Главная // Актуальные документы // ГОСТ (Государственный стандарт)СПРАВКА
Источник публикации
М.: Стандартинформ, 2016
Примечание к документу
Документ
введен в действие с 1 января 2017 года.
Название документа
"ГОСТ 32492-2015. Межгосударственный стандарт. Арматура композитная полимерная для армирования бетонных конструкций. Методы определения физико-механических характеристик"
(введен в действие Приказом Росстандарта от 24.12.2015 N 2198-ст)
"ГОСТ 32492-2015. Межгосударственный стандарт. Арматура композитная полимерная для армирования бетонных конструкций. Методы определения физико-механических характеристик"
(введен в действие Приказом Росстандарта от 24.12.2015 N 2198-ст)
агентства по техническому
регулированию и метрологии
от 24 декабря 2015 г. N 2198-ст
МЕЖГОСУДАРСТВЕННЫЙ СТАНДАРТ
АРМАТУРА КОМПОЗИТНАЯ ПОЛИМЕРНАЯ
ДЛЯ АРМИРОВАНИЯ БЕТОННЫХ КОНСТРУКЦИЙ
МЕТОДЫ ОПРЕДЕЛЕНИЯ ФИЗИКО-МЕХАНИЧЕСКИХ ХАРАКТЕРИСТИК
Fiber-reinforced polymer bar for concrete reinforcement.
Determination of physical-mechanical properties
ГОСТ 32492-2015
Дата введения
1 января 2017 года
Цели, основные принципы и основной порядок проведения работ по межгосударственной стандартизации в строительстве установлены
ГОСТ 1.0-92 "Межгосударственная система стандартизации. Основные положения" и
ГОСТ 1.2-2009 "Межгосударственная система стандартизации. Стандарты межгосударственные, правила и рекомендации по межгосударственной стандартизации. Правила разработки, принятия, применения, обновления и отмены"
1 РАЗРАБОТАН Объединением юридических лиц "Союз производителей композитов" совместно с Открытым акционерным обществом "НПО Стеклопластик" и Научно-исследовательским, проектно-конструкторским и технологическим институтом бетона и железобетона им. А.А. Гвоздева акционерного общества "Научно-исследовательский центр "Строительство" при участии Общества с ограниченной ответственностью "Бийский завод стеклопластиков"
2 ВНЕСЕН Техническим комитетом по стандартизации ТК 465 "Строительство"
3 ПРИНЯТ Межгосударственным советом по стандартизации, метрологии и сертификации (протокол от 27 октября 2015 г. N 81-П)
За принятие проголосовали:
Краткое наименование страны по МК (ИСО 3166) 004-97 | Код страны по МК (ИСО 3166) 004-97 | Сокращенное наименование национального органа по стандартизации |
Армения | AM | Минэкономики Республики Армения |
Казахстан | KZ | Госстандарт Республики Казахстан |
Киргизия | KG | Кыргызстандарт |
Россия | RU | Росстандарт |
4
Приказом Федерального агентства по техническому регулированию и метрологии от 24 декабря 2015 г. N 2198-ст межгосударственный стандарт ГОСТ 32492-2015 введен в действие в качестве национального стандарта Российской Федерации
Информация об изменениях к настоящему стандарту публикуется в ежегодном информационном указателе "Национальные стандарты", а текст изменений и поправок - в ежемесячном информационном указателе "Национальные стандарты". В случае пересмотра (замены) или отмены настоящего стандарта соответствующее уведомление будет опубликовано в ежемесячном информационном указателе "Национальные стандарты". Соответствующая информация, уведомление и тексты размещаются также в информационной системе общего пользования - на официальном сайте Федерального агентства по техническому регулированию и метрологии в сети Интернет (www.gost.ru)
Настоящий стандарт распространяется на композитную полимерную арматуру периодического профиля для армирования бетонных конструкций (далее - АКП) по
ГОСТ 31938 и устанавливает методы определения физико-механических характеристик.
В настоящем стандарте использованы нормативные ссылки на следующие межгосударственные стандарты:
ГОСТ 8.207-76 <1> Государственная система обеспечения единства измерений. Прямые измерения с многократными наблюдениями. Методы обработки результатов наблюдений. Основные положения
--------------------------------
ГОСТ 166-89 (ИСО 3599-76) Штангенциркули. Технические условия
ГОСТ 427-75 Линейки измерительные металлические. Технические условия
ГОСТ 8267-93 Щебень и гравий из плотных горных пород для строительных работ. Технические условия
ГОСТ 8736-93 Песок для строительных работ. Технические условия
ГОСТ 10178-85 Портландцемент и шлакопортландцемент. Технические условия
ГОСТ 10180-2012 Бетоны. Методы определения прочности по контрольным образцам
