Главная // Актуальные документы // ГОСТ (Государственный стандарт)СПРАВКА
Источник публикации
М.: Стандартинформ, 2016
Примечание к документу
Документ
введен в действие с 1 июля 2016 года.
Название документа
"ГОСТ ISO 2076-2015. Межгосударственный стандарт. Материалы текстильные. Химические волокна. Общие наименования"
(введен в действие Приказом Росстандарта от 05.05.2016 N 286-ст)
"ГОСТ ISO 2076-2015. Межгосударственный стандарт. Материалы текстильные. Химические волокна. Общие наименования"
(введен в действие Приказом Росстандарта от 05.05.2016 N 286-ст)
агентства по техническому
регулированию и метрологии
от 5 мая 2016 г. N 286-ст
МЕЖГОСУДАРСТВЕННЫЙ СТАНДАРТ
МАТЕРИАЛЫ ТЕКСТИЛЬНЫЕ
ХИМИЧЕСКИЕ ВОЛОКНА. ОБЩИЕ НАИМЕНОВАНИЯ
Textiles. Man-made fibres. Generic names
(ISO 2076:2013, IDT)
ГОСТ ISO 2076-2015
Дата введения
1 июля 2016 года
Цели, основные принципы и порядок проведения работ по межгосударственной стандартизации установлены
ГОСТ 1.0-2015 "Межгосударственная система стандартизации. Основные положения" и
ГОСТ 1.2-2015 "Межгосударственная система стандартизации. Стандарты межгосударственные, правила и рекомендации по межгосударственной стандартизации. Правила разработки, принятия, обновления и отмены"
1 ПОДГОТОВЛЕН Техническим комитетом по стандартизации ТК 412 "Текстиль", Открытым акционерным обществом "Всероссийский научно-исследовательский институт сертификации" (ОАО "ВНИИС") на основе собственного аутентичного перевода на русский язык международного стандарта, указанного в
пункте 5
2 ВНЕСЕН Федеральным агентством по техническому регулированию и метрологии
3 ПРИНЯТ Межгосударственным советом по стандартизации, метрологии и сертификации (протокол от 18 июня 2015 г. N 47-2015)
За принятие проголосовали:
Краткое наименование страны по МК (ИСО 3166) 004-97 | Код страны по МК (ИСО 3166) 004-97 | Сокращенное наименование национального органа по стандартизации |
Армения | AM | Минэкономразвития Республики Армения |
Беларусь | BY | Госстандарт Республики Беларусь |
Казахстан | KZ | Госстандарт Республики Казахстан |
Киргизия | KG | Кыргызстандарт |
Молдова | MD | Молдова-Стандарт |
Россия | RU | Росстандарт |
Таджикистан | TJ | Таджикстандарт |
4
Приказом Федерального агентства по техническому регулированию и метрологии от 5 мая 2016 г. N 286-ст межгосударственный стандарт ГОСТ ISO 2076-2015 введен в действие в качестве национального стандарта Российской Федерации с 1 июля 2016 г.
5 Настоящий стандарт идентичен международному стандарту ISO 2076:2013 Textiles - Man-made fibres - Generic names (Материалы текстильные. Химические волокна. Общие наименования).
Перевод с английского языка (en).
Степень соответствия - идентичная (IDT)
6 ВВЕДЕН ВПЕРВЫЕ
Информация об изменениях к настоящему стандарту публикуется в ежегодном информационном указателе "Национальные стандарты", а текст изменений и поправок - в ежемесячном информационном указателе "Национальные стандарты". В случае пересмотра (замены) или отмены настоящего стандарта соответствующее уведомление будет опубликовано в ежемесячном информационном указателе "Национальные стандарты". Соответствующая информация, уведомление и тексты размещаются также в информационной системе общего пользования - на официальном сайте Федерального агентства по техническому регулированию и метрологии в сети Интернет
В настоящем стандарте приведены общие наименования, используемые для обозначения образованных на базе основного полимера различных видов химических волокон, включая также характеризующие их отличительные признаки, которые производят в настоящее время в промышленном масштабе для изготовления текстильных материалов и других целей. Термин "man-made fibres" (химические волокна), который иногда называют "manufactured fibres" (изготовленные волокна), принят для волокон, получаемых в результате производственного процесса, в отличие от волокнистых материалов, встречающихся в природе.
