Главная // Актуальные документы // ГОСТ (Государственный стандарт)СПРАВКА
Источник публикации
М.: Стандартинформ, 2015
Примечание к документу
Документ
введен в действие с 1 июля 2016 года.
Название документа
"ГОСТ EN 15484-2014. Межгосударственный стандарт. Этанол в качестве компонента бензина. Определение неорганических хлоридов потенциометрическим титрованием"
(введен в действие Приказом Росстандарта от 25.05.2015 N 420-ст)
"ГОСТ EN 15484-2014. Межгосударственный стандарт. Этанол в качестве компонента бензина. Определение неорганических хлоридов потенциометрическим титрованием"
(введен в действие Приказом Росстандарта от 25.05.2015 N 420-ст)
по техническому регулированию
и метрологии
от 25 мая 2015 г. N 420-ст
МЕЖГОСУДАРСТВЕННЫЙ СТАНДАРТ
ЭТАНОЛ В КАЧЕСТВЕ КОМПОНЕНТА БЕНЗИНА
ОПРЕДЕЛЕНИЕ НЕОРГАНИЧЕСКИХ ХЛОРИДОВ
ПОТЕНЦИОМЕТРИЧЕСКИМ ТИТРОВАНИЕМ
Ethanol as a petrol component. Determination of inorganic
chlorides by potentiometric titration
(EN 15484:2007, IDT)
ГОСТ EN 15484-2014
Дата введения
1 июля 2016 года
Цели, основные принципы и основной порядок проведения работ по межгосударственной стандартизации установлены в
ГОСТ 1.0-92 "Межгосударственная система стандартизации. Основные положения" и
ГОСТ 1.2-2009 "Межгосударственная система стандартизации. Стандарты межгосударственные, правила и рекомендации по межгосударственной стандартизации. Правила разработки, принятия, применения, обновления и отмены"
1 ПОДГОТОВЛЕН Федеральным государственным унитарным предприятием "Всероссийский научно-исследовательский центр стандартизации, информации и сертификации сырья, материалов и веществ" (ФГУП "ВНИЦСМВ"), Техническим комитетом по стандартизации ТК 31 "Нефтяные топлива и смазочные материалы" на основе собственного аутентичного перевода на русский язык стандарта, указанного в
пункте 5
2 ВНЕСЕН Федеральным агентством по техническому регулированию и метрологии (Росстандарт)
3 ПРИНЯТ Межгосударственным советом по стандартизации, метрологии и сертификации (протокол от 5 декабря 2014 г. N 46)
За принятие проголосовали:
Краткое наименование страны по МК (ИСО 3166) 004-97 | Код страны по МК (ИСО 3166) 004-97 | Сокращенное наименование национального органа по стандартизации |
Армения | AM | Минэкономики Республики Армения |
Беларусь | BY | Госстандарт Республики Беларусь |
Киргизия | KG | Кыргызстандарт |
Молдова | MD | Молдова-Стандарт |
Россия | RU | Росстандарт |
Узбекистан | UZ | Узстандарт |
4
Приказом Федерального агентства по техническому регулированию и метрологии от 25 мая 2015 г. N 420-ст межгосударственный стандарт ГОСТ EN 15484-2014 введен в действие в качестве национального стандарта Российской Федерации с 1 июля 2016 г.
5 Настоящий стандарт идентичен европейскому региональному стандарту EN 15484:2007 Ethanol as a blending component for petrol - Determination of inorganic chloride - Potentiometric method (Этанол в качестве компонента смешения для бензина. Определение неорганических хлоридов. Потенциометрический метод).
Стандарт разработан техническим комитетом CEN/TC 19 "Газообразное и жидкое топливо, смазочные материалы и сопутствующие продукты нефтяного, синтетического и биологического происхождения" Европейского комитета по стандартизации.
Перевод с английского языка (en).
Наименование настоящего стандарта изменено относительно наименования указанного стандарта для приведения в соответствие с ГОСТ 1.5-2001