ГОСТ 12423-2013 (ISO 291:2008) Пластмассы. Условия кондиционирования и испытания образцов (проб)
ГОСТ 15150-69 Машины, приборы и другие технические изделия. Исполнения для различных климатических районов. Категории, условия эксплуатации, хранения и транспортирования в части воздействия климатических факторов внешней среды
ГОСТ 28840-90 Машины для испытания материалов на растяжение, сжатие и изгиб. Общие технические требования
ГОСТ 31938-2012 Арматура композитная полимерная для армирования бетонных конструкций. Общие технические условия
Примечание - При пользовании настоящим стандартом целесообразно проверить действие ссылочных стандартов в информационной системе общего пользования - на официальном сайте Федерального агентства по техническому регулированию и метрологии в сети Интернет или по ежегодному информационному указателю "Национальные стандарты", который опубликован по состоянию на 1 января текущего года, и по выпускам ежемесячного информационного указателя "Национальные стандарты" за текущий год. Если ссылочный стандарт заменен (изменен), то при пользовании настоящим стандартом следует руководствоваться заменяющим (измененным) стандартом. Если ссылочный стандарт отменен без замены, то положение, в котором дана ссылка на него, применяется в части, не затрагивающей эту ссылку.
В настоящем стандарте применены термины по
ГОСТ 31938, а также следующие термины с соответствующими определениями:
3.1 испытательная муфта: Устройство, предназначенное для передачи направленной вдоль оси АКП растягивающей нагрузки от нагружающего механизма.
3.2 наружный диаметр АКП (наружный диаметр): Диаметр, позволяющий путем непосредственного измерения по вершинам периодических выступов на силовом стержне идентифицировать номинальный диаметр.
3.3 номинальный диаметр АКП (номинальный диаметр): Диаметр равновеликого по объему круглого гладкого стержня с учетом допустимых отклонений, указываемый в обозначении арматуры, используемый в расчетах физико-механических характеристик и расчетах конструкций.
3.4 номинальная площадь поперечного сечения; АКП: Площадь поперечного сечения, равная площади поперечного сечения круглого стержня того же номинального диаметра.
4.1 Настоящий стандарт устанавливает методы определения физико-механических характеристик АКП:
- предела прочности, модуля упругости и относительного удлинения при разрыве при осевом растяжении;
- предела прочности при сжатии;
- предела прочности при поперечном срезе;
- предела прочности сцепления с бетоном.
4.2 Испытания АКП проводят лаборатории или испытательные центры, аккредитованные на данные виды испытаний.
4.3 Испытательная аппаратура и измерительные устройства должны быть поверены в органах, аккредитованных в соответствующем государственном органе, иметь свидетельства о государственной поверке.
4.4 Внешний вид и качество поверхности АКП на соответствие установленным требованиям или эталонному образцу проверяют визуально, при необходимости применяют увеличительные приборы с кратностью увеличения до пяти раз.
4.5 Геометрические размеры проверяют штангенциркулем по
ГОСТ 166, микрометром по
ГОСТ 6507, линейкой по
ГОСТ 427. Допускается использование других стандартизованных средств измерений, обеспечивающих требуемую точность измерений.
4.7 Статистическую обработку результатов испытаний проводят по
ГОСТ 8.207.
4.8 Если в нормативно-технической документации на испытуемые образцы не указаны особые условия кондиционирования, то перед испытанием их кондиционируют по
ГОСТ 12423.
4.9 Число образцов, отобранных для испытаний, должно соответствовать требованиям ГОСТ 31938
(раздел 7).
4.10 Образцы для испытаний отбирают методом случайного отбора от контролируемой партии АКП и сопровождают актом отбора образцов, в котором указывают:
- наименование предприятия-изготовителя;
- условное обозначение;
- тип, марку и исходные технические характеристики армирующего волокна;
- тип смолы, на основе которой приготовлено связующее;
- дату изготовления партии;
- номер партии;
- число и размеры образцов;
| | ИС МЕГАНОРМ: примечание. Текст дан в соответствии с официальным текстом документа. | |
- контролируемые характеристики, для оправления которых отобраны образцы;
- подпись лица, ответственного за отбор образцов.
