Главная // Актуальные документы // ГОСТ (Государственный стандарт)СПРАВКА
Источник публикации
М.: Стандартинформ, 2014
Примечание к документу
Документ
введен в действие с 01.09.2014.
Взамен ГОСТ 14839.18-69.
Название документа
"ГОСТ 14839.18-2013. Межгосударственный стандарт. Вещества взрывчатые промышленные. Методы определения плотности"
(введен в действие Приказом Росстандарта от 18.02.2014 N 26-ст)
"ГОСТ 14839.18-2013. Межгосударственный стандарт. Вещества взрывчатые промышленные. Методы определения плотности"
(введен в действие Приказом Росстандарта от 18.02.2014 N 26-ст)
Приказом Федерального
агентства по техническому
регулированию и метрологии
от 18 февраля 2014 г. N 26-ст
МЕЖГОСУДАРСТВЕННЫЙ СТАНДАРТ
ВЕЩЕСТВА ВЗРЫВЧАТЫЕ ПРОМЫШЛЕННЫЕ
МЕТОДЫ ОПРЕДЕЛЕНИЯ ПЛОТНОСТИ
Commercial explosives. Density determination methods
ГОСТ 14839.18-2013
Дата введения
1 сентября 2014 года
Цели, основные принципы и основной порядок проведения работ по межгосударственной стандартизации установлены
ГОСТ 1.0-92 "Межгосударственная система стандартизации. Основные положения" и
ГОСТ 1.2-2009 "Межгосударственная система стандартизации. Стандарты межгосударственные, правила и рекомендации по межгосударственной стандартизации. Правила разработки, принятия, применения, обновления и отмены".
1. Разработан Открытым акционерным обществом "Государственный научно-исследовательский институт "Кристалл" (ОАО "ГосНИИ "Кристалл").
2. Внесен Федеральным агентством по техническому регулированию и метрологии (Росстандарт).
3. Принят Межгосударственным советом по стандартизации, метрологии и сертификации (Протокол от 14 ноября 2013 г. N 44).
За принятие проголосовали:
Краткое наименование страны по МК (ИСО 3166) 004-97 | Код страны по МК (ИСО 3166) 004-97 | Сокращенное наименование национального органа по стандартизации |
Армения | AM | Минэкономики Республики Армения |
Беларусь | BY | Госстандарт Республики Беларусь |
Киргизия | KG | Кыргызстандарт |
Россия | RU | Росстандарт |
Таджикистан | TJ | Таджикстандарт |
4. Приказом Федерального агентства по техническому регулированию и метрологии от 18 февраля 2014 г. N 26-ст межгосударственный стандарт ГОСТ 14839.18-2013 введен в действие в качестве национального стандарта Российской Федерации с 1 сентября 2014 г.
5. Взамен ГОСТ 14839.18-69.
Информация об изменениях к настоящему стандарту публикуется в ежегодном информационном указателе "Национальные стандарты", а текст изменений и поправок - в ежемесячном информационном указателе "Национальные стандарты". В случае пересмотра (замены) или отмены настоящего стандарта соответствующее уведомление будет опубликовано в ежемесячном информационном указателе "Национальные стандарты". Соответствующая информация, уведомление и тексты размещаются также в информационной системе общего пользования - на официальном сайте Федерального агентства по техническому регулированию и метрологии в сети Интернет.
Настоящий стандарт распространяется на промышленные взрывчатые вещества (ВВ), изготовляемые:
- в виде патронов из порошкообразных и эмульсионных ВВ;
- в непатронированном виде (эмульсионные ВВ, изготовляемые на горнодобывающих предприятиях, и гранулированные ВВ);
- в виде литых и прессованных шашек и шашек-детонаторов (далее - шашки).
Стандарт устанавливает следующие методы определения плотности:
- по объему вытесненной воды;
- гидростатическим взвешиванием;
- путем измерения диаметра и высоты;
- гравиметрический;
- пикнометрический.
В настоящем стандарте использованы нормативные ссылки на следующие стандарты:
ГОСТ 1770-74 (ИСО 1042-83, ИСО 4788-80). Посуда мерная лабораторная стеклянная. Цилиндры, мензурки, колбы, пробирки. Общие технические условия
ГОСТ 4517-87. Реактивы. Методы приготовления вспомогательных реактивов и растворов, применяемых при анализе
ГОСТ 12026-76. Бумага фильтровальная лабораторная. Технические условия
ГОСТ 14839.0-91 <*>. Вещества взрывчатые промышленные. Приемка и отбор проб
--------------------------------
<*> На территории Российской Федерации действует ГОСТ Р 50843-95.
ГОСТ 18300-87. Спирт этиловый ректификованный технический. Технические условия
ГОСТ 25336-82. Посуда и оборудование лабораторные стеклянные. Типы, основные параметры и размеры
ГОСТ 30037-93. Вещества взрывчатые. Общие требования к проведению химических и физико-химических методов анализа.
Примечание. При пользовании настоящим стандартом целесообразно проверить действие ссылочных стандартов в информационной системе общего пользования - на официальном сайте Федерального агентства по техническому регулированию и метрологии в сети Интернет или по ежегодному информационному указателю "Национальные стандарты", который опубликован по состоянию на 1 января текущего года, и по выпускам ежемесячного информационного указателя "Национальные стандарты" за текущий год. Если ссылочный стандарт заменен (изменен), то при пользовании настоящим стандартом следует руководствоваться заменяющим (измененным) стандартом. Если ссылочный стандарт отменен без замены, то положение, в котором дана ссылка на него, применяется в части, не затрагивающей эту ссылку.
