Главная // Актуальные документы // ГОСТ (Государственный стандарт)СПРАВКА
Источник публикации
М.: Стандартинформ, 2019
Примечание к документу
Документ
введен в действие с 01.01.2015.
Название документа
"ГОСТ ISO 13909-8-2013. Межгосударственный стандарт. Уголь каменный и кокс. Механический отбор проб. Часть 8. Методы определения систематической погрешности"
(введен в действие Приказом Росстандарта от 17.12.2013 N 2296-ст)
"ГОСТ ISO 13909-8-2013. Межгосударственный стандарт. Уголь каменный и кокс. Механический отбор проб. Часть 8. Методы определения систематической погрешности"
(введен в действие Приказом Росстандарта от 17.12.2013 N 2296-ст)
Приказом Федерального агентства
по техническому регулированию
и метрологии
от 17 декабря 2013 г. N 2296-ст
МЕЖГОСУДАРСТВЕННЫЙ СТАНДАРТ
УГОЛЬ КАМЕННЫЙ И КОКС
МЕХАНИЧЕСКИЙ ОТБОР ПРОБ
ЧАСТЬ 8
МЕТОДЫ ОПРЕДЕЛЕНИЯ СИСТЕМАТИЧЕСКОЙ ПОГРЕШНОСТИ
Hard coal and coke. Mechanical sampling.
Part 8. Methods of testing for bias
(ISO 13909-8:2001, IDT)
ГОСТ ISO 13909-8-2013
Дата введения
1 января 2015 года
Цели, основные принципы и общие правила проведения работ по межгосударственной стандартизации установлены
ГОСТ 1.0 "Межгосударственная система стандартизации. Основные положения" и
ГОСТ 1.2 "Межгосударственная система стандартизации. Стандарты межгосударственные, правила и рекомендации по межгосударственной стандартизации. Правила разработки, принятия, обновления и отмены"
1 ПОДГОТОВЛЕН Федеральным государственным унитарным предприятием "Всероссийский научно-исследовательский центр стандартизации, информации и сертификации сырья, материалов и веществ" (ФГУП "ВНИЦСМВ") совместно с Обществом с ограниченной ответственностью "Восточный научно-исследовательский углехимический институт" (ОАО "ВУХИН") на основе собственного перевода на русский язык англоязычной версии стандарта, указанного в
пункте 5
2 ВНЕСЕН Федеральным агентством по техническому регулированию и метрологии
3 ПРИНЯТ Межгосударственным советом по стандартизации, метрологии и сертификации по переписке (протокол от 3 декабря 2013 г. N 62-П)
За принятие проголосовали:
Краткое наименование страны по МК (ИСО 3166) 004-97 | Код страны по МК (ИСО 3166) 004-97 | Сокращенное наименование национального органа по стандартизации |
Беларусь | BY | Госстандарт Республики Беларусь |
Киргизия | KG | Кыргызстандарт |
Молдова | MD | Молдова-Стандарт |
Россия | RU | Росстандарт |
Узбекистан | UZ | Узстандарт |
4 Приказом Федерального агентства по техническому регулированию и метрологии от 17 декабря 2013 г. N 2296-ст межгосударственный стандарт ГОСТ ISO 13909-8-2013 введен в действие непосредственно в качестве национального стандарта Российской Федерации с 1 января 2015 г.
5 Настоящий стандарт идентичен международному стандарту ISO 13909-8:2001 "Уголь каменный и кокс. Механический отбор проб. Часть 8. Методы определения систематической погрешности" ("Hard coal and coke - Mechanical sampling - Part 8: Methods of testing for bias", IDT).
Международный стандарт разработан Техническим комитетом ISO/TS 27 "Твердое минеральное топливо", Подкомитетом SC 4 "Отбор проб" Международной организации по стандартизации (ISO).
При применении настоящего стандарта рекомендуется использовать вместо ссылочных международных стандартов соответствующие им межгосударственные стандарты, сведения о которых приведены в дополнительном
приложении ДА
6 ВВЕДЕН ВПЕРВЫЕ
7 ПЕРЕИЗДАНИЕ. Август 2019 г.
Информация о введении в действие (прекращении действия) настоящего стандарта и изменений к нему на территории указанных выше государств публикуется в указателях национальных стандартов, издаваемых в этих государствах, а также в сети Интернет на сайтах соответствующих национальных органов по стандартизации.
В случае пересмотра, изменения или отмены настоящего стандарта соответствующая информация будет опубликована на официальном интернет-сайте Межгосударственного совета по стандартизации, метрологии и сертификации в каталоге "Межгосударственные стандарты"
Стандартный метод определения систематической погрешности при отборе проб в полевых условиях невозможно установить, потому что детали процедуры будут неизбежно зависеть от местных условий. Однако можно наметить определенные принципы, описанные в настоящем стандарте, которых следует по возможности придерживаться.
Определение систематической погрешности - трудоемкий и дорогостоящий процесс, особенно если включает испытание пробоотбирающего устройства для отбора первичных точечных проб. Поэтому все определения систематической погрешности в обязательном порядке включают тщательную предварительную проверку пробоотбирающей системы с принятием соответствующих мер относительно устранения любых недостатков в ее работе, способных стать причиной систематической погрешности.
Настоящий стандарт устанавливает принципы и методы определения систематической погрешности проб для испытаний каменного угля и кокса, отобранных в соответствии с другими стандартами серии стандартов ГОСТ ISO 13909. В стандарте рассматривается применение только одновариантных статистических методов.
Возможность ошибочного заключения о наличии систематической погрешности, когда никакой систематической погрешности не существует ни в одной из нескольких переменных, определенных для той же самой серии проб, существенно больше, чем для единственной переменной. Если могут быть измерены несколько переменных, следует заранее установить одну переменную, на основе которой будет определяться результат всего испытания.
Примечание - В тексте используется термин "топливо", если в контексте уголь и кокс применяются вместе, если уголь и кокс применяются в контексте по отдельности, то используются либо термин "уголь", либо "кокс".
В настоящем стандарте использованы нормативные ссылки на следующие стандарты. Для датированных ссылок применяют только указанное издание ссылочного стандарта, для недатированных - последнее издание (включая все изменения).
ISO 13909-1:2001 <1>, Hard coal and coke - Mechanical sampling - Part 1: General introduction (Каменный уголь и кокс. Механический отбор проб. Часть 1. Общее введение)
--------------------------------
<1> Заменен на ISO 13909-1:2016.
ISO 13909-2:2001 <2>, Hard coal and coke - Mechanical sampling - Part 2: Coal - Sampling from moving streams (Каменный уголь и кокс. Механический отбор проб. Часть 2. Уголь. Отбор проб из движущихся потоков)
--------------------------------
<2> Заменен на ISO 13909-2:2016.
ISO 13909-4:2001 <3>, Hard coal and coke - Mechanical sampling - Part 4: Coal - Preparation of test samples (Каменный уголь и кокс. Механический отбор проб. Часть 4. Уголь. Подготовка проб для испытаний)
--------------------------------
<3> Заменен на ISO 13909-3:2016.
ISO 13909-5:2001 <4>, Hard coal and coke - Mechanical sampling - Part 5: Coke - Sampling from moving streams (Каменный уголь и кокс. Механический отбор проб. Часть 5. Кокс. Отбор проб из движущихся потоков)
--------------------------------
<4> Заменен на ISO 13909-5:2016.
ISO 13909-6:2001 <1>, Hard coal and coke - Mechanical sampling - Part 6: Coke - Preparation of test samples (Каменный уголь и кокс. Механический отбор проб. Часть 6. Кокс. Подготовка проб для испытаний)
--------------------------------
<1> Заменен на ISO 13909-6:2016.
ISO 13909-7:2001 <2>, Hard coal and coke - Mechanical sampling - Part 7: Methods for determining the precision of sampling, sample preparation and testing (Каменный уголь и кокс. Механический отбор проб. Часть 7. Методы определения точности отбора, подготовки и испытания проб)
--------------------------------
<2> Заменен на ISO 13909-7:2016.
В настоящем стандарте применены термины и определения по ISO 13909-1.
Анализ систематической погрешности не всегда производится с одной целью. Целью анализа систематической погрешности может быть оценка соответствия требованиям контракта, например гарантии или требования к закупке и приемке, либо диагностика, либо то и другое, а также эти цели могут включать в себя параметры многократных испытаний или не включать эти параметры. В настоящем стандарте используют одномерную статистику для проверки работы системы по отношению к единственной переменной.
Любая схема выборочного контроля, подготовки или анализа проб не свободна от погрешностей измерения. По этой причине ни один статистический критерий не может установить отсутствие систематической погрешности, а только может показать, что систематическая погрешность не должна быть выше, чем определенное значение.
Проверка системы отбора проб на систематическую погрешность основана на отборе ряда пар проб, по существу, одного и того же топлива, причем один член каждой пары отбирается проверяемой системой или проверяемым компонентом системы, а другой член - контрольным (эталонным) методом. Для каждой пары определяют разность между результатами анализа. Серии разностей между результатами анализа, полученные таким образом, подвергаются статистическому анализу.
Эта процедура требует такой чувствительности статистического критерия значимости, чтобы минимальная систематическая погрешность, которую можно обнаружить, была меньше или равна максимально допустимой систематической погрешности B.
Поэтому B должно быть задано до начала анализа.
Примечание - При отсутствии другой информации, значение B принимают равным от 0,20% до 0,30% для зольности или содержания влаги можно считать приемлемым для договора (контракта).
Чувствительность используемого статистического критерия зависит от числа сравниваемых пар и изменчивости разности между ними.
Статистический анализ, которому подвергаются результаты, предполагает выполнение трех условий:
- нормальное распределение переменной;
- независимость погрешностей измерения;
- статистическая однородность данных.
Близость достигнутых условий к идеальным на практике определяет достоверность статистического анализа. Выполнение проверки, включая измельчение, деление и лабораторный анализ проб, должно быть организовано таким образом, чтобы отклонение от этих идеальных условий не сводило на нет статистический анализ.
Статистический критерий, по которому принимают окончательное решение, это критерий Стьюдента (t-критерий). В основе его лежит гипотеза, что наблюдаемое среднее значение разностей между двумя методами получено из совокупности, средняя величина которой равна B. Если критерий показывает, что наблюдаемая разность значительно ниже B, то устройство для отбора проб или его компонент заявляется как свободное от систематической погрешности.
При обосновании решения по результатам статистического анализа всегда есть риск допустить ошибку того или иного рода. Если гипотеза отвергается, когда она верна, например систематическая погрешность не заявлена, даже если она реально существует, то возникает ошибка первого рода (тип I). С другой стороны, если гипотезу принимают, когда она является ложной, например систематическая погрешность признается, даже если она реально не существует, то возникает ошибка второго рода (тип II).
В каждом конкретном случае вероятность ошибки типа I можно произвольно устанавливать по усмотрению без достаточных оснований, как свободу выбора, сохраняя и риск минимальным. Для конкретного испытания вероятность ошибки типа I можно определить количественно только относительно некоторого другого значения, а не первоначальной гипотезы. В данном методе используют значение нуля 0. Риск ошибки типа II может быть уменьшен с неизменной вероятностью ошибки типа I только путем увеличения числа наблюдений. Однако, поскольку стандартное отклонение (генеральной) совокупности должно использоваться в расчетах, риск ошибки типа II является расчетным значением. Окончательное решение о вероятности нуль-гипотезы не принимают, пока не наберется достаточное количество пар наблюдений, чтобы ограничить как ошибку типа I в отношении B, так и оцененную ошибку типа II в отношении нуля, сокращающих до 5% как погрешности типа I по отношению к B, так и определенную по отношению к нулю погрешность типа II. Следовательно, если наблюдаемое значение средней разности (выборочная оценка среднего по совокупности) незначительно меньше B, оно также будет значительно больше нуля.
Число пар проб, подходящее для проверки всей системы в целом по отношению к максимально допустимой систематической погрешности