При отборе и подготовке образцов для испытаний следует не допускать механических повреждений и других воздействий, которые могут привести к изменениям свойств материала.
4.11 Условия испытаний должны соответствовать требованиям ГОСТ 15150
(пункт 3.15).
5. Метод испытания на осевое растяжение
5.1 Общие положения
Метод устанавливает порядок испытаний АКП на осевое растяжение для определения следующих физико-механических характеристик:
- предел прочности;
- модуль упругости (начальный);
- относительное удлинение при разрыве.
Примечание - Для оценки предела прочности, модуля упругости АКП на производстве допускается использовать метод испытания на продольный изгиб, приведенный в
приложении А.
5.2 Образцы
5.2.1 Длину испытательных муфт следует принимать из условий, чтобы разрыв образца происходил в пределах длины рабочего участка без проскальзывания и разрушения в них.
5.2.2 За рабочий участок принята часть образца, которая находится между испытательными муфтами, предназначенными для зажима образцов захватами испытательной машины.
5.2.3 Полная длина образца определяется суммой длин рабочего участка, которую следует принимать не менее 40d испытуемой АКП, и длиной двух испытательных муфт.
5.2.4 Рекомендуемая конструкция и размеры испытательной муфты для проведения испытаний - в соответствии с рисунком 5.1 и
таблицей 5.1.
Рисунок 5.1 - Вид типового опытного образца
Таблица 5.1
Размеры опытных образцов и испытательных муфт
В миллиметрах
Номинальный диаметр АКП | Испытательная муфта |
Внешний диаметр | Минимальная длина | Толщина стенки |
От 4 до 10 | 35 | 300 | От 3 до 5 |
От 10 до 16 | 42 | 350 |
От 16 до 22 | 48 | 450 |
От 22 до 30 | 60 | 500 |
Примечания
1 Допускается использование более коротких образцов и муфт при условии выполнения требований
5.2.1 и
5.4.2.
2 Для определения предела прочности АКП при приемо-сдаточных испытаниях, а при периодических и типовых испытаниях АКП диаметром более 16 мм допускается использовать образцы, конструкции которых приведены в
приложении Б.
5.3 Аппаратура и материалы
5.3.1 Испытательная машина по
ГОСТ 28840 должна обеспечивать:
- нагрузку, превышающую прочность образца при испытаниях на контролируемый показатель;
- измерение нагрузки и расстояния между траверсами с погрешностью не более 0,5%;
- регулируемую скорость перемещения активной траверсы в диапазоне от 5 до 100 мм/мин.
5.3.2 Система регистрации данных должна обеспечивать непрерывную регистрацию нагрузки, деформации и перемещений со скоростью не менее двух записей в секунду. Минимальное регистрируемое значение должно быть:
для нагрузки ................................................ 100 Н;
для деформаций .............................................. 0,001 мм;
для перемещений ............................................. 0,01 мм.
5.3.3 В качестве тензометров применяют экстензометры или линейные датчики перемещений, которые должны записывать удлинение образца во время испытаний с точностью не менее 0,01% длины их базы измерения.
5.4 Проведение испытаний
5.4.1 При установке образца на испытательную машину следует обеспечивать точность совпадения приложения нагрузки с продольной осью образца.
5.4.2 Экстензометр или линейные датчики перемещений следует устанавливать посредине рабочего участка, при этом длина базы для измерения удлинения и расстояние от испытательных муфт должны быть не менее 8d АКП.
5.4.3 Предполагаемую максимальную нагрузку P, Н, определяют по результатам пробных испытаний образцов или предыдущих испытаний АКП такого же номинального диаметра.
5.4.4 Систему регистрации данных следует включать за несколько секунд до начала нагружения. В ходе испытаний скорость нагружения должна быть постоянной и обеспечивающей разрушение образца за 3 - 10 мин.
5.4.5 Деформации следует регистрировать до уровня нагрузок, составляющих не менее 50% предела прочности при растяжении.
5.4.6 Разрушение образца должно происходить в пределах рабочего участка, если его разрушение произойдет в испытательной муфте или он выскальзывает из нее, то следует провести дополнительное испытание образца из той же партии.
Диаграмма "нагрузка-относительное удлинение" должна быть построена на основании результатов, регистрируемых силоизмерительным датчиком и экстензометром.
5.5 Обработка результатов испытаний
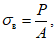
5.5.1 Предел прочности при растяжении

