Главная // Актуальные документы // ГОСТ (Государственный стандарт)СПРАВКА
Источник публикации
М.: Стандартинформ, 2014
Примечание к документу
Документ
введен в действие с 01.09.2014.
Взамен ГОСТ 14839.13-69.
Название документа
"ГОСТ 14839.13-2013. Межгосударственный стандарт. Вещества взрывчатые промышленные. Методы определения водоустойчивости"
(введен в действие Приказом Росстандарта от 18.02.2014 N 27-ст)
"ГОСТ 14839.13-2013. Межгосударственный стандарт. Вещества взрывчатые промышленные. Методы определения водоустойчивости"
(введен в действие Приказом Росстандарта от 18.02.2014 N 27-ст)
Приказом Федерального
агентства по техническому
регулированию и метрологии
от 18 февраля 2014 г. N 27-ст
МЕЖГОСУДАРСТВЕННЫЙ СТАНДАРТ
ВЕЩЕСТВА ВЗРЫВЧАТЫЕ ПРОМЫШЛЕННЫЕ
МЕТОДЫ ОПРЕДЕЛЕНИЯ ВОДОУСТОЙЧИВОСТИ
Commercial explosives. Methods
of waterproofness determination
ГОСТ 14839.13-2013
Дата введения
1 сентября 2014 года
Цели, основные принципы и основной порядок проведения работ по межгосударственной стандартизации установлены
ГОСТ Р 1.0-92 "Межгосударственная система стандартизации. Основные положения" и
ГОСТ 1.2-2009 "Межгосударственная система стандартизации. Стандарты межгосударственные, правила и рекомендации по межгосударственной стандартизации. Правила разработки, принятия, применения, обновления и отмены".
1. Разработан Открытым акционерным обществом "Государственный научно-исследовательский институт "Кристалл" (ОАО "ГосНИИ "Кристалл").
2. Внесен Федеральным агентством по техническому регулированию и метрологии (Росстандарт) (Технический комитет по стандартизации ТК 105 "Взрывчатые материалы и изделия на их основе").
3. Принят Межгосударственным советом по стандартизации, метрологии и сертификации (Протокол от 14 ноября 2013 г. N 44).
За принятие проголосовали:
Краткое наименование страны по МК (ИСО 3166) 004-97 | Код страны по МК (ИСО 3166) 004-97 | Сокращенное наименование национального органа по стандартизации |
Азербайджан | AZ | Азстандарт |
Армения | AM | Минэкономики Республики Армения |
Беларусь | BY | Госстандарт Республики Беларусь |
Киргизия | KG | Кыргызстандарт |
Россия | RU | Росстандарт |
Таджикистан | TJ | Таджикстандарт |
4. Приказом Федерального агентства по техническому регулированию и метрологии от 18 февраля 2014 г. N 27-ст межгосударственный стандарт ГОСТ 14839.13-2013 введен в действие в качестве национального стандарта Российской Федерации с 1 сентября 2014 г.
5. Взамен ГОСТ 14839.13-69.
Информация об изменениях к настоящему стандарту публикуется в ежегодном информационном указателе "Национальные стандарты", а текст изменений и поправок - в ежемесячном информационном указателе "Национальные стандарты". В случае пересмотра (замены) или отмены настоящего стандарта соответствующее уведомление будет опубликовано в ежемесячном информационном указателе "Национальные стандарты". Соответствующая информация, уведомление и тексты размещаются также в информационной системе общего пользования - на официальном сайте Федерального агентства по техническому регулированию и метрологии в сети Интернет.
Настоящий стандарт распространяется на промышленные взрывчатые вещества (ВВ) и устанавливает методы определения водоустойчивости непатронированных водоустойчивых ВВ - гидродинамический и титриметрический.