(подраздел 3.6).
Официальные экземпляры европейского регионального стандарта, на основе которого подготовлен настоящий межгосударственный стандарт, и международных стандартов, на которые даны ссылки, имеются в Федеральном информационном фонде технических регламентов и стандартов.
Сведения о соответствии межгосударственных стандартов ссылочным международным стандартам приведены в дополнительном
приложении ДА.
Степень соответствия - идентичная (IDT)
6 ВВЕДЕН ВПЕРВЫЕ
Информация об изменениях к настоящему стандарту публикуется в ежегодном информационном указателе "Национальные стандарты", а текст изменений и поправок - в ежемесячном информационном указателе "Национальные стандарты". В случае пересмотра (замены) или отмены настоящего стандарта соответствующее уведомление будет опубликовано в ежемесячном информационном указателе "Национальные стандарты". Соответствующая информация, уведомления и тексты размещаются также в информационной системе общего пользования - на официальном сайте Федерального агентства по техническому регулированию и метрологии в сети Интернет
1.1 Настоящий стандарт устанавливает потенциометрический метод определения содержания неорганических хлоридов в этаноле в диапазоне 4 - 30 мг/л. Содержание хлоридов определяют в водном растворе, полученном растворением сухого остатка от отобранной пробы этанола.
Предостережение - Настоящий стандарт не ставит своей целью решить все вопросы безопасности, связанные с его использованием. Пользователь стандарта несет ответственность за обеспечение соответствующих мер безопасности и охраны здоровья и определяет пригодность упомянутых ограничений перед его применением.
Примечание - В рамках настоящего стандарта термин "% масс." обозначает массовую долю в процентах и термин "% об." обозначает объемную долю в процентах.
Для применения настоящего стандарта необходимы следующие ссылочные документы. Для датированных ссылок применяют только указанное издание ссылочного документа.
ISO 3170:2004 Petroleum liquids - Manual sampling (Нефтепродукты жидкие. Ручной отбор проб)
ISO 3696:1987 Water for analytical laboratory use - Specification and test methods (Вода для лабораторного анализа. Технические требования и методы испытаний)
Взвешенную пробу этанола выпаривают на водяной бане. Остаток после испарения растворяют в деионизированной воде. Содержание неорганических хлоридов определяют потенциометрическим титрованием вручную или автоматически.
4 Реактивы и вспомогательные вещества
Все реактивы должны иметь степень чистоты не ниже ч.д.а.
4.2 Азотная кислота плотностью примерно 1,40 г/мл, раствор концентрацией приблизительно 68% масс.
4.3 Нитрат калия, насыщенный раствор при температуре окружающей среды.
4.4 Раствор нитрата серебра 1 концентрацией примерно 0,1 моль/л. В мерную колбу вместимостью 500 мл помещают примерно 8,5 г нитрата серебра, доводят водой до метки и тщательно перемешивают.
4.5 Раствор нитрата серебра 2 концентрацией примерно 0,004 моль/л готовят перед применением разбавлением раствора нитрата серебра 1
(4.4) в подходящей мерной колбе.
4.6 Раствор хлорида калия 1 концентрацией 0,100 моль/л.
Перед приготовлением раствора хлорид калия сушат при температуре примерно 130 °C в течение 1 ч, затем охлаждают в эксикаторе. Взвешивают 3,7270 г сухого хлорида калия с точностью до 0,0001 г и растворяют в небольшом количестве воды, затем количественно переносят в мерную колбу вместимостью 500 мл. Доводят раствор до метки водой и хорошо перемешивают. Приготовленный раствор хранят не более 1 мес.