B, может оказаться недостаточным для проверки отдельного компонента системы. В таких случаях, если рабочие показатели данного компонента представляют собой критическое значение, следует провести отдельную проверку. Для компонентов, кроме устройства для отбора первичных точечных проб, такие проверки можно осуществлять с минимальным нарушением нормальной работы предприятия и, соответственно, меньшими расходами, чем при испытании на систематическую погрешность всей системы в целом (см.
7.2 и
7.3).
Если получение требуемого числа пар невыполнимо, потребуется внесение изменений, чтобы уменьшить дисперсию в пределах серии. Исследуют, какие улучшения можно внести в отношении сближения проб в парах и/или насколько можно сократить погрешности подготовки и испытания проб. Если такие изменения невозможны, рассматривают возможность увеличения числа точечных проб в выборке (общей пробе), учитывая практические проблемы, связанные с отбором точечных проб, относительную стоимость и вовлечение погрешности, возникающие при отборе, подготовке и испытании проб.
Если требуемое число пар проб все же слишком велико, нужно пересмотреть максимально допустимую погрешность B.
Если сравнивают выборки, включающие более одной точечной пробы, необходимо, чтобы эталонные (контрольные) пробы и пробы, полученные испытуемой пробоотборной системой, составлялись по одному принципу, т.е. для системы на основе времени массы точечных проб должны быть пропорциональны скорости потока, при отборе проб на основе массы - масса точечных проб должна быть неизменной (см. ISO 13909-2 и ISO 13909-5).
4.2 Отбор пар выборок (сборных проб)
4.2.1 Составление пар
Выборки в каждой паре могут состоять из одной или более точечных проб. Можно сравнивать индивидуальные точечные пробы или пробы, составленные из точечных проб, отобранных двумя методами. Проверку следует построить таким образом, чтобы ожидаемое среднее разностей результатов было равно 0, если систематическая погрешность не присутствует в испытываемой системе или ее компоненте.
4.2.2 Выборки с парами точечных проб
Экспериментальная схема проверки пар точечных проб заключается в сравнении индивидуальных первичных точечных проб, отобранных в системе, с эталонными пробами, отобранными с остановленной ленты конвейера.
Для данного параметра дисперсия разностей между парными выборками обычно меньше, чем дисперсия любой из двух серий выборок, отобранных испытываемой системой или ее компонентом, и эталонным (контрольным) методом соответственно, за исключением очень гомогенного (однородного) топлива. По этой причине, если точечные пробы, отобранные двумя методами, отбирают в непосредственной близости друг от друга в потоке топлива (не перекрываясь), дисперсия разностей между ними будет минимальной, и чувствительность испытания улучшится.
Часто невозможно получение выборки, состоящей из одной точечной пробы, от системы. Точечные пробы, отобранные системой, можно объединять в выборки и сравнивать с пробами, составленными из точечных проб, отобранных за тот же период эталонным методом. Нет необходимости в том, чтобы эти две пробы имели одинаковое число точечных проб или одинаковую массу. В крайнем случае отдельную эталонную точечную пробу с остановленной ленты конвейера можно использовать в качестве эталонной выборки.
4.3 Расположение точек отбора проб
Для испытания всей системы в целом контрольная выборка должна отбираться из первичного потока топлива с помощью эталонного метода с остановленной ленты конвейера (см.
пункт 7). Пробой системы должна стать проба заключительного этапа.
Первичный пробоотборник должен быть проверен путем анализа разностей между членами каждой пары, состоящими из проб, отобранных первичным пробоотборником и эталонным методом.
Примечание 1 - Для конвейерных систем большой мощности, подающих большие объемы, испытание первичного пробоотборника точечных проб как отдельного компонента требует сбора и обработки точечных проб большой массы за короткое время. Поэтому перед проведением такого испытания необходимо будет тщательно обдумать, можно ли обосновать результаты такого испытания.
За исключением пробоотборника первичных точечных проб при испытании отдельных компонентов и подсистем в ходе анализа сравнивают разности между пробами на входе потока и на выходе потока из компонента или подсистемы.
Примечание 2 - В некоторых случаях качество потока на входе может быть получено косвенно, например только при помощи расчетов на основе результатов испытания поделенной пробы и соответствующей отклоненной части, которые поделены согласно весовой пропорции.
Для любого измельчающего оборудования (дробилок) используют разности между пробами, отобранными от топлива перед и после дробилки.
Для подсистем и делителей проб должны анализироваться пары, полученные одним из следующих методов:
a) отбор проб из подающего потока и отводящего потока (на входе и выходе);
b) отбор проб из отводящего потока и отклоненного (отбракованного) потока;
c) отбор проб из всего отводящего потока (на выходе) и из всего отклоненного потока.
При использовании
метода a) или
b) нужно внимательно следить за получением проб без систематической погрешности; в случае применения
метода a) необходимо следить за тем, чтобы свести к минимуму нарушения подающего потока, поскольку такие искажения могут ввести систематическую погрешность или нарушить нормальные рабочие условия.
5 Последовательность определения
Порядок операций следующий:
a) проводят предварительный осмотр перед испытанием (см.
раздел 6);
b) для системы в целом определяют, где будет отбираться контрольная проба с остановленной ленты конвейера (см.
7.1); в отношении диагностического испытания компонентов системы см.
7.2 или
7.3;
c) определяют переменную для испытания (см.
раздел 8);
d) выбирают топливо, которое будут использовать для анализа (см.
раздел 9);
e) принимают решение в отношении максимально допустимой систематической погрешности
B (см.
4.1);
f) принимают решение в отношении состава пар проб, то есть сравнивают пары проб, состоящие из одной точечной пробы или нескольких;
g) переходят к отбору проб и выполняют анализ в соответствии с
разделами 10 и
11.
6 Предварительная проверка
Первичными источниками информации о соответствии отбора проб стандартным требованиям являются технические условия на оборудование и чертежи.
Необходимо провести тщательный осмотр оборудования для отбора проб и изучить спецификации его компонентов.
Сторона, выполняющая анализ, должна выполнить поверку показателей оборудования путем измерений и наблюдений в рабочих (полевых) условиях. Работа пробоотборной системы должна быть исследована как с потоком топлива, так и без топлива.
Проверку до испытаний всех операций и оборудования как в статическом состоянии, так и под нагрузкой должен выполнять персонал, имеющий опыт работы в части отбора проб сегрегированных, неоднородных, кусковых насыпных материалов. Рекомендуется также вести наблюдение при проходе всей партии, чтобы работа велась при нормальных условиях.
Нельзя выполнять анализ на определение систематической погрешности, пока не будут устранены все факторы, способные вызвать систематическую погрешность, если не требуется оценить работу системы или компонента в том состоянии, в котором он реально находится. В последнем случае проверка до испытаний обеспечивает важные документированные сведения о том, какие условия существовали на момент испытания.
7.1 Чтобы проверить систематическую погрешность всей системы в целом, требуется использовать эталонный метод отбора, в котором, как известно, по сути, исключена систематическая погрешность. Предпочтительным методом является метод с остановленной ленты конвейера, то есть отбор точечных проб со всего поперечного сечения топлива на ленте конвейера путем остановки движения ленты через определенные интервалы. При правильном отборе точечную пробу с остановленной ленты можно рассматривать как эталонную пробу.
Примечание 1 - Если невозможно отобрать точечные пробы с остановленной ленты, можно использовать другие стандартные методы, но в таких случаях явное отсутствие систематической погрешности по сравнению с данным эталонным методом не может быть окончательным, и использование таких методов может поставить под сомнение правильность и достоверность полученных результатов.
Примечание 2 - При отборе точечных проб с остановленной ленты конвейера может произойти некоторое нарушение обычных рабочих операций, и поэтому могут потребоваться координация плана исполнения с обычными рабочими операциями и организация, позволяющая свести к минимуму такое нарушение. Необходимо признать, что задействованная в испытании конвейерная система может быть использована в течение только нескольких часов в день для сохранения нормальной работы предприятия и не может быть использована исключительно для анализа систематической погрешности, если только топливо не может быть отведено на разгрузку к другому пункту. Это может продлить период, необходимый для завершения полевой работы, и потребует специальных мер для доставки топлива в систему для испытания.
Точечные пробы с остановленной ленты конвейера должны отбираться рамкой для отбора проб (см.
рисунок 1) или эквивалентным приспособлением по всему поперечному сечению твердого минерального топлива, находящегося на неподвижной ленте, на длине ленты, превышающей по крайней мере в три раза номинальный верхний размер кусков топлива.
Рисунок 1 - Рамка для отбора проб
Если испытываются парные выборки из одной точечной пробы, то каждая точечная проба с остановленной ленты должна отбираться непосредственно после отбора пробы системой предпочтительно из места, расположенного перед первичным пробоотборником. Если точечную пробу с остановленной ленты необходимо отобрать из места, расположенного после первичного пробоотборника, важно обеспечить, чтобы не произошло никакого изменения в условиях между местом отбора точечной пробы с остановленной ленты и местом отбора первичной точечной пробы.
Рамка для отбора пробы (или эквивалентное устройство) должна быть установлена на неподвижной ленте в заранее определенном положении так, чтобы разделительные пластины с каждой стороны соприкасались с лентой поперек по всей ее ширине. Все частицы, находящиеся внутри между торцевыми пластинами рамки для отбора проб, должны быть сметены в контейнер для проб.
Частицы, препятствующие вставке торцевой пластины с левой стороны, должны быть продвинуты в точечную пробу, в то время как те, которые затрудняют вставку торцевой пластины на правой стороне, должны быть отодвинуты, чтобы они не попали в точечную пробу или наоборот. Какая практика принята вначале, такой она должна оставаться до конца отбора.
Необходимо следить, чтобы свести к минимуму риск внесения систематической погрешности в ходе подготовки проб и соответствующих параметров испытания.
Рекомендуется, чтобы все точечные/общие пробы взвешивались сразу же после отбора, а также до и после каждой операции дробления и деления.
Особое внимание следует обратить на уменьшение непредвиденных потерь массы.
Обо всех наблюдаемых потерях массы пробы делают запись в протоколе.
7.2 Пробоотборники для отбора первичных точечных проб
Испытание пробоотборников для отбора первичных точечных проб на систематическую погрешность следует проводить только методом с остановленной ленты конвейера, описанным в
7.1 как эталонный метод.
7.3 Подсистемы и компоненты
Подсистемы и компоненты системы обычно проверяют по установленному плану, в условиях непрерывной работы, путем отбора проб из потоков подающего (загрузки), отводящего (разгрузки) и отклоненного с использованием предварительно проверенного пробоотборника. На заключительной стадии собирается весь поток в одно целое (то есть этот поток не разделяют). Качество материала, загружаемого в делитель проб, должно быть рассчитано по результатам испытания поделенной пробы и соответствующей пробы из отклоненного потока, которые поделены согласно весовой пропорции.
Если неосуществимо проводить анализ в нормальных рабочих условиях, можно провести отдельное испытание, для которого можно использовать любой из следующих методов отбора проб, по обстоятельствам:
a) Отбирают одновременно пробы продукции из потоков на входе и выходе, чтобы получить парные пробы. При использовании этого метода необходимо следить, чтобы получить беспристрастные выборки.
