Главная // Актуальные документы // ГОСТ (Государственный стандарт)СПРАВКА
Источник публикации
М.: Стандартинформ, 2019
Примечание к документу
Документ
введен в действие с 01.08.2014.
Название документа
"ГОСТ 32474-2013. Межгосударственный стандарт. Методы испытаний химической продукции, представляющей опасность для окружающей среды. Определение коэффициента распределения н-октанол/вода методом высокоэффективной жидкостной хроматографии"
(введен в действие Приказом Росстандарта от 22.11.2013 N 787-ст)
"ГОСТ 32474-2013. Межгосударственный стандарт. Методы испытаний химической продукции, представляющей опасность для окружающей среды. Определение коэффициента распределения н-октанол/вода методом высокоэффективной жидкостной хроматографии"
(введен в действие Приказом Росстандарта от 22.11.2013 N 787-ст)
по техническому регулированию
и метрологии
от 22 ноября 2013 г. N 787-ст
МЕЖГОСУДАРСТВЕННЫЙ СТАНДАРТ
МЕТОДЫ ИСПЫТАНИЙ ХИМИЧЕСКОЙ ПРОДУКЦИИ, ПРЕДСТАВЛЯЮЩЕЙ
ОПАСНОСТЬ ДЛЯ ОКРУЖАЮЩЕЙ СРЕДЫ
ОПРЕДЕЛЕНИЕ КОЭФФИЦИЕНТА РАСПРЕДЕЛЕНИЯ Н-ОКТАНОЛ/ВОДА
МЕТОДОМ ВЫСОКОЭФФЕКТИВНОЙ ЖИДКОСТНОЙ ХРОМАТОГРАФИИ
Testing of chemicals of environmental hazard. Determination
of Partition Coefficient (n-octanol/water) by HPLC method
ГОСТ 32474-2013
Дата введения
1 августа 2014 года
Цели, основные принципы и общие правила проведения работ по межгосударственной стандартизации установлены
ГОСТ 1.0 "Межгосударственная система стандартизации. Основные положения" и
ГОСТ 1.2 "Межгосударственная система стандартизации. Стандарты межгосударственные, правила и рекомендации по межгосударственной стандартизации. Правила разработки, принятия, обновления и отмены"
1 ПОДГОТОВЛЕН Федеральным государственным унитарным предприятием "Всероссийский научно-исследовательский центр стандартизации, информации и сертификации сырья, материалов и веществ" (ФГУП "ВНИЦСМВ") на основе собственного перевода на русский язык англоязычной версии документа, указанного в
пункте 5
2 ВНЕСЕН Федеральным агентством по техническому регулированию и метрологии
3 ПРИНЯТ Межгосударственным советом по стандартизации, метрологии и сертификации (протокол от 5 ноября 2013 г. N 61-П)
За принятие проголосовали:
Краткое наименование страны по МК (ИСО 3166) 004-97 | Код страны по МК (ИСО 3166) 004-97 | Сокращенное наименование национального органа по стандартизации |
Армения | AM | Минэкономики Республики Армения |
Беларусь | BY | Госстандарт Республики Беларусь |
Киргизия | KG | Кыргызстандарт |
Молдова | MD | Молдова-Стандарт |
Россия | RU | Росстандарт |
Таджикистан | TJ | Таджикстандарт |
Узбекистан | UZ | Узстандарт |
4
Приказом Федерального агентства по техническому регулированию и метрологии от 22 ноября 2013 г. N 787-ст межгосударственный стандарт ГОСТ 32474-2013 введен в действие в качестве национального стандарта Российской Федерации с 1 августа 2014 г.
5 Настоящий стандарт идентичен международному документу OECD, Test No. 117:2004 "Коэффициент распределения (н-октанол/вода), метод высокоэффективной жидкостной хроматографии" ("Partition Coefficient (n-octanol/water), HPLC Method", IDT).
Наименование настоящего стандарта изменено относительно наименования указанного международного документа для приведения в соответствие с ГОСТ 1.5
(подраздел 3.6)
6 ВВЕДЕН ВПЕРВЫЕ
7 ПЕРЕИЗДАНИЕ. Апрель 2019 г.