4.7 Раствор хлорида калия 2 концентрацией 0,004 моль/л готовят перед применением разбавлением раствора хлорида калия 1
(4.6) в подходящей мерной колбе.
4.8 Вода для лабораторных анализов класса 3 по ISO 3696.
5.1 Сосуды для выпаривания вместимостью от 100 до 250 мл.
5.3 Сушильный шкаф, обеспечивающий поддержание температуры (105 +/- 2) °C.
5.4 Эксикатор со свежеактивированным силикагелем (или эквивалентным осушителем) с индикатором влажности.
5.5 Аналитические весы, обеспечивающие взвешивание с точностью до 0,1 мг.
5.6 Градуированные пипетки класса А вместимостью 25 мл.
5.7 Оборудование для потенциометрического титрования
5.7.1 Потенциометр чувствительностью не менее 2 мВ в диапазоне от минус 500 до плюс 500 мВ.
5.7.2 Электроды сравнения
5.7.2.1 Каломельный электрод, оснащенный контейнером с насыщенным раствором хлорида калия, или
5.7.2.2 Двойной электрод серебро/хлорид серебра. В качестве внешнего электролита используют насыщенный раствор нитрата калия
(4.3), в качестве внутреннего электролита - раствор хлорида калия концентрацией до 3 моль/л или насыщенный раствор нитрата калия
(4.3).
5.7.3 Мост с пористыми диафрагмами на концах, заполненный насыщенным раствором нитрата калия
(4.3), для соединения с каломельным электродом
(5.7.2.1).
5.7.4 Измерительные электроды
5.7.4.1 Серебряный электрод или
5.7.4.2 Хлорсеребряный, или ион-селективный электрод.
5.8 Мерные колбы вместимостью 25 мл.
5.9 Магнитная мешалка со стержнями с покрытием из политетрафторэтилена (ПТФЭ).
5.10 Бюретки с тонким наконечником и ценой деления 0,02 мл или 0,01 мл.
Если нет других указаний, пробы отбирают по ISO 3170. Желательно использовать контейнер из полиэтилена. Для предотвращения загрязнения пробы контейнер тщательно очищают и промывают чистой водой.
Определение проводят по возможности быстро после отбора лабораторной пробы, чтобы избежать потери хлоридов.
Перед отбором пробу в контейнере тщательно перемешивают.
7.1 Подготовка холостой пробы
В качестве холостой пробы используют 25 мл воды
(4.8).
7.2 Подготовка стандартного раствора 5,00 мл хлорида калия
7.2.1 Помещают холостую пробу в химический стакан соответствующей вместимости. С помощью бюретки
(5.10) добавляют 5,00 мл раствора хлорида калия
(4.7).
7.2.2 Затем добавляют соответствующее количество ацетона
(4.1) до достижения соотношения ацетон/раствор приблизительно 80/10% об., но не менее чем 50/50% об.
Перемешивают содержимое химического стакана магнитной мешалкой
(5.9). Затем помещают в стакан измерительный электрод
(5.7.4) и электрод сравнения
(5.7.2). Если каломельный электрод
(5.7.2.1) используются в качестве электрода сравнения, другой конец моста
(5.7.3) погружают в химический стакан с водой и каломельным электродом. Соединяют электроды с потенциометром
(5.7.1) и записывают начальное значение потенциала после нулевой точки.
Титруют раствором нитрата серебра
(4.5) порциями по 0,1 мл. После каждого добавления ожидают стабилизации значения потенциала на дисплее.
Составляют таблицу; в первых двух столбцах таблицы записывают последовательно добавленные объемы нитрата серебра и соответствующие им значения потенциала.
В третьем столбце записывают значения последовательного приращения потенциала