b) Альтернативно собирают первичные точечные пробы от всего подающего потока и всего потока продукции, связанного с последовательными первичными точечными пробами.
8 Выбор переменных для анализа
Анализ систематической погрешности можно выполнить по показателям зольности, содержанию влаги или любой другой требуемой переменной, но обычно достаточно первых двух. Систематическая погрешность при определении зольности на сухое состояние чаще всего вызвана погрешностями за счет гранулометрического состава. Систематическая погрешность при определении содержания влаги может быть вызвана многими факторами, включая, но не ограничиваясь этим, погрешности за счет гранулометрического состава, потерь влаги, связанных с дробилами, избыточной вентиляции в пределах пробоотбирающей системы, недостаточного согласования между компонентами системы, избыточного времени удерживания или любой комбинации этих факторов.
Прямое определение гранулометрического состава часто необходимо для кокса, но нужно отметить следующее:
a) в процессе отбора точечных проб или между точками отбора проб может происходить дробление, следовательно, фактически невозможно достичь нулевой систематической погрешности;
b) систематическая погрешность в других переменных, например зольности, может быть сложным образом взаимосвязана с систематической погрешностью для гранулометрического состава, делая таким образом значащее объяснение этих переменных трудным, если вообще возможным.
Поэтому рекомендуется, чтобы для всех параметров, кроме крупности, проводилось прямое сравнение с этим параметром.
9 Выбор топлива для анализа
Если при помощи данной системы предстоит отбирать пробы не одного вида угля, то для анализа должен быть выбран тот уголь, который предположительно может показать в пробоотбирающей системе какую-либо систематическую погрешность. Например, возникновение систематической погрешности по зольности при использовании первичных пробоотборников и делителей проб, которое обычно бывает вызвано исключением частиц большого размера (см.
раздел 8). Если выбрать такой уголь, в котором зольность таких частиц примерно такая же, как во всем угле в целом, то никакой систематической погрешности обнаружено не будет, даже несмотря на то, что эти более крупные частицы были исключены. Если же впоследствии пробоотборник будет использоваться для отбора проб угля, в котором зольность крупных частиц отличается от среднего значения, результаты окажутся с систематической погрешностью.
Поэтому в таком случае нужно исследовать угли, подлежащие опробованию, на наличие взаимосвязи между зольностью, классом крупности и максимально допустимой систематической погрешностью (см.
раздел 4) по сравнению с максимально возможной систематической погрешностью, например если исключить 10% из самого крупного класса.
Рекомендуется, чтобы полный анализ на систематическую погрешность проводился на угле из одного источника. Если это невозможно, результаты нужно подвергнуть статистическому анализу, чтобы обеспечить достоверность статистических критериев систематической погрешности для комбинации углей из разных источников (см.
11.5 и
11.6).
9.2 Кокс
При выборе кокса для анализа необходимо соблюдать те же требования, которые приведены в
9.1 для угля, но с учетом его зольности, учитывая при этом и содержание влаги кокса.
10.1 Разработка подробной процедуры испытания
10.1.1 Общие положения
Анализ может включать только первичный пробоотборник, отдельные компоненты или подсистемы или систему в целом. Схема проведения эксперимента будет различной в зависимости от цели. Пользователи этих методов должны четко определить цели испытания как первый шаг в планировании.
Анализ на систематическую погрешность системы в целом выполняется методом сравнения контрольных проб, отобранных из основного потока, с пробами, собранными на заключительной стадии внутрисистемной подготовки (подготовки проб в момент отбора). Предпочтительна практика (см.
4.2.3) экспериментальной схемы испытания серий пар, потому что это минимизирует нарушение проведения нормальных операций. Однако экспериментальная схема испытания пар точечных проб (см.
4.2.2) также является приемлемым методом, если приняты меры предосторожности для предупреждения внесения систематической погрешности, вызванной самим испытанием.
Систематическая погрешность может возникнуть за счет применяемого производственного оборудования, системной логики или комбинации первого и второго. Из этого следует, что даже при проведении эксперимента с парными точечными пробами, типовые рабочие условия лучше всего воспроизводятся работающими пробоотбирающими системами, находящимися под контролем системной логики типовых установочных параметров. Останавливают конвейер для отбора контрольных точечных проб путем отключения его с помощью системного блока. При таких условиях испытания пробоотборная система не должна также останавливаться системными блокировками, а должен включаться в режим анализа систематической погрешности, чтобы предотвратить отключение пробоотбирающей системы, а также должны непрерывно работать системные таймеры.
Ленточный конвейер системы для транспортирования топлива часто не рассчитан для многократного запуска и остановки под нагрузкой. Схема анализа с парами точечных проб не всегда мешает сбору точечных проб с остановленной ленты, однако надо позаботиться о том, чтобы загрузка ленты, с которой должна быть отобрана точечная проба, прекращалась до остановки ленты, чтобы лента была загружена лишь частично при повторном запуске. Тогда точечные пробы можно отбирать с ленты в тех точках потока, где существуют условия, преобладавшие до остановки загрузки.
10.1.2 Испытание всей системы
Всю систему следует проверять методом сравнения эталонных проб, отобранных из первичного потока с остановленной ленты конвейера, с продуктом на заключительной стадии в системе подготовки. Состояние пар проб различно. Подготовка и анализ эталонных проб проводятся с применением методов, регламентированных ISO 13909-4, ISO 13909-6 и ISO 13909-7 для подготовки и анализа проб с учетом прецизионности и систематической погрешности. Пробы, отобранные системой, подготавливают и анализируют методами, применяемыми при обычной работе.
10.1.3 Испытание компонентов
В единой системе компоненты расположены последовательно, и на работу каждого из них влияет работа предшествующих компонентов. Может понадобиться испытание отдельных компонентов или групп компонентов (подсистем), например дробилок и делителей, на систематическую погрешность в диагностических целях, чтобы выяснить влияния каждого из них на общую систематическую погрешность.
Принципы статистической обработки данных такие же, как и для всей системы.
10.2 Отбор проб для анализа
Часто, исходя из предыдущего опыта, можно собрать достаточное количество проб, превышающее минимально требуемое число. Более того, применение одного набора позволит избежать риска разнородности данных из-за изменений рабочих условий или исходного источника топлива между двумя отборами проб, что сделает невозможным объединение этих данных.
Особое внимание следует уделить распределению обязанностей среди членов бригады, осуществляющих отбор, и точно спланировать, как эти обязанности будут выполняться. На этой стадии планирования нужно составить детальные протоколы операций, чтобы обеспечить единый и последовательный отбор, взвешивание и обработку проб. Сюда входит подготовка аппаратуры, агрегатов и всего оборудования, необходимого для отбора проб, подготовки и упаковки их, а также для транспортировки их от места отбора и взвешивания к аппаратам подготовки и в лабораторию для анализа.
Особые меры безопасности необходимы для персонала, работающего с пробоотборным и подготовительным оборудованием. Следует уделить внимание необходимости выполнения всех соответствующих правил техники безопасности.
Места отведения потока в обходные желоба, реверсивные конвейеры или тупики, включенные в систему, облегчают сбор точечных проб внутри системы опробования.
Эффективность схемы испытания с сопряженными парами зависит от близости, с которой эталонная проба и проба из системы физически отбираются в пару (соотносятся), для минимизирования влияния изменений качества продукции в пределах пар. Величина, на которую дисперсия внутри пары меньше дисперсии между парами, определяет, насколько достигнута цель экспериментального испытания сопряженных пар. Пробы, составляющие одну пару, следует подготавливать вместе (даже если разными методами) и анализировать их в одной и той же партии, чтобы избежать внесения систематической погрешности результатов из-за изменений обработки во время подготовки и анализа. Необходимо заботиться о сохранении идентичности всех проб.
Проверяют номинальный верхний размер топлива и продукта дробления после любой дробилки, которая при испытании является неотъемлемой частью системы или подсистемы. Включают эту информацию в протокол испытания. Пробы, отобранные для этой цели, должны быть отделены от согласованных пар, отобранных для анализа систематической погрешности.
При проведении анализа систематической погрешности по содержанию влаги следует уделить особое внимание минимизации изменения влаги в отобранных пробах (см.
10.3).
10.3 Особые меры предосторожности при испытании проб на влагу
Анализ систематической погрешности при определении массовой доли общей влаги требует повышенного внимания, направленного на предотвращение изменения влаги в собранных пробах. В связи с этим необходимо соблюдать следующие меры предосторожности:
a) избегать условий, которые могут вызвать изменения массовой доли влаги, таких как дождь, снег, высокая температура, холод и ветер;
b) избегать попадания несвязанной воды с ленты конвейера;
c) обеспечить достаточное количество сотрудников, чтобы отбирать системные и эталонные пробы без задержки;
d) пломбировать пробы сразу после сбора;
e) выполнять подготовку и испытание без задержки, чтобы избежать изменений влаги, взвешивая пробы в точке отбора при необходимости;
f) учитывать любую влагу, конденсирующуюся на контейнерах с пробами.
Примечание - Уголь, который был обработан, чтобы устранить смерзание или образование пыли, не подходит для проверки систематической погрешности при определении влаги.
10.4 Документация
Вносят в протокол массу каждой пробы, эталонной и отобранной системой. Также вносят в протокол скорости потока на основной ленте конвейера, если система оборудована индикатором скорости потока, или сохраняют диаграммы записи самописцев скорости потока, если они имеются.
Рекомендуется проверять зависимость скорости потока и систематической погрешности. Для контроля потерь при подготовке также рекомендуется взвешивать все пробы до и после каждой стадии подготовки и вносить в протокол эти массы.
В течение испытания необходимо вести подробный журнал с указанием времени начала и окончания отбора каждой пробы, отмечать возникновение любых отклонений от рабочего протокола или необычные случаи и задержки и их причины.
11 Статистический анализ и интерпретация
11.1 Схема процедуры
Схема проведения процедуры следующая:
a) устанавливают начальное количество требуемых пар выборок (проб),
np (см.
11.4a);
b) собирают np серий пар проб;
c) проверяют наличие выбросов и изменяют
np, если необходимо (см.
11.3);
d) проверяют независимость разностей (см.
11.6). Если это условие не удовлетворяется, повторяют испытание на систематическую погрешность;
e) вычисляют стандартное отклонение разностей,
sd (см.
11.2);
f) вычисляют коэффициент
g для серии данных [см.
уравнение (6)], применяя значение
sd, полученное в
пункте e), и устанавливают новое значение для
n (см.
11.4);
h) вычисляют уровень чувствительности
B', используя уравнение
B' =
g·
sd [(см.
11.4d)];
i) решают, можно ли
B' заменить на
B, принимая в расчет определенное количество дополнительных серий, необходимое для получения исходного
B. Если да, переходят к
l), если нет, переходят к
j);
j) требуются дополнительные пары проб; берут
n -
np новых пар ("новые данные");
k) проводят проверку однородности между старыми и новыми данными (см.
11.5), если результаты испытания приемлемы, объединяют старые и новые данные и возвращаются к
пункту d);
l) проверяют, нет ли очевидной систематической погрешности (см.
11.7.1), если есть, испытание закончено;
m) проверяют гипотезу, что истинная систематическая погрешность

