Главная // Актуальные документы // ГОСТ (Государственный стандарт)СПРАВКА
Источник публикации
М.: Стандартинформ, 2019
Примечание к документу
Документ
введен в действие с 01.02.2015.
Название документа
"ГОСТ 8.616-2013. Межгосударственный стандарт. Государственная система обеспечения единства измерений. Лабораторные и потоковые хроматографы для контроля углеводородного состава сжиженных углеводородных газов. Методика поверки"
(введен в действие Приказом Росстандарта от 22.11.2013 N 1574-ст)
"ГОСТ 8.616-2013. Межгосударственный стандарт. Государственная система обеспечения единства измерений. Лабораторные и потоковые хроматографы для контроля углеводородного состава сжиженных углеводородных газов. Методика поверки"
(введен в действие Приказом Росстандарта от 22.11.2013 N 1574-ст)
по техническому регулированию
и метрологии
от 22 ноября 2013 г. N 1574-ст
МЕЖГОСУДАРСТВЕННЫЙ СТАНДАРТ
ГОСУДАРСТВЕННАЯ СИСТЕМА ОБЕСПЕЧЕНИЯ ЕДИНСТВА ИЗМЕРЕНИЙ
ЛАБОРАТОРНЫЕ И ПОТОКОВЫЕ ХРОМАТОГРАФЫ ДЛЯ КОНТРОЛЯ
УГЛЕВОДОРОДНОГО СОСТАВА СЖИЖЕННЫХ УГЛЕВОДОРОДНЫХ ГАЗОВ
МЕТОДИКА ПОВЕРКИ
State system for ensuring the uniformity of measurements.
Laboratory and stream chromatographs for control
of component composition Liquefied hydrocarbon fuel
gases. Verification procedure
ГОСТ 8.616-2013
Дата введения
1 февраля 2015 года
Цели, основные принципы и общие правила проведения работ по межгосударственной стандартизации установлены
ГОСТ 1.0 "Межгосударственная система стандартизации. Основные положения" и
ГОСТ 1.2 "Межгосударственная система стандартизации. Стандарты межгосударственные, правила и рекомендации по межгосударственной стандартизации. Правила разработки, принятия, обновления и отмены"
1 РАЗРАБОТАН Федеральным государственным унитарным предприятием "Всероссийский научно-исследовательский институт метрологии им. Д.И. Менделеева" (ФГУП "ВНИИМ им. Д.И. Менделеева")
2 ВНЕСЕН Техническим комитетом по стандартизации ТК 206 "Эталоны и поверочные схемы", подкомитетом ПК 206.5 "Эталоны и поверочные схемы в области измерения физико-химического состава и свойств веществ"
3 ПРИНЯТ Межгосударственным советом по стандартизации, метрологии и сертификации (протокол от 28 августа 2013 г. N 58-П)
За принятие проголосовали:
Краткое наименование страны по МК (ИСО 3166) 004-97 | Код страны по МК (ИСО 3166) 004-97 | Сокращенное наименование национального органа по стандартизации |
Беларусь | BY | Госстандарт Республики Беларусь |
Казахстан | KZ | Госстандарт Республики Казахстан |
Молдова | MD | Молдова-Стандарт |
Россия | RU | Росстандарт |
Таджикистан | TJ | Таджикстандарт |
Узбекистан | UZ | Узстандарт |
Украина | UA | Минэкономразвития Украины |
4
Приказом Федерального агентства по техническому регулированию и метрологии от 22 ноября 2013 г. N 1574-ст межгосударственный стандарт ГОСТ 8.616-2013 введен в действие в качестве национального стандарта Российской Федерации с 1 февраля 2015 г.
5 ВВЕДЕН ВПЕРВЫЕ
6 ПЕРЕИЗДАНИЕ. Апрель 2019 г.
Информация о введении в действие (прекращении действия) настоящего стандарта и изменений к нему на территории указанных выше государств публикуется в указателях национальных стандартов, издаваемых в этих государствах, а также в сети Интернет на сайтах соответствующих национальных органов по стандартизации.
В случае пересмотра, изменения или отмены настоящего стандарта соответствующая информация будет опубликована на официальном интернет-сайте Межгосударственного совета по стандартизации, метрологии и сертификации в каталоге "Межгосударственные стандарты"
Настоящий стандарт распространяется на лабораторные и потоковые хроматографы (далее - хроматографы), предназначенные для определения углеводородного состава сжиженных углеводородных газов (СУГ) по стандартизованным <1> или аттестованным методикам измерений <2>, а также на хроматографы, внесенные в реестр средств измерений как специализированные приборы на данную аналитическую задачу, и устанавливает методику их первичной и периодической поверок.
Интервал между поверками СИ устанавливается при проведении испытаний в целях утверждения типа СИ <3>.
--------------------------------
<1> В странах СНГ действует стандартизованная методика измерений, изложенная в
ГОСТ 10679-76 "Газы углеводородные сжиженные. Методы определения углеводородного состава". В Российской Федерации действует стандартизованная методика измерений, изложенная в
[1].
<2> Аттестация методик измерений в России проводится в соответствии с требованиями
[2].
<3> В Российской Федерации интервал между поверками указан в свидетельстве об утверждении типа СИ.
В настоящем стандарте использованы нормативные ссылки на следующие стандарты:
ГОСТ 12.1.005 Система стандартов безопасности труда. Общие санитарно-гигиенические требования к воздуху рабочей зоны
ГОСТ 12.1.007 Система стандартов безопасности труда. Вредные вещества. Классификация и общие требования безопасности
ГОСТ 12.1.030 Система стандартов безопасности труда. Электробезопасность. Защитное заземление, зануление
ГОСТ 9293 (ИСО 2435-73) Азот газообразный и жидкий. Технические условия
ГОСТ 17433 Промышленная чистота. Сжатый воздух. Классы загрязненности
Примечание - При пользовании настоящим стандартом целесообразно проверить действие ссылочных стандартов и классификаторов на официальном интернет-сайте Межгосударственного совета по стандартизации, метрологии и сертификации (www.easc.by) или по указателям национальных стандартов, издаваемым в государствах, указанных в
предисловии, или на официальных сайтах соответствующих национальных органов по стандартизации. Если на документ дана недатированная ссылка, то следует использовать документ, действующий на текущий момент, с учетом всех внесенных в него изменений. Если заменен ссылочный документ, на который дана датированная ссылка, то следует использовать указанную версию этого документа. Если после принятия настоящего стандарта в ссылочный документ, на который дана датированная ссылка, внесено изменение, затрагивающее положение, на которое дана ссылка, то это положение применяется без учета данного изменения. Если документ отменен без замены, то положение, в котором дана ссылка на него, применяется в части, не затрагивающей эту ссылку.
3 Термины, определения и сокращения
3.1 В настоящем стандарте применены термины по
[3],
[4] и
[5], а также следующие термины с соответствующими определениями:
3.1.1 контрольная смесь: Смесь, имеющая статус стандартного образца, содержащая определяемые компоненты СУГ и предназначенная для контроля метрологических характеристик хроматографов.
3.1.2 показатель точности результатов измерений: Установленная характеристика точности результатов измерений, полученных по данной методике измерений.
Примечание - К показателям точности результатов измерений относятся неопределенность по
[3], характеристики погрешности по
[4], показатели правильности, прецизионности по
[5].
3.1.3 предел обнаружения: Наименьшее содержание компонента, которое может быть количественно определено с помощью используемой методики измерений с установленными значениями показателей точности.
3.1.4 предел детектирования: Минимальное количество анализируемого вещества, которое можно зарегистрировать при помощи данного детектора.
3.2 В настоящем стандарте применены следующие сокращения:
СУГ - сжиженные углеводородные газы;
ДТП - детектор по теплопроводности;
ПИД - пламенно-ионизационный детектор;
СО - стандартный образец;
ПО - программное обеспечение;
СКО - среднее квадратическое отклонение;
ТУ - технические условия;