В настоящем стандарте использованы нормативные ссылки на следующие стандарты:
ГОСТ 1770-74 (ИСО 1042-83, ИСО 4788-80). Посуда мерная лабораторная стеклянная. Цилиндры, мензурки, колбы, пробирки. Общие технические условия
ГОСТ 4328-77. Реактивы. Натрия гидроокись. Общие технические условия
ГОСТ 4403-91. Ткани для сит из шелковых и синтетических нитей. Общие технические условия
ГОСТ 4919.1-77. Реактивы и особо чистые вещества. Методы приготовления растворов индикаторов
ГОСТ 6613-86. Сетки проволочные тканые с квадратными ячейками. Технические условия
ГОСТ 12026-76. Бумага фильтровальная лабораторная. Технические условия
ГОСТ 14839.0-91. Вещества взрывчатые промышленные. Приемка и отбор проб
ГОСТ 25336-82. Посуда и оборудование лабораторные стеклянные. Типы, основные параметры и размеры
ГОСТ 25794.1-83. Реактивы. Методы приготовления титрованных растворов для кислотно-основного титрования
ГОСТ 26184-84. Вещества взрывчатые промышленные. Термины и определения
ГОСТ 29169-91. Посуда лабораторная стеклянная. Пипетки с одной отметкой
ГОСТ 29251-91. Посуда лабораторная стеклянная. Бюретки. Часть 1. Общие требования
ГОСТ 30037-93. Вещества взрывчатые. Общие требования к проведению химических и физико-химических анализов.
Примечание. При пользовании настоящим стандартом целесообразно проверить действие ссылочных стандартов в информационной системе общего пользования - на официальном сайте Федерального агентства по техническому регулированию и метрологии в сети Интернет или по ежегодному информационному указателю "Национальные стандарты", который опубликован по состоянию на 1 января текущего года, и по выпускам ежемесячного информационного указателя "Национальные стандарты" за текущий год. Если ссылочный стандарт заменен (изменен), то при пользовании настоящим стандартом следует руководствоваться заменяющим (измененным) стандартом. Если ссылочный стандарт отменен без замены, то положение, в котором дана ссылка на него, применяется в части, не затрагивающей эту ссылку.
В настоящем стандарте применены термины по ГОСТ 26184.
4.1. Гидродинамический метод определения водоустойчивости (далее - гидродинамический метод) основан на определении гидростатического давления столба воды в барометрической трубке, нарастающего с постоянной скоростью, которое необходимо для прохождения воды через слой ВВ определенной высоты и плотности. Критерием оценки водоустойчивости служит максимальная высота столба воды в барометрической трубке, соответствующая моменту появления влажного пятна на поверхности кружка фильтровальной бумаги, покрывающего слой ВВ.
Гидродинамический метод позволяет определить водоустойчивость непатронированных порошкообразных ВВ.
4.2. Титриметрический метод определения водоустойчивости (далее - титриметрический метод) основан на титровании раствором гидроокиси натрия азотной кислоты, которая образуется при взаимодействии аммиачной селитры с формалином.
Критерием оценки водоустойчивости служит масса аммиачной и натриевой (или кальциевой) селитр, перешедших в раствор с единицы площади поверхности контакта ВВ с водой.
Титриметрический метод позволяет определить водоустойчивость непатронированных эмульсионных ВВ.
4.3. Условия проведения анализа
4.3.1. Общие требования к проведению анализа - по ГОСТ 30037.
4.3.2. Анализ проводят при температуре (20 +/- 5) °C.
Для проверки константы гидродинамического прибора и проведения анализов гидродинамическим и титриметрическим методами температура дистиллированной воды должна быть (20 +/- 5) °C.
5. Требования безопасности
5.1. Все работы, связанные с анализами, должны проводиться в соответствии с действующими правилами эксплуатации предприятий и правилами защиты от статического электричества, а также с правилами и инструкциями для контрольно-аналитических лабораторий, действующими на предприятиях - изготовителях и потребителях ВВ, согласованными и утвержденными в установленном порядке.
5.2. При работе с реактивами необходимо соблюдать правила работы с вредными веществами.
Отбор проб производят по ГОСТ 14839.0 <1> и в соответствии с требованиями нормативной документации (НД) на конкретное ВВ.
