуре окружающего воздуха от минус 40 °C до плюс 40 °C с верхним значением относительной влажности воздуха 80% при 25 °C, атмосферой типа II по ГОСТ 15150, в I - V ветровых районах по ГОСТ 1451 при скорости ветра для рабочего состояния подъемника на высоте 10 м не более 14 м/с. Подъемники должны сохранять работоспособность на высоте над уровнем моря до 2000 м. Подъемники должны сохранять работоспособность на высоте над уровнем моря до 2000 м. Подъемники, предназначенные для эксплуатации в районах с холодным и тропическим климатом (исполнения ХЛ и Т), следует изготовлять по техническим условиям, разработанным на основе настоящего стандарта |
Пояснение - Дополнительные положения соответствуют требованиям безопасности нормативных документов государств, проголосовавших за принятие настоящего стандарта |
| Свободно стоящие подъемники, не крепящиеся к сооружению, используемые в районах с сейсмичностью более 6 баллов, должны быть выполнены в сейсмостойком исполнении с указанием в паспорте допустимого района установки |
Пояснение - Дополнены требования к безопасному управлению в соответствии с требованиями нормативных документов государств, проголосовавших за принятие настоящего стандарта |
| Металлоконструкции подъемника следует изготовлять из сталей с механическими свойствами (в т.ч. и ударной вязкостью), химическим составом, свариваемостью, обеспечивающими работоспособность подъемника в диапазоне температур по 5.1.1. |
Пояснение - Дополнение поясняет и уточняет требования к объекту стандартизации |
| Исключен |
Исключена ссылка на EN 954-1:1996, как на документ, утративший силу |
(справочное)
СВЕДЕНИЯ О СООТВЕТСТВИИ ССЫЛОЧНЫХ МЕЖГОСУДАРСТВЕННЫХ
СТАНДАРТОВ МЕЖДУНАРОДНЫМ СТАНДАРТАМ, ИСПОЛЬЗОВАННЫМ
В КАЧЕСТВЕ ССЫЛОЧНЫХ В ПРИМЕНЕННОМ МЕЖДУНАРОДНОМ СТАНДАРТЕ
Таблица ДВ.1
Обозначение ссылочного межгосударственного стандарта | Степень соответствия | Обозначение и наименование ссылочного международного стандарта |
| IDT | EN 894-1:1997+A1:2008 "Безопасность машин. Эргономические требования к конструкции дисплеев и органов управления. Часть 1. Общие принципы взаимодействия пользователей и дисплеев и органов управления" |
ГОСТ EN 953-2002 | IDT | EN 953:1997+A1:2009 "Безопасность машин. Защитные ограждения. Общие требования к форме и конструкции стационарных и подвижных защитных ограждений" |
ГОСТ ISO 3864-1-2013 | IDT | ISO 3864-1:2011 "Символы графические. Цвета и знаки безопасности. Часть 1. Принципы проектирования для знаков и маркировки безопасности" |
| IDT | ISO 12100:2010 "Безопасность машин. Общие принципы конструирования. Оценка рисков и снижение рисков" |
ГОСТ ISO 13857-2012 | IDT | ISO 13857:2008 "Безопасность машин. Безопасные расстояния для обеспечения недоступности опасных зон для верхних и нижних конечностей" |
(IEC 60529:1989) | MOD | IEC 60529:1989 "Степени защиты, обеспечиваемые оболочками (Код IP)" |
(ИСО 4871-96) | MOD | ISO 4871:1996 "Акустика. Заявленные значения шумоизлучения машин и оборудования и их проверка" |
(EN 12158-1:2000) | MOD | EN 12158-1:2010 "Подъемники строительные грузовые. Часть 1. Подъемники с доступными платформами" |
| | ИС МЕГАНОРМ: примечание. Обозначение стандарта дано в соответствии с официальным текстом документа. | |
|
(EN 12158-2:2000) | MOD | EN 12158-2:200+A1:2010 "Подъемники строительные грузовые. Часть 2. Наклонные подъемники с недоступными грузоподъемниками" |
| IDT | IEC 60947-5-1(2009) "Аппаратура коммутационная и механизмы управления низковольтные комплектные. Часть 5-1. Устройства и коммутационные элементы цепей управления. Электромеханические устройства цепей управления" |
Примечание - В настоящей таблице использованы следующие условные обозначения степени соответствия стандартов: - IDT - идентичные стандарты; - MOD - модифицированные стандарты. |
| EN 81-1:1998+A3:2009 | Safety rules for the construction and installations of lifts - Part 1: Electric lifts Требования безопасности к конструкции и установке лифтов. Часть 1. Лифты электрические |
[2] | EN 81-2:1998+A3:2009 | Safety rules for the construction and installations of lifts - Part 2: Hydraulic lifts Требования безопасности к конструкции и установке лифтов. Часть 2. Лифты гидравлические |
[3] | EN 81-3:2000 | Safety rules for the construction and installation of lifts. Electric and hydraulic service lifts Требования безопасности к конструкции и установке лифтов. Часть 3. Электрические и гидравлические грузоподъемники для небольших грузов |
