Главная // Актуальные документы // ГОСТ (Государственный стандарт)СПРАВКА
Источник публикации
М.: Стандартинформ, 2019
Примечание к документу
Документ
введен в действие с 01.08.2014.
Название документа
"ГОСТ 32460-2013. Межгосударственный стандарт. Пероксид водорода. Определение содержания в воде"
(введен в действие Приказом Росстандарта от 22.11.2013 N 825-ст)
"ГОСТ 32460-2013. Межгосударственный стандарт. Пероксид водорода. Определение содержания в воде"
(введен в действие Приказом Росстандарта от 22.11.2013 N 825-ст)
по техническому регулированию
и метрологии
от 22 ноября 2013 г. N 825-ст
МЕЖГОСУДАРСТВЕННЫЙ СТАНДАРТ
ПЕРОКСИД ВОДОРОДА
ОПРЕДЕЛЕНИЕ СОДЕРЖАНИЯ В ВОДЕ
Hydrogen peroxide. Determination in water
ГОСТ 32460-2013
Дата введения
1 августа 2014 года
Цели, основные принципы и общие правила проведения работ по межгосударственной стандартизации установлены
ГОСТ 1.0 "Межгосударственная система стандартизации. Основные положения" и
ГОСТ 1.2 "Межгосударственная система стандартизации. Стандарты межгосударственные, правила и рекомендации по межгосударственной стандартизации. Правила разработки, принятия, обновления и отмены"
1 РАЗРАБОТАН Федеральным бюджетным учреждением здравоохранения "Российский регистр потенциально опасных химических и биологических веществ" Федеральной службы по надзору в сфере защиты прав потребителей и благополучия человека (ФБУЗ "Российский регистр потенциально опасных химических и биологических веществ" Роспотребнадзора); Федеральным государственным унитарным предприятием "Всероссийский научно-исследовательский центр стандартизации, информации и сертификации сырья, материалов и веществ" (ФГУП "ВНИЦСМВ")
2 ВНЕСЕН Федеральным агентством по техническому регулированию и метрологии
3 ПРИНЯТ Межгосударственным советом по стандартизации, метрологии и сертификации (протокол от 14 ноября 2013 г. N 44)
За принятие проголосовали:
Краткое наименование страны по МК (ИСО 3166) 004-97 | Код страны по МК (ИСО 3166) 004-97 | Сокращенное наименование национального органа по стандартизации |
Азербайджан | AZ | Азстандарт |
Армения | AM | Минэкономики Республики Армения |
Беларусь | BY | Госстандарт Республики Беларусь |
Казахстан | KZ | Госстандарт Республики Казахстан |
Киргизия | KG | Кыргызстандарт |
Молдова | MD | Молдова-Стандарт |
Россия | RU | Росстандарт |
Таджикистан | TJ | Таджикстандарт |
Туркмения | TM | Главгосслужба "Туркменстандартлары" |
Узбекистан | UZ | Узстандарт |
Украина | UA | Минэкономразвития Украины |
4
Приказом Федерального агентства по техническому регулированию и метрологии от 22 ноября 2013 г. N 825-ст межгосударственный стандарт ГОСТ 32460-2013 введен в действие в качестве национального стандарта Российской Федерации с 1 августа 2014 г.
5 ВВЕДЕН ВПЕРВЫЕ
6 ПЕРЕИЗДАНИЕ. Май 2019 г.
Информация о введении в действие (прекращении действия) настоящего стандарта и изменений к нему на территории указанных выше государств публикуется в указателях национальных стандартов, издаваемых в этих государствах, а также в сети Интернет на сайтах соответствующих национальных органов по стандартизации.
В случае пересмотра, изменения или отмены настоящего стандарта соответствующая информация будет опубликована на официальном интернет-сайте Межгосударственного совета по стандартизации, метрологии и сертификации в каталоге "Межгосударственные стандарты"