Информация о введении в действие (прекращении действия) настоящего стандарта и изменений к нему на территории указанных выше государств публикуется в указателях национальных стандартов, издаваемых в этих государствах, а также в сети Интернет на сайтах соответствующих национальных органов по стандартизации.
В случае пересмотра, изменения или отмены настоящего стандарта соответствующая информация будет опубликована на официальном интернет-сайте Межгосударственного совета по стандартизации, метрологии и сертификации в каталоге "Межгосударственные стандарты"
Настоящий стандарт разработан в рамках комплекса стандартов, относящихся к методам испытаний химической продукции, представляющей опасность для окружающей среды. Данный стандарт идентичен документу OECD по испытаниям химической продукции OECD Guideline For The Testing of Chemicals. Partition Coefficient (n-octanol/water), High Performance Liquid Chromatography (HPLC), принятому Советом ОЭСР 13 апреля 2004 года.
Настоящий стандарт устанавливает методы испытаний для определения коэффициента распределения н-октанол/вода методом высокоэффективной жидкостной хроматографии.
В настоящем стандарте применены следующие термины с соответствующими определениями:
2.1 коэффициент распределения н-октанол/вода (Kow): Соотношение равновесных концентраций вещества растворенного в двухфазной системе, состоящей из двух практически несмешивающихся растворителей.
2.2 "мертвое время": Время, необходимое, чтобы неудерживаемое вещество прошло установку.
3.1 Коэффициент распределения н-октанол/вода (Kow) является соотношением равновесных концентраций вещества растворенного в двухфазной системе, состоящей из двух практически несмешивающихся растворителей. В случае н-октанола и воды см. формулу
Kow = Cн-октанол/Cвода, (1)
где Cн-октанол - концентрация н-октанола;
Cвода - концентрация воды.
Будучи отношением двух концентраций, Kow является безразмерным и обычно приводится в виде десятичного логарифма.
3.2 Kow является важным параметром в изучении трансформации химических веществ в окружающей среде. Была показана высокая значимость связи неионизированной формы вещества с его способностью к биоаккумулированию в рыбе. Также было доказано, что Kow является удобным параметром для предсказания адсорбции веществ в почве и для установления количественной зависимости структура - активность для широкого диапазона биологических эффектов.
3.3 Значение log
Kow в диапазоне от минус двух до четырех (иногда свыше 5) <1> может быть экспериментально определено методом
[2]. Метод высокоэффективной жидкостной хроматографии (ВЭЖХ) применим для диапазона значений
Kow от ноля до шести. Этот метод может требовать оценки
Kow для выбора референтного вещества и поддержки любых выводов, основывающихся на данных, полученных в тесте. Методы расчета кратко обсуждаются в
приложении А к настоящему стандарту. При ВЭЖХ используется изократный метод.
--------------------------------
<1> Верхний предел определяется необходимостью достижения полного разделения фаз после установления распределительного равновесия и перед отбором проб для аналитического определения. Если надлежащие условия тщательно соблюдаются, то верхний лимит может быть расширен до более высоких значение Kow.
3.4 Значения
Kow зависят от условий окружающей среды, таких как температура, pH, ионная сила и т.д., и для правильной интерпретации данных о
Kow эти условия должны быть определены в эксперименте. Для ионизируемых веществ могут быть использованы другие альтернативные методы, но в некоторых случаях более целесообразно использовать методы ВЭЖХ для pH, свойственных для окружающей среды (см.
3.8).
3.5 Обратно-фазовая ВЭЖХ выполняется на аналитических колонках, заполненных доступной в промышленных масштабах твердой фазой, содержащей длинные углеводородные цепи (например, C8, C18) химически связанной на силикагеле.
