Главная // Актуальные документы // ГОСТ (Государственный стандарт)СПРАВКА
Источник публикации
М.: Стандартинформ, 2015
Примечание к документу
Документ
введен в действие с 1 апреля 2016 года.
Название документа
"ГОСТ 33213-2014 (ISO 10414-1:2008). Межгосударственный стандарт. Контроль параметров буровых растворов в промысловых условиях. Растворы на водной основе"
(введен в действие Приказом Росстандарта от 05.06.2015 N 571-ст)
"ГОСТ 33213-2014 (ISO 10414-1:2008). Межгосударственный стандарт. Контроль параметров буровых растворов в промысловых условиях. Растворы на водной основе"
(введен в действие Приказом Росстандарта от 05.06.2015 N 571-ст)
по техническому регулированию
и метрологии
от 5 июня 2015 г. N 571-ст
МЕЖГОСУДАРСТВЕННЫЙ СТАНДАРТ
КОНТРОЛЬ ПАРАМЕТРОВ БУРОВЫХ РАСТВОРОВ В ПРОМЫСЛОВЫХ УСЛОВИЯХ
РАСТВОРЫ НА ВОДНОЙ ОСНОВЕ
Field testing of drilling fluids. Water-based fluid
(ISO 10414-1:2008, MOD)
ГОСТ 33213-2014
(ISO 10414-1:2008)
Дата введения
1 апреля 2016 года
Цели, основные принципы и порядок проведения работ по межгосударственной стандартизации установлены
ГОСТ 1.0-92 "Межгосударственная система стандартизации. Основные положения" и
ГОСТ 1.2-2009 "Межгосударственная система стандартизации. Стандарты межгосударственные, правила и рекомендации по межгосударственной стандартизации. Правила разработки, принятия, применения, обновления и отмены"
1 ПОДГОТОВЛЕН Обществом с ограниченной ответственностью "Научно-производственное предприятие "БУРИНТЕХ" на основе русской версии стандарта, указанного в
пункте 5
2 ВНЕСЕН Федеральным агентством по техническому регулированию и метрологии (Росстандарт)
3 ПРИНЯТ Межгосударственным советом по стандартизации, метрологии и сертификации (протокол от 22 декабря 2014 г. N 73-П)
За принятие проголосовали:
Краткое наименование страны по МК (ИСО 3166) 004-97 | Код страны по МК (ИСО 3166) 004-97 | Сокращенное наименование национального органа по стандартизации |
Азербайджан | AZ | Азстандарт |
Армения | AM | Минэкономики Республики Армения |
Беларусь | BY | Госстандарт Республики Беларусь |
Киргизия | KG | Кыргызстандарт |
Россия | RU | Росстандарт |
Таджикистан | TJ | Таджикстандарт |
Узбекистан | UZ | Узстандарт |
4
Приказом Федерального агентства по техническому регулированию и метрологии от 5 июня 2015 г. N 571-ст межгосударственный стандарт ГОСТ 33213-2014 (ISO 10414-1:2008) введен в действие в качестве национального стандарта Российской Федерации с 1 апреля 2016 г.
5 Настоящий стандарт является модифицированным по отношению к международному стандарту ISO 10414-1:2008 Petroleum and natural gas industries - Field testing of drilling fluids - Part 1: Water-bases fluids (Нефтяная и газовая промышленность. Контроль параметров буровых растворов в промысловых условиях. Часть 1. Буровые растворы на водной основе). При этом дополнительные слова (фразы, показатели, ссылки), включенные в текст стандарта для учета потребностей национальных экономик стран СНГ и/или особенностей национальной стандартизации, выделены полужирным курсивом.
Приложения ДА и
ДБ дополняют текст стандарта с учетом особенностей стандартизации стран СНГ.
Международный стандарт разработан ISO/TC 67/SC 3.
Степень соответствия - модифицированная (MOD)
6 ВВЕДЕН ВПЕРВЫЕ
Информация об изменениях к настоящему стандарту публикуется в ежегодном информационном указателе "Национальные стандарты", а текст изменений и поправок - в ежемесячном информационном указателе "Национальные стандарты". В случае пересмотра (замены) или отмены настоящего стандарта соответствующее уведомление будет опубликовано в ежемесячном информационном указателе "Национальные стандарты". Соответствующая информация, уведомление и тексты размещаются также в информационной системе общего пользования - на официальном сайте Федерального агентства по техническому регулированию и метрологии в сети Интернет
ISO 10414-1 был подготовлен Техническим комитетом ISO/TC 67 "Материалы, оборудование и морские конструкции для нефтяной и газовой промышленности", Подкомитетом SC 3 "Буровые растворы и растворы для закачивания скважин и тампонажные цементы".
Настоящее второе издание отменяет и заменяет первое издание (ISO 10414-1:2001), к которому были добавлены
Приложения I,
J и
K и внесены другие незначительные изменения в структуру предложений, грамматику и проведено другое, нетехническое редактирование.
ISO 10414 состоит из следующих двух частей под общим названием "Нефтяная и газовая промышленность. Контроль параметров буровых растворов в промысловых условиях":
- часть 1. Растворы на водной основе;
- часть 2. Растворы на углеводородной основе.
Данная часть ISO 10414 разработана на основе API RP 13B-1, 3-е издание, декабрь 2003
[2] и ISO 10414 (все части)
[6].
В данной части ISO 10414, там, где это практически целесообразно, для информации в скобках добавлены единицы системы мер и весов США (USC).
Настоящее издание модифицированного стандарта дополнено приложениями ДА и ДБ, описывающими измерение дополнительных параметров, не приведенных в ISO 10414, с помощью оборудования, производимого в Российской Федерации. В текст настоящего стандарта включены дополнительные слова (фразы, показатели, ссылки), выделенные полужирным курсивом, отражающие потребности национальных экономик стран СНГ, особенности изложения межгосударственных стандартов и приведенные для облегчения понимания требований настоящего стандарта. Если эти требования являются альтернативными, то они приведены в скобках.
ОПАСНО - Как для любой другой лабораторной процедуры, связанной с использованием потенциально опасных химических веществ, предполагается, что пользователь обладает соответствующими знаниями и прошел подготовку по использованию и утилизации данных химических реагентов. Пользователь несет ответственность за соблюдение всех применимых местных, региональных и государственных требований по охране здоровья и безопасности персонала, а также ответственность за соблюдение требований к защите окружающей среды.
Настоящий стандарт устанавливает стандартные процедуры для определения следующих параметров буровых растворов на водной основе:
a) плотность бурового раствора (удельный вес бурового раствора);
b) вязкость и прочность геля;
c) объем фильтрата;
d) содержание водной, углеводородной и твердой фаз;
e) содержание песка;
f) адсорбция метиленового синего;
g) pH;
h) щелочность и содержание извести;
i) содержание хлорид-иона;
j) общая жесткость в пересчете на кальций.
Приложения A -
K представляют дополнительные методы испытаний, которые могут быть использованы в следующих целях:
- химический анализ для определения кальция, магния, сульфата кальция, сульфидов, карбонатов и калия;
- определение прочности на сдвиг;
- определение удельного электрического сопротивления;
- удаление воздуха;
- мониторинг коррозии бурильных труб;
- отбор проб, контроль и отбраковка;
- отбор проб на буровой площадке;
- калибровка и верификация стеклянной измерительной посуды, термометров, вискозиметров, чашек ретортной установки и весов для бурового раствора;
- испытание для определения закупоривающей способности при высокой температуре и высоком давлении для двух типов оборудования;
- пример заполнения формы протокола анализа бурового раствора на водной основе.
В настоящем стандарте применены следующие термины с соответствующими определениями:
2.1 ACS класс реактива (ACS reagent grade): Класс химического реагента в соответствии со стандартами чистоты Американского химического общества (ACS).
(Российский аналог класса чистоты реактива - химически чистый (хч).
2.2 дарси (darcy): Проницаемость пористой среды, в которой один дарси представляет поток однофазной жидкости вязкостью 1 сП, которая полностью заполняет пустоты пористой среды, текущей через пористую среду в условиях вязкого течения со скоростью 1 мл/(с·см2) поперечного сечения под действием давления или эквивалентного градиента гидравлического давления 1 атм/см.
Примечание - 1 сП = 1 мПа·с.
(Дарси - единица измерения проницаемости. Проницаемостью 1 Д обладает пористая среда, в которой через поперечное сечение площадью 1 см2 фильтруется однофазная вязкая жидкость с вязкостью 1 сП при градиенте давления 1 атм/см с расходом 1 см3/с.)
2.3 квартовать (quarter): Перемешивание и деление на четыре пробы для обеспечения однородности проб.
(Операция квартования заключается в следующем: объединенную пробу сыпучих реагентов после тщательного перемешивания располагают на чистой сухой клеенке, бумаге или пленке в виде квадрата и делят на четыре равновеликие части; две противоположные части объединяют в одну и перемешивают; операцию проводят до получения необходимой массы пробы.)
2.4 мгновенная водоотдача (spurt loss): Объем жидкости, проходящий через фильтрующую среду до образования фильтрационной корки.
2.5 отбор пробы с использованием пробоотборной трубки (щупа) (tube sampling): Метод отбора проб, заключающийся в отборе порошкообразной пробы из мешка или бестарного материала с помощью цилиндрического устройства, которое продавливается в отбираемый материал, закрывается и извлекается.
3 Обозначения и сокращения
3.1 Обозначения
В настоящем стандарте используются следующие обозначения:
AA - площадь см2;
AB - площадь дюйм2;
cb,A - концентрация утяжеляющего материала, кг/м3;
cb,B - концентрация утяжеляющего материала, фунт/баррель;
cCa,A - концентрация ионов кальция, мг/л;
cCa,B - концентрация ионов кальция, часть на миллион по массе (USC);
cCa+Mg,A - концентрация ионов кальция и магния (общая жесткость), мг/л;
cCa+Mg,B - концентрация ионов кальция и магния (общая жесткость), часть на миллион (USC);
cCaSO4,A - концентрация сульфата кальция, мг/л;
cCaSO4,B - концентрация сульфата кальция, часть на миллион по массе (USC);
cCO2+CO3+HCO3,A - концентрация суммы растворимых карбонатов, мг/л;
cCO2+CO3+HCO3,B - концентрация суммы растворимых карбонатов, часть на миллион по массе (USC);
cCl,A - концентрация ионов хлора, мг/л;
cCl,B - концентрация ионов хлора, часть на миллион по массе (USC);
cex-CaSO4,A - концентрация избыточных, нерастворенных сульфатов кальция, мг/л;
cex-CaSO4 B - концентрация избыточного, нерастворенного сульфата кальция, часть на миллион по массе (USC);
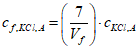
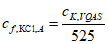
cf,KCl,A - концентрация хлористого калия в фильтрате, мг/л;
cf,KCl,B - концентрация хлористого калия в фильтрате, часть на миллион по массе (USC);
cK,A - концентрация ионов калия, мг/л;
cK,B - концентрация ионов калия, часть на миллион по массе (USC);
cKCl,A - концентрация хлорида калия, мг/л;
cKCl,B - концентрация хлорида калия, часть на миллион по массе (USC);
clg,A - концентрация твердых частиц малой плотности, кг/м3;
clg,B - концентрация твердых частиц малой плотности, фунт/баррель;
clime,A - содержание извести в буровом растворе, кг/м3;
clime,B - содержание извести в буровом растворе, фунт/баррель;
cNaCl,A - концентрация хлорида натрия, мг/л;
cNaCl,B - концентрация хлорида натрия, часть на миллион по массе (USC);
cS,A - концентрация ионов сульфидов, мг/л;
cS,B - концентрация ионов сульфидов, часть на миллион по массе (USC);
cSS,A - концентрация взвешенных твердых частиц, кг/м3;
cSS,B - концентрация взвешенных твердых частиц, фунт/баррель;
cMBT - адсорбция метиленового синего;
cth - поправка термометра, добавляемая к рабочему показанию термометра;
D - наружный диаметр;
EBE,A - бентонитовый эквивалент, выраженный кг/м3;
EBE,B - бентонитовый эквивалент, выраженный фунт/баррель;
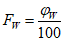
Fw - доля (объемное содержание) воды;
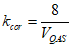
kcor - поправочный коэффициент;
K - постоянная ячейки, м2/м;
lA - глубина погружения широметра, см;
lB - глубина погружения широметра, дюйм;
lst - длина окрашивания трубки Дрегера;
mds - масса высушенной пробы, г;
ms - масса метиленового синего, г;
mst - масса широметра, г;
mtot - общая масса сдвига, г (сумма подставки и гирь);
mw - массы воды, г;

- потеря массы, мг;
Mf - щелочность фильтрата по метилоранжу;
Pdf - щелочность бурового раствора по фенолфталеину;
Pf - щелочность фильтрата по фенолфталеину;
qA - скорость коррозии, килограммов на квадратный метр в год;
qB - скорость коррозии, фунтов на квадратный фут в год;
rdf - удельное электрическое сопротивление бурового раствора, Ом·м;
rf - удельное электрическое сопротивление фильтрата, Ом·м;
RQAS/STPB - отношение концентрации QAS к концентрации STPB;
Rr - показания измерителя сопротивления, Ом;
R1 - среднее значение показаний эталонного термометра;
R2 - среднее значение показаний рабочего термометра;
R2, COR - скорректированное показание рабочего термометра;
R300 - показания по шкале вискозиметра при скорости вращения 300 об/мин;
R600 - показания по шкале вискозиметра при скорости вращения 600 об/мин;
t - время выдерживания, ч;
t7,5 - начальное показание, снятое через 7,5 мин;
t30 - окончательное показание, снятое через 30 мин;
Vdf - объем пробы бурового раствора, мл;
VEDTA - объем раствора EDTA, мл;
VEDTA,df - объем EDTA в исходном буровом растворе;
VEDTA,f - объем EDTA в фильтрате бурового раствора;
Vf - объем фильтрата, мл;
Vmb - объем раствора метиленового синего, мл;
Vo - объем углеводородной фазы, мл;
VPPT - объем PPT, мл;
VRC - объем чашки реторты, выраженный мл;
Vs - объем пробы, мл;
Vsn - объем раствора нитрата серебра, мл;
Vw - объем воды, мл;
V1 - мгновенная водоотдача, мл;
V7,5 - объем фильтрата через 7,5 мин, мл;
V30 - объем фильтрата через 30 мин, мл;
vst - скорость статической фильтрации (скорость потока),

(мл·мин);
YP,A - динамическое напряжение сдвига, Па;
YP,B динамическое напряжение сдвига, фунт/100 фут2;

- прочность на сдвиг, Па;

- прочность на сдвиг, фунт/100 фут
2;
ГDFG,A - градиент бурового раствора, кПа/м;
ГDFG,B - градиент бурового раствора, фунт/дюйм2·фут;

- эффективная вязкость, мПа/с;

- пластическая вязкость, мПа/с;

- пластическая вязкость, фунт/100 фут
2;

- температура;

- плотность, г/мл, при сравнении с дистиллированной водой;
(г/см3)

- плотность, кг/м3;

- плотность, фунт/галлон;

- плотность, фунт/м
3;

- плотность утяжеляющего материала, г/мл
(г/см3);

- плотность бурового раствора, г/мл
(г/см3);

- плотность фильтрата, г/мл
(г/см3);

- плотность твердых частиц малой плотности, г/мл (принимается равной 2,6, если неизвестна)
(г/см3);

- плотность нефти, г/мл (используется значение 0,8, если неизвестно)
(г/см3);

- плотность воды при температуре испытания, г/мл
(г/см3);

- объемная доля утяжелителя, %;

- объемная доля твердых частиц малой плотности, %;

- объемная доля углеводородной фазы, %;

- объемная доля твердых частиц после перегонки в реторте, %;

- объемная доля взвешенных твердых частиц, %;

- объемная доля воды, %.
3.2 Сокращения
В настоящем стандарте используются следующие сокращения:
AA - Атомно-абсорбционная спектроскопия;
ASC - Американское химическое общество;
API - Американский нефтяной институт;
ASTM - Американское общество по испытанию материалов;
BE - бентонитовый эквивалент;
CAS - химическая реферативная служба;
DFG - градиент бурового раствора;
DS - выбуренные твердые частицы;
EDTA - этилендиаминтетрауксусная кислота (ЭДТА);
HTHP - высокая температура/высокое давление;
LGS - твердые частицы низкой плотности;
meq - миллиэквиваленты;
OCMA - Ассоциация производителей химических реагентов для нефтедобывающей промышленности (первоначально компаний Ближнего Востока);
MBT - испытание по адсорбции метиленового синего;
PPA - прибор для определения закупоривающей способности;
PPT - испытание для определения закупоривающей способности;
PTFE - политетрафторэтилен;
PV - пластическая вязкость, в общепринятой нефтяной терминологии;
QAS - четвертичная аммониевая соль;
TC - для замера;
TD - для переноса;
USC - Американская система мер и весов.
4 Плотность бурового раствора (удельный вес бурового раствора)
4.1 Принцип
В настоящем стандарте определение плотности проводится гравиметрическим методом, который заключается в измерении массы определенного объема жидкости. Плотность бурового раствора выражается г/мл (граммах на кубический сантиметр) или килограммах на кубический метр (фунтах на галлон или фунтах на кубический фут).
4.2 Оборудование
4.2.1 Прибор для измерения плотности с точностью до 0,01 г/мл (г/см3) или 10 кг/м3 (0,1 фунт/галлон или 0,5 фунт/фут3).
В качестве прибора для определения плотности бурового раствора обычно используются специальные рычажные весы. Рычажные весы для определения плотности бурового раствора сконструированы так, что чаша для бурового раствора на одном конце рычага уравновешивается зафиксированным на другом конце противовесом и перемещаемым по градуированной шкале рычага подвижным грузом. Для подтверждения точности горизонтального положения рычага на нем установлен пузырьковый уровень. Для увеличения диапазона измерений при необходимости могут использоваться дополнительные устройства.
Следует регулярно выполнять калибровку прибора с использованием пресной воды. Пресная вода должна давать показание 1,00 г/мл (г/см3) или 1000 кг/м3 (8,33 фунт/галлон или 62,3 фунт/фут3) при 21 °C (70 °F). Если это не так, отрегулировать установочный винт или количество свинцовой дроби в гильзе на конце градуированного рычага, если это необходимо.
4.2.2 Термометр с диапазоном измерения от 0 °C до 105 °C (от 32 °F до 220 °F).
4.3 Порядок выполнения работ
4.3.1 Основание прибора следует разместить на гладкой ровной поверхности.
4.3.2 Измерить и внести в отчет температуру бурового раствора.
4.3.3 Заполнить чистый сухой стакан буровым раствором, который необходимо проанализировать; закрыть стакан с буровым раствором крышкой и повернуть крышку до ее плотной посадки. Проверить, выходит ли часть раствора через отверстие в крышке, чтобы удалить захваченный воздух или газ (информацию об удалении воздуха или газа см. в
приложении D).
4.3.4 Плотно прижать крышку к стакану с буровым раствором (при закрытом отверстии на крышке), вымыть или протереть наружную поверхность стакана, чтобы он был чистой и сухой.
4.3.5 Установить рычаг на опору основания и уравновесить его перемещением подвижного груза по градуированной шкале. Равновесие устанавливается, когда пузырек уровня находится на центральной отметке.
4.3.6 Снять показания плотности бурового раствора со стороны стрелки на подвижном грузе по одной из четырех градуированных шкал. Показания плотности могут считываться непосредственно в единицах г/мл (г/см3), фунт/галлон и фунт/фут3 или в качестве градиента бурового раствора в фунт/дюйм2/1000 футов.
4.4 Расчет
4.4.1 Внести в отчет плотность бурового раствора с точностью до 0,01 г/мл (г/см3) или 10 кг/м3, (0,1 фунт/галлон или 0,5 фунта/фут3).
4.4.2 Для преобразования показания плотности,

, выраженного в г/мл
(г/см3), в другие единицы измерения, использовать
формулы (1) -
(3):

, кг/м
3, (1)
где

- плотность, кг/м
3;

, фунт/галлон, (2)
где

- плотность, фунт/галлон;

, фунт/фут
3, (3)
где

- плотность, фунт/фут
3.
В
таблице 2 приведены коэффициенты для преобразования значений из одних единиц измерения в другие.
Формулы (4) -
(7) используются для преобразования плотности в градиент бурового раствора, Г
DFG, Па/м (фунт/дюйм
2·фут):
ГDFG,A = 22,6·фунт/дюйм2/фут; (5)
ГDFG,B = 0,0520·фунт/галлон; (6)
Г
DFG,B = 0,00694·фунт/фут
3 (7)
где ГDFG,A - градиент бурового раствора, Па/м;
ГDFG,B - градиент бурового раствора в фунт/дюйм2/фут.
В
таблице 1 приведен перечень преобразований значений плотности.
Таблица 1
Преобразование значений плотности
Граммы на куб. сантиметр <a> (г/см 3) | Килограммы на кубический метр (кг/м3) | Фунты на галлон США (фунт/галлон США) | Фунты на кубический фут (фунт/фут3) |
0,70 | 700 | 5,8 | 43,6 |
0,80 | 800 | 6,7 | 49,8 |
0,90 | 900 | 7,5 | 56,1 |
1,00 | 1000 | | 62,3 |
1,10 | 1100 | 9,2 | 68,5 |
1,20 | 1200 | 10,0 | 74,7 |
1,30 | 1300 | 10,9 | 81,0 |
1,40 | 1400 | 11,7 | 87,2 |
1,50 | 1500 | 12,5 | 93,5 |
1,60 | 1600 | 13,4 | 99,7 |
1,70 | 1700 | 14,2 | 105,9 |
1,80 | 1800 | 15,0 | 112,1 |
1,90 | 1900 | 15,9 | 118,4 |
2,00 | 2000 | 16,7 | 124,6 |
2,10 | 2100 | 17,5 | 130,8 |
2,20 | 2200 | 18,4 | 137,1 |
2,30 | 2300 | 19,2 | 143,3 |
2,40 | 2400 | 20,0 | 149,5 |
2,50 | 2500 | 20,9 | 155,8 |
2,60 | 2600 | 21,7 | 162,0 |
2,70 | 2700 | 22,5 | 168,2 |
2,80 | 2800 | 23,4 | 174,4 |
2,90 | 2900 | 24,2 | 180,7 |
<a> - те же значения, что и относительная плотность. <b> - точный переводной коэффициент |
Таблица 2
Преобразование единиц измерения плотности
Измерено в | Умножить на ..., чтобы получить |
г/см3 | кг/м3 | (фунт/гал) | (фунт/фут3) |
г/см3 | 1 | 1 000 | 8,33 | 62,3 |
кг/м3 | 0,001 | 1 | 0,0083 | 16,026 |
(фунт/гал) | 0,120 | 120 | 1 | 7,49 |
(фунт/фут3) | 0,016 0 | 16,03 | 0,133 5 | 1 |
5 Альтернативный способ определения плотности бурового раствора
5.1 Принцип
Рычажные весы под избыточным давлением обеспечивают возможность более точного, по сравнению с обычными рычажными весами, определения плотности бурового раствора, содержащего захваченный воздух или газ. Рычажные весы под избыточным давлением аналогичны обычным рычажным весам и отличаются тем, что образец бурового раствора под давлением помещается в стакан для проб фиксированного объема.
Цель использования образца под давлением состоит в том, чтобы минимизировать влияние захваченного воздуха или газа на измерение плотности бурового раствора. При повышении давления в стакане для проб объем захваченного воздуха или газа уменьшается до размеров, которыми можно пренебречь, таким образом, обеспечивается измерение плотности бурового раствора в условиях, более близких к условиям в скважине.
5.2 Оборудование
5.2.1 Прибор для измерения плотности с точностью до 0,01 г/мл (г/см3) или 10 кг/м3 (0,1 фунт/галлон или 0,5 фунт/фут3).
В качестве прибора для определения плотности бурового раствора под давлением обычно используются рычажные весы под избыточным давлением. Рычажные весы для определения плотности бурового раствора под давлением сконструированы так, что стакан для бурового раствора с закручивающейся крышкой на одном конце рычага уравновешивается зафиксированным на другом конце противовесом и перемещаемым по градуированной шкале рычага подвижным грузом. Для подтверждения точности горизонтального положения рычага на нем установлен пузырьковый уровень.
Следует регулярно выполнять калибровку прибора с использованием пресной воды. Пресная вода должна давать показание 1,0 г/мл (г/см3) или 1000 кг/м3 (8,33 фунт/галлон или 62,3 фунт/фут3) при 21 °C (70 °F). Если это не так, отрегулировать установочный винт или количество свинцовой дроби в гильзе на конце градуированного рычага, если это необходимо.
5.2.2 Термометр с диапазоном измерения от 0 °C до 105 °C (от 32 °F до 220 °F).
5.3 Порядок выполнения работ
5.3.1 Измерить и внести в отчет температуру бурового раствора.
5.3.2 Заполнить стакан для проб до уровня немного [примерно на 6,5 мм (0,25 дюйма)] ниже верхнего края стакана.
5.3.3 Закрыть стакан крышкой с обратным клапаном в нижнем (открытом) положении. Прижать крышку до соприкосновения наружной юбки крышки с верхним краем стакана. Избыточный раствор будет вытеснен через обратный клапан. После того как стакан накрыт крышкой, перевести клапан в закрытое положение, промыть стакан и резьбы водой и закрутить резьбовую крышку стакана.
5.3.4 Действие плунжера, повышающего давление, аналогично действию шприца. Для заполнения плунжера погрузить его конец в раствор с положением штока поршня полностью внутри. Заполнить цилиндр плунжера раствором, оттягивая шток поршня вверх. Этот объем следует слить, чтобы жидкость, оставшаяся после последней промывки плунжерного механизма, не разбавила пробу, и снова заполнить исследуемым раствором цилиндр плунжера.
5.3.5 Поместить носовую часть плунжера в посадочное кольцо клапана крышки. Повысить давление в стакане для проб, удерживая цилиндр плунжера с силой, обеспечивающей нижнее (открытое) положение обратного клапана, и одновременно перемещая шток поршня внутрь. К штоку поршня следует прикладывать усилие, равное приблизительно 225 Н (50 фунт-силы) или более высокое.
5.3.6 Обратный клапан на крышке приводится в действие давлением; когда внутри стакана повышается давление, обратный клапан переключается в закрытое положение. Чтобы закрыть обратный клапан, надо постепенно поднимать цилиндр плунжера, сохраняя давление на шток поршня. После закрытия клапана перед отсоединением плунжера убрать давление на шток поршня.
5.3.7 Проба раствора под давлением теперь готова для взвешивания. Промыть и насухо вытереть наружную поверхность стакана. Установить прибор на опорной призме. Переместить передвижную гирю вправо или влево, чтобы уравновесить рычаг. Рычаг уравновешен, когда пузырек уровня находится в центре между двумя черными метками. Снять показание плотности на одной из четырех градуированных шкал на стороне стрелки передвижной гири. Показание плотности может быть получено непосредственно в г/мл (г/см3), фунт/галлон и фунт/фут3 или как градиент бурового раствора в фунт/дюйм2·1000 футов.
5.3.8 Чтобы сбросить давление внутри стакана для проб, снова подсоединить пустой плунжер и нажать цилиндром плунжера вниз.
5.3.9 Тщательно очистить стакан и промыть водой. Для более надежного функционирования в буровых растворах на водной основе клапан следует регулярно смазывать водостойкой смазкой.
5.4 Расчет
Внести в отчет значение плотности бурового раствора с точностью до 0,01 г/мл (г/см3) или 10 кг/м3 (0,1 фунт/галлон или 0,5 фунт/фут3).
Для преобразования использовать уравнения, приведенные в
4.4.2.
6 Вязкость и прочность геля
6.1 Принцип
Показатели вязкости и прочность геля связаны со свойствами текучести (реологией) буровых растворов. Для измерения вязкости и/или прочности геля буровых растворов используются следующие приборы:
a) вискозиметр Марша - простейшее устройство для определения вязкости в повседневной практике;
b) вискозиметр прямой индикации - механическое устройство для измерения вязкости при различных градиентах скорости сдвига.
Примечание Информацию о реологии буровых растворов см. в
[3].
6.2 Определение условной вязкости с использованием вискозиметра Марша
6.2.1 Оборудование
6.2.1.1 Вискозиметр Марша, откалиброванный на вытекание 946 мл (1 кварта) пресной воды при температуре (21 +/- 3) °C [(70 +/- 5) °F] за (26 +/- 0,5) с, с мерной кружкой в качестве накопительной емкости.
6.2.1.1.1 Конусообразная воронка длиной 305 мм (12 дюймов) диаметром 152 мм (6,0 дюймов) и емкостью до сетки 1500 мл (1,6 кварты).
6.2.1.1.2 Выходное отверстие (трубка) длиной 50,8 мм (2 дюйма) и внутренним диаметром 4,7 мм (0,188 дюйма = 3/16 дюйма).
6.2.1.1.3 Сетка с размером ячейки 1,6 мм (0,063 дюйма = 1/16 дюйма) (12 меш); закрепленная на 19 мм (0,75 дюйма = 1/16 дюйма) ниже верхнего края воронки.
6.2.1.2 Мерная кружка емкостью не менее 946 мл (1 кварта).
6.2.1.3 Секундомер.
6.2.1.4 Термометр с диапазоном измерений от 0 °C до 105 °C (от 32 °F до 220 °F).
6.2.2 Порядок выполнения работ
6.2.2.1 Закрыть выходное отверстие воронки пальцем и залить через сито свежую пробу бурового раствора в чистую вертикально расположенную воронку. Уровень раствора должен достигать нижней стороны сита.
6.2.2.2 Убрать палец и включить секундомер. Измерить время, в течение которого буровой раствор заполнит мерную кружку до отметки 946 мл (1 кварта).
6.2.2.3 Измерить температуру раствора в градусах по Цельсию (градусах по Фаренгейту).
6.2.2.4 Внести в отчет время
(6.2.2.2) с точностью до секунды, как условную вязкость, измеренную с помощью вискозиметра Марша. Внести в отчет температуру раствора
(6.2.2.3) с точностью до градуса по Цельсию (градуса по Фаренгейту).
6.3 Определение вязкости и/или прочности геля (статического напряжения сдвига) с использованием вискозиметра прямой индикации
6.3.1 Оборудование
6.3.1.1 Вискозиметр прямой индикации
Вискозиметр такого типа представляет собой ротационный прибор с питанием от электродвигателя или ручного привода. Буровой раствор помещается в кольцевое пространство между двумя концентрическими цилиндрами. Наружный цилиндр, или ротор, вращается с постоянной скоростью. Вращение ротора в растворе создает крутящий момент на внутреннем цилиндре, или бобе. Торсионная пружина ограничивает движение боба, и шкала, присоединенная к бобу, показывает его смещение. Постоянные прибора следует установить таким образом, чтобы получать значения пластической вязкости и динамического напряжения сдвига при скорости вращения ротора 300 об/мин и 600 об/мин.
Вискозиметр прямой индикации должен иметь следующие характеристики:
a) ротор:
- внутренний диаметр 36,83 мм (1,450 дюйма);
- общая высота 87,0 мм (3,425 дюйма);
- линия отметки (риска): на высоте 58,4 мм (2,30 дюйма) от нижнего края ротора, с двумя рядами отверстий диаметром 3,18 мм (0,125 дюйма) на расстоянии 120° (2,09 радиан) по окружности ротора непосредственно под линией отметки;
b) боб закрытый, с плоским дном и конусообразным верхом:
- диаметр 34,49 мм (1,358 дюйма);
- высота цилиндра 38,0 мм (1,496 дюйма);
c) постоянная торсионной пружины:
- 386 дин·см/градус отклонения;
d) скорость вращения ротора:
- высокая скорость 600 об/мин;
- низкая скорость 300 об/мин.
Примечание - Различные производители предлагают вискозиметры с разными скоростями ротора.
6.3.1.2 Секундомер.
6.3.1.3 Термометр с диапазоном измерений от 0 °C до 105 °C (от 32м °F до 220 °F).
6.3.1.4 Подходящий контейнер, например стакан, поставляемый с вискозиметром.
6.3.2 Порядок выполнения работ
6.3.2.1 Поместить пробу бурового раствора в контейнер и погрузить ротор точно до линии отметки. Измерения в промысловых условиях должны выполняться с минимальным промежутком времени относительно момента отбора пробы (в течение 5 мин, если возможно) и при температуре максимально приближенной к температуре бурового раствора в точке отбора проб, отличающейся от нее не более чем на 6 °C (10 °F). Место отбора проб следует указать в отчете.
ОПАСНО - Рекомендуемая максимальная рабочая температура составляет 90 °C (200 °F). При температуре испытаний выше этого значения следует использовать цельнометаллический или полый металлический боб с абсолютно сухой внутренней поверхностью. При погружении полого боба в горячий раствор, жидкость, попавшая внутрь, может испариться и привести к взрыву.
6.3.2.2 Внести в отчет температуру пробы раствора.
6.3.2.3 При вращении ротора со скоростью 600 об/мин подождать, пока показание шкалы вискозиметра достигнет постоянного значения (необходимое для этого время зависит от характеристик бурового раствора). Внести в отчет показание шкалы при 600 об/мин.
6.3.2.4 Снизить скорость ротора до 300 об/мин и подождать, пока показание шкалы вискозиметра достигнет постоянного значения. Внести в отчет показание шкалы при 300 об/мин.
6.3.2.5 Перемешать пробу бурового раствора при скорости 600 об/мин в течение 10 с. Остановить ротор.
6.3.2.6 Оставить пробу бурового раствора в покое на 10 с. Медленно и равномерно поворачивать ручной привод в соответствующем направлении для получения положительных показаний шкалы. Максимальное показание шкалы будет начальной прочностью геля
(начальным статическим напряжением сдвига). Для приборов, имеющих скорость вращения 3 об/мин, максимальное показание шкалы, полученное после начала вращения со скоростью 3 об/мин, является начальной прочностью геля
(начальным статическим напряжением сдвига). Внести в отчет значение начальной прочности геля (10-секундный гель)
(начальное статическое напряжение сдвига) в фунтах на 100 фут
2.
Примечание - Чтобы перевести показание шкалы в паскали: 1 Па = 0,511 фунт/100 фут2.
6.3.2.7 Перемешать пробу бурового раствора при скорости 600 об/мин в течение 10 с, остановить ротор и оставить буровой раствор в покое на 10 мин. Повторить измерения, как описано в
6.3.2.6, и внести в отчет максимальное показание шкалы как 10-минутный гель
(статическое напряжение сдвига через 10 мин) в фунтах на 100 фут
2.
Примечание - Чтобы перевести показание шкалы в паскали: 1 Па = 0,511 фунт/100 фут2.
6.3.3 Расчет
Расчет пластической вязкости,