, МПа, вычисляют по формуле

(1)
где P - разрушающая нагрузка, Н;
A - номинальная площадь поперечного сечения, мм2.
5.5.2 Начальный модуль упругости Ef, МПа, вычисляют по формуле

(2)
где P1 - нагрузка, составляющая (50 +/- 2)% разрушающей нагрузки, Н;
P2 - нагрузка, составляющая (20 +/- 2)% разрушающей нагрузки, Н;

- относительное удлинение, соответствующее нагрузке
P1;

- относительное удлинение, соответствующее нагрузке
P2.
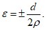
5.5.3 Относительное удлинение при разрушающей нагрузке

, мм/мм, вычисляют по формуле

(3)
За результат испытания принимают среднее значение параллельных определений, вычисленных до двух значащих цифр.
5.6 Протокол испытаний
Протокол испытаний должен включать в себя:
- сведения об образцах, приведенные в акте отбора образцов;
- наименование организации, проводившей испытание;
- дату проведения испытаний;
- сведения об условиях, при которых проведены испытания;
- номинальный диаметр и площадь поперечного сечения АКП;
- значения измеряемых характеристик для каждого образца;
- значения определяемых характеристик каждого образца, полученные при обработке результатов испытания;
- средние значения определяемых характеристик и результаты статистической обработки полученных результатов;
- диаграмму "нагрузка-относительное удлинение" каждого образца;
- описание вида и характера разрушения каждого образца или фото каждого образца после испытаний;
- сведения о специалистах, проводивших испытания, и их подписи.
6. Метод испытания на сжатие
6.1 Общие положения
Метод устанавливает порядок испытаний АКП на осевое сжатие для определения предела прочности.
Метод учитывает основные положения
ГОСТ 4651 с изменениями и дополнениями:
- разрушение опытного образца должно происходить в пределах рабочего участка;
- влияние на процесс разрушения образца касательных и радиальных напряжений, возникающих в переходной зоне от испытательной муфты к стержню, не учитывают.
6.2 Образцы
6.2.1 В качестве образцов для испытаний (см. рисунок 6.1) используют мерные отрезки, на концах которых на клеевом слое установлены испытательные муфты.
1 - отрезок АКП; 2 - испытательная муфта
Рисунок 6.1 - Схема образца для испытаний
6.2.2 За рабочий участок принята часть образца, которая находится между испытательными муфтами.
6.2.3 Длина рабочего участка АКП, расположенного между испытательными муфтами, должна быть (2d +/- 10)%.
6.2.4 Общая длина образца определяется конструкцией испытательных муфт.
6.3 Аппаратура и материалы
6.3.1 Испытательная машина по
ГОСТ 28840 должна обеспечивать:
- нагрузку, превышающую прочность образца при испытаниях на контролируемый показатель;
- измерение нагрузки и расстояния между траверсами с погрешностью не более 0,5%;
- регулируемую скорость перемещения активной траверсы в диапазоне от 5 до 100 мм/мин.
6.3.2 Испытательная машина должна быть снабжена двумя плоскопараллельными площадками (плитами) и обеспечивать их сближение с заданной постоянной скоростью.
6.3.3 Рекомендуемое приспособление для испытания образцов на сжатие (см. рисунок 6.2) состоит из направляющей втулки, обеспечивающей возможность приложения нагрузки вдоль оси образца и двух испытательных муфт, установленных на концах и обеспечивающих разрушение его на рабочем участке.
Dм - минимальный диаметр испытательной муфты;
Dвт - минимальный диаметр направляющей втулки
Рисунок 6.2 - Приспособление
для испытания образцов на сжатие
Примечание - Допускается использование других приспособлений и конструкций образцов при условии, если разрушение происходит в пределах длины рабочего участка без проскальзывания и разрушения в испытательной муфте.
6.3.4 Для уменьшения трения поверхности направляющей втулки и испытательных муфт разрешается шлифовать, полировать или покрывать тонким слоем смазки.
6.4 Проведение испытаний
6.4.1 Предполагаемую максимальную нагрузку определяют по результатам пробных испытаний образцов.
6.4.2 Образец устанавливают в испытательную машину.
6.4.3 Включают измерительный комплекс и привод испытательной машины в режим испытания. Нагружение производят со скоростью от 5 до 20 кН/мин или со скоростью перемещения подвижной траверсы от 5 до 15 мм/мин.
6.4.4 Если разрушение образца произойдет вне рабочей зоны, то следует провести дополнительное испытание образца из той же партии.
6.4.5 За результат испытаний принимают наименьшее значение предела прочности, полученное для образцов, разрушившихся в рабочей зоне.
6.5 Обработка результатов испытаний
Предел прочности при сжатии

