Главная // Актуальные документы // ГОСТ (Государственный стандарт)СПРАВКА
Источник публикации
М.: Стандартинформ, 2015
Примечание к документу
Документ включен в
Перечень стандартов, содержащих правила и методы исследований (испытаний) и измерений, в том числе правила отбора образцов, необходимые для применения и исполнения требований технического
регламента Таможенного союза "Безопасность автомобильных дорог" (ТР ТС 014/2011) и осуществления оценки соответствия объектов технического регулирования (
Решение Коллегии Евразийской экономической комиссии от 18.09.2012 N 159).
Документ
введен в действие с 1 июля 2015 года с правом досрочного применения.
Название документа
"ГОСТ 32819-2014. Межгосударственный стандарт. Дороги автомобильные общего пользования. Щебень шлаковый. Определение сопротивления дроблению и износу"
(введен в действие Приказом Росстандарта от 02.02.2015 N 41-ст)
"ГОСТ 32819-2014. Межгосударственный стандарт. Дороги автомобильные общего пользования. Щебень шлаковый. Определение сопротивления дроблению и износу"
(введен в действие Приказом Росстандарта от 02.02.2015 N 41-ст)
агентства по техническому
регулированию и метрологии
от 2 февраля 2015 г. N 41-ст
МЕЖГОСУДАРСТВЕННЫЙ СТАНДАРТ
ДОРОГИ АВТОМОБИЛЬНЫЕ ОБЩЕГО ПОЛЬЗОВАНИЯ
ЩЕБЕНЬ ШЛАКОВЫЙ
ОПРЕДЕЛЕНИЕ СОПРОТИВЛЕНИЯ ДРОБЛЕНИЮ И ИЗНОСУ
Automobile roads of general use. Slag rubble.
Determination of resistance to crushing and wear
ГОСТ 32819-2014
МКС 93.080.020
Дата введения
1 июля 2015 года
с правом досрочного применения
Цели, основные принципы и основной порядок проведения работ по межгосударственной стандартизации установлены
ГОСТ 1.0-92 "Межгосударственная система стандартизации. Основные положения" и
ГОСТ 1.2-2009 "Межгосударственная система стандартизации. Стандарты межгосударственные, правила и рекомендации по межгосударственной стандартизации. Правила разработки, принятия, применения, обновления и отмены".
1 РАЗРАБОТАН Обществом с ограниченной ответственностью "Инновационный технический центр", Межгосударственным техническим комитетом по стандартизации МТК 418 "Дорожное хозяйство"
2 ВНЕСЕН Федеральным агентством по техническому регулированию и метрологии
3 ПРИНЯТ Межгосударственным советом по стандартизации, метрологии и сертификации (от 25 июня 2014 г. протокол N 45)
За принятие проголосовали:
Краткое наименование страны по МК (ИСО 3166) 004-97 | Код страны по МК (ИСО 3166) 004-97 | Сокращенное наименование национального органа по стандартизации |
Армения | AM | Минэкономики Республики Армения |
Беларусь | BY | Госстандарт Республики Беларусь |
Казахстан | KZ | Госстандарт Республики Казахстан |
Киргизия | KG | Кыргызстандарт |
Россия | RU | Росстандарт |
Таджикистан | TJ | Таджикстандарт |
4
Приказом Федерального агентства по техническому регулированию и метрологии от 2 февраля 2015 г. N 41-ст межгосударственный стандарт ГОСТ 32819-2014 введен в действие в качестве национального стандарта Российской Федерации с 1 июля 2015 г.
5 ВВЕДЕН ВПЕРВЫЕ
Информация об изменениях к настоящему стандарту публикуется в ежегодном информационном указателе "Национальные стандарты", а текст изменений и поправок - в ежемесячном информационном указателе "Национальные стандарты". В случае пересмотра (замены) или отмены настоящего стандарта соответствующее уведомление будет опубликовано в ежемесячном информационном указателе "Национальные стандарты". Соответствующая информация, уведомление и тексты размещаются также в информационной системе общего пользования - на официальном сайте Федерального агентства по техническому регулированию и метрологии в сети Интернет.
