Главная // Актуальные документы // ГОСТ (Государственный стандарт)СПРАВКА
Источник публикации
М.: Стандартинформ, 2016
Примечание к документу
Документ включен в
Перечень международных и региональных (межгосударственных) стандартов, а в случае их отсутствия - национальных (государственных) стандартов, содержащих правила и методы исследований (испытаний) и измерений, в том числе правила отбора образцов, необходимые для применения и исполнения требований технического
регламента Таможенного союза "Требования безопасности пищевых добавок, ароматизаторов и технологических вспомогательных средств" (ТР ТС 029/2012) и осуществления оценки соответствия объектов технического регулирования (
Решение Коллегии Евразийской экономической комиссии от 07.02.2018 N 21).
Документ
введен в действие с 1 июля 2017 года.
Название документа
"ГОСТ ISO 9231-2015. Межгосударственный стандарт. Молоко и молочные продукты. Определение содержания сорбиновой и бензойной кислот в молоке и молочных продуктах"
(введен в действие Приказом Росстандарта от 16.06.2016 N 642-ст)
"ГОСТ ISO 9231-2015. Межгосударственный стандарт. Молоко и молочные продукты. Определение содержания сорбиновой и бензойной кислот в молоке и молочных продуктах"
(введен в действие Приказом Росстандарта от 16.06.2016 N 642-ст)
по техническому регулированию
и метрологии
от 16 июня 2016 г. N 642-ст
МЕЖГОСУДАРСТВЕННЫЙ СТАНДАРТ
МОЛОКО И МОЛОЧНЫЕ ПРОДУКТЫ
ОПРЕДЕЛЕНИЕ СОДЕРЖАНИЯ СОРБИНОВОЙ И БЕНЗОЙНОЙ КИСЛОТ
В МОЛОКЕ И МОЛОЧНЫХ ПРОДУКТАХ
Milk and milk products. Determination of sorbic
and benzoic acids in milk and dairy products
(ISO 9231/IDF 139:2008, Milk and milk products -
Determination of the benzoic and sorbic acids contents, IDT)
ГОСТ ISO 9231-2015
Дата введения
1 июля 2017 года
Цели, основные принципы и основной порядок проведения работ по межгосударственной стандартизации установлены
ГОСТ 1.0-2015 "Межгосударственная система стандартизации. Основные положения" и
ГОСТ 1.2-2015 "Межгосударственная система стандартизации. Стандарты межгосударственные, правила и рекомендации по межгосударственной стандартизации. Правила разработки, принятия, обновления и отмены"
1 ПОДГОТОВЛЕН Республиканским унитарным предприятием "Республиканский научно-практический центр Национальной академии наук Беларуси по продовольствию"
2 ВНЕСЕН Государственным комитетом по стандартизации Республики Беларусь
3 ПРИНЯТ Межгосударственным советом по стандартизации, метрологии и сертификации (протокол от 27 февраля 2015 г. N 75-П)
За принятие проголосовали:
Краткое наименование страны по МК (ИСО 3166) 004-97 | Код страны по МК (ИСО 3166) 004-97 | Сокращенное наименование национального органа по стандартизации |
Армения | AM | Минэкономики Республики Армения |
Беларусь | BY | Госстандарт Республики Беларусь |
Киргизия | KG | Кыргызстандарт |
Молдова | MD | Молдова-Стандарт |
Россия | RU | Росстандарт |
Таджикистан | TJ | Таджикстандарт |
Узбекистан | UZ | Узстандарт |
4
Приказом Федерального агентства по техническому регулированию и метрологии от 16 июня 2016 г. N 642-ст межгосударственный стандарт ГОСТ ISO 9231-2015 введен в действие в качестве национального стандарта Российской Федерации с 1 июля 2017 г.
5 Настоящий стандарт идентичен международному стандарту ISO 9231/IDF 139:2008 "Молоко и молочные продукты. Определение бензойной и сорбиновой кислот" ("Milk and milk products - Determination of the benzoic and sorbic acids contents").