, МПа, вычисляют по формуле

(4)
где P - разрушающая нагрузка, Н;
d - номинальный диаметр, мм.
За результат испытания принимают среднее значение параллельных определений, вычисленных до третей значащей цифры.
6.6 Протокол испытаний
Протокол испытаний должен включать в себя:
- сведения об образцах, приведенные в акте отбора образцов;
- наименование организации, проводившей испытание;
- дату проведения испытаний;
- сведения об условиях, при которых проведены испытания;
- номинальный диаметр и площадь поперечного сечения АКП;
- значения измеряемых характеристик для каждого образца;
- значения определяемых характеристик каждого образца, полученные при обработке результатов испытания;
- средние значения определяемых характеристик и результаты статистической обработки полученных результатов;
- сведения о специалистах, проводивших испытания, и их подписи.
7. Метод испытания на поперечный срез
7.1 Общие положения
Метод устанавливает порядок испытаний для определения предела прочности АКП на поперечный срез.
Метод основан на определении срезающей нагрузки, которая прилагается к двум плоскостям поперечного сечения АКП.
7.2 Образцы
Образец для испытаний представляет собой мерный отрезок, длина которого определяется конструкцией приспособления для испытания и должна быть не менее 150 мм независимо от диаметра.
7.3 Аппаратура и материалы
7.3.1 Испытательная машина по
ГОСТ 28840 должна обеспечивать:
- нагрузку, превышающую удвоенную прочность образца при испытаниях на контролируемый показатель;
- измерение нагрузки и расстояния между траверсами с погрешностью не более 0,5%;
- регулируемую скорость перемещения активной траверсы в диапазоне от 5 до 100 мм/мин.
7.3.2 Рекомендуемые приспособления для испытаний состоят:
- из держателя образца с продольной V-образной выемкой и прямоугольной выемки для фиксации верхнего и нижних ножей (см.
рисунок 7.1), а также верхнего и двух нижних ножей;
- или обоймы из двух нижних ножей и верхнего ножа, которые имеют проходные отверстия под наружный диаметр испытуемого образца (см.
рисунок 7.2).
1 - держатель; 2 - верхний нож;
3 - нижние ножи; 4 - опытный образец
Рисунок 7.1 - Приспособление для испытания
образцов на поперечный срез
1 - опытный образец; 2 - верхний нож; 3 - нижние ножи
Рисунок 7.2 - Схема приспособления с проходными отверстиями
7.3.3 Толщина верхнего ножа 25 мм, толщина каждого нижнего ножа не менее 12,5 мм.
7.3.4 Зазор между верхним и нижними ножами должен быть от 0,1 до 0,5 мм.
7.3.5 Номинальная ширина прямоугольной выемки должна быть 50 мм с зависимым допуском, обеспечивающим указанный зазор.
7.3.6 Для уменьшения трения грани ножей их поверхность разрешается шлифовать, полировать или покрывать тонким слоем смазки.
7.4 Проведение испытаний
7.4.1 Образец вставляют в приспособление для испытаний так, чтобы ножи располагались примерно посредине длины образца, и устанавливают приспособление на испытательной машине.
7.4.2 Поверхность верхнего ножа должна соприкасаться с нагружающим устройством испытательной машины, зазор не допускается.
7.4.3 Включают измерительный комплекс и привод испытательной машины в режим испытания. Скорость увеличения перемещения верхнего ножа должна быть от 5 до 15 мм/мин. Нагрузку следует прилагать монотонно, не подвергая образец ударам.
7.4.4 Образец должен срезаться кромками ножей одновременно в двух плоскостях вдоль граней, перпендикулярных к его оси.
7.4.5 Разрушающую нагрузку определяют с точностью до 1 Н.
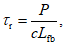
7.5 Обработка результатов
Предельное напряжение при поперечном срезе