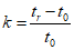
3.6 Вещество вводится в перегородки колонки между фазой подвижного растворителя и стационарной углеводородной фазой, так он транспортируется вдоль колонны по подвижной фазе. Химические вещества удерживаются в пропорции с их коэффициентом разделения углеводород-вода, где гидрофильное соединение элюируется первым, а липофильное - последним. Это время удержания описывается емкостным фактором k, вычисляемым по формуле

, (2)
где tr - время удержания исследуемого вещества;
t0 - "мертвое" время, т.е. среднее время, необходимое для прохождения через колонку молекул растворителя.
Количественные методы анализа не требуются, необходимо только определение времени удерживания.
3.7 Коэффициент распределения октанол/вода тестируемого вещества может быть рассчитан экспериментальным определением его емкостного фактора k, а затем подставлением значения фактора k в следующую формулу
где a, b = коэффициенты линейной регрессии.
Вышеуказанная
формула может быть выведена путем построения уравнения линейной регрессии зависимости log
Kow референтного вещества от емкостного фактора референтного вещества.
3.8 Обратно-фазовая ВЭЖХ дает возможность оценить коэффициент распределения в диапазоне log
Kow от ноля до шести, но, в исключительных случаях, может быть расширено до покрытия диапазона log
Kow от шести до десяти. Это может требовать того, чтобы подвижная фаза менялась. Этот метод не применим для сильных кислот и оснований, комплексов металлов, веществ, которые реагируют с элюентом, или поверхностно-активными веществами. Значения для ионизированной формы могут быть представлены в виде их неионизированных форм (свободная кислота или свободное основание) только путем использования соответствующего буферного раствора с pH ниже, чем pK
a для свободных кислот или выше pK
a для свободных оснований.
Примечание - pKa - отрицательный десятичный логарифм константы диссоциации кислоты.
Кроме того может быть представлен этот pH метрический метод для испытаний неионизированных форм веществ. Если значение logKow определено для использования в классификации оценки опасности для окружающей среды или оценки экологических рисков, испытание должно быть представлено в диапазоне pH, соответствующему природному значению, например, pH в диапазоне от пяти до девяти.
3.9 В некоторых случаях примеси могут затруднить интерпретацию результатов из-за неопределенности в распределении пиков. Для смесей, которые приводят к нерешенным полосам должны быть представлены вышний и нижний пороги logKow и процент области каждого пика. Для смесей, которые являются группой гомологов, также, должен быть указан средневзвешенный показатель logKow, рассчитанный на основе единичных значений Kow и соответствующих процентных значений областей. При расчете во внимание должны быть приняты все пики, которые делают вклад от 5% и более от общей площади пика.

(4)
Средневзвешенное значение logKow справедливо только для веществ или смесей (например, талловое масло), состоящих из гомологов (например, серии алканов). Смеси могут быть измерены со значимым результатом при условии, что аналитический детектор имеет такую же чувствительность отношению ко всем веществ в смеси и может иметь надлежащее разрешение.
4.1 Информация о тестируемом веществе
Перед тем как использовать данные метод, должны быть известны константа диссоциации, структурная формула и растворимость в подвижной фазе. Также может быть полезной информация о гидролизе.
4.2 Критерии качества
4.2.1 С целью повышения достоверности измерения, определения должны проводиться в двух параллельных тестах.
Повторяемость: значения Kow, полученные из повторных измерений, которые выполнены в идентичных условиях и используют тот же набор референтных веществ, должны укладываться в диапазон +/- 0,1 log единицы измерения.
Воспроизводимость: Если измерения повторяются с различным набором реферативных веществ, то результаты могут быть различны. Как правило, коэффициент корреляции R для зависимости между logk и logKow для набора тестируемых веществ составляет около 0,9.
4.2.2 Межлабораторный сравнительный эксперимент показал, что с использованием метода высокоэффективной жидкостной хроматографии значение logKow могут быть получены с точностью до +/- 0,5 единиц метода встряхивания во флаконе. Корреляционные графики, основанные на структурно родственных референтных веществах, дают наиболее точные результаты.
4.3 Референтные вещества
4.3.1 Для того, чтобы провести корреляцию между измеренными значениями емкостного фактора
k и его
Kow должен быть построен калибровочный график с использованием по крайней мере шести точек (см.