3.1. Метод определения плотности ВВ по объему вытесненной воды основан на определении объема ВВ в патроне по объему воды, вытесненной патроном, масса которого предварительно определена. Метод применяется для определения плотности патронированных порошкообразных ВВ и эмульсионных ВВ.
3.2. Метод определения плотности ВВ гидростатическим взвешиванием основан на определении разности массы шашек в воздухе и воде. Метод применяется для определения плотности литых и прессованных шашек как без оболочки, так и в оболочке или в полимерном корпусе.
3.3. Метод определения плотности ВВ путем измерения диаметра и высоты основан на определении объема ВВ в предварительно взвешенном патроне. Метод применяется для определения плотности ВВ в патронах диаметром 45 мм и более в бумажной оболочке.
3.4. Гравиметрический метод определения плотности ВВ основан на определении массы ВВ при известном объеме. Метод применяется для определения плотности патронированных эмульсионных ВВ, кроме эмульсионных ВВ, содержащих газогенерирующую добавку, и непатронированных эмульсионных ВВ, изготовляемых на горнодобывающих предприятиях, а также для неводоустойчивых ВВ.
3.5. Пикнометрический метод определения плотности основан на определении массы воды, вытесненной навеской ВВ, масса которой предварительно определена. Метод применяется для определения плотности гранулированных непатронированных ВВ, не растворяющихся в воде.
3.6. Общие требования к проведению анализов (испытаний) - по ГОСТ 30037.
3.7. Анализы (испытания) проводят при комнатной температуре.
4. Требования безопасности
4.1. Все работы, связанные с испытаниями, должны проводиться в соответствии с действующими правилами эксплуатации предприятий и правилами защиты от статического электричества, а также правилами и инструкциями для контрольно-аналитических лабораторий, действующими на предприятиях - изготовителях и потребителях ВВ и согласованными и утвержденными в установленном порядке.
5.1. Отбор проб ВВ для проведения испытания проводят в соответствии с ГОСТ 14839.0 <*> и нормативной документацией (НД) на конкретное ВВ.
--------------------------------
<*> На территории Российской Федерации действует ГОСТ Р 50843-95.
6. Определение плотности ВВ по объему вытесненной воды
6.1. Средства измерений, оборудование, посуда, материалы и реактивы
Весы лабораторные с ценой деления (дискретностью отсчета) 0,1 г (при контроле патронов диаметром до 45 мм).
Весы лабораторные с ценой деления (дискретностью отсчета) 1 г (при контроле патронов диаметром 45 мм и более).
Термометр лабораторный стеклянный ртутный с ценой деления не более 1 °C.
Сосуд для определения объема вытесненной патроном воды, в качестве которого используют:
- цилиндр по
ГОСТ 1770 вместимостью 1000 или 2000 см3 (для патронов диаметром до 45 мм);
- сосуд металлический или стеклянный, размеры которого позволяют погружать в него испытуемый патрон и имеющий переливное отверстие со штуцером для слива воды, вытесняемой патроном.
Стакан или сосуд стеклянные по
ГОСТ 25336 вместимостью не менее 2000 см3 (в зависимости от размеров патрона) для сбора воды, вытесняемой патроном (далее - стакан).
6.2. Подготовка к анализу
Предназначенные для анализа патроны и воду выдерживают в помещении до принятия ими температуры (20 +/- 5) °C.
6.3. Проведение анализа
6.3.1. Патрон взвешивают, записывая результат взвешивания в граммах до первого десятичного знака. Патроны диаметром 45 мм и более взвешивают, записывая результат взвешивания в граммах до целого грамма.
6.3.2. Сосуд или цилиндр устанавливают на горизонтальную поверхность и наполняют водой.
Сосуд наполняют водой до краев. К проведению анализа приступают после того, как установится постоянный уровень воды в сосуде, что контролируют по отсутствию воды, вытекающей через переливное отверстие со штуцером.
6.3.3. Взвешенный патрон погружают в сосуд с водой. При этом он должен полностью находиться в воде, а расстояние между высшей точкой поверхности оболочки и зеркалом воды должно составлять не менее 20 мм.
При этом воду, вытесняемую патроном и выливающуюся через переливное отверстие со штуцером, собирают в предварительно взвешенный стакан. По окончании анализа, что контролируют по отсутствию воды, вытекающей через переливное отверстие со штуцером, стакан с водой, вытесненной патроном, взвешивают, записывая результат взвешивания в граммах с той же точностью, что и испытуемый патрон.
6.3.4. При использовании для определения плотности ВВ цилиндра взвешенный патрон погружают в него, как описано в
6.3.3, не более чем на 15 мин и измеряют объем воды, вытесненной патроном. Объем воды в цилиндре до и после погружения в него испытуемого патрона измеряют в состоянии покоя зеркала воды.
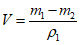
6.4. Обработка результатов
Плотность ВВ в патроне