Международный стандарт ISO 9231/IDF 139 был подготовлен Техническим комитетом ISO/TC 34 "Пищевые продукты", Подкомитетом SC 5 "Молоко и молочные продукты" и Международной молочной федерацией (IDF). Документ издается совместно ISO и IDF.
В
разделе "Нормативные ссылки" и тексте стандарта ссылки на международный стандарт актуализированы.
В стандарт внесены незначительные редакционные изменения.
Наименование настоящего стандарта изменено относительно наименования международного стандарта в связи с особенностями системы межгосударственной стандартизации.
Официальные экземпляры международного стандарта, на основе которого подготовлен настоящий межгосударственный стандарт, и международного стандарта, на который дана ссылка, имеются в Федеральном органе по техническому регулированию и метрологии.
При применении настоящего стандарта рекомендуется использовать вместо ссылочных международных стандартов соответствующие им межгосударственные стандарты, сведения о которых приведены в дополнительном
приложении ДА
6 ВВЕДЕН ВПЕРВЫЕ
Информация об изменениях к настоящему стандарту публикуется в ежегодном информационном указателе "Национальные стандарты", а текст изменений и поправок - в ежемесячном информационном указателе "Национальные стандарты". В случае пересмотра (замены) или отмены настоящего стандарта соответствующее уведомление будет опубликовано в ежемесячном информационном указателе "Национальные стандарты". Соответствующая информация, уведомление и тексты размещаются также в информационной системе общего пользования - на официальном сайте Федерального агентства по техническому регулированию и метрологии в сети Интернет (www.gost.ru)
Настоящий стандарт устанавливает метод определения содержания бензойной и сорбиновой кислот в молоке и молочных продуктах.
Метод применим для молока, сухого молока, йогурта и других кисломолочных продуктов, для сыра и плавленого сыра и позволяет определять содержание сорбиновой и бензойной кислот в концентрациях более 5 мг/кг.
Для применения данного стандарта необходимы следующие документы, которые представлены в виде ссылок. Для ссылок на публикации с указанием года их издания действительны только указанные издания. Для ссылок на публикации без указания года издания действительно последнее издание приведенной публикации (включая поправки и изменения).
ISO 1042 Посуда лабораторная стеклянная. Мерные колбы с одной меткой
Для целей настоящего стандарта применяются следующие термины и определения:
3.1 содержание бензойной и сорбиновой кислот: Количество бензойной и сорбиновой кислот в миллиграммах на килограмм молока или молочного продукта, определенное по настоящему стандарту.
Жиры и белки удаляют из слабого щелочного раствора продукта осаждением растворами Карреза. Надосадочную жидкость фильтруют и добавляют метанол. Бензойную и сорбиновую кислоты разделяют высокоэффективной жидкостной хроматографией (ВЭЖХ) с применением обращенно-фазовой колонки C18, измеряя поглощение на длинах волн 227 и 250 нм.
Используют только реагенты признанной аналитической чистоты и дистиллированная или деионизированная вода или вода соответствующей чистоты.
5.2 Растворы для осаждения (растворы Карреза 1, 2)
5.2.1 Раствор гексацианоферрата калия (II)
В мерную колбу вместимостью 100 см
3 (6.3) помещают 10,6 г гексацианоферрата (II) калия трехводного (K
4[Fe(CN)
6] 3H
2O) и растворяют в воде. Доводят водой до метки и перемешивают.
Примечание - 100 см3 раствора достаточно для проведения 40 анализов.
5.2.2 Раствор ацетата цинка
Растворяют 21,9 г ацетата цинка двухводного [(CH
3COO)
2Zn 2H
2O] и 32 см
3 уксусной кислоты (CH
3COOH) в воде в мерной колбе вместимостью 100 см
3 (6.3).
Доводят водой до метки и перемешивают.
Если двухводный ацетат цинка полностью не растворяется, нагревают колбу и ее содержимое на водяной бане
(6.2) при температуре 70 °C и постоянном перемешивании. После растворения двухводного ацетата цинка раствор охлаждают до комнатной температуры. Доводят водой до метки и перемешивают.
Примечание - 100 см3 раствора достаточно для проведения 40 анализов.