НД - нормативный документ;
НТД - нормативно-технический документ;
СИ - средства измерений;
РЭ - руководство по эксплуатации.
4.1 При проведении поверки выполняют операции, указанные в
таблице 1.
Таблица 1
Наименование операции | Номер подраздела, пункта методики | Обязательность проведения операции |
при первичной поверке до ввода в эксплуатацию | при первичной поверке после ремонта | при периодической поверке |
Внешний осмотр | | Да | Да | Да |
Опробование: | | Да | Да | Да |
- проверка электрической прочности изоляции | | Да | | Нет |
- проверка сопротивления электрической изоляции | | Да | Да | Да |
- определение уровня флуктуационных шумов нулевого сигнала | | | | Нет |
- определение дрейфа нулевого сигнала | | | | Нет |
- определение предела детектирования | | Да | Да | Да |
Подтверждение соответствия ПО <3> | | Да | Да | Да |
Определение метрологических характеристик: | | Да | Да | Да |
- определение относительного среднего квадратического отклонения или относительного размаха выходного сигнала | | Да | Да | |
- определение относительного изменения выходного сигнала за регламентированный интервал времени непрерывной работы <4> хроматографа | | | Да | |
- определение показателей точности результатов измерений, установленных в НД или НТД на методику измерений | | Да | Да | Да |
<1> Данная операция выполняется в том случае, если ремонту/замене подвергались кабели и/или провода, входящие в состав хроматографа. <2> Данная операция выполняется в том случае, если данный вид контроля предусмотрен в НТД на хроматограф. <3> Данная операция выполняется в том случае, если в нормативных правовых актах страны установлены требования по ее выполнению. На территории Российской Федерации действует [6]. <4> При отсутствии НД или НТД на методику измерений, аттестованную в установленном порядке. На территории Российской Федерации действуют [2] и методики (методы) измерений, аттестованные по [3]. <5> При наличии на предприятии системы пооперационного контроля качества допускается не проводить. <6> Продолжительность непрерывной работы при поверке должна соответствовать периодичности градуировки, регламентированной в методике измерений. |
5.1 При проведении поверки применяют средства поверки (приборы, оборудование, материалы и реактивы), указанные в
таблице 2.
Таблица 2
Наименование | Техническая характеристика |
Универсальная пробойная установка УПУ-5М (см. [7]) | Диапазон изменения напряжения от 0,2 до 6 кВ. |
Мегаомметр ЭС0210/1-Г (см. [8]) | Относительная погрешность при измерении сопротивления +/- 1,5%, напряжение 100 В |
СО состава - имитаторы СУГ в специализированных баллонах постоянного давления: ГСО 9386-2009 ГСО 9387-2009 ГСО 9388-2009 ГСО 9389-2009 ГСО 9390-2009 | Метрологические характеристики ГСО-СУГ приведены в таблицах А.1 - А.6 приложения А |
Барометр-анероид БАММ-1 (см. [9]) | Диапазон от 80 до 110 кПа |
Психрометр аспирационный МВ-4М (см. [10]) | Диапазон относительной влажности от 30% до 90% |
Термометр лабораторный ТЛ-4 (см. [11]) | Диапазон от 0 °C до 55 °C, цена деления 0,1 °C |
| Объемная доля азота не менее 99,996% |
Гелий газообразный, марка А (см. [12]) | Объемная доля гелия не менее 99,995% |
Водород технический, марка А (см. [13]) | Объемная доля водорода не менее 99,99% |
| Класс загрязненности I |
5.2 Допускают использование других средств поверки, метрологические и технические характеристики которых не хуже указанных в настоящем стандарте.
6 Требования безопасности и требования к квалификации поверителей
6.1 При работе с газами и газовыми смесями в баллонах под давлением должны соблюдаться установленные
правила (см.
[14]).
6.2 По токсикологической характеристике согласно
ГОСТ 12.1.007 сжиженные углеводородные газы относятся к веществам IV класса опасности (вещества малоопасные), но при концентрациях, снижающих содержание кислорода в атмосфере до 15% - 16%, вызывают удушье. Предельно допустимые концентрации в воздухе рабочей зоны по
ГОСТ 12.1.005 (см. также
[15]) составляют:
- для углеводородов алифатических предельных C2 - 10 (в пересчете на C) 900/300 мг/м3 (максимальная разовая/среднесменная, IV класс опасности).
6.3 Содержание химических веществ в воздухе рабочей зоны не должно превышать санитарно-гигиенические нормативы по
ГОСТ 12.1.005.
6.4 СУГ относятся к группе веществ, образующих с воздухом взрывоопасные смеси. Концентрационные пределы распространения пламени рассчитывают по установленным правилам (см. также
[16]).
6.5 Общие правила по взрыво- и пожарной безопасности, меры предупреждения и средства защиты работающих от воздействия СУГ, требования к их личной гигиене, оборудованию и помещениям регламентируются системой стандартов безопасности труда, утвержденных в установленном порядке.
6.6 При выполнении измерений на хроматографах должны соблюдаться требования по электробезопасности, изложенные в
ГОСТ 12.1.030, (см. также
[17],
[18] -
[20]).
6.7 При эксплуатации хроматограф должен быть заземлен.
6.8 К проведению поверки допускают лиц, ознакомленных с РЭ хроматографов, имеющих квалификацию поверителя и прошедших инструктаж по технике безопасности в установленном порядке.
7.1 При проведении поверки должны быть соблюдены следующие условия:
- температура окружающей среды | (20 +/- 5) °C; |
- относительная влажность воздуха | от 30% до 80%; |
- атмосферное давление, изменяющееся в процессе поверки не более чем на +/- 5 кПа | от 84 до 106 кПа; |
- напряжение переменного тока | 230 В (+/- 10%); |
- частота переменного тока | (50 +/- 1) Гц; |
- механические воздействия, внешние электрические и магнитные поля, влияющие на работу комплекса, должны отсутствовать. |
8.1 Перед проведением поверки должны быть выполнены следующие подготовительные работы:
- подготавливают хроматограф к работе в соответствии с требованиями РЭ;
- проверяют наличие паспортов и сроков годности ГСО-СУГ в специализированных баллонах постоянного давления;
- проверяют герметичность газовых линий в соответствии с РЭ на хроматограф;
- баллоны с ГСО-СУГ выдерживают в помещении, в котором проводят поверку, не менее 24 ч, поверяемый хроматограф - согласно требованиям РЭ, но не менее 2 ч.
При внешнем осмотре устанавливают:
- соответствие комплектности хроматографа и номеров блоков паспортным данным;
- исправность механизмов и крепежных деталей;
- четкость маркировки.
Результаты внешнего осмотра считают положительными, если хроматограф соответствует перечисленным требованиям.
9.2.1 Проверка электрической прочности изоляции
Прочность изоляции проверяют на пробойной установке УПУ-5М при температуре (20 +/- 5) °C и относительной влажности от 30% до 80%.
Испытательное напряжение частотой 50 Гц прикладывают к замкнутым между собой контактами сетевого кабеля 230 В и корпусу хроматографа. Тумблер "СЕТЬ" должен быть выключен. Испытательное напряжение повышают плавно, начиная с нуля до 1000 В со скоростью, допускающей возможность отсчета показаний вольтметра, но не менее 100 В/с. Изоляцию выдерживают под воздействием испытательного напряжения в течение 1 мин. Затем напряжение снижают до нуля.
Хроматограф считается выдержавшим испытание на электрическую прочность, если за время испытаний отсутствовали пробой или поверхностный разряд.
9.2.2 Проверка сопротивления электрической изоляции
Для проверки сопротивления электрической изоляции силовых цепей хроматографа замыкают перемычкой контакты сетевой вилки, на которые подают напряжение, и включают тумблер "СЕТЬ". Измеряют сопротивление мегаомметром между контактом

