Главная // Актуальные документы // ГОСТ (Государственный стандарт)СПРАВКА
Источник публикации
М.: Стандартинформ, 2019
Примечание к документу
Документ включен в
Перечень международных и региональных (межгосударственных) стандартов, а в случае их отсутствия - национальных (государственных) стандартов, содержащих правила и методы исследований (испытаний) и измерений, в том числе правила отбора образцов, необходимые для применения и исполнения требований технического
регламента Таможенного союза "О безопасности продукции, предназначенной для детей и подростков" (ТР ТС 007/2011) и осуществления оценки соответствия объектов технического регулирования (
Решение Коллегии Евразийской экономической комиссии от 14.03.2023 N 31).
Документ включен в
Перечень документов в области стандартизации, содержащих правила и методы исследований (испытаний) и измерений, в том числе правила отбора образцов, необходимые для применения и исполнения технического
регламента Таможенного союза "О безопасности продукции, предназначенной для детей и подростков" (ТР ТС 007/2011) и осуществления оценки соответствия объектов технического регулирования (
Решение Комиссии Таможенного союза от 23.09.2011 N 797).
Документ
введен в действие с 01.07.2014.
Название документа
"ГОСТ 32091-2013. Межгосударственный стандарт. Посуда керамическая. Метод определения термостойкости"
(введен в действие Приказом Росстандарта от 11.06.2014 N 592-ст)
"ГОСТ 32091-2013. Межгосударственный стандарт. Посуда керамическая. Метод определения термостойкости"
(введен в действие Приказом Росстандарта от 11.06.2014 N 592-ст)
Введен в действие
по техническому регулированию
и метрологии
от 11 июня 2014 г. N 592-ст
МЕЖГОСУДАРСТВЕННЫЙ СТАНДАРТ
ПОСУДА КЕРАМИЧЕСКАЯ
МЕТОД ОПРЕДЕЛЕНИЯ ТЕРМОСТОЙКОСТИ
Ceramic ware. Method of thermoresistivity determinations
ГОСТ 32091-2013
Дата введения
1 июля 2014 года
Цели, основные принципы и общие правила проведения работ по межгосударственной стандартизации установлены
ГОСТ 1.0 "Межгосударственная система стандартизации. Основные положения" и
ГОСТ 1.2 "Межгосударственная система стандартизации. Стандарты межгосударственные, правила и рекомендации по межгосударственной стандартизации. Правила разработки, принятия, обновления и отмены"
1 ПОДГОТОВЛЕН Техническим комитетом по стандартизации ТК 412 "Текстиль", Открытым акционерным обществом "Всероссийский научно-исследовательский институт сертификации" (ОАО "ВНИИС")
2 ВНЕСЕН Федеральным агентством по техническому регулированию и метрологии
3 ПРИНЯТ Межгосударственным советом по стандартизации, метрологии и сертификации (протокол от 6 - 7 июня 2013 г. N 43)
За принятие проголосовали:
Краткое наименование страны по МК (ИСО 3166) 004-97 | Код страны по МК (ИСО 3166) 004-97 | Сокращенное наименование национального органа по стандартизации |
Азербайджан | AZ | Азстандарт |
Армения | AM | Минэкономики Республики Армения |
Беларусь | BY | Госстандарт Республики Беларусь |
Грузия | GE | Грузстандарт |
Казахстан | KZ | Госстандарт Республики Казахстан |
Киргизия | KG | Кыргызстандарт |
Молдова | MD | Молдова-Стандарт |
Россия | RU | Росстандарт |
Таджикистан | TJ | Таджикстандарт |
Туркмения | TM | Главгосслужба "Туркменстандартлары" |
Узбекистан | UZ | Узстандарт |
Украина | UA | Минэкономразвития Украины |
4
Приказом Федерального агентства по техническому регулированию и метрологии от 11 июня 2014 г. N 592-ст ГОСТ 32091-2013 введен в действие непосредственно в качестве национального стандарта Российской Федерации с 1 июля 2014 г.
5 Настоящий стандарт подготовлен на основе применения ГОСТ Р 53546-2009
6 ВВЕДЕН ВПЕРВЫЕ
7 ПЕРЕИЗДАНИЕ. Сентябрь 2019 г.
Информация о введении в действие (прекращении действия) настоящего стандарта и изменений к нему на территории указанных выше государств публикуется в указателях национальных стандартов, издаваемых в этих государствах, а также в сети Интернет на сайтах соответствующих национальных органов по стандартизации.
В случае пересмотра, изменения или отмены настоящего стандарта соответствующая информация будет опубликована на официальном интернет-сайте Межгосударственного совета по стандартизации, метрологии и сертификации в каталоге "Межгосударственные стандарты"
Настоящий стандарт распространяется на керамическую (фарфоровую, полуфарфоровую, фаянсовую, майоликовую, каменную керамическую, гончарную, из костяного фарфора) посуду и изделия хозяйственного назначения, предназначенные для приготовления, подачи к столу, сервировки и хранения продуктов питания и напитков (далее - изделия), и устанавливает метод определения их термостойкости.
Сущность метода заключается в нагревании и охлаждении изделий до появления видимых невооруженным глазом трещин глазурного и декоративного покрытий и в определении разности температур нагретого и охлажденного образца, при которой возникли трещины.
В настоящем стандарте использована нормативная ссылка на следующий стандарт:
ГОСТ 28498 Термометры жидкостные стеклянные. Общие технические требования. Методы испытаний
Примечание - При пользовании настоящим стандартом целесообразно проверить действие ссылочных стандартов и классификаторов на официальном интернет-сайте Межгосударственного совета по стандартизации, метрологии и сертификации (www.easc.by) или по указателям национальных стандартов, издаваемым в государствах, указанных в
предисловии, или на официальных сайтах соответствующих национальных органов по стандартизации. Если на документ дана недатированная ссылка, то следует использовать документ, действующий на текущий момент, с учетом всех внесенных в него изменений. Если заменен ссылочный документ, на который дана датированная ссылка, то следует использовать указанную версию этого документа. Если после принятия настоящего стандарта в ссылочный документ, на который дана датированная ссылка, внесено изменение, затрагивающее положение, на которое дана ссылка, то это положение применяется без учета данного изменения. Если ссылочный документ отменен без замены, то положение, в котором дана ссылка на него, применяется в части, не затрагивающей эту ссылку.
3 Аппаратура, материалы и реактивы
3.1 Термостат воздушный с диапазоном автоматического регулирования температуры от 60 °C до 350 °C и с погрешностью регулирования не более +/- 2 °C в соответствии с нормативными документами.
3.2 Резервуар для охлаждающей жидкости вместимостью не менее 100 л, в котором обеспечены приток воды в непосредственной близости от дна и сток у верхнего края с объемным расходом воды не менее 2,0·10-2 дм3/с. Внутри резервуара на высоте 30 мм от дна помещается проволочная сетка для установки образцов.
3.3 Термометр по
ГОСТ 28498 с пределом измерения 100 °C и ценой деления не более 1 °C.
3.4 Секундомер по нормативным документам.
3.5 Щипцы из термостойкого материала.
3.6 Краситель - 1%-ный раствор фуксина или 1%-ный раствор метиленового голубого.
Для испытания отбирают пять неповрежденных изделий одного вида и размера.
5.1 Испытуемые образцы устанавливают в предварительно нагретый до температуры от 100 °C до 110 °C термостат так, чтобы они не касались его стенок, и выдерживают с момента установления температуры испытания в течение (1200 +/- 60) с.
5.2 Образцы извлекают из термостата щипцами и погружают в резервуар с водой, имеющей температуру (20 +/- 5) °C, с добавкой красителя. Точность поддержания температуры охлаждающей воды должна быть не менее +/- 2 °C. Продолжительность перемещения образца из термостата в резервуар с охлаждающей жидкостью должна быть не более 10 с. При установке в резервуар образцы не должны прикасаться к стенкам, при этом необходимо обеспечить, чтобы полые сосуды заполнились водой. Время охлаждения образцов составляет (65 +/- 5) с.
5.3 После охлаждения образцы вынимают из резервуара и визуально определяют наличие или отсутствие трещин глазурного или декоративного покрытия на образцах.
5.4 Неповрежденные образцы обмывают, вытирают насухо и вновь устанавливают в термостат, нагретый до температуры от 110 °C до 120 °C.
Нагревание и охлаждение образцов повторяют до появления трещин на глазурном или декоративном покрытии. Температуру нагревания термостата каждый раз повышают на 10 °C.
5.5 Испытание прекращают после появления трещин на всех испытуемых образцах.
6 Обработка результатов испытания
6.1 Показатель термостойкости
i-го образца