4.8.3). Выбор соответствующих референтных веществ устанавливается пользователями. Референтные вещества должны иметь, как правило, значение log
Kow, которое охватывает значение log
Kow тестируемого вещества, т.е., по крайней мере одно референтное вещество должно иметь
Kow выше, чем тестируемое вещество и другое референтное вещество -
Kow ниже, чем тестируемое вещество. Экстраполяция должна использоваться только в исключительных случаях. Предпочтительно, чтобы эти референтные вещества имели бы структуру, родственную тестируемому веществу. Значения log
Kow, используемые для калибровки, должны быть основаны на надежных экспериментальных данных. Тем не менее, для веществ с высокими значениями log
Kow (как правило, более четырех) расчетные значения могут быть использованы, если доступны надежные экспериментальные данные. Если используются экстраполируемые значение, то должны быть указаны предельные значения.
4.3.2 В настоящее время доступны обширные перечни значений log
Kow для многих групп химических веществ. Если информация о коэффициентах распределения структурно-родственных веществ недоступна, то может использоваться более общая калибровка, установленная с другими референтным веществами. Рекомендуемые референтные вещества и их значения
Kow приведены в
таблице 1. Для ионизированных форм веществ данные значения применяются для неионизированных форм. Эти значения были проверены на достоверность и качество при проведении межлабораторных сравнительных тестов.
Таблица 1
Перечень рекомендуемых референтных веществ
| CAS N | Референтное вещество | logKow | pKa |
1 | 78-93-3 | 2-Бутанон (Метилэтилкетон) | 0,3 | |
2 | 1122-54-9 | 4-ацетилпиридин | 0,5 | |
3 | 62-53-3 | Фениламин | 0,9 | |
4 | 103-84-4 | Ацетанилид | 1,0 | |
5 | 100-51-6 | Фенилкарбинол | 1,1 | |
6 | 150-76-5 | 4-метоксифенол | 1,3 | 10,26 |
7 | 122-59-8 | Феноксиуксусная кислота | 1,4 | 3,12 |
8 | 108-95-2 | Фенол | 1,5 | 9,92 |
9. | 51-28-5 | 2,4-динитрофенол | 1,5 | 3,96 |
10 | 100-47-0 | Бензонитрил | 1,6 | |
11 | 140-29-4 | Фенилацетонитрил | 1,6 | |
12 | 589-18-4 | 4-метилбензолметанол | 1,6 | |
13 | 98-86-2 | Ацетофенон | 1,7 | |
14 | 88-75-5 | 2-нитрофенол | 1,8 | 7,17 |
15 | 121-92-6 | 3-нитробензойная кислота | 1,8 | 3,47 |
16 | 106-47-8 | 4-хлоранилин | 1,8 | 4,15 |
17 | 98-95-3 | Нитробензол | 1,9 | |
18 | 104-54-1 | Циннамильный (коричный) спирт | 1,9 | |
19 | 65-85-0 | Бензойная кислота | 1,9 | 4,19 |
20 | 106-44-5 | П-Крезол | 1,9 | 10,17 |
21 | 140-10-3 (транс) | (E)-3-фенилпропеновая (коричная) кислота | 2,1 | 3,89 (цис) 4,44 (транс) |
22 | 100-66-3 | Метоксибензол | 2,1 | |
23 | 93-58-3 | Метилбензоат | 2,1 | |
24 | 71-43-2 | Бензол | 2,1 | |
25 | 99-04-7 | 3-метилбензойная кислота | 2,4 | 4,27 |
26 | 106-48-9 | 4-хлорфенол | 2,4 | 9,1 |
27 | 79-01-6 | 1,1,2-трихлорэтилен | 2,4 | |
28 | 1912-24-9 | 2-хлор-4-этиламино-симм-триазин (атразин) | 2,6 | |
29 | 93-89-0 | Этиловый эфир бензолкарбоновой кислоты | 2,6 | |
30 | 1194-65-6 | 2,6-дихлорбензонитрил | 2,6 | |
31 | 535-80-8 | 3-хлорбензойная кислота | 2,7 | 3,82 |
32 | 108-88-3 | Толуол | 2,7 | |