, г/см3, вычисляют по формуле

, (1)
где m - масса патрона, г;
V - объем воды, вытесненной патроном, см3.
Объем воды, вытесненной патроном, V, см3, вычисляют по формуле (2) при его определении в сосуде или по
формуле (3) при его определении в цилиндре

, (2)

, (3)
где

- масса стакана с водой, вытесненной патроном, г;

- масса пустого стакана, г;

- плотность воды при температуре (20 +/- 5) °C, равная 1,00 г/см3;

- объем воды в цилиндре с погруженным в нее патроном, см3;

- объем воды в цилиндре до погружения патрона, см3.
Плотность определяют на четырех патронах от каждой партии; по результатам определений вычисляют среднее арифметическое значение, округляемое до сотой доли грамма на кубический сантиметр.
Результат каждого определения должен соответствовать норме, установленной в НД на конкретное ВВ.
Примечание. При определении плотностями бумажной гильзы, полиэтиленовой оболочки и влагоизолирующего покрытия пренебрегают.
7. Определение плотности ВВ гидростатическим взвешиванием
7.1. Средства измерений, оборудование, посуда, материалы и реактивы
Весы лабораторные равноплечие, обеспечивающие взвешивание шашек в граммах до первого десятичного знака.
Термометр лабораторный стеклянный ртутный с ценой деления не более 1 °C.
Стакан лабораторный стеклянный по
ГОСТ 25336 вместимостью от 400 до 2000 см3 (в зависимости от размеров шашки).
Подставка для стакана.
Проволока из цветного металла диаметром от 0,2 до 0,5 мм.
7.2. Подготовка к анализу
Предназначенные для анализа шашки и воду выдерживают в помещении до принятия ими температуры (20 +/- 5) °C.
7.3. Проведение анализа
7.3.1. Шашку взвешивают в воздухе.
Для этого ее подвешивают с помощью проволоки к крючку левого коромысла на высоте от 30 до 45 мм над чашей весов.
Для уравновешивания массы проволоки к крючку правого коромысла прикрепляют такой же по массе кусочек проволоки. Взвешивают и определяют массу шашки в воздухе. Здесь и далее взвешивание проводят с записью результатов взвешивания в граммах до первого десятичного знака.
7.3.2. Для определения массы шашки в воде пользуются теми же весами.
Подвешенную указанным способом к коромыслу весов шашку погружают в стакан с водой, установленный на подставку, исключающую соприкосновение стакана с чашей весов. Шашка не должна касаться дна и стенок стакана и должна быть полностью покрыта водой. Высота слоя воды над шашкой должна быть не менее 25 мм и регулироваться изменением объема воды в стакане. При наличии воздушных пузырьков на поверхности шашки их удаляют неоднократным погружением ее в воду и извлечением из воды.
Шашку взвешивают и определяют ее массу в воде.
7.3.3. При определении плотности ВВ в шашке в полимерном корпусе определяют его массу. Для этого полимерный корпус на взвешенной в воде шашке вытирают от воды, разрезают остро отточенным ножом из цветного металла и снимают с шашки. Полимерный корпус очищают от остатков ВВ и взвешивают, определяя массу полимерного корпуса в воздухе, а при вычислении плотности ВВ в шашке по
формуле (6) 7.4 полимерный корпус взвешивают и в воде, подвешивая к нему груз массой от 40 до 60 г.
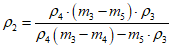
7.4. Обработка результатов
Плотность шашки