Настоящий стандарт может быть применен для определения содержания пероксида водорода в оборотных водах и системах охлаждения оборудования, питьевой воде и пресной воде бассейнов и аквапарков при его массовой концентрации от 5,0 до 120 мкг/дм3 фотометрическим методом. Метод основан на ферментативной реакции пероксидазного окисления красителя лейкокристаллического фиолетового с образованием окрашенного соединения с максимумом поглощения при 591 нм. Использование ферментативной реакции позволяет определить пероксид водорода в присутствии других окислителей, поскольку (в условиях проведения анализа) в отсутствие пероксидазы пероксид водорода в реакцию с данным красителем не вступает.
Определение содержания пероксида водорода в воде необходимо, поскольку позволяет контролировать окислительно-восстановительное состояние вод. Например, присутствие пероксида водорода при массовой концентрации до 100 мкг/дм3 является признаком биологической полноценности природной воды. Отсутствие пероксида водорода в природной воде является признаком ухудшения биологического качества воды.
При анализе проб с массовой концентрацией вещества, превышающей верхний предел данного диапазона, необходимо разбавление исходной пробы воды дистиллированной водой. Методика может применяться в организациях и на предприятиях, осуществляющих контроль состояния вод разного типа.
В настоящем стандарте использованы нормативные ссылки на следующие межгосударственные стандарты:
ГОСТ 12.1.007 Система стандартов безопасности труда. Вредные вещества. Классификация и общие требования безопасности
ГОСТ 12.1.019 <1> Система стандартов безопасности труда. Электробезопасность. Общие требования и номенклатура видов защиты
--------------------------------
ГОСТ 199 Реактивы. Натрий уксуснокислый 3-водный. Технические условия
ГОСТ 1770 (ИСО 1042-83, ИСО 4788-80) Посуда мерная лабораторная стеклянная. Цилиндры, мензурки, колбы, пробирки. Общие технические условия
ГОСТ 3118 Реактивы. Кислота соляная. Технические условия
ГОСТ 6709 Вода дистиллированная. Технические условия
ГОСТ 10929 Реактивы. Водорода пероксид. Технические условия
ГОСТ 24104 Весы лабораторные. Общие технические требования <2>
--------------------------------
<2> В Российской Федерации действует
ГОСТ Р 53228-2008 "Весы неавтоматического действия. Часть 1. Метрологические и технические требования. Испытания".
ГОСТ 25336 Посуда и оборудование лабораторные стеклянные. Типы, основные параметры и размеры
ГОСТ 29227 (ИСО 835-1-81) Посуда лабораторная стеклянная. Пипетки градуированные. Часть 1. Общие требования
Примечание - При пользовании настоящим стандартом целесообразно проверить действие ссылочных стандартов и классификаторов на официальном интернет-сайте Межгосударственного совета по стандартизации, метрологии и сертификации (www.easc.by) или по указателям национальных стандартов, издаваемым в государствах, указанных в