, выраженной в миллипаскалях на секунду (сантипуазах), приведен в
уравнении (8):

, (8)
где
R600 - показания шкалы при 600 об/мин;
R300 - показания шкалы при 300 об/мин.
Примечание 1 - В промышленности пластическая вязкость обычно обозначается как PV.
Примечание 2 - 1 сП = 1 мПа·с.
Расчет динамического напряжения сдвига,
YP,A, в паскалях приведен в
уравнении (9):

. (9)
При вычислении значений в единицах USC динамическое напряжение сдвига (фунт/100 фут2) вычисляется следующим образом:

(10)
Примечание 3 - В промышленности динамическое напряжение сдвига, выраженное в фунт/100 фут2, обычно обозначается как YP.
Расчет эффективной вязкости,

, в миллипаскалях на секунду (сантипуазах) дан в
уравнении (11)

(11)
Примечание 4 - В промышленности эффективная вязкость, выраженная в миллипаскалях на·секунду (сантипуазах), обычно обозначается как AV.
7.1 Принцип
Количественное определение характеристик фильтрации и образования фильтрационной корки имеет основополагающее значение для контроля параметров и обработки бурового раствора, как и характеристики фильтрата, такие как содержание углеводородов, воды или эмульсии. Эти характеристики определяются типом и количеством твердых частиц в растворе, а также их физическим или химическим взаимодействием, которое, в свою очередь, зависит от температуры и давления. Поэтому испытания проводятся при низком давлении/низкой температуре и при высоком давлении/высокой температуре, и для каждого испытания необходимы различное оборудование и методики.
7.2 Определение параметров при низкой температуре/низком давлении
7.2.1 Оборудование
7.2.1.1 Фильтр-пресс, основной деталью которого является цилиндрическая фильтровальная ячейка для бурового раствора, с внутренним диаметром 76,2 мм (3 дюйма) и высотой не менее 64,0 мм (2,5 дюйма).
Данная ячейка изготовлена из материалов, стойких к высокощелочным растворам, и установлена таким образом, чтобы носитель давления мог быть легко подан вовнутрь и отведен через верх. Должна также обеспечиваться возможность размещения листа фильтровальной бумаги диаметром 90 мм (3,54 дюйма) на дне ячейки на соответствующей подставке. Площадь фильтрации составляет (45,8 +/- 0,6) см2 [(7,1 +/- 0,1) дюйм2]. Ниже подставки находится дренажная трубка для выхода фильтрата в градуированный цилиндр. Герметичность обеспечивается уплотнительными прокладками, и весь комплект закрепляется на штативе. Давление может создаваться при помощи любой безопасной для раствора среды. Прессы оснащены регуляторами давления и могут быть оборудованы переносными баллонами давления, малогабаритными баллонами давления или средствами для создания гидравлического давления. Для получения коррелируемых результатов должна использоваться фильтровальная бумага диаметром 90 мм одинаковой толщины (например, Whatman No. 50, S&S No. 576 <1> или аналогичная).
--------------------------------
<1> Whatman No. 50 и S&S No. 576 являются примером доступных коммерческих продуктов. Эта информация приведена для удобства пользователей данной части ISO 10414 и не является утверждением этого продукта ISO.
Следует использовать фильтр-пресс низкой температуры/низкого давления с площадью фильтровальной поверхности от 45,2 см2 до 46,4 см2 (от 7,0 дюйм2 до 7,2 дюйм2), соответствующей диаметру от 75,86 мм до 76,88 мм (от 2,987 дюйма до 3,026 дюйма). Уплотнительная прокладка фильтр-пресса является определяющим фактором площади фильтрации. Рекомендуется проверить используемую уплотнительную прокладку коническим калибром, на котором отмечены соответственно максимальный 76,86 мм (3,026 дюйма) и минимальный 75,86 мм (2,987 дюйма) диаметры. Уплотнительная прокладка, не соответствующая этому диапазону (больше или меньше отметок), должна быть отбракована.
Примечание - Результаты, полученные при использовании фильтр-пресса с другой площадью фильтрации, не будут совпадать с результатами, полученными при использовании фильтр-пресса стандартного размера.
7.2.1.2 Таймер с интервалом измерений не менее 30 мин.
7.2.1.3 Градуированный цилиндр объемом 10 мл (TC) или 25 мл (TC).
(Мерный цилиндр по ГОСТ 1770-74 вместимостью 10 см3 или 25 см3).
7.2.2 Порядок выполнения работ
7.2.2.1 Убедиться, что каждая часть ячейки, особенно сетка, чистая и сухая и что уплотнительные прокладки не повреждены и не изношены. Налить пробу бурового раствора в ячейку, оставляя примерно от 1 см до 1,5 см (от 0,4 дюйма до 0,6 дюйма) до края (чтобы минимизировать загрязнение фильтрата CO2) и закончить сборку прибора размещением фильтровальной бумаги.
7.2.2.2 Поместить сухой градуированный цилиндр под дренажную трубку для сбора фильтрата. Закрыть предохранительный клапан и установить регулятор на значение давления 690 кПа +/- 35 кПа (100 фунт/дюйм2 +/- 5 фунт/дюйм2) не более чем за 30 с. Отсчет времени ведется от момента начала подачи давления.
7.2.2.3 Через 30 мин после начала испытания измерить объем собранного фильтрата. Отключить подачу давления через регулятор давления и осторожно открыть предохранительный клапан. Интервал времени, отличный от 30 мин, должен быть внесен в отчет.
7.2.2.4 Записать объем фильтрата в миллилитрах (см3) (с точностью до 0,1 мл) и исходную температуру бурового раствора в градусах Цельсия (градусах Фаренгейта). Сохранить фильтрат для химического анализа.
7.2.2.5 Снять ячейку со штатива, предварительно убедившись, что давление сброшено полностью. Аккуратно вынуть фильтровальную бумагу, с минимальным нарушением фильтрационной корки, разобрать ячейку и слить буровой раствор. Промыть фильтрационную корку на фильтровальной бумаге слабой струей воды.
7.2.2.6 Измерить и внести в отчет толщину фильтрационной корки с точностью до миллиметра (1/32 дюйма).
7.2.2.7 Хотя такие характеристики фильтрационной корки, как твердая, мягкая, жесткая, гибкая, эластичная, устойчивая и т.д., субъективны, они могут представлять важную информацию о качестве корки.
7.3 Испытание в условиях высокой температуры/высокого давления (HPHT)
7.3.1 Оборудование
7.3.1.1 Фильтр-пресс HT/HP, в составе которого: источник регулируемого давления (CO
2 или азот), регуляторы, ячейка для бурового раствора, выдерживающая рабочее давление от 4000 кПа до 8900 кПа (от 600 фунт/дюйм
2 до 1300 фунт/дюйм
2), система для нагревания ячейки, емкость для сбора фильтрата, с поддержанием необходимого противодавления (см.
таблицу 3), чтобы не допустить испарения или воспламенения фильтрата, и соответствующий штатив. Ячейка для бурового раствора имеет отверстие для термометра, маслостойкие уплотнительные прокладки, опору для среды фильтрации и клапан на трубке подачи фильтрата для контроля потока из ячейки. Может возникнуть необходимость регулярной замены уплотнительных прокладок.
Таблица 3
Рекомендуемое минимальное противодавление
Температура испытания | Давление пара | Минимальное противодавление |
°C | °F | кПа | psi | кПа | psi |
100 | 212 | 101 | 14,7 | 690 | 100 |
120 | 250 | 207 | 30 | 690 | 100 |
150 | 300 | 462 | 67 | 690 | 100 |
Предел "нормальных" полевых испытаний |
175 | 350 | 932 | 135 | 1 104 | 160 |
200 | 400 | 1 704 | 247 | 1 898 | 275 |
230 | 450 | 2912 | 422 | 3 105 | 450 |
Примерами доступных средств обеспечения безопасности являются плавкие предохранители термокамеры и датчики давления фильтровальной ячейки. Имеются вспомогательные средства для разборки ячейки, если ожидается остаточное давление.
ОПАСНО - Обязательно строгое соблюдение рекомендаций производителей относительно объемов пробы, температуры и давления оборудования. Несоблюдение рекомендаций может привести к серьезным травмам.
ОПАСНО - Не допускается использование баллончиков с закисью азота в качестве источников давления для HT/HP фильтрации. Под действием температуры и давления закись азота может сдетонировать в присутствии смазки, нефтяных или углеродистых материалов. Баллончики с закисью азота должны использоваться только для карбонатного анализа на газоанализаторе Гаррета.
7.3.1.2 Среда фильтрации <1>.
--------------------------------
<1> Whatman No. 50 и диски Dynalloy X-5 являются примером доступных коммерческих продуктов. Dynalloy является торговой маркой продукта, поставляемого компанией Memtec America Corporation. Эта информация приведена для удобства пользователей данной части ISO 10414 и не является утверждением этого продукта ISO.
7.3.1.2.1 Фильтровальная бумага Whatman No. 50 или аналогичная, для температур до 190 °C (375 °F).
7.3.1.2.2 Пористый диск Dynalloy X-5 или аналогичный для температур, превышающих 200 °C (400 °F). Для каждого испытания необходимо использовать новый диск.
7.3.1.3 Таймер с интервалом измерений не менее 30 мин.
7.3.1.4 Термометр с диапазоном измерений до 260 °C (500 °F).
7.3.1.5 Градуированный цилиндр объемом 10 мл (TC) или 25 мл (TC).
(Мерный цилиндр по ГОСТ 1770-74 вместимостью 10 см3 или 25 см3)
7.3.1.6 Высокоскоростная мешалка.
7.3.2 Порядок выполнения работ для температур до 150 °C (300 °F)
7.3.2.1 Установить термометр в отверстии термокамеры и разогреть ее до температуры на 6 °C (10 °F) выше необходимой. Отрегулировать термостат на поддержание необходимой температуры.
7.3.2.2 Перемешивать пробу бурового раствора в высокоскоростной мешалке в течение 10 мин. Закрыть клапан ячейки для бурового раствора и перелить пробу бурового раствора в ячейку, оставляя примерно 1,5 см (0,6 дюйма) до края, чтобы оставить пространство для расширения. Разместить фильтровальную бумагу.
7.3.2.3 Завершить сборку фильтровальной ячейки, закрыть клапаны в верхней и нижней части и установить ее в термокамеру. Переместить термометр в гнездо фильтровальной ячейки.
7.3.2.4 Установить и закрепить емкость высокого давления для сбора фильтрата на нижнем клапане.
7.3.2.5 Подключить источник регулируемого давления к верхнему клапану и емкости для сбора фильтрата и закрепить эти соединения.
7.3.2.6 Удерживая оба клапана в закрытом положении отрегулировать давление на верхнем и нижнем регуляторах на уровне 690 кПа (100 фунт/дюйм2). Открыть верхний клапан, создавая давление на буровой раствор 690 кПа (100 фунт/дюйм2). Поддерживать такое давление в течение 1 ч. Если по истечении 1 ч необходимая температура ячейки бурового раствора не достигается, операцию следует прекратить и отремонтировать оборудование.
| | ИС МЕГАНОРМ: примечание. Здесь и далее в официальном тексте документа, видимо, допущена опечатка: пункт [7] в Библиографии отсутствует. | |
Примечание - Исследования API показывают, что оборудование, используемое для контроля фильтрации при высокой температуре, иногда не нагревает буровой раствор до заданной температуры. Для устранения данной проблемы можно модифицировать ячейку для бурового раствора добавлением внутренней жаростойкой оболочки и изоляции [7]. Точные измерения температуры бурового раствора во время нагревания могут быть обеспечены установлением термопары для прямого измерения температуры бурового раствора в ячейке.
7.3.2.7 Через 1 ч увеличить давление на верхнем регуляторе до 4140 кПа (600 фунт/дюйм2) и открыть нижний клапан, чтобы начать фильтрацию. Собирать фильтрат в течение 30 мин, поддерживая выбранную температуру в пределах +/- 3 °C (+/- 5 °F). Если во время операции противодавление поднимется выше 690 кПа (100 фунт/дюйм2), осторожно снизить давление путем отвода части фильтрата. Внести в отчет общий объем собранного фильтрата, температуру, давление и время сбора.
7.3.2.8 Скорректировать объем фильтрата для получения объема фильтрата с фильтрующей поверхности площадью 45,8 см2 (7,1 дюйм2). Например, если фильтрующая поверхность равна 22,6 см2 (3,5 дюйм2), необходимо удвоить зарегистрированный объем фильтрата.
7.3.2.9 По окончании работы закрыть верхний и нижний клапаны ячейки для бурового раствора. Сбросить давление с помощью регуляторов.
ОПАСНО - Давление в ячейке для бурового раствора сохраняется на уровне 4140 кПа (600 фунт/дюйм2). Для предотвращения возможного несчастного случая, оставить ячейку в вертикальном положении и остудить до комнатной температуры, затем перед разборкой ячейки постепенно сбросить давление. Сложность снятия стопорных винтов ячейки может быть показателем остаточного давления в ячейке. Имеются ячейки с датчиками давления, которые могут обеспечить дополнительные меры безопасности. Имеются специальные устройства для разборки ячейки на случай, если предполагается остаточное давление.
7.3.2.10 Извлечь ячейку из термокамеры, предварительно убедившись, что нижний и верхний клапаны плотно закрыты и отключены регуляторы давления. Аккуратно, чтобы не повредить фильтровальную бумагу, установить ячейку вертикально, открыть клапан для сброса давления из ячейки и открыть ячейку. Слить буровой раствор и извлечь фильтрационную корку. Промыть фильтрационную корку на фильтровальной бумаге слабой струей воды.
7.3.2.11 Измерить и внести в отчет толщину фильтрационной корки с точностью до миллиметра (1/32 дюйма).
7.3.2.12 Хотя такие характеристики фильтрационной корки, как твердая, мягкая, жесткая, гибкая, эластичная, устойчивая и т.д., субъективны, они могут представлять важную информацию о качестве корки.
7.3.3 Порядок выполнения работ для температур выше 150 °C (300 °F)
7.3.3.1 Установить термометр в отверстие термокамеры и разогреть ее до температуры на 6 °C (10 °F) выше необходимой. Отрегулировать термостат на поддержание необходимой температуры.
7.3.3.2 Перемешивать пробу бурового раствора в высокоскоростной мешалке в течение 10 мин. Закрыть клапан ячейки для бурового раствора и перелить пробу бурового раствора в ячейку, оставляя примерно 4 см (1,5 дюйма) до края, чтобы оставить пространство для расширения. Разместить соответствующую среду фильтрации (см.
7.3.1.2).
ОПАСНО - Оборудование не всех изготовителей может быть использовано при температуре свыше 150 °C (300 °F). Использование оборудования с неподходящими характеристиками давления/температуры может привести к серьезным последствиям. Выполнение работ при высокой температуре/высоком давлении требует дополнительных мер предосторожности.
Все ячейки, работающие под давлением, следует оборудовать предохранительным клапаном с ручным управлением. Термокамеры следует оборудовать плавким предохранителем против перегрева и термостатическим выключением. Давление пара жидкой фазы бурового раствора является в возрастающей степени критическим конструктивным параметром по мере повышения испытательной температуры. Различные значения давления водяного пара при различных значениях температуры приведены в
таблице 3.
7.3.3.3 Завершить сборку ячейки и при закрытых верхнем и нижнем клапанах поместить ее в термокамеру. Поместить термометр в отверстие ячейки для бурового раствора.
7.3.3.4 Установить и закрепить емкость высокого давления для сбора фильтрата на нижнем клапане.
7.3.3.5 Подключить источник регулируемого давления к верхнему клапану и емкости для сбора фильтрата и закрепить эти соединения.
7.3.3.6 При закрытых верхнем и нижнем клапанах, создать противодавление, рекомендуемое для заданной температуры для верхнего и нижнего клапанов (см.
таблицу 3). Открыть верхний клапан, поддерживая постоянное давление бурового раствора во время нагревания. Поддерживать данное давление в течение 1 ч. Если по истечении 1 ч необходимая температура ячейки бурового раствора не достигается, операцию следует прекратить и отремонтировать оборудование.
Примечание - Исследования API показывают, что оборудование, используемое для контроля фильтрации при высокой температуре, иногда не нагревает буровой раствор до заданной температуры. Для устранения данной проблемы можно модифицировать ячейку для бурового раствора добавлением внутренней жаростойкой оболочки и изоляции [7]. Точные измерения температуры бурового раствора во время нагревания могут быть обеспечены установлением термопары для прямого измерения температуры бурового раствора в ячейке.
7.3.3.7 Через 1 ч увеличить давление на верхнем регуляторе давления до значения, на 3450 кПа (500 фунт/дюйм2) превышающее противодавление, и открыть нижний клапан, чтобы начать фильтрацию. Собирать фильтрат в течение 30 мин, поддерживая заданную температуру в пределах +/- 3 °C (+/- 5 °F) и соответствующее противодавление. Если во время операции противодавление начинает повышаться, его можно осторожно снизить путем отвода части фильтрата. Не следует нагревать пробу в фильтровальной ячейке в течение более 1 ч.
7.3.3.8 По окончании испытания закрыть верхний и нижний клапаны ячейки для бурового раствора и сбросить давление с помощью регуляторов. Подождать не менее 5 мин для охлаждения фильтрата, чтобы избежать его испарения. Затем осторожно слить фильтрат и внести в отчет общий объем собранного фильтрата. Внести в отчет также значения температуры, давления и времени.
ОПАСНО - Давление в фильтровальной ячейке может превышать 6500 кПа (950 фунт/дюйм2). Для предотвращения возможного несчастного случая оставить ячейку в вертикальном положении и остудить до комнатной температуры, затем перед разборкой ячейки постепенно сбросить давление. Сложность снятия стопорных винтов ячейки может быть показателем остаточного давления в ячейке. Имеются ячейки с датчиками давления, которые могут обеспечить дополнительные меры безопасности. Имеются специальные устройства для разборки ячейки на случай, если предполагается остаточное давление.
7.3.3.9 По окончании работ закрыть верхний и нижний клапаны ячейки для бурового раствора. Сбросить давление с помощью регуляторов.
7.3.3.10 Скорректировать объем фильтрата для получения объема фильтрата с фильтрующей поверхности площадью 45,8 см2 (7,1 дюйм2). Например, если фильтрующая поверхность равна 22,6 см2 (3,5 дюйм2), необходимо удвоить зарегистрированный объем фильтрата.
7.3.3.11 Извлечь ячейку из термокамеры, предварительно убедившись, что нижний и верхний клапаны плотно закрыты и отключены регуляторы давления. Аккуратно, чтобы не повредить фильтровальную бумагу, установить ячейку вертикально, открыть клапан для сброса давления из ячейки и открыть ячейку. Слить буровой раствор и извлечь фильтрационную корку. Промыть фильтрационную корку на фильтровальной бумаге слабой струей воды.
7.3.3.12 Измерить и внести в отчет толщину фильтрационной корки с точностью до миллиметра (1/32 дюйма).
7.3.3.13 Хотя такие характеристики фильтрационной корки, как твердая, мягкая, жесткая, гибкая, эластичная, устойчивая и т.д., субъективны, они могут представлять важную информацию о качестве корки.
8 Содержание водной, углеводородной и твердой фаз
8.1 Принцип
Реторта обеспечивает отделение и измерение объемов водной, углеводородной и твердой фаз, содержащихся в пробе бурового раствора на водной основе. Известный объем цельной пробы бурового раствора нагревается в реторте для испарения жидких компонентов, которые затем конденсируются и собираются в градуированном накопителе. Объемы жидкости определяются непосредственно по показаниям нефтяной и водной фазы в накопителе. Общий объем твердой фазы (во взвешенном и растворенном состоянии) вычисляется как разность (общий объем пробы минус объем жидкости). Для определения объема твердой фазы во взвешенном состоянии необходимы вычисления, так как растворенные твердые частицы будут оставаться в реторте. Можно также рассчитать соответствующие объемы твердой фазы малой плотности и утяжеляющего материала. Знание концентрации и состава твердой фазы является основополагающим фактором определения вязкости и контроля фильтрации буровых растворов на водной основе.
8.2 Оборудование
8.2.1 Реторта
Обычно используются реторты трех размеров (10 мл, 20 мл и 50 мл). Технические характеристики реторт приведены ниже.
8.2.1.1 Чашка для пробы, стандартный объем чашки 10 мл (см3) (точность +/- 0,05 мл (см3)), 20 мл (см3) (точность +/- 0,10 мл (см3)) или 50 мл (см3) (точность +/- 0,25 мл (см3)).
Примечание - Производители такого оборудования предлагают также другие размеры чашек для проб.
8.2.1.2 Конденсатор, рассчитанный на охлаждение паров углеводородов и воды ниже температуры испарения до их выхода из конденсатора.
8.2.1.3 Нагревательный элемент, с мощностью, достаточной для нагревания пробы выше температуры испарения жидких компонентов бурового раствора в течение 15 мин без выпаривания твердых частиц.
8.2.1.4 Регулятор температуры (опция), обеспечивающий поддержание температуры реторты на уровне 500 °C +/- 40 °C (930 °F +/- 70 °F).
8.2.1.5 Накопитель жидкости (TC), специально разработанный стеклянный цилиндр с закругленным дном для упрощения очистки и воронкообразным горлышком для сбора падающих капель, имеющий следующие характеристики:
Общий объем, мл: | 10 | 20 | 50 |
Прецизионность (от 0 до 100%), мл: | +/- 0,05 | +/- 0,05 | +/- 0,25 |
Цена деления шкалы (от 0 до 100%), мл: | 0,10 | 0,10 | 0,50 |
Калибровка: до содержания (TC) при 20 °C (68 °F) |
Шкала: миллилитры или объемное содержание (в процентах) |
Материал: Прозрачный, нечувствительный к углеводородам, воде и растворам солей при температуре до 32 °C (90 °F). |
Объем накопителя следует контролировать
(верифицировать) гравиметрическими методами. Процедура и расчеты приведены в
приложении H для накопителей жидкости объемом 10 мл, 20 мл и 50 мл.
8.2.3 Тонковолокнистая стальная вата, обезжиренная
В данной ситуации не следует применять "жидкую стальную вату" или стальную вату с покрытием.
8.2.4 Высокотемпературная силиконовая консистентная смазка для использования в качестве уплотнителя и смазочного материала для резьбы.
8.2.5 Ерши для чистки трубок.
8.2.6 Лопатка для шпаклевки или шпатель, имеющие форму и размеры, соответствующие ретортной чашке для проб.
8.2.7 Воронка Марша.
8.2.8 Антипенная добавка.
8.2.9 Штопор.
8.3 Порядок выполнения работ
8.3.1 Убедиться, что ретортная чашка для проб, конденсатный канал и накопитель жидкости - чистые, сухие и остывшие после предыдущего испытания. Перед каждым испытанием внутренняя поверхность чашки для проб и крышки должна быть тщательно очищена лопаткой или шпателем. Периодически следует слегка полировать внутреннюю поверхность чашки для проб стальной ватой. Конденсатный канал также следует очищать ершом и просушивать перед каждым испытанием. Скопление отложений в конденсаторе может уменьшить конденсацию и привести к ошибочным результатам испытания.
Примечание - Порядок выполнения работ может незначительно меняться в соответствии с типом используемой реторты. Полное описание процедуры см. в инструкциях изготовителя.
8.3.2 Взять представительную пробу бурового раствора на водной основе и остудить ее примерно до 27 °C (80 °F). Процедить анализируемую пробу через сетку с ячейкой 1,68 мм (0,066 дюйма) (12 меш) на воронке Марша, чтобы отделить закупоривающие добавки, крупный шлам или осколки породы.
8.3.3 Если проба бурового раствора содержит газ или воздух, добавить две или три капли антипенной добавки на 300 мл бурового раствора и медленно помешивать в течение 2 - 3 мин для высвобождения газов.
8.3.4 Нанести небольшое количество силиконовой смазки на резьбу на чашке для пробы и конденсаторе. Это предотвратит утечку пара через резьбу, а также облегчит разборку оборудования и его очистку после завершения испытания.
8.3.5 Поместить шарик стальной ваты в камеру над чашкой для пробы. Использовать количество стальной ваты, достаточное, чтобы не допустить попадания твердых частиц в накопитель жидкости при кипении.
Примечание - Это определяется опытным путем.
8.3.6 Наполнить чашку для пробы реторты дегазированным буровым раствором на водной основе, см.
8.3.3. Информацию об удалении воздуха или газа см. в
приложении D.
8.3.7 Аккуратно закрыть чашку для пробы крышкой и позволить избыточному количеству пробы выйти из отверстия в крышке, чтобы обеспечить правильный объем пробы в чашке.
8.3.8 Плотно закрыть крышку и вытереть перелившийся раствор с чашки и крышки. Необходимо убедиться, что после этого резьба чашки для пробы осталась покрытой силиконовой смазкой и отверстие в крышке не закупорено.
8.3.9 Вкрутить чашку реторты в камеру реторты с конденсатором.
8.3.10 Поместить чистый сухой накопитель жидкости под выходным отверстием конденсатора.
| | ИС МЕГАНОРМ: примечание. Нумерация пунктов дана в соответствии с официальным текстом документа. | |
8.8.11 Нагреть реторту и следить за жидкостью, стекающей из конденсатора. Продолжить нагревание реторты в течение 10 мин после полного сбора конденсата.
8.3.12 Убрать накопитель жидкости из-под реторты. Проверить наличие твердых частиц в собранной жидкости. Если твердые частицы обнаружены и весь буровой раствор выкипел из чашки для пробы, то испытание должно быть повторено по
8.3.6.
8.3.13 Зафиксировать объем воды и углеводорода в накопителе жидкости после ее остывания до температуры окружающей среды. Внести в отчет объемы (или процентное соотношение) собранной воды и углеводорода.
8.3.14 Остудить реторту, убрать стальную вату с помощью штопора и очистить чашку для пробы шпателем.
8.4 Расчет
8.4.1 Используя измеренные значения объемов углеводородной фазы и воды и исходное значение общего объема пробы бурового раствора (10 мл, 20 мл или 50 мл), рассчитать в процентах объемное содержание водной, углеводородной и твердой фаз в буровом растворе.
a) Объемное содержание водной фазы:
Объемное содержание воды

, выраженное как процентное отношение к общему объему пробы, рассчитывается по
формуле (12):

, (12)
где VW - объем воды, в мл;
Vdf - объем образца бурового раствора, в мл.
b) Объемное содержание углеводородной фазы:
Объемная доля углеводорода,

, выраженная в процентах от общего объема образца, рассчитывается по
формуле (13):

(13)
где VO - объем углеводорода, мл;
Vdf - объем образца бурового раствора, мл.
c) объемная доля твердой фазы:
объемная доля твердой фазы

, выраженная в процентах от общего объема образца, рассчитывается по
формуле (14):

(14)
Примечание - Процентное содержание (объемная доля) твердых частиц после перегонки в реторте в
формуле (14) является разностью между общим объемом пробы (10 мл, 20 мл или 50 мл) и суммой объемов воды и нефти. Данную разность составляют взвешенные частицы (утяжеляющий материал и частицы малой плотности) и растворенные материалы (например, соль). Данное процентное содержание (объемная доля) твердых частиц после перегонки в реторте состоит только из взвешенных частиц, если буровой раствор не обрабатывается и является буровым раствором на основе пресной воды.
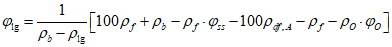
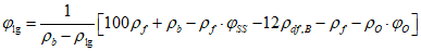
8.4.2 Для определения процентного содержания (относительного объема) взвешенных частиц и соотношения с относительными объемами твердой фазы малой плотности и утяжеляющего материала требуются дополнительные расчеты. Для выполнения данных расчетов требуются точные значения плотности бурового раствора и концентрации хлоридов. Процентное содержание взвешенных частиц

, выраженное в процентах от общего объема пробы, рассчитывается по
формуле (15):

, (15)
где cCl - концентрация хлоридов, мг/л;

- процентное содержание (объемная доля) воды;

- процентное содержание (объемная доля) твердой фазы.
8.4.3 Объемная доля частиц низкой плотности

, выраженная в процентах от общего объема образца, в системе СИ рассчитывается по
формуле (16) и по
формуле (17) для единиц USC:

; (16)

, (17)
где

- плотность бурового раствора, г/см
3;

- плотность бурового раствора, фунт/галлон;

- плотность фильтрата, г/см
3, рассчитывается по
формуле (18):

(18)

- плотность утяжелителей, г/см
3;

- плотность твердых частиц низкой плотности, г/см
3 (если неизвестна, используют значение 2,6 г/см
3);

- плотность углеводородов, г/см
3 (если неизвестна, используют значение 0,8 г/см
3).
8.4.4 Объемное содержание утяжелителя,

, выраженное в процентах от общего объема пробы, рассчитывается по
формуле (19):

. (19)
8.4.5 Концентрации твердой фазы низкой плотности
clg,A утяжелителей
cb,A и взвешенных частиц
cSS,A, кг/м
3, можно рассчитать по
формулам (20),
(21) и
(22):

; (20)

; (21)
cSS,A =
clg,A +
cb,A; (22)
где

- объемная доля твердых частиц низкой плотности, %;

- объемная доля утяжеляющего материала, %.
Концентрации частиц низкой плотности
clg,B, утяжеляющего материала
cb,B и взвешенных твердых частиц
cSS,B, фунт/баррель, могут быть вычислены по
формулам (23),
(24) и
(25) соответственно:

; (23)

; (24)
cSS,B =
clg,B +
cb,B, (25)
где

- объемная доля твердых частиц низкой плотности, %;

- объемная доля утяжеляющего материала, %.
9.1 Принцип
Содержание песка в буровом растворе выражается процентным содержанием (объемным содержанием) частиц с диаметром более 74 мкм. Содержание песка измеряется набором с ситом для песка.
9.2 Оборудование
9.2.1 Сито с ячейками размером 74 мкм (200 меш), диаметром 63,5 мм (2,5 дюйма).
9.2.2 Воронка, соответствующая ситу.
9.2.3 Стеклянный измерительный цилиндр с отметкой объема бурового раствора и со шкалой от 0% до 20% для отсчета процентного содержания песка.
9.3 Порядок выполнения работ
9.3.1 Наполнить стеклянный измерительный цилиндр буровым раствором до отметки "буровой раствор". Долить в цилиндр воду до следующей отметки. Закрыть отверстие цилиндра и тщательно взболтать.
9.3.2 Вылить смесь на чистое влажное сито. Слить жидкость, прошедшую через сито. Долить воду в цилиндр, взболтать и вылить на сито. Повторять до тех пор, пока цилиндр не очистится полностью. Промыть песок, оставшийся на сите, чтобы удалить все остатки бурового раствора.
9.3.3 Поставить перевернутую воронку на сито. Медленно перевернуть конструкцию и вставить носик воронки в отверстие стеклянного измерительного цилиндра. Смыть песок в цилиндр тонкой струей воды. Подождать до оседания песка. По шкале на цилиндре считать процентное содержание песка в растворе.
9.3.4 Внести в отчет данные о содержании песка в процентном отношении (объемная доля). Внести в отчет место отбора пробы бурового раствора, например перед виброситом, в приемной емкости бурового раствора и т.д. Более крупные твердые частицы, отличные от песка (например, материалы для борьбы с поглощением) задерживаются на фильтре, и присутствие таких частиц следует отметить в отчете.
10 Адсорбция метиленового синего
10.1 Принцип
10.1.1 Адсорбция метиленового синего бурового раствора - это показатель количества активных глин (бентонита и/или выбуренной породы) определенный по метиленовому синему. Адсорбция метиленового синего дает оценку общей катионообменной емкости твердой фазы в буровом растворе. Адсорбция метиленового синего и катионообменная емкость необязательно равны, первая обычно несколько меньше, чем реальная катионообменная емкость.
10.1.2 Раствор метиленового синего добавляют к буровому раствору (предварительно обработанному перекисью водорода и окисленному) до насыщения, обозначенного образованием окрашенного "ореола" вокруг капли суспензии, помещенной на фильтровальную бумагу. Вариации процедуры для буровых растворов можно использовать на выбуренном шламе или коммерческом бентоните для оценки количества каждого типа твердых частиц в растворе (см.
[4] или
[5]).
10.1.3 Часто буровые растворы помимо активных глин содержат компоненты, адсорбирующие метиленовый синий. Для устранения влияния органических материалов, таких как лигносульфонаты, лигниты, целлюлозные полимеры, полиакрилаты и др., используют предварительную обработку перекисью водорода.
10.2 Реактивы и оборудование
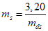
10.2.1 Раствор метиленового синего, метиленовый синий (хч) (CAS No. 61-73-4) 3,20 г/л дистиллированной воды (1 мл = 0,01 мэкв).
Влажность метиленового синего должна определяться при каждом приготовлении раствора. Высушить 1,000 г метиленового синего до постоянной массы при температуре 93 °C +/- 3 °C (200 °F +/- 5 °F). Произвести соответствующую поправку массы порошка метиленового, взятого для приготовления раствора, m
s, выраженную в граммах, по
формуле (26):