(см.
11.7.2);
n) если гипотеза

не отвергается, значит существует практически значимая систематическая погрешность, не выходящая за рамки выбранной максимально допустимой систематической погрешности,
B.
o) если гипотеза

отвергается, проверяют нуль-гипотезу, что истинная систематическая погрешность

(см.
11.7.3);
p) если нуль-гипотеза

отвергается, значит существует статистически значимая систематическая погрешность, однако систему можно считать без систематической погрешности, приняв к сведению статистическое указание на систематическую погрешность;
q) если нуль-гипотеза

принимается, значит никакого статистического указания о наличии систематической погрешности не обнаружено и система при испытании может быть принята как не имеющая систематической погрешности.
11.2.1 Общие положения
После получения результатов исходных серий пар, необходимо выполнить следующую статистическую процедуру.
Пусть значения для испытуемой системы или компонента ("системный метод") будут известны как Ai, а значения эталонного метода будут известны как Ri, где i = 1, 2, ..., n, а i - номер серии, n - общее количество пар.
Для каждой пары результатов рассчитывают разницу между результатами двух методов (
di =
Ai -
Ri). Используя общие
уравнения (1),
(2) и
(3), рассчитывают среднюю величину для значений эталонного метода,

, среднее значение разностей,

, и стандартное отклонение разностей,
sd (подставляя
di вместо
xi).
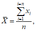
11.2.2 Среднее значение

(1)
где n - число измерений (наблюдений).
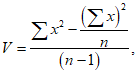
11.2.3 Дисперсия

(2)
где

- сокращенное выражение для

, то есть сумма измерений в квадрате.
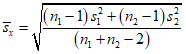
11.2.4 Стандартное отклонение
Стандартное отклонение
s, которое является квадратным корнем из дисперсии, рассчитывают по
уравнению (3)

. (3)
Стандартное отклонение разностей
sd рассчитывают по
уравнению (4)

(4)
11.3 Выбросы (резко выделяющиеся значения экспериментальных данных)
11.3.1 Общие положения
Выбросы возникают по следующим причинам:
a) чрезмерное проявление случайной изменчивости данных;
b) ошибка в расчетах или записи;
c) результат грубого отклонения от предписанной процедуры эксперимента.
Если на основании визуальной оценки данных, по возможности подкрепленной с помощью графического анализа или идентификацией статистического анализа (см.
11.3.2), испытание можно считать сомнительным, следует выполнить дополнительную экспертизу документации испытания.
Если при расчете результатов обнаружена погрешность, она должна быть исправлена. Если произошли отклонения от предписанной процедуры эксперимента или есть твердая уверенность в том, что производственные (полевые) условия были ненормальными для исследования, тогда результат должен быть отброшен независимо от того, согласуется ли он с остальными данными или нет.
Если нет рационального объяснения, почему он настолько отличается от остальных данных, тогда он должен быть сохранен.
Если известно, что для данного наблюдения имело место грубое отклонение от предписанной процедуры эксперимента, такое наблюдение должно быть отброшено независимо от того, согласуется ли оно с другими наблюдениями, и без проведения статистического анализа отброшенных результатов.
Статистические критерии, указывающие на наличие выброса, не являются достаточным основанием для отбрасывания наблюдения. Если в ходе статистического анализа было обнаружено наличие выброса, по возможности следует провести обследование, чтобы установить причину. Только если имеется прямое физическое подтверждение, что источником выброса стало грубое отклонение от предписанной процедуры эксперимента, тогда наблюдение должно быть отброшено. Когда наблюдение отбрасывается, в протокол испытания следует внести прямое физическое подтверждение, оправдывающее такое действие, вместе с отброшенным(ыми) значением(ями).
Во многих случаях доказательство отклонения от предписанной процедуры касается только самого несогласующегося значения. Если экспериментатор не может идентифицировать такие наблюдения с грубым отклонением от предписанной процедуры, в протокол следует внести несогласующееся(иеся) значение(я) с указанием, насколько оно (они) использовано(ы) при анализе данных.
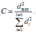
11.3.2 Статистическая процедура идентификации выбросов
Используют следующую процедуру для обнаружения возможных выбросов. Эта процедура основана на критерии максимальной дисперсии Кохрана. Статистический критерий Кохрана, C, рассчитывают по уравнению

(5)
где dmax - наибольшее абсолютное значение в серии разностей;
np - число пар в серии.
Критическое значение для критерия Кохрана на 1%-ном уровне для
n = 20 до
n = 40 приведено в
таблице 1. Если рассчитанное значение
C превышает табличное значение, значит есть вероятность, что
dmax является выбросом.
Таблица 1
Критические значения максимальной дисперсии Кохрана
| Уровень доверительной вероятности 99% |
20 | 0,480 |
21 | 0,465 |
22 | 0,450 |
23 | 0,437 |
24 | 0,425 |
25 | 0,413 |
26 | 0,402 |
27 | 0,391 |
28 | 0,382 |
29 | 0,372 |
30 | 0,363 |
31 | 0,355 |
32 | 0,347 |
33 | 0,339 |
34 | 0,332 |
35 | 0,325 |
36 | 0,318 |
37 | 0,312 |
38 | 0,306 |
39 | 0,300 |
40 | 0,294 |
Примечание - Данная таблица является выдержкой из таблицы, приведенной в ISO 5725-2:1994 [1]. -------------------------------- <a> n - количество разностей в сериях. |
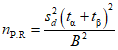
11.4 Определение требуемого числа пар
Минимизируют вероятность погрешности типа II следующим образом.
Примечание - Следующая процедура применяется для анализа систематической погрешности для одной переменной. Если анализируют несколько переменных, вероятность возникновения ошибки типа I и типа II повышается.
a) Оценивают число пар наблюдений, необходимых для установления риска ошибки типа I при 5%, путем вычисления коэффициента
g для серии данных по
уравнению (6) и взяв минимальное требуемое число пар наблюдений
np из
таблицы 2.

, (6)
где
B - значение предварительно выбранной максимально допустимой систематической погрешности, как указано в
4.1;
sd - стандартное отклонение разностей.
Так как значение
sd при испытании пробы не может быть известно до завершения испытания, следует использовать подставное значение для
sd. Если нет никакой информации, касающейся
sd, берут минимальное число пар 20. Чтобы избежать необходимости сбора дополнительных пар наблюдений и последующих связанных с этим трудностей по объединению данных, не принимают в расчет значение
sd, использованное в
уравнении (6), а берут большее значение, чем ожидается в испытании. Собирают как можно больше пар с первого захода.
Примечание - Значения в
таблице 2 получены из уравнения

.
Из него следует, что

,
где

- двусторонний интервал значений
t-критерия Стьюдента при (
nP.R - 1) степенях свободы при 95%-ном уровне доверительной вероятности;