, МПа, вычисляют по формуле

(5)
где P - разрушающая нагрузка, Н;
A - номинальная площадь поперечного сечения, мм2.
За результат испытания принимают среднее значение параллельных определений, вычисленных до третьей значащей цифры.
7.6 Протокол испытаний
Протокол испытаний должен включать в себя:
- сведения об образцах, приведенные в акте отбора образцов;
- наименование организации, проводившей испытание;
- дату проведения испытаний;
- сведения об условиях, при которых проведены испытания;
- номинальный диаметр и площадь поперечного сечения АКП;
- значения измеряемых характеристик для каждого образца;
- значения определяемых характеристик каждого образца, полученные при обработке результатов испытания;
- средние значения определяемых характеристик и результаты статистической обработки полученных результатов;
- сведения о специалистах, проводивших испытания, и их подписи.
8. Метод определения прочности сцепления с бетоном
8.1 Общие положения
Метод устанавливает порядок испытаний для определения прочности сцепления АКП с бетоном.
Метод основан на определении значения сдвиговых напряжений, реализующихся по границе сцепления АКП с бетоном, при максимальной нагрузке (до разрушения), полученной при осевом выдергивании АКП из бетона, независимо от того, где образец разрушился (по АКП или границе сцепления АКП с бетоном).
8.2 Образцы
8.2.1 Образцы (см. рисунок 8.1) состоят из бетонных кубов или цилиндров, по центру которых вертикально устанавливают АКП с предварительно установленной на одном из ее концов испытательной муфтой перпендикулярно или параллельно направлению укладки бетона. Размеры бетонных кубов или цилиндров в зависимости от диаметра АКП указаны в
таблице 8.1.
Общую длину образца для испытания определяют:
- размерами бетонных кубов или цилиндров;
- условиями установки образца в испытательную машину;
- конструкцией испытательной муфты.
Рисунок 8.1 - Схема образца для испытаний
Таблица 8.1
Размеры образцов для испытаний
В миллиметрах
Номинальный диаметр АКП | Размер ребра бетонного куба | Диаметр и высота бетонного цилиндра | Длина сцепления АКП с бетоном, Lfb |
<= 10 | 100 | 100 | 5d +/- 0,05d |
От 10 до 18 | 150 | 150 |
От 18 до 30 | 200 | 200 |
Примечание - Для предотвращения разрушения бетона бетонные кубы и цилиндры допускается усиливать армированием.
8.2.2 Вне зоны сцепления АКП расположена в поливинилхлоридной трубке или вкладыше.
8.2.3 Свободный конец АКП должен выступать над поверхностью бетона на (5 +/- 2) мм.
8.2.4 Бетон изготавливают в соответствии с требованиями
ГОСТ 27006.
8.2.5 Требования к бетонной смеси:
- размер крупного заполнителя 10 - 20 мм;
- марка подвижности бетонной смеси П3.
8.2.6 Требования к бетону:
- класс бетона по прочности на сжатие B25;
- средняя прочность бетона должна составлять от 30 до 35 МПа.
8.2.7 Рекомендуется следующий метод укладки бетона в форму:
- бетонную смесь укладывают четырьмя слоями примерно одинаковой толщины и штыкуют каждый слой 25 раз металлическим стержнем диаметром 16 мм;
- после укладки и уплотнения смеси поверхность заглаживают и защищают от испарения влаги.
8.2.8 Распалубку образцов проводят не ранее 24 ч после изготовления. Образцы хранят в нормальных условиях. Возраст образцов при испытаниях - 28 сут.
8.2.9 Прочность бетона на сжатие определяют по кубам размером 100 x 100 мм не менее 3 шт. в соответствии с
ГОСТ 10180.
8.3 Аппаратура и материалы
8.3.1 Испытательная машина по
ГОСТ 28840 должна обеспечивать:
- нагрузку, превышающую прочность образца при испытаниях на контролируемый показатель;
- измерение нагрузки и расстояния между траверсами с погрешностью не более 0,5% измеряемой характеристики.
8.3.2 Для измерения проскальзывания АКП в бетоне используют экстензометры, линейные датчики перемещений, аналоговые или цифровые индикаторы (измерители проскальзывания) с точностью показаний до 0,01 мм.
8.3.3 Для изготовления образцов требуются:
- водонепроницаемые формы для изготовления бетонных кубов или цилиндров (с отверстиями для установки АКП необходимого диаметра), которые должны обеспечивать распалубку без повреждений стержней;
- испытательные муфты в соответствии с
5.2.2;
8.4 Проведение испытаний
8.4.1 Образец для испытаний устанавливают на подвижной траверсе испытательной машины через мягкую (резиновую) прокладку и стальную опорную плиту, а испытательная муфта должна быть установлена в захватах неподвижной траверсы испытательной машины.
8.4.2 Стальную опорную плиту со стороной не менее 200 мм и толщиной не менее 10 мм используют как несущую поверхность, обеспечивают равномерное распределение нагрузки на бетонный куб или цилиндр (см. рисунок 8.2).
1 - измеритель проскальзывания на свободном конце АКП;
2 - бетонный куб или цилиндр; 3 - мягкая прокладка;
4 - опорная плита; 5 - захваты неподвижной траверсы
испытательной машины; 6 - испытательная муфта
Рисунок 8.2 - Схемы испытания образца
при осевом выдергивании АКП из бетона
8.4.3 На свободном конце АКП устанавливают измеритель проскальзывания.
8.4.4 Включают измерительный комплекс и привод испытательной машины в режим испытания. Нагружение образца производят со скоростью не более чем 20 кН/мин или со скоростью перемещения подвижной траверсы не более чем 1 мм/мин.
8.4.5 Регистрацию показания измерителя проскальзывания и прилагаемой нагрузки проводят с равным шагом, который составляет 10% нагрузки проскальзывания на значение 0,25 мм.
На каждом шаге нагрузки образцы выдерживают 15 с, после чего регистрируют показания измерителей проскальзывания с точностью +/- 0,01 мм.
8.4.6 Определяют нагрузки, вызывающие проскальзывание свободного конца АКП на 0,05; 0,10 и 0,25 мм, и максимальное значение нагрузки, соответствующее разрыву АКП, или разрушения бетона, или проскальзывания свободного конца на 2,5 мм.
8.4.7 Если АКП разрушилась или проскользнула в испытательной муфте раньше, чем произошло ее проскальзывание в бетоне, или вследствие раскалывания бетона значительно снизилась прилагаемая нагрузка, то данные измерений не принимают, а испытания повторяют на дополнительном образце из той же партии.
8.4.8 При раскалывании бетона требуется увеличить размер бетонных образцов.
8.5 Обработка результатов испытаний
8.5.1 Напряжение сцепления с бетоном