вилки и перемычкой.
Хроматограф считается выдержавшим испытание на сопротивление электрической изоляции, если измеренное значение не менее 20 МОм.
9.2.3 Определение уровня флуктуационных шумов нулевого сигнала
Хроматограф включают и после стабилизации режима работы определяют уровень шумов нулевого сигнала.
Уровень флуктуационных шумов нулевого сигнала принимают равным максимальному значению амплитуды повторяющихся колебаний нулевого (без ввода пробы) сигнала с периодом не более 10 с. При этом колебания, имеющие характер одиночных импульсов длительностью не более 1 с, не учитывают.
Хроматограф считается выдержавшим испытание, если уровень флуктуационных шумов нулевого сигнала не превышает значений, указанных в РЭ (или в паспорте) специализированного хроматографа или в НД на методику измерений.
9.2.4 Определение дрейфа нулевого сигнала
За дрейф нулевого сигнала принимают наибольшее смещение уровня нулевого сигнала в течение 1 ч.
Примечание - Допускается для хроматографов с автоматической коррекцией нуля после завершения цикла анализа дрейф нулевого сигнала определять за период времени, соответствующий времени цикла анализа.
Хроматограф считается выдержавшим испытание, если дрейф нулевого сигнала не превышает значений, указанных в РЭ (или в паспорте) специализированного хроматографа или в НД на методику измерений.
9.2.5 Определение предела детектирования
Для определения предела детектирования вводят в хроматограф не менее пяти раз соответствующую контрольную смесь.
Таблица 3
Контрольные смеси для определения предела детектирования
Детектор | Контрольные смеси | Условия хроматографического анализа |
При первичной поверке | При периодической поверке <*> |
ПИД, ДТП | | | В соответствии с методикой измерений, реализуемой на конкретном хроматографе |
<*> При периодической поверке контроль проводят по всем компонентам, входящим в ГСО-СУГ, молярная доля которых превышает 1,0%. |
Предел детектирования Cmin, в г/с, для ПИД вычисляют по формуле