Настоящий стандарт входит в группу межгосударственных стандартов, устанавливающих требования и методы испытаний для шлаковых щебня и песка.
Настоящий стандарт разработан в рамках реализации
программы по разработке межгосударственных стандартов, в результате применения которых на добровольной основе обеспечивается соблюдение требований Технического регламента (ТР ТС 014/2011 "Безопасность автомобильных дорог"), утвержденной решением Коллегии Евразийской экономической комиссии N 81 от 13.06.2012.
Настоящий стандарт распространяется на щебень из шлаков черной и цветной металлургии, а также из фосфорных шлаков, применяемый при строительстве, ремонте, капитальном ремонте, реконструкции и содержании автомобильных дорог общего пользования.
Настоящий стандарт устанавливает метод определения сопротивления дроблению и износу зерен шлакового щебня.
В настоящем стандарте использованы нормативные ссылки на следующие межгосударственные стандарты:
ГОСТ 12.1.004-91 Система стандартов безопасности труда. Пожарная безопасность. Общие требования
ГОСТ 12.1.007-76 Система стандартов безопасности труда. Вредные вещества. Классификация и общие требования безопасности
ГОСТ 12.1.044-89 (ИСО 4589-89) Система стандартов безопасности труда. Пожаровзрывоопасность веществ и материалов. Номенклатура показателей и методы их определения
--------------------------------
<*> На территории Российской Федерации действует
ГОСТ Р 53228-2008 "Весы неавтоматического действия. Часть 1. Метрологические и технические требования. Испытания".
ГОСТ 28846-90 (ИСО 4418-78) Перчатки и рукавицы. Общие технические условия
ГОСТ 32826-2014 Дороги автомобильные общего пользования. Щебень и песок шлаковые. Технические требования
ГОСТ 32860-2014 Дороги автомобильные общего пользования. Щебень и песок шлаковые. Определение гранулометрического состава
ГОСТ 32862-2014 Дороги автомобильные общего пользования. Щебень и песок шлаковые. Отбор проб
Примечание - При пользовании настоящим стандартом целесообразно проверить действие ссылочных стандартов в информационной системе общего пользования - на официальном сайте Федерального агентства по техническому регулированию и метрологии в сети Интернет или по ежегодному информационному указателю "Национальные стандарты", который опубликован по состоянию на 1 января текущего года, и по выпускам ежемесячного информационного указателя "Национальные стандарты" за текущий год. Если ссылочный стандарт заменен (изменен), то при пользовании настоящим стандартом следует руководствоваться заменяющим (измененным) стандартом. Если ссылочный стандарт отменен без замены, то положение, в котором дана ссылка на него, применяется в части, не затрагивающей эту ссылку.
В настоящем стандарте применены термины по
ГОСТ 32826, а также следующие термины с соответствующими определениями:
3.1 сопротивление дроблению и износу: Способность материала сопротивляться воздействию ударных нагрузок и истирающих усилий.
3.2 единичная проба: Проба шлакового щебня или песка, полученная методом сужения из лабораторной пробы и предназначенная для сокращения до требуемого количества мерных проб для проведения испытания.
3.3 мерная проба: Количество шлакового щебня или песка, используемое для получения одного результата в одном испытании.
3.4 постоянная масса: Масса пробы, высушиваемой в сушильном шкафу при температуре (110 +/- 5) °C, различающаяся не более чем на 0,1% по результатам двух последних последовательно проводимых взвешиваний через промежутки времени, составляющие не менее 1 ч.
4. Требования к средствам измерений и вспомогательным устройствам
При проведении испытания применяют следующие средства измерений и вспомогательные устройства:
- сита с размером ячеек 1,6; 8; 10; 11,2 (или 12,5) и 14 мм в соответствии со стандартами
[1] и
[2].