.
В четвертой колонке приводят положительную или отрицательную разности

между приращениями потенциала

.
Завершением титрования является момент, когда последующее добавление 0,1 мл (
V1) нитрата серебра приводит к получению максимального значения

.
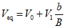
Более точно объем
Veq, мл, раствора нитрата серебра
(4.5), соответствующий завершению реакции вычисляют по
формуле (1) (для лучшего понимания см. пример в
приложении A)

, (1)
где
V0 - объем добавленного нитрата серебра
(4.5), перед последним добавлением 0,1 мл которого было достигнуто максимальное значение

, мл;
V1 - объем раствора нитрата серебра
(4.5), мл;
b - первое отрицательное значения

;
B - сумма абсолютных значений последних положительных и первых отрицательных значений

.
7.4 Подготовка раствора 10,00 мл хлорида калия
Выполняют процедуру по
7.2 и
7.3, используя 10,00 мл раствора хлорида калия
(4.7) вместо 5,00 мл.
7.5 Вычисление концентрации нитрата серебра в растворе
Вычисляют концентрацию раствора нитрата серебра c (AgNO3), моль AgNO3/л по формуле

, (2)
где
c(KCl) - концентрация хлорида калия
(4.7), моль/л;
V2 - значение
Veq, соответствующее титрованию 10 мл раствора хлорида калия
(4.7) в холостом растворе, мл;
V3 - значение
Veq, соответствующее титрованию 5 мл раствора хлорида калия
(4.7) в холостом растворе, мл;
5 - разность между двумя объемами раствора хлорида калия
(4.7), мл.
Поправку V4, мл, вычисляют по формуле
V4 = 2V3 - V2, (3)
Предупреждение - При анализе желательно иметь полную информацию о влиянии некоторых возможных элементов из образца. Некоторые известные проблемы приведены в
приложении B.
8.1 Подготовка остатка после выпаривания
Помещают в чашку для выпаривания
(5.1) 25 мл образца этанола
VE и досуха выпаривают на кипящей водяной бане
(5.2). Затем выдерживают чашку в сушильном шкафу
(5.3) при температуре 105 °C в течение 30 мин и переносят на 30 мин в эксикатор
(5.4) для охлаждения.
Добавляют к остатку в чашке 10 мл воды
(4.8) и осторожно нагревают до полного растворения остатка. Затем переносят раствор в мерную колбу вместимостью 25 мл. Еще раз промывают чашку для выпаривания 10 мл воды, переносят в ту же колбу и доводят водой до метки.
8.2 Подготовка исследуемого раствора
Помещают раствор, полученный по
(8.1), в подходящий химический стакан для подготовки к процедуре по
7.2.2.
При очень низком содержании хлорида повторяют процедуру по
8.1, используя больший объем образца
VE.
Титруют по
7.3 испытуемый раствор, полученный по
8.2, раствором нитрата серебра
(4.5).
Объем раствора нитрата серебра
Veq, полученный по
формуле (1), обозначают как
V5.
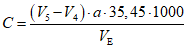
Вычисляют содержание неорганических хлоридов C, мг/л, в испытуемом образце по формуле

, (4)
где
V5 - объем раствора нитрата серебра по
8.3, мл;
V4 - поправка по
7.6, мл;
a - точная концентрация раствора нитрата серебра
(7.5), моль/л;
VE - объем испытуемой пробы, мл;
35,45 - молекулярная масса хлора (Cl), г/моль.
10 Оформление результатов
Записывают содержание неорганических хлоридов в мг/л, округленное до 0,1 мг/л.
Прецизионность метода была определена на основании результатов межлабораторных испытаний и статистической обработки результатов по
[1].
11.1 Повторяемость r
Расхождение между двумя результатами, полученными одним и тем же оператором на одной и той же аппаратуре, при постоянных рабочих условиях на идентичном испытуемом материале при нормальном и правильном применении метода испытания может превышать приведенное значение, только в одном случае из двадцати: r = 0,9 мг/л.
11.2 Воспроизводимость R
Расхождение между двумя единичными и независимыми результатами испытаний, полученных на идентичном испытуемом материале в разных лабораториях разными операторами при нормальном и правильном применении метода в течение длительного времени, может превышать приведенное значение только в одном случае из двадцати: R = 1,6 мг/л.
Протокол испытаний должен содержать:
a) тип и идентификацию испытуемого продукта;
b) обозначение настоящего стандарта;
d) любые отклонения от настоящего метода;
e) дату проведения испытания.
(справочное)
В
таблице A.1 приведен пример измерения парой электродов серебряный/каломельный.
Объем раствора нитрата серебра концентрацией c (AgNO3) 0,004 моль/л, V, мл | Потенциал E, мВ |  , мВ |  , мВ |
4,8 | 140 | | |
4,9 | 161 | 21 | |
5,0 | 239 | 78 | +57 |
5,1 | 293 | 66 | -12 |
5,2 | 315 | 22 | -44 |
На основании данных результатов измерений получают