| EN 81-43:2009 | Safety rules for the construction and installation of lifts. Special lifts for the transport of persons and goods - Part 43: Lifts for cranes Требования безопасности к конструкции и установке лифтов. Специальные лифты для перевозки людей и изделий. Часть 43. Лифты для кранов |
| | Elevating work platforms - Mast-climbing work platforms Платформы рабочие подъемные. Платформы для работы на мачтовых опорах |
| EN 349:2008 | Safety of machinery. Minimum gaps to avoid crushing of parts of the human body Безопасность машин. Минимальные расстояния, предохраняющие человека от повреждений |
| ISO 6336-1:2006 | Calculation of load capacity of spur and helical gears - Part 1: Basic principles, introduction and general influence factors Расчет допустимой нагрузки для прямозубых и косозубых цилиндрических зубчатых передач. Часть 1. Основные принципы, введение и общие воздействующие факторы |
[8] | ISO 6336-2:2006 | Calculation of load capacity of spur and helical gears - Part 2: Calculation of surface durability (pitting) Расчет допустимой нагрузки для прямозубых и косозубых цилиндрических зубчатых передач. Часть 2. Расчет критической выносливости поверхности (точечная коррозия) |
[9] | ISO 6336-3:2006 | Calculation of load capacity of spur and helical gears - Part 3: Calculation of tooth bending strength Расчет допустимой нагрузки для прямозубых и косозубых цилиндрических зубчатых передач. Часть 3. Расчет прочности зубьев на изгиб |
| ISO 6336-5:2003 | Calculation of load capacity of spur and helical gears - Part 5: Strength and quality of materials Расчет допустимой нагрузки для прямозубых и косозубых цилиндрических зубчатых передач. Часть 5. Прочность и качество материалов |
| ISO 2408:2004 | Steel wire ropes for general purposes - Minimum requirements Канаты стальные проволочные общего назначения. Минимальные требования |
| | Безопасность машин. Электрооборудование машин и механизмов. Часть 1. Общие требования |
| EN 60947-4-1:2001 | Low-voltage switchgear and controlgear - Part 4-1: Contactors and motor-starters. Electromechanical contactors and motor-starters Аппаратура коммутационная и механизмы управления низковольтные комплектные. Часть 4-1. Контакторы и пускатели электродвигателей. Электромеханические контакторы и пускатели электродвигателей |
| EN 1088:2008 | Safety of machinery. Interlocking devices associated with guards. Principles for design and selection Безопасность машин. Устройства блокировочные, соединенные с предохранительными приспособлениями. Принципы проектирования и выбора |
| EN 1037:2008 | Safety of machinery. Prevention of unexpected start-up Безопасность машин. Предупреждение внезапного старта |
| EN ISO 13850:2006 | Safety of machinery. Emergency stop. Principles for design Безопасность машин. Аварийный останов. Принципы проектирования |
| EN ISO 11688-1:1998 | Acoustics - Recommended practice for the design of low-noise machinery and equipment - Part 1: Planning (ISO/TR 11688-1:1995); German version EN ISO 16688-1:1998 Акустика. Практические рекомендации по созданию малошумных машин и оборудования. Часть 1. Планирование |
| EN ISO 11688-2:1998 | Acoustics - Recommended practice for the design of low-noise machinery and equipment - Part 2: Introduction to the physics of low-noise design Акустика. Практические рекомендации по созданию малошумных машин и оборудования. Часть 2. Введение в физические основы малошумного проектирования |
| EN ISO 11201:2010 | Acoustics - Noise emitted by machinery and equipment - Determination of emission sound pressure levels at a work station and at other specified positions in an essentially free field over a reflecting plane with negligible environmental corrections Акустика. Шум машин и оборудования. Измерение уровней звукового давления излучения на рабочем месте и в других контрольных точках. Технический метод в существенно свободном звуковом поле над звукоотражающей плоскостью |
| ISO 4309:2004 | Cranes - Wire ropes - Care, maintenance, installation, examination and discard Краны. Проволочные канаты. Обслуживание, ремонт, установка, контроль и отбраковка |
--------------------------------
<*> На территории Российской Федерации действует ГОСТ Р 54770-2007 (ИСО 16369:2007) "Подъемники с рабочими платформами. Подъемники мачтового типа. Расчеты конструкции, требования безопасности, методы испытаний".
<**> На территории Российской Федерации действует
ГОСТ Р МЭК 60204-1-2007 "Безопасность машин. Электрооборудование машин и механизмов. Часть 1. Общие требования".