33 | 90-15-3 | Нафталин-1-ол | 2,7 | 9,34 |
34 | 608-27-5 | 2,3-дихлоранилин | 2,8 | |
35 | 108-90-7 | Хлорбензол | 2,8 | |
36 | 1746-13-0 | Аллилфениловый эфир | 2,9 | |
37 | 108-86-1 | Бромбензол | 3,0 | |
38 | 100-41-4 | Этилбензол | 3,2 | |
39 | 119-61-9 | Дифенилкетон | 3,2 | |
40 | 92-69-3 | 4-фенилфенол | 3,2 | 9,54 |
41 | 89-83-8 | 5-метил-2-пропан-2-илфенол (тимол) | 3,3 | |
42 | 106-46-7 | 1,4-дихлорбензол | 3,4 | |
43 | 122-39-4 | Дифениламин | 3,4 | 0,79 |
44 | 91-20-3 | Нафталин | 3,6 | |
45 | 93-99-2 | Фениловый эфир бензойной кислоты | 3,6 | |
46 | 98-82-8 | Изопропилбензол | 3,7 | |
47 | 88-06-2 | 2,4,6-трихлорфенол | 3,7 | 6 |
48 | 92-52-4 | Бифенил | 4,0 | |
49 | 120-51-4 | Бензилбензоат | 4,0 | |
50 | 88-85-7 | 2,4-Динитро-6-бутилфенол | 4,1 | |
51 | 120-82-1 | 1,2,4-трихлорбензол | 4,2 | |
52 | 143-07-7 | Додекановая кислота | 4,2 | 5,3 |
53 | 101-84-8 | Дифениловый эфир | 4,2 | |
54 | 85-01-8 | Фенантрен | 4,5 | |
55 | 104-51-8 | n-Бутилбензол | 4,6 | |
56 | 103-29-7 | Дибензил | 4,8 | |
57 | 3558-69-8 | 2,6-дифенилпиридин | 4,9 | |
58 | 206-44-0 | Флуорантен | 5,1 | |
59 | 603-34-9 | Трифениламин | 5,7 | |
60 | 50-29-3 | 1,1,1-Трихлор-2,2-бис(п-хлорфенил)этан (ДДТ) | 6,5 | |
4.4 Предварительная оценка коэффициента распределения
При необходимости, коэффициент распределения тестируемого вещества может быть оценен предпочтительно с использованием расчетного метода (см.
приложение А), или, где это приемлемо, путем использования отношения растворимости тестируемого вещества в чистом растворителе.
4.5 Оборудование
Требуется жидкофазовый хроматограф, оснащенный низкой импульсной накачкой и соответствующей системой детектирования. Для широкого диапазона значений химических групп применяются ультрафиолетовый детектор, используемый при длине волны 210 нм, или рефрактометрический детектор. Присутствие полярных групп в неподвижной фазе может оказать серьезное воздействие на характеристики колонны для ВЭЖХ, поэтому неподвижная фаза должна иметь минимальный процент полярных групп. Могут использоваться промышленные микрочастицы обратно-фазовой упаковки или готовые упакованные колонны (колонки фабричной упаковки). Предколонка (защитная колонка) может располагаться между инжекторной системой и аналитической колонкой.
4.6 Подвижная фаза
4.6.1 Для приготовления элюирующего растворителя (подвижной фазы) используют метанол, степень чистоты которого соответствует требованиям ВЭЖХ, и дистиллированную или деионизированную воду. Растворитель должен быть дегазирован. Необходимо применять режим изократического (т.е. при постоянном составе подвижной фазы) элюирования. Также необходимо использовать соотношение метанол/вода с минимальным содержанием воды 25%. Обычно соотношение 3:1 (по объему) смеси метанол/вода является достаточным для элюирования (вымывания) вещества с показателем logK равным шести в час при скорости потока 1 мл/мин. Для веществ с logK выше шести может понадобиться уменьшение времени элюирования (вымывания) вещества (и соответствующих референтных соединений) путем уменьшения полярности подвижной фазы или длины колонки.