предисловии, или на официальных сайтах соответствующих национальных органов по стандартизации. Если на документ дана недатированная ссылка, то следует использовать документ, действующий на текущий момент, с учетом всех внесенных в него изменений. Если заменен ссылочный документ, на который дана датированная ссылка, то следует использовать указанную версию этого документа. Если после принятия настоящего стандарта в ссылочный документ, на который дана датированная ссылка, внесено изменение, затрагивающее положение, на которое дана ссылка, то это положение применяется без учета данного изменения. Если документ отменен без замены, то положение, в котором дана ссылка на него, применяется в части, не затрагивающей эту ссылку.
3 Характеристики погрешности измерений
Относительная расширенная неопределенность измерений (при коэффициенте охвата 2) Uотн = 20%.
Примечание - Указанная неопределенность соответствует границам относительной суммарной погрешности +/- 20% при доверительной вероятности P = 0,95.
Измерение концентрации пероксида водорода в пробах воды основано на его взаимодействии с красителем лейкокристаллическим фиолетовым в присутствии пероксидазы. В результате реакции образуется окрашенное соединение с максимумом поглощения при 591 нм. Количественный анализ проводят на основе зависимости величины поглощения при 591 нм от массовой концентрации определяемого вещества в градуировочных растворах.
Градуировку проводят с помощью серии растворов пероксида водорода заданной концентрации.
5 Средства измерений, реактивы и материалы
Весы аналитические лабораторные типа ВЛА-200М 2-го класса точности по
ГОСТ 24104 или другие весы лабораторные.
UV-Vis Спектрофотометр Agilent 8453, зарегистрирован в государственном реестре средств измерений под N 15647-96 (сертификат US.C37.004.A N 7490).
Кюветы для спектрофотометра с толщиной слоя поглощения 1,0 см.
Колбы мерные: 2-1000-2, 2-500-2, 2-200-2, 2-100-2 по
ГОСТ 1770 с погрешностью +/- 0,80; +/- 0,50; +/- 0,20; +/- 0,20 см
3 соответственно.
Пипетки градуированные вместимостью 0,2, 1, 2, 5, 10 см
3 2-го класса точности 1-1-2-5 по
ГОСТ 29227.
Пробирки стеклянные градуированные с шлифованной пробкой вместимостью 10 мл по
ГОСТ 25336.
Склянки из темного стекла вместимостью 200 - 250 см3 для отбора проб воды.
Цилиндры мерные 2-500, 2-100, 2-25 по
ГОСТ 1770.
Палочки стеклянные длиной 12 - 16 см.
Примечание - Допускается применение других типов средств измерений с метрологическими и техническими характеристиками не ниже указанных.
Краситель лейкокристаллический фиолетовый (C25H31N3).
Пероксидаза (лиофилизированный порошок) по ТУ 6-09-10-850.
Кислота уксусная, фиксанал по ТУ 6-09-2540-72.
Натрий уксуснокислый 3-водный (ацетат натрия), ч.д.а., по
ГОСТ 199.
Примечание - Допускается применение реактивов, изготовленных по другой нормативно-технической документации, с квалификацией чистоты не ниже указанной.
6 Требования безопасности
6.1 Пероксид водорода в пробах природных вод анализируется с соблюдением требований безопасности, установленных в
[1].
6.2 При проведении работ по отбору проб следует руководствоваться требованиями безопасности в соответствии с
ГОСТ 12.1.007.
Эксплуатация спектрофотометра и проведение измерений требуют соблюдения правил электробезопасности в соответствии с
ГОСТ 12.1.019 и инструкцией по эксплуатации прибора.
7 Требования к квалификации персонала
7.1 К приготовлению градуировочных растворов допускаются лица, имеющие квалификацию химика, инженера- или техника-химика и опыт работы в химической лаборатории.