Примечание - Для испытаний альтернативных узких фракций щебня используют сита с размером ячеек согласно
таблице А.1 (приложение А);
- шкаф сушильный, обеспечивающий циркуляцию воздуха и поддержание температуры (110 +/- 5) °C;
- противни металлические;
- поддон металлический размерами 650 x 580 x 70 мм не менее;
- установка Лос-Анжелес или барабан полочный с отверстием и съемной крышкой с уплотнителем, имеющий следующие внутренние размеры: длина - (496 +/- 16) мм, диаметр - (708 +/- 8) мм. На внутренней поверхности барабана по образующей расположена захватная планка на всю длину барабана шириной (94 +/- 6) мм. Скорость вращения барабана при испытаниях должна составлять 31 - 33 мин;
- комплект из 12 стальных шаров общей массой от 5120 до 5300 г. Диаметр каждого шара должен составлять от 45 до 49 мм, а масса - от 400 до 445 г.
Сущность метода заключается в определении потери массы пробы щебня, возникающей при воздействии ударных нагрузок от шаров и истирающих усилий. Остаток пробы материала после просеивания через сито с размером отверстий 1,6 мм используют для расчета показателя сопротивления дроблению и износу.
6. Требования безопасности и охраны окружающей среды
6.1 При работе со шлаковым щебнем необходимо соблюдать требования техники безопасности, предусмотренные
ГОСТ 12.1.007.
6.2 Щебень шлаковый в соответствии с
ГОСТ 12.1.044 относится к негорючим веществам.
6.3 Персонал при работе со шлаковым щебнем должен быть обеспечен средствами индивидуальной защиты:
6.4 При работе с сушильным шкафом необходимо соблюдать правила пожарной безопасности, предусмотренные
ГОСТ 12.1.004.
6.5 Утилизацию испытанного материала проводят в соответствии с рекомендациями предприятия-изготовителя и действующим законодательством.
7. Требования к условиям испытания
При проведении испытания шлакового щебня должны соблюдаться следующие условия для помещений:
- температура воздуха - (21 +/- 4) °C;
- относительная влажность воздуха - не более 80%.
Перед началом испытания щебень должен иметь температуру, соответствующую температуре воздуха в помещении.
8. Подготовка к выполнению испытания
8.1 Отбор и формирование проб шлакового щебня проводят в соответствии с
ГОСТ 32862.
8.2 Рекомендуемая фракция шлакового щебня для проведения испытания должна состоять из зерен крупностью от 10 до 14 мм. При необходимости можно использовать альтернативные узкие фракции, указанные в
приложении А.
Примечание - При испытании щебня, состоящего из смеси двух или более смежных фракций, единичные пробы готовят рассеиванием исходного материала на стандартные фракции и каждую фракцию испытывают отдельно.
8.3 Масса единичной пробы шлакового щебня фракции от 10 до 14 мм должна быть не менее 15000 г.
Примечание - Масса единичной пробы шлакового щебня альтернативных узких фракций должна быть не менее 15000 г.
8.4 Для подготовки к испытанию единичную пробу шлакового щебня промывают под струей воды и высушивают в сушильном шкафу при температуре (110 +/- 5) °C до постоянной массы.
8.5 Высушенную единичную пробу просеивают в соответствии с
ГОСТ 32860 через сита с размером ячеек 10; 11,2 (или 12,5) и 14 мм.
8.6 Из просеянной единичной пробы готовят мерную пробу, масса которой должна составлять (5000 +/- 10) г и в состав которой должно входить от 30% до 40% зерен крупнее 12,5 мм или от 60% до 70% зерен крупнее 11,2 мм.
Примечание - Масса мерной пробы шлакового щебня альтернативных узких фракций должна быть не менее (5000 +/- 10) г.
9. Порядок выполнения испытания
9.1 В чистый полочный барабан загружают 11 стальных шаров общей массой от 4690 до 4860 г, затем загружают мерную пробу шлакового щебня и закрывают крышку полочного барабана.
9.2 Запускают полочный барабан и после совершения 500 оборотов останавливают, открывают крышку и, не допуская потери материала, выгружают содержимое барабана на металлический поддон, расположенный под полочным барабаном.
9.3 Затем полочный барабан очищают и извлекают все мелкие частицы в тот же металлический поддон.
9.4 Из щебня убирают стальные шары, очищая их от мелких частиц, и собирают в тот же металлический поддон.