--------------------------------
<1> На территории Российской Федерации действует ГОСТ Р 50843-95 "Вещества взрывчатые промышленные. Приемка и отбор проб".
7. Гидродинамический метод определения водоустойчивости
7.1. Прибор, средства измерений, средство контроля, посуда, материалы и реактивы
Гидродинамический прибор, схема которого приведена на
рисунке А.1 (Приложение А).
Весы лабораторные с ценой деления (дискретностью отсчета) 0,01 г.
Секундомер с ценой деления не более 0,2 с или автоматический таймер с дискретностью отсчета не более 0,2 с.
Термометр лабораторный стеклянный ртутный с ценой деления не более 1 °C, обеспечивающий контроль заданной температуры.
Сито, в качестве которого используют сито с шелковой тканью арт. 15 по
ГОСТ 4403 или сито с сеткой из цветного металла или его сплавов с номинальным размером стороны ячеек 0,5 мм по
ГОСТ 6613.
Цилиндр деревянный или металлический с наружным диаметром

и высотой (8,00 +/- 0,05) мм (далее - цилиндр).
Ступка с пестиком агатовые, яшмовые, халцедоновые или деревянные (далее - ступка с пестиком).
Резиновая пробка.
Вода дистиллированная по
ГОСТ 6709 (далее - вода).
7.2. Подготовка к анализу
7.2.1. Подготовка пробы ВВ
От 40 до 50 г пробы ВВ, имеющей норму по показателю качества "Массовая доля влаги и летучих веществ", соответствующую требованиям НД, отобранной в соответствии с требованиями НД, просеивают через сито. Оставшиеся на сите комочки измельчают в ступке пестиком до полного прохождения их через сито, после чего пробу ВВ тщательно перемешивают.
Примечание. ВВ, хранившееся в необогреваемых помещениях, перед проведением анализа выдерживают до принятия им температуры (20 +/- 5) °C.
7.2.2. Подготовка гидродинамического прибора
Гидродинамический прибор собирают в соответствии со схемой, которая приведена на
рисунке А.1 (Приложение А). Для этого барометрическую трубку 1 через трехходовый кран 3, капиллярную трубку 5 и регулировочный кран 6 соединяют с напорным сосудом 7.
Сборку 4, подготовленную согласно 7.2.3, через патрубок 12 соединяют с трехходовым краном 3 так, чтобы нижний уровень слоя ВВ 10 в сборке 4 совпадал с нулевым делением в барометрической трубке 1. Трехходовый кран 3 устанавливают в нейтральное положение.
7.2.3. Подготовка сборки
7.2.3.1. Установление ограничителя
Заданную плотность (1,00 +/- 0,03) г/см3 слоя ВВ 10, находящегося между резиновыми уплотняющими кольцами 14 в сборке 4, обеспечивают установлением ограничителя 11. Для этого сборку 4 собирают в соответствии со схемой, которая приведена на
рисунке А.2 (Приложение А), со следующими уточнениями: на дно корпуса 8 внутренним диаметром

и высотой стенки от 22 до 30 мм плотно укладывают цилиндр, высота которого соответствует высоте слоя ВВ 10, два резиновых уплотняющих кольца 14 с наружным диаметром 40 мм и отверстием диаметром 10 мм, металлическое прижимное кольцо 15 и два кружка фильтровальной бумаги 13, после чего на корпус 8 навинчивают крышку-гайку 9 до упора и фиксируют ее положение ограничителем 11.
7.2.3.2. Снаряжение сборки
На дно корпуса 8 сборки 4 с установленным в соответствии с
7.2.3.1 ограничителем 11 согласно
рисунку А.2 (Приложение А) плотно укладывают резиновое уплотняющее кольцо 14, отверстие которого закрывают кружком фильтровальной бумаги 13 диаметром 20 мм.
(10,00 +/- 0,05) г ВВ 10, подготовленного согласно
7.2.1, взвешивают в граммах до второго десятичного знака и помещают на резиновое уплотняющее кольцо 14, распределяя по нему ВВ 10 равномерно с помощью легкой тряски и резиновой пробки.