5.3 Фосфатный буферный раствор, pH 6,7
Растворяют 2,5 г дигидрофосфата калия (KH
2PO
4) и 2,5 г гидрофосфата калия трехводного (K
2HPO
4·3H
2O) в 1 дм
3 воды и перемешивают. Полученный раствор фильтруют с помощью системы фильтрации растворителей
(6.8).
5.4 Подвижная фаза для ВЭЖХ
Смешивают 10 объемных частей метанола
(5.1) с 90 объемными частями раствора фосфатного буфера
(5.3). Излишки газа удаляют легким вакуумом.
5.5 Раствор гидроокиси натрия, c(NaOH) = 0,1 моль/дм3
В мерную колбу вместимостью 1000 см
3 (6.3) помещают 4,0 г гранул гидроокиси натрия и растворяют в воде
(6.3). Доводят водой до метки и перемешивают.
5.6 Серная кислота, c(H2SO4) = 0,5 моль/дм3
В мерную колбу вместимостью 500 см
3 (6.3), содержащую 250 см
3 воды, осторожно вносят 15 см
3 концентрированной серной кислоты с массовой долей от 95 до 98% и охлаждают. Полученный раствор доводят водой до метки и перемешивают.
5.7 Стандартные растворы сорбиновой и бензойной кислот
5.7.1 Основной стандартный раствор
В мерную колбу вместимостью 100 см
3 (6.3) помещают 50 мг сорбиновой кислоты и 50 мг бензойной кислоты и растворяют в метаноле
(5.1). Доводят метанолом
(5.1) до метки и перемешивают.
Основной стандартный раствор годен в течение трех недель при хранении в холодильнике при температуре 4 - 7 °C.
5.7.2 Рабочий стандартный раствор
Для получения водно-метанольного раствора с объемными долями 50% смешивают 500 см
3 метанола
(5.1) с 500 см
3 воды.
В день проведения испытания пипеткой отбирают 5 см
3 основного раствора
(5.7.1) и помещают в мерную колбу вместимостью 250 см
3 (6.3). Доводят 50% водно-метанольным раствором до метки и перемешивают. Полученный рабочий раствор содержит 10 мкг/см
3 сорбиновой и бензойной кислот.
6 Аппаратура и оборудование
6.1 Весы аналитические с наименьшим пределом взвешивания 1 мг и ценой деления 0,1 мг.
6.2 Водяная баня с возможностью поддерживания температуры (70 +/- 2) °C.
6.3 Мерные колбы вместимостью 100, 250, 500 и 1000 см
3, соответствующие требованиям ISO 1042 для класса A.
6.4 Жидкостной хроматограф, оснащенный насосом высокого давления с верхним пределом давления не менее 4,37 мПа (6000 PSI), двухволновым УФ-детектором или УФ-детектором с диодной матрицей, самописцем или интегратором.
Двухволновой детектор должен иметь длину оптического пути, равную 1 см, и возможность измерения оптической плотности на длине волны 227 нм - для бензойной кислоты и 250 нм - для сорбиновой кислоты.
6.5 Колонка для ВЭЖХ, изготовленная из нержавеющей стали, длиной 250 мм, внутренним диаметром 4 мм, заполненная обращенно-фазовым кремниевым сорбентом с привитыми октадецильными группами, например, Micro-Bondapak C18 <1> или ее аналог.
--------------------------------
<1> Micro-Bondapak C18

доступное коммерческое название продукта. Эта информация дана для удобства пользователей стандарта, но не является рекомендацией названного продукта.
6.6 Шприц для ВЭЖХ.
6.7 Набор мембранных фильтров для водных проб с размерами пор фильтра 0,45 мкм.
6.8 Система фильтрации растворов, включая мембранные фильтры для водных растворов, размером пор 0,45 мкм.
6.10 pH-метр.
В лабораторию направляется репрезентативная проба без повреждений или изменений во время транспортировки или при хранении.
Отбор проб не является частью метода, установленного в настоящем стандарте. Рекомендуемый метод отбора приведен в
[1].
При хранении испытуемого образца необходимо принимать меры, не допускающие порчи образца и изменения его состава.