9.5 Щебень промывают через сита с размером ячеек 1,6 и 8 мм, удаляя частицы размером менее 1,6 мм.
9.6 Остатки на ситах объединяют, высушивают в сушильном шкафу при температуре (110 +/- 5) °C до постоянной массы и взвешивают.
10. Обработка результатов испытания
10.1 Значение показателя сопротивления дроблению и износу зерен шлакового щебня И, %, рассчитывают по формуле

, (1)
где m1 - масса мерной пробы шлакового щебня до испытания, г;
m2 - объединенная масса остатков на сите с размером ячеек 1,6 и 8 мм, г.
Результаты испытания рассчитывают с точностью до первого знака после запятой. За результат испытания принимают среднеарифметическое значение двух параллельных определений. Расхождение результатов двух параллельных испытаний не должно превышать 2%, в противном случае испытание необходимо повторить.
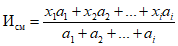
10.2 Значение показателя сопротивления дроблению и износу зерен шлакового щебня в широкой фракции или смеси фракций Исм, %, рассчитывают по формуле

, (2)
где x1, x2, ... xi - потеря массы при испытании каждой отдельной фракции, %;
a1, a2, ... ai - содержание данной фракции, %.
Результаты испытания рассчитывают с точностью до первого знака после запятой.
11. Оформление результатов испытания
Результаты испытания оформляют в виде протокола, который должен содержать:
- номер протокола;
- дату проведения испытания;
- наименование организации, проводившей испытание;
- ссылку на настоящий стандарт;
- ссылку на акт отбора проб;
- наименование испытуемого материала;
- результаты испытания;
- сведения об условиях проведения испытания;
- фамилию, имя, отчество и подпись лица, проводившего испытание;
- фамилию, имя, отчество и подпись лица, ответственного за испытание.
12. Контроль точности результатов испытания
Точность результатов испытания обеспечивается:
- соблюдением требований настоящего стандарта;
- проведением периодической оценки метрологических характеристик средств измерений;
- проведением периодической аттестации оборудования.
Лицо, проводящее испытание, должно быть ознакомлено с требованиями настоящего стандарта.
(обязательное)
АЛЬТЕРНАТИВНЫЕ УЗКИЕ ФРАКЦИИ ЗЕРЕН ШЛАКОВОГО ЩЕБНЯ
ДЛЯ ОПРЕДЕЛЕНИЯ СОПРОТИВЛЕНИЯ ДРОБЛЕНИЮ И ИЗНОСУ
Альтернативные узкие фракции шлакового щебня используют для определения сопротивления дроблению и износу в том случае, когда невозможно получить фракцию от 10 до 14 мм.
Требования к альтернативным узким фракциям шлакового щебня и к параметрам стальных шаров, загружаемых в полочный барабан, приведены в таблице А.1.
Альтернативная узкая фракция, мм | Размер среднего сита, мм | Остаток на среднем сите, % | Число стальных шаров, шт. | Общая масса партии стальных шаров, г |
От 4 до 6,3 | 5 | От 60 до 70 | 7 | От 2930 до 3100 |
От 4 до 8 | 6,3 | От 30 до 40 | 8 | От 3410 до 3540 |
От 6,3 до 10 | 8 | От 60 до 70 | 9 | От 3840 до 3980 |
От 8 до 11,2 | 10 | От 30 до 40 | 10 | От 4250 до 4420 |
От 11,2 до 16 | 14 | От 30 до 40 | 12 | От 5120 до 5300 |
| ИСО 3310-1:2000 | Сита лабораторные. Технические требования и испытания. Часть 1. Лабораторные сита из проволочной ткани |
| (ISO 3310-1:2000) | (Test sieves - Technical requirements and testing - Part 1: Test sieves of metal wire cloth) |
| ИСО 3310-2:1999 | Сита лабораторные. Технические требования и испытания. Часть 2. Лабораторные сита с перфорированной металлической пластиной |
| (ISO 3310-2:1999) | (Test sieves - Technical requirements and testing - Part 2: Test sieves of perforated metal plate) |