4.6.2 Тестируемое вещество и референтные вещества должны растворяться в подвижной фазе в концентрациях, достаточных для их детектирования. В исключительных случаях, могут использоваться добавки в смеси с метанол/вода, однако они могут менять свойства колонны. В этом случае необходимо убедиться, что времена удерживания тестируемого и референтного веществ не влияют. Если смесь метанол/вода не подходит, то для этих целей могут использоваться другие органические водорастворимые смеси, например, этанол - вода, ацетонитрил - вода или изопропиловый спирт - вода.
4.6.3 Для неионизированных форм веществ важную роль играет значение pH элюента. Оно должно быть в рабочем диапазоне pH колонки, обычно между значениями два и восемь. Рекомендуется использование буферов. Необходимо соблюдать осторожность, во избежание осаждения солей и повреждения колонны которые проявляются с некоторыми органическими фазами/буферными смесями. Измерения ВЭЖХ с использованием стационарных фаз на основе диоксида кремния с показателем pH выше восьми как правило, не целесообразно, так как использование щелочной подвижной фазы может привести к быстрому ухудшению характеристик колонки.
4.7 Растворенное вещество (элюит)
Тестируемые и референтные вещества должны быть достаточно чистыми для установления пиков в хроматограммах для соответствующих веществ. Вещества, используемые для целей тестирования или калибровки, по возможности должны растворяться в подвижной фазе. Если используется другой растворитель, чем подвижная фаза, для растворения тестируемого и референтного веществ, то подвижная фаза должна использоваться для итогового разбавления перед инжекцией (впрыскиванием).
4.8 Условия проведения испытаний
4.8.1 Температура во время измерения должна варьироваться не более чем на +/- 1 °C.
4.8.2 Определение "мертвого времени" t0.
t0 может быть определено путем использования неудерживающихся органических веществ (например, тиомочевины или формамида). Более точно мертвое время может быть получено из времени удерживания, измеренного или установленного примерно семью членами гомологического ряда (например, н-алкил метил кетон). Временные сроки на удержание tR(nC + 1) графически наносятся напротив tR(nC), где nC - число атомов углерода. Затем получается прямая линия, tR(nC + 1) = A tR(nC) + (1 - A)t0, где A представляет собой константу k(nC + 1). t0 получается из отрезка на оси координат (1 - A)t0 и угла наклона A.
4.8.3 Корреляционное уравнение
Следующим шагом является нанесение logk как функции от logK для выбранного референтного вещества со значением logK близким к ожидаемому значению для тестируемого вещества. На практике, от шести до десяти референтных веществ инжектируются одновременно. Время удерживания определяется с возможным использованием записывающего интегратора, связанного с системой детектирования. Соответствующие логарифмы емкостного фактора logk, строятся как функция logK. Корреляционное уравнение представляется, как постоянный интервал, по крайней мере, один раз в день, таким образом, что могут быть приняты во внимание возможные изменения характеристик колонны.
4.9 Определение Kow тестируемого вещества
Тестируемое вещество инжектируется в количествах, самых низких для обнаружения. Время удерживания определяется в двух повторностях. Коэффициент распределения тестируемого вещества получается путем интерполяции рассчитанного емкостного фактора на калибровочном графике. Для очень низкого и высокого коэффициентов распределения необходима экстраполяция. Особенно в этих случаях внимание должно быть обращено на границы доверительного интервала линии регрессии.