8 Подготовка анализируемой пробы
8.1 Йогурты или другие кисломолочные продукты
Перед началом анализа образец гомогенизируют, осторожно нагревая при температуре 40 °C при постоянном перемешивании. В мерную колбу вместимостью 100 см
3 (6.3) помещают 20 +/- 0,1 г гомогенизированного образца.
8.2 Другие молочные продукты
В стеклянный лабораторный стакан вместимостью 20 см3 помещают 3 +/- 0,1 г пробы. Испытуемый образец полностью диспергируют в 10 см3 воды, добавляя воду небольшими порциями при постоянном перемешивании стеклянной палочкой.
Раствор количественно переносят в мерную колбу вместимостью 100 см
3 (6.3), дважды ополоснув стакан 5 см
3 воды.
9.1 Осаждение жиров и белков и очистка
К испытуемой пробе (по
8.1 или
8.2) прибавляют 25 см
3 раствора гидроокиси натрия
(5.5) и перемешивают. Колбу и ее содержимое помещают в ультразвуковую баню
(6.9) на 15 мин. или нагревают на водяной бане
(6.2) при температуре 70 °C в течение 15 мин. Затем раствор охлаждают до комнатной температуры.
К испытуемому раствору при постоянном перемешивании добавляют раствор серной кислоты
(5.6) и доводят pH раствора до 8 +/- 1 ед. pH. Для осаждения жиров и белков добавляют 2 см
3 раствора гексацианоферрата (II) калия
(5.2.1) и 2 см
3 раствора ацетата цинка
(5.2.2). Энергично встряхивают и оставляют полученную суспензию для отстаивания на 15 мин. Затем добавляют 40 см
3 метанола и перемешивают. Полученный раствор охлаждают до комнатной температуры.
Метанолом
(5.1) доводят раствор до метки и снова перемешивают. Раствор оставляют на 15 мин. Надосадочную жидкость фильтруют при помощи мембранных фильтров
(6.7).
9.2 Высокоэффективная жидкостная хроматография (ВЭЖХ)
ВЭЖХ-анализ проводят при комнатной температуре с использованием подвижной фазы
(5.4) и скоростью потока 1,2 см
3/мин. Перед началом анализа в течение 30 мин. хроматографическую систему промывают элюирующим раствором до установления стабильной нулевой линии.
Затем хроматографируют прозрачный раствор пробы, подготовленной по
9.1, и рабочий градуировочный раствор
(5.7.2), инжектируя равные объемы в диапазоне от 5 до 20 мм
3. Выходящий из колонки элюат анализируют УФ-детектором при длинах волн 227 и 250 нм, используя последовательное детектирование при настройках на две длины волны или одновременное двухволновое детектирование.
Примечание - Для проверки линейности градуировочного графика проводят точечную градуировку.
Количество метанола в стандартных растворах и испытуемом образце намного выше, чем в подвижной фазе, что в некоторых случаях может повлиять на форму и разделение пиков. В таких случаях проверяют форму и разделение пиков, сравнивая их с пиками, полученными при хроматографировании стандартного раствора
(5.7.1), в котором метанол
(5.1) замещен на мобильную фазу
(5.4) в эквивалентном количестве.
В данных условиях ориентировочное время удерживания бензойной и сорбиновой кислот составляет 5,5 и 7 мин. соответственно. Если пики выходят за пределы градуировочного графика, образец разбавляют необходимым объемом 50% водного метанола и вводят в хроматограф от 5 до 20 мм3 полученного раствора для получения пиков нужной высоты.
Чтобы определить, элюируются ли в пробе какие-либо мешающие компоненты одновременно с сорбиновой кислотой, проверяют отношение УФ-сигналов при длине волны 250 и 227 нм.
В ходе анализа молока или сухого молока на хроматограмме после 8 мин. удерживания появляется третий пик. Этот пик соответствует природному продукту - гиппуровой кислоте. Пик гиппуровой кислоты может частично накладываться на сорбиновую кислоту. Поэтому разрешение сорбиновой и гиппуровой кислот на колонке должно быть больше 1.