В настоящем стандарте также представлены в качестве рекомендаций правила образования общего наименования (см.
приложение A).
Примечание - Эти правила введены в шестом издании ISO 2076 и, следовательно, не могут быть применимы к уже существующим общим наименованиям в предыдущих изданиях.
В приложениях представлены описания структур волокон в тех случаях, когда они изготовлены из нескольких составляющих (см.
приложение B), и описания модифицированных волокон (см.
приложение C).
В настоящем стандарте применен следующий термин с соответствующим определением:
2.1 химическое волокно (man-made fibre): Волокно, получаемое в процессе производства.
Примечание - Наряду с термином "man-made" (химическое) волокно может применяться термин "manufactured" (изготовленное) волокно.
3.1 Введение
Данные, указанные в
таблице 1, сгруппированы по основным пяти элементам: общему наименованию, другим обозначениям, коду, отличительным признакам и химическим формулам.
3.2 Общее наименование (например, ацетатное)
Это наименование, которое используется для волокна, признак которого изложен под заголовком "отличительный признак" в
таблице 1. Применение этого наименования должно быть ограничено теми волокнами, которые содержат не более 15% по массе добавок перед процессом формирования волокон, улучшающих качество (ограничения не накладываются на пропорцию добавок, не связанных с улучшением качества). На английском и французском языках общее наименование пишется без заглавных букв.
Общее наименование может быть применимо к химическому волокну, полученному по технологии, которая может придать ему отличительный признак.
3.3 Другие наименования
При необходимости это - наименования, используемые в регламентах некоторых стран и отличающиеся от общего.
Приведенные обозначения относятся к следующим странам: Китай (определенный как CN), страны Европейского Союза (EU), Япония (JP) и США (US). Дополнительная информация по регулированию, связанному с этими странами, представлена в
приложении F.
Примечание - Перечень стран может быть расширен согласно вкладу заинтересованных стран.
3.4 Кодовое обозначение (например, CA)
Это двух-, трех- или четырехбуквенное обозначение, используемое для облегчения наименования химических волокон, например, при продаже и в технической литературе. В некоторых случаях система кодирования, применяемая к текстильным волокнам, отличается от системы кодирования, применяемой для пластмасс.
Примечание - Система кодирования для пластмасс изложена в ISO 1043-1
[1].
3.5 Отличительные признаки
Это признаки, которые отличают одно волокно от всех остальных. Химическое отличие, которое зачастую приводит к различиям в свойствах, является основой для классификации в настоящем стандарте; другие признаки используют при необходимости для того, чтобы отличить подобные химические волокна по другим параметрам. Отличительными не обязательно являются те признаки, по которым можно идентифицировать волокна и которые используют для наименования химических молекул, а также те, которые связаны с анализом смеси волокон.
Примечание - В этих описаниях понятия "группа", "связь" и "(структурное) звено" используются следующим образом:
- "группа" - для обозначения функциональной химической единицы, например гидроксильной группы на ацетате;
- "связь" - для обозначения химической связи;
- "звено" - для обозначения повторяющегося элемента.
3.6 Химическая формула
Это указание химической структуры волокна. Примеры не являются обязательными элементами настоящего стандарта, учитывая, что в некоторых случаях одна и та же химическая формула может быть общей для нескольких категорий волокон, например: целлюлоза II является общей для медноаммиачных, высокомодульных вискозных, лиоцелла и вискозы.
Общие наименования приведены в таблице 1.