, МПа, вычисляют по формуле

(6)
где P - прилагаемая нагрузка, Н;
c - номинальная длина окружности сечения АКП, мм;
Lfb - длина участка сцепления АКП с бетоном, мм.
8.5.2 Определяют средние напряжения сцепления, вызывающие проскальзывание свободного конца АКП на 0,05; 0,10 и 0,25 мм, и максимальное значение напряжения сцепления.
8.6 Протокол испытаний
Протокол испытаний должен включать в себя:
- сведения об образцах, приведенные в акте отбора образцов;
- наименование организации, проводившей испытание;
- дату проведения испытаний;
- сведения об условиях испытания;
- сведения о бетоне: состав и подвижность бетонной смеси, прочность на сжатие образцов бетона по истечении 28 сут;
- номинальный диаметр и площадь поперечного сечения АКП;
- длину сцепления АКП с бетоном;
- значения измеряемых характеристик для каждого образца;
- значения характеристик каждого образца, полученные при обработке результатов испытания;
- средние значения характеристик и результаты статистической обработки полученных данных;
- описание вида и характера разрушения каждого образца или фото каждого образца после испытаний;
- сведения о специалистах, проводивших испытания, и их подписи.
(справочное)
МЕТОД ИСПЫТАНИЯ НА ПРОДОЛЬНЫЙ ИЗГИБ
А.1 Общие положения
Метод устанавливает порядок испытаний АКП на производстве при приемо-сдаточных испытаниях для оценки следующих физико-механических характеристик:
- предел прочности;
- модуль упругости;
- относительная деформация.
Метод основан на разрушении образца посредством потери устойчивости при нагружении продольной сжимающей нагрузкой вдоль волокон.
Метод испытаний является косвенным и заключается:
- в продольном изгибе (принудительном сближении концов) образца заданной длины с шарнирно опертыми концами при постоянной скорости, вплоть до разрушения;
- в последовательном измерении расстояний, на которые сближаются концы образца при продольном изгибе;
- в последовательном измерении нагрузок, соответствующих значениям сближения концов, при которых образец сопротивляется продольному изгибу;
- в обработке по заданному алгоритму результатов измерений сближения концов и нагрузок с целью определения значений предела прочности в продольном направлении и модуля упругости;
- в определении коэффициента корреляции между значениями предела прочности и модуля упругости, определенных методом осевого растяжения, являющимся прямым методом.
А.2 Образцы
Образец для испытаний представляет собой мерный отрезок L, мм, длиной не менее 0,8Ef·d. Длина каждого образца должна быть измерена с погрешностью не более 1 мм.
А.3 Аппаратура и материалы
Приспособление для испытания образцов на продольный изгиб (см.
рисунок А.1) должно удовлетворять следующим требованиям:
- обеспечивать шарнирное крепление концов образца, установленного в испытательной машине;
- оси вращения шарниров должны быть установлены параллельно;
- плоскости, на которые опираются торцевые поверхности образца, должны проходить через оси вращения шарниров;
- поперечные размеры гнезд, на которые устанавливают образец, должны быть равны наружному диаметру АКП (допускается отклонение в

сторону не более 0,2 мм);
- глубина гнезд для установки образца должна быть в пределах (2,0 +/- 0,5) мм.
1 - подвижная траверса испытательной машины; 2 - верхняя
шарнирная опора; 3 - образец; 4 - нижняя шарнирная опора;
5 - корпус силоизмерительного узла; 6 - датчик силы;
7 - станина испытательной машины
Рисунок А.1 - Приспособление
для испытаний на продольный изгиб
А.4 Проведение испытаний
А.4.1 Предполагаемую нагрузку (усилие потери устойчивости) Pu, Н, определяют по результатам пробных испытаний опытных образцов.
А.4.2 Устанавливают шарнирные опоры, соответствующие наружному диаметру образцов.
А.4.3 Рекомендуемое значение скорости движения подвижной траверсы - от 5 до 15 мм/мин.
А.4.4 Образец устанавливают в шарнирные опоры. Нагрузка на образец при установке его в опоры не должна превышать массы узла крепления шарнирной опоры на траверсе.
А.4.5 Включают измерительный комплекс и привод испытательной машины в режим испытания.
А.4.6 По показаниям измерительных приборов записывают диаграмму продольного изгиба образца: дискретный двухмерный массив

,
Pi значений сближения концов образца

и соответствующих им значений критической силы
Pi.
А.4.7 Запись диаграммы начинают с момента, когда приложенная к концам образца нагрузка P превышает значение, равное 0,7Pu.
А.4.8 Запись диаграммы прекращают, когда нагрузка снизится более чем на 50% максимального значения.
А.4.9 Число записанных показателей массива должно быть не менее двадцати.
А.5 Обработка результатов испытаний
А.5.1 Для каждого образца, используя значения показателей массива