- односторонний интервал значений
t-критерия Стьюдента при (
nP.R - 1) степенях свободы при 95%-ном уровне доверительной вероятности;
nP.R - число требуемых пар.
Применение этого соотношения для расчета минимального числа наблюдений, требуемых для ограничения вероятности погрешности типа II до 5%, снижает значение nP.R, тождественное асимметричному распределению t, приблизительно до пяти наблюдений, что значительно меньше наименьшего числа наблюдений, необходимого для обычного испытания на систематическую погрешность.
Таблица 2
Значения коэффициента
g для определения минимально
необходимого числа серий наблюдений
nP.R | 0 | 1 | 2 | 3 | 4 | 5 | 6 | 7 | 8 | 9 |
10 | > 1,295 | 1,218 | 1,154 | 1,099 | 1,051 | 1,009 | 0,971 | 0,938 | 0,907 | 0,880 |
20 | 0,855 | 0,832 | 0,810 | 0,790 | 0,772 | 0,755 | 0,739 | 0,724 | 0,710 | 0,696 |
30 | 0,684 | 0,672 | 0,660 | 0,649 | 0,639 | 0,629 | 0,620 | 0,611 | 0,602 | 0,594 |
40 | 0,586 | 0,579 | 0,571 | 0,564 | 0,558 | 0,551 | 0,545 | 0,539 | 0,533 | 0,527 |
50 | 0,521 | 0,516 | 0,511 | 0,506 | 0,501 | 0,496 | 0,491 | 0,487 | 0,483 | 0,478 |
60 | 0,474 | 0,470 | 0,466 | 0,463 | 0,459 | 0,455 | 0,451 | 0,448 | 0,445 | 0,441 |
70 | 0,438 | 0,435 | 0,432 | 0,429 | 0,426 | 0,423 | 0,420 | 0,417 | 0,414 | 0,411 |
80 | 0,409 | 0,406 | 0,404 | 0,401 | 0,399 | 0,396 | 0,394 | 0,392 | 0,389 | 0,387 |
90 | 0,385 | 0,383 | 0,380 | 0,378 | 0,376 | 0,374 | 0,372 | 0,370 | 0,368 | 0,366 |
Примечание - В таблице приведены значения g при 95%-ном уровне доверительной вероятности для nP.R наблюдений. |
b) После окончания испытания повторяют расчет коэффициента g, используя значение sd, полученное при испытании, и устанавливают новое значение nP.R.
c) Если
nP >=
nP.R, то это значит, что выполнено условие, при котором вероятность погрешности второго рода составляет 5% или меньше и получено достаточное количество пар. Продолжают статистический анализ, как описано в
11.7.
d) Если
nP <
nP.R, могут понадобиться дополнительные пары проб. Для принятия обоснованного решения относительно необходимости сбора дополнительных серий с целью получения исходной предварительно выбранной максимально допустимой систематической погрешности
B, рассчитывают уровень чувствительности испытания
B', используя имеющееся стандартное отклонение разностей, полученное по результатам испытания, применяя уравнение
B' = g·sd,
sd - стандартное отклонение разностей.
e) Если вместо B можно подставить B' с учетом определенного количества дополнительных серий, необходимых для получения исходного значения B, то пользуются B', и больше наборов пар данных не потребуется. В противном случае получают дополнительные пары данных, вычисляют среднее значение, стандартное отклонение и дисперсию разностей и проверяют, нет ли в дополнительных данных выбросов.
Прежде чем начать все заново с
11.3, проводят анализ на однородность, как описано в
11.5, и если результаты удовлетворительны, объединяют данные и повторяют, начиная с
пункта c).
Чтобы избежать необходимости сбора дополнительных пар проб, собирают вначале минимальное число проб, чтобы оно не превышало предполагаемого минимального числа, которое требуется. В противном случае рекомендуется получить по крайне мере 10 дополнительных пар, даже если требуемое количество (nP.R - nP) меньше 10. Это сократит риск проведения дополнительного отбора проб.
11.5 Проверка на однородность
11.5.1 Общие положения
Проверяют дополнительные данные (далее - "новые данные") на статистическую однородность с исходными данными.
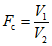
11.5.2 Проверка идентичности дисперсий
Рассчитывают отношение Fc из дисперсий разниц новых и исходных данных, используя уравнение

, (7)
где V1 - дисперсия серий с большей дисперсией;
V2 - дисперсия серий с меньшей дисперсией.
Значение
Fc сравнивают со значением
F, найденным по
таблице 3. Число степеней свободы равно
n1 - 1 по горизонтальной оси и
n2 - 1 по вертикальной оси, где
n1 - количество измерений (наблюдений), соответствующее
V1, и
n2 - количество измерений (наблюдений), соответствующее
V2.
Если
Fc <
F (значение из
таблицы 3), можно допустить, что эти две группы данных выведены из совокупностей с однородной дисперсией. Если
Fc >=
F, значит испытание не состоялось (см.
11.5.4).
Таблица 3
Значения
F при 95%-ном уровне доверительной вероятности
v1/v2 | 9 | 10 | 11 | 12 | 13 | 14 | 15 | 16 | 17 | 18 | 19 | 20 | 21 | 22 |
9 | 3,179 | 3,137 | 3,102 | 3,073 | 3,048 | 3,025 | 3,006 | 2,989 | 2,974 | 2,960 | 2,948 | 2,936 | 2,926 | 2,917 |
10 | 3,020 | 2,978 | 2,943 | 2,913 | 2,887 | 2,865 | 2,845 | 2,828 | 2,812 | 2,798 | 2,785 | 2,774 | 2,764 | 2,754 |
11 | 2,896 | 2,854 | 2,818 | 2,787 | 2,761 | 2,739 | 2,719 | 2,701 | 2,685 | 2,671 | 2,658 | 2,646 | 2,636 | 2,626 |
12 | 2,796 | 2,753 | 2,717 | 2,687 | 2,660 | 2,637 | 2,617 | 2,599 | 2,583 | 2,568 | 2,555 | 2,544 | 2,533 | 2,523 |
13 | 2,714 | 2,671 | 2,635 | 2,604 | 2,577 | 2,554 | 2,533 | 2,515 | 2,499 | 2,484 | 2,471 | 2,459 | 2,448 | 2,438 |
14 | 2,646 | 2,602 | 2,565 | 2,534 | 2,507 | 2,484 | 2,463 | 2,445 | 2,428 | 2,413 | 2,400 | 2,388 | 2,377 | 2,367 |
15 | 2,588 | 2,544 | 2,507 | 2,475 | 2,448 | 2,424 | 2,403 | 2,385 | 2,368 | 2,353 | 2,340 | 2,327 | 2,316 | 2,306 |
16 | 2,538 | 2,494 | 2,456 | 2,425 | 2,397 | 2,373 | 2,352 | 2,333 | 2,317 | 2,302 | 2,288 | 2,275 | 2,264 | 2,254 |
17 | 2,494 | 2,450 | 2,413 | 2,381 | 2,353 | 2,329 | 2,308 | 2,289 | 2,272 | 2,257 | 2,243 | 2,230 | 2,219 | 2,208 |
18 | 2,456 | 2,412 | 2,374 | 2,342 | 2,314 | 2,290 | 2,269 | 2,250 | 2,233 | 2,217 | 2,203 | 2,191 | 2,179 | 2,168 |
19 | 2,423 | 2,378 | 2,340 | 2,308 | 2,280 | 2,256 | 2,234 | 2,215 | 2,198 | 2,182 | 2,168 | 2,155 | 2,144 | 2,133 |
20 | 2,39399 | 2,348 | 2,310 | 2,278 | 2,250 | 2,225 | 2,203 | 2,184 | 2,167 | 2,151 | 2,137 | 2,124 | 2,112 | 2,102 |
21 | 2,366 | 2,321 | 2,283 | 2,250 | 2,222 | 2,197 | 2,176 | 2,156 | 2,139 | 2,123 | 2,109 | 2,096 | 2,084 | 2,073 |
22 | 2,342 | 2,297 | 2,259 | 2,226 | 2,198 | 2,173 | 2,151 | 2,131 | 2,114 | 2,096 | 2,084 | 2,071 | 2,059 | 2,048 |
23 | 2,320 | 2,275 | 2,236 | 2,204 | 2,175 | 2,150 | 2,128 | 2,109 | 2,091 | 2,075 | 2,061 | 2,048 | 2,036 | 2,025 |
24 | 2,300 | 2,255 | 2,216 | 2,183 | 2,155 | 2,130 | 2,108 | 2,088 | 2,070 | 2,054 | 2,040 | 2,027 | 2,015 | 2,003 |
25 | 2,282 | 2,236 | 2,198 | 2,165 | 2,136 | 2,111 | 2,089 | 2,069 | 2,051 | 2,035 | 2,021 | 2,007 | 1,995 | 1,984 |
26 | 2,265 | 2,220 | 2,181 | 2,148 | 2,119 | 2,094 | 2,072 | 2,052 | 2,034 | 2,018 | 2,003 | 1,990 | 1,987 | 1,966 |
27 | 2,250 | 2,204 | 2,166 | 2,132 | 2,103 | 2,078 | 2,056 | 2,036 | 2,018 | 2,002 | 1,987 | 1,974 | 1,961 | 1,950 |
28 | 2,236 | 2,190 | 2,151 | 2,118 | 2,089 | 2,064 | 2,041 | 2,021 | 2,003 | 1,987 | 1,972 | 1,959 | 1,946 | 1,935 |
29 | 2,223 | 2,177 | 2,138 | 2,104 | 2,075 | 2,050 | 2,027 | 2,007 | 1,989 | 1,973 | 1,958 | 1,945 | 1,932 | 1,921 |
30 | 2,211 | 2,165 | 2,126 | 2,092 | 2,063 | 2,037 | 2,015 | 1,995 | 1,976 | 1,960 | 1,945 | 1,932 | 1,919 | 1,908 |
35 | 2,161 | 2,114 | 2,075 | 2,041 | 2,012 | 1,986 | 1,963 | 1,942 | 1,924 | 1,907 | 1,892 | 1,878 | 1,866 | 1,854 |
40 | 2,124 | 2,077 | 2,038 | 2,003 | 1,974 | 1,948 | 1,924 | 1,904 | 1,885 | 1,868 | 1,853 | 1,839 | 1,826 | 1,814 |
45 | 2,096 | 2,049 | 2,009 | 1,974 | 1,945 | 1,918 | 1,895 | 1,874 | 1,855 | 1,838 | 1,823 | 1,808 | 1,795 | 1,783 |
50 | 2,073 | 2,026 | 1,986 | 1,952 | 1,921 | 1,895 | 1,871 | 1,850 | 1,831 | 1,814 | 1,798 | 1,784 | 1,771 | 1,768 |
55 | 2,055 | 2,008 | 1,968 | 1,933 | 1,903 | 1,876 | 1,852 | 1,831 | 1,812 | 1,795 | 1,779 | 1,764 | 1,751 | 1,739 |
60 | 2,040 | 1,993 | 1,952 | 1,917 | 1,887 | 1,860 | 1,836 | 1,815 | 1,796 | 1,778 | 1,763 | 1,748 | 1,735 | 1,722 |
Окончание таблицы 3
v1/v2 | 23 | 24 | 25 | 26 | 27 | 28 | 29 | 30 | 35 | 40 | 45 | 50 | 55 | 60 |
9 | 2,908 | 2,900 | 2,893 | 2,886 | 2,880 | 2,874 | 2,869 | 2,864 | 2,842 | 2,826 | 2,813 | 2,803 | 2,784 | 2,787 |
10 | 2,745 | 2,737 | 2,730 | 2,723 | 2,716 | 2,710 | 2,705 | 2,700 | 2,678 | 2,661 | 2,648 | 2,637 | 2,628 | 2,621 |
11 | 2,617 | 2,609 | 2,601 | 2,594 | 2,588 | 2,582 | 2,576 | 2,570 | 2,548 | 2,531 | 2,517 | 2,507 | 2,498 | 2,490 |
12 | 2,514 | 2,505 | 2,498 | 2,490 | 2,484 | 2,478 | 2,472 | 2,466 | 2,443 | 2,426 | 2,412 | 2,401 | 2,392 | 2,384 |
13 | 2,429 | 2,420 | 2,412 | 2,405 | 2,398 | 2,392 | 2,386 | 2,380 | 2,357 | 2,339 | 2,325 | 2,314 | 2,304 | 2,297 |
14 | 2,357 | 2,349 | 2,341 | 2,333 | 2,326 | 2,320 | 2,314 | 2,306 | 2,284 | 2,266 | 2,252 | 2,240 | 2,231 | 2,223 |
15 | 2,296 | 2,288 | 2,280 | 2,272 | 2,265 | 2,259 | 2,253 | 2,247 | 2,223 | 2,204 | 2,190 | 2,178 | 2,168 | 2,160 |
16 | 2,244 | 2,235 | 2,227 | 2,220 | 2,212 | 2,206 | 2,200 | 2,194 | 2,169 | 2,151 | 2,136 | 2,124 | 2,114 | 2,106 |
17 | 2,199 | 2,190 | 2,181 | 2,174 | 2,167 | 2,160 | 2,154 | 2,148 | 2,123 | 2,104 | 2,089 | 2,077 | 2,067 | 2,058 |
18 | 2,159 | 2,150 | 2,141 | 2,133 | 1,126 | 2,119 | 2,113 | 2,107 | 2,082 | 2,063 | 2,048 | 2,035 | 2,025 | 2,017 |
19 | 2,123 | 2,114 | 2,160 | 2,098 | 2,090 | 2,048 | 2,077 | 2,071 | 2,046 | 2,026 | 2,011 | 1,999 | 1,988 | 1,980 |
20 | 2,092 | 2,082 | 2,074 | 2,066 | 2,059 | 2,052 | 2,045 | 2,039 | 2,013 | 1,994 | 1,978 | 1,966 | 1,955 | 1,946 |
21 | 2,063 | 2,054 | 2,045 | 2,037 | 2,030 | 2,023 | 2,016 | 2,010 | 1,984 | 1,964 | 1,949 | 1,936 | 1,925 | 1,916 |
22 | 2,038 | 2,028 | 2,020 | 2,011 | 2,004 | 1,997 | 1,990 | 1,984 | 1,958 | 1,938 | 1,922 | 1,909 | 1,898 | 1,889 |
23 | 2,014 | 2,005 | 1,996 | 1,988 | 1,980 | 1,973 | 1,967 | 1,960 | 1,934 | 1,914 | 1,898 | 1,885 | 1,874 | 1,865 |
24 | 1,993 | 1,984 | 1,975 | 1,967 | 1,959 | 1,952 | 1,945 | 1,939 | 1,912 | 1,892 | 1,876 | 1,862 | 1,852 | 1,842 |
25 | 1,974 | 1,964 | 1,955 | 1,947 | 1,939 | 1,932 | 1,925 | 1,919 | 1,892 | 1,872 | 1,855 | 1,842 | 1,831 | 1,822 |
26 | 1,956 | 1,946 | 1,937 | 1,929 | 1,921 | 1,914 | 1,907 | 1,901 | 1,874 | 1,853 | 1,837 | 1,823 | 1,812 | 1,803 |
27 | 1,940 | 1,930 | 1,921 | 1,913 | 1,905 | 1,897 | 1,891 | 1,884 | 1,857 | 1,836 | 1,819 | 1,806 | 1,795 | 1,785 |
28 | 1,924 | 1,915 | 1,906 | 1,897 | 1,889 | 1,882 | 1,875 | 1,869 | 1,841 | 1,820 | 1,803 | 1,790 | 1,778 | 1,769 |
29 | 1,910 | 1,901 | 1,891 | 1,883 | 1,875 | 1,868 | 1,681 | 1,854 | 1,827 | 1,805 | 1,789 | 1,775 | 1,763 | 1,754 |
30 | 1,897 | 1,887 | 1,878 | 1,870 | 1,682 | 1,854 | 1,847 | 1,841 | 1,813 | 1,792 | 1,775 | 1,761 | 1,749 | 1,740 |
35 | 1,843 | 1,833 | 1,824 | 1,815 | 1,807 | 1,799 | 1,792 | 1,768 | 1,757 | 1,735 | 1,717 | 1,703 | 1,691 | 1,681 |
40 | 1,803 | 1,793 | 1,783 | 1,775 | 1,766 | 1,759 | 1,756 | 1,744 | 1,715 | 1,683 | 1,675 | 1,680 | 1,648 | 1,637 |
45 | 1,772 | 1,762 | 1,752 | 1,743 | 1,735 | 1,727 | 1,720 | 1,713 | 1,683 | 1,660 | 1,541 | 1,626 | 1,614 | 1,603 |
50 | 1,748 | 1,737 | 1,727 | 1,718 | 1,710 | 1,702 | 1,694 | 1,687 | 1,657 | 1,634 | 1,615 | 1,599 | 1,587 | 1,576 |
55 | 1,727 | 1,717 | 1,707 | 1,698 | 1,689 | 1,681 | 1,674 | 1,666 | 1,636 | 1,612 | 1,593 | 1,577 | 1,564 | 1,553 |
60 | 1,711 | 1,700 | 1,690 | 1,681 | 1,672 | 1,664 | 1,656 | 1,649 | 1,618 | 1,594 | 1,575 | 1,559 | 1,546 | 1,534 |
11.5.3 Проверка идентичности средних значений
Рассчитывают суммарное стандартное отклонение