, г/см3, вычисляют по формуле (4) для шашек без оболочки или в бумажной оболочке, или из термоусадочной поливинилхлоридной пленки, или по
формулам (5) или
(6) - для шашек в полимерном корпусе

, (4)

, (5)

, (6)
где

- масса шашки в воздухе, г;

- плотность воды при температуре (20 +/- 5) °C, равная 1,00 г/см3;

- масса шашки в воде, г;

- номинальная плотность полимерного материала, используемого для изготовления полимерного корпуса, г/см3;

- масса полимерного корпуса в воздухе, г;

- масса полимерного корпуса с подвешенным грузом в воде, г;

- масса груза в воде, г.
Плотность определяют на четырех шашках от каждой партии, по результатам определений вычисляют среднее арифметическое значение, округляемое до сотой доли грамма на кубический сантиметр.
Результат каждого определения должен соответствовать норме, установленной в НД на конкретное ВВ.
Примечания
1. Плотность шашек определяют без оболочек из бумаги или термоусадочной поливинилхлоридной пленки.
2. Допускается массу полимерного корпуса принимать равной средней массе 12 пустых полимерных корпусов, а в процессе производственного контроля взвешивать пустой полимерный корпус до заливки в него ВВ с последующим взвешиванием на воздухе и в воде шашки в том же полимерном корпусе.
3. Допускается плотность шашек определять графическим методом по таблицам или номограммам, разработанным на предприятии - изготовителе шашек.
8. Определение плотности ВВ путем измерения диаметра
и высоты патронов
8.1. Средства измерений, вспомогательные устройства
Весы лабораторные с ценой деления (дискретностью отсчета) 1 г.
Штангенциркуль с отсчетом по нониусу 0,1 мм.
Линейка измерительная с ценой деления 1 мм.
Шаблон, изготовленный по диаметру патрона (далее - шаблон).
Кисточка.
8.2. Проведение анализа
8.2.1. Для определения плотности ВВ в патроне необходимо определить объем и массу ВВ в патроне.
Для определения объема ВВ в патроне измеряют диаметр и высоту патрона в соответствии с пунктами 8.2.2 и
8.2.3.
8.2.2. Диаметр патрона измеряют с помощью штангенциркуля в диаметрально противоположных направлениях в трех его частях - в середине и на расстоянии 5 - 6 см от торцов, записывая результат измерения в сантиметрах до первого десятичного знака.
По результатам шести измерений вычисляют среднее арифметическое значение, округляемое до десятой доли сантиметра.
Диаметр заряда определяют, вычитая из полученного результата удвоенную толщину гильзы.
8.2.3. Высоту патрона измеряют с помощью линейки не менее чем по трем образующим через 120°, записывая результаты измерений в сантиметрах до первого десятичного знака, и вычисляют среднее арифметическое значение.
Расхождение образующих через 120° контролируют по шаблону.
Высоту заряда определяют, вычитая из полученного результата удвоенную толщину гильзы на торцах заряда.
8.2.4. Для определения массы ВВ в патроне взвешивают патрон, записывая результат взвешивания в граммах до целого грамма. Затем ВВ высыпают из патрона, очищают гильзу кисточкой от остатков ВВ и взвешивают ее, записывая результат взвешивания в граммах до целого грамма. Разность между массой каждого патрона и массой его гильзы составляет массу ВВ в патроне.
8.3. Обработка результатов
Плотность ВВ в патроне