Таблица 1
N | Общее наименование | Другое обозначение | Код | Отличительный признак | Пример химических формул |
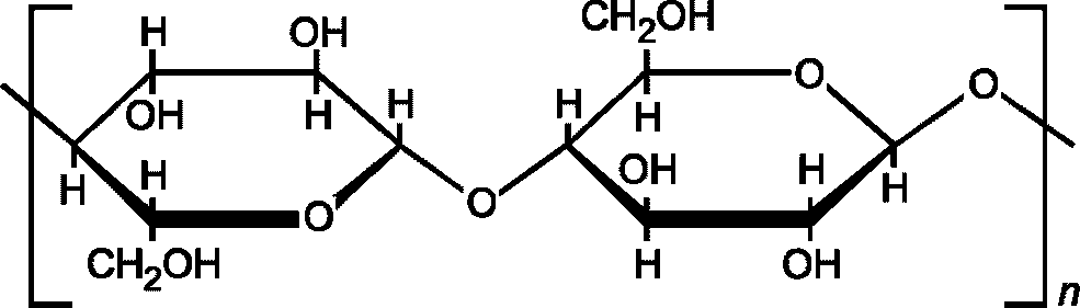
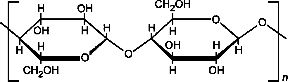
| Медноаммиачное | | CUP | Целлюлозное волокно, полученное медноаммиачным способом | Целлюлоза II: |
| Лиоцелл | Искусственный шелк (US) | CLY | Целлюлозное волокно, полученное формованием с применением растворителя. Под этим понимается, что: 1) "органический растворитель" означает, по существу, смесь органических химических веществ с водой; 2) "вытягивание нити с применением растворителя" означает растворение и вытягивание нити без образования производной | Целлюлоза II: |
| Высокомодульное вискозное | Искусственный шелк (US) | CMD | Целлюлозное волокно с высоким пределом прочности на разрыв и высоким модулем в мокром состоянии (ВВМ). Предел прочности на разрыв Bc в кондиционированном состоянии и усилие Bw, которые требуются для получения удлинения 5% в мокром состоянии, будут где  - средний весовой номер волокна (масса на единицу длины), деситексты Bc и Bw - выражены в сантиньютонах | Целлюлоза II: |
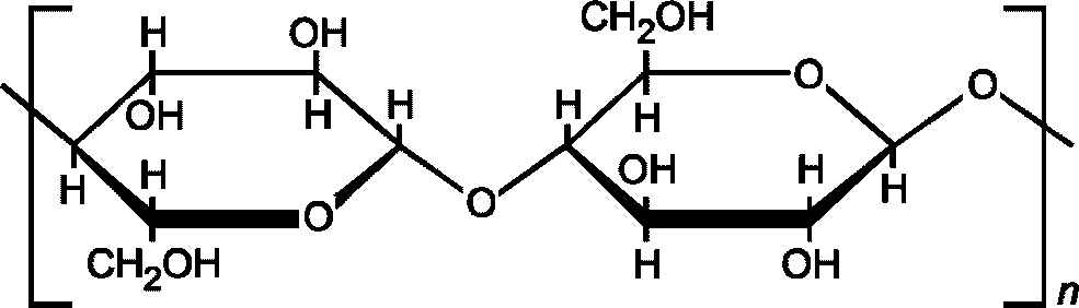
| Вискоза | Искусственный шелк (JP, US) Вискоза или искусственный шелк (CN) | CV | Целлюлозное волокно, полученное вискозным способом | Целлюлоза II: |
| Ацетатное | | CA | Целлюлозное ацетатное волокно, в котором менее 92%, но более 74% гидроксильных групп ацетилировано | Вторичный ацетат целлюлозы:  , где X = H или CH3CO и степень этерификации составляет не менее 2,22, но не более 2,76 |
| Триацетатное | | CTA | Волокно из ацетата целлюлозы, в котором по меньшей мере 92% гидроксильных групп ацетилировано | Триацетат целлюлозы:  , где X = H или CH3CO и степень этерификации составляет от 2,76 до 3 |
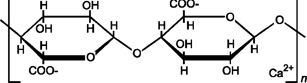
| Альгинат | | ALG | Волокно, полученное из солей металлов альгиновой кислоты | Альгинат кальция: |
| Акриловое | | PAN | Волокно, составленное линейными макромолекулами, имеющими в основной полимерной цепи не менее 85% по массе повторяющихся структурных звеньев акрилонитрила | Акрилонитрил: и акриловых сополимеров: |
| | | AR | Волокно, составленное линейными макромолекулами, имеющими в основной полимерной цепи ароматические группы, соединенные амидными или имидными связями, причем не менее 85% амидных или имидных связей напрямую соединены с двумя ароматическими кольцами и рядом имидных связей, если последние присутствуют, не превышающими числа амидных связей | Пример 2 - полибензимидазол Примечание - В примере 1 ароматические группы могут быть одинаковыми или разными |
| Хлорволокно | | CLF | Волокно, составленное линейными макромолекулами, имеющими в основной полимерной цепи более 50% по массе структурных звеньев винилхлорида или винилиденхлорида (более 65% в том случае, когда оставшаяся часть цепочки составлена акрилонитрилом, исключая таким образом модакриловые волокна) | Поли(винилхлорид): поли(винилиденхлорид): |
| Эластан | Полиуретан (JP) Спандекс (US) Эластан или спандекс (CN) | EL | Волокно, состоящее не менее чем на 85% по массе из полиуретана с различной жесткостью сегментов в макромолекуле, которое при растяжении втрое относительно нерастянутого состояния быстро возвращается к первоначальной длине после прекращения растяжения | Макромолекулы, имеющие чередующиеся эластичные и жесткие сегменты с повторением группы |