, используя уравнение

, (8)
где n1 - число измерений в исходных данных;
n2 - число в измерений новых данных;
s1 - стандартное отклонение в исходных данных;
s2 - стандартное отклонение в новых данных.
Рассчитывают статическое значение tm испытания, используя уравнение

(9)
где

- среднее значение исходных данных;

- среднее значение новых данных;
В
таблице 4 находят значение

, соответствующее критерию
t на основе двойной выборки с (
n1 +
n2 - 2) числом степеней свободы.
Если

, можно допустить, что новые и исходные серии пар данных относятся к совокупностям с общим средним значением. Если

, значит испытание не состоялось.
Таблица 4
Значения
t-критерия Стьюдента при 95%-ном доверительном
уровне вероятности для распределения на основе двойной
выборки и одностороннего интервала распределения
df | Двусторонний интервал  | Односторонний интервал  |
5 | 2,571 | 2,015 |
6 | 2,447 | 1,943 |
7 | 2,365 | 1,895 |
8 | 2,306 | 1,860 |
9 | 2,262 | 1,833 |
10 | 2,228 | 1,812 |
11 | 2,201 | 1,796 |
12 | 2,179 | 1,782 |
13 | 2,160 | 1,771 |
14 | 2,145 | 1,761 |
15 | 2,131 | 1,753 |
16 | 2,120 | 1,746 |
17 | 2,110 | 1,740 |
18 | 2,101 | 1,734 |
19 | 2,093 | 1,729 |
20 | 2,086 | 1,725 |
21 | 2,080 | 1,721 |
22 | 2,074 | 1,717 |
23 | 2,069 | 1,714 |
24 | 2,064 | 1,711 |
25 | 2,060 | 1,708 |
26 | 2,056 | 1,706 |
27 | 2,052 | 1,703 |
28 | 2,048 | 1,701 |
29 | 2,045 | 1,699 |
30 | 2,042 | 1,697 |
31 | 2,040 | 1,695 |
32 | 2,037 | 1,694 |
33 | 2,035 | 1,692 |
34 | 2,033 | 1,691 |
35 | 2,031 | 1,690 |
36 | 2,029 | 1,688 |
37 | 2,027 | 1,687 |
38 | 2,025 | 1,686 |
39 | 2,023 | 1,685 |
40 | 2,021 | 1,684 |
41 | 2,020 | 1,683 |
42 | 2,019 | 1,682 |
43 | 2,017 | 1,681 |
44 | 2,016 | 1,680 |
45 | 2,015 | 1,679 |
46 | 2,013 | 1,679 |
47 | 2,012 | 1,678 |
48 | 2,011 | 1,678 |
49 | 2,010 | 1,677 |
50 | 2,009 | 1,676 |
55 | 2,005 | 1,673 |
60 | 2,000 | 1,671 |
70 | 1,995 | 1,667 |
80 | 1,990 | 1,664 |
90 | 1,987 | 1,662 |
100 | 1,984 | 1,660 |
11.5.4 Объединение данных
Если оба испытания на идентичность дисперсий и идентичность средних значений показали статистическую однородность (отсутствие статистически значимых разниц), новые данные и исходные данные могут быть объединены. Статистический анализ можно начать заново с
11.2.
С другой стороны, если любое из двух испытаний не состоялось, то возникает серьезная проблема, так как это означает, что новые данные несовместимы с исходными данными. Отбрасывают обе серии данных. Определяют причину(ы) отсутствия статистической однородности. Как только появится уверенность, что такие причины устранены, начинают абсолютно новую программу испытания.
11.6 Испытание на независимость разностей
Чтобы сделать правильное заключение о систематической погрешности пробоотбирающей системы, используя процедуры, описанные в настоящем стандарте, разности между пробами должны быть независимыми. Описанное ниже испытание на независимость представляет собой испытание на случайность, основанное на ожидаемом числе серий выше и ниже медианы выборки (величины срединных элементов выборки) (см.
A.2.5). Серия - это последовательность всех значений выше или ниже медианы (срединного значения).
Испытание проводится после того, как выбросы будут удалены.
Определяют число серий,
r, совокупности разностей следующим образом. Вычитают срединное значение (медиану выборки) из каждой из измеренных разностей; записывают знак "плюс" перед каждым положительным значением и "минус" перед каждым отрицательным значением; отклоняют разности, равные медиане (срединному значению); подсчитывают число перемен знаков. Пример расчетов приведен в справочном
приложении A.
Пусть n1 обозначает наименьшее количество одинаковых знаков и n2 - наибольшее количество одинаковых знаков. Если число положительных и отрицательных знаков одинаково, то n1 = n2.
Выбирают нижнее
l и верхнее
u значения по
таблице 5, соответствующие
n1 и
n2.
Если r < l или r > u, измерения не прошли испытание на независимость, и следующая запись должна быть включена в протокол испытания на систематическую погрешность вместе со всей имеющейся информацией о приписываемых причинах обнаруженного отсутствия независимости:
"Существует доказательство, что серии разностей между эталонными и системы значениями не являются независимыми".
Таблица 5
Таблица значений значимости для данного количества серий
n1 | n2 | Нижнее значение l | Верхнее значение u |
3 | 5 | 3 | - |
3 | 6 | 3 | - |
3 | 7 | 3 | 8 |
4 | 4 | 3 | 7 |
4 | 5 | 3 | 8 |
4 | 6 | 4 | 8 |
4 | 7 | 4 | 8 |
4 | 8 | 4 | 8 |
5 | 5 | 4 | 8 |
5 | 6 | 4 | 9 |
5 | 7 | 4 | 9 |
5 | 8 | 4 | 10 |
5 | 9 | 5 | 10 |
6 | 6 | 4 | 10 |
6 | 7 | 5 | 10 |
6 | 8 | 5 | 11 |
6 | 9 | 5 | 11 |
6 | 10 | 6 | 11 |
7 | 7 | 5 | 11 |
7 | 8 | 5 | 12 |
7 | 9 | 6 | 12 |
7 | 10 | 6 | 12 |
7 | 11 | 6 | 13 |
7 | 12 | 7 | 13 |
8 | 8 | 6 | 12 |
8 | 9 | 6 | 13 |
8 | 10 | 7 | 13 |
8 | 11 | 7 | 14 |
8 | 12 | 7 | 14 |
9 | 9 | 7 | 13 |
9 | 10 | 7 | 14 |
9 | 11 | 7 | 14 |
9 | 12 | 8 | 15 |
9 | 13 | 8 | 15 |
9 | 14 | 8 | 16 |
10 | 10 | 7 | 15 |
10 | 11 | 8 | 15 |
10 | 12 | 8 | 16 |
10 | 13 | 9 | 16 |
10 | 14 | 9 | 16 |
10 | 15 | 9 | 17 |
11 | 11 | 8 | 16 |
11 | 12 | 9 | 16 |
11 | 13 | 9 | 17 |
11 | 14 | 9 | 17 |
11 | 15 | 10 | 18 |
11 | 16 | 10 | 18 |
11 | 17 | 10 | 18 |
12 | 12 | 9 | 17 |
12 | 13 | 10 | 17 |
12 | 14 | 10 | 18 |
12 | 15 | 10 | 18 |
12 | 16 | 11 | 19 |
12 | 17 | 11 | 19 |
12 | 18 | 11 | 20 |
13 | 13 | 10 | 18 |
13 | 14 | 10 | 19 |
13 | 15 | 11 | 19 |
13 | 16 | 11 | 20 |
13 | 17 | 11 | 20 |
13 | 18 | 12 | 20 |
13 | 19 | 12 | 21 |
14 | 14 | 11 | 19 |
14 | 15 | 11 | 20 |
14 | 16 | 12 | 20 |
14 | 17 | 12 | 21 |
14 | 18 | 12 | 21 |
14 | 19 | 13 | 22 |
14 | 20 | 13 | 22 |
15 | 15 | 12 | 20 |
15 | 16 | 12 | 21 |
15 | 17 | 12 | 21 |
15 | 18 | 13 | 22 |
15 | 19 | 13 | 22 |
15 | 20 | 13 | 23 |
16 | 16 | 12 | 22 |
16 | 17 | 13 | 22 |
16 | 18 | 13 | 23 |
16 | 19 | 14 | 23 |
16 | 20 | 14 | 24 |
17 | 17 | 13 | 23 |
17 | 18 | 14 | 23 |
17 | 19 | 14 | 24 |
17 | 20 | 14 | 24 |
18 | 18 | 14 | 24 |
18 | 19 | 15 | 24 |
18 | 20 | 15 | 25 |
19 | 19 | 15 | 25 |
19 | 20 | 15 | 26 |
20 | 20 | 16 | 26 |
11.7 Окончательная оценка систематической погрешности
11.7.1 Очевидные признаки систематической погрешности
Для экспериментальной схемы испытания на систематическую погрешность подобранных пар ожидаемое среднее значение разностей равно нулю. Если