, (26)
где mds - масса высушенной пробы, г.
10.2.2 Перекись водорода (CAS N 7722-88-5), H2O2, 3%-ный раствор.
Примечание - H2O2 является сильным окислителем. Следует избегать контакта с кожей.
10.2.3 Серная кислота (CAS N 7664-93-9) (хч), H2SO4, разбавленная, приблизительно 2,5 моль/л (5 н).
ОПАСНО - H2SO4 является едкой и токсичной кислотой.
10.2.4 Шприц, 2,5 мл (TD) или 3 мл (TD).
10.2.5 Коническая колба, 250 мл.
10.2.6 Бюретка, 10 мл (TD); микропипетка, 0,5 мл (TD); или градуированная пипетка, 1 мл (TD).
(Пипетка градуированная по ГОСТ 29227-91 вместимостью 1 см3)
10.2.7 Градуированный цилиндр, 50 мл (TD).
(Мерный цилиндр по ГОСТ 1770-74 вместимостью 50 см3)
10.2.8 Стеклянная или пластиковая палочка.
10.2.9 Плитка для нагревания.
10.2.10 Фильтровальная бумага, Whatman No. 1 <1> или эквивалент.
--------------------------------
<1> Whatman No. 1 является примером доступных коммерческих продуктов. Эта информация приведена для удобства пользователей данной части ISO 10414 и не является утверждением этого продукта ISO.
10.3 Порядок измерения
10.3.1 Добавить 2,0 мл бурового раствора (или объем бурового раствора, требующий от 2 мл до 10 мл раствора метиленового синего) в 10 мл воды в коническую колбу. Следует использовать шприц объемом более 2 мл, обычно 2,5 мл или 3 мл. При использовании шприца увеличенного размера выпускать воздух из шприца не обязательно. Для того чтобы обеспечить добавление шприцем точно 2,0 мл бурового раствора, необходимо использовать следующую процедуру.
a) Удалить воздух или газ, вовлеченные в буровой раствор (информацию об удалении воздуха или газа см. в
приложении D). Перемешать буровой раствор для разрушения гелевой структуры и быстро набрать раствор в шприц. Затем, при погруженном в буровой раствор кончике шприца, медленно опорожнить шприц.
b) Снова набирать буровой раствор шприцем до тех пор, пока конец поршня не сместится на последнее деление шкалы шприца (например, на деление 3 мл для шприца объемом 3 мл).
c) Добавить в воду 2,0 мл бурового раствора, пока конец поршня не сместится точно на 2 мл от последнего деления шкалы шприца. В 3 мл шприце это отметка 1 мл.
10.3.2 Добавить 15 мл 3% перекиси водорода и 0,5 мл серной кислоты. Прокипятить в течение 10 мин, не допуская выкипания раствора. Разбавить водой до объема 50 мл.
10.3.3 Добавлять в колбу по 0,5 мл раствора метиленового синего. Если из предыдущих испытаний известно приблизительное количество раствора метиленового синего, необходимое для достижения конечной точки, то в начале титрования можно добавлять раствор метиленового синего увеличенными порциями (от 1 мл до 2 мл). После каждого добавления раствора метиленового синего взбалтывать содержимое колбы в течение 30 с. Пока твердые частицы находятся во взвешенном состоянии, отобрать одну каплю суспензии с помощью палочки для перемешивания и перенести ее на фильтровальную бумагу. Первая конечная точка титрования достигнута, когда возникает окрашивание в виде синего или бирюзового кольца, окружающего окрашенные твердые частицы, как показано на
рисунке 1, обозначение 4.
1 - выход за пределы конечной точки;
2 - влага;
3 - окрашенные твердые частицы бурового раствора (присутствует связанный краситель);
4 - несвязанный краситель, видимый непосредственно после добавления 6 мл и адсорбированный через 2 мин, что указывает на то, что конечная точка не достигнута
5 - окрашенные твердые частицы бурового раствора;
6 - несвязанный, неадсорбированный краситель;
7 - влага;
8 - конечная точка;
9 - появление пятна после адсорбции в течение дополнительных 2 мин;
--------------------------------
<a> Объем добавленного раствора метиленовой сини, в мл
Рисунок 1 - Проверка конечной точки титрования
метиленовым синим
10.3.4 После обнаружения первой конечной точки взбалтывать содержимое колбы в течение 2 мин и перенести еще одну каплю на фильтровальную бумагу. Если снова наблюдается синее кольцо, то достигнута окончательная конечная точка, как показано на
рисунке 1, обозначение 8. Если синее кольцо не появляется, как показано на
рисунке 1, обозначения 4 и 9, продолжать процедуру по
10.3.3 до тех пор, пока вторая капля, взятая через 2 мин, не покажет синий оттенок, как показано на
рисунке 1. Неадсорбированный краситель, обнаруженный непосредственно после добавления 6 мл раствора метиленового синего, адсорбируется через 2 мин и указывает на то, что конечная точка не достигнута.
10.4 Расчет
Внести в отчет адсорбцию метиленового синего, cMBT, бурового раствора, рассчитанную по формуле

, (27)
где Vmb - объем раствора метиленового синего, мл;
Vdf - объем образца бурового раствора, мл.
Кроме того, адсорбция метиленового синего может быть записана как бентонитовый эквивалент (на основе бентонита с катионообменной емкостью 70 мл-экв/100 г), EBE,A, в кг/м3 или EBE,B, фунт/баррель:

; (28)

. (29)
Примечание - Бентонитовый эквивалент, кг/м
3 (фунт/баррель), полученный по
формулам (28) и
(29), не равняется объему коммерческого бентонита в буровом растворе. Это обусловлено тем, что помимо коммерческого бентонита в состав твердых частиц бурового раствора также входят химически активные глины. См.
[4] и
[5] для получения дополнительной информации о подсчете объема коммерческого бентонита и выбуренных твердых частиц в буровом растворе.
11.1 Принцип
11.1.1 Измерение и регулирования pH бурового раствора (или фильтрата) на буровой очень важно для контроля раствора. От pH зависят взаимодействие глин, растворимость различных компонентов и загрязнителей, эффективность добавок, а также процессы кислотной и сульфидной коррозии.
11.1.2 Термин "pH" означает отрицательный десятичный логарифм концентрации ионов водорода H+, активность в водных растворах (активность и концентрация равны только в разбавленных растворах): pH = -log [H+]. Для чистой воды при температуре 24 °C (75 °F) активность ионов водорода [H+] составляет 10-7 моль/л и pH = 7. Такая система называется "нейтральной" так как активность гидроксильных ионов [OH-] также равна 10-7 моль/л. В водных системах при температуре 24 °C (75 °F) ионное произведение [H+] x [OH-] равно 10-14 (постоянная величина). Следовательно, увеличение H+ означает уменьшение [OH-]. Изменение pH на одну единицу означает десятикратное изменение как [H+], так и [OH-]. Растворы с pH менее 7 называются "кислыми", а растворы с pH более 7 называются "основными" или "щелочными".
11.1.3 Рекомендуемый метод измерения pH бурового раствора предполагает использование pH-метра со стеклянным электродом. Данный метод является точным и дает достоверные значения pH, поскольку не подвержен воздействию помех, если используется система электродов высокого качества и правильно выбрана конструкция прибора. Доступные компактные измерители pH с автоматической температурной компенсацией предпочтительнее приборов, регулируемых вручную.
Колориметрический метод определения pH лакмусовой бумагой и тест-полосками используется для определения pH на буровой, но не является рекомендуемым методом. Такие методы надежны только для очень простых буровых растворов на водной основе. Шлам, растворенные соли и реагенты, жидкости темного цвета являются причиной серьезных ошибок в показаниях лакмусовой бумаги. Обычно точность считывания значений pH составляет около 0,5 pH единицы.
11.2 Реактивы и оборудование
11.2.1 Буферные растворы, откалибровать и отрегулировать наклон pH-метра перед определением параметров пробы при следующих значениях pH:
a) pH = 4,0: водный раствор гидрофталата калия с концентрацией 0,05 моль/л; дает значение pH 4,1 при температуре 24 °C (75 °F);
b) pH = 7,0: водный раствор дигидрата фосфата калия с концентрацией 0,02066 моль/л и двузамещенного фосфорнокислого натрия с концентрацией 0,02934 моль/л; дает значение pH 7,00 при температуре 24 °C (75 °F);
c) pH = 10,0: водный раствор карбоната натрия с концентрацией 0,025 моль/л и бикарбоната натрия с концентрацией 0,025 моль/л; дает показатель pH = 10,01 при температуре 24 °C (75 °F).
Буферные растворы могут быть получены у поставщиков в виде уже готовых растворов, сухих порошков или заданного состава. Буферные растворы следует хранить не более шести месяцев. Дату приготовления раствора следует указывать на флаконах, используемых в промысловых условиях. Следует плотно закупоривать флаконы при хранении.
11.2.2 Дистиллированная или деионизированная вода, в распылителе (или промывалке).
11.2.3 Мягкое жидкое моющее средство.
11.2.4 Гидроокись натрия (CAS No. 1310-73-2) (хч), водный раствор 0,1 моль/л (приблизительно); для восстановления электрода.
ОПАСНО - NaOH является сильным едким щелочным химическим реагентом. Не допускать контакта с кожей.
11.2.5 Соляная кислота (CAS No. 7674-01-0) (хч), водный раствор 0,1 моль/л (приблизительно); для восстановления электрода.
ОПАСНО - HCl является едкой и токсичной кислотой.
11.2.6 Гидродифторит аммония (CAS No. 1341-49-7) (хч), водный 10% раствор (приблизительно); для восстановления электрода.
ОПАСНО - Не допускать контакта с кожей.
11.2.7 Милливольтный потенциометр, со шкалой единиц pH, для измерения разницы потенциалов между электродом со стеклянной мембраной и стандартным электродом сравнения.
Следует выбирать водостойкий, ударопрочный, коррозионно-стойкий портативный прибор. Технические характеристики прибора следующие:
a) диапазон pH: от 0 до 14;
b) тип электронных схем: полупроводниковые (предпочтительно);
c) источник энергии: аккумуляторные батареи (предпочтительно);
d) диапазон рабочих температур: от 0 °C до 66 °C (от 32 °F до 150 °F);
e) считывание показаний: цифровое (предпочтительно);
f) разрешение: 0,1 pH единицы;
g) точность: +/- 0,1 pH единицы;
h) воспроизводимость: 0,1 pH единицы;
i) настройки прибора:
- компенсация "температуры" системы электродов;
- "наклон" электродной системы (предпочтительно);
- "калибровка" считываемых показаний. (Предпочтительно использовать указанный выше прибор со встроенной компенсацией температуры.)
11.2.8 Система электродов, комбинация стеклянного электрода, чувствительного к ионам H+, и стандартного электрода сравнения эталонного напряжения, предпочтительно конструктивно объединенные в единый электрод.
Корпус такого электрода должен быть сделан из прочного материала. Электрод с плоским концом предпочтителен для лучшей защиты и простоты очистки электрода. Рекомендуется водонепроницаемое соединение с измерителем. Технические характеристики системы электродов следующие:
a) шкала показаний pH стеклянного электрода: от 0 до 14 pH единиц;
b) электроды: комбинация стеклянного электрода и серебряного/хлорсеребряного электрода, имеющая керамическое или пластмассовое одинарное или двойное соединение;
Примечание - Для измерения жидкостей, содержащих ионы сульфидов или бромидов, использовать электроды с двойным соединением, чтобы не допустить повреждения системы стандартного (серебряного) электрода сравнения.
c) электролит в электроде сравнения: KCl гель;
d) состав стекла: обеспечивающее незначительную натриевую ошибку;
e) натриевая ошибка: при pH = 13 или при 0,1 моль Na+ ион, погрешность менее 0,1 pH единицы.
11.2.9 Тонкая ткань, мягкая, промокать электроды.
11.2.10 Термометр, стеклянный, от 0 °C до 105 °C (от 32 °F до 220 °F).
11.2.11 Ерш для химической посуды, с мягкой щетиной, для очистки электродов.
11.2.12 Склянка для хранения электродов, предназначенная для хранения электродов во влажном состоянии.
11.3 Порядок выполнения работ для измерения pH (следуйте инструкциям производителя прибора)
11.3.1 Взять пробу испытываемой жидкости. Довести ее до температуры 24 °C +/- 3 °C (75 °F +/- 5 °F).
11.3.2 Довести буферный раствор до температуры, равной температуре испытываемой жидкости.
Для точного измерения pH следует, чтобы испытываемая жидкость, буферный раствор и электрод сравнения имели одинаковую температуру. Значение pH буферного раствора, указанное на ярлыке, верно только при температуре 24 °C (75 °F). Если калибровка проходит при другой температуре, следует использовать фактический pH буферного раствора при данной температуре. В процессе калибровки следует использовать таблицы значений pH буферного раствора при различных температурах, полученные от поставщика.
11.3.3 Промыть электроды дистиллированной водой и насухо промокнуть мягкой тканью.
11.3.4 Поместить электрод в буферный раствор с pH 7,0.
11.3.5 Включить измеритель, подождать 60 с для стабилизации показаний (если показания не стабилизируются, следует выполнить действия указанные в
11.4).
11.3.6 Измерить температуру буферного раствора с pH 7,0.
11.3.7 Установить данную температуру, используя кнопку "температура".
11.3.8 Установить показания измерителя на отметке "7,0", используя кнопку "калибровка".
11.3.9 Промыть электрод дистиллированной водой и насухо промокнуть.
11.3.10 Повторить действия, приведенные в
11.3.6 по
11.3.9, с использованием буферного раствора pH 4,0 или pH 10,0. Использовать pH 4,0, если испытываемая проба является "кислой", и pH 10,0, если проба является "щелочной". Соответственно установить измеритель на число "4,0" или "10,0", используя кнопку регулировки "наклон". (Если кнопка "наклон" отсутствует, использовать кнопку "температура" для установления значения "4,0" или "10,0" на измерителе.)
11.3.11 Повторно проверить измеритель, используя буферный раствор с pH 7. Если показания изменились, переключить прибор на отметку "7,0" с помощью кнопки "калибровка". Повторить действия с
11.3.6 по
11.3.9. Если измеритель дает показания отличные от значения pH буферного раствора, восстановить или заменить электроды, как показано в
11.4.
Вылить и не использовать повторно буферные растворы, использованные при калибровке. Измеритель следует калибровать каждый день, как показано в
11.3.2 по
11.3.9, с использованием двух буферных растворов. Проверять с помощью буферного раствора pH 7,0 каждые 3 ч при непрерывном использовании измерителя и перед использованием, если между измерениями прошло более 3 ч.
11.3.12 Если измеритель дает правильные показания, промыть электроды дистиллированной водой и промокнуть насухо. Поместить электрод в испытываемую пробу и аккуратно перемешивать. После стабилизации в течение 60 - 90 с зафиксировать показание.
11.3.13 Внести в отчет показания pH с точностью до 0,1 pH единицы и температуру пробы.
11.3.14 Тщательно промыть электрод для следующего использования и поместить его в склянку с буферным раствором с pH 4,0. Не допускать высыхания рабочего конца электрода.
11.3.15 Выключить измеритель и закрыть его крышкой для защиты прибора. Не допускать хранение прибора при экстремальных температурах [ниже 0 °C (32 °F) или выше 50 °C (120 °F)].
11.4 Уход за электродом
(следуйте инструкциям производителя)
11.4.1 Необходимо периодически чистить электрод, особенно если частицы нефти или глины остаются на поверхности стеклянного электрода или на пористой керамике электрода сравнения. Чистить электрод мягкой щеткой и мягким моющим средством.
11.4.2 Восстановление электрода может быть необходимо, если закупоривание становится более сильным, что определяется по медленному отклику, отклонениям показаний или если "наклон" и "калибровка" измерителя не могут быть взаимно отрегулированы.
11.4.3 Чтобы восстановить электрод, погрузить его на 10 мин в раствор HCl с концентрацией 0,1 моль/л, затем промыть водой и поместить на 10 мин в раствор NaOH с концентрацией 0,1 моль/л и снова промыть.
11.4.4 Проверить отклик электрода, выполнив калибровку в соответствии с
11.3.1 -
11.3.15.
11.4.5 Если электрод продолжает давать неверные показания, поместить электрод в 10% раствор гидродифторида аммония на 2 мин. Повторить действия по
11.3.1 -
11.3.15 для проверки калибровки.
11.4.6 Заменить систему электродов, если процедуры по
11.4.3 -
11.4.5 не приводят к восстановлению электрода.
12 Щелочность и содержание извести
12.1 Принцип
12.1.1 Щелочность может рассматриваться как способность вещества нейтрализовать кислоту. При испытаниях бурового раствора измерение щелочности может быть произведено как в цельном буровом растворе (обозначается индексом "df") так и в его фильтрате (обозначается индексом "f"). Данные, полученные при определении щелочности, могут быть также использованы для оценки концентрации гидроксильных ионов [OH-], карбонат-ионов [CO32-] и бикарбонат-ионов [HCO3-] в буровом растворе.
12.1.2 Знание щелочности бурового раствора или его фильтрата является важным фактором для многих буровых работ для обеспечения правильного контроля химического состава бурового раствора. Для правильного действия добавок к буровым растворам, особенно некоторых дефлокулянтов, требуется щелочная среда. Щелочность гидроксил-ионов обычно рассматривается как полезная, в то время как щелочность от карбонатов и/или бикарбонатов может оказывать отрицательное влияние на характеристики бурового раствора.
12.1.3 За щелочность фильтрата главным образом отвечают гидроксил-ионы [OH-], карбонат-ионы [CO32-] и бикарбонат-ионы [HCO3-]. Важно понимать, что тип карбонатов может меняться из одной формы в другую при изменении pH раствора. Интерпретация щелочности фильтрата включает в себя вычисление разности между результатами титрования, полученными по следующей методике. Именно по этой причине важно особое внимание к точности измерения реактивов на всех этапах процедуры. Кроме того, важно понимать, что следующие расчеты только оценивают концентрации типов ионов, основываясь на теоретических реакциях химического равновесия.
12.1.4 Часто состав фильтрата бурового раствора такой сложный, что трактовка щелочности в терминах предположительно присутствующих ионов может быть ошибочной. Любое конкретное значение щелочности представляет все ионы, которые реагируют с кислотой, в диапазоне pH выше протестированного значения. Помимо гидроксильных, карбонатных и бикарбонатных ионов щелочность могут увеличивать такие неорганические ионы, как бораты, силикаты, сульфиды и фосфаты. Также в буровом растворе могут присутствовать анионные органические разжижители, понизители фильтрации и продукты их деструкции, которые могут значительно увеличивать значение щелочности и маскировать изменение цвета в конечной точке титрования. Эти органические материалы особенно сильно увеличивают M
f щелочность и, таким образом, делают тест неточным при обработке бурового раствора органическими разжижителями. Тем не менее для простых бентонитовых буровых растворов, не содержащих органических разжижителей, P
f и M
f щелочность (см.
12.3) может использоваться для определения карбонатного/бикарбонатного загрязнения и его нейтрализации.
12.2 Приборы и реактивы
12.2.1 Серная кислота (CAS N 7664-93-9) (хч), стандартный 0,02н (N/50) раствор.
ОПАСНО - H2SO4 является сильной и токсичной кислотой.
12.2.2 Индикаторный раствор фенолфталеина (CAS N 518-51-4) (хч): 1 г фенолфталеина на 100 мл спиртово-водного раствора (соотношение спирта и воды 1:1).
12.2.3 Индикаторный раствор метилоранжа (CAS N 547-58-0) (хч): 0,1 г метилоранжа на 100 мл воды.
12.2.4 pH-метр (опционально).
Примечание - Результат измерения щелочности с помощью pH-метра точнее метода определения щелочности с помощью индикаторного раствора.
12.2.5 Сосуд для титрования объемом 100 мл или 150 мл, предпочтительно белого цвета.
12.2.6 Градуированные пипетки объемом 1 мл (TD) и 10 мл (TD).
(Пипетки градуированные по ГОСТ 29227-91 вместимостью 1 см3 и 10 см3)
12.2.7 Мерная пипетка объемом 1 мл (TD).
(Пипетка по ГОСТ 29169-91 вместимостью 1 см3).
12.2.8 Шприц объемом 1 мл (TD).
12.2.9 Палочка для перемешивания.
12.3 Порядок выполнения работ. Измерение щелочности фильтрата по фенолфталеину и метилоранжу
12.3.1 Отмерить один или несколько миллилитров фильтрата в сосуд для титрования. Добавить две или более капли индикаторного раствора фенолфталеина. Если индикатор окрасится в розовый цвет, добавлять по капле серную кислоту 0,02н (н/50) в сосуд из градуированной пипетки при перемешивании до тех пор, пока розовый цвет не исчезнет. Если проба имеет такую интенсивную окраску, что изменение окраски индикатора незаметно, конечную точку можно получить, когда показатель pH достигает отметки 8,3 по pH-метру. (Измерение показателя pH см. в
разделе 11).
12.3.2 Внести в отчет щелочность фильтрата по фенолфталеину Pf, мл, серной кислоты 0,02 н, необходимой на 1 мл фильтрата.
12.3.3 В пробу, титрованную до конечной точки P
f, добавить 2 или 3 капли индикаторного раствора метилоранжа. По капле добавлять серную кислоту 0,02н (н/50) из пипетки при перемешивании до тех пор, пока цвет индикатора не изменится с желтого на розовый. Конечную точку можно также получить, когда показатель pH достигает отметки 4,3 по pH-метру. (Измерение показателя pH см. в
разделе 11).
12.3.4 Внести в отчет щелочность фильтрата по метилоранжу Mf, в миллилитрах серной кислоты 0,02н, необходимой на 1 мл фильтрата для достижения конечной точки по метилоранжу (включая количество, необходимое для получения конечной точки Pf).
12.4 Порядок выполнения работ. Измерение щелочности бурового раствора по фенолфталеину
12.4.1 Отмерить 1,0 мл бурового раствора в сосуд для титрования с помощью шприца или мерной пипетки. Разбавить пробу бурового раствора дистиллированной водой в объеме от 25 мл до 50 мл. Добавить от 4 до 5 капель индикаторного раствора фенолфталеина и, если индикатор окрасится в розовый цвет, во время перемешивания быстро титровать раствор стандартным раствором серной кислоты 0,02н (н/50) до тех пор, пока розовый цвет не исчезнет. Если конечная точка изменения окраски индикаторного раствора незаметна, конечную точку можно получить, когда показатель pH достигает значения 8,3 по pH-метру. (Измерение показателя pH см. в
разделе 11).
Если в растворе предполагается примесь цемента, титрование должно происходить так быстро, как только возможно, и конечная точка должна быть зафиксирована, как только начнет исчезать розовая окраска.
12.4.2 Внести в отчет щелочность бурового раствора по фенолфталеину Pdf в мл серной кислоты 0,02н (н/50), необходимой на 1 мл бурового раствора.
12.5 Расчет концентрации ионов по Pf и Mf
Массовая концентрация гидроксил-ионов, карбонат-ионов и бикарбонат-ионов может быть рассчитана по
Pf и
Mf, как показано в
таблице 4.
Таблица 4
Концентрации гидроксил-ионов, карбонат-ионов
и бикарбонат-ионов
Значения Pf и Mf | Концентрация, мг/л |
OH- | CO32- | HCO3- |
Pf = 0 | 0 | 0 | 1220Mf |
2 Pf < Mf | 0 | 1200Pf | 1220 (Mf - 2Pf) |
2 Pf = Mf | 0 | 1200Pf | 0 |
2 Pf > Mf | 340 (2Pf - Mf) | 1200 (Mf - Pf) | 0 |
Pf = Mf | 340Pf | 0 | 0 |
12.6 Определение содержания извести
12.6.1 Определить
Pf и
Pdf фильтрата и бурового раствора в соответствии с
12.3 и
12.4.
Определить объемную долю воды в буровом растворе
FW, используя значение объемного содержания воды, выраженное в виде десятичной дроби, полученное при определении содержания жидкой и твердой фазы
(раздел 8), по следующей формуле:

, (30)
где

- объемная доля воды в буровом растворе, % (см.
раздел 8).
12.6.2 Записать содержание извести в буровом растворе
Clime,A, кг/м
3 по
формуле (31) [или
Clime,B, фунт/баррель, по
формуле (32)]:
Clime,A = 0,742 (
Pdf -
FW Pf); (31)
Clime,B = 0,26 (
Pdf -
FW Pf), (32)
где FW - объемная доля воды в буровом растворе, выраженная в десятичных дробях;
Pdf - фенолфталеиновая щелочность бурового раствора;
Pf - фенолфталеиновая щелочность фильтрата.
13 Содержание хлорид-иона
13.1 Принцип
При определении содержания ионов хлора измеряется концентрация ионов хлора в фильтрате бурового раствора.
13.2 Реактивы и оборудование
13.2.1 Раствор нитрата серебра (CAS No. 7761-88-8) (хч) с концентрацией 4,791 г/л (0,0282н; эквивалентно 0,001 г/мл хлорид-ионов), хранить в темном или непрозрачном сосуде.
13.2.2 Индикаторный раствор хромата калия (CAS No. 7789-00-6) (хч), 5 г/100 мл дистиллированной воды.
ОПАСНО - Этот продукт относится к канцерогенам и требует осторожного обращения.
13.2.3 Раствор серной кислоты (CAS No. 7664-93-9) (хч) или азотной кислоты (CAS No. 7697-37-2) (хч), стандартизованный 0,02н (н/50).
ОПАСНО - H2SO4 и HNO3 являются сильными и токсичными кислотами.
13.2.4 Индикаторный раствор фенолфталеина (CAS No. 518-51-4) (хч), 1 г/100 мл водно-спиртового раствора 1:1.
13.2.5 Карбонат кальция (CAS No. 471-34-1), осажденный, химически чистый.
13.2.6 Дистиллированная вода.
13.2.7 Градуированные пипетки объемом 1 мл (TD) и 10 мл (TD).
(Пипетки градуированные по ГОСТ 29227-91 вместимостью 1 см3 и 10 см3.)
13.2.8 Сосуд для титрования объемом 100 мл или 150 мл, предпочтительно белого цвета.
13.2.9 Палочка для перемешивания.
13.3 Порядок выполнения работ
13.3.1 Отмерить 1 мл или более фильтрата в сосуд для титрования. Добавить от 2 до 3 капель раствора фенолфталеина. Если фильтрат окрасится в розовый цвет, по капле добавлять серную кислоту из пипетки во время перемешивания до тех пор, пока розовый цвет не исчезнет. Если фильтрат первоначально имел интенсивную окраску, дополнительно добавить в фильтрат 2 мл 0,02н (н/50) серной или азотной кислоты и перемешать. Затем добавить 1 г карбоната кальция и перемешать.
13.3.2 Добавить от 25 до 50 мл дистиллированной воды и от 5 до 10 капель раствора хромата калия. Непрерывно перемешивая раствор, добавлять по капле стандартизованный раствор нитрата серебра из пипетки до тех пор, пока цвет не изменится с желтого на оранжево-красный и сохранится в течение 30 с. Записать объем раствора нитрата серебра, необходимый для достижения конечной точки. Если было использовано более чем 10 мл раствора нитрата серебра, повторить испытание с меньшим объемом пробы фильтрата
Примечание - Если концентрация ионов хлора в фильтрате превышает 10000 мг/л, можно использовать раствор нитрата серебра, эквивалентный 0,01 г/мл (0,282 н) ионов хлора. Коэффициент 1000 в
формуле (33) в при этом меняется на 10000.
13.4 Расчет
13.4.1 Внести в отчет концентрацию ионов хлора в фильтрате c
Cl, мг/л, рассчитанную по
формуле (33):

, (33)
где Vsn - объем раствора нитрата серебра, мл;
Vf - объем фильтрата, мл.
13.4.2 Определить содержание хлорида натрия, NaCl, в мг/л, можно по следующей формуле:
cNaCl = 1,65 cCl. (34)
13.4.3 Для преобразования миллиграммов на литр в части на миллион по массе (единицы USC), использовать
Формулу (35) и плотность фильтрата, определенную по
формуле (18):

. (35)
Примечание - В сильно разбавленных растворах миллиграммы на литр эквивалентны частям на миллион.
14 Общая жесткость в пересчете на кальций
14.1 Принцип
Жесткость воды или фильтрата бурового раствора зависит, прежде всего, от содержания ионов кальция и магния. При добавлении ЭДТА (или ее солей) в воду или фильтрат бурового раствора, она вступает во взаимодействие и с кальцием и магнием, и конечная точка определяется с помощью соответствующего индикатора. Общая жесткость воды или фильтрата выражается в миллиграммах кальция на литр. Темный фильтрат можно предварительно обесцветить гипохлоритом натрия.
14.2 Реактивы и оборудование
14.2.1 Раствор ЭДТА (CAS No. 6381-92-6) (хч), 0,01 моль/л; стандартизованная двунатриевая соль дигидрата этилендиаминтетрауксусной кислоты (1 мл/мл пробы = 1000 мг CaCO3, 1 мл/мл пробы = 400 мг Ca2+).
Примечание - ЭДТА поставляется с различными наименованиями: наиболее распространены наименования

<1> и "стандартный раствор Versenate".
--------------------------------
<1>

является примером доступных коммерческих продуктов. Эта информация приведена для удобства пользователей данной части ISO 10414 и не является утверждением этого продукта ISO.
14.2.2 Буферный раствор, 67,5 г хлорида аммония (CAS No. 12125-02-9) (хч) и 570 мл гидроксида аммония (CAS No. 1336-21-6) (15 н), разбавленные дистиллированной водой до отметки 1000 мл.
14.2.3 Раствор индикатора жесткости, 1 г/л

<2> или его эквивалента; 1-(1-гидрокси-4-метил-2-фенилазо)-2-нафтол-4-сульфокислота (CAS No. 3147-14-6) в дистиллированной воде.
--------------------------------
<2>

является примером доступных коммерческих продуктов. Эта информация приведена для удобства пользователей данной части ISO 10414 и не является утверждением этого продукта ISO.
[Допустимо использование других индикаторов жесткости, работающих в описанных условиях, например, Эриохром черный Т (1 г ЭХЧТ (хч) растолочь в ступке с 99 г хлорида натрия (хч) или хлорида калия (хч)].
14.2.4 Уксусная кислота (CAS No. 64-19-7), ледяная.
ОПАСНО - Не допускать контакта с кожей.
14.2.5 Маскирующий агент, смесь в пропорции по объему 1:1:2 триэтаноламин (CAS No. 102-71-6): тетраэтиленпентамин (CAS No. 112-57-2): дистиллированная вода.
14.2.6 Раствор гипохлорита натрия (CAS No. 7681-52-9) (хч), 5,25% (масс.) в деионизированной (дистиллированной) воде.
ОПАСНО - Не допускать контакта с кожей.
Не следует использовать различные виды промышленных отбеливателей белья, содержащие гипохлорит кальция или щавелевую кислоту. Убедиться, что гипохлорит натрия свежий, так как со временем его качество ухудшается.
14.2.7 Деионизированная или дистиллированная вода
Следует определить жесткость деионизированной воды и раствора гипохлорита натрия, взяв 50,0 мл деионизированной воды и 10 мл раствора гипохлорита натрия без образца фильтрата бурового раствора, и выполнить действия по
14.3.7 и
14.3.8. Если процедура затем повторяется с образцом раствора с использованием 50 мл деионизированной воды и 10 мл раствора гипохлорита натрия в соответствии с
14.3.2 по
14.3.6, то жесткость испытываемой пробы может быть определена путем вычитания жесткости деионизированной воды и гипохлорита.
14.2.8 Сосуд для титрования, например, химический стакан объемом 150 мл.
14.2.9 Градуированные пипетки объемом 5 мл (TD) и 10 мл (TD).
(Пипетки градуированные по ГОСТ 29227-91 вместимостью 5 см3 и 10 см3).
14.2.10 Мерные пипетки, объемом 1 мл (TD), 2 мл (TD) и 5 мл (TD)
(Пипетка по ГОСТ 29169-91 вместимостью 1 см3, 2 см3, 5 см3).
14.2.11 Нагревательная плитка (требуется, если фильтрат окрашен).
14.2.12 Полоска индикаторной бумаги для определения pH.
14.3 Порядок выполнения работ
14.3.1 Отмерить 1 мл или более образца фильтрата бурового раствора в химический стакан объемом 150 мл. (Если фильтрат прозрачный или только слегка окрашен, пропустить процедуры с
14.3.2 по
14.3.5).
14.3.2 Добавить 10 мл раствора гипохлорита натрия и перемешать.
14.3.3 Добавить 1 мл ледяной уксусной кислоты и перемешать.
14.3.4 Кипятить пробу в течение 5 мин. Во время кипячения поддерживать неизменный объем пробы, доливая необходимое количество деионизированной воды. Кипячение требуется для удаления избыточного хлора. Отсутствие хлора может быть проверено погружением полоски индикаторной бумаги pH в пробу. Если бумага побелела, необходимо продолжить кипячение.
Выполнять работы в хорошо проветриваемом помещении.
14.3.6 Промыть внутреннюю поверхность стакана деионизированной водой и долить в пробу деионизированную воду до 50 мл. Добавить примерно 2 мл буферного раствора и перемешать.
Примечание - Присутствие растворенного железа может помешать определению конечной точки. Если предполагается присутствие железа, добавить смесь триэтаноламин: тетраэтиленпентамин: вода (в соотношении 1:1:2 по объему), которая является применяемым маскирующим агентом. Для титрования используется 1 мл данной смеси.
14.3.7 Добавить достаточное количество индикатора жесткости (от 2 до 6 капель) и перемешать. Если в растворе присутствуют кальций и/или магний, раствор приобретет винно-красный цвет.
14.3.8 При перемешивании производить титрование раствором ЭДТА до соответствующей конечной точки. Индикаторы кальция изменят цвет с красного на синий. Конечная точка лучше всего идентифицируется как точка, когда добавление раствора ЭДТА больше не изменяет цвет. Объем раствора ЭДТА, добавленного при титровании, используется для расчетов в
14.4.
Общая жесткость как концентрация ионов кальция и магния c
Ca+Mg, выраженная в мг/л кальция, рассчитывается по
формуле (36):