, (1)
для ДТП, в г/см3, - по формуле

, (2)
где

- максимальное значение амплитуды повторяющихся колебаний нулевого сигнала с длительностью импульса, не превышающей 10 с, В (или ед. счета);
mK - масса контрольного компонента, г;

- среднее арифметическое значение площади пика, В·с (или ед. счета·с);
Vгн - расход газа-носителя, см3/с.
Массу контрольного компонента mK, в г, вычисляют по формуле

, (3)
где VД - объем дозы в кране-дозаторе, указанный в паспорте, см3;

- плотность смеси стандартного образца, г/см
3;
wк - массовая доля компонента.
Значение массовой доли вычисляют из значения молярной доли контрольного компонента, указанной в паспорте на ГСО-СУГ, по формуле

(4)
где Xк - молярная доля контрольного компонента в ГСО-СУГ, указанная в паспорте, %;
Mк - молярная масса контрольного компонента, г/моль;
Xi - молярная доля каждого i-го компонента, входящего в состав ГСО-СУГ, %;
Mi - молярная масса каждого i-го компонента, г/моль;
n - число компонентов.
Примечания
1 Плотность смеси

вычисляют исходя из компонентного состава стандартного образца с использованием стандартных справочных данных плотности индивидуальных веществ в рабочих условиях.
2 При использовании систем дозирования разгазированного образца СУГ необходимо учитывать соотношение объемов камеры разгазирования и петли газового крана-дозатора.
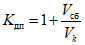
При определении предела детектирования при работе со сбросом пробы значение массы контрольного компонента, вводимой в колонку, принимается равной массе вводимой пробы, деленной на коэффициент деления пробы Kдп, значение которого вычисляют по формуле