Содержание сорбиновой кислоты ws и/или бензойной кислоты wb, выраженное в миллиграммах на килограмм, рассчитывают по формуле:

,
где
Hts - высота или площадь пика, в соответствующих единицах, полученные для испытуемого раствора (см.
9.2);
Hst - высота или площадь пика, в соответствующих единицах, полученные для рабочего стандартного раствора (см.
9.2);
ms - масса, в микрограммах, введенного рабочего стандартного раствора
(5.7.2);
m - масса, в граммах, испытуемого образца (см.
8.1 или
8.2);
V1 - объем, в см
3, экстракта, приготовленного в
9.1 (= 100 см
3);
V2 - объем, в мм3, введенного испытуемого раствора;
1000 - коэффициент пересчета миллилитров в микролитры.
Результаты испытания представляют с точностью до целого числа.
11.1 Межлабораторные испытания
Значения, полученные в ходе межлабораторных испытаний, могут быть не применимы для иных, отличных от указанных, матриц и уровней содержания кислот.
Значения повторяемости и воспроизводимости были получены на основании результатов двух межлабораторных испытаний, проводимых в 1984 и 2004 годах (см.
приложение A). Испытания проводились на образцах с уровнем содержания бензойной и сорбиновой кислот в пределах от 6 до 920 мг/кг.
11.2 Повторяемость
Абсолютная разность между результатами двух параллельных испытаний, полученными с использованием одного и того же метода в одной и той же пробе в одной и той же лаборатории одним и тем же оператором, использующим то же самое оборудование, в короткий интервал времени, не должна превышать значения, рассчитанного по уравнению:

, более чем в 5% случаев.
11.3 Воспроизводимость
Абсолютная разность между результатами двух отдельных испытаний, полученными с использованием одного и того же метода в одной и той же пробе в различных лабораториях различными операторами, использующими различное оборудование, не должна превышать значения, рассчитанного по уравнению:

, более чем в 5% случаев.
12 Оформление результатов
Протокол испытания должен содержать как минимум следующую информацию:
a) всю информацию, необходимую для полной идентификации образца;
b) используемый метод отбора проб;
c) используемый метод испытания со ссылкой на этот стандарт;
d) все рабочие детали, не установленные в этом стандарте или рассматриваемые как факультативные, вместе с деталями всех нюансов, которые могли повлиять на результат(ы) испытания;
e) полученные результаты анализа и, если выполняется условие повторяемости, окончательный средний результат.
(справочное)
РЕЗУЛЬТАТЫ МЕЖЛАБОРАТОРНЫХ ИСПЫТАНИЙ
Значения повторяемости и воспроизводимости были получены на основании результатов двух международных межлабораторных испытаний, проводимых в 1984
[4] и 2004
[6] годах соответственно.
| | ИС МЕГАНОРМ: примечание. Сноска дана в соответствии с официальным текстом документа. | |
Результаты, полученные в ходе этих испытаний, были подвергнуты статистическому анализу в соответствии с
[2] <*> и
[3] <*>. Данные прецизионности приведены в
таблице A.1.
--------------------------------
<**> В Российской Федерации действуют
ГОСТ Р ИСО 5725-1-2002 "Точность (правильность и прецизионность) методов и результатов измерений. Часть 1. Основные положения и определения",
ГОСТ Р ИСО 5725-2-2002 "Точность (правильность и прецизионность) методов и результатов измерений. Часть 2. Основной метод определения повторяемости и воспроизводимости стандартного метода измерений",
ГОСТ Р ИСО 5725-3-2002 "Точность (правильность и прецизионность) методов и результатов измерений. Часть 3. Промежуточные показатели прецизионности стандартного метода измерений" и
ГОСТ Р ИСО 5725-4-2002 "Точность (правильность и прецизионность) методов и результатов измерений. Часть 4. Основные методы определения правильности стандартного метода".