, (36)
где VEDTA - объем раствора ЭДТА, мл;
Vs - объем образца фильтрата бурового раствора, мл.
Примечание - Концентрация кальция и магния широко известна в промышленности как общая жесткость и выражается через содержание кальция.
(справочное)
ХИМИЧЕСКИЙ АНАЛИЗ БУРОВЫХ РАСТВОРОВ НА ВОДНОЙ ОСНОВЕ
A.1.1 Принцип
При добавлении ЭДТА (или ее солей) в воду или фильтрат бурового раствора, содержащий кальций и магний, в первую очередь она вступает в реакцию с кальцием. Кальций может быть определен с помощью ЭДТА, когда pH пробы достаточно высок для выпадения в осадок магния в виде гидроксида и когда используется специальный индикатор для кальция. Несколько индикаторов дают изменение цвета, когда весь кальций прореагирует с ЭДТА при показателе pH от 12 до 13. Темный фильтрат можно обесцветить гипохлоритом натрия.
A.1.2 Реактивы и оборудование
A.1.2.1 Раствор ЭДТА (CAS No. 6381-92-6) (хч), 0,01 моль/л; стандартизованная двунатриевая соль дигидрата этилендиаминтетрауксусной кислоты (1 мл/мл пробы = 1000 мг CaCO3, 1 мл/мл пробы = 400 мг Ca2+).
Примечание - ЭДТА поставляется с различными наименованиями: наиболее распространены наименования,

<1> и "стандартный раствор Versenate".
--------------------------------
<1>

является примером доступных коммерческих продуктов. Эта информация приведена для удобства пользователей данной части ISO 10414 и не является утверждением этого продукта ISO.
A.1.2.2 Буферный раствор кальция: 1 моль/л (1 н) гидроксида натрия (CAS No. 1310-73-2) (хч).
ОПАСНО - NaOH является сильной щелочью. Не допускать контакта с кожей.
A.1.2.3 Индикатор кальция,

II <2> или гидроксинафтол голубой (CAS No. 63451-35-4).
--------------------------------
<2>

II является примером доступных коммерческих продуктов. Эта информация приведена для удобства пользователей данной части ISO 10414 и не является утверждением этого продукта ISO.
[Допускается использовать другие индикаторы кальция, работающие в описанных условиях, например, Мурексид (1 г порошка индикатора растолочь в ступке с 99 г хлорида натрия (хч) или хлорида калия (хч)].
A.1.2.4 Уксусная кислота (CAS No. 64-19-7), ледяная.
ОПАСНО - Не допускать контакта с кожей.
A.1.2.5 Емкость для титрования, например, химический стакан объемом 150 мл.
A.1.2.6 Градуированные пипетки объемом 1 мл (TD) и 10 мл (TD).
(Пипетки градуированные по ГОСТ 29227-91 вместимостью 1 см3 и 10 см3).
A.1.2.7 Мерные пипетки объемом 1 мл (TD), 2 мл (TD) и 5 мл (TD).
(Пипетка по ГОСТ 29169-91 вместимостью 1 см3, 2 см3, 5 см3).
A.1.2.8 Нагревательная плитка (требуется, если фильтрат окрашен).
A.1.2.9 Маскирующий агент, смесь с соотношением по объему 1:1:2 триэтаноламин (CAS No. 102-71-6): тетраэтиленпентамин (CAS No. 112-57-2): дистиллированная вода.
A.1.2.10 Индикаторная бумага pH.
A.1.2.11 Градуированный цилиндр объемом 50 мл (TC).
(Мерный цилиндр по ГОСТ 1770-74 вместимостью 50 см3).
A.1.2.12 Гипохлорита натрия (CAS No. 7861-52-9) (хч) раствор: массовое содержание 5,25% в деионизированной воде.
ОПАСНО - Не допускать контакта с кожей.
Не следует использовать различные виды промышленных отбеливателей белья, содержащие гипохлорит кальция или щавелевую кислоту. Убедиться, что гипохлорит натрия свежий, так как со временем его качество ухудшается.
A.1.2.13 Деионизированная или дистиллированная вода.
Следует определить содержание кальция в деионизированной воде и растворе гипохлорита натрия, взяв 50,0 мл деионизированной воды и 10 мл раствора гипохлорита натрия без контрольной пробы. Если процедура затем повторяется на контрольной пробе с использованием 50 мл деионизированной воды и 10 мл раствора гипохлорита натрия согласно
A.1.3, то содержание кальция в испытательной пробе может быть определено путем вычитания содержания кальция в деионизированной воде и растворе гипохлорита натрия.
A.1.3 Порядок выполнения работ
A.1.3.1 Отмерить 1 мл или более образца фильтрата бурового раствора в химический стакан объемом 150 мл с помощью мерной пипетки. Такой объем пробы используется при расчете в
формуле (A.1). Если фильтрат бесцветный или только слегка окрашен, пропустить процедуры с
A.1.3.2 по
A.1.3.5.
A.1.3.2 С помощью градуированной пипетки добавить 10 мл раствора гипохлорита натрия и перемешать.
A.1.3.3 С помощью градуированной пипетки добавить 1 мл ледяной уксусной кислоты и перемешать.
A.1.3.4 Кипятить пробу в течение 5 мин. Во время кипячения поддерживать неизменный объем пробы, доливая необходимое количество деионизированной воды. Кипячение требуется для удаления избыточного хлора. Отсутствие хлора может быть проверено погружением полоски индикаторной бумаги pH в пробу. Если бумага побелела, необходимо продолжить кипячение. Достаточно прокипяченная проба показывает pH, равный 5,0.
A.1.3.6 Промыть внутреннюю поверхность стакана деионизированной водой и долить в пробу деионизированную воду до 50 мл. Добавить примерно от 10 мл до 15 мл буферного раствора кальция или гидроксида натрия в количестве, достаточном, чтобы получить pH от 12 до 13.
Примечание - Присутствие растворенного железа может помешать определению конечной точки. Если предполагается присутствие железа, добавить смесь триэтаноламин:тетраэтиленпентамин:вода (в соотношении 1:1:2 по объему), которая является применимым маскирующим агентом. Добавить 1 мл данной смеси после A.1.3.6.
A.1.3.7 Добавить достаточное количество индикатора кальция (от 0,1 г до 0,2 г) до получения от розового до винно-красного цвета, если в растворе присутствует кальций. Избыточное количество индикатора усложнит определение конечной точки.
Примечание - Добавление нескольких капель метилоранжа перед добавлением индикатора кальция может улучшить видимость конечной точки.
A.1.3.8 При перемешивании производить титрование стандартным раствором ЭДТА до соответствующей конечной точки. Индикаторы кальция изменят цвет с красного на синий
(голубой). Конечная точка лучше всего идентифицируется как точка, когда добавление раствора ЭДТА больше не изменяет цвет раствора. Объем раствора ЭДТА используется для расчетов по
формуле (A.1).
A.1.4 Расчет
Концентрация ионов кальция,
cCa, мг/л, рассчитывается по
формуле (A.1):

, (A.1)
где cCa - концентрация ионов кальция, мг/л;
VEDTA - объем раствора ЭДТА, мл (1 мл = 400 мг Ca2+);
Vf - объем образца фильтрата бурового раствора, мл.
A.2 Магний
A.2.1 Принцип
Содержание магния в фильтрате бурового раствора может быть вычислено путем вычитания содержания ионов кальция из общей жесткости. Это дает концентрацию ионов магния в пересчете на кальций, что можно перевести в ионы магния, умножив получившееся значение на отношение атомных масс (24,3/40 = 0,6).
A.2.2 Порядок выполнения работ
A.2.2.1 Определить общую жесткость в пересчете на кальций (см.
14.3 и
14.4).
A.2.2.2 Определить содержание кальция согласно
A.1.
A.2.3 Расчет
Концентрация ионов магния c
Mg, мг/л, вычисляется по
формуле (A.2):
cMg = 0,6·(
cCa+Mg -
cCa), (A.2)
где cCa+Mg - общая жесткость, выраженная через содержание кальция, мг/л;
cCa - концентрация ионов кальция, мг/л.
A.3 Сульфат кальция
A.3.1 Принцип
Содержание сульфата кальция в буровом растворе определяется с помощью ЭДТА, как приведено в
A.1, определением общего содержания кальция в фильтрате бурового раствора и цельном буровом растворе. Затем можно рассчитать содержание общего и нерастворенного сульфата кальция в буровом растворе.
A.3.2 Реактивы и оборудование
A.3.2.1 Раствор ЭДТА (CAS No. 6381-92-6) (хч), 0,01 моль/л; стандартизованная двунатриевая соль дигидрата этилендиаминтетрауксусной кислоты (1 мл/мл пробы = 1000 мг CaCO3, 1 мл/мл пробы = 400 мг Ca2+).
Примечание - ЭДТА поставляется с различными наименованиями: наиболее распространены наименования,

<1> или "стандартный раствор Versenate".
--------------------------------
<1>

является примером доступных коммерческих продуктов. Эта информация приведена для удобства пользователей данной части ISO 10414 и не является утверждением этого продукта ISO.
A.3.2.2 Буферный раствор кальция: 1 моль/л (1н) гидроксид натрия (CAS No. 1310-73-2) (хч).
ОПАСНО - NaOH является сильной щелочью. Не допускать контакта с кожей.
A.3.2.3 Индикатор кальция

II <2> или гидроксинафтол голубой (CAS No. 63451-35-4)
(или аналоги).
--------------------------------
<2>

II является примером доступных коммерческих продуктов. Эта информация приведена для удобства пользователей данной части ISO 10414 и не является утверждением этого продукта ISO.
A.3.2.4 Уксусная кислота (CAS No. 64-19-7), ледяная.
ОПАСНО - Не допускать контакта с кожей.
A.3.2.5 Маскирующий агент: смесь с соотношением по объему 1:1:2 триэтаноламин (CAS No. 102-71-6): тетраэтиленпентамин (CAS No. 112-57-2): дистиллированная вода.
A.3.2.6 Раствор гипохлорита натрия (CAS No. 7861-52-9) (хч), массовое содержание 5,25% в деионизированной воде.
ОПАСНО - Не допускать контакта с кожей.
Не следует использовать различные виды промышленных отбеливателей белья, содержащие гипохлорит кальция или щавелевую кислоту. Убедиться, что гипохлорит натрия свежий, так как со временем его качество ухудшается.
A.3.2.7 Деионизированная или дистиллированная вода.
Следует определить содержание сульфата кальция в деионизированной воде и растворе гипохлорита натрия, взяв 10 мл деионизированной воды и 10 мл раствора гипохлорита натрия без контрольной пробы. Если процедура затем повторяется на контрольной пробе с использованием 10 мл деионизированной воды и 10 мл раствора гипохлорита натрия, в соответствии с
A.3.3, то содержание сульфата кальция в пробе для анализа может быть определено путем вычитания содержания сульфата кальция в деионизированной воде и растворе гипохлорита натрия.
A.3.2.8 Сосуд для титрования, химический стакан объемом 150 мл.
A.3.2.9 Градуированные пипетки объемом 1 мл (TD) и 10 мл (TD).
(Пипетки градуированные по ГОСТ 29227-91 вместимостью 1 см3 и 10 см3).
A.3.2.10 Мерные пипетки, объемом 1 мл (TD), 2 мл (TD), 5 мл (TD) и 10 мл (TD).
(Пипетка по ГОСТ 29169-91 вместимостью 1 см3, 2 см3, 5 см3).
A.3.2.11 Нагревательная плитка (требуется, если фильтрат окрашен).
A.3.2.12 Индикаторная бумага pH.
A.3.2.13 Градуированный цилиндр, объемом 50 мл (TC).
(Мерный цилиндр по ГОСТ 1770-74 вместимостью 50 см3).
A.3.2.14 Реторта для бурового раствора, описанная в
8.
A.3.3 Порядок выполнения работ
A.3.3.1 Добавить 5 мл бурового раствора в 245 мл деионизированной воды. Перемешивать в течение 15 мин и профильтровать через стандартный фильтр-пресс в соответствии с
7.2.2. Собрать только прозрачный фильтрат. Добавить 10 мл чистого фильтрата в химический стакан объемом 150 мл с помощью мерной пипетки на 10 мл, титровать до конечной точки ЭДТА, как описано в
A.1, и записать этот объем EDTA как
VEDTA,df.
A.3.3.2 Титровать 1 мл исходного фильтрата бурового раствора (полученного, как описано в
7.2) до конечной точки ЭДТА. Обозначить данный объем ЭДТА как
VEDTA,f
A.3.3.3 Определить объемное содержание воды в буровом растворе,
Fw, выраженное десятичной дробью, используя значение объемного содержания воды, выраженное в процентах, рассчитанное при определении жидкой и твердой фаз [см.
8 и
формулу (A.3):

. (A.3)
A.3.4 Расчет
A.3.4.1 Вычислить концентрацию сульфата кальция в буровом растворе
cCaSO4,A, выраженную кг/м3, по
формуле (A.4) [или
cCaSO4,B, выраженную фунт/баррель по
формуле (A.5)]:
cCaCO4,A = 6,60
VEDTA,df (A.4)
cCaCO4,B = 2,31
VEDTA,df, (A.5)
где
VEDTA,df - объем раствора ЭДТА для титрования цельного бурового раствора, см.
A.3.3.1
A.3.4.2 Вычислить концентрацию (избыточного) нерастворенного сульфата кальция в буровом растворе,
cex-CaSO4,A, кг/м
3, по
формуле (A.6) [или
cex-CaSO4,B, фунт/баррель, по
формуле (A.7)]:
cex-CaCO4,A = 6,60
VEDTA,df - 1,32(
VEDTA,f·
FW); (A.6)
cex-CaCO4,B = 2,31
VEDTA,df - 0,463(
VEDTA,f·
FW), (A.7)
где cex-CaSO4,A - концентрация избыточного, нерастворенного сульфата кальция, кг/м3;
cex-CaSO4,B - концентрация избыточного, нерастворенного сульфата кальция, фунт/баррель;
FW - объемная доля воды в буровом растворе, в десятичных долях;
VEDTA,df - объем раствора ЭДТА для титрования цельного бурового раствора, см.
A.3.3.1;
VEDTA,f - объем раствора ЭДТА для титрования фильтрата бурового раствора, см.
A.3.3.2.
A.4 Сульфиды
A.4.1 Принцип
A.4.1.1 Концентрация растворимых сульфидов в буровом растворе может быть определена с помощью данного метода. Растворимые сульфиды включают H2S (сероводород), сульфид-ионы (S2-) и бисульфид-ионы (HS-). Фильтрат бурового раствора окисляется в газоанализаторе Гаррета, преобразовывающем все сульфиды в H2S (сероводород), который извлекается с пузырьками инертного газа-носителя. Газоанализатор отделяет газ от жидкости. Поток газа проходит через трубку Дрегера <1>, которая реагирует на H2S потемнением по длине. Потемневший отрезок пропорционален общему содержанию сульфидов в фильтрате бурового раствора. Цвет содержимого в трубке Дрегера с низким диапазоном меняется с белого на бурый, а с высоким диапазоном - с голубого на абсолютно черный. Ни одна обычная примесь в буровом растворе не может вызвать такие изменения в окраске.
--------------------------------
<1> Трубка Дрегера (Drager tube) является примером доступных коммерческих продуктов. Эта информация приведена для удобства пользователей данной части ISO 10414 и не является утверждением этого продукта ISO.
A.4.1.2 Диски свинцово-ацетатной бумаги могут быть использованы в газоанализаторе Гаррета в целях определения присутствия или отсутствия сульфидов. Если присутствие сульфида определено по потемнению свинцово-ацетатной бумаги, для количественного анализа следует использовать трубку Дрегера.
A.4.2 Реактивы и оборудование
A.4.2.1 Серная кислота (CAS N 7664-93-9) с концентрацией 2,5 моль/л (5н), класс ACS (хч).
ОПАСНО - H2SO4 является сильной и токсичной кислотой.
A.4.2.2 Противопенная добавка во флаконе с капельным дозатором.
A.4.2.3 Газ-носитель, инертный к сероводороду, кислоте и реактивам трубки Дрегера.
Предпочтителен азот, но допускается и углекислый газ. (Не допускать использование воздуха или других кислородосодержащих газов).
A.4.2.4 Трубки Дрегера для анализа H2S.
A.4.2.4.1 Низкий диапазон: маркированная H2S 100/а (N CH 29101 от 100 мг/л до 200 мг/л H2S);
A.4.2.4.2 Высокий диапазон: маркированная H2S 0,2%/А (N CH 28101 от 0,2% (об.) до 7% (об.) H2S).
A.4.2.5 Газоанализатор Гаррета, состоящий из ряда прозрачных пластиковых газовых камер, источника подачи инертного газа, регулятора давления, газометра с шариковым поплавком и трубки Дрегера.
Спецификация газоанализатора Гаррета:
a) Корпус |
камера 1: | глубина | 90 мм (3,54 дюйма) |
диаметр | 38 мм (1,52 дюйма) |
камеры 2 и 3: | глубина | 90 мм (3,54 дюйма) |
диаметр | 30 мм (1,18 дюйма) |
каналы между камерами: | диаметр | 2,0 мм (0,08 дюйма) |
материал: | прозрачный материал или стекло, инертное к кислоте, сульфидам и сероводороду |
b) Дисперсионная трубка | диаметр | 8,0 мм (0,315 дюйма) |
стержень: | длина | 150 мм (5,9 дюйма) |
дисперсионная фритта (колоколообразная, мелкая): | диаметр | 30 мм (1,18 дюйма) |
материал: | жаростойкое стекло, имеющее низкий коэффициент расширения. |
c) Расходомер, предпочтительно поплавкового типа с шариковым поплавком, способный измерить поток углекислого газа, равный 300 мл/мин.
d) Гибкая трубка, инертная к сероводороду и газу-носителю. Предпочтительно из латексного каучука или его эквивалента.
e) Фитинги и жесткие трубки, инертные к сероводороду и кислотам.
f) Резиновая мембрана.
A.4.2.6 Диск свинцово-ацетатной бумаги (см.
A.4.3.16).
A.4.2.7 Шприцы для подкожных инъекций объемом 10 мл и 2,5 мл (для кислоты), 5 мл и 10 мл (для пробы).
A.4.2.8 Иглы для подкожных инъекций длиной 38 мм (1,5 дюйма), размер 21.
A.4.3 Порядок выполнения работ
A.4.3.1 Убедиться, что газоанализатор чистый и сухой, со снятой крышкой, установлен на горизонтальной поверхности.
Примечание - Наличие влаги в газоанализаторе может привести к неустойчивости шарикового элемента в расходомере, что влияет на точность показаний трубки Дрегера.
A.4.3.2 Добавить 20 мл деионизированной воды в камеру 1.
A.4.3.3 Добавить 5 капель противопенной добавки в камеру 1.
A.4.3.4 Объем пробы и тип трубки Дрегера, необходимые для ожидаемого диапазона содержания сульфидов, приведены в
таблице A.1. Выбрать подходящий тип трубки Дрегера. Надломить концы трубки с обеих сторон.
Таблица A.1
Тип трубки Дрегера (или ее аналога), объем пробы
и коэффициент трубки, используемые для растворов
с различными диапазонами содержания сульфидов
Диапазон содержания сульфида мг/л | Объем пробы Vs мл | Обозначение <a> трубки Дрегера | f |
1,2 - 24 | 10,0 | H2S 100/а | |
2,4 - 48 | 5,0 | H2S 100/а | |
4,8 - 96 | 2,5 | H2S 100/а | |
30 - 1050 | 10,0 | H2S 0,2%/а | |
60 - 2100 | 5,0 | H2S 0,2%/а | |
120 - 4200 | 2,5 | H2S 0,2%/а | |
<a> Смотреть на корпусе трубки. <b> Используется в расчетах. <c> Если используются другие трубки, необходимо поменять коэффициенты трубки по таблице A.1 в соответствии с техническими требованиями изготовителя. <d> Коэффициент трубки 0,12 распространяется на трубки с маркировкой H 2S 100/а (CAS N CH 29101) со шкалой от 100 мг/л до 2000 мг/л. Для более старых трубок со шкалой от 1 до 20 использовать коэффициент трубки 12. <e> Коэффициент трубки 1450 распространяется на трубки с маркировкой H 2S 0,2%/а (CAS N CH 28101) со шкалой от 0,2% по объему до 7,0% по объему. Для более старых трубок со шкалой от 1 см 3 по 17 см 3 использовать коэффициент трубки, в 600 раз превышающий соотношение: Коэффициент дозировки/0,40. |
A.4.3.5 Вставить трубку Дрегера в приемное гнездо газового анализатора стрелкой вниз. Аналогично вставить трубку расходомера, чтобы слово "ТОР" было сверху. Убедиться, что уплотнительные кольца изолируют корпус каждой трубки.
A.4.3.6 Закрыть газовый анализатор крышкой и вручную равномерно затянуть все болты для герметизации уплотнительных колец.
A.4.3.7 При отсоединенном регуляторе пустить газ-носитель в дисперсионную трубку камеры 1, используя гибкую трубку. Если используется баллончик с CO2, установить и проколоть баллончик, затем присоединить его к дисперсионной трубке.
A.4.3.8 Соединить трубку Дрегера с выходным отверстием камеры 3 гибкой трубкой.
Использовать трубки из латексной резины или инертной пластмассы. Не пережимать гибкую трубку; непережатая трубка обеспечивает стравливание давления в случае избыточного давления.
A.4.3.9 Отрегулировать дисперсионную трубку в камере 1, чтобы она располагалась примерно на 6 мм (0,25 дюйма) выше дна.
A.4.3.10 В течение 30 с осторожно пропускать газ-носитель для продувки воздуха из системы. Проверить на наличие утечки. Прекратить подачу газа-носителя.
A.4.3.11 Собрать достаточный для анализа объем фильтрата, не содержащий твердой фазы. (Если в фильтрате обнаружено незначительное содержание растворимых сульфидов, потребуется больший объем фильтрата. Использовать
таблицу A.1 в качестве руководства).
A.4.3.12 Ввести отмеренный объем фильтрата, не содержащего твердой фазы, в камеру 1 через резиновую мембрану с помощью шприца и иглы для подкожных инъекций.
A.4.3.13 Медленно ввести 10 мл раствора серной кислоты в камеру 1 через резиновую мембрану с помощью шприца и иглы для подкожных инъекций.
A.4.3.14 Возобновить подачу газа-носителя. Скорость подачи следует поддерживать в диапазоне от 200 мл/мин до 400 мл/мин.
Примечание - Содержимого одного баллончика с CO2 при данной скорости подачи хватает на время от 15 до 20 мин.
A.4.3.15 Наблюдать изменения в трубке Дрегера. Отметить и внести в отчет максимальную длину потемневшего отрезка внутри трубки (в единицах шкалы трубки) до начала размывания передней части. Продолжать подачу газа еще в течение 15 мин, даже если затемнение рассеивается и окраска становится перистой. В трубке Дрегера большого диапазона, в случае присутствия сульфитов в пробе, перед черной окраской может появиться оранжевая окраска (вызванная SO2). Область SO2, окрашенную в оранжевый цвет, не следует учитывать при регистрации потемневшего отрезка.
Для большей точности показаний трубки Дрегера "потемневший отрезок" должен занимать более половины длины трубки, поэтому должен быть тщательно подобран "объем пробы" фильтрата.
A.4.3.16 Диск свинцовой индикаторной бумаги, установленный под уплотнительным кольцом камеры 3 в газоанализаторе, может заменить трубку Дрегера. Свинцовая индикаторная бумага качественно определяет присутствие или отсутствие сульфидов в пробе. Потемнение цвета бумаги означает наличие сульфидов в пробе. После подтверждения наличия сульфидов, следует использовать трубку Дрегера на отдельной пробе для проведения количественного анализа.
A.4.3.17 Для очистки газоанализатора отсоединить гибкую трубку и снять крышку. Вынуть трубку Дрегера и расходомер из гнезд и закупорить отверстия пробками, чтобы сохранить их сухими. Промыть камеры теплой водой с мягким моющим средством, используя мягкую щетку. Для очистки каналов между камерами использовать ерш. Промыть, ополоснуть и продуть дисперсионную трубку сухим газом. Промыть установку деионизированной (дистиллированной) водой и высушить.
A.4.4 Расчет
Концентрация сульфидов в пробе
cS, мг/л, может быть рассчитана по
формуле (A.8):

, (A.8)
где, Ist - максимальный потемневший отрезок в трубке Дрегера, в единицах шкалы трубки;
Vs - измеренный объем пробы, мл;
A.5 Карбонаты
A.5.1 Принцип
Данным методом определяется концентрация растворимых карбонатов в фильтрате бурового раствора. Общий состав растворимых карбонатов включает углекислый газ CO2 и ионы карбоната (CO32-) и бикарбоната (HCO3-). Фильтрат бурового раствора окисляется в газоанализаторе Гаррета, преобразующем все карбонаты в CO2, который выходит на поверхность пробы с пузырьками инертного газа-носителя. Газоанализатор отделяет газ от жидкости. Поток газа собирается в газовом мешке объемом 1 л (для равномерного перемешивания CO2) и постепенно пропускается через трубку Дрегера <1> с постоянной скоростью. Трубка Дрегера реагирует на CO2 постепенным появлением пурпурного цвета по длине трубки. Химическое взаимодействие между CO2 и гидразиновым реактивом меняет цвет кристаллического фиолетового индикатора на пурпурный. Длина окрашивания пропорциональна общей концентрации карбоната в фильтрате.
--------------------------------
<1> Трубка Дрегера (Drager tube) является примером доступных коммерческих продуктов. Эта информация приведена для удобства пользователей данной части ISO 10414 и не является утверждением этого продукта ISO.
A.5.2 Реактивы и оборудование
A.5.2.1 Газоанализатор Гаррета, состоящий из ряда прозрачных пластиковых газовых камер, источника подачи инертного газа, регулятора давления, расходомера с шариковым поплавком и трубки Дрегера.
Технические требования к газоанализатору Гаррета:
a) Корпус |
камера 1: | глубина | 90 мм (3,54 дюйма) |
диаметр | 38 мм (1,52 дюйма) |
камеры 2 и 3: | глубина | 90 мм (3,54 дюйма) |
диаметр | 30 мм (1,18 дюйма) |
каналы между камерами: | диаметр | 2,0 мм (0,08 дюйма) |
материал: | прозрачный материал или стекло, инертное к кислоте, сульфидам и сероводороду |
b) Дисперсионная трубка | диаметр | 8,0 мм (0,315 дюйма) |
стержень: | длина | 150 мм (5,9 дюйма) |
дисперсионная фритта (колоколообразная, мелкая): | диаметр | 30 мм (1,18 дюйма) |
материал: | жаростойкое стекло, имеющее низкий коэффициент расширения. |
c) Расходомер, предпочтителен тип прибора с шариковым поплавком, способным измерить поток углекислого газа равный 300 мл/мин.
d) Гибкий трубопровод, инертный к сероводороду и газу-носителю. Предпочтительно из латексного каучука или его эквивалента.
e) Фитинги и жесткие трубки, инертные к сероводороду и кислотам.
f) Резиновая мембрана.
A.5.2.2 Газ-носитель, баллон с азотом (N2) высокой чистоты, с регулятором низкого давления (предпочтителен), или баллончик с N2O.
ОПАСНО - Не использовать баллончики с оксидом азота в качестве источников давления для процесса фильтрации при высокой температуре/высоком давлении. При высокой температуре и высоком давлении оксид азота может взорваться при взаимодействии со смазкой, нефтью или карбонатными материалами. Использовать баллончики с оксидом азота только для анализа карбонатов на газоанализаторе Гаррета.
A.5.2.3 Трубка Дрегера для анализа CO2, маркированная CO2 100/а (CAS N 8101811), от 100 мг/л до 3000 мг/л (или аналог).
A.5.2.4 Газовый мешок Дрегера "Алкотест" объемом 1 л, N 7626425 или аналог.
A.5.2.5 Вакуумный насос с ручным управлением для газового анализатора Дрегера