, г/см3, вычисляют по формуле

, (7)
где

- масса ВВ в патроне, г;

- объем ВВ в патроне, см3.
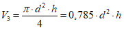
Объем ВВ в патроне

, см3, определяют по формуле

, (8)
где

- число "пи";
d - диаметр заряда, см;
h - высота заряда, см.
Плотность определяют на четырех патронах от каждой партии, по результатам определений вычисляют среднее арифметическое значение, округляемое до сотой доли грамма на кубический сантиметр.
Результат каждого определения должен соответствовать норме, установленной в НД на конкретное ВВ.
9. Гравиметрический метод определения плотности
9.1. Средства измерений, посуда, вспомогательные устройства
Весы лабораторные с ценой деления (дискретностью отсчета) 0,01 г.
Штангенциркуль с отсчетом по нониусу 0,1 мм.
Стакан из нержавеющей стали или алюминиевого сплава (далее - стакан) высотой от 70 до 80 мм и диаметром от 40 до 50 мм.
Шпатель из нержавеющей стали или алюминиевого сплава (далее - шпатель) размерами не более 20 x 150 мм.
Примечание. Допускается при определении плотности непатронированных эмульсионных ВВ, изготовляемых на горнодобывающих предприятиях, использовать:
- весы лабораторные с ценой деления (дискретностью отсчета) 1 г;
- стакан высотой от 100 до 300 мм и диаметром от 60 до 90 мм;
- шпатель шириной не более 20 мм и длиной от 150 до 300 мм.
9.2. Подготовка к анализу
Перед проведением анализа измеряют штангенциркулем внутренний диаметр и высоту стакана и вычисляют вместимость стакана

, см3, по формуле

, (9)
где

- число "пи";

- внутренний диаметр стакана, см;

- высота стакана, см.
Результат вычисления вместимости стакана записывают с точностью до сотой доли кубического сантиметра.
Допускается определять вместимость стакана гравиметрическим методом в соответствии с
Приложением А.
9.3. Проведение анализа
9.3.1. Пустой стакан взвешивают. Здесь и далее в тексте взвешивание проводят с записью результата взвешивания в граммах до второго десятичного знака при использовании весов с ценой деления (дискретностью отсчета) 0,01 г или до целого грамма при использовании весов с ценой деления (дискретностью отсчета) 1 г. Стакан заполняют доверху ВВ, отобранным из пробы для анализа или непосредственно из смесительно-зарядной машины (при определении плотности ВВ, изготовляемых на горнодобывающих предприятиях). При заполнении стакан встряхивают или постукивают дном о подставку, чтобы ВВ равномерно заняло весь объем стакана. Затем выступающую часть ВВ удаляют шпателем, выравнивая поверхность по срезу стакана, и взвешивают стакан с ВВ.
9.3.2. При определении плотности эмульсионных ВВ, изготовляемых на горнодобывающих предприятиях с использованием газогенерирующей добавки, выравнивание поверхности ВВ в стакане проводят через 30 мин после заполнения стакана.
9.4. Обработка результатов
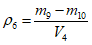
Плотность ВВ

, г/см3, вычисляют по формуле

, (10)
где

- масса стакана с ВВ, г;

- масса пустого стакана, г;