5 Результаты и подготовка отчета
Отчет о проведении испытания должен содержать следующую информацию:
- если проводилась предварительная оценка коэффициента распределения, то оценочные значения и использованный метод; и если был использован расчетный метод, то его полное описание, включая определение базы данных и детальную информацию о выборе фрагментов;
- тестируемые и референтные вещества: чистота, структурная формула и номер CAS;
- описание оборудования и условия работы: аналитическая колонка, защитная колонка;
- подвижная фаза, средства обнаружения, температурный диапазон, pH;
- профиль вымывания (хроматограммы);
- "мертвое время" и как оно было измерено;
- время удерживания и значение logKow, взятые из литературы для ссылочных веществ, используемых для калибровки;
- детали соответствующей линии регрессии (logk, как функция logKow) и коэффициент корреляции линии, включая доверительные интервалы;
- средние данные удерживания и интерполируемое значение logKow для тестируемых веществ;
- в случае смесей: хроматографический профиль элюции с указанием отключений;
- значения logKow по отношению к проценту площади logKow пика;
- расчет с помощью линии регрессии;
- рассчитанные средневзвешенные значения logKow, при необходимости.
(справочное)
РАСЧЕТНЫЙ МЕТОД ОПРЕДЕЛЕНИЯ logKow
А.1 Введение
А.1.1 В этом приложении приводится краткое введение в расчет Kow.
А.1.2 Расчетные значения Kow используются для:
- определения того, какой экспериментальный метод необходимо использовать: метод встряхивания колбы для диапазона logKow между двух и четырех или метод ВЭЖХ с диапазоном logKow от ноля до шести;
- выбор условий, которые будут использоваться в высокоэффективной жидкостной хроматографии (референтные вещества, соотношение метанол/вода);
- проверки достоверности значений, полученных с помощью экспериментальных методов;
- предоставление оценки, когда экспериментальные методы не могут быть применены.
А.2 Принцип расчетного метода
Расчетный метод, предполагаемый здесь, основывается на теоретической фрагментации молекул в соответствующих подструктурах для которых известно надежное возрастание logKow. Данный logKow получают путем суммирования значений фрагментов и поправочных коэффициентов для внутримолекулярных взаимодействий.
А.3 Достоверность расчетных значений
В основном, достоверность расчетных методов уменьшается, если сложность изучаемых веществ увеличивается. В случае простых молекул с низкой молекулярной массой и с одной или двумя функциональными группами, может ожидаться отклонение от 0,1, до 0,3 величины logKow между результатами различных методов фрагментации и измеренными значениями. Такая допустимая погрешность будет зависеть от надежности констант используемого фрагмента, способности распознавания внутримолекулярных взаимодействия (например, водородные связи) и правильного использовании поправочных коэффициентов. В случае ионизированных веществ заряд и уровень ионизации должны быть приняты во внимание.
А.4
Фуджита - Ханша
Гидрофобную константу заместителя

, изначально введенную Фуджита, вычисляют по
формуле (А.1).

, (А.1)
где X - произвольное соединение
PhX - ароматическое производное соединение;
PhH - исходное вещество.

. (А.2)
Данный

представляет интерес в основном для ароматических веществ.
А.5 Метод Реккера
При использовании метода Реккера значение logKow вычисляют по формуле

, (А.3)
где fi - фрагмент константы;
Fj - поправочные коэффициенты;
ai, bj - соответствующая частота возникновения.
Перечень значения атомных и фрагментарных групп, а также поправочных коэффициентов были получены методом проб и ошибок на экспериментальных значениях logKow. Поправочные коэффициенты были разделены на несколько классов.
А.6 Смешанный метод
Расчет log
Kow сложных молекул может быть значительно улучшен, если молекулу разбить на более крупные подструктуры, для которых доступны надежные значения log
Kow либо из литературы, либо из существующих измерений. Такие фрагменты (например, гетероциклы, антрахинона, азобензола) могут затем сочетаться с

по Ханшу или с константами фрагмента Реккера.
А.7 Примечания:
- методы расчета применимы только к частично или полностью ионизированным веществам при условии учета необходимых поправочных коэффициентов;
- если можно предположить существование внутримолекулярных водородных связей, то должны быть добавлены соответствующие поправочные коэффициенты (примерно от плюс 0,6 до плюс 1,0 значений logKow). Указания на наличие таких связей могут быть получены из стереомоделей или спектроскопических данных;
- если возможны некоторые таутометрические формы, то для расчета должна использоваться наиболее распространенная;
- пересмотр перечней фрагментов констант должен тщательно отслеживаться.