,
Pi, рассчитывают значения напряжения и деформации по
формулам (А.1) -
(А.5). По результатам вычислений для каждого образца строят двухмерный массив

,

.
А.5.2 За предельное напряжение в продольном направлении

принимают максимальное, соответствующее моменту разрушения, значение продольного напряжения

в крайних волокнах средней части образца, вызванное моментом при прогибе
f силы
P, приложенной к образцу при продольном изгибе.
А.5.3 Максимальные напряжения

, МПа, возникающие в продольно изгибаемом образце, вычисляют по формуле

(А.1)
где P - продольная сжимающая сила, приложенная к концам образца, Н;
f - прогиб продольно изгибаемого образца, мм;
w - момент сопротивления поперечного сечения образца, мм3.
А.5.4 Прогиб продольно изгибаемого образца f, мм, вычисляют по формуле
| | ИС МЕГАНОРМ: примечание. Формула дана в соответствии с официальным текстом документа. | |

(А.2)
где l - длина образца, мм;

- отношение

, мм/мм.
| | ИС МЕГАНОРМ: примечание. Нумерация пунктов дана в соответствии с официальным текстом документа. | |
А.5.4 Момент сопротивления поперечного сечения образца w, мм3, вычисляют по формуле

(А.3)
где d - номинальный диаметр, мм.
А.5.5 Максимальное значение деформации

, мм/мм, возникающей в крайних волокнах средней части образца в продольно изгибаемом образце, вычисляют по формуле

(А.4)
А.5.6 Значения радиуса кривизны

, мм, продольно изгибаемого образца в окрестности его среднего сечения вычисляют по формуле

(А.5)
При расчетах значений напряжений и деформаций по
формулам (А.1) и
(А.5) допускается использовать значения прогиба и радиуса кривизны, определенные по измерительным приборам, обеспечивающим измерение с погрешностью не более 0,5%.
А.5.7 В пределах изменения деформации от

до

диаграмму "напряжение-деформация" аппроксимируют линейной функцией

. Значения деформаций выбирают из линейной области деформирования. Для этого используют стандартные программы автоматизированной обработки результатов испытаний, основанные на методе "наименьших квадратов". За значение модуля упругости
Ef, МПа, образца принимают числовое значение параметра
b в аппроксимирующем выражении

.
А.6 Протокол испытаний
Протокол испытаний должен включать в себя:
- сведения об образцах, приведенные в акте отбора образцов;
- наименование организации, проводившей испытание;
- дату проведения испытаний;
- сведения об условиях, при которых проведены испытания;
- номинальный диаметр и площадь поперечного сечения;
- значения измеряемых характеристик для каждого образца;
- значения определяемых характеристик каждого образца, полученные при обработке результатов испытания;
- средние значения определяемых характеристик и результаты статистической обработки полученных результатов;
- коэффициент корреляции между значениями предела прочности и модуля упругости, определенных методом осевого растяжения;
- диаграмму "нагрузки-деформация" каждого образца;
- сведения о специалистах, проводивших испытания, и их подписи.
(рекомендуемое)
КОНСТРУКЦИЯ ОБРАЗЦОВ С ПОНИЖЕННЫМ ПОПЕРЕЧНЫМ
СЕЧЕНИЕМ ДЛЯ ИСПЫТАНИЙ НА ОСЕВОЕ РАСТЯЖЕНИЕ
Б.1 Предел прочности при растяжении определяют при разрушении образца в его средней части путем изготовления участка с пониженным поперечным сечением (шейки). Модуль упругости определяют на образце, схема которого показана на рисунке Б.1.
Б.2 Длину образца определяют длиной рабочего участка и длиной двух испытательных муфт. Конструкция образца приведена на рисунке Б.1.
Рисунок Б.1 - Конструкция образца с плоской шейкой
Б.3 Длину испытательных муфт следует принимать из условий, чтобы разрыв образца происходил в пределах длины рабочего участка без проскальзывания и разрушения в испытательных муфтах.
Б.4 Минимальная высота образца в зоне шейки, ширина и радиус ее фасок должны выбираться таким образом, чтобы обеспечивать его разрушение в рабочей зоне. Высота шейки должна быть не менее 0,2d.
Б.5 Шейка должна находиться в середине рабочего участка на расстоянии от муфт не менее трех номинальных диаметров образца.
Б.6 Длина рабочего участка образца должна быть не менее 8d.
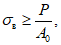
Б.7 Предел прочности при растяжении

, МПа, вычисляют по формуле

(Б.1)
где P - разрушающая нагрузка, Н;
A0 - площадь поперечного сечения образца в зоне шейки, мм2.
Б.8 Площадь поперечного сечения образца в зоне шейки A0, мм2, вычисляют по формуле
A0 = h0d, (Б.2)
где h0 - высота минимального сечения шейки образца, мм;
d - номинальный диаметр, мм.