- вместимость стакана, вычисленная по
формуле (9), см3.
Проводят два параллельных определения, по результатам которых вычисляют среднее арифметическое значение, округляемое до сотой доли грамма на кубический сантиметр.
Расхождение между результатами параллельных определений не должно превышать предела повторяемости (сходимости), равного 0,03 г/см3 при доверительной вероятности 0,95.
Примечания
1. Допускается в НД на конкретное ВВ указывать другую точность округления среднего арифметического значения результатов двух параллельных определений и другое значение предела повторяемости (сходимости).
2. Допускается проводить одно определение при измерении плотности ВВ, изготовляемых на горнодобывающих предприятиях.
10. Пикнометрический метод определения плотности
10.1. Средства измерений, вспомогательное оборудование, посуда, материалы и реактивы
Весы лабораторные с ценой деления (дискретностью отсчета) 0,0001 г.
Термометр лабораторный стеклянный ртутный с ценой деления 0,2 °C.
Насос лабораторный водоструйный по
ГОСТ 25336 или вакуумный насос.
Термостат или баня водяная для термостатирования пикнометра.
Смесь хромовая (раствор бихромата калия с массовой долей 5% в серной кислоте), приготовленная по ГОСТ 4517
(пункт 2.152).
10.2. Подготовка к анализу
10.2.1. Подготовка пикнометра
Пикнометр промывают последовательно хромовой смесью, дистиллированной водой, этиловым спиртом, высушивают под струей воздуха и взвешивают. Здесь и далее взвешивание проводят с записью результатов взвешивания в граммах до четвертого десятичного знака.
10.3. Проведение анализа
10.3.1. Определение массы пикнометра с водой и ВВ
(15 +/- 3) г ВВ тщательно перемешивают, помещают в пикнометр, подготовленный по
10.2.1, заполняют водой так, чтобы уровень воды был на 1 - 2 см выше слоя ВВ.
Пикнометр с ВВ помещают в эксикатор, в котором с помощью водоструйного насоса создают вакуум 7 - 8 кПа (52 - 60 мм рт. ст.) и выдерживают в течение 10 - 15 мин для удаления пузырьков воздуха.
Допускается выдерживать пикнометр с ВВ в эксикаторе без вакуума. При этом время выдерживания должно быть не менее 30 мин.
Затем в пикнометр добавляют воду, не доводя ее уровень до отметки, и выдерживают в течение 30 мин в термостате или водяной бане при температуре (20,0 +/- 0,5) °C. Пикнометр погружают на такую глубину, чтобы уровень жидкости в термостате или бане находился на несколько миллиметров выше отметки пикнометра. По истечении 30 мин уровень воды в пикнометре доводят до отметки, вынимают его из термостата или бани, вытирают снаружи досуха фильтровальной бумагой и взвешивают.
10.3.2. Определение массы пикнометра с водой
Пикнометр, подготовленный по
10.2.1, заполняют водой, термостатируют и взвешивают, как описано в
10.3.1.
10.4. Обработка результатов
Плотность ВВ

, г/см3, вычисляют по формуле

, (11)
где

- масса навески ВВ, г;

- масса пикнометра с водой, г;

- масса пикнометра с водой и ВВ, г;

- плотность воды, г/см3.
Проводят два параллельных определения, по результатам которых вычисляют среднее арифметическое значение, округляемое до сотой доли грамма на кубический сантиметр.
Расхождение между результатами параллельных определений не должно превышать предела повторяемости (сходимости), равного 0,03 г/см3 при доверительной вероятности 0,95.
(обязательное)
ОПРЕДЕЛЕНИЕ ВМЕСТИМОСТИ СТАКАНА ГРАВИМЕТРИЧЕСКИМ МЕТОДОМ
А.1. Средства измерений, вспомогательное оборудование, материалы и реактивы
Весы лабораторные с ценой деления (дискретностью отсчета) 0,01 г.
Стакан в соответствии с
9.1.
Пластина из силикатного стекла размерами 100 x 100 мм и толщиной от 3 до 4 мм (далее - пластина).
А.2. Проведение анализа
Пустой сухой стакан вместе с пластиной взвешивают. Здесь и далее взвешивание проводят с записью результата взвешивания в граммах до второго десятичного знака.
Стакан заполняют дистиллированной водой комнатной температуры таким образом, чтобы поверхностное натяжение создавало выпуклую форму поверхности воды над краями стакана. Затем стакан с водой осторожно накрывают пластиной, следя за тем, чтобы под ней внутри стакана не образовывалось пузырей.
Стенки стакана и пластину вытирают досуха фильтровальной бумагой.
Стакан с водой и пластиной взвешивают.
А.3. Обработка результатов
Вместимость стакана V, см3, вычисляют по формуле

, (А.1)
где

- масса стакана с водой и пластиной, г;

- масса пустого стакана с пластиной, г;

- плотность воды при температуре (20 +/- 5) °C, равная 1,00 г/см3.
Проводят три параллельных определения, по результатам которых вычисляют среднее арифметическое значение, округляемое до сотой доли кубического сантиметра.
Расхождение между результатами наиболее отличающихся значений определений (крайних) не должно превышать предела повторяемости (сходимости), равного 0,03 см3 при доверительной вероятности 0,95.