, (5)
где Vсб - расход газа носителя на сброс пробы, см3/мин;
Vk - расход газа носителя через капиллярную колонку, см3/мин.
Хроматограф считается выдержавшим испытание, если полученные значения предела детектирования не превышают значений, указанных в РЭ (или паспорте) специализированного хроматографа или в НД на методику измерений.
Примечание - Допускается оценку предела детектирования проводить в единицах молярной доли компонента. В качестве норматива используют одну треть значения нижнего предела диапазона измерений по реализуемой методике измерений.
9.3 Подтверждение соответствия ПО
Соответствие ПО хроматографов подтверждают путем проверки идентичности ПО программному обеспечению, зафиксированному при испытаниях в целях утверждения типа хроматографов и указанному в технической документации. Кроме того, проверяют обеспечение защиты ПО от несанкционированного доступа во избежание искажений результатов измерений <1>.
--------------------------------
<1> В Российской Федерации - согласно
[21].
Примечание - Требования и методы проверки ПО установлены нормативными правовыми актами страны.
9.3.1 Для проверки соответствия ПО выполняют следующие операции:
- проводят визуализацию идентификационных данных ПО, установленного в хроматограф, согласно РЭ (вывод на дисплей, распечатка протокола измерений и т.п.);
- сравнивают полученные данные с идентификационными данными, установленными при проведении испытаний в целях утверждения типа и указанными в описании типа хроматографов.
9.3.2 Проверку обеспечения защиты ПО от несанкционированного доступа во избежание искажений результатов измерений выполняют согласно РЭ.
9.3.3 Результат подтверждения соответствия ПО хроматографов считают положительным, если идентификационные данные совпадают с указанными в описании типа хроматографа и выполнены требования РЭ в части защиты ПО от несанкционированного доступа.
9.4 Определение метрологических характеристик
9.4.1 Определение относительного среднего квадратического отклонения

или относительного размаха (
RS) выходного сигнала (площади пика, молярной доли компонента)
Значения

или
RS выходного сигнала определяют с использованием контрольных образцов в соответствии с
таблицей 3 для всех компонентов ГСО-СУГ, значение молярной доли которых превышает 0,05%. Допускается определение

или
RS выходного сигнала проводить одновременно с определением предела детектирования. Число вводов пробы в хроматограф для определения показателей (

или
RS) должно соответствовать:
- при первичной поверке требованиям ТУ или РЭ на хроматограф;
- при периодической поверке требованиям используемой методики измерений.
Определяют значения выходного сигнала (
Si), находят их среднее арифметическое значение

.
Значение относительного СКО выходного сигнала

, %, вычисляют по формуле

(6)
где
n - число результатов измерений, полученное после исключения выбросов (см.
[22]).
Примечание - Допускается вычислять значение относительного СКО выходного сигнала по высоте пика.
Значение относительного размаха выходного сигнала RS, %, вычисляют по формуле

, (7)
где Smax, Smin - максимальное и минимальное значения выходного сигнала.
Хроматограф считается выдержавшим испытание, если полученные значения относительного СКО или относительного размаха не превышают значений, указанных в НТД на хроматограф (ТУ, РЭ или паспорте) или в НД на методику измерений.
9.4.2 Определение относительного изменения выходного сигнала за регламентированный интервал времени непрерывной работы хроматографа
Проводят операции по
9.4.1 и определяют среднее арифметическое значение выходного сигнала

. Через интервал времени непрерывной работы, регламентированный в НТД на хроматограф или соответствующий периодичности градуировки, установленной в методике измерений, снова проводят измерения по
9.4.1 и определяют среднее арифметическое значение выходного сигнала

.
Относительное изменение выходного сигнала

, %, за регламентированный интервал времени непрерывной работы вычисляют по формуле

. (8)
Хроматограф считается выдержавшим испытание, если полученное значение

не превышает значений, указанных в ТУ (при первичной поверке) или значения, равного