<1>, модель 31, или аналог.
--------------------------------
<1> Drager

является примером доступных коммерческих продуктов. Эта информация приведена для удобства пользователей данной части ISO 10414 и не является утверждением этого продукта ISO.
A.5.2.6 Двухходовой стеклянный запорный кран 8 мм (0,315 дюйма) с пробкой из PTFE.
A.5.2.7 Серная кислота (CAS No. 7664-93-9), приблизительно 2,5 моль/л (5 н), класс ACS (хч).
ОПАСНО - H2SO4 является сильной и токсичной кислотой.
A.5.2.8 Противопенная добавка, во флаконе с капельным дозатором.
A.5.2.9 Шприцы для подкожных инъекций объемом 1,0 мл, 5 мл и 10 мл (для кислоты) и 10 мл (для пробы).
A.5.2.10 Иглы для подкожных инъекций длиной 38 мм (1,5 дюйма), размер 21.
Примечание - Использование азота в качестве газа-носителя предпочтительнее, чем N2O. Поскольку N2O охлаждается при расширении и замораживает диафрагму в регуляторе, продолжительный поток N2O приводит к нестабильной работе регулятора.
A.5.3 Порядок выполнения работ
A.5.3.1 Убедиться, что газоанализатор чистый и сухой, со снятой крышкой, установлен на горизонтальной поверхности.
Если при предыдущих испытаниях в качестве газа-носителя использовался CO2 (т.е. при сульфидном анализе), то регулятор, трубку и дисперсионную трубку следует продуть газом-носителем, который используется в настоящее время.
A.5.3.2 Добавить 20 мл деионизированной воды в камеру 1.
A.5.3.3 Добавить 5 капель противопенной добавки в камеру 1.
A.5.3.4 Закрыть газовый анализатор крышкой и вручную равномерно затянуть все болты для герметизации уплотнительных колец.
A.5.3.5 Отрегулировать дисперсионную трубку в камере 1, чтобы она располагалась примерно на 6 мм (0,25 дюйма) выше дна.
A.5.3.6 При отсоединенном регуляторе пустить газ-носитель в дисперсионную трубку камеры 1, используя гибкую трубку.
A.5.3.7 Пропускать газ-носитель в течение 1 мин для продувки воздуха из системы. Проверить на наличие утечек в газовом анализаторе.
A.5.3.8 Полностью сжать газовый мешок и одновременно проверить систему на наличие утечек газа. Для этого соединить газовый мешок и запорный кран с ручным насосом. (Использовать использованную трубку Дрегера в качестве соединения и начинать, когда мешок почти пустой). Полностью снять давление и освободить ручной насос. Если мешок полностью пуст и не имеет утечек, насос будет оставаться в ненагруженном состоянии в течение нескольких минут. Если обнаружена утечка, проверить насос и все соединения. Чтобы проверить только насос, ввести закупоренную трубку Дрегера в отверстие насоса и освободить сильфон. Он останется в ненагруженном состоянии, если в насосе нет утечек.
A.5.3.9 С полностью сжатым газовым мешком соединить гибкие трубки от запорного крана и мешка с выходным отверстием камеры 3.
A.5.3.10 Через мембрану при помощи шприца и иглы для подкожных инъекций ввести заданный объем свободного от твердой фазы фильтрата в камеру 1 (см.
таблицу A.2).
Таблица A.2
Тип трубки Дрегера (или ее аналога), объем пробы
и коэффициент трубки, используемые для растворов
с различными диапазонами содержания карбонатов
Диапазон содержания карбоната, мг/л | Объем пробы Vs, мл | Обозначение <a> трубки Дрегера | f |
25 - 750 | 10,0 | CO2 100/а | |
50 - 1500 | 5,0 | CO2 100/а | |
100 - 3000 | 2,5 | CO2 100/а | |
250 - 7500 | 1,0 | CO2 100/а | |
<a> Смотреть на корпусе трубки. <b> Используется в расчетах. <c> Если используются другие трубки, необходимо поменять коэффициенты трубки по таблице A.2 в соответствии с техническими требованиями изготовителя. <d> Коэффициент трубки 2,5 распространяется на трубки с маркировкой CO 2 100/а (CAS N 8101811) со шкалой от 100 мг/л до 3000 мг/л. |
A.5.3.11 Медленно ввести 10 мл раствора серной кислоты в камеру 1 через резиновую мембрану с помощью шприца и иглы для подкожных инъекций. Аккуратно встряхнуть газовый анализатор для перемешивания кислоты с пробой в камере 1.
A.5.3.12 Открыть запорный кран на газовом мешке. Пустить поток газа и постепенно наполнять газовый мешок в течение 10 мин. Когда мешок наполнится и будет тугим на ощупь (не допустить разрыва) перекрыть поток газа и закрыть запорный кран. Сразу перейти к следующему этапу.
A.5.3.13 Надломить концы трубки Дрегера с обеих сторон.
A.5.3.14 Вынуть трубку из выпускного отверстия камеры 3 и установить ее во входное отверстие трубки Дрегера. (Обратить внимание, что стрелка на трубке указывает направление потока газа). Прикрепить ручной насос Дрегера к выходному отверстию трубки Дрегера.
A.5.3.15 Открыть запорный кран на газовом мешке. Равномерным нажатием руки полностью сбросить давление ручного насоса. Освободить насос и позволить газу выйти из газового мешка и пройти через трубку Дрегера. Начать откачивание и подсчитать, сколько ходов поршня потребовалось для полного откачивания газа из мешка. (10 ходов должны освободить мешок. Больше десяти ходов означают, что произошла утечка газа и результаты измерения недостоверны).
A.5.3.16 Наблюдать появление в трубке Дрегера пурпурного цвета при наличии в газовом мешке CO2 и внести в отчет длину отрезка окрашивания в единицах, указанных на шкале трубки Дрегера. (Включить в показания длины пурпурного окрашивания слабый оттенок голубого).
Для большей точности показаний трубки Дрегера, "отрезок окрашивания" должен занимать более половины длины трубки, поэтому объем пробы фильтрата должен быть тщательно подобран.
A.5.3.17 Для очистки газоанализатора отсоединить гибкую трубку и снять крышку. Вынуть трубку Дрегера и газометр из гнезд и закупорить отверстия пробками, чтобы сохранить их сухими. Промыть камеры теплой водой с мягким моющим средством, используя мягкую щетку. Для очистки каналов между камерами использовать ерш. Промыть, ополоснуть и продуть дисперсионную трубку сухим газом. Промыть установку деионизированной водой и высушить. Периодически заменять сменные газовые мешки во избежание утечки газа и загрязнения мешка. (Замена мешка рекомендуется после проведения десяти испытаний).
A.5.4 Расчет
Рассчитать общую концентрацию растворимого карбоната в пробе фильтрата
cCO2+CO3+HCO3, мг/л, по
формуле (A.9):

, (A.9)
где Vs - объем пробы, мл;
Ist - длина окрашенного отрезка в трубке Дрегера;
A.6 Калий (концентрация свыше 5000 мг/л)
A.6.1 Принцип
Ионы калия используются в буровых растворах для стабилизации сланцев и контроля набухающих глин. Точное определение содержания ионов калия необходимо для контроля свойств бурового раствора. Данная процедура используется для измерения содержания ионов калия в фильтратах буровых растворов с концентрацией ионов калия свыше 5000 мг/л, что эквивалентно содержанию хлорида калия 10 кг/л (3,5 фунт/баррель). Калий осаждается в центрифуге в виде соли перхлората, измеряется объем осадка. Содержание ионов калия определяется по подготовленной калибровочной кривой.
A.6.2 Реактивы и оборудование
A.6.2.1 Перхлорат натрия (NaClO4) (CAS No. 7601-89-0) (хч), раствор: 150,0 г/100 мл дистиллированной воды.
ОПАСНО - Перхлораты натрия и калия взрывоопасны в сухом виде при нагревании и при контакте с органическими восстановителями. Перхлораты не опасны, если содержатся во влажном виде. Они безвредно разлагаются в воде.
A.6.2.2 Стандартный хлорид калия (CAS No. 7447-40-7) (хч), раствор: 14,0 г долить до 100 мл деионизированной или дистиллированной водой.
A.6.2.3 Центрифуга с горизонтальным ротором (электрическая или ручная) со скоростью вращения примерно 1800 об/мин
Примечание - Достаточно постоянная величина числа оборотов центрифуги в 1800 об/мин с ручным управлением обеспечивается следующим образом. Определить число оборотов ротора, приходящееся на каждый оборот рукоятки, то есть, медленно поворачивая рукоятку, подсчитать число оборотов ротора за один оборот рукоятки. Например, 15 оборотов ротора за один оборот рукоятки. Вычислить количество оборотов рукоятки, требуемых для 1800 оборотов ротора. В приведенном примере на 1800 оборотов ротора необходимо 120 оборотов рукоятки (1800/15). Таким образом, рукоятку необходимо поворачивать 120 раз в минуту для обеспечения скорости 1800 оборотов в минуту. При такой скорости рукоятку необходимо поворачивать 10 раз за 5 с [(120/60) x 5]. Постоянная величина скорости 1800 оборотов в минуту должна обеспечиваться в течение от 15 с до 20 с, отсчитывая количество оборотов рукоятки за каждые 5 с. Время, необходимое для регулировки скорости до 1800 об/мин, должно быть включено в общее время проведения испытания пробы на центрифуге.
A.6.2.4 Медицинская пробирка для центрифуги, 10 мл, типа Kolmer (или аналог).
A.6.2.5 Градуированные мерные пипетки, 1 мл (TD), 2 мл (TD) и 5 мл (TD).
(Пипетки градуированные по ГОСТ 29227-91 вместимостью 1 см3, 2 см3, 5 см3).
A.6.2.6 Шприц для подкожных инъекций или серологическая (градуированная) пипетка, 10 мл (TD).
A.6.2.7 Дистиллированная или деионизированная вода.
A.6.3 Построение стандартной калибровочной кривой
A.6.3.1 Стандартная калибровочная кривая необходима для каждого типа центрифуги. Для построения точного графика необходимы минимум 3 точки (10 кг/м3 (3,5 фунт/баррель), 30 кг/м3 (10,5 фунт/баррель), 50 кг/м3 (17,5 фунт/баррель) хлорида калия).
A.6.3.2 Пробы могут быть приготовлены с помощью стандартного раствора хлорида калия [0,5 мл стандартного раствора хлорида калия эквивалентны 10 кг/м3 (3,5 фунт/баррель) KCl]. Для получения концентраций KCl 10 кг/м3 (3,5 фунт/баррель), 30 кг/м3 (10,5 фунт/баррель), 50 кг/м3 (17,5 фунт/баррель) использовать 0,5 мл, 1,5 мл и 2,5 мл стандартного раствора хлорида калия соответственно.
A.6.3.3 Разбавить каждую пробу дистиллированной водой до отметки 7 мл и перемешать.
A.6.3.4 Добавить 3 мл стандартного раствора перхлората натрия (но не перемешивать).
A.6.3.5 Центрифугировать при постоянной скорости (приблизительно 1800 об/мин) в течение 1 мин и немедленно замерить объем осадка.
Уравновесить пробирку центрифуги другой пробиркой с жидкостью такой же массы.
A.6.3.6 Очистить пробирку центрифуги непосредственно после использования, чтобы упростить очистку.
A.6.3.7 Отобразить на графике объем осадка (в миллилитрах) по отношению к содержанию хлорида калия, кг/м
3 (или фунтах на баррель), на специально разлинованной бумаге, как показано на
рисунке A.1.
X1 -
cKCl, A, кг/м
3;
X2 -
cKCl, B, фунт/баррель;
Y - объем осадка, мл; a - не использовать данную процедуру при концентрациях менее 10 кг/м
3 (3,5 фунт/баррель); b - за пределами данной точки графика обратиться к
таблице A.3
Рисунок A.1 Пример построенной калибровочной кривой
для хлорида калия (не использовать для калибровки)
A.6.4 Порядок выполнения работ
A.6.4.1 Отмерить заданный объем фильтрата в пробирку центрифуги (диапазоны см. в
таблице A.3).
Таблица A.3
Объемы фильтрата, используемые при различных
концентрациях KCl
Диапазон концентраций KCl | K+ в фильтрате мг/л | Объем фильтрата для использования Vf, мл |
cKCl, A, кг/м3 | cKCl, B фунт/баррель |
10 - 50 | 3,5 - 17,5 | 5250 - 26250 | 7,0 |
50 - 100 | 17,5 - 35 | 26250 - 52500 | 3,5 |
100 - 200 | 35 - 70 | 52500 - 105000 | 2,0 |
свыше 200 | свыше 70 | свыше 105000 | 1,0 |
A.6.4.2 Если используется объем фильтрата менее 7 мл, развести дистиллированной водой до 7 мл и перемешать.
A.6.4.3 Добавить 3 мл стандартного раствора перхлората натрия, но не перемешивать. Если присутствует калий, сразу начнется выпадение осадка.
A.6.4.4 Центрифугировать при постоянной скорости (приблизительно 1800 об/мин) в течение 1 мин. Сразу определить объем осадка и внести в отчет.
Уравновесить пробирку центрифуги другой пробиркой с жидкостью такой же массы.
A.6.4.5 Добавить 2 или 3 капли раствора перхлората натрия в пробирку. Если осадок все еще образуется, это означает, что полный объем калия не был измерен до конца. В соответствии с
таблицей A.3 испытать меньший объем фильтрата пробы. Повторить процедуры с
A.6.4.1 по
A.6.4.4.
A.6.4.6 Определить концентрацию хлорида калия путем сравнения объема осадка со стандартной калибровочной кривой, построенной в соответствии с
A.6.3. Внести в отчет концентрацию хлорида калия как
cKCl,A, выраженную кг/м
3 (или как
cKCl,B, выраженную фунт/баррель) KCl. Концентрация калия также может быть записана в миллиграммах ионов калия на литр. Если концентрация хлорида калия в разбавленном фильтрате,
cKCl,A (
cKCl,B), по стандартной калибровочной кривой превышает показания 50 кг/м
3 (или 18 фунт/баррель), точность полученных результатов снижается. Чтобы получить более точный результат, испытать меньший объем фильтрата пробы в соответствии с
таблицей A.3 и повторить процедуры с
A.6.4.1 по
A.6.4.4.
A.6.5 Расчет

; (A.10)

, (A.11)
где
cKCl,A - соответствующая концентрация на оси X1 калибровочной кривой (см.
рисунок A.1), кг/м
3;
cKCl,B - соответствующая концентрация на оси X2 калибровочной кривой (см.
рисунок A.1), фунт/баррель;
Vf - объем используемого фильтрата, мл.
Вычислить концентрацию ионов калия в фильтрате,
cK,A, мг/л, по
cKCl,A, выраженной кг/м
3, по
формуле (A.12) [или
cK,B, фунт/баррель, по
cKCl,B по
формуле (A.13)]:
cK,A = 525·
cKCl,A; (A.12)
cK,B = 1500·
cKCl,B, (A.13)
где cKCl,A и cKCl,B определяются, как указано выше.
A.7 Калий (концентрация менее 5000 мг/л)
A.7.1 Принцип
Данная процедура применяется для измерения содержания ионов калия в фильтрате бурового раствора при значении концентрации менее 5000 мг/л. Ионы калия осаждаются в виде соли тетрафенилбората при добавлении стандартного раствора тетрафенилбората натрия (STPB). Непрореагировавший STPB затем определяется титрованием солью четвертичного аммониевого основания (QAS), бромидом гексадецилтриметила аммония, с использованием в качестве индикатора бромфенола синего. Конечная точка титрования определяется по изменению цвета индикатора с пурпурно-синего на голубой. Концентрация ионов калия в пробе, cK, определяется вычитанием количества не вступившего в реакцию STPB из количества STPB, первоначально добавленного в пробу.
A.7.2 Реактивы и оборудование
A.7.2.1 Стандартный раствор тетрафенилбората натрия (STPB) (CAS N 143-66-8) (хч): 8,754 г в 800 мл деионизированной воды.
Добавить от 10 г до 12 г гидроксида алюминия, перемешивать в течение 10 мин и профильтровать. Добавить 2 мл 20%-ного раствора NaOH в фильтрат и разбавить деионизированной водой до 1 л.
A.7.2.2 Раствор соли четвертичного аммониевого основания (QAS) (CAS N 57-09-0): 1,165 г бромида гексадецилтриметила аммония (хч) на 500 мл деионизированной воды.
A.7.2.3 Раствор гидроксида натрия (CAS N 1310-73-2) (хч), 20% (масс) в деионизированной воде.
ОПАСНО - NaOH является сильной щелочью. Не допускать контакта с кожей.
A.7.2.4 Бромфенол синий (CAS N 115-39-9), индикатор: 0,04 г тетрабромофенолсульфонфталеина на 3 мл раствора NaOH 0,1 моль/л. Разбавить деионизированной водой до 100 мл.
A.7.2.5 Деионизированная или дистиллированная вода.
A.7.2.6 Градуированные пипетки, 2 мл (TD), с ценой деления шкалы 0,01 мл, 5 мл (TD) и 10 мл (TD).
(Пипетки градуированные по ГОСТ 29227-91 вместимостью 2 см3, 5 см3, 10 см3).
A.7.2.7 Мерные цилиндры, объемом 25 мл (TD) и 100 мл (TC).
(Мерные цилиндры по ГОСТ 1770-74 вместимостью 25 см3 и 100 см3).
A.7.2.8 Химические стаканы объемом 250 мл.
A.7.2.9 Воронка.
A.7.2.10 Фильтровальная бумага.
A.7.3 Порядок выполнения работ
A.7.3.1 Налить необходимый объем фильтрата в 100 мл градуированный цилиндр, используя
таблицу A.4 для определения объема пробы. При отмеривании необходимого количества фильтрата пользоваться пипеткой.
Таблица A.4
Объемы фильтрата, используемые при различных
концентрациях KCl
Диапазон концентраций KCl | K+ в фильтрате, мг/л | Объем фильтрата для использования, мл |
кг/м3 | фунт/баррель |
0,5 - 3,0 | 0,18 - 1,05 | 263 - 1575 | 10,0 |
3,0 - 6,0 | 1,05 - 2,1 | 1575 - 3150 | 5,0 |
6,0 - 20,0 | 2,1 - 7,0 | 3150 - 10500 | 2,0 |
A.7.3.2 Добавить 4 мл раствора NaOH [20% (массы)]; отмерить с помощью пипетки объемом 5 мл 25 мл раствора STPB (отмерить с помощью мерного цилиндра объемом 25 мл) и разбавить деионизированной водой до объема 100 мл.
A.7.3.3 Перемешать и дать отстояться в течение 10 мин.
A.7.3.4 Профильтровать полученный раствор в градуированный цилиндр объемом 100 мл. Если фильтрат мутный, профильтровать его еще раз.
A.7.3.5 Перелить 25 мл полученного фильтрата (отмерить с помощью мерного цилиндра объемом 25 мл) в стакан объемом 250 мл.
A.7.3.6 Добавить от 10 до 15 капель индикатора бромфенола синего.
A.7.3.7 Титровать раствором QAS до тех пор, пока цвет не изменится с пурпурно-синего на голубой.
Важно проверять концентрацию раствора QAS относительно стандартного раствора STPB один раз в месяц. Для определения эквивалента QAS разбавить в сосуде для титрования 2 мл раствора STPB 50 мл деионизированной воды. Добавить 1 мл 20%-ного раствора NaOH и от 10 до 20 капель индикатора бромфенола синего. Титровать полученный раствор раствором QAS до тех пор, пока цвет не изменится с пурпурно-синего на голубой.
Отношение концентрации QAS к концентрации STPB,
RQAS/STPB, рассчитывается по
формуле (A.14)

(A.14)
где VQAS - объем раствора QAS, мл.
Если значение отношения отличается от 4,0 +/- 0,5, вычислить поправочный коэффициент
kcor, используемый при вычислении концентрации ионов калия
cK,VQAS, мг/л, по
формуле (A.15):

(A.15)
A.7.4 Расчет
Если отношение попадает в диапазон 4,0 +/- 0,5, концентрация ионов калия
cK,VQAS, мг/л, рассчитывается с использованием
VQAS по
формуле (A.16):

, (A.16)
где Vf - объем фильтрата, мл.
Если необходимо использование поправочного коэффициента, рассчитать концентрацию ионов калия в фильтрате
cK,VQAS, мг/л, по
формуле (A.17)

(A.17)

; (A.18)

. (A.19)
(справочное)
ИЗМЕРЕНИЕ СТАТИЧЕСКОГО НАПРЯЖЕНИЯ СДВИГА
С ИСПОЛЬЗОВАНИЕМ ШИРОМЕТРА
B.1 Принцип
B.1.1 Опыт показал, что некоторые буровые растворы имеют тенденцию приобретать повышенное напряжение сдвига в статических условиях, особенно при повышенных температурах. Повышенное напряжение сдвига приводит к высоким давлениям на насосе при "восстановлении циркуляции" и может привести к потере циркуляции. Высокое напряжение сдвига также создает трудности при геофизических исследованиях, перфорировании и выполнении других скважинных работ.
B.1.2 Следующий метод может использоваться для определения этой тенденции и оценки степени, до которой буровой раствор будет приобретать повышенное напряжение сдвига. Измерение напряжения сдвига обычно проводится на пробе бурового раствора, выдержанной в термостатических условиях. Выбирается температура выдержки, соответствующая ожидаемой температуре на забое скважины. Для испытания необходимы ячейки или емкости для выдерживания, отвечающие требованиям давления и температуры.
B.2 Оборудование
B.2.1 Широметр из нержавеющей стали, со следующими характеристиками:
длина 89 мм (3,5 дюйма);
наружный диаметр 36 мм (1,4 дюйма);
толщина стенки 0,2 мм (0,008 дюйма).
Примечание - Отмечено, что небольшая внешняя конусность на дне широметра улучшает воспроизводимость результатов испытания.
B.2.2 Подставка для гирь.
B.2.3 Набор гирь с постепенным увеличением веса в граммах.
B.2.4 Линейка с миллиметровой (дюймовой) шкалой.
B.3 Порядок выполнения работ
B.3.1 Установить и осторожно уравновесить широметр и подставку на поверхности выдержанной пробы, охлажденной до комнатной температуры. Может понадобиться сместить гири на подставке, чтобы убедиться, что начальное погружение в буровой раствор является вертикальным. Если на термовыдержанной пробе образовалась корка, эту корку следует аккуратно разрушить перед размещением широметра на месте для испытания.
B.3.2 Разместить на подставке несколько гирь, достаточных, чтобы широметр начал погружаться в пробу. Если масса гирь не слишком велика, погружение широметра остановится в точке, где напряжение сдвига термовыдержанного бурового раствора достаточно для сопротивления дальнейшему погружению подставки с установленными гирями. Желательно погрузить не менее половины длины широметра.
B.3.3 Записать полную массу в граммах, включая подставку и гири. Измерить глубину погружения широметра в буровой раствор, в сантиметрах. Длина погруженной части широметра может быть более точно измерена следующим образом: измерить длину непогруженной части, пока широметр находится на максимальной глубине погружения. Измерение упрощает небольшая линейка, удерживаемая вдоль широметра от поверхности бурового раствора. Длина погруженной части широметра равна длине широметра минус длина непогруженной части.
B.4 Расчет

, (B.1)
где mst - масса широметра, г;
mtot - общая масса сдвига (сумма платформы и гирь), г;
IA - глубина погружения широметра, см;

- плотность бурового раствора, г/см
3.
B.4.2 Рассчитать напряжение сдвига

, выраженное в фунт/100 фут
2, по
формуле (B.2)
| | ИС МЕГАНОРМ: примечание. Формула дана в соответствии с официальным текстом документа. | |

, (B.2)
где mst - масса широметра, г;
mtot - общая масса сдвига (сумма платформы и гирь), г;
IB - глубина погружения широметра, дюйм;

- плотность бурового раствора, фунт/галлон.
(справочное)
УДЕЛЬНОЕ ЭЛЕКТРИЧЕСКОЕ СОПРОТИВЛЕНИЕ
C.1 Принцип
Контроль электрического сопротивления бурового раствора и фильтрата бурового раствора может быть целесообразным, чтобы лучше оценить характеристики пласта при электрическом каротаже.
C.2 Оборудование
C.2.1 Прибор для измерения электрического сопротивления прямой индикации или другой прибор для измерения электрического сопротивления.
Следует выполнять инструкции изготовителя прибора относительно источника тока, калибровки, измерений и расчетов.
C.2.2 Калиброванная ячейка для измерения электрического сопротивления.
C.2.3 Термометр со шкалой от 0 °C до 105 °C (от 32 °F до 220 °F).
C.2.4 Ерш, соответствующий размеру и типу ячейки.
C.2.5 Лабораторный моющий раствор для мытья металлических или пластмассовых поверхностей.
C.3 Порядок выполнения работ
C.3.1 Наполнить чистую и сухую ячейку для измерения электрического сопротивления свежим перемешанным буровым раствором или фильтратом бурового раствора. Необходимо следить, чтобы в пробе не было захваченного воздуха или газа.
C.3.2 Присоединить ячейку к прибору.
C.3.3 Измерить удельное электрическое сопротивление, Ом·м, (прямое показание) или сопротивление, Ом, (непрямое показание). Тип показания будет указан в инструкции по эксплуатации прибора или в инструкции изготовителя.
C.3.4 Измерить температуру пробы с точностью до 0,5 °C (1 °F).
C.3.5 Очистить ячейку. При необходимости помыть ершиком и моющим раствором. Промыть дистиллированной водой и просушить.
C.4 Расчет
C.4.1 Внести в отчет удельное электрическое сопротивление бурового раствора rdf или удельное электрическое сопротивление фильтрата rf, Ом·м, с точностью до 0,01 Ом·м.
C.4.2 Внести в отчет температуру пробы в градусах Цельсия (Фаренгейта).
где K - постоянная ячейки, м2/м;
Rr - показания прибора, Ом.
(справочное)
УДАЛЕНИЕ ВОЗДУХА ИЛИ ГАЗА ПЕРЕД ИСПЫТАНИЯМИ
D.1 Принцип
Для удаления воздуха или газа из большинства буровых растворов перед испытаниями специальное оборудование не требуется. Обычно достаточно осторожного перемешивания с добавлением нескольких капель подходящей противопенной добавки. В большинстве случаев является достаточным перемешивание шпателем или переливание из одного сосуда в другой. Если после этого воздух или газ все еще остается в растворе, может быть выполнена следующая процедура.
Примечание - Если нужно выяснить только плотность бурового раствора, можно использовать весы для определения плотности раствора под давлением, описанные в
разделе 5.
D.2 Оборудование
D.2.1 Устройство, из которого можно откачать газ.
D.2.2 Противопенная добавка, коммерческий продукт для бурового раствора.
D.3 Порядок выполнения работ
D.3.1 Налить газированный буровой раствор в чистую, сухую емкость примерно до половины.
D.3.2 Добавить несколько капель противопенной добавки на поверхность бурового раствора.
D.3.3 Установить мешалку и закрыть крышкой с уплотнением.
D.3.4 Присоединить вакуумную линию от насоса к устройству для поддержания степени разрежения на уровне примерно 83 кПа (620 мм рт. ст., 24,4 дюйма рт. ст.).
D.3.5 Повысить разрежение до уровня от 10 до 16 кПа (от 75 до 120 мм рт. ст.; от 3,0 до 4,7 дюйма рт. ст.) и продолжить процедуру в соответствии с инструкциями изготовителя.
D.3.6 Когда буровой раствор будет деаэрирован, частично уменьшить разрежение до значений от 50 до 65 кПа (от 375 до 490 мм рт. ст.; от 14,8 до 19,3 дюйма рт. ст.) и проверить, появятся ли пузырьки воздуха на поверхности бурового раствора.
D.3.7 Если деаэрация недостаточна, повторять действия по
D.3.4 по
D.3.6 до полного удаления воздуха.
D.3.8 Полностью сбросить разрежение, оставляя цилиндр на конце, и вынуть пробу бурового раствора для испытаний.
(справочное)
КОНТРОЛЬНОЕ КОЛЬЦО ДЛЯ ОПРЕДЕЛЕНИЯ КОРРОЗИИ БУРИЛЬНОЙ ТРУБЫ
E.1 Принцип
E.1.1 Установка контрольных колец для определения коррозии бурильной колонны является одним из наиболее распространенных методов, используемых для определения коррозионного воздействия буровых растворов на бурильную колонну и другое оборудование, изготовленное из стали. Извлечение и исследование таких колец через установленные промежутки времени пребывания в скважине может предоставить подробную информацию как о коррозионной активности бурового раствора, так и о типе коррозии. Исследование отложений и язвин на кольце объясняет причину образования коррозии и помогает при выборе необходимых мер предотвращения коррозии.
E.1.2 Метод кольца предназначен для определения типа коррозии, характеризуемого потерей металла, локализованной точечной или общей коррозии. Испытательное кольцо не предназначено для получения информации, относящейся к водородному охрупчиванию, растрескиванию под напряжением или другим формам образования трещин, исключая то, что точечная коррозия может быть связана с такими повреждениями.
E.2 Реактивы и оборудование
E.2.1 Соляная кислота (CAS No. 7647-01-0) ингибированная, массовая доля 15% в дистиллированной воде.
ОПАСНО - HCl является сильной и токсичной кислотой.
E.2.2 Ацетон (CAS No. 67-64-1), безводный (хч).
E.2.3 Метанол (СAS No. 67-56-1) (хч).
E.2.4 Петролейный эфир (CAS No. 8002-05-9) (хч).
E.2.5 Деионизированная или дистиллированная вода.
E.2.6 Моющий раствор.
E.2.7 Кольцо для определения коррозии.
a) Конструкция кольца
Кольцеобразный контрольный образец для определения коррозии бурильной колонны или кольцо для исследования коррозии следует изготавливать таким образом, чтобы размещать его в выточке муфты у конца ниппеля, с внутренним диаметром, равным внутреннему диаметру бурильного замка для уменьшения турбулентности.
b) Химический состав кольца
В идеальном случае, чтобы не допустить гальванической коррозии, кольцо следует изготавливать из той же стали, что и бурильный замок, в котором будет размещено кольцо. Однако данное требование практически невыполнимо, и рекомендуется использование стали аналогичного химического состава, например AISI 4130. Марку используемой стали следует отразить в отчете. Кольца обычно отрезают от стальной трубы, которая не была закалена. Для уменьшения гальванического эффекта и получения полезной информации следует выбирать полную аналогию состава стали марки 4130 с составом стали бурильного замка.
c) Маркировка кольца
На кольца следует нанести серийный номер для постоянной идентификации.
d) Подготовка кольца (выполняется поставщиком)
Кольца следует мыть жесткой щеткой с моющим раствором и промывать чистой водой и безводным ацетоном или метанолом. Высушить кольца, взвесить с точностью до миллиграмма и внести значение массы в отчет. Хранить кольца в сухом контейнере, например сушильном шкафу, для предупреждения коррозии. Кольца для определения коррозии следует поставлять на промысловую площадку в запечатанной упаковке или обертке для уменьшения атмосферной коррозии.
E.2.8 Ультразвуковая ванна (предпочтительно), или щетка волосяная, или тонковолокнистая (000) стальная вата.
E.2.9 Перчатки кислотостойкие, часть индивидуального защитного снаряжения при работе с кислотами.
E.2.10 Испытательный раствор сульфида железа - кислотное испытание для определения мышьяка.
E.3 Порядок выполнения работ
E.3.1 Кольца для определения коррозии бурильной трубы должны находиться в бурильной колонне не менее 40 ч (обычное время воздействия составляет 100 ч). Не следует рассматривать период воздействия менее 40 ч, так как обычно начальная скорость коррозии может быть высокой и дать недостоверные данные. Кольцо обычно устанавливается в бурильном замке в верхней части первой свечи над утяжеленными бурильными трубами, и может оставаться в бурильной колонне дольше, чем на один спуск долота в скважину. Дополнительное кольцо может быть установлено в переходнике ведущей бурильной трубы для контроля коррозии в этой точке. Убедиться, что канавка муфты чистая, чтобы не допустить осложнений при свинчивании замка и повреждения кольца. В некоторых случаях для размещения кольца в бурильной колонне используются специальные переводники. Во время установки кольцо следует держать в чистых, сухих перчатках.
E.3.2 Следует заполнять все пункты формы отчета по использованию кольца для определения коррозии бурильной колонны. Как минимум, в каждой форме следует предусмотреть внесение следующей информации: материал, из которого изготовлено кольцо, параметры бурового раствора, тип коррозии, размещение кольца в бурильной колонне, первоначальную массу кольца, время, глубину при установке, глубину при извлечении, серийный номер кольца, цвет отложений и другую информацию, которую можно получить в ходе испытания. Форма может быть напечатана на упаковке, в которой было отправлено кольцо, или прилагаться к кольцу в виде отдельного бланка.
E.3.3 После извлечения кольца из бурильной колонны остатки бурового раствора следует удалить с испытательного образца тканью. Кольцо следует осмотреть для определения степени коррозии или наличия механических повреждений. Если обнаружена интенсивная коррозия, следует оперативно определить ее причину и предпринять меры по их устранению. После осмотра поместить испытательный образец в его исходную упаковку или обертку с газообразным ингибитором коррозии и отправить в лабораторию.
E.3.4 Для очистки рекомендуется использовать моющий раствор, а не ацетон или петролейный эфир. Перед очисткой кольца для взвешивания следует провести капельный анализ продуктов коррозии и минерального осадка. Например, можно провести качественный анализ поверхности на наличие сульфидов с помощью кислотного испытания для определения мышьяка (испытательный раствор сульфида железа). Кольца следует очищать моющим раствором и жесткой волосяной щеткой. Для удаления продуктов коррозии может быть необходимо один или несколько раз погрузить кольцо на время 5 - 10 с в 10 - 15%-ный раствор ингибированной соляной кислоты. После каждого погружения в соляную кислоту кольцо необходимо промыть моющим раствором. Затем кольцо тщательно промывается чистой водой и протирается безводным ацетоном или метанолом. Просушить кольцо перед взвешиванием. Не следует использовать высокоабразивные материалы или сильные неингибированные кислоты. Для очистки колец может использоваться ультразвуковая ванна.
Чтобы предотвратить дальнейшую коррозию кольца после его очистки кислотой, в растворе 10 - 15%-ной ингибированной соляной кислоты можно использовать несколько ингибирующих добавок. Такими добавками могут быть: химические вещества из класса пропаргилов, углеводороды ацетиленового ряда, пиридины и амины. Другие подходящие химические вещества могут быть предложены изготовителем колец для определения коррозии.
E.3.5 После полной очистки предварительно взвешенного контрольного образца для определения коррозии и фиксирования коррозионной пленки и типа коррозии, кольцо следует повторно взвесить с точностью до миллиграмма и определить потерю массы кольца. Если обнаружена значительная потеря массы из-за механического повреждения, это следует отразить в отчете и учитывать при оценке коррозии. Скорость коррозии может выражаться в кг/м
2·год или мм/год (фунт/фут
2 год или миль/год). Формулы для расчета скорости коррозии приведены в
E.5.
E.4 Комментарии при визуальном контроле
E.4.1 Если коррозия обнаруживается визуально, то обычно она определяется как точечная коррозия. Равномерная или общая коррозия может быть определена путем измерения потери массы. Механическое повреждение кольца чаще всего определяется по вмятинам и зазубринам на наружных поверхностях кольца. В тех случаях, когда на кольце имеется ряд вмятин и изношенных зон, это указывает на значительное перемещение кольца в канавке муфты.
E.4.2 При определении значения скорости коррозии, рассчитываемой по измеренной потере массы, следует учитывать, что на скорость также влияет эрозионное воздействие бурового раствора. Так как отверстие кольца подвергается воздействию бурового раствора, закачиваемого в бурильную колонну, потеря массы металла определяется как эрозией, так и коррозией. Потеря массы от эрозии может быть значительной, если буровой раствор содержит высокую концентрацию песка.
E.4.3 Осмотр кольца может выявить несколько глубоких язвин с относительно низкой потерей массы. Это указывает на достаточно сложные коррозионные проблемы, даже если рассчитанная скорость коррозии признается низкой.

, (E.1)
где

- потеря массы, мг;
AA - площадь, см2;
t - время пребывания кольца в буровой колонне, ч.