или

, то существует доказательство наличия систематической погрешности, и в дальнейшем статистическом анализе нет необходимости.
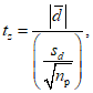
11.7.2 Проверка на значимое отличие от B
Если

, рассчитывают статистическую величину
tnz для разности между

и
B по уравнению

(10)
где B - максимально допустимая систематическая погрешность;

- среднее значение разностей;
sd - стандартное отклонение разностей;
np - количество разностей.
Сравнивают
tnz с соответствующим значением

для одностороннего интервала
t-критерия Стьюдента из
таблицы 4 с (
n - 1) степенями свободы.
Если

, то есть доказательство, что существующая систематическая погрешность составляет значимо больше нуля и незначимо меньше
B. Результат испытания указывает на существование соответствующей систематической погрешности.
Если

, то любая систематическая погрешность значимо меньше
B. Результат испытания не указывает на существование соответствующей систематической погрешности.
11.7.3 Испытание на значимое отличие от нуля
Если результаты испытания находятся в пределах диапазона

, то рассчитывают статистическое значение
tz для среднего значения разниц по
уравнению (11)

(11)
где

- среднее значение разностей;
sd - стандартное отклонение разностей;
np - количество разностей.
Сравнивают
tz с соответствующим значением для двустороннего интервала
t-критерия

с (
n - 1) степенями свободы, приведенным в
таблице 4.
Если

, то измеренное среднее значение разниц незначимо отличается от нуля, и система или компонент при испытании могут считаться как не имеющие систематической погрешности.
Если

, то существует систематическая погрешность, не превышающая
B.
Сведения и подробности, заносимые в протокол испытания, зависят от цели испытания. Рекомендуется включать следующие данные:
a) изложение цели испытания;
b) краткое изложение полученных результатов;
c) описание и техническая спецификация пробоотборной системы;
d) результаты предварительной проверки до испытаний наряду с предпринятыми корректирующими действиями в том случае, если испытание не предназначено для оценки текущей работы;
e) характеристика топлива по подготовке, крупности и качеству;
f) описание условий испытания, максимально допустимая систематическая погрешность B, скорость потока и т.д.;
g) детали процедуры, принятой для проведения испытания, и таблица полученных результатов;
h) объяснение и обсуждение любых отклонений от нормальных рабочих условий, особенности испытания или случаи, произошедшие во время проведения испытания, которые могут повлиять на результаты;
i) определение требуемого числа измерений;
j) статистический анализ и толкование результатов.
Приложение должно содержать все записи рабочих (полевых) журналов, аналитические результаты и данные по массам.
В тех случаях, когда этот метод используется для сертификации работы систем, компонентов или процедур с учетом систематической погрешности, протокол должен включать все перечисленные выше пункты.
(справочное)
A.1 Данные
Данные, используемые для примера расчетов в
A.2 и
A.3 и приведенные в
таблице A.1, получены при анализе по определению зольности в пробах угля. Максимально допустимая систематическая погрешность для зольности установлена на уровне 2%.
Таблица A.1
Необработанные данные, зольность, % на сухое состояние
i | Система, Ai | Эталон, Ri | Разность, di |
1 | 9,55 | 9,63 | -0,08 |
2 | 8,99 | 8,99 | 0,00 |
3 | 8,74 | 8,62 | 0,12 |
4 | 9,08 | 9,12 | -0,04 |
5 | 9,83 | 9,14 | 0,69 |
6 | 9,70 | 9,57 | 0,13 |
7 | 8,71 | 8,83 | -0,12 |
8 | 8,50 | 8,29 | 0,21 |
9 | 8,83 | 8,60 | 0,23 |
10 | 8,29 | 8,15 | 0,14 |
11 | 8,51 | 8,76 | -0,25 |
12 | 8,80 | 8,69 | 0,11 |
13 | 8,69 | 8,60 | 0,09 |
14 | 8,81 | 8,67 | 0,14 |
15 | 8,60 | 8,70 | -0,10 |
16 | 9,23 | 8,97 | 0,26 |
17 | 8,56 | 8,52 | 0,04 |
18 | 8,35 | 8,23 | 0,12 |
19 | 9,01 | 9,09 | -0,08 |
20 | 9,13 | 9,14 | -0,01 |
A.2.1 Основные статистические величины
n = 20 пар
Параметр | Система, A | Разность, d |
Среднее значение | | 8,89550 | 0,0800 |
Дисперсия | | - | 0,0379 |
Стандартное отклонение | sd | - | 0,1948 |
A.2.2 Графический анализ
A.2.2.1 Общие положения
Графический анализ не обязателен, но может быть полезным для выявления выбросов, отклонений, отсутствия статистического контроля и систематической погрешности. Примеры приведены в
A.2.2.2 -
A.2.2.5.
A.2.2.2 Эталонные и системные значения
Используя один и тот же масштаб, откладывают пары данных: на вертикальной оси эталонные значения
Ri и системные значения
Ai на горизонтальной оси. Проводят контрольную линию
Ri =
Ai. Дополнительно можно провести контрольные линии при +/- 3
sd. Это показано на
рисунке A.1.
Точки должны группироваться вокруг основной контрольной линии. Небольшое количество точек, отклоняющихся более чем на три стандартных отклонения от основной контрольной линии, может указывать на наличие выбросов. Если точки отклоняются от основной базовой линии, значит могут присутствовать другие систематические проблемы. Широкий разброс данных указывает на слабую корреляцию (взаимосвязь).
1 - предполагаемый выброс
Рисунок A.1 - График разброса контрольных
и системных значений
A.2.2.3 Значения разностей по отношению к контрольным значениям
Наносят значения разностей
di на вертикальную ось, а соответствующие контрольные значения
Ri - на горизонтальную ось. Проводят горизонтальную линию

(среднее арифметическое значение разностей). Дополнительно можно провести контрольные линии на уровнях +/- 3
sd (см.
рисунок A.2). Точки должны группироваться вокруг контрольной линии

. Точки, отклоняющиеся больше чем на три стандартных отклонения от линии

, могут указывать на наличие выбросов. Отклонения данных указывает на наличие серьезных проблем.
1 - предполагаемый выброс
Рисунок A.2 - Значения разностей по сравнению
с эталонными значениями
A.2.2.4 Разности и число серий
Наносят значения разностей
di на вертикальную ось и номера серий пар данных (
i = 1, 2 ...,
n) на горизонтальную ось. Проводят горизонтальную линию для

(среднее значение разностей). Можно провести дополнительные контрольные линии +/- 3
sd (см.
рисунок A.3). Точки, отклоняющиеся больше чем на три стандартных отклонения от