(при периодической поверке).
9.4.3 Определение показателей точности результатов измерений, установленных в НД или НТД на методику измерений
При проведении периодической поверки хроматографов показатели точности результатов измерений проверяют в соответствии с нормативами контроля, установленными в стандартизованных или аттестованных методиках измерений.
10 Оформление результатов поверки
10.1 Составляют протокол поверки по
форме, приведенной в приложении Б.
10.2 При положительных результатах поверки хроматограф признают годным к применению и выписывают на него свидетельство о поверке <1> установленной
формы или делают отметку в паспорте хроматографа (при первичной поверке).
10.3 При отрицательных результатах поверки хроматограф не допускают к применению и выдают извещение о непригодности <1> установленной
формы с указанием причин непригодности.
--------------------------------
<1> В Российской Федерации действует
[23].
(обязательное)
МЕТРОЛОГИЧЕСКИЕ ХАРАКТЕРИСТИКИ ГСО-СУГ, ИСПОЛЬЗУЕМЫХ
ПРИ ПРОВЕДЕНИИ ПОВЕРКИ ХРОМАТОГРАФОВ
Таблица А.1
Метрологические характеристики ГСО-СУГ-ПТ (ГСО 9388-2009)
Определяемый компонент | Интервал допускаемых аттестованных значений молярной доли, % | Границы допускаемой абсолютной погрешности аттестованного значения, <*> ( P = 0,95) |
| 0,005 - 0,1 | 0,07X + 0,00006 |
0,1 - 1,0 | 0,048X + 0,0022 |
| 0,005 - 0,1 | 0,07X + 0,00006 |
0,1 - 1,0 | 0,048X + 0,0022 |
1,0 - 2,0 | 0,028X + 0,022 |
| 0,005 - 0,1 | 0,07X + 0,00006 |
0,1 - 1,0 | 0,048X + 0,0022 |
1,0 - 2,0 | 0,028X + 0,022 |
Пропан | 73 - 99,8 | 0,75 - 0,0025X |
| 0,005 - 0,1 | 0,07X + 0,00006 |
0,1 - 1,0 | 0,048X + 0,0022 |
1,0 - 10 | 0,028X + 0,022 |
Изобутан | 0,1 - 1,0 | 0,048X + 0,0022 |
1,0 - 10 | 0,028X + 0,022 |
10 - 25 | 0,008X + 0,22 |
н-Бутан | 0,1 - 1,0 | 0,048X + 0,0022 |
1,0 - 10 | 0,028X + 0,022 |
10 - 25 | 0,008X + 0,22 |
| 0,005 - 0,1 | 0,07X + 0,00006 |
0,1 - 1,0 | 0,048X + 0,0022 |
1,0 - 5,0 | 0,028X + 0,022 |
| 0,005 - 0,1 | 0,07X + 0,00006 |
0,1 - 1,0 | 0,048X + 0,0022 |
1,0 - 5,0 | 0,028X + 0,022 |
| 0,005 - 0,1 | 0,07X + 0,00006 |
0,1 - 1,0 | 0,048X + 0,0022 |
1,0 - 5,0 | 0,028X + 0,022 |
| 0,005 - 0,1 | 0,07X + 0,00006 |
0,1 - 1,0 | 0,048X + 0,0022 |
1,0 - 5,0 | 0,028X + 0,022 |
| 0,005 - 0,1 | 0,07X + 0,00006 |
0,1 - 1,0 | 0,048X + 0,0022 |
1,0 - 5,0 | 0,028X + 0,022 |
Изопентан | 0,005 - 0,1 | 0,07X + 0,00006 |
0,1 - 0,5 | 0,048X + 0,0022 |
н-Пентан | 0,005 - 0,1 | 0,07X + 0,00006 |
0,1 - 0,5 | 0,048X + 0,0022 |
| 0,005 - 0,1 | 0,07X + 0,00006 |
0,1 - 0,5 | 0,048X + 0,0022 |
| 0,005 - 0,1 | 0,07X + 0,00006 |
0,1 - 0,5 | 0,048X + 0,0022 |
| 0,005 - 0,1 | 0,07X + 0,00006 |
0,1 - 0,5 | 0,048X + 0,0022 |
| 0,005 - 0,1 | 0,07X + 0,00006 |
0,1 - 0,5 | 0,048X + 0,0022 |
| 0,005 - 0,1 | 0,07X + 0,00006 |
0,1 - 0,5 | 0,48X + 0,0022 |
| 0,005 - 0,1 | 0,07X + 0,00006 |
0,1 - 0,5 | 0,048 + 0,0022 |
| 0,005 - 0,1 | 0,07X + 0,00006 |
0,1 - 0,5 | 0,048X + 0,0022 |
| 0,001 - 0,01 | 0,07X + 0,00006 |
<*> Соответствуют расширенной неопределенности ( U) при коэффициенте охвата k = 2. <**> Компонент включается в состав ГСО-СУГ пропана технического по заявке заказчика. |
Таблица А.2
Метрологические характеристики ГСО-СУГ-ПБТ (СПБТ)
(ГСО 9389-2009)
Определяемый компонент | Интервал допускаемых аттестованных значений молярной доли, % | Границы допускаемой абсолютной погрешности аттестованного значения, <*> ( P = 0,95) |
| 0,005 - 0,1 | 0,07X + 0,00006 |
0,1 - 1,0 | 0,048X + 0,0022 |
| 0,005 - 0,1 | 0,07X + 0,00006 |
0,1 - 1,0 | 0,048X + 0,0022 |
1,0 - 4,0 | 0,028X + 0,022 |
| 0,005 - 0,1 | 0,07X + 0,00006 |
0,1 - 1,0 | 0,048X + 0,0022 |
Пропан | 10 - 50 | 0,008X + 0,22 |
50 - 75 | 0,75 - 0,0025X |
| 0,005 - 0,1 | 0,07X + 0,00006 |
0,1 - 1,0 | 0,048X + 0,0022 |
1,0 - 2,0 | 0,028X + 0,022 |
Изобутан | 10 - 50 | 0,008X + 0,22 |
50 - 60 | 0,75 - 0,0025X |
н-Бутан | 10 - 50 | 0,008X + 0,22 |
50 - 60 | 0,75 - 0,0025X |
| 0,005 - 0,1 | 0,07X + 0,00006 |
0,1 - 1,0 | 0,048X + 0,0022 |
| 0,005 - 0,1 | 0,07X + 0,00006 |
0,1 - 1,0 | 0,048X + 0,0022 |
| 0,005 - 0,1 | 0,07X + 0,00006 |
0,1 - 1,0 | 0,048X + 0,0022 |
| 0,005 - 0,1 | 0,07X + 0,00006 |
0,1 - 1,0 | 0,048X + 0,0022 |
| 0,005 - 0,1 | 0,07X + 0,00006 |
0,1 - 1,0 | 0,048X + 0,0022 |
Изопентан | 0,005 - 0,1 | 0,07X + 0,00006 |
0,1 - 0,5 | 0,048X + 0,0022 |
н-Пентан | 0,005 - 0,1 | 0,07X + 0,00006 |
0,1 - 0,5 | 0,048X + 0,0022 |
| 0,005 - 0,1 | 0,07X + 0,00006 |
0,1 - 0,5 | 0,048X + 0,0022 |
| 0,005 - 0,1 | 0,07X + 0,00006 |
0,1 - 0,5 | 0,048X + 0,0022 |
| 0,005 - 0,1 | 0,07X + 0,00006 |
0,1 - 0,5 | 0,048X + 0,0022 |
| 0,005 - 0,1 | 0,07X + 0,00006 |
0,1 - 0,5 | 0,048X + 0,0022 |
| 0,005 - 0,1 | 0,07X + 0,00006 |
0,1 - 0,5 | 0,048X + 0,0022 |
| 0,005 - 0,1 | 0,07X + 0,00006 |
0,1 - 0,5 | 0,048X + 0,0022 |
| 0,005 - 0,1 | 0,07X + 0,00006 |
0,1 - 0,5 | 0,048X + 0,0022 |
| 0,001 - 0,01 | 0,07X + 0,00006 |
<*> Соответствуют расширенной неопределенности ( U) при коэффициенте охвата k = 2. <**> Компонент включается в состав ГСО-СУГ смеси пропана и бутана технических по заявке заказчика. |
Таблица А.3
Метрологические характеристики ГСО-СУГ-БТ (ГСО 9387-2009)
Определяемый компонент | Интервал допускаемых аттестованных значений молярной доли, % | Границы допускаемой абсолютной погрешности аттестованного значения, <*> ( P = 0,95) |
| 0,005 - 0,1 | 0,07X + 0,00006 |
| 0,005 - 0,1 | 0,07X + 0,00006 |
0,1 - 1,0 | 0,048X + 0,0022 |
| 0,005 - 0,05 | 0,07X + 0,00006 |
Пропан | 0,1 - 1,0 | 0,048X + 0,0022 |
1,0 - 10 | 0,028X + 0,022 |
10 - 50 | 0,008X + 0,22 |
| 0,005 - 0,05 | 0,07X + 0,00006 |
Изобутан | 0,1 - 1,0 | 0,048X + 0,0022 |
1,0 - 10 | 0,028X + 0,022 |
10 - 50 | 0,008X + 0,22 |
50 - 98 | 0,75 - 0,0025X |
н-Бутан | 0,1 - 1,0 | 0,048X + 0,0022 |
1,0 - 10 | 0,028X + 0,022 |
10 - 50 | 0,008X + 0,22 |
50 - 98 | 0,75 - 0,0025X |
| 0,010 - 0,10 | 0,07X + 0,00006 |
0,10 - 1,0 | 0,048X + 0,0022 |
1,0 - 5 | 0,028X + 0,022 |
| 0,010 - 0,10 | 0,07X + 0,00006 |
0,10 - 1,0 | 0,048X + 0,0022 |
1,0 - 5 | 0,028X + 0,022 |
| 0,010 - 0,10 | 0,07X + 0,00006 |
0,10 - 1,0 | 0,048X + 0,0022 |
1,0 - 5 | 0,028X + 0,022 |
| 0,010 - 0,10 | 0,07X + 0,00006 |
0,10 - 1,0 | 0,048X + 0,0022 |
1,0 - 5 | 0,028X + 0,022 |
| 0,010 - 0,10 | 0,07X + 0,00006 |
0,10 - 1,0 | 0,048X + 0,0022 |
1,0 - 5 | 0,028X + 0,022 |
Изопентан | 0,005 - 0,1 | 0,07X + 0,00006 |
0,1 - 0,5 | 0,048X + 0,0022 |
н-Пентан | 0,005 - 0,1 | 0,07X + 0,00006 |
0,1 - 0,5 | 0,048X + 0,0022 |
| 0,005 - 0,1 | 0,07X + 0,00006 |
0,1 - 0,5 | 0,048X + 0,0022 |
| 0,005 - 0,1 | 0,07X + 0,00006 |
0,1 - 0,5 | 0,048X + 0,0022 |
| 0,005 - 0,1 | 0,07X + 0,00006 |