. (A.1)
(справочное)
B.1 Введение
В настоящем приложении приведена неполная информация о возможных помехах. Всегда следует проверять наличие возможных помех. Процедура, приведенная в настоящем приложении, также не охватывает все возможные случаи.
B.2 Прочие галогены
Прочие галогены, за исключением фторидов, также могут повлиять на результаты испытания. Если содержание иодидов, бромидов или хлоридов имеет один порядок, их можно определить по разным параллельным конечным точкам титрования. При этом будет наблюдаться последовательность: йодиды, бромиды и хлориды.
Примечание - Поскольку возможно образование смешанных кристаллов, разделение хлорид/бромид не будет точно стехиометрическим.
При необходимости определения только хлоридов, перед испытанием бромиды и йодиды могут быть удалены окислением (например, пероксидом водорода) в разбавленном растворе азотной кислоты с последующей экстракцией подходящим растворителем.
B.3 Окислители
Серебряный электрод может быть подвержен воздействию окислителей. Их можно нейтрализовать обработкой восстанавливающими реагентами - раствором сульфита натрия, аскорбиновой кислоты, или другими, не влияющими на результаты анализа.
B.4 Соли аммония и железа (III)
В присутствии больших количеств этих солей может уменьшиться значение разности потенциала

вблизи точки равновесия.
Эти соли можно нейтрализовать кипячением в растворе гидроксида натрия в присутствии пероксида водорода, фильтрацией осажденного гидроксида железа (III), повторным растворением осадка в небольшом объеме азотной кислоты и повторном осаждении железа (III) в тех же условиях. Затем удаляют осадок, а объединенный фильтрат слегка подкисляют азотной кислотой.
Небольшое количество железа (III) можно удалить с помощью комплексообразующего агента, такого как этилендиаминтетрауксусная кислота.
B.5 Цианиды, тиоцианаты, сульфиды
Эти ионы при титровании связывают ионы серебра. Эту помеху можно устранить окислением пероксидом водорода в присутствии гидроксида натрия при длительном кипячении.
(справочное)
СВЕДЕНИЯ О СООТВЕТСТВИИ ССЫЛОЧНЫХ МЕЖГОСУДАРСТВЕННЫХ
СТАНДАРТОВ ССЫЛОЧНЫМ МЕЖДУНАРОДНЫМ СТАНДАРТАМ
Таблица ДА.1
Обозначение и наименование ссылочного международного стандарта | Степень соответствия | Обозначение и наименование межгосударственного стандарта |
ISO 3170:2004 Нефтепродукты жидкие. Ручной отбор проб | - | |
ISO 3696:1987 Вода для лабораторного анализа. Технические требования и методы испытаний | IDT | ГОСТ ISO 3696-2013 Вода для лабораторного анализа. Технические требования и методы контроля |
<*> Соответствующий межгосударственный стандарт отсутствует. До его утверждения рекомендуется использовать перевод на русский язык данного международного стандарта. Перевод данного международного стандарта находится в Федеральном информационном фонде технических регламентов и стандартов. Примечание - В настоящей таблице использовано следующее условное обозначение степени соответствия стандартов: - IDT - идентичный стандарт. |
| ISO 4259:2006 | Petroleum products - Determination and application of precision data in relation to methods of test (Нефтепродукты. Определение и применение данных прецизионности в отношении методов испытания) |