На ВВ 10 помещают кружок фильтровальной бумаги 13 диаметром 38 мм, резиновое уплотняющее кольцо 14, металлическое прижимное кольцо 15, после чего на корпус 8 навинчивают крышку-гайку 9 до упора в ограничитель 11.
7.2.4. Проверка константы гидродинамического прибора
Константой гидродинамического прибора является постоянная скорость подъема воды, равная (20 +/- 2) см/мин, в барометрической трубке 1 с внутренним диаметром (4,0 +/- 0,5) мм. Постоянную скорость подъема воды в барометрической трубке 1 гидродинамического прибора создают с помощью воды, находящейся в напорном сосуде 7 вместимостью от 5 до 10 дм3 под постоянным давлением, и регулируют с помощью регулировочного крана 6 и путем подбора капиллярной трубки 5.
Проверку константы гидродинамического прибора проводят следующим образом:
- поворотом на 45° трехходового крана 3 из нейтрального положения отключают сборку 4, а барометрическую трубку 1 соединяют с напорным сосудом 7;
- напорный сосуд 7 заполняют водой и с помощью спускового крана 2 устанавливают в барометрической трубке 1 уровень воды ниже нулевого деления на высоте от 3 до 5 см;
- скорость подъема воды проверяют не менее двух раз путем включения секундомера в момент прохождения уровня воды через нулевое деление в барометрической трубке 1 на высоте от 0 (нулевого деления) до 20 см.
7.3. Проведение анализа
7.3.1. После проверки константы гидродинамического прибора в соответствии с
7.2.4 в барометрической трубке 1 с помощью спускового крана 2 устанавливают уровень воды, соответствующий нулевому делению. Поворотом на 45° трехходового крана 3 сборку 4 и барометрическую трубку 1 соединяют с напорным сосудом 7. Затем наблюдают за поверхностью кружка фильтровальной бумаги 13, покрывающего слой ВВ 10 в сборке 4.
7.3.2. В момент появления влажного пятна на поверхности кружка фильтровальной бумаги 13 поворотом трехходового крана 3 на 45° отключают поступление воды из напорного сосуда 7 в сборку 4 и барометрическую трубку 1, одновременно снимая с последней показания высоты столба воды в сантиметрах.
7.4. Обработка результатов
За результат анализа принимают среднее арифметическое значение двух параллельных определений, округляемое до целого сантиметра водного столба.
Расхождение между результатами двух параллельных определений не должно превышать предела повторяемости (сходимости), равного 3 см вод. ст. при доверительной вероятности 0,95.
8. Титриметрический метод определения водоустойчивости
8.1. Средства измерений, посуда и реактивы
Весы лабораторные с ценой деления (дискретностью отсчета) 1 г.
Термометр лабораторный стеклянный ртутный с ценой деления не более 1 °C, обеспечивающий контроль заданной температуры.
Секундомер с ценой деления не более 0,2 с или автоматический таймер с дискретностью отсчета не более 0,2 с.
Штангенциркуль с отсчетом по нониусу 0,1 мм.
Колбы конические по
ГОСТ 25336 вместимостью 100 и 250 см3.
Колбы мерные по
ГОСТ 1770 вместимостью 250 или 500 см3.
Пипетки по
ГОСТ 29169 вместимостью 10 и 25 или 50 см3.
Цилиндры мерные или мензурки по
ГОСТ 1770 вместимостью 50 и 250 см3.
Стаканы стеклянные по
ГОСТ 25336 вместимостью от 250 до 600 см3 или алюминиевые с внутренним диаметром от 4 до 8 см (далее - стакан).
Вода дистиллированная по
ГОСТ 6709 (далее - вода).
Формалин технический по
ГОСТ 1625, раствор с массовой долей формальдегида 25% (далее - формалин).