Таблица A.1
Статистические результаты межлабораторных испытаний
Параметр | Бензойная кислота | Сорбиновая кислота |
| | | | | | |
Образцы | | | | | | | |
Количество лабораторий | 14 | 14 | 9 | 14 | 14 | 14 | 14 |
Количество выбывших лабораторий | 2 | 2 | 1 | 1 | 3 | 1 | 0 |
Количество лабораторий, оставшихся после исключения выбывших | 12 | 12 | 8 | 13 | 11 | 13 | 14 |
Среднее значение, мг/кг | 26,4 | 40,6 | 7,61 | 35,0 | 36,1 | 920 | 57,0 |
Повторяемость, r, мг/кг | 2,0 | 3,8 | 1,6 | 4,4 | 3,4 | 30,5 | 4;5 |
Повторяемость относительно среднего значения, rrel, % | 7,7 | 9,4 | 20,5 | 12,7 | 9,4 | 3,3 | 7,8 |
Стандартное отклонение повторяемости, sr, % | 0,7 | 1,3 | 0,6 | 1,6 | 1,2 | 10,8 | 1,6 |
RSDr, % | 2,7 | 3,3 | 7.2 | 4.5 | 3,3 | 1:2 | 2,8 |
Воспроизводимость, R, мг/кг | 13,5 | 15,3 | 11,0 | 9,9 | 12,1 | 128.9 | 18,6 |
Воспроизводимость относительно среднего значения, Rrel, % | 51,1 | 37,7 | 144 | 28,4 | 33.5 | 14,0 | 32,6 |
Стандартное отклонение воспроизводимости, sR, мг/кг | 4,8 | 5,4 | 3,9 | 3,5 | 4,3 | 45,6 | 6,6 |
RSDR, % | 18,1 | 13,3 | 50,9 | 10,0 | 11,9 | 5,0 | 11,5 |
<a> Образцы A и B: Ароматизированный йогурт. <b> Образцы C и D: Плавленый сыр (дополнительную информацию см. в литературном источнике [6]). <c> В ходе подготовки пробы добавлена сорбиновая кислота до концентрации 40 мг/кг. |
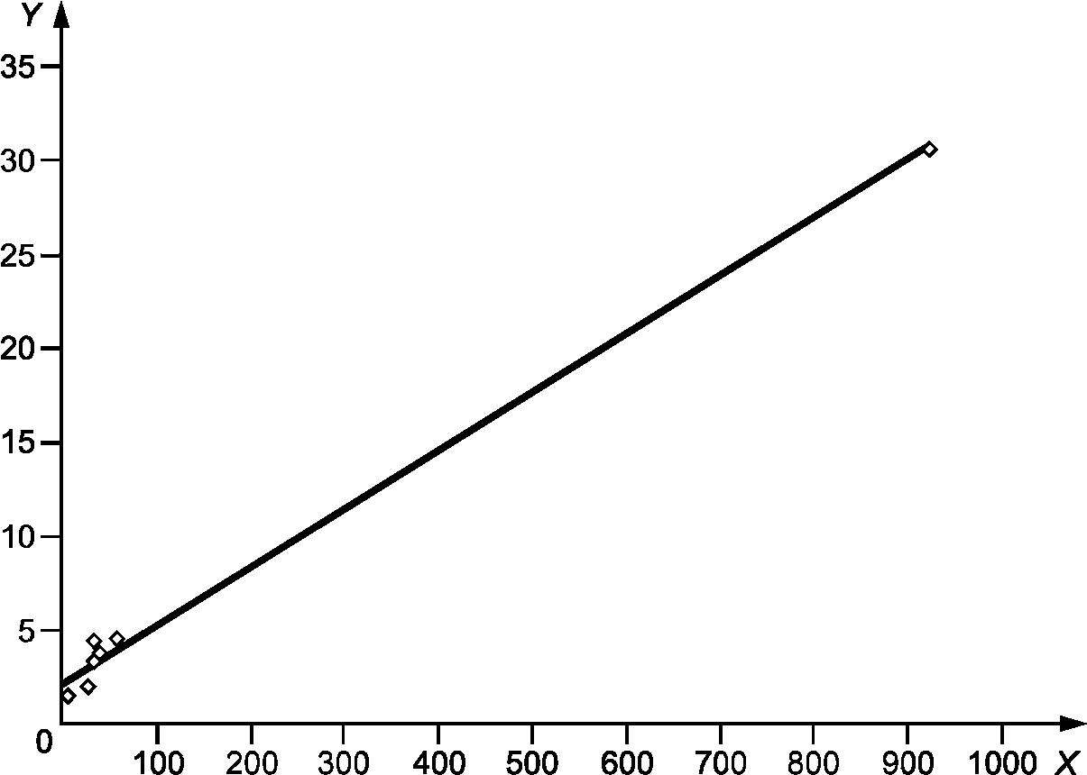
Используя линейный регрессионный анализ, была получена следующая линейная регрессия
x =
b +
ay с коэффициентом корреляции 0,9973486 для
n = 7,
s = 0,8249 и
t0,95 = 2,57 (см.