7.2 К выполнению измерений допускаются лица, имеющие квалификацию не ниже инженера-химика или химика, прошедшие соответствующие курсы обучения и стажировку в лабораториях, аккредитованных на выполнение анализов с применением данной методики.
7.3 Весь персонал должен пройти проверку знаний по технике безопасности, в том числе при работе в химической лаборатории, включая общие правила работы с едкими и токсичными веществами, правила пожарной безопасности и промышленной санитарии.
8 Условия выполнения измерений
8.1 Отбор проб, хранение и обращение с ними
8.1.1 Отбор и хранение проб выполняют в соответствии с
ГОСТ 31861. Объем отбираемой пробы должен составлять не менее 1000 см
3.
8.1.2 Пробу (исходную) отбирают в чистую склянку из темного стекла. Склянку с пробой воды снабжают этикеткой, на которой указывают номер и вид пробы, дату и место отбора.
8.1.3 Отобранную в точке отбора исходную пробу воды разделяют в лаборатории на параллельные пробы приблизительно одинакового объема (например, на две пробы приблизительно по 500 см3 или на большее количество - k проб, которые в дальнейшем считают параллельными пробами).
8.1.4 Пробы можно хранить до 3 сут при температуре от 0 °C до 5 °C.
8.1.5 Подготовку проб и приготовление растворов проводят в вытяжном шкафу при температуре окружающего воздуха 18 °C - 22 °C.
8.1.6 Подготовленные пробы перед проведением обработки выдерживают не менее 1 ч при температуре окружающего воздуха 18 °C - 22 °C, после чего фильтруют.
8.2 Подготовка к выполнению измерений
8.2.1 Условия выполнения измерений
При выполнении измерений соблюдают следующие условия: температура окружающего воздуха (20 +/- 5) °C; атмосферное давление 84,0 - 106,7 кПа (630 - 800 мм рт. ст.); относительная влажность воздуха ниже 85% при 25 °C; напряжение в сети питания переменного тока (220 +/- 22) В; концентрации мешающих определению и агрессивных компонентов в воздухе не должны превышать предельно допустимых концентраций для воздуха рабочей зоны.
8.2.2 Подготовка посуды
Стеклянную посуду перед употреблением тщательно моют горячей водой с содой, ополаскивают водопроводной, а затем дистиллированной водой.
8.2.3 Приготовление растворов
8.2.3.1 Основной раствор пероксида водорода (раствор I) 0,005 моль/дм3
0,5 см3 концентрированного раствора пероксида водорода разбавляют дистиллированной водой в мерной колбе на 1000 см3. Раствор хранят при температуре 3 °C - 5 °C в течение одного месяца.
Примечание - Содержание пероксида водорода в исходном растворе определяют спектрофотометрически. К 0,5 см3 исходного раствора добавляют 9,5 см3 дистиллированной воды и измеряют оптическую плотность полученного раствора при 300 нм в кювете толщиной 1,0 см по отношению к дистиллированной воде (D300). Исходную концентрацию пероксида водорода (Cисх, моль/дм3) определяют по формуле Cисх = 20D300.
8.2.3.2 Рабочий раствор пероксида водорода (раствор II) 1·10-5 моль/дм3
0,5 см3 раствора I разбавляют дистиллированной водой в мерной колбе на 250 см3. Готовят непосредственно перед анализом.
8.2.3.3 Ацетатный буферный раствор 0,1 моль/дм
3, pH 4,5