, °C, вычисляют по формуле

, (1)
где TTi - температура термостата, при которой появилась трещина на образце, °C;
TB - температура охлаждающей жидкости в резервуаре, °C;
10 - разность температур термостата между последующим и предыдущим испытаниями, °C.
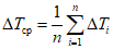
6.2 Среднее арифметическое значение показателя термостойкости

, °C, вычисляют по формуле

, (2)
где n - число образцов;

- показатель термостойкости
i-го образца, °C.
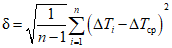
6.3 Разброс значений показателя термостойкости характеризуется отклонением

, которое вычисляют по формуле

, (3)
где

- показатель термостойкости
i-го (каждого) образца, °C;

- среднее арифметическое показателя термостойкости, °C;
n - число образцов.
7 Оформление результатов испытания
Результаты испытаний должны быть занесены в рабочий журнал, в котором следует указать следующие данные:
- идентификацию испытуемого изделия;
- дату изготовления и наименование изготовителя продукции;
- вместимость или размер изделия, отобранного для испытания;
- количество и способ отбора испытанных образцов;
- среднее арифметическое значение показателя термостойкости;
- отклонение

;
- фамилию и подпись контролера;
- обозначение настоящего стандарта.
УДК 666.3.017:006.354 | |
Ключевые слова: посуда керамическая, термостойкость, испытание, метод, результат, протокол |