(E.2)
где

- потеря массы, мг;
AB - площадь, дюйм2;
t - время пребывания кольца в буровой колонне, ч.
Примечание 1 - При вычислениях используется полная площадь поверхности кольца.
Примечание 2 - Время, используемое при вычислениях, является общим временем пребывания кольца в буровой колонне.
Примечание 3 -
Формулы (E.3) -
(E.7) предоставляют способы преобразования из одной системы единиц измерения в другую для колец из стали (с относительной плотностью 7,86):
миль/год = 5,01·
qA; (E.3)
миль/год = 24,6·qB; (E.4)
мм/год = 0,127·qA; (E.5)
мм/год = 0,621·qB; (E.6)
фунт/фут
2/год = 1,61·(мм/год) (E.7)
Примечание 4 - К кольцам для определения коррозии, предлагаемым компаниями по производству буровых растворов и связанных с ними услуг, или лабораториями по испытанию коррозии, обычно прилагается коэффициент умножения, включающий плотность металла и площадь поверхности кольца. Таким образом, потерю массы, разделенную на время пребывания кольца в буровой колонне, нужно умножить на прилагаемый коэффициент умножения для получения скорости коррозии.
(справочное)
МЕТОДЫ ОТБОРА ПРОБ, КОНТРОЛЯ И ОТБРАКОВКИ
F.1 Общие положения
Следующая процедура определяет методы отбора проб, контроля и отбраковки для материалов, соответствующих
[1]. Данные методы применимы к бариту, гематиту, бентониту, необработанному бентониту, аттапульгиту, сепиолиту, карбоксиметилцеллюлозе низкой вязкости технической чистоты, карбоксиметилцеллюлозе высокой вязкости технической чистоты и бентониту класса OCMA.
F.2 Метод отбора проб порошкообразного материала, поставляемого в упаковке
F.2.1 Количество проб, отбираемых для объединения в пробу для анализа (см.
F.4) должно составлять 15 проб по 0,5 кг (1 фунт) или более на одну партию.
F.2.2 Из каждой партии в 1000 упаковок или менее следует отобрать пробы из 15 упаковок.
F.2.3 Отбор проб может проводиться любым из нижеописанных методов, по согласованию между сторонами.
a) Пробу с весом не менее 0,5 кг (1 фунт) следует отбирать из верхней части каждой упаковки.
b) Следует использовать пробоотборную трубку (щуп), способную обеспечить отбор пробы диаметром не менее 2,5 см (1 дюйм). Трубку следует погружать в упаковку таким образом, чтобы отобрать пробу материала по всей глубине упаковки.
F.3 Метод отбора проб бестарного порошкообразного материала
F.3.1 При отборе проб из контейнеров для хранения, вмещающих от 25000 кг до 100000 кг (от 25 до 100 т), следует использовать пробоотборную трубку (щуп), способную обеспечить отбор пробы диаметром не менее 2,5 см (1 дюйм). Трубку следует выбирать достаточной длины, чтобы обеспечить отбор пробы по всей глубине массы, из которой отбирается проба.
F.3.2 Следует отобрать пятнадцать проб из каждой партии (рассматривая каждый контейнер как одну партию). Если размеры контейнера не позволяют отобрать пробы таким способом, пробы следует отбирать другим методом по согласованию между сторонами.
F.3.3 Для контейнеров, вмещающих менее 20000 кг (20 т), минимум одну пробу следует отбирать из каждого контейнера для партии до 10 контейнеров, и общее число проб, отобранных из каждой партии в 100000 кг (100 т) или менее, не должно быть менее 10.
F.4 Подготовка пробы для анализа
F.4.1 Пробы из каждой партии следует объединить друг с другом, смешать и квартовать или распределить для получения пробы для анализа весом 7 кг (15 фунтов), которую следует разделить на три равные части.
F.4.2 Каждую часть следует упаковать в герметичный водонепроницаемый контейнер. Одну пробу следует отправить покупателю, вторую передать поставщику, а третью пробу следует сохранить для контрольных испытаний, если потребуется.
F.5 Анализ
Каждой стороне следует выполнить одно измерение на своей пробе для анализа. Контрольную пробу или известный эталонный образец следует испытывать аналогичным способом, при одинаковом времени, как часть серии испытаний. Если результаты данного испытания находятся в пределах допустимого диапазона, результаты испытаний признаются достоверными.
F.6 Контроль
Инспектору потребителя следует предоставить все необходимые средства для тщательного отбора и контроля проб. На отбор проб и выполнение приемочного контроля инспектору потребителя следует предоставлять шесть дней.
F.7 Отбраковка
В случае отбраковки материала, основанной на неудовлетворительных результатах анализа, указанных в спецификации, после завершения анализа следует незамедлительно сообщить об этом поставщику с указанием причин отбраковки.
F.8 Повторный анализ
F.8.1 Любая из договаривающихся сторон может воспользоваться своим правом на повторный анализ в течение одной недели после получения протокола исходного анализа.
F.8.2 Если договаривающиеся стороны не смогли достичь согласия, третью пробу материала следует отправить в запакованном виде на анализ в арбитражную лабораторию, которая соответствует требованиям обеих сторон, и результаты арбитражного анализа следует считать обязательными для обеих сторон.
(справочное)
ОТБОР ПРОБ НА БУРОВОЙ ПЛОЩАДКЕ
G.1 Общие положения
Далее приведена рекомендуемая процедура отбора испытательных проб на буровой площадке из конкретной партии. По соглашению между сторонами данная процедура может использоваться для испытания свойств материалов в состоянии поставки на буровую площадку.
G.2 Отбор проб из нижней части (предпочтительно)
G.2.1 Оборудование
G.2.1.1 Боковой пробоотборник, показанный на
рисунке G.1.
1 - шаровая задвижка с диаметром 5 см (2 дюйма) в боковой трубе с диаметром 5 см (2 дюйма);
2 - выступ для удержания мешка;
3 - шнур для затягивания мешка;
4 - брезентовый мешок размером 14 см x 30 см (5,5 дюйма x 12 дюймов);
a - направление потока
Рисунок G.1 - Боковой пробоотборник
G.2.1.2 Брезентовый мешок диаметром примерно 14 см (5,5 дюйма) и длиной 30 см (12 дюймов).
G.2.1.3 Подходящий контейнер, например завязывающийся мешок, не допускающий потерь самых мелких фракций.
G.2.2 Порядок выполнения работ
G.2.2.1 Присоединить боковой пробоотборник к разгрузочному отверстию контейнера.
G.2.2.2 Во время разгрузки взять три пробы от 1,5 до 2,5 кг (от 3 до 5 фунтов) таким образом, чтобы они отбирались примерно в моменты, когда было разгружено 1/4, 1/2 и 3/4 от общего количества материала.
Примечание - В случае, если есть сомнения в представительности отобранных проб, можно взять пробу объемом от 4 до 7 кг (от 9 до 15 фунтов). Наибольшая вероятность ошибок при отборе проб связана с загрязнением от предыдущей перевозки других материалов в том же самом контейнере. Эту потенциальную ошибку можно уменьшить, если внимательно выполнять приведенные далее инструкции. Не отбирать пробы из самого верхнего или из самого нижнего слоя материала. Другая потенциальная ошибка при отборе проб состоит в том, что проба отбирается, когда разгрузочный шланг заполнен только частично. Это может случиться, когда контейнер почти опорожнен или поток материала был нарушен. В таких случаях возможно разделение материалов на тяжелые и легкие фракции.
G.2.2.3 Открывать на короткое время кран, чтобы продуть остатки материала, имеющиеся в боковом пробоотборнике, перед отбором каждой отдельной пробы. Закрепить чистый брезентовый мешок на пробоотборнике и заполнить его за одно открытие крана.
Примечание - Частичное перекрытие клапана подачи воздуха на донном выходном отверстии перед отбором пробы помогает заполнить мешок с минимальным образованием пыли.
G.2.2.4 Аккуратно пересыпать пробу из брезентового мешка в завязывающийся мешок или другой подходящий контейнер. Закрепить на контейнере этикетку с относящейся к делу информацией.
G.2.2.5 Полностью освободить брезентовый мешок перед отбором следующей пробы. Обязательно использовать новый или чистый брезентовый мешок для каждого контейнера.
G.3 Отбор проб ковшом
G.3.1 Оборудование
G.3.1.1 Пробоотборный ковш, представленный на
рисунке G.2, глубиной от 10 до 15 см (от 4 до 6 дюймов) и длиной от 30 до 45 см (от 12 до 18 дюймов).
1 - удлиненная рукоятка с расплющенным концом для петли;
2 - петля;
3 - металлическая банка
Рисунок G.2 - Пробоотборный ковш
G.3.1.2 Подходящий контейнер, например затягивающийся мешок, не допускающий потерь самых мелких фракций.
G.3.2 Порядок выполнения работ
G.3.2.1 Аккуратно открыть крышку верхнего люка. Не допускать ударов крышки о крышу цистерны.
G.3.2.2 Снять верхний слой материала под крышкой люка, чтобы образовалась канавка примерно в 1,5 раза шире, чем ковш для отбора проб.
G.3.2.3 Выбрать от 1,5 до 2,5 кг (от 3 до 5 фунтов) пробы со дна канавки и переместить ее в завязывающийся мешок или другой подходящий контейнер. Закрепить на контейнере этикетку.
G.3.2.4 Повторить эту операцию в двух других местах на поверхности материала примерно на равном расстоянии между серединой и краями цистерны.
(справочное)
КАЛИБРОВКА И ВЕРИФИКАЦИЯ ЛАБОРАТОРНОЙ СТЕКЛЯННОЙ ПОСУДЫ,
ТЕРМОМЕТРОВ, ВИСКОЗИМЕТРОВ, РЕТОРТНЫХ ЧАШЕК И ВЕСОВ
ДЛЯ БУРОВОГО РАСТВОРА
H.1 Общие положения
Настоящее приложение распространяется на калибровку оборудования для промысловых испытаний, не являющуюся частью процедуры испытаний.
H.2 Калибровка оборудования
H.2.1 Мерная стеклянная посуда
Калибровка пипеток, градуированных цилиндров и подобного оборудования обычно выполняется поставщиком
(производителем) стеклянной посуды и может быть частью спецификации поставщика. Там, где это признается важным, пользователю стеклянной посуды следует получить от производителя документальное подтверждение калибровки стеклянной посуды. Периодическая повторная калибровка не требуется. Процедура калибровки градуированных
(мерных) цилиндров приведена в
H.3.
H.2.2 Термометры
Калибровку термометров, используемых при проведении промысловых испытаний, в частности обычно используемых металлических термометров, выполняют в сравнении с эталонным термометром. Термометры следует калибровать перед началом использования и затем периодически, в зависимости от важности измерений и стабильности термометра. Процедура калибровки приведена в
H.3.2.
H.2.3 Вискозиметр
Калибровку вискозиметров, используемых при проведении промысловых испытаний, выполняют эталонным образцом вязкости жидкости. Вискозиметры следует калибровать перед началом использования и затем периодически, в зависимости от важности измерений и стабильности вискозиметра. Во время эксплуатации вискозиметры следует проверять не менее одного раза в месяц или чаще, если показания вискозиметра не стабильны. Процедура калибровки вискозиметров приведена в
H.3.3.
H.2.4 Весы для бурового раствора
Калибровку весов для взвешивания бурового раствора выполняют с использованием деионизированной воды. Рекомендуемая периодичность определяет калибровку перед каждой серией измерений, либо это определяется оператором, компанией-поставщиком буровых растворов, либо другой заинтересованной стороной.
H.2.5 Ретортные чашки
Калибровку ретортных чашек выполняют с использованием деионизированной воды. Рекомендуемая периодичность определяет калибровку перед началом использования и затем периодически, либо это определяется оператором, компанией-поставщиком буровых растворов, либо другой заинтересованной стороной. Процедура калибровки ретортных чашек приведена в
H.3.4.
H.3 Порядок выполнения работ по калибровке
H.3.1 Емкости для жидкостей
H.3.1.1 Довести температуру цилиндра и дистиллированной воды до комнатной. Внести в отчет значение температуры с точностью до 0,5 °C (1 °F).
H.3.1.2 Поставить чистый сухой пустой цилиндр вместе с основанием на весы и установить весы на ноль.
H.3.1.3 Заполнять установленный на весах цилиндр дистиллированной водой до отметок по шкале: 2 мл, 4 мл, 6 мл, 8 мл, 10 мл для цилиндров 10 мл; 4 мл, 8 мл, 12 мл, 16 мл, 20 мл для цилиндров объемом 20 мл. Использовать пипетку или шприц для заполнения цилиндра точно до нужной отметки, не допуская попадания воды на стенки цилиндра.
H.3.1.4 Внести в отчет значение массы mW,i для каждого объема воды по возрастанию для отметки i с точностью до 0,01 г.
H.3.1.5 Вычислить объем цилиндра для отметки
i,
Vi по
формуле (H.1):

, (H.1)
где mW,i - масса воды для отметки i, г;

- плотность воды при испытательной температуре, г/см
3; см.
таблицу H.1.
Таблица H.1
Плотность воды как функция от температуры
Температура, | Плотность, |
°C | °F | г/мл |
15,0 | 59,0 | 0,9991 |
15,5 | 59,9 | 0,9991 |
16,0 | 60,8 | 0,9990 |
16,5 | 61,7 | 0,9989 |
17,0 | 62,6 | 0,9988 |
17,5 | 63,5 | 0,9987 |
18,0 | 64,4 | 0,9986 |
18,5 | 65,3 | 0,9985 |
19,0 | 66,2 | 0,9984 |
19,5 | 67,1 | 0,9983 |
20,0 | 68,0 | 0,9982 |
20,5 | 68,9 | 0,9981 |
21,0 | 69,8 | 0,9980 |
21.5 | 70,7 | 0,9979 |
22,0 | 71,6 | 0,9977 |
22,5 | 72,5 | 0,9976 |
23,0 | 73,4 | 0,9975 |
23,5 | 74,3 | 0,9974 |
24,0 | 75,2 | 0,9973 |
24,5 | 76,1 | 0,9971 |
25,0 | 77,0 | 0,9970 |
25,5 | 77,9 | 0,9969 |
26,0 | 78,8 | 0,9968 |
26,5 | 79,7 | 0,9966 |
27,0 | 80,6 | 0,9965 |
27,5 | 81,5 | 0,9964 |
28,0 | 82,4 | 0,9962 |
28,5 | 83,3 | 0,9961 |
29,0 | 84,2 | 0,9959 |
29,5 | 85,1 | 0,9958 |
30,0 | 86,0 | 0,9956 |
30,5 | 86,9 | 0,9955 |
31,0 | 87,8 | 0,9953 |
31,5 | 88,7 | 0,9952 |
32,0 | 89,6 | 0,9950 |
32,5 | 90,5 | 0,9949 |
33,0 | 91,4 | 0,9947 |
33,5 | 92,3 | 0,9945 |
34,0 | 93,2 | 0,9944 |
34,5 | 94,1 | 0,9942 |
35,0 | 95,0 | 0,9940 |
H.3.2.1 Поместить калибруемый термометр рядом с эталонным термометром в термостат [либо подходящий контейнер объемом 4 л (1 галлон) или более] на лабораторном столе в комнате с относительно постоянной температурой и оставить на 30 минут для установления равновесия.
H.3.2.2 Снять и внести в отчет показания обоих термометров.
H.3.2.3 Повторять отсчет показаний с интервалом в 5 мин, чтобы получить не менее четырех пар значений.
H.3.2.4 Рассчитать среднее показание для каждого термометра.
H.3.2.5 Для термометров с регулируемой шкалой отрегулировать шкалу на показание эталонного термометра. Для других термометров см.
H.3.2.6.
H.3.2.6 Вычислить значение поправки термометра, добавляемой к рабочему показанию термометра,
Cth, по
формуле (H.2):
где R1 - среднее показание эталонного термометра;
R2 - среднее показание рабочего термометра.
ПРИМЕР 1 - Определение поправки термометра.
В единицах СИ: R1 = 23,9 °C; R2 = 24,2 °C; Cth = 23,9 °C - 24,2 °C = -0,3 °C.
В единицах USC: R1 = 75,0 °F; R2 = 75,5 °F; Cth = 75,0 °F - 75,5 °F = -0,5 °F.
ПРИМЕР 2 - Вычисление исправленного показания R2, cor
Cth = -0,3 °C; R2 = 25,0 °C; R2, cor = 25,0 °C + (-0,3 °C) = 24,7 °C.
H.3.2.7 Отметить на термометре его поправку и дату калибровки.
Не рекомендуется использовать термометры с поправкой, вдвое превышающей допустимую погрешность измерения.
H.3.3.1 Приготовить сертифицированную калибровочную жидкость или жидкости с графиком (вязкость в зависимости от температуры) или таблицей значений вязкости для заданного диапазона; например, 50 мПа·с (50 сП), 100 мПа·с (100 сП) и т.д. Убедиться, что номер партии на графике совпадает с номером партии на емкости с калибровочной жидкостью. Каждая партия калибровочной жидкости сертифицируется отдельно. Вязкость жидкости для разных партий обычно немного различается.
Примечание - Большинство калибровочных жидкостей маркируются в сантипуазах. 1 мПа·с = 1 сП.
H.3.3.2 Вымыть и высушить боб вискозиметра, ротор и чашку.
Примечание - Вода будет загрязнять эталонную жидкость.
Разместить вискозиметр и жидкость рядом в комнате с относительно постоянной температурой [колебания температуры,

(< 5 °F/ч)]. Оставить не менее чем на 2 ч для установления равновесия.
H.3.3.3 Включить вискозиметр на время от 2 до 4 мин для разработки подшипников и шестеренок.
Отрегулировать или заменить ротор, если он производит сильную вибрацию.
H.3.3.4 Налить калибровочную жидкость в чашку, заполняя ее до отмеченной линии, и разместить чашку на подставке вискозиметра. Поднять подставку таким образом, чтобы уровень жидкости совпал с отмеченной линией на роторе.
H.3.3.5 Поместить термометр [с точностью показаний до +/- 0,1 °C (+/- 0,2 °F)] в жидкость и закрепить его, чтобы не допустить повреждения. Включить вискозиметр на малой скорости и дождаться стабилизации температуры в пределах 0,1 °C (0,2 °F) в течение 30 с. Внести в отчет значение температуры.
H.3.3.6 При работе вискозиметра снять показания при 600 об/мин и при 300 об/мин. Снять показания с точностью до 0,5 цены деления шкалы. Если необходимо, использовать увеличительное стекло.
H.3.3.7 Используя график или таблицу соотношения температура/вязкость, предоставляемые с калибровочной жидкостью, определить сертифицированную вязкость с точностью до 0,5 мПа·с. Сравнить показания шкалы при 300 об/мин с эталонной вязкостью и внести в протокол отклонение (положительное или отрицательное). Разделить показание шкалы при 600 об/мин на 2, сравнить с эталонной вязкостью и внести отклонение в отчет.
H.3.3.8 Отклонения, превышающие 1,5 цены деления шкалы, являются недопустимыми. Если отклонения превышают эти допуски, отрегулировать или отремонтировать вискозиметр.
H.3.3.9 Внести в отчет серийный номер вискозиметра, дату и отклонение. Маркировать вискозиметр, указывая дату калибровки и обозначение состояния калибровки.
H.3.4.1 Выдержать ретортную чашку, крышку и дистиллированную воду до достижения ими комнатной температуры. Внести в отчет температуру с точностью до 0,5 °C (1 °F).
H.3.4.2 Поставить на весы чистую сухую ретортную чашку с крышкой и установить весы на ноль.
H.3.4.3 Наполнить чашку дистиллированной водой. Накрыть чашку крышкой. Повернуть крышку, чтобы хорошо зажать ее. Убедиться, что некоторое количество воды выливается через отверстие в крышке. Вытереть избыток воды на крышке, не допуская впитывания воды из чашки.
H.3.4.4 Поставить заполненную чашку с крышкой на ранее обнуленные весы. Внести в отчет массу воды с точностью до 0,01 г.
H.3.4.5 Рассчитать объем чашки для реторты
VRC, мл, используя плотность воды при температуре окружающей среды (см.
таблицу H.1), по
формуле (H.3):