В мерную колбу вместимостью 500 см3 помещают 177 см3 раствора ацетата натрия (концентрация 0,1 моль/дм3 или 13,7 г/дм3) и доводят до метки раствором уксусной кислоты (концентрация 0,1 моль/дм3), приготовленным из фиксанала. Буферный раствор хранят при комнатной температуре в течение недели.
8.2.3.4 Раствор красителя лейкокристаллического фиолетового
50 мг красителя переносят в мерную колбу на 100 см3, добавляют 1,1 мл концентрированной соляной кислоты и доводят объем до 100 см3 дистиллированной водой. Раствор хранят при температуре 3 °C - 5 °C.
8.2.3.5 Раствор пероксидазы 0,04%
10 мг пероксидазы растворяют в 25 см
3 ацетатного буферного раствора (см.
8.2.3.3). Раствор можно хранить в течение двух недель при температуре 3 °C - 5 °C.
8.2.3.6 Градуировочные растворы
Градуировочные растворы готовят непосредственно перед каждой серией анализов в пробирках вместимостью 10 см
3 (под серией понимают измерения, выполненные в течение одного рабочего дня). В пронумерованные пробирки помещают по 5 см
3 дистиллированной воды (
V1), добавляют по 1 см
3 ацетатного буферного раствора pH 4,5 (
Vбуф), по 0,2 см
3 раствора красителя лейкокристаллического фиолетового (
Vкр) и определенный объем (см.
таблицу 1) рабочего раствора пероксида водорода (раствор II, 1·10
-5 моль/дм
3). Добавляют по 0,2 см
3 раствора пероксидазы (
Vферм) и доводят до 10 см
3 дистиллированной водой (
V2). Фотометрируют через 15 мин.
Таблица 1
Характеристика градуировочных растворов
N | V1, см3 | V2, см3 | Vбуф, см3 | Vкр, см3 | Vферм, см3 | Vр-ра II, см3 | C (H2O2), мкмоль/дм3 | C (H2O2), мкг/дм3 |
0 | 5,0 | 3,6 | 1,0 | 0,2 | 0,2 | 0,00 | 0,0 | 0,0 |
1 | 5,0 | 3,4 | 1,0 | 0,2 | 0,2 | 0,2 | 0,2 | 6,8 |
2 | 5,0 | 3,2 | 1,0 | 0,2 | 0,2 | 0,4 | 0,4 | 13,6 |
3 | 5,0 | 3,0 | 1,0 | 0,2 | 0,2 | 0,6 | 0,6 | 20,4 |
4 | 5,0 | 2,8 | 10,0 | 0,2 | 0,2 | 0,8 | 0,8 | 27,2 |
5 | 5,0 | 2,6 | 1,0 | 0,2 | 0,2 | 1,0 | 1,0 | 34,0 |
6 | 5,0 | 2,1 | 1,0 | 0,2 | 0,2 | 1,5 | 1,5 | 51,0 |
7 | 5,0 | 1,6 | 1,0 | 0,2 | 0,2 | 2,0 | 2,0 | 68,0 |
8 | 5,0 | 1,1 | 1,0 | 0,2 | 0,2 | 2,5 | 2,5 | 85,0 |
9 | 5,0 | 0,6 | 1,0 | 0,2 | 0,2 | 3,0 | 3,0 | 102,0 |
В
таблице 1 указаны данные для приготовления градуировочных растворов с заданным значением массовой концентрации определяемого вещества. Указанные в
таблице аликвоты отбирают соответствующими пипетками по
5.1. Время хранения градуировочных растворов не может превышать одного дня.
Относительная погрешность приготовления градуировочных растворов не превышает +/- 4%.
8.2.4 Подготовка спектрофотометра (колориметра) к работе
Включают и настраивают спектрофотометр (колориметр) в соответствии с инструкцией по эксплуатации и описанием, прилагаемым к прибору. Кюветы перед измерением промывают несколько раз дистиллированной водой.
8.2.5 Проведение градуировки
Приготовленные градуировочные растворы фотометрируют в последовательности 1, 2, 3, 4, 5, 6, 7, 8, 9, измеряя оптическую плотность при 591 нм относительно раствора 0. Толщина поглощающего слоя 1,0 см.
Проводят три параллельных измерения для каждого раствора, заливая в кюветы новые порции раствора. Вычисляют средние значения оптической плотности каждого раствора как среднее арифметическое результатов трех измерений.
Результаты параллельных измерений оптической плотности признают приемлемыми при выполнении для каждого раствора условия