рисунок A.1)
для сорбиновой кислоты

и
для бензойной кислоты

X - среднее значение (мг/кг)
Y - повторяемость, r (мг/кг)
Рисунок A.1 - Повторяемости как функция среднего значения
Используя линейный регрессионный анализ, была получена следующая линейная регрессия,
x =
b +
ay с коэффициентом корреляции 0,9989653, для
n = 7,
s = 2,1815 и
t0,95 = 2,57 (см.
рисунок A.2)
для сорбиновой кислоты

и
для бензойной кислоты

.
X - среднее значение (мг/кг)
Y - воспроизводимость, R (мг/кг)
Рисунок A.2 - Воспроизводимость
как функция среднего значения
(справочное)
СВЕДЕНИЯ О СООТВЕТСТВИИ ССЫЛОЧНЫХ МЕЖДУНАРОДНЫХ СТАНДАРТОВ
МЕЖГОСУДАРСТВЕННЫМ СТАНДАРТАМ
Таблица ДА.1
Обозначение международного стандарта | Степень соответствия | Обозначение и наименование межгосударственного стандарта |
ИСО 707 | IDF 50 | - | |
ISO 1042:1998 | - | |
ISO 5725-2:1994 | - | |
<*> Соответствующий межгосударственный стандарт отсутствует. До его утверждения рекомендуется использовать перевод на русский язык данного международного стандарта. Перевод данного международного стандарта находится в Федеральном информационном фонде технических регламентов и стандартов. |
--------------------------------
<1> На территории Российской Федерации действует
ГОСТ Р ИСО 707-2010 "Молоко и молочные продукты. Руководство по отбору проб".
| | ИС МЕГАНОРМ: примечание. В официальном тексте документа, видимо, допущена опечатка: имеется в виду ГОСТ Р ИСО 5725-2-2002, а не ГОСТ Р ИСО 5725-1-2002. | |
<2> На территории Российской Федерации действует
ГОСТ Р ИСО 5725-1-2002 "Точность (правильность и прецизионность) методов и результатов измерений Часть 2. Основной метод определения повторяемости и воспроизводимости стандартного метода измерений".
| ИСО 707 | IDF 50 | Milk and milk products - Guidance on sampling (Молоко и молочные продукты. Руководство по отбору проб) |
| ISO 5725-1:1994 | Accuracy (trueness and precision) of measurement methods and results - Part 1: General principles and definitions [Точность (правильность и прецизионность) методов и результатов измерений. Часть 1. Основные положения и определения] |
| ISO 5725-2:1994 | Accuracy (trueness and precision) of measurement methods and results - Part 2: Basic method for the determination of repeatability and reproducibility of a standard measurement method [Точность (правильность и прецизионность) методов и результатов измерений. Часть 2. Основной метод определения повторяемости и воспроизводимости стандартного метода измерений] |
| STIJVE T. и HISCHENHUBER C. Определение низких уровней бензойной и сорбиновой кислот в йогуртах высокоэффективной жидкостной хроматографией, Deutsche Lebensmittel-Rundschau, 80 (1984), pp. 81 - 84 |
[5] |  , BAUMANN E. и BOSSET F.O. Mitt. Gebiete Lebensm. Hyg., 79 (1988), pp. 392 - 405 |
| CARL M. и  Bulletin of the International Dairy Federation, publication in preparation |