[1] | C.V. Eadsforth and P. Moser. (1983). Assessment of Reverse Phase Chromatographic Methods for Determining Partition Coefficients. 12, 1459 |
| W. Klein, W.  , M. Weiss and H.J. Poremski. (1988). Updating of the OECD Test Guideline 107 Partition Coefficient n-Octanol-Water, OECD Laboratory Intercomparison Test on the HPLC Method. 17, 361 |
[3] | C.V. Eadsforth. (1986). Application of Reverse H.P.L.C. for the Determination of Partition Coefficient. 17, 311 |
[4] | H. Ellgehausen, C. D'Hondt and R. Fuerer. (1981). Reversed-phase chromatography as a general method for determining octan-1-ol/water partition coefficients. Pesticide. Science. 12, 219 |
[5] | B. McDuffie. Estimation of Octanol Water Partition Coefficients for Organic Pollutants Using Reverse Phase High Pressure Liquid Chromatography. (1981). 10, 73 |
[6] | OECD Guideline for Testing of Chemicals - Partition Coefficient (n-octanol/water): pH-metric Method for Ionisable Substances. Draft Guideline 122. November 2000 |
[7] | OSPAR (1995). Harmonised Offshore Chemicals Notification Format (HOCFN) 1995, Oslo and Paris Conventions for the Prevention of Marine Pollution Programmes and Measures Committee (PRAM), Annex 10, Oviedo, 20 - 24 February 1995 |
[8] | M. Thatcher, M. Robinson, L.R. Henriquez and C.C. Karman. (1999). An User Guide for the Evaluation of Chemicals Used and Discharged Offshore, A CIN Revised CHARM III Report 1999. Version 1.0, 3. August |
[9] | E.A. Vik, S. Bakke and K. Bansal. (1998). Partitioning of Chemicals. Important Factors in Exposure Assessment of Offshore Discharges. Vol. 13, pp. 529 - 537 |
[10] | L.O. Renberg, S.G. Sundstroem and K.  . (1980) Partition coefficients of organic chemicals derived from reversed-phase thin-layer chromatography. Evaluation of methods and application on phosphate esters, polychlorinated paraffins and some PCB-substitutes. 9, 683 |
[11] | W.E. Hammers, G.J.Meurs and C.L. De-Ligny. (1982). Correlations between liquid |
[12] | Chromatographic capacity ratio data on Lichrosorb RP-18 and partition coefficients in the octanol-water system. 247, 1 |
[13] | J.E. Haky and A.M. Young. (1984) Evaluation of a simple HPLC correlation method for the estimation of the octanol-water partition coefficients of organic compounds. 7, 675 |
[14] | S. Fujisawa and E. Masuhara. (1981). Determination of Partition Coefficients of Acrylates Methacrylates and Vinyl Monomers Using High Performance Liquid Chromatography. 15, 787 |
[15] | C. Hansch and A.J. Leo. (1979). Substituent Constants for Correlation Analysis in Chemistry and Biology. John Willey, New York |
[16] | C. Hansch, chairman; A.J. Leo, dir. (1982). Log P and Parameter Database: A tool for the quantitative prediction of bioactivity - Available from Pomona College Medical Chemistry Project, Pomona College, Claremont, California 91711 |
[17] | R.F. Rekker, H.M. de Kort. (1979). The hydrophobic fragmental constant: An extension to a 1000 data point set. - Chim. Ther. 14, 479 |
[18] | G.E. Berendsen, P.J. Schoenmakers, L. de Galan, G. Vigh, Z. Varga-Puchony, and J.  . (1980) On determination of hold-up time in reversed-phase liquid chromatography. 3, 1669 |
УДК 658.382.3:006.354 | |
Ключевые слова: химическая продукция, воздействие на окружающую среду, окружающая среда, водная среда, метод испытаний, коэффициент распределения, хроматография |