, (H.3)
где mW - масса воды, г

- плотность воды при испытательной температуре, г/см
3 (см.
таблицу H.1).
H.3.5 Уплотнительные прокладки фильтр-пресса и уплотнительные кольца
H.3.5.1 Прокладки или уплотнительные кольца для фильтр-пресса низкого давления и низкой температуры должны иметь внутренний диаметр в диапазоне между 75,8 мм (2,99 дюйма) и 76,9 мм (3,03 дюйма).
H.3.5.2 Проверить прокладки или уплотнительные кольца с использованием калибра с такими диаметрами.
H.3.5.3 При анализе фильтрации не допускается использование прокладок или уплотнительных колец диаметром, выходящим за пределы этого диапазона.
(обязательное)
ОПРЕДЕЛЕНИЕ ОБЪЕМА ФИЛЬТРАТА
БУРОВОГО РАСТВОРА НА ВОДНОЙ ОСНОВЕ В УСЛОВИЯХ
ВЫСОКОЙ ТЕМПЕРАТУРЫ/ВЫСОКОГО ДАВЛЕНИЯ С ИСПОЛЬЗОВАНИЕМ
ПРИБОРА ДЛЯ ОПРЕДЕЛЕНИЯ ЗАКУПОРИВАЮЩЕЙ СПОСОБНОСТИ
И ЯЧЕЕК С ТОРЦЕВЫМИ КРЫШКАМИ, ЗАКРЕПЛЕННЫМИ НА ВИНТАХ
I.1 Принцип
I.1.1 Измерения характеристик фильтрации бурового раствора и формирования глинистой корки на стенках скважины, а также характеристик самого фильтрата и содержания в нем углеводородов, воды или эмульгированной фазы, являются базовыми для контроля параметров бурового раствора и его обработки.
I.1.2 На эти характеристики оказывают влияние тип и содержание твердых частиц в буровом растворе и их физическое и химическое взаимодействие. Прибор для определения закупоривающей способности (PPA) представляет собой фильтр-пресс, адаптированный для высокой температуры и высокого давления, используемый для определения таких взаимодействий с помощью различных типов фильтрующих материалов при давлении до 13800 кПа (2000 фунт/дюйм2) и температурах от комнатной до 260 °C (500 °F). Как и стандартный фильтр-пресс HTHP, PPA может использоваться как в промысловых условиях, так и в лаборатории.
I.2 Соображения безопасности
I.2.1 Ограничения по давлению при использовании PPA зависят от используемой ячейки для пробы. Доступны два типа ячеек: с резьбовыми торцевыми крышками и с торцевыми крышками, закрепленными на винтах. Для них имеются в общей сложности пять различных диапазонов давления. Для обеспечения безопасности крайне важно, чтобы оператор точно знал максимальное рабочее давление оборудования, которое не должно превышаться. Если имеются сомнения, следует обратиться к изготовителю либо использовать минимальное из возможных ограничений.
I.2.2 Для безопасности работы PPA необходимо, чтобы оператор понимал и мог практически корректировать сборку и эксплуатацию аппарата. Неправильная сборка, неправильная эксплуатация или использование поврежденных деталей может привести к утечкам из ячейки или ее разрушению и вызвать серьезные травмы и повреждение оборудования.
I.2.3 Во время работы ячейка для пробы нагревается. Оператор должен знать о горячих зонах и не допускать контакта с ними. Прикосновение к некоторым деталям во время работы оборудования может вызвать ожоги.
I.2.4 Нагрев в данных приборах осуществляется электрически, и, как для любых электрических устройств, повреждение или обрыв электрического кабеля может привести к короткому замыканию с риском возникновения пожара, травм и повреждения оборудования. Следует подключать такие устройства только к заземленным контурам.
I.2.5 Для обеспечения безопасной работы гидравлической системы избыточного давления выполнять приведенные ниже инструкции.
I.2.5.1 Убедиться, что гидравлическое давление сброшено и что манометр на насосе показывает ноль, перед тем как:
a) отсоединить напорный шланг на быстроразъемных соединениях от ячейки для проб,
b) извлечь ячейку из термокамеры;
c) переместить PPA;
d) повторно заполнить гидравлический насос;
e) выполнить любое техническое обслуживание, включая затяжку соединений гидравлического насоса, фитингов гидравлической системы или ячейки для проб, допускающих утечки.
I.2.5.2 После заполнения или ремонта гидравлической системы убрать пролитое масло. Разлитое на полу масло представляет опасность. Кроме того, разлитое возле PPA масло создает опасность возгорания.
I.2.5.3 Во время сборки ячейки убедиться, что винты крепления торцевой крышки надлежащим образом отцентрированы и затянуты.
I.2.6 Для безопасного пневматического повышения давления в приемнике с противодавлением выполнять следующие инструкции.
I.2.6.1 Для повышения давления в приемнике использовать только азот или углекислый газ. Для силикатных растворов использовать только азот. Категорически не допускается использовать сжатый воздух, кислород или другой нерекомендованный газ. Если используется азот, он должен поставляться в специальном газовом баллоне для азота либо в лаборатории должна находиться установка подачи азота. Баллоны для азота должны соответствовать требованиям стандартов безопасности. CO2 обычно поставляется в небольших баллонах под давлением примерно 6200 кПа (900 фунт/дюйм2). Ранее они использовались в промысловых работах.
ОПАСНО - Не допускается нагревать или подвергать воздействию огня баллоны CO2. При перегреве они могут взрываться.
ОПАСНО - Не допускается использование баллончиков с оксидом азота в качестве источников давления при HT/HP фильтрации. Под действием температуры и давления оксид азота может сдетонировать в присутствии смазки, нефтяных или углеродистых материалов. Баллончики с оксидом азота должны использоваться только для карбонатного анализа в газоанализаторе Гаррета.
I.2.6.2 Поддерживать работоспособное состояние регуляторов давления и манометров. Категорически не допускается использование масла в регуляторах давления.
I.2.6.3 Гидравлические или пневматические системы повышения давления, допускающие утечки, следует ремонтировать или заменять. Следует поддерживать работоспособное состояние манометров, фитингов и шлангов, вовремя обнаруживать и устранять возникающие утечки. Периодически испытывать предохранительный клапан гидравлического насоса, чтобы убедиться, что он правильно сработает при возникновении избыточного давления. Категорически не допускается заглушать или обходить байпасом этот предохранительный клапан.
I.2.6.4 При повышении давления в системе противодавления всегда необходимо сначала открыть подачу давления, а затем настраивать регулятор. Не допускается использование устройства при давлении, превышающем его рабочий диапазон или параметры предохранительного клапана. При снижении противодавления давления отключить источник повышения давления, сбросить давление в системе, затем открутить регулировочный винт с Т-образной головкой.
I.2.7 Для обеспечения нагревания в условиях безопасности выполнять следующие инструкции.
I.2.7.1 Для предупреждения травм при работе с PPA, который нагревается до уровня, достаточного, чтобы вызывать серьезные ожоги, необходимо соблюдать осторожность. Категорически не допускается оставлять нагретый или разогреваемый PPA без надзора и установки предупреждающего сигнала.
I.2.7.2 Практика извлечения ячейки и охлаждения ее водой опасна, и этого следует избегать. Серьезные травмы могут быть вызваны паром, образующимся при контакте горячей ячейки с водой, при прямом контакте с ячейкой или при случайном падении ячейки.
I.2.8 Для обеспечения эксплуатации электрической системы в условиях безопасности выполнять следующие инструкции.
I.2.8.1 Убедиться, что источник электропитания снабжен предохранителем и заземлен. Проверить, что кабель питания термокамеры находится в хорошем состоянии и надлежащим образом заземлен.
I.2.8.2 Электрические неисправности в системе электропроводки или нагревателей обычно невозможно определить при визуальном осмотре. Первым признаком неисправности может служить частое перегорание предохранителя, срабатывание прерывателей, удлинение времени нагрева, либо нестабильные характеристики термостата. Не допускается выполнение ремонтных операций электрических систем без предварительного отключения всей установки от источника электропитания.
I.2.9 При выполнении технического обслуживания ячейки для проб пользователю следует учитывать, что фильтрационная ячейка представляет собой сосуд под давлением и ее следует рассматривать как источник возможной повышенной опасности. Далее приводятся меры предосторожности, соблюдение которых обеспечивает безопасность работ.
I.2.9.1 Материал ячейки должен быть совместим с материалом пробы.
I.2.9.2 Не допускается использование ячейки при наличии глубокой питтинговой коррозии или трещин, образовавшихся под действием напряжений.
I.2.9.3 Не допускается использование ячеек, крышек ячеек или стопорных колец с любыми признаками деформации или повреждения. Внимательно осматривать все резьбы на наличие признаков повреждения.
I.2.9.4 Использовать только неповрежденные, упрочненные стальные крепежные винты. Другие являются опасными.
I.3 Оборудование. Прибор для определения закупоривающей способности (PPA) с торцевыми крышками, закрепленными на винтах
I.3.1 Ячейка PPA.
I.3.1.1 Доступны три различных типа ячейки, использующие торцевые крышки, закрепленные на винтах. Ячейки современного и недавнего изготовления рассчитаны на 13800 кПа (2000 фунт/дюйм2) или 12420 кПа (1800 фунт/дюйм2).
Остается еще некоторое количество более старых ячеек с маркировкой "2500 фунт/дюйм2". В 1996 году номинальная характеристика этих ячеек была снижена до 1800 фунт/дюйм2 (12420 кПа). За исключением случаев, когда пользователь абсолютно уверен в том, что устройство рассчитано на 13800 кПа (2000 фунт/дюйм2), следует соблюдать ограничение 12420 кПа (1800 фунт/дюйм2).
К прибору должны быть прикреплены руководства по эксплуатации или настоящая процедура, и перед использованием персоналу, незнакомому с данным устройством, следует прочитать эти инструкции.
ОПАСНО - Выполнять рекомендации изготовителя относительно максимальной температуры, давления и объема пробы. Несоблюдение рекомендаций может привести к серьезным травмам.
I.3.1.2 PPA разработан для обеспечения повышенной точности измерений статической фильтрации. Он может работать при давлениях и температурах, приближенных к скважинным условиям и позволяет использовать среду фильтрации для имитации контактных поверхностей нефтеносных пород. Ячейка для раствора переворачивается с давлением, подаваемым от дна ячейки, среда фильтрации располагается сверху и фильтрат собирается в верхней части. Малый ручной гидронасос подает давление в ячейку. Давление передается на пробу бурового раствора через плавающий в ячейке поршень. Дополнительное уплотнительное кольцо на поршне не допускает смешивание гидравлического масла с пробой.
I.3.1.3 PPA может использовать различные среды фильтрации, включая пористые керамические или металлокерамические диски, керны и подушки из песка с покрытием или без покрытия. Доступны керамические диски с проницаемостью от 100 миллидарси до 100 дарси. Использование материалов, имитирующих контактные поверхности нефтеносных пород, вместе с использованием соответствующих значений давления и температуры испытания предоставляет пользователю более точную картину того, что происходит в стволе скважины.
Для обеспечения однородности условий анализа и воспроизводимости результатов, диски могут быть классифицированы с использованием собственной процедуры пользователя для испытания проницаемость или процедуры
I.3.2.6.
I.3.1.4 Значения давления при анализе обычно ограничиваются пределами безопасности ячейки, определенными изготовителем: 12420 кПа (1800 фунт/дюйм2) или 13800 кПа (2000 фунт/дюйм2) при заданной температуре. Если при анализе используется противодавление, может быть необходимым снизить давление анализа, чтобы не допустить превышения предельного давления ячейки и, таким образом, повреждения ячейки.
I.3.1.5 Повреждения ячейки вследствие избыточного давления можно классифицировать следующим образом: изгибание торцевой крышки, сжатие торцевой крышки, сдвиг цилиндра, напряженное состояние цилиндра. Изгибание торцевой крышки может быть обнаружено визуально или измерением. Сжатие торцевой крышки может быть обнаружено по нарушению формы отверстий или гнезд для крепежных винтов, которые становятся овальными, а не круглыми. Не следует использовать крышки с признаками повреждения, их следует отбраковать. Не следует использовать корпуса ячеек с признаками растрескивания под напряжением или серьезной точечной коррозии или имеющие поврежденные отверстия для крепежного винта.
I.3.1.6 Для температур выше 93 °C (200 °F) приемник противодавления должен находиться под давлением, чтобы не допустить закипание фильтрата. Стандартный приемник противодавления в качестве источника давления использует CO2. По желанию источник давления CO2 может быть заменен на азотный с соответствующей системой шлангов.
I.3.1.7 Ячейка PPA заключена в алюминиевую камеру с регулируемой во время нагревания и фильтрации температурой. Эта камера полностью закрывает зону фильтрации, обеспечивая фильтрацию при любой заданной температуре от комнатной до 260 °C (500 °F). Температура в ячейке может измеряться с помощью металлического стержневого термометра, установленного в специальном кармане стенки ячейки. Температура регулируется с помощью ручки регулирования термостата. Диск имеет шкалу с делениями от 1 до 10. После достижения заданной температуры ее можно повторить, устанавливая ручку регулирования на нужное деление. Стандартные ячейки для фильтр-пресса PPA изготавливаются из нержавеющей стали. Потребление энергии термокамерой PPA составляет 800 Вт.
I.3.2 Среда фильтрации, диски из любого пористого материала, такого как керамика, металлокерамика или песок с полимерным покрытием, фракционированный песок, или образцы керна.
I.3.2.1 Стандартная толщина диска составляет 6,5 мм (0,25 дюйма), но при использовании переходников могут использоваться диски большей толщины. Для каждого анализа необходимо использовать новый диск. Для буровых растворов на водной основе перед использованием погрузить диск на период от 5 до 30 мин в пресную или минерализованную воду. Для фильтрующих материалов с низкой пористостью и проницаемостью рекомендуется применять вакуумную пропитку.
Существуют неизбежные различия в размерах пор керамических дисков, обычно используемых при таких анализах. Следовательно, при выполнении сравнительных анализов рекомендуется, чтобы диски анализировались и классифицировались для обеспечения максимально возможной однородности. Изготовители выполняют контроль качества для классификации дисков и могут по запросу предоставить пользователю средний диаметр поровых каналов и среднюю пористость. Для дополнительной классификации диска пользователь может выполнить простое испытание на проницаемость с пресной водой.
I.3.2.2 Доступны различные виды дисков, включая песчаные керны Береа (Berea) различной пористости и проницаемости. Пользователю следует иметь в виду, что эти керны имеют разную пористость и проницаемость и это может повлиять на повторяемость результатов анализа. Керны могут быть нарезаны по размеру цилиндра аппарата и обычно имеют толщину 6,5 мм (0,25 дюйма). При использовании усовершенствованного цилиндра могут использоваться также керны 25,4 мм (1 дюйм).
I.3.2.3 Песок с полимерным покрытием может иметь форму цельного диска, с выбранным размером зерна, чтобы обеспечить заданную проницаемость. Песок нагревается до 150 °C (300 °F) в течение от 1 ч до 3 ч в форме с размерами, немного превышающими размеры обычного диска, и толщиной 6,5 мм (0,25 дюйма) или 25,4 мм (1 дюйм). Перед нагреванием форму следует покрыть силиконовой смазкой. Могут изготавливаться диски из песка с полимерным покрытием, чтобы обеспечить существенную разницу размеров пор и проницаемости путем использования песка с различными размерами зерна. Песок с большими размерами зерна может применяться в качестве среды фильтрации при анализе материалов для борьбы с поглощениями, которые используются для регулирования фильтрационных потерь при интенсивном поглощении раствора.
I.3.2.4 Диски из металлокерамики или щелевые металлические диски могут использоваться для имитации трещин или пород с высокой проницаемостью. При оценке материалов для борьбы с поглощениями, необходимых для перекрытия конкретной породы, размер пор диска следует сравнить с размерами пор данной породы.
I.3.2.5 Песчаные подушки могут использоваться в качестве фильтрующего материала, если в ячейке PPA фильтр находится в нижней части. Чтобы обеспечить лучшую повторяемость песчаной подушки по толщине, сначала определить необходимую толщину подушки, а затем взвесить количество песка, необходимого, чтобы сформировать такую толщину. Перед проведением анализа следует пропитать песчаные подушки базовым флюидом. Если пользователю требуется провести анализ стандартным способом с фильтрующим материалом в верхней части ячейки, фильтр из песка с полимерным покрытием можно разместить в ячейке, прогреть в течение от 1 часа до 3 часов при температуре 150 °C (300 °F), остудить, а затем перевернуть для проведения анализа.
I.3.2.6 Процедура сравнения керамических дисков: установить диск в ячейку PPA и заполнить ячейку водой. Используя оборудование для определения воздухопроницаемости, при закрытом клапане ячейки, отрегулировать давление на контрольном манометре 207 кПа (30 фунт/дюйм
2) на уровне от 28 кПа до 31 кПа (от 4,0 фунт/дюйм
2 до 4,6 фунт/дюйм
2). Открыть клапан в верхней части ячейки и отрегулировать давление на уровне 14 кПа +/- 0,7 кПа (2,0 фунт/дюйм
2 +/- 0,1 фунт/дюйм
2). После открытия клапана в нижней части ячейки снова с помощью верхнего клапана отрегулировать давление на уровне 14 кПа +/- 0,7 кПа (2,0 фунт/дюйм
2 +/- 0,1 фунт/дюйм
2). Измерить время прохождения 300 мл с использованием градуированного цилиндра емкостью 500 мл, измерить время с отметки 100 мл до отметки 400 мл. Если для сравнения используется PPT, протестировать и классифицировать несколько дисков, и использовать те из них, которые имеют аналогичные значения.
I.3.3 Таймер с точностью до 0,1 мин.
I.3.4 Термометр со шкалой до 260 °C (500 °F).
I.3.5 Градуированный цилиндр объемом 25 мл (TC) или 50 мл (TC).
(Мерный цилиндр по ГОСТ 1770-74 вместимостью 25 см3 или 50 см3).
I.3.6 Высокоскоростная мешалка (миксер).
I.4 Порядок выполнения работ для фильтрации при высокой температуре и высоком давлении (HTHP)
I.4.1 Предварительный нагрев термокамеры
I.4.1.1 Подключить шнур питания к источнику питания в соответствии с данными паспортной таблички.
I.4.1.2 Установить термостат на середину шкалы и поместить металлический термометр со шкалой в карман для термометра термокамеры. Когда температура достигнет значения, установленного термостатом, загорится сигнальная лампочка.
I.4.1.3 Установить термостат на температуру, превышающую заданную температуру испытания на 6 °C (10 °F).
I.4.2 Заполнение фильтрационной ячейки
I.4.2.1 Фильтрационная ячейка является сосудом под давлением. Для обеспечения безопасности работ необходимо предпринимать следующие меры предосторожности.
a) Материал ячейки должен быть стойким к воздействию материалов анализируемой пробы.
b) Корпуса ячеек с признаками растрескивания под напряжением или глубокой питтинговой коррозии не должны использоваться.
c) Использовать только неповрежденные, упрочненные стальные винты крепления. Использование поврежденных винтов, или винтов, изготовленных из обычной малоуглеродистой мягкой стали представляет опасность.
I.4.2.2 Полученное от изготовителя оборудование PPA снабжено клапанами, рассчитанными на 260 °C (500 °F). В случае необходимости замены какого-либо клапана в период эксплуатации настоятельно рекомендуется, чтобы устанавливаемые клапаны были рассчитаны на использование при 260 °C (500 °F).
I.4.2.3 Ослабить винты крепления торцевых крышек, затем снять крышки ячейки, извлекая их наружу с помощью ниппеля и извлекающего инструмента с рукояткой. Если крышка прихвачена и не освобождается при осторожном покачивании, вкрутить извлекающий инструмент в гнездо для ниппеля и нажать вниз рукоятку, чтобы извлечь крышку. Затем выкрутить ниппели из крышек и извлечь поршень из ячейки.
I.4.2.4 Проверить уплотнительные кольца на ниппелях, плавающем поршне, корпусе ячейки и торцевых крышках и при наличии повреждений заменить их. (Все уплотнительные кольца обычно следует заменять после проведения анализа при температуре выше 150 °C (300 °F)). Нанести на уплотнительные кольца тонкий слой смазки, особое внимание уделить качеству смазки уплотнения поршня.
I.4.2.5 Накрутить поршень на Т-образный ключ и установить поршень на дно ячейки, перемещая его вверх и вниз, чтобы убедиться в его свободном перемещении (дно ячейки, загрузочный конец, имеет более короткую канавку, чем верх). Поместить поршень так, чтобы он был на дне или вблизи дна ячейки, затем открутить ключ от поршня.
I.4.2.6 Заполнить пространство над поршнем гидравлическим маслом точно по уровню торцевой поверхности.
I.4.2.7 Установить гидравлическую торцевую крышку на дно ячейки, нажимая на шарик противодавления на ниппеле торцевой крышки на стороне впуска давления ячейки, чтобы сбросить давление и обеспечить более свободное продвижение крышки в ячейку. Установить и затянуть винты крепления.
Некоторое количество масла вытечет через отверстие в крышке, указывая, что между торцевой крышкой и поршнем нет воздуха.
I.4.2.8 Соединить нижний ниппельный блок со шлангом насоса и прокачать некоторое количество гидравлического масла, чтобы вытеснить воздух из ниппеля. Затем, обращая внимание на то, чтобы не пролить масло из ниппеля, присоединить ниппельный блок к нижней торцевой крышке ячейки и отсоединить шланг насоса.
Операции по
I.4.2.9 -
I.4.2.13 должны выполняться в предварительно нагретой термокамере, в не нагретой термокамере, если таковая имеется, или на специальном стенде.
I.4.2.9 Перевернуть ячейку вертикально и залить примерно 275 мл бурового раствора. Это обеспечит возможность расширения при нагревании. Не превышать это количество.
Для получения более точных результатов анализа непосредственно перед загрузкой в ячейку следует перемешивать буровой раствор в течение 5 минут.
I.4.2.10 Снова подсоединить шланг насоса к быстроразъемному соединению на ниппеле в нижней части ячейки и закрыть нагнетательный клапан на насосе. Привести в действие насос, чтобы поднять уровень пробы раствора до канавки уплотнительного кольца.
I.4.2.11 Установить кольцевое уплотнение и поместить выбранный керамический диск или другой фильтрующий материал поверх него.
I.4.2.12 Установить верхнюю торцевую крышку ячейки, плотно затянуть винты крепления и закрыть клапан на верхней торцевой крышке.
При помещении закрытой ячейки в горячую термокамеру может произойти резкое повышение давления в ячейке в результате температурного расширения содержимого и гидравлической жидкости. Если при комнатной температуре ячейка помещается в нагретую термокамеру, немедленно подключить насос, чтобы обеспечить сброс гидравлической жидкости и не допустить возникновения избыточного давления. Во время нагревания следует периодически контролировать давление, сбрасывая избыточное давление.
I.4.2.13 Установить ячейку в термокамеру. Убедиться, что опора ячейки выдвинута с помощью рукоятки, установить блок ячейки и повернуть его таким образом, чтобы штифт нижней части термокамеры был вставлен в отверстие в нижней части корпуса ячейки. Это предотвратит вращение ячейки.
I.4.3 Повышение давления в ячейке
I.4.3.1 В
таблице I.1 приведены значения давления в соответствии с температурой анализа; использовать гидравлический насос, чтобы создать такое давление в ячейке. При использовании ручного насоса, следует выполнять один ход поршня в секунду.
Таблица I.1
Начальные давления в ячейке и противодавления
для различных испытательных температур
Диапазон температур  | Давление или противодавление при нагревании p |
°C | °F | кПа | фунт/дюйм2 |
менее 95 | 200 | 0 | 0 |
от 95 до 150 | от 200 до 300 | 690 | 100 |
от 151 до 175 | от 301 до 350 | 1050 | 150 |
от 176 до 190 | от 351 до 375 | 1400 | 200 |
от 191 до 205 | от 376 до 400 | 1725 | 250 |
от 206 до 218 | от 401 до 425 | 2420 | 350 |
от 219 до 232 | от 426 до 450 | 3100 | 560 |
от 233 до 246 | от 451 до 475 | 3800 | 550 |
от 247 до 260 | от 476 до 500 | 4850 | 700 |
При фильтрации при температуре, превышающей точку кипения пробы раствора, необходимо использовать приемник с противодавлением, чтобы не допустить испарения фильтрата. Это также необходимо, чтобы не допустить закипания пробы во время повышения давления.
Манифольды азота, имеющие манометры противодавления 4100 кПа (600 фунт/дюйм2), необходимо модифицировать для получения давления 4850 кПа (700 фунт/дюйм2). Однако возможно проведение испытаний в пределах, установленных для манифольдов ограничений.
I.4.3.2 Во время нагревания ячейки приготовить приемник с противодавлением следующим образом.
Убедиться, что регулирующий Т-образный винт повернут против часовой стрелки настолько, чтобы сбросить все давление. После сброса давления винт должен свободно поворачиваться.
Открыть клапан сброса давления, чтобы сбросить возможное остаточное давление, и извлечь баллон с CO2 из нагнетающего устройства. Отправить на утилизацию пустой баллон, заменить его новым и затянуть его с усилием, достаточным, чтобы проколоть его. В это время не нужно трогать регулятор.
Проверить, закрыт ли клапан сброса давления на блоке CO2 и дренажный клапан фильтрата.
Отложить блок противодавления в сторону. Он должен быть установлен, как описано в
I.4.3.4.
I.4.3.3 Контролировать температуру в ячейке с помощью термометра, установленного в специальном кармане стенки ячейки, а не в кармане термокамеры. Когда в ячейке будет достигнута заданная температура, уменьшить регулировку термостата, чтобы температура термокамеры опустилась до температуры анализа. Поддерживать заданную температуру ячейки пока завершится температурное расширение и перестанет нарастать давление в ячейке. Это может занять больше 1 ч.
I.4.3.4 Когда температура ячейки достигла необходимого значения и давление стабилизировалось, установить приемник с противодавлением на переходнике верхнего клапана. Закрепить приемник с помощью шпильки. Установить нагнетательный блок CO
2 в верхней части приемника. Закрепить нагнетательный блок CO
2 другой шпилькой.
I.4.3.5 Если для слива фильтрата используется специальный шланг, присоединить его к сливному клапану и направить в градуированный цилиндр для сбора фильтрата.
Чтобы обеспечить точность измерений, пространство между фильтрующим материалом и выходом приемника с противодавлением и клапаном приемника до начала анализа следует заполнить базовым флюидом. Это обеспечит вытеснение флюидом, проходящим через фильтр, равного объема жидкости в приемник. Невыполнение этой корректирующей процедуры может привести к значительным ошибкам.
I.4.3.6 См. в
таблице I.1 подходящее давление для приемника противодавления и установить его поворотом Т-образного винта на регуляторе давления до достижения необходимого давления.
I.4.3.7 С помощью насоса повысить давление в ячейке до необходимого уровня, затем открыть клапан между ячейкой и приемником противодавления, чтобы начать анализ.
Примечание - Дифференциальное давление фильтрации равно разности между давлением в ячейке и давлением в приемнике противодавления.
I.4.4 Выполнение анализа фильтрации
I.4.4.1 Необходимо использовать лабораторный таймер и собирать фильтрат через 1 мин, 7,5 мин и 30 мин, внести в отчет объемы фильтрата. Графическое представление этих данных в зависимости от значений квадратного корня времени является полезной информацией о мгновенной фильтрации. Если необходимо, пробы можно отбирать чаще, но не следует этого делать до истечения 1 минуты. Точные значения времени и объемов необходимы для достоверных расчетов параметров фильтрации.
Для более точного определения мгновенной водоотдачи фильтрат может собираться через 1 мин, 5 мин, 7,5 мин, 15 мин, 25 мин и 30 мин, собранные объемы фильтрата в зависимости от значений квадратного корня времени можно представить графически.
I.4.4.2 Начать фильтрацию, открыв клапан между ячейкой и приемником противодавления. Проверить, что давление в ячейке, показанное манометром насоса противодавление в приемнике находятся на заданном уровне. Если необходимо, отрегулировать эти значения.
I.4.4.3 Давление в ячейке будет слегка понижаться по мере уменьшения в результате фильтрации объема содержимого ячейки и в результате возможных утечек на насосе. Для поддержания давления на заданном уровне использовать насос. При использовании ручного насоса следует выполнять один ход поршня в секунду.
I.4.4.4 По истечении каждого интервала фильтрат следует слить в градуированный цилиндр из приемника с противодавлением и внести в отчет время и общий объем.
Рекомендуется сливать фильтрат из приемника без использования сливного шланга, подсоединенного к сливному клапану. Если необходимо использовать шланг, минимизировать его длину, чтобы уменьшить ошибку за счет задержки жидкости на внутренней поверхности шланга.
I.4.4.5 По истечении 30 мин закрыть клапан и слить весь фильтрат из приемника с противодавлением в градуированный цилиндр. Внести в отчет общий объем фильтрата в градуированном цилиндре.
I.5 Завершение испытания и разборка оборудования
I.5.1 Отключить термокамеру от источника питания.
Следует снизить температуру пробы в ячейке до 38 °C (100 °F) для обеспечения безопасности при открывании ячейки.
I.5.2 Остудить ячейку, не вынимая ее из термокамеры. Если подобные анализы проводятся с достаточной периодичностью, для их упорядочивания можно предусмотреть систему охлаждения, охлаждающую станцию или баню. Предусмотрен специальный подсобный инструмент, который следует использовать всякий раз, когда необходимо работать с горячей ячейкой.
ОПАСНО - Охлаждение горячих ячеек следует выполнять с предельной осторожностью.
Рекомендованная процедура делает невозможным выполнение более одного анализа в течение 8-часового рабочего дня при наличии одного PPA. При наличии заинтересованности пользователя в повышении производительности ему потребуется разработать собственную процедуру и оборудование для охлаждения. Первичным требованием в этом случае должно быть требование безопасности.
I.5.3 Закрыть клапан между ячейкой и приемником противодавления.
I.5.4 Сбросить давление насоса и ячейки, открыв клапан насоса, затем разъединить быстроразъемное соединение между насосом и ниппельным переходником в нижней части ячейки.
I.5.5 Сбросить противодавление, поворачивая Т-образный винт регулятора против часовой стрелки, пока его движение не станет свободным.
I.5.6 Сбросить давление из приемника, открыв предохранительный клапан на блоке CO2. Открыть спускной клапан в нижней части приемника с противодавлением и собрать последние несколько капель фильтрата в градуированный цилиндр. После извлечения фиксирующей шпильки снять блок CO2 с верхнего ниппельного переходника. После извлечения фиксирующей шпильки снять приемник противодавления.
I.5.7 Ячейку можно открывать после того, как она остынет. Можно открывать ячейку только в том случае, если пользователь уверен, что она не находится более под давлением.
I.5.7.1 Если предполагается, что ячейка находится под давлением и нижняя и верхняя торцевые крышки не оборудованы защитными экранами, для определения положения плавающего поршня можно использовать следующую процедуру. Снять блок быстроразъемного соединения с нижней торцевой крышки ячейки. Ввести тонкое сверло или проволоку через крышку, чтобы определить, что поршень располагается в нижней части. Если в нижней части поршня нет, значит, нет давления. Если поршень находится в нижней части, в ячейке возможно остаточное давление. Снова подключить гидравлический насос и сделать несколько ходов поршня. Если ячейка находится под давлением, это можно определить по усилию, которое необходимо прикладывать, чтобы передвигать поршень.
I.5.7.2 Если имеются признаки наличия давления в ячейке, полностью снять блок фильтрационного клапана с ячейки и с помощью тонкого сверла или проволоки удалить засорение. Сверло или проволока остановятся при контакте с фильтрующим диском. Надеть перчатки и убедиться, что отверстие направлено в сторону от оператора, который вставляет сверло или проволоку.
I.5.8 Перед открытием можно вынуть ячейку из термокамеры и расположить ее на подставке или лабораторном столе.
I.5.9 Ослабить шесть винтов крепления крышки и, используя переходник клапана и ниппеля как рычаг, вынуть крышку из ячейки. Если крышка прихвачена, ее можно освободить подергиванием и покачиванием. Если таким образом невозможно освободить крышку, открутить переходник клапана и ниппеля, ввести инструмент для извлечения крышки на его место и вынуть крышку.
I.5.10 Необходимо вынимать торцевую крышку, когда ячейка находится в вертикальном положении и фильтрационный торец находится вверху.
I.5.11 Вынуть фильтрующий диск. Использовать маленький нож, маленькую отвертку или аналогичный инструмент с тонким лезвием, чтобы поддеть кромку диска, затем вынуть диск и фильтрационную корку. Если необходимо, слегка промыть фильтрационную корку пресной водой, затем измерить и внести в отчет ее толщину и комментарии по ее составу и структуре.
I.5.12 Освободить ячейку от бурового раствора. Вымыть внутреннюю часть ячейки пресной водой. Обычно нет необходимости вынимать плавающий поршень и нижнюю торцевую крышку, кроме случаев, когда анализ проводился при температуре 150 °C (300 °F) и выше.
Если анализ проводился при температуре 150 °C (300 °F) и выше, следует заменить уплотнительные кольца.
I.5.13 Для замены уплотнительных колец плавающего поршня и нижней торцевой крышки следует выполнить следующие три процедуры.
a) Снять нижнюю торцевую крышку, как описано в
I.5.9 и
I.5.10.
b) Вынуть плавающий поршень. Накрутить Т-образный ключ на плавающий поршень и продавить или вытащить поршень с любой стороны ячейки. Иметь в виду, что невозможно вынуть плавающий поршень через верх ячейки, не снимая нижней торцевой крышки. Снять и отправить на утилизацию все уплотнительные кольца поршня и крышки.
c) Очистить все детали для повторного использования.
I.6 Протоколы испытаний
I.6.1 Протокол по фильтрату
Внести в отчет значение общего объема фильтрата, собранного за каждый установленный промежуток времени, в миллилитрах.
I.6.2 Мгновенная водоотдача
Мгновенную водоотдачу
(2.4) можно представить пересечением прямой линии, представляющей статическую скорость фильтрации с осью y, при том, что квадратный корень времени фильтрации отмечается по оси x, и объема фильтрата [удвоенного для корректировки площади фильтрации, если используется среда фильтрования площадью 22,6 см
2 (3,5 дюйм
2)] отмеченного по оси y. В качестве альтернативы приблизительное значение можно рассчитать по
формуле (I.2).
Для более точного определения мгновенной отдачи собирать и фиксировать данные об объеме фильтрата за более короткие промежутки времени и представить эти данные в соответствии с
I.4.4.1
I.6.3 Расчет
Представить объем испытания на закупоривающую способность V
PPT, мл, по
формуле (I.1):
где V30 - объем фильтрата через 30 мин, мл.
V1 = 2[
V7,5 - (
V30 -
V7,5)] = 2(2
V7,5 -
V30), (I.2)
где V7,5 - объем фильтрата через 7,5 мин, мл.
Вычислить статическую скорость фильтрации (скорость потока),
vsf,

, по
формуле (I.3)