Фенолфталеин (индикатор), спиртовой раствор с массовой долей 1%, приготовленный в соответствии с
ГОСТ 4919.1 (далее - фенолфталеин).
Натрия гидроокись по
ГОСТ 4328, раствор концентрации c (NaOH) = 0,2 моль/дм3 или c (NaOH) = 0,5 моль/дм3, приготовленный в соответствии с
ГОСТ 25794.1.
Примечание. Допускается применять другие средства измерений с метрологическими характеристиками, посуду с техническими характеристиками, а также реактивы качеством не ниже указанных в настоящем подразделе.
8.2. Подготовка к анализу
8.2.1. Приготовление формалина, нейтрального по фенолфталеину
Нейтрализацию формалина проводят раствором гидроокиси натрия в присутствии 3 капель фенолфталеина до появления слабо-розовой окраски.
8.2.2. Проверка полноты нейтрализации формалина
10 см3 нейтрализованного формалина помещают в коническую колбу вместимостью 100 см3, добавляют 50 см3 воды, 2 - 3 капли фенолфталеина и 1 каплю раствора гидроокиси натрия концентрации c (NaOH) = 0,2 моль/дм3. Формалин считается нейтральным по фенолфталеину и может быть использован для анализа, если при этом происходит появление слабо-розовой окраски, не исчезающей в течение 2 мин.
8.3. Проведение анализа
8.3.1. От 100 до 150 г ВВ взвешивают в граммах до целого знака, помещают в стакан так, чтобы ВВ равномерно заполнило стакан и имело ровную поверхность без воздушных включений, затем доливают 150 см3 воды, имеющей температуру (20 +/- 5) °C, и выдерживают под слоем воды при этой температуре в соответствии с требованиями НД на конкретное ВВ в течение 4 или 24 ч.
8.3.2. Раствор, образовавшийся при выдержке ВВ под слоем воды в течение 24 ч, сливают в мерную колбу вместимостью 250 или 500 см3, содержимое которой доводят до отметки водой и тщательно перемешивают. Из мерной колбы вместимостью 250 см3 пипеткой отбирают 25 см3 раствора, а из мерной колбы вместимостью 500 см3 - 50 см3 раствора и помещают его в коническую колбу вместимостью 250 см3.
Раствор, образовавшийся при выдержке ВВ под слоем воды в течение 4 ч, сливают в коническую колбу вместимостью 250 см3 для титрования без разбавления.
8.3.3. К раствору, помещенному в коническую колбу, добавляют от 10 до 15 см3 нейтрализованного формалина, тщательно перемешивают и после выдержки в течение 2 мин титруют раствором гидроокиси натрия в присутствии 3 капель фенолфталеина до появления слабо-розовой окраски, не исчезающей в течение 1 мин.
8.4. Обработка результатов
8.4.1. Водоустойчивость ВВ W, кг/м2, вычисляют по формуле

, (1)
где A - коэффициент, учитывающий массу натриевой (или кальциевой) селитры в растворе после выдержки ВВ под слоем воды:
A = 1,13, если ВВ содержит натриевую (или кальциевую) селитру;
A = 1, если ВВ содержит только аммиачную селитру;
V - объем раствора гидроокиси натрия концентрации точно 0,2 моль/дм3 или 0,5 моль/дм3, израсходованный на титрование, см3;
T - масса аммиачной селитры, соответствующая 1 см3 раствора гидроокиси натрия концентрации точно 0,2 моль/дм3 или 0,5 моль/дм3, г/см3:
T = 0,016011 г/см3 - для раствора гидроокиси концентрации точно 0,2 моль/дм3;
T = 0,040027 г/см3 - для раствора гидроокиси натрия концентрации точно 0,5 моль/дм3;
K - поправочный коэффициент к раствору гидроокиси натрия;
n - степень разбавления:

или

- для раствора, образовавшегося при выдержке ВВ под слоем воды в течение 24 ч;
n = 1 - для раствора, образовавшегося при выдержке ВВ под слоем воды в течение 4 ч;
10000 - пересчет единиц площади из квадратных сантиметров в квадратные метры;
1000 - пересчет единиц массы из граммов в килограммы;
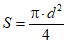
S - площадь стакана, м2, вычисляемая по формуле

, (2)
где

- число "пи";
d - внутренний диаметр стакана, определенный измерением в двух диаметрально противоположных направлениях с помощью штангенциркуля, см.