, могут указывать на наличие выбросов. Наличие отклонений в данных может указывать на изменения в системе, методе испытания или качестве испытуемого топлива в зависимости от времени.
1 - предполагаемый выброс
Рисунок A.3 - Значения разностей по сравнению
с количеством серий
A.2.2.5 Значения разностей и скорости потока
Наносят значения разностей di на вертикальную ось и на горизонтальную ось скорость потока топлива на главной ленте конвейера, когда была взята первая точечная проба. Если конвейерная система не оснащена индикатором скорости потока (например, при отборе проб на основе времени), то скорость потока может быть рассчитана приблизительно по массе точечных проб. Если данные группируются вокруг линии, не являющейся горизонтальной, это может указать на то, что систематическая погрешность и скорость потока взаимосвязаны, и необходимо выяснить причину и значимость этой зависимости.
Рассчитывают значение суммы
и
Для точки 5:

.
Критическое значение для
C составляет 0,480 (см.
таблицу 1). Так как это указывает на наличие выброса, протоколы и информацию, зафиксированную во время испытания, анализируют, чтобы определить, были ли отмечены какие-либо проблемы или аномалии при отборе проб, обращении с пробами или анализе проб. Значения, идентифицированные (признанные) при статистическом анализе как выбросы, не должны отбрасываться из данных, пока не установлена причина таких необычных значений.
Допустим для данного примера, что проблема была связана либо с точкой системных данных, либо с точкой контрольных данных. Поэтому данные точки 5 должны быть отброшены, и анализ начинают заново.
A.2.4 Данные, сведенные в таблицу
Таблица A.2
Данные без выбросов, зольность, % на сухое состояние
Серия | Система | Эталон | Разница |
1 | 9,55 | 9,63 | -0,08 |
2 | 8,99 | 8,99 | 0,00 |
3 | 8,74 | 8,62 | 0,12 |
4 | 9,08 | 9,12 | -0,04 |
5 | 9,70 | 9,57 | 0,13 |
6 | 8,71 | 8,83 | -0,12 |
7 | 8,50 | 8,29 | 0,21 |
8 | 8,83 | 8,60 | 0,23 |
9 | 8,29 | 8,15 | 0,14 |
10 | 8,51 | 8,76 | -0,25 |
11 | 8,80 | 8,69 | 0,11 |
12 | 8,69 | 8,60 | 0,09 |
13 | 8,81 | 8,67 | 0,14 |
14 | 8,60 | 8,70 | -0,10 |
15 | 9,23 | 8,97 | 0,26 |
16 | 8,56 | 8,52 | 0,04 |
17 | 8,35 | 8,23 | 0,12 |
18 | 9,01 | 9,09 | -0,08 |
19 | 9,13 | 9,14 | -0,01 |
Сумма | 168,08 | 167,17 | 0,91 |
Среднее значение | 8,84632 | 8,79842 | 0,04789 |
Дисперсия  | | | 0,01828 |
Стандартное отклонение sd | | | 0,13522 |
A.2.5 Испытание на независимость разностей
Испытание на независимость разностей основано на количестве серий выше и ниже медианы (срединного значения). Для определения срединного значения располагают разности в возрастающем порядке от наименьшего к наибольшему, как показано в
таблице A.3.
Таблица A.3
Данные, рассортированные для определения
медианы (срединного значения)
Серия | Разности |
10 | -0,25 |
6 | -0,12 |
14 | -0,10 |
1 | -0,08 |
18 | -0,08 |
4 | -0,04 |
19 | -0,01 |
2 | 0,00 |
16 | 0,04 |
12 | 0,09 Медиана (срединное значение) |
11 | 0,11 |
17 | 0,12 |
3 | 0,12 |
5 | 0,13 |
9 | 0,14 |
13 | 0,14 |
7 | 0,21 |
8 | 0,23 |
15 | 0,26 |
Выполняют испытание на независимость разностей после удаления выбросов (см.
A.2.3). В этом примере данные точки 5 были отброшены.
Медианой (срединным значением) для четного количества наблюдений является среднее арифметическое двух значений в центре.
Медианой (срединным значением) для нечетного количества наблюдений является центральное значение. В данном примере 19 серий данных и медиана составляет 0,09 (см.
таблицу A.3).
Затем определяют число серий, как показано в
таблице A.4, вычитанием медианы (0,09) из каждой разницы и проставлением знаков плюс или минус в зависимости от знака разностей. Общее количество серий устанавливают путем увеличения на единицу подсчета каждый раз, когда знак меняется на противоположный: плюс на минус или минус на плюс. Не обращают внимания на разности между системными и эталонными значениями, которые одинаковы. В этом случае общее число серий,
r, равняется 13 и число плюсов и минусов одинаковое: с девятью плюсами и девятью минусами, то есть
n1 = 9,
n2 = 9.
Из
таблицы 5 для
n1 = 9,
n2 = 9 значимой величиной для
l и
u является 7 и 13 соответственно. Поэтому число серий,
r, попадает между нижним и верхним значениями значимости, и серия разностей принимается как являющаяся независимой, потому что нет достаточных оснований, чтобы заключить, что они зависимы.
Таблица A.4
Данные для испытания на независимость
Набор | Разность | Разность - срединное значение (медиана) | Знак | Серии |
1 | -0,08 | -0,17 | - | 1 |
2 | 0,00 | -0,09 | - | 1 |
3 | 0,12 | 0,03 | + | 2 |
4 | -0,04 | -0,13 | - | 3 |
5 | 0,13 | 0,04 | + | 4 |
6 | -0,12 | -0,21 | - | 5 |
7 | 0,21 | 0,12 | + | 6 |
8 | 0,23 | 0,14 | + | 6 |
9 | 0,14 | 0,05 | + | 6 |
10 | -0,25 | -0,34 | - | 7 |
11 | 0,11 | 0,02 | + | 8 |
12 | 0,09 | 0,00 | | 8 |
13 | 0,14 | 0,05 | + | 8 |
14 | -0,10 | -0,19 | - | 9 |
15 | 0,26 | 0,17 | + | 10 |
16 | 0,04 | -0,05 | - | 11 |
17 | 0,12 | 0,03 | + | 12 |
18 | -0,08 | -0,17 | - | 13 |
19 | -0,01 | -0,10 | - | 13 |
A.2.6 Основные статистические величины
np = 19
Параметр | Система, A | Разность, d |
Среднее значение | | 8,84632 | 0,04789 |
Дисперсия | | - | 0,01828 |
Стандартное отклонение | sd | - | 0,13522 |
A.2.7 Требуемое число пар (см.
11.4)

.
Так как (ns = 19) > (nP.R = 10), значит взято достаточное число данных. Продолжают статистический анализ для окончательного определения систематической погрешности.
A.2.8 Окончательная оценка систематической погрешности (см.
11.4)
Так как

, рассчитывают статистическое значение
tnz для разности между

и
B:
Из
таблицы 4 при (
n - 1) = 18 степенях свободы

.
Так как

,

значительно меньше, чем
B. Результат испытания не указывает на существование соответствующей систематической погрешности.
Так как

не <= -
B и не >= +
B, рассчитывают статистическое значение для разности от нуля.
Так как

, измеренное среднее значение разностей незначительно отличается от нуля, и можно заключить, что при условиях, которые преобладали в течение испытания, система может считаться как не имеющая систематической погрешности.
A.3.1 Общие положения
Данный пример иллюстрирует процедуру проверки однородности дисперсии и среднего значения разностей старых и новых пар данных (см.
11.5). Данные, используемые в данном примере, иллюстрируют только
11.5.2 и
11.5.3.
Для иллюстрации результатов предположим, что после выполнения первоначальной программы испытания, составляющей 20 пар данных, было определено, что требуется еще пять дополнительных пар данных. Следует помнить, что минимальное число дополнительных пар точек составляет 10 (см.
11.5). Фактические данные для иллюстрации данного примера не нужны и здесь не приводятся.
A.3.2 Расчет основных статистических величин для исходных и новых пар данных (см.
11.2)
Параметр | Исходные данные np = 19 | Новые данные np = 10 |
Среднее значение | | 0,048 | 0,064 |
Дисперсия | | 0,01828 | 0,008116 |
Стандартное отклонение | sd | 0,13522 | 0,09015 |
A.3.3 Испытание на идентичность дисперсий (см.
11.5.2)
Fc = 0,01828/0,008116 = 2,252.
Так как Fc < F, допускаем, что нет существенной разницы между дисперсиями исходных и новых пар данных.
A.3.4 Испытание на идентичность средних значений разностей
и 

;
t = 2,052 (из
таблицы 4 для двустороннего интервала с 27 степенями свободы).
Таким образом, так как данные прошли как проверку по критерию Фишера (F-тест), так и по критерию Стьюдента (t-тест), можно заключить, что статистически подтверждается, что новые и исходные данные однородны. Следовательно, данные могут быть объединены.
(справочное)
СВЕДЕНИЯ О СООТВЕТСТВИИ ССЫЛОЧНЫХ МЕЖДУНАРОДНЫХ СТАНДАРТОВ
МЕЖГОСУДАРСТВЕННЫМ СТАНДАРТАМ
Таблица ДА.1
Обозначение ссылочного международного стандарта | Степень соответствия | Обозначение и наименование соответствующего межгосударственного стандарта |
ISO 13909-1:2001 | - | |
ISO 13909-2:2001 | - | |
ISO 13909-4:2001 | - | |
ISO 13909-5:2001 | - | |
ISO 13909-6:2001 | - | |
ISO 13909-7:2001 | IDT | ГОСТ ISO 13909-7-2013 "Уголь каменный и кокс. Механический отбор проб. Часть 7. Методы определения прецизионности отбора, подготовки и испытания проб" |
<*> Соответствующий национальный стандарт отсутствует. До его принятия рекомендуется использовать перевод на русский язык данного международного стандарта. Примечание - В настоящей таблице использовано следующее обозначение степени соответствия стандарта: - IDT - идентичный стандарт. |
--------------------------------
<1> В Российской Федерации действует
ГОСТ Р ИСО 13909-1-2010 "Уголь каменный и кокс. Механический отбор проб. Часть 1. Общее введение".
<2> В Российской Федерации действует
ГОСТ Р ИСО 13909-5-2013 "Уголь каменный и кокс. Механический отбор проб. Часть 5. Кокс. Отбор проб из движущихся потоков".
<3> В Российской Федерации действует
ГОСТ Р ИСО 13909-6-2013 "Уголь каменный и кокс. Механический отбор проб. Часть 6. Кокс. Подготовка проб для испытаний".
| ISO 5725-2:1994 | Accuracy (trueness and precision) of measurement methods and results - Part 2: Basic method for the determination of repeatability and reproducibility of a standard measurement method [Точность (правильность и прецизионность) методов измерения и результатов. Часть 2. Основной метод определения сходимости и воспроизводимости стандартного метода измерения] |
УДК 662.6:543.812:006.354 | |
Ключевые слова: каменный уголь, кокс, механический отбор проб, систематическая погрешность |