, (I.3)
где t1 - время начального показания, мин;
t2 - время окончательного показания, мин.
Все три данных параметра VPPT, V1 и vsf рассчитываются на основе объема фильтрата, скорректированного на площадь фильтрации. Фильтрующий материал, который обычно используется при таких анализах, имеет половину площади фильтрации, используемой в стандартных анализах фильтрации при низком давлении. Удвоение объема фильтрата компенсирует это различие площади. Для обеспечения соответствия при использовании фильтрующих элементов другой площади константа (2 в данном случае), если необходимо, может быть изменена.
I.6.4 Протокол по фильтрационной корке
Измерить и внести в отчет данные о толщине фильтрационной корки с точностью до 1,0 мм (1/32 дюйма). Внести в отчет такие характеристики, как твердая, мягкая, вязко-упругая, эластичная, плотная и т.д. Несмотря на то что это будут субъективные оценки, они могут содержать важную информацию.
(обязательное)
ОПРЕДЕЛЕНИЕ ОБЪЕМА ФИЛЬТРАТА БУРОВОГО РАСТВОРА НА ВОДНОЙ
ОСНОВЕ В УСЛОВИЯХ ВЫСОКОЙ ТЕМПЕРАТУРЫ/ВЫСОКОГО ДАВЛЕНИЯ
С ИСПОЛЬЗОВАНИЕМ ПРИБОРА ДЛЯ ОПРЕДЕЛЕНИЯ ЗАКУПОРИВАЮЩЕЙ
СПОСОБНОСТИ И ЯЧЕЕК С РЕЗЬБОВЫМИ ТОРЦЕВЫМИ КРЫШКАМИ
J.1 Принцип
J.1.1 Измерения характеристик фильтрации бурового раствора и формирования глинистой корки на стенках скважины, а также характеристики самого фильтрата и содержания в нем углеводородов, воды или эмульгированной фазы являются базовыми для регулирования свойств бурового раствора и его обработки.
J.1.2 На эти характеристики оказывают влияние тип и содержание твердой фазы в буровом растворе и их физическое и химическое взаимодействие. Прибор для определения закупоривающей способности (PPA) представляет собой фильтр-пресс, адаптированный для высокой температуры и высокого давления, используемый для определения таких взаимодействий с помощью различных типов фильтрующих материалов при давлении до 34500 кПа (2000 фунт/дюйм2) и значениях температуры от комнатной до 260 °C (500 °F). Как и стандартный пресс-фильтр HTHP, PPA может использоваться как в промысловых условиях, так и в лаборатории.
J.2 Соображения безопасности
J.2.1 Ограничения по давлению при использовании PPA зависят от используемой ячейки для пробы. Доступны два типа ячеек: с резьбовыми торцевыми крышками и с торцевыми крышками, закрепленными на винтах. Для них имеются в общей сложности пять различных диапазонов давления. Для обеспечения безопасности крайне важно, чтобы персонал точно знал максимальное рабочее давление оборудования, которое не должно превышаться. Если имеются сомнения, следует обратиться к изготовителю либо использовать минимальное из возможных ограничений.
J.2.2 Для безопасности эксплуатации PPA необходимо, чтобы персонал понимал и мог практически корректировать сборку и эксплуатацию аппарата. Неправильная сборка, неправильная эксплуатация или использование поврежденных деталей могут привести к утечкам из ячейки или ее разрушению и вызвать серьезные травмы и повреждение оборудования.
J.2.3 Во время работы ячейка для пробы нагревается. Персонал должен знать о горячих зонах и не допускать контакта с ними. Прикосновение к некоторым деталям во время работы оборудования может вызвать ожоги.
J.2.4 Нагрев в данных приборах осуществляется электрически и, как для любых электрических устройств, повреждение или обрыв электрического кабеля может привести к короткому замыканию с риском возникновения пожара, травм и повреждения оборудования. Следует подключать такие устройства только к заземленным контурам.
J.2.5 Для эксплуатации гидравлической системы повышения давления в условиях безопасности выполнять следующие инструкции.
J.2.5.1 Следует убедиться в том, что гидравлическое давление сброшено и манометр на насосе показывает ноль, перед тем как:
a) отсоединить напорный шланг на быстроразъемных соединениях от ячейки для проб;
b) извлечь ячейку из термокамеры;
c) переместить PPA;
d) повторно заполнить гидравлический насос;
e) выполнить любое техническое обслуживание, включая затяжку соединений гидравлического насоса, фитингов гидравлической системы или ячейки для проб, допускающих утечки.
J.2.5.2 После заполнения или ремонта гидравлической системы убрать пролитое масло. Разлитое на полу масло представляет опасность, разлитое возле PPA масло создает опасность возгорания.
J.2.5.3 Во время сборки ячейки убедиться, что уплотнительные кольца торцевых крышек установлены правильно.
J.2.6 Для безопасного повышения давления в приемнике с пневматическим противодавлением выполнять следующие инструкции.
J.2.6.1 Для повышения давления в приемнике с противодавлением использовать только азот или углекислый газ. Для силикатных растворов использовать только азот. Категорически не допускается использовать сжатый воздух, кислород или другой нерекомендованный газ. Если используется азот, он должен поставляться в специальном газовом баллоне для азота либо в лаборатории должна находиться установка подачи азота. Баллоны для азота должны соответствовать требованиям стандартов безопасности. CO2 обычно поставляется в небольших баллонах под давлением примерно 6200 кПа (900 фунт/дюйм2). Ранее они использовались в промысловых работах.
ОПАСНО - Не допускается нагревать или подвергать воздействию огня баллоны CO2. При перегреве они могут взрываться.
ОПАСНО - Не допускается использование баллончиков с оксидом азота в качестве источников давления при HT/HP фильтрации. Под действием температуры и давления оксид азота может сдетонировать в присутствии смазки, нефтяных или углеродистых материалов. Баллончики с оксидом азота должны использоваться только для карбонатного анализа в газоанализаторе Гаррета.
J.2.6.2 Поддерживать работоспособное состояние регуляторов давления и манометров. Категорически не допускается использование масла в регуляторах давления.
J.2.6.3 Гидравлические или пневматические системы повышения давления, допускающие утечки, следует ремонтировать или заменять. Следует поддерживать работоспособное состояние манометров, фитингов и шлангов, вовремя обнаруживать и устранять возникающие утечки. Периодически испытывать предохранительный клапан гидравлического насоса, чтобы убедиться, что он правильно сработает при возникновении избыточного давления. Категорически не допускается закупоривать или обходить байпасом этот предохранительный клапан.
J.2.6.4 При повышении давления в системе противодавления всегда необходимо сначала открыть подачу давления. Затем настроить регулятор. Не допускается использование устройства при давлении, превышающем его рабочий диапазон, или установки предохранительного клапана. При понижении противодавления отключить источник давления, сбросить давление в системе, затем открутить регулировочный винт с Т-образной головкой.
J.2.7 Для обеспечения нагревания в условиях безопасности выполнять следующие инструкции.
J.2.7.1 Для предупреждения травм при работе с PPA необходимо соблюдать осторожность. Он нагревается до уровня, достаточного, чтобы вызывать серьезные ожоги. Не допускается оставлять нагретый или нагревающийся PPA без надзора и установки предупреждающего сигнала.
J.2.7.2 Практика извлечения ячейки и охлаждения ее водой опасна, и этого следует избегать. Серьезные травмы могут быть вызваны паром, образующимся при контакте горячей ячейки с водой, при прямом контакте с ячейкой или при случайном падении ячейки.
J.2.8 Для обеспечения эксплуатации электрической системы в условиях безопасности выполнять следующие инструкции.
J.2.8.1 Убедиться, что источник электропитания снабжен предохранителем и заземлен. Проверить, что кабель питания термокамеры находится в хорошем состоянии и надлежащим образом заземлен.
J.2.8.2 Электрические неисправности в системе электропроводки или нагревателей обычно невозможно определить при визуальном осмотре. Первым признаком неисправности может служить частое перегорание предохранителя, срабатывание прерывателей, удлинение времени нагрева либо нестабильные характеристики термостата. Не допускается выполнение ремонтных операций электрических систем без предварительного отключения всей установки от источника электропитания.
J.2.9 При выполнении технического обслуживания ячейки для проб пользователю следует учитывать, что фильтрационная ячейка представляет собой сосуд под давлением и ее следует рассматривать как источник возможной повышенной опасности. Далее приводятся меры предосторожности, соблюдение которых обеспечивает безопасность работ.
J.2.9.1 Материал ячейки должен быть совместим с материалом пробы.
J.2.9.2 Не допускается использование ячейки при наличии глубокой питтинговой коррозии или трещин, образовавшихся под действием напряжений.
J.2.9.3 Не допускается использование ячеек, крышек ячеек или стопорных колец с любыми признаками деформации или повреждения. Внимательно осматривать все резьбы на наличие признаков повреждения.
J.3 Оборудование. Прибор для определения закупоривающей способности с резьбовыми торцевыми крышками
J.3.1 Ячейка PPA
J.3.1.1 Имеются два изготовителя PPA. Оба поставляют резьбовые торцевые крышки для ячеек, используемых для испытаний, которые выполняются под давлением, превышающим 13800 кПа (2000 фунт/дюйм2). Существуют резьбовые торцевые крышки для трех диапазонов номинальных значений давления: 20700 кПа (3000 фунт/дюйм2), 27600 кПа (4000 фунт/дюйм2) и 34600 кПа (5000 фунт/дюйм2). К аппарату должны быть прикреплены руководства по эксплуатации или описание настоящей процедуры, и перед использованием персоналу, незнакомому с данным устройством, следует прочитать эти инструкции. Если пользователь не в состоянии достоверно определить ограничения по рабочим характеристикам, должны соблюдаться наиболее низкие ограничения по давлению.
ОПАСНО - Выполнять рекомендации изготовителя относительно максимальной температуры, давления и объема пробы. Несоблюдение рекомендаций может привести к серьезным травмам.
J.3.1.2 Полученное от изготовителя оборудование PPA снабжено клапанами, рассчитанными на 260 °C (500 °F). В случае необходимости замены какого-либо клапана в период эксплуатации настоятельно рекомендуется, чтобы устанавливаемые клапаны были рассчитаны на использование при 260 °C (500 °F).
J.3.1.3 PPA разработан для обеспечения повышенной точности измерений статической фильтрации. Он может работать при давлениях и температурах, приближенных к скважинным условиям и позволяет использовать фильтрующий материал для имитации контактных поверхностей нефтеносных пород. Ячейка для раствора переворачивается с давлением, подаваемым от дна ячейки, среда фильтрации располагается сверху, и фильтрат собирается в верхней части. Малый ручной гидравлический насос подает давление в ячейку. Давление передается на пробу бурового раствора через плавающий в ячейке поршень. Дополнительное уплотнительное кольцо на поршне не допускает смешивание гидравлического масла с пробой.
J.3.1.4 PPA может использовать различные среды фильтрации, включая пористые керамические или металлокерамические диски, керны и подушки из песка с покрытием или без покрытия. Доступны керамические диски с проницаемостью от 100 миллидарси до 100 дарси. Использование материалов, имитирующих контактные поверхности нефтеносных пород, вместе с использованием соответствующих значений давления и температуры испытания предоставляет пользователю более точную картину того, что происходит в стволе скважины.
Для обеспечения однородности условий анализа и воспроизводимости результатов диски могут быть классифицированы с использованием собственной процедуры пользователя для испытания на проницаемость или процедуру
J.3.2.7.
J.3.1.5 Значения давления испытания обычно ограничиваются пределами безопасности ячейки, определенными изготовителем: 20700 кПа (3000 фунт/дюйм2), 27800 кПа (4000 фунт/дюйм2) или 34500 (5000 фунт/дюйм2) при температуре 260 °C (500 °F). Если при испытании используется противодавление, может быть необходимым снизить максимальное давление испытания, чтобы не допустить превышения предельного давления ячейки.
Не следует использовать крышки с признаками повреждения, их следует отбраковать. Не следует использовать корпуса ячеек с признаками растрескивания под напряжением или серьезной точечной коррозии.
J.3.1.6 Для температур выше 93 °C (200 °F) приемник с противодавлением должен находиться под давлением, чтобы не допустить закипание фильтрата. Стандартный приемник с противодавлением в качестве источника давления использует CO2. По желанию источник давления CO2 может быть заменен на азотный с соответствующей системой шлангов.
J.3.1.7 Ячейка PPA заключена в алюминиевую камеру с регулируемой во время нагревания и фильтрации температурой. Эта камера полностью закрывает зону фильтрации, обеспечивая фильтрацию при любой заданной температуре от комнатной до 260 °C (500 °F). Температура в ячейке может измеряться с помощью металлического стержневого термометра, установленного в специальном кармане стенки ячейки. Температура регулируется с помощью ручки регулирования термостата. Диск имеет шкалу с делениями от 1 до 10. После достижения заданной температуры ее можно повторить, устанавливая ручку регулировки на нужное деление. Стандартные ячейки для фильтр-пресса PPA изготавливаются из нержавеющей стали. Потребление энергии термокамерой PPA составляет 800 Вт.
J.3.1.8 PPA может использоваться в промысловых условиях или в лаборатории. Для работы в промысловых условиях имеется контейнер из нержавеющей стали с откидной рабочей полкой.
J.3.2 Среда фильтрации, это могут быть диски или любой пористый материал, такой как керамика, металлокерамика, фильтры из песка с полимерным покрытием, фракционированный песок или образцы керна.
J.3.2.1 Стандартная толщина диска составляет 6,5 мм (0,25 дюйма), но при использовании переходников могут использоваться и диски большей толщины. Для каждого анализа необходимо использовать новый диск. Для буровых растворов на водной основе перед использованием погрузить диск на период от 5 до 30 мин в пресную или минерализованную воду. Для фильтрующих материалов с низкой пористостью и проницаемостью рекомендуется применять вакуумную пропитку.
Существуют неизбежные различия в размерах пор керамических дисков, обычно используемых в таких испытаниях. Следовательно, при выполнении сравнительных испытаний рекомендуется, чтобы диски испытывались и классифицировались для обеспечения максимально возможной однородности. Изготовители выполняют испытания контроля качества для классификации дисков и могут по запросу предоставить пользователю средний диаметр поровых каналов и среднюю пористость. Для дополнительной классификации диска пользователь может выполнить простое испытание на проницаемость с пресной водой.
J.3.2.2 Доступны другие виды дисков, включая песчаные керны Береа (Berea) различной пористости и проницаемости. Пользователю следует иметь в виду, что эти керны имеют разную пористость и проницаемость, и это может повлиять на достоверность результатов анализа. Керны могут быть нарезаны по размеру цилиндра прибора и обычно имеют толщину 6,5 мм (0,25 дюйма). При использовании усовершенствованного цилиндра могут использоваться также керны 25,4 мм (1 дюйм).
J.3.2.3 Песок с полимерным покрытием может иметь форму цельного диска, с выбранным размером зерна, чтобы обеспечить заданную проницаемость. Песок нагревается до 150 °C (300 °F) в течение от 1 до 3 ч в форме с размерами, немного превышающими размеры обычного диска, и толщиной 6,5 мм (0,25 дюйма) или 25,4 мм (1 дюйм). Перед нагреванием форму следует покрыть силиконовой смазкой.
J.3.2.4 Диски из песка с полимерным покрытием могут изготавливаться, чтобы обеспечить существенную разницу размеров пор и проницаемости путем использования песка с различными размерами зерна. Песок с большими размерами зерна может применяться в качестве фильтрующего материала при анализе материалов для борьбы с поглощениями, который должен использоваться для регулирования потерь на фильтрацию в условиях интенсивной фильтрации.
J.3.2.5 Диски из металлокерамики или щелевые металлические диски могут использоваться для имитации трещин или пород с высокой проницаемостью. При оценке материалов для борьбы с поглощениями, необходимых для перекрытия конкретной породы, размер пор диска следует сравнить с размерами пор данной породы.
J.3.2.6 Песчаные подушки могут использоваться в качестве фильтрующего материала, если в ячейке PPA фильтр находится в нижней части. Чтобы обеспечить лучшую повторяемость песчаной подушки по толщине, сначала определить необходимую толщину подушки, а затем взвесить количество песка, необходимого, чтобы сформировать такую толщину. Перед проведением анализа следует пропитать песчаные подушки базовым флюидом. Если пользователю требуется провести анализ стандартным способом с фильтрующим материалом в верхней части ячейки, фильтр из песка с полимерным покрытием можно разместить в ячейке, прогреть в течение от 1 до 3 часов при температуре 150 °C (300 °F), остудить, а затем перевернуть для проведения анализа.
J.3.2.7 Процедура сравнения керамических дисков: установить диск в ячейку PPA и заполнить ячейку водой. Используя оборудование для определения воздухопроницаемости, при закрытом верхнем клапане ячейки, отрегулировать давление на контрольном манометре 200 кПа (30 фунт/дюйм
2) на уровне от 28 кПа до 31 кПа (от 4,0 фунт/дюйм
2 +/- 4,5 фунт/дюйм
2). Открыть клапан в верхней части ячейки и отрегулировать давление на уровне 14 кПа +/- 0,7 кПа (2,0 фунт/дюйм
2 +/- 0,1 фунт/дюйм
2). После открытия клапана в нижней части ячейки снова с помощью верхнего клапана отрегулировать давление на уровне 14 кПа +/- 0,7 кПа (2,0 фунт/дюйм
2 +/- 0,1 фунт/дюйм
2). Измерить время прохождения 300 мл с использованием градуированного цилиндра емкостью 500 мл, измерить время с отметки 100 мл до отметки 400 мл. Если для сравнения используется PPT, протестировать и классифицировать несколько дисков и использовать те из них, которые имеют аналогичные значения.
J.3.3 Таймер с точностью до 0,1 мин.
J.3.4 Термометр со шкалой до 260 °C (500 °F).
J.3.5 Градуированный цилиндр объемом 25 мл (TC) или 50 мл (TC).
(Мерный цилиндр по ГОСТ 1770-74 вместимостью 25 см3 или 50 см3).
J.3.6 Высокоскоростная мешалка (миксер).
J.4 Порядок выполнения работ для фильтрации при высокой температуре и высоком давлении (HTHP)
J.4.1 Предварительный нагрев термокамеры
J.4.1.1 Подключить шнур питания к источнику питания в соответствии с данными паспортной таблички.
J.4.1.2 Повернуть термостат на середину шкалы и поместить металлический термометр со шкалой в карман для термометра термокамеры. Когда температура достигнет значения, установленного термостатом, загорится сигнальная лампочка.
J.4.1.3 Установить термостат на температуру, превышающую заданную температуру анализа на 6 °C.
J.4.2 Заполнение фильтрационной ячейки
J.4.2.1 Фильтрационная ячейка является сосудом под давлением. Корпуса ячеек с признаками растрескивания под напряжением или глубокой питтинговой коррозии не должны использоваться. Для обеспечения безопасности работ следует выполнять следующие процедуры.
J.4.2.2 Использовать рычажный ключ, чтобы снять торцевые крышки. Открутить ниппели с крышек и вынуть поршень из ячейки.
J.4.2.3 Проверить уплотнительные кольца на ниппелях, плавающем поршне, корпусе ячейки и торцевых крышках и при наличии повреждений заменить их [все уплотнительные кольца обычно следует заменять после проведения анализа при температуре выше 150 °C (300 °F)]. Нанести на уплотнительные кольца тонкий слой смазки, особое внимание уделить качеству смазки уплотнения поршня. Накрутить плавающий поршень на Т-образный ключ и установить поршень на дне ячейки, перемещая его вверх и вниз, чтобы убедиться в его свободном перемещении (нижняя часть ячейки, загрузочная часть, имеет более короткую канавку, чем верх). Разместить поршень на дне или в нижней части ячейки, затем открутить ключ от поршня.
J.4.2.4 Заполнить пространство над поршнем гидравлическим маслом точно по уровню торцевой поверхности.
J.4.2.5 Нанести противозадирную пасту на торцевую поверхность отверстия ячейки, горизонтальную поверхность на торце ячейки и заполнить пространство над поршнем гидравлическим маслом точно по уровню торцевой поверхности.
J.4.2.6 Нанести на резьбы термостойкую консистентную смазку и затем закрутить торцевую крышку на место, умеренно затягивая с помощью двухштифтового рычажного ключа. Избыточное затягивание не улучшит уплотнение, и создаст дополнительные трудности при снятии крышки.
J.4.2.7 Установить гидравлическую торцевую крышку в нижней части ячейки: нажимать на шарик противодавления на ниппеле крышки на конце подачи давления, чтобы сбросить давление и обеспечить более свободное продвижение крышки в ячейку.
Некоторое количество масла вытечет через отверстие в крышке, указывая, что между торцевой крышкой и поршнем нет воздуха.
J.4.2.8 Соединить нижний ниппельный блок со шлангом насоса и прокачать некоторое количество гидравлического масла, чтобы вытеснить воздух из ниппеля. Затем, обращая внимание на то, чтобы не пролить масло из ниппеля, присоединить ниппельный блок к нижней торцевой крышке ячейки и отсоединить шланг насоса.
Следующие операции могут выполняться в предварительно нагретой термокамере, в ненагретой термокамере, если таковая имеется, или на специальном стенде.
Для получения более точных результатов анализа, непосредственно перед загрузкой в ячейку следует перемешивать буровой раствор в течение 5 мин.
J.4.2.9 Повернуть ячейку вверх и залить примерно 275 мл бурового раствора. Это обеспечит возможность расширения при нагревании. Не превышать это количество.
J.4.2.10 Снова подсоединить шланг насоса к быстроразъемному соединению на ниппеле в нижней части ячейки и закрыть нагнетательный клапан на насосе. Привести в действие насос, чтобы поднять уровень пробы раствора до канавки уплотнительного кольца.
J.4.2.11 Надеть кольцевое уплотнение и установить поверх него выбранный керамический диск или другой фильтрующий материал.
J.4.2.12 Установить верхнюю торцевую крышку ячейки.
J.4.2.13 Смазать резьбы и нижнюю поверхность удерживающего кольца и закрутить кольцо в верхней части ячейки. Затянуть, используя одноштифтовый рычажный ключ, если необходимо, до того, как фланец с насечкой удерживающего кольца будет на одном уровне с верхом корпуса ячейки. Дополнительная затяжка не улучшит уплотнение и создаст дополнительные трудности при снятии крышки.
Эта операция применима только для ячеек с удерживающими кольцами для верхней торцевой крышки.
J.4.2.14 Установить ячейку в термокамеру. Убедиться, что опора ячейки выдвинута с помощью рукоятки, установить блок ячейки и повернуть его таким образом, чтобы штифт нижней части термокамеры был вставлен в отверстие в нижней части корпуса ячейки. Это предотвратит вращение ячейки.
J.4.2.15 При помещении закрытой ячейки в горячую термокамеру может произойти резкое повышение давления в ячейке в результате температурного расширения содержимого и гидравлической жидкости. Если при комнатной температуре ячейка помещается в нагретую термокамеру, немедленно подключить насос, чтобы обеспечить сброс гидравлической жидкости и не допустить возникновения избыточного давления. Во время нагревания следует периодически контролировать давление, сбрасывая избыточное давление.
J.4.3 Повышение давления в ячейке
J.4.3.1 При фильтрации при температуре, превышающей точку кипения пробы раствора, необходимо использовать приемник с противодавлением, чтобы не допустить испарения фильтрата. Это также необходимо, чтобы не допустить закипания пробы во время повышения давления. В
таблице 2 приведены значения давления в соответствии с температурой анализа; использовать гидравлический насос, чтобы создать такое давление в ячейке. При использовании ручного насоса следует выполнять один ход поршня в секунду.
J.4.3.2 Во время нагревания ячейки приготовить приемник с противодавлением следующим образом.
Убедиться, что регулирующий Т-образный винт повернут против часовой стрелки настолько, чтобы сбросить все давление. После сброса давления винт должен свободно поворачиваться.
Открыть клапан сброса давления, чтобы сбросить возможное остаточное давление и извлечь баллон с CO2 из нагнетающего устройства. Отправить на утилизацию пустой баллон, заменить его новым и затянуть его с усилием, достаточным, чтобы проколоть его. В это время не нужно трогать регулятор.
Проверить, закрыт ли клапан сброса давления на блоке CO2 и дренажный клапан фильтрата.
Отложить блок противодавления в сторону. Он должен быть установлен, как описано в
J.4.3.4.
J.4.3.3 Контролировать температуру в ячейке с помощью термометра, установленного в специальном кармане стенки ячейки, а не в кармане термокамеры. Когда в ячейке будет достигнута заданная температура, отрегулировать термостат, чтобы температура термокамеры опустилась до температуры анализа. Поддерживать заданную температуру ячейки пока завершится температурное расширение и перестанет нарастать давление в ячейке. Это может занять больше 1 ч.
J.4.3.4 Когда температура ячейки достигла необходимого значения и давление стабилизировалось, установить приемник с противодавлением на переходнике верхнего клапана. Закрепить приемник с помощью удерживающей шпильки. Установить нагнетательный блок CO
2 в верхней части приемника. Закрепить нагнетательный блок CO
2 другой шпилькой.
J.4.3.5 Если для слива фильтрата используется специальный шланг, присоединить его к сливному клапану и направить в градуированный цилиндр для сбора фильтрата.
Чтобы обеспечить точность измерений, пространство между фильтрующим материалом и выходом приемника с противодавлением и клапаном приемника до начала анализа следует заполнить базовым флюидом. Это обеспечит вытеснение флюидом, проходящим через фильтр, равного объема жидкости в ресивер. Невыполнение этой корректирующей процедуры может привести к значительным ошибкам.
J.4.3.6 См. в
Таблице I.1 подходящее давление для приемника с противодавлением и установить его поворотом Т-образного винта на регуляторе давления до достижения необходимого давления.
J.4.3.7 С помощью насоса повысить давление в ячейке до необходимого уровня, затем открыть клапан между ячейкой и приемником с противодавлением, чтобы начать анализ.
Дифференциальное давление фильтрации равно разности между давлением в ячейке и давлением в приемнике.
J.4.4 Выполнение анализа фильтрации
J.4.4.1 Проверить значение противодавления на регуляторе давления. Отрегулировать, если необходимо.
J.4.4.2 Установить таймер на необходимое время фильтрации. Фильтрат должен собираться через интервалы 1 мин, 7,5 мин и 30 мин. Если необходимо, пробы могут отбираться чаще, но не следует этого делать до истечения 1 минуты. Точные значения времени и объемов необходимы для достоверных расчетов параметров фильтрата.
Для более точного определения мгновенной водоотдачи собирать фильтрат через 1 мин, 5 мин, 7,5 мин, 15 мин, 25 мин и 30 мин, собранные объемы фильтрата представить графически как зависимость от квадратного корня значения времени.
J.4.4.3 Начать фильтрацию, открыв клапан между ячейкой и приемником с противодавлением. Давление в ячейке, показанное манометром насоса, вначале снизится. Для поддержания давления на заданном уровне использовать насос. При использовании ручного насоса следует выполнять один ход поршня в секунду.
J.4.4.4 По истечении каждого интервала фильтрат следует сливать в градуированный цилиндр из приемника с противодавлением через выпускной клапан и вносить в отчет время и общий объем.
J.4.4.5 Давление в ячейке будет слегка понижаться по мере уменьшения в результате фильтрации объема содержимого ячейки и в результате возможных утечек на насосе. Можно повышать давление в ячейке, чтобы поддерживать постоянное давление. Поддерживать необходимое давление в ячейке и приемнике с противодавлением на протяжении всего времени анализа.
Рекомендуется сливать фильтрат из приемника с противодавлением без использования сливного шланга, подсоединенного к сливному клапану. Если необходимо использовать шланг, следует минимизировать его длину, чтобы уменьшить ошибку за счет задержки жидкости на внутренней поверхности шланга.
J.4.4.6 По истечении 30 мин закрыть клапан и слить оставшийся фильтрат из ресивера поддерживающего давления в градуированный цилиндр. Внести в отчет общий объем фильтрата в градуированном цилиндре.
J.5 Завершение испытания и разборка оборудования
J.5.1 Отключить термокамеру от источника питания. Следует снизить температуру пробы в ячейке до 38 °C (100 °F), для обеспечения безопасности открывания ячейки.
J.5.2 Остудить ячейку, не вынимая ее из термокамеры. Если подобные анализы проводятся с достаточной периодичностью, для их упорядочивания можно предусмотреть систему охлаждения, охлаждающую станцию или баню. Предусмотрен специальный подсобный инструмент, который следует использовать всякий раз, когда необходимо работать с горячей ячейкой.
ОПАСНО - Охлаждение горячих ячеек следует выполнять с предельной осторожностью.
Рекомендованная процедура осложняет выполнение более одного анализа в течение восьми часов рабочего дня при наличии одного PPA. При наличии заинтересованности пользователя в повышении производительности, ему потребуется разработать собственную процедуру и оборудование для охлаждения. Первичным требованием в этом случае должно быть требование безопасности.
J.5.3 Изолировать компоновку противодавления от источника давления, поворачивая Т-образный винт регулятора против часовой стрелки, пока его движение не станет свободным.
J.5.4 Открыть клапан стравливания давления на блоке CO2, чтобы сбросить давление в приемнике с противодавлением.
J.5.5 После удаления шпильки снять блок CO2 с верхнего ниппельного переходника.
J.5.6 Вынуть шпильку и снять приемник с противодавлением.
J.5.7 Открыть клапан гидравлического насоса для сброса давления в ячейке, затем отсоединить гидравлическое быстроразъемное соединение.
J.5.8 Открыть фильтрационный клапан для освобождения остаточного давления между фильтром ячейки и приемником с противодавлением.
J.5.9 Если предполагается, что ячейка находится под давлением и экранированная торцевая крышка не находится в нижнем положении, для определения положения плавающего поршня можно использовать следующую процедуру. Снять блок быстроразъемного соединения с нижней торцевой крышки ячейки и ввести тонкое сверло или проволоку через крышку, чтобы определить, что поршень располагается в нижней части. Если в нижней части поршня НЕТ, значит, нет давления. Если поршень находится в нижней части, в ячейке возможно остаточное давление. Снова подключить гидравлический насос и сделать несколько ходов поршня. Если ячейка находится под давлением, это можно определить по усилию, которое необходимо прикладывать, чтобы передвигать поршень.
J.5.10 Если имеются признаки наличия давления в ячейке, полностью снять блок фильтрационного клапана с ячейки и с помощью тонкого сверла или проволоки удалить засорение. Сверло или проволока остановятся при контакте с фильтрующим диском. Надеть перчатки и убедиться, что отверстие направлено в сторону от оператора, который вставляет сверло или проволоку.
Ячейку следует открывать только тогда, когда оператор полностью уверен, что содержимое не находится более под давлением.
J.5.11 Поднять или вынуть ячейку. Если необходимо, ячейку можно приподнять в термокамере за клапан фильтрации или используя дополнительный инструмент для захвата ячейки. Присоединить данный инструмент к ниппелю входного отверстия противодавления выше клапана фильтрации, где обычно присоединяется приемник с противодавлением. Закрепить его, используя шпильку штока клапана. Ячейка может поддерживаться на основании для ячейки или поднята из нагревательной камеры и размещена на стенде, пока открывается.
J.5.12 Снять резьбовые крышки с помощью рычажных ключей. Может быть необходимо постучать ключом для страгивания. Сложности при открывании являются признаком недостаточной смазки, избыточной затяжки или неудовлетворительной очистки. Может понадобиться использование соответствующего инструмента, такого как тиски с мягкими губками, цепной ключ, ленточный ключ или аналогичное устройство для удерживания ячейки во время откручивания крышки.
J.5.13 Расположить ячейку фильтром вверх и открутить верхнюю крышку.
J.5.14 Вынуть фильтрующий диск. Использовать маленький нож, маленькую отвертку или аналогичный инструмент с тонким лезвием, чтобы поддеть кромку диска, затем вынуть диск и фильтрационную корку. Если необходимо, слегка промыть фильтрационную корку пресной водой, затем измерить и внести в отчет ее толщину и комментарии по ее составу.
J.5.15 Освободить ячейку от бурового раствора и вымыть внутреннюю часть ячейки пресной водой. Обычно нет необходимости вынимать плавающий поршень и нижнюю торцевую крышку, кроме случаев, когда анализ проводился при температуре 150 °C (300 °F) и выше.
Если анализ проводился при температуре выше 150 °C (300 °F), следует заменить уплотнительные кольца.
J.5.16 Для замены уплотнительных колец плавающего поршня и нижней торцевой крышки следует выполнить следующие три процедуры.
a) Снять нижнюю торцевую крышку, как описано в
J.5.10 и
J.5.11, имея в виду, что положение ячейки обратное и используется двухштифтовый рычажный ключ.
b) Вынуть плавающий поршень. Накрутить Т-образный ключ на плавающий поршень и продавить или вытащить поршень с любой стороны ячейки. Иметь в виду, что невозможно вынуть плавающий поршень через верх ячейки, не снимая нижней торцевой крышки. Снять и отправить на утилизацию все уплотнительные кольца поршня и крышки.
c) Очистить все детали для повторного использования.
J.6 Протоколы испытаний
J.6.1 Протокол по фильтрату
Внести в отчет значение общего объема фильтрата, собранного за каждый установленный промежуток времени, в миллилитрах.
J.6.2 Мгновенная водоотдача
Мгновенную водоотдачу
(2.4) можно представить пересечением на оси у прямой линии, представляющей статическую скорость фильтрации, при том, что квадратный корень времени фильтрации отмечается по оси x, и объема фильтрата [удвоенного для корректировки площади фильтрации, если используется фильтрующий материал 22,6 см
2 (3,5 дюйм
2)], отмеченного по оси y. В качестве альтернативы приблизительное значение можно рассчитать по
формуле (I.2).
Для более точного определения мгновенной водоотдачи собирать и фиксировать данные об объеме фильтрата за более короткие промежутки времени и представить эти данные в соответствии с
J.4.4.2.
J.6.3 Расчет
Рассчитать объем испытания на закупоривающую способность, мгновенную водоотдачу и статическую скорость фильтрации по
формулам (I.1),
(I.2) и
(I.3) соответственно.
J.6.4 Протокол по фильтрационной корке
Измерить и внести в отчет данные о толщине фильтрационной корки с точностью до 1,0 мм (1/32 дюйма). Внести в отчет такие характеристики, как твердая, мягкая, вязко-упругая, эластичная, плотная и т.д. Несмотря на то что это будут субъективные оценки, они могут содержать важную информацию.
(справочное)
ФОРМА ОТЧЕТА ДЛЯ БУРОВЫХ РАСТВОРОВ НА ВОДНОЙ ОСНОВЕ
| Отчет для буровых растворов на водной основе |
ДАТА ___ 20__ | ГЛУБИНА |  MC |
 TVC |
НОМЕР СКВАЖИНЫ | ШТАТ | ОКРУГ | СКВАЖИНА | S/T | | ДАТА НАЧАЛА БУРЕНИЯ _____ | ТЕКУЩАЯ ДЕЯТЕЛЬНОСТЬ ____ |
| | | | | | | | | | | | | | |
ОПЕРАТОР | ПОДРЯДЧИК | N БУРОВОЙ |
ОТЧЕТ ДЛЯ | ОТЧЕТ ДЛЯ | ДИАПАЗОН КВАДРАТОВ УЧАСТКА |
НАИМЕНОВАНИЕ И НОМЕР СКВАЖИНЫ | НОМЕР МЕСТОРОЖДЕНИЯ ИЛИ БЛОКА | МОРСКОЙ ОКРУГ/РАЙОН | ШТАТ/ОБЛАСТЬ |
ДАННЫЕ ПО ДОЛОТУ | БУРОВАЯ КОЛОННА | ОБСАДНАЯ КОЛОННА | ДАННЫЕ ПО ЦИРКУЛЯЦИИ |
СВОЙСТВА БУРОВОГО РАСТВОРА | ТЕХНИЧЕСКИЕ ТРЕБОВАНИЯ К СВОЙСТВАМ БУРОВОГО РАСТВОРА |
Проба отобрана из | ВЛ Емк | ВЛ Емк | ВЛ Емк | ВЛ Емк | Вес | Вязкость | Фильтрат |
Время отбора пробы | | | | |
Температура выкидной линии, °C или °F | | | | | РЕКОМЕНДУЕМАЯ ОБРАБОТКА ЗА СМЕНУ |
Плотность, ув/кг/м3/фунт/фут3/фунт/гал при __ °C или °F | | | | | |
Вязкость по воронке Марша, с/кв при __ °C или °F | | | | | |
Пластическая вязкость, кП при __ °C или °F | | | | | |
Предел текучести, фунт/100 фут3 | | | | | |
СНС, фунт/100 фут3, 10 с/10 мин | | | | | |
Фильтрат API, мл/30 мин | | | | | |
Фильтрат HTHP, мл/30 мин при __ °C или °F | | | | | |
Толщина корки, дюйм/32 или мм | | | | | ПРИМЕЧАНИЯ |
Твердые частицы по реторте, % (об.) | | | | | |
Соотношение нефть/вода, % (об.) | | | | | |
Содержание песка, % (об.) | | | | | |
Емкость метиленовой сини, см3/см3 раствора или фунт/баррель. | | | | | |
pH-полоски, pH-метр при __ °C или °F | | | | | |
Щелочность раствора (Pm) см3 н/50 кисл/см3 | | | | | |
Щелочность фильтр. (Pf/Mf) см3 н/50 кисл/см3 | | | | | |
Хлориды, мг/л | | | | | |
Общая жесткость по кальцию, мг/л | | | | | |
| | | | | |
ПРОДУКЦИЯ | ОБОРУДОВАНИЕ ДЛЯ КОНТРОЛЯ ТВЕРДОЙ ФАЗЫ |
ОБЪЕМ БУРОВОГО РАСТВОРА | АНАЛИЗ ТВЕРДЫХ ЧАСТИЦ | РЕОЛОГИЯ И ГИДРАВЛИКА ЖИДКОСТИ | АНАЛИЗ СТОИМОСТИ |
Представитель ___________ контактный телефон _______ телефон склада _______
Рисунок K.1 - Форма отчета для проб бурового раствора
(справочное)
ОПРЕДЕЛЕНИЕ УСЛОВНОЙ ВЯЗКОСТИ С ИСПОЛЬЗОВАНИЕМ ВИСКОЗИМЕТРА
ДЛЯ БУРОВОГО РАСТВОРА
ДА.1 Оборудование
ДА.1.1 Вискозиметр для бурового раствора откалиброванный на вытекание 500 мл дистиллированной воды при температуре 20 +/- 5 °C за 15 +/- 0,5 с, состоящий из воронки вместимостью 700 +/- 40 мл и трубки диаметром 5 +/- 0,012 мм, длиной 100 +/- 0,46 мм, герметично соединенной с воронкой.
ДА.1.2 Сито, входящее в комплект поставки.
ДА.1.3 Мерная кружка объемом 500 +/- 5 мл.
ДА.1.4 Секундомер.
ДА.2 Порядок измерения
ДА.2.1 Перед измерением воронку вискозиметра и мерную кружку смочить водой.
ДА.2.2 Закрыть отверстие трубки пальцем и налить буровой раствор через сито в воронку до перелива в желоб.
ДА.2.3 Поставить мерную кружку под трубку и убрать палец, одновременно включив секундомер.
ДА.2.4 В момент заполнения кружки раствором до краев остановить секундомер и прочесть его показания.
ДА.2.5 После каждого измерения кружку необходимо мыть.
ДА.2.6 Условную вязкость рассчитывают как среднее из трех значений измерений. Значения не должны отличаться между собой более чем на 3,33%.
(справочное)
ОПРЕДЕЛЕНИЕ КОЭФФИЦИЕНТА ТРЕНИЯ КОРКИ (КТК)
ДБ.1 Принцип
Коэффициент трения корки определяется по тангенсу угла, на который можно поднять глинистую корку с лежащим на ней отшлифованным цилиндром.
ДБ.2 Оборудование
Прибор КТК-2, состоящий из основания с площадкой для корки, шкалы, пузырькового уровня и электродвигателя. Прибор должен отвечать следующим техническим требованиям:
угол подъема подвижной плиты - 0 - 25 градусов;
цена деления шкалы - 1 градус;
точность измерения угла подъема плиты - +/- 0,25 градуса;
диаметр ложа - 60 мм;
диаметр груза - 38 - 39 мм;
вес груза - 140 +/- 2 г.
Груз - полый цилиндр, обработанный по 4-му классу чистоты. Поставляется вместе с КТК-2.
Допускается использование других моделей прибора, отвечающих данным требованиям.
ДБ.3 Порядок измерения
ДБ.3.1 Бумажный фильтр с глинистой коркой, полученной после замера показателя фильтрации, уложить на площадку, установленную в горизонтальном положении по пузырьковому уровню. Затем на корку положить чистый и сухой груз (цилиндр).
ДБ.3.2 Включить прибор в сеть и наблюдать за положением груза. После срабатывания кнопки площадка начнет подниматься. В момент начала движения (скольжения) груза выключить прибор.
Для обеспечения повторяемости при сравнительных испытаниях рекомендуется соблюдать одинаковость операций по времени (от извлечения фильтра с коркой из прибора, определяющего фильтрацию, до поднятия плиты с грузом). Это время, а также время нахождения груза на корке до начала подъема ложа, занести в отчет.
ДБ.3.3 Определить по шкале угол подъема плиты

. Если штрих нониуса с обозначением "0" совпадает с каким-либо штрихом основной шкалы, то отсчитывается целое значение угла только по основной шкале. Если этот штрих не совпадает ни с одним штрихом основной шкалы, то отсчет состоит из двух частей: целое значение угла, кратное 1°, определяют по ближнему меньшему значению основной шкалы, и к этому значению добавляют дробное значение по нониусу, которое определяется значением штриха нониуса, совпадающим со штрихом основной шкалы.
ДБ.3.4 После окончания замера тщательно очистить площадку, ложе и груз от остатков бурового раствора. Груз промыть этиловым спиртом, ацетоном или неэтилированным бензином.
ДБ.4 Вычисления
Коэффициент трения корки К
тр равен тангенсу угла

. Определить К
тр по
таблице ДБ.1 и записать его.
Таблица ДБ.1
Перевод значений угла наклона в коэффициент трения корки
Градусы | Минуты |
0 | 15 | 30 | 45 |
Коэффициент трения корки Ктр |
0 | 0,0000 | 0,0044 | 0,0087 | 0,0131 |
1 | 0,0175 | 0,0218 | 0,0262 | 0,0306 |
2 | 0,0349 | 0,0393 | 0,0437 | 0,0480 |
3 | 0,0524 | 0,0568 | 0,0612 | 0,0656 |
4 | 0,0699 | 0,0743 | 0,0787 | 0,0831 |
5 | 0,0875 | 0,0919 | 0,0963 | 0,1007 |
6 | 0,1051 | 0,1095 | 0,1139 | 0,1184 |
7 | 0,1228 | 0,1272 | 0,1317 | 0,1361 |
8 | 0,1405 | 0,1450 | 0,1495 | 0,1539 |
9 | 0,1584 | 0,1629 | 0,1673 | 0,1718 |
10 | 0,1763 | 0,1808 | 0,1853 | 0,1899 |
11 | 0,1944 | 0,1989 | 0,2035 | 0,2080 |
12 | 0,2126 | 0,2171 | 0,2217 | 0,2263 |
13 | 0,2309 | 0,2355 | 0,2401 | 0,2447 |
14 | 0,2493 | 0,2540 | 0,2586 | 0,2632 |
15 | 0,2679 | 0,2726 | 0,2773 | 0,2820 |
16 | 0,2867 | 0,2914 | 0,2962 | 0,3010 |
17 | 0,3057 | 0,3106 | 0,3153 | 0,3201 |
18 | 0,3249 | 0,3298 | 0,3346 | 0,3395 |
19 | 0,3443 | 0,3492 | 0,3541 | 0,3591 |
20 | 0,3640 | 0,3689 | 0,3739 | 0,3789 |
21 | 0,3839 | 0,3889 | 0,3939 | 0,3990 |
22 | 0,4040 | 0,4091 | 0,4142 | 0,4193 |
23 | 0,4245 | 0,4296 | 0,4348 | 0,4400 |
24 | 0,4452 | 0,4505 | 0,4557 | 0,4610 |
25 | 0,4663 | 0,4717 | 0,4770 | 0,4824 |
| ISO 13500 Нефтяная и газовая промышленность. Материалы для приготовления буровых растворов. Технические требования и испытания |
| API RP 13B-1 Методические рекомендации по контролю параметров буровых растворов на водной основе |
| API RP 13D Методические рекомендации по реологии и гидравлике буровых растворов нефтяных скважин |
| ISO 10416 Нефтяная и газовая промышленность. Буровые растворы. Лабораторные испытания |
| API RP 131 Лабораторные испытания буровых растворов |
| ISO 10414 (все части), Нефтяная и газовая промышленность. Контроль буровых растворов в промысловых условиях |