8.4.2. За результат анализа принимают среднее арифметическое значение двух параллельных определений, расхождение между которыми не должно превышать предела повторяемости (сходимости), равного 10% относительно нормируемого значения при доверительной вероятности 0,95.
8.5. Допускается определять водоустойчивость с использованием автоматического титратора в соответствии с разделом 9.
9. Титриметрический метод определения водоустойчивости
с использованием автоматического титратора
9.1. Средства измерений, приборы, оборудование, посуда и реактивы - по
8.1 (кроме конической колбы и бюретки) со следующими дополнениями:
Титратор автоматический серии Compact типа G20 с пределами допускаемой погрешности +/- 0,04 pH (диапазон измерений от 0 до 14 pH) и +/- 2,0% (диапазон измерений от 0,001% до 100%) (далее - титратор) или другой автоматический титратор с метрологическими характеристиками не хуже указанных.
Датчик DGi-115-SC - комбинированный PnP-pH-электрод (с шлиф-диаграммой), предназначенный для непосредственного измерения pH-значений и кислотно-основного титрования в водной среде, или датчик фотоэлектрический "Phototrode DP5".
Бюретка вместимостью 20 см3, входящая в комплект титратора.
Колба для титрования вместимостью 250 см3, входящая в комплект титратора (далее - колба для титрования).
9.2. Подготовка к анализу
9.2.1. Подготовка титратора
Включение титратора, вывод его на рабочий режим и проведение анализа проводят в соответствии с его руководством по эксплуатации.
Рабочие параметры, устанавливаемые на титраторе:
- датчик - DGi-115-SC или
- датчик "Phototrode DP5", длина волны - 590 нм;
- время перемешивания до начала титрования - 120 с;
- максимальный расход гидроокиси натрия - 20 см3;
- минимальный объем добавления гидроокиси натрия

- 0,01 см3;
- максимальный объем добавления гидроокиси натрия

- 0,2 см3.
Задаваемые параметры титратора, фиксирующего значение измеряемой величины при достижении равновесия:
- изменение значения потенциала раствора за промежуток времени dt (dE) - 1 мВ;
- промежуток времени (dt) - 1 с;
- начальное время сбора измерений - 3 с;
- конечное время сбора измерений - 7 с.
9.3. Проведение анализа
Раствор, образовавшийся при выдержке эмульсии под слоем воды и подготовленный по
8.3.2, помещают в колбу для титрования. К раствору доливают от 10 до 15 см3 нейтрализованного раствора формалина, перемешивают в течение 2 мин с помощью мешалки титратора и титруют раствором гидроокиси натрия (при использовании датчика "Phototrode DP5" - в присутствии фенолфталеина) до определения точки эквивалентности.
По окончании анализа записывают показание объема гидроокиси натрия, израсходованного на титрование, см3, отображенное на дисплее титратора.
9.4. Обработка результатов
Водоустойчивость эмульсии W, кг/м2, вычисляют по
8.4.
(обязательное)
СХЕМЫ ГИДРОДИНАМИЧЕСКОГО ПРИБОРА И СБОРКИ
1 - барометрическая трубка; 2 - спусковой кран;
3 - трехходовый кран; 4 - сборка; 5 - капиллярная трубка;
6 - регулировочный кран; 7 - напорный сосуд
Рисунок А.1. Схема гидродинамического прибора
8 - корпус; 9 - крышка-гайка; 10 - взрывчатое вещество;
11 - ограничитель; 12 - патрубок; 13 - кружки
фильтровальной бумаги; 14 - резиновые уплотняющие кольца;
15 - металлическое прижимное кольцо
Рисунок А.2. Схема сборки