0,1 - 0,5 | 0,048X + 0,0022 |
| 0,005 - 0,1 | 0,07X + 0,00006 |
0,1 - 0,5 | 0,048X + 0,0022 |
| 0,005 - 0,1 | 0,07X + 0,00006 |
0,1 - 0,5 | 0,048X + 0,0022 |
| 0,005 - 0,1 | 0,07X + 0,00006 |
0,1 - 0,5 | 0,048X + 0,0022 |
| 0,005 - 0,1 | 0,07X + 0,00006 |
0,1 - 1,0 | 0,048X + 0,0022 |
| 0,001 - 0,01 | 0,07x + 0,00006 |
<*> Соответствуют расширенной неопределенности ( U) при коэффициенте охвата k = 2. <**> Компонент включается в состав ГСО-СУГ бутана технического по заявке заказчика. |
Таблица А.4
Метрологические характеристики ГСО-СУГ-ПА (ГСО 9386-2009)
Определяемый компонент | Интервал допускаемых аттестованных значений молярной доли, % | Границы допускаемой абсолютной погрешности аттестованного значения, <*> ( P = 0,95) |
| 0,005 - 0,1 | 0,07X + 0,00006 |
0,1 - 1,0 | 0,048X + 0,0022 |
| 0,005 - 0,1 | 0,07X + 0,00006 |
0,1 - 1,0 | 0,048X + 0,0022 |
1,0 - 5 | 0,028X + 0,022 |
| 0,005 - 0,1 | 0,07X + 0,00006 |
0,1 - 1,0 | 0,048X + 0,0022 |
1,0 - 5 | 0,028X + 0,022 |
Пропан | 75 - 99,8 | 0,75 - 0,0025X |
| 0,005 - 0,1 | 0,07X + 0,00006 |
0,1 - 1,0 | 0,048X + 0,0022 |
1,0 - 5 | 0,028X + 0,022 |
Изобутан | 0,1 - 1,0 | 0,048X + 0,0022 |
1,0 - 10 | 0,028X + 0,022 |
10 - 25 | 0,008X + 0,22 |
н-Бутан | 0,1 - 1,0 | 0,048X + 0,0022 |
1,0 - 10 | 0,028X + 0,022 |
10 - 25 | 0,008X + 0,22 |
| 0,005 - 0,1 | 0,07X + 0,00006 |
0,1 - 1,0 | 0,048X + 0,0022 |
1,0 - 5 | 0,028X + 0,022 |
| 0,005 - 0,1 | 0,07X + 0,00006 |
0,1 - 1,0 | 0,048X + 0,0022 |
1,0 - 5 | 0,028X + 0,022 |
| 0,005 - 0,1 | 0,07X + 0,00006 |
0,1 - 1,0 | 0,048X + 0,0022 |
1,0 - 5 | 0,028X + 0,022 |
| 0,005 - 0,1 | 0,07X + 0,00006 |
0,1 - 1,0 | 0,048X + 0,0022 |
1,0 - 5 | 0,028X + 0,022 |
| 0,005 - 0,1 | 0,07X + 0,00006 |
0,1 - 1,0 | 0,048X + 0,0022 |
1,0 - 5 | 0,028X + 0,022 |
Изопентан | 0,005 - 0,1 | 0,07X + 0,00006 |
0,1 - 1,0 | 0,048X + 0,0022 |
н-Пентан | 0,005 - 0,1 | 0,07X + 0,00006 |
0,1 - 1,0 | 0,048X + 0,0022 |
| 0,005 - 0,1 | 0,07X + 0,00006 |
0,1 - 1,0 | 0,048X + 0,0022 |
| 0,005 - 0,1 | 0,07X + 0,00006 |
0,1 - 1,0 | 0,048X + 0,0022 |
| 0,005 - 0,1 | 0,07X + 0,00006 |
0,1 - 1,0 | 0,048X + 0,0022 |
| 0,005 - 0,1 | 0,07X + 0,00006 |
0,1 - 1,0 | 0,048X + 0,0022 |
| 0,005 - 0,1 | 0,07 X + 0,00006 |
0,1 - 1,0 | 0,048X + 0,0022 |
| 0,005 - 0,1 | 0,07X + 0,00006 |
0,1 - 1,0 | 0,048X + 0,0022 |
| 0,005 - 0,1 | 0,07X + 0,00006 |
0,1 - 1,0 | 0,048X + 0,0022 |
| 0,001 - 0,01 | 0,07X + 0,00006 |
<*> Соответствуют расширенной неопределенности ( U) при коэффициенте охвата k = 2. <**> Компонент включается в состав ГСО-СУГ пропана автомобильного по заявке заказчика. |
Таблица А.5
Метрологические характеристики ГСО-СУГ-ПБА (ГСО 9390-2009)
Определяемый компонент | Интервал допускаемых аттестованных значений молярной доли, % | Границы допускаемой абсолютной погрешности аттестованного значения, <*> ( P = 0,95) |
| 0,005 - 0,1 | 0,07X + 0,00006 |
0,1 - 0,5 | 0,048X + 0,0022 |
| 0,005 - 0,1 | 0,07X + 0,00006 |
0,1 - 1,0 | 0,048X + 0,0022 |
1,0 - 5 | 0,028X + 0,022 |
| 0,005 - 0,1 | 0,07X + 0,00006 |
0,1 - 1,0 | 0,048X + 0,0022 |
Пропан | 40 - 50 | 0,008X + 0,22 |
50 - 60 | 0,75 - 0,0025X |
| 0,005 - 0,1 | 0,07X + 0,00006 |
0,1 - 1,0 | 0,048X + 0,0022 |
1,0 - 5 | 0,028X + 0,022 |
Изобутан | 10 - 50 | 0,008X + 0,22 |
50 - 60 | 0,75 - 0,0025X |
н-Бутан | 10 - 50 | 0,008X + 0,22 |
50 - 60 | 0,75 - 0,0025X |
| 0,005 - 0,1 | 0,07X + 0,00006 |
0,1 - 1,0 | 0,048X + 0,0022 |
1,0 - 5 | 0,028X + 0,022 |
| 0,005 - 0,1 | 0,07X + 0,00006 |
0,1 - 1,0 | 0,048X + 0,0022 |
1,0 - 5 | 0,028X + 0,022 |
| 0,005 - 0,1 | 0,07X + 0,00006 |
0,1 - 1,0 | 0,048X + 0,0022 |
1,0 - 5 | 0,028X + 0,022 |
| 0,005 - 0,1 | 0,07X + 0,00006 |
0,1 - 1,0 | 0,048X + 0,0022 |
1,0 - 5 | 0,028X + 0,022 |
| 0,005 - 0,1 | 0,07X + 0,00006 |
0,1 - 1,0 | 0,048X + 0,0022 |
1,0 - 5 | 0,028X + 0,022 |
Изопентан | 0,005 - 0,1 | 0,07X + 0,00006 |
0,1 - 1,0 | 0,048X + 0,0022 |
н-Пентан | 0,005 - 0,1 | 0,07X + 0,00006 |
0,1 - 1,0 | 0,048X + 0,0022 |
| 0,005 - 0,1 | 0,07X + 0,00006 |
0,1 - 1,0 | 0,048X + 0,0022 |
| 0,005 - 0,1 | 0,07X + 0,00006 |
0,1 - 1,0 | 0,048X + 0,0022 |
| 0,005 - 0,1 | 0,07X + 0,00006 |
0,1 - 1,0 | 0,048X + 0,0022 |
| 0,005 - 0,1 | 0,07X + 0,00006 |
0,1 - 1,0 | 0,048X + 0,0022 |
| 0,005 - 0,1 | 0,07X + 0,00006 |
0,1 - 1,0 | 0,048X + 0,0022 |
| 0,005 - 0,1 | 0,07X + 0,00006 |
0,1 - 1,0 | 0,048X + 0,0022 |
| 0,005 - 0,1 | 0,07X + 0,00006 |
0,1 - 1,0 | 0,048X + 0,0022 |
| 0,001 - 0,01 | 0,07X + 0,00006 |
<*> Соответствуют расширенной неопределенности ( U) при коэффициенте охвата k = 2. <**> Компонент включается в состав ГСО-СУГ пропана и бутана автомобильного по заявке заказчика. |
Таблица А.6
ГСО-СУГ для проведения первичной поверки
Определяемый компонент | Интервал допускаемых аттестованных значений молярной доли, % |
ГСО-СУГ-ПТ (ГСО 9388) | ГСО-СУГ-ПБТ (СПБТ) (ГСО 9389) | ГСО-СУГ-БТ (ГСО 9387) |
Пропан | 75 - 80 | 20 - 40 | 1,0 - 10 |
Изобутан | 5 - 15 | 30 - 40 | 1,0 - 10 75 - 80 |
н-Бутан | 5 - 15 | 30 - 40 | 1,0 - 10 75 - 80 |
Изопентан | 0,005 - 0,1 | 0,005 - 0,1 | 0,005 - 0,05 |
н-Пентан | 0,1 - 0,5 | 0,1 - 0,5 | 0,005 - 0,05 |
Примечание - По просьбе заказчика в паспорте на ГСО-СУГ, приведенные в
таблицах А.1 -
А.6, помимо значений молярной доли компонентов СУГ могут быть указаны и значения массовой доли компонентов.
(рекомендуемое)
Протокол N ____ поверки хроматографа, принадлежащего ___________________________ наименование организации Тип хроматографа ______________ Заводской номер ________________ Детектор(ы) ___________________________________________________ Изготовитель __________________ Год изготовления _______________ Порядковый номер по системе нумерации изготовителя _____________ Наименование и номера блоков __________________________________ ______________________________________________________________ Наименование нормативного документа по поверке _________________ Наименование, обозначение, заводские номера средства поверки/номера паспортов __________________ Вид поверки (первичная, периодическая) (нужное подчеркнуть) Условия поверки: |
- температура окружающей среды | К (°C); |
- атмосферное давление | кПа; |
- относительная влажность воздуха | %. |
Подтверждение соответствия программного обеспечения
<1>
Наименование ПО | Идентификационное наименование ПО | Номер версии (идентификационный номер) ПО | Цифровой идентификатор ПО (контрольная сумма исполняемого кода) | Алгоритм вычисления идентификатора ПО |
| | | | |
| | | | |
Таблица Б.1 - Определение уровня флуктуационных шумов и дрейфа нулевого сигнала
Детектор | Значение уровня шумов | Значение дрейфа |