, (1)
где Dmax, Dmin и D - наибольшее, наименьшее и среднее значения оптической плотности раствора соответственно;
KD - норматив (соответствующий вероятности P = 0,95), %;
KD = 10%.
При невыполнении этого условия необходимо выявить причины низкой сходимости результатов измерений, устранить их, после чего повторить измерения.
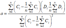
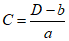
Далее при компьютерной обработке результатов измерений проводят вычисление коэффициентов линейной регрессии для определения градуировочной зависимости для данного диапазона вида
D = a·C + b,
где a и b - эмпирические коэффициенты. Коэффициенты a и b определяют по следующим формулам:

, (2)

, (3)
где Di - среднее значение оптической плотности для i-го градуировочного раствора;
Ci - массовая концентрация определяемого вещества в
i-м градуировочном растворе согласно
таблице 1;
n - количество градуировочных растворов.
Коэффициенты a и b и статистические характеристики могут быть определены с помощью специального или стандартного программного обеспечения. В условиях автоматической обработки данных с помощью приборного программного обеспечения градуировочная зависимость может быть определена и другими статистическими и математическими методами.
Градуировочную зависимость признают приемлемой при выполнении условия

, (4)
где

- величина оптической плотности, полученная расчетным путем по градуировочной характеристике, исходя из известного значения массовой концентрации определяемого вещества в
i-м градуировочном растворе
Ci, мг/дм
3;
B = 8%.
9.1 В две пробирки вместимостью 10 см3 помещают по 5 см3 пробы воды, добавляют в каждую пробирку по 1 см3 ацетатного буферного раствора pH 4,5 и по 0,2 см3 раствора красителя лейкокристаллического фиолетового. В одну из пробирок добавляют 0,2 см3 раствора пероксидазы, затем дистиллированной водой доводят объемы растворов в пробирках до 10 см3. Через 15 мин растворы фотометрируют при 591 нм.
Параллельная проба (без фермента) необходима для определения эквивалентной концентрации окислителей, способных вступать во взаимодействие с красителем в отсутствие пероксидазы.
9.2 Измеряют значения оптической плотности, как и в случае проведения градуировки, при 591 нм относительно раствора сравнения, состав которого приведен в
таблице 1 (раствор N 0). Оптическую плотность каждого раствора измеряют три раза, вычисляют среднее арифметическое значение оптической плотности для каждого из анализируемых растворов (
D1 и
D2). Результаты трех измерений оптической плотности признают приемлемыми при выполнении
условия (1).
При каждом анализе проводят измерения массовой концентрации по двум (или трем) параллельно отобранным пробам. При выполнении серии анализов (более 10 - 20 проб) проводят процедуру рандомизации: очередность анализа проб определяют с помощью ряда случайных чисел таким образом, чтобы параллельные пробы анализировались в разное время и в разной последовательности.
10 Обработка результатов измерений
Из среднего значения оптической плотности раствора, анализируемого на содержание пероксида водорода (D1), вычитают значение оптической плотности (D2) параллельной пробы, в которую не добавляли пероксидазу.
По градуировочной зависимости для значения D = (D1 - D2) находят массовую концентрацию пероксида водорода в каждой (ниже - j-й) пробе, мкг/дм3, используя формулу

. (5)
Для определения содержания других окислителей (кроме H
2O
2) по
формуле (5) подставляют значение
D =
D2 (оптическая плотность раствора, в который пероксидаза не была добавлена).
Вычисляют среднее значение массовой концентрации определяемого вещества для k параллельно отобранных и проанализированных проб воды

(6)
Результаты измерений Cj признают приемлемыми при выполнении условия

, (7)
где

и

- максимальное и минимальное значения массовой концентрации определяемого вещества (пероксид водорода) в
k параллельно отобранных пробах воды, мкг/дм
3;
dn - норматив (соответствующий вероятности P = 0,95), %.
Для двух проб dn = 12%; для трех - dn = 15%.
11 Оформление результатов измерений
Результат измерения массовой концентрации определяемого вещества представляют в следующем виде

. (8)
12 Контроль погрешности измерений
Контроль проводят в целях оценки возможности применения данной методики для вод, ранее не подвергавшихся анализу, а также при сомнении в результатах измерений.
Для контроля отбирают удвоенное количество воды (четыре пробы). Две пробы анализируют согласно
разделам 9 -
11, получая результат измерений

. В две другие пробы добавляют раствор пероксида водорода, формируя добавки Д, мкг/дм
3, размер которых должен быть в интервале

. Получают результат измерений для проб с добавкой

.
Результат контроля признается удовлетворительным (для P = 0,90) при выполнении условия

, (9)
R = 18%.
| Правила по технике безопасности при производстве наблюдений и работ на сети Госкомгидромета. Л.: Гидрометеоиздат, 1983 |
УДК 661.7:006.86:547.626:006.354 | |
Ключевые слова: пероксид водорода, вода, спектрофотометр |