по технической документации | фактически полученное при поверке | по технической документации | фактически полученное при поверке |
| | | | |
| | | | |
Таблица Б.2 - Определение предела детектирования
Компонент | Среднее значение выходного сигнала | Значение предела детектирования |
по технической документации | фактически полученное при поверке |
| | | |
| | | |
Таблица Б.3 - Определение относительного среднего квадратического отклонения выходного сигнала
Компонент | Значение выходного сигнала Si | Среднее арифметическое значение выходного сигнала  | Значение относительного СКО выходного сигнала  , % |
по технической документации | фактически полученное при поверке |
| | | | |
| | | | |
| | | | |
Таблица Б.4 - Определение относительного размаха выходного сигнала
Компонент | Максимальное значение выходного сигнала Smax | Минимальное значение выходного сигнала Smin | Значение относительного размаха выходного сигнала RS, % |
по технической документации | фактически полученное при поверке |
| | | | |
| | | | |
| | | | |
Таблица Б.5 - Определение изменения выходных сигналов за регламентированный интервал времени непрерывной работы
Компонент | Средние значения выходного сигнала S | Изменение выходных сигналов |
S | | по технической документации | фактически полученное при поверке |
| | | | |
| | | | |
Таблица Б.6 - Определение показателя точности результатов измерений
Компонент | Содержание компонента в СУГ | Отклонение результата измерений |
по паспорту на контрольную смесь | измеренное значение | допускаемое по НД на методику | фактически полученное при поверке |
| | | | |
| | | | |
Приложение (хроматограммы, полученные при поверке) _____________ ______________________________________________________________ Вывод: _______________________________________________________ Заключение ___________________, зав. N _________________________ (тип СИ) соответствует (не соответствует) предъявляемым требованиям и признано годным (не годным) для эксплуатации. ______________________________________________________________ Подпись поверителя ____________ _______________________________ Выдано свидетельство о поверке N ____________ от ________________ (Выдано извещение о непригодности N ____________ от ____________) |
--------------------------------
<1> Данный пункт приводится в протоколе в том случае, если при поверке СИ выполнялась операция по подтверждению соответствия ПО. Объем данных, указываемых в таблице, определен в РЭ СИ. Наименование и номер версии ПО приводятся обязательно.
| | Газы углеводородные сжиженные. Методы определения углеводородного состава |
| | Государственная система обеспечения единства измерений. Методики (методы) измерений |
| Рекомендации по межгосударственной стандартизации РМГ 43-2001 | Государственная система обеспечения единства измерений. Применение "Руководства по выражению неопределенности измерений" <1> |
| | Государственная система обеспечения единства измерений. Результаты и характеристики погрешности измерений. Формы представления. Способы использования при испытаниях образцов продукции и контроле их параметров |
| | Точность (правильность и прецизионность) методов и результатов измерений. Часть 1. Основные положения и определения |
| | Государственная система обеспечения единства измерений. Требования к программному обеспечению средств измерений. Основные положения |
| НН 2.406.001 ТУ | Универсальная пробойная установка УПУ-5М |
| ТУ У 3.28-00226106-033-99 | Мегаомметры ЭС0210, ЭС0210-Г |
| ТУ 25-11.1513-79 | Барометр-анероид метрологический БАММ-1. Технические условия |
| ТУ 25.1607.054-85 | Психрометр аспирационный МВ-4М. Технические условия |
| ТУ 25-2021.003-88 | Термометры ртутные стеклянные лабораторные. Технические условия |
| ТУ 51-940-80 | Гелий газообразный (сжатый). Технические условия |
| ТУ 301-07-27-91 | Водород газообразный высокой чистоты. Технические условия |
| Федеральные нормы и правила в области промышленной безопасности "Правила промышленной безопасности и опасных производственных объектов, на которых используется оборудование, работающее под избыточным давлением" |
| | Предельно допустимые концентрации (ПДК) вредных веществ в воздухе рабочей зоны. Гигиенические нормативы <3> |
| | Электрооборудование взрывозащищенное. Часть 20. Данные по горючим газам и парам, относящиеся к эксплуатации оборудования |
| (МЭК 61010-1-90) | Безопасность электрических контрольно-измерительных приборов и лабораторного оборудования. Часть 1. Общие требования <5> |
| Правила устройства электроустановок (ПУЭ), издание седьмое, утвержденные Министерством энергетики Российской Федерации, приказ от 8 июля 2002 г., N 204 |
[19] | Правила технической эксплуатации электроустановок потребителей (ПТЭЭП), утвержденные приказом Минэнерго России от 13 января 2003 г. N 6 |
| " Правила по охране труда при эксплуатации электроустановок", утвержденные Приказом Министерства труда и социальной защиты РФ от 24 июля 2013 г. N 328н |
| | Государственная система обеспечения единства измерений. Испытания средств измерений в целях утверждения типа. Проверка обеспечения защиты программного обеспечения |
| | Точность (правильность и прецизионность) методов и результатов измерений. Часть 2. Основной метод определения повторяемости и воспроизводимости стандартного метода измерений |
| " Порядок проведения поверки средств измерений, требования к знаку поверки и содержанию свидетельства о поверке", утвержденный Приказом Минпромторга России от 2 июля 2015 г. N 1815 |
--------------------------------
<1> Действуют
ГОСТ 34100.1-2017 "Неопределенность измерения. Часть 1. Введение в руководства по выражению неопределенности измерения",
ГОСТ 34100.3-2017 "Неопределенность измерения. Часть 3. Руководство по выражению неопределенности измерения",
ГОСТ 34100.3.1-2017 "Неопределенность измерения. Часть 3. Руководство по выражению неопределенности измерения. Дополнение 1. Трансформирование распределений с использованием метода Монте-Карло".
<3> Действуют
ГН 2.2.5.3532-18 "Предельно допустимые концентрации (ПДК) вредных веществ в воздухе рабочей зоны", утвержденные постановлением главного государственного санитарного врача Российской Федерации от 13 февраля 2018 г. N 25.
<5> Действует
ГОСТ 12.2.091-2012 (IEC 61010-1:2001) "Безопасность электрического оборудования для измерения, управления и лабораторного применения. Часть 1. Общие требования".
УДК 543.54+53.089.6:006.354 | |
Ключевые слова: хроматографы, методика поверки, дрейф нулевого сигнала, флуктуационный шум, метрологические характеристики |