| | | ED | Волокно, состоящее из натурального или синтетического полиизопрена либо из одного или нескольких диенов, полимеризованных (или нет) с одной или несколькими мономерами винила, которое при растяжении втрое относительно нерастянутого состояния быстро возвращается к первоначальной длине после прекращения растяжения | Натуральный полиизопрен, экстрагированный из латекса Hevea brasiliensis вулканизованного: |
| Фторволокно | | PTFE | Волокно, составленное линейными макромолекулами, состоящими из алифатических фтороуглеродных мономеров | Политетрафторэтилен: |
| Модакриловое | | MAC | Волокно, составленное линейными макромолекулами, имеющими в основной полимерной цепи не менее 50% и не более 85% по массе акрилонитрила | Акриловые сополимеры: Если X = H и Y = Cl: акрилонитрил (винилхлоридный) сополимер. Если X = Y = Cl: акрилонитрил (винилиденхлоридный) сополимер |
| | Полиамид или нейлон (EU) Примечание - Применение наименования "нейлон" ограничивается полиамидом 6.6 в некоторых странах ЕС. Полиамид или нейлон (CN) Нейлон (JP, US) | PA | Волокно, составленное линейными макромолекулами, имеющими в основной полимерной цепи повторяющиеся амидные связи, не менее 85% которых соединены алифатическими или циклоалифатическими звеньями | Полигексаметиленадипамид (полиамид 6-6): Поликапроамид (полиамид 6): |
| Полиэфирное | Триекста (US, только для политриметилентерефталата) | PES | Волокно, составленное линейными макромолекулами, имеющими в основной полимерной цепи не менее 85% по массе сложного эфира диола и терефталевой кислоты | Поли(этилентерефталат) - (PET): |
Поли(бутилентерефталат) - (PBT): |
Поли(триметилентерефталат) - (PTT) |
| | Олефин (US) | PE | Волокно, составленное линейными макромолекулами из незамещенных насыщенных алифатических углеводородов | Полиэтилен: |
| Полиимидное | | PI | Волокно, составленное синтетическими линейными макромолекулами, имеющими в основной полимерной цепи повторяющиеся структурные имидные звенья | Полиимид:  , где R1 = арил, а R2 = алкил |
| | Олефин (US) | PP | Волокно, составленное линейными макромолекулами из насыщенных алифатических углеводородных звеньев, в которых один атом углерода из двух несет боковую метиловую группу, обычно имеет изотактическое строение без последующего замещения | Полипропилен: |
| Стекловолокно | Стекловолокно (CN, EU) | GF | Волокно, вытянутое из расплавленного стекла | |
| Ивинилал | | PVAL | Волокно, составленное линейными макромолекулами из поли(винилового спирта) с различной степенью ацетилирования | Ацетилированный поли(виниловый спирт):  , где n > 0 и R равно CH2 |
| Углеродное | Углеродное волокно (CN) | CF | Волокно, содержащее не менее 90% по массе углерода, полученное с помощью термической карбонизации органических предшествующих продуктов | |
| | Металлическое волокно (EU, US) Металлическое волокно (CN) | MTF | Волокно, полученное из металла | |
| | Полилактид (EU, JP <g>, PLA (US) <g> | PLA | Волокно, составленное линейными макромолекулами, имеющими в основной полимерной цепи не менее 85% по массе сложного эфира молочной кислоты | |
| Эластолефин | Ластол (US) Эластолефин или ластол (CN) | EOL | Волокно, составленное не менее чем на 95% по массе частично сшитых макромолекул, построенных из этилена и не менее одного иного олефина, которое при растяжении в полтора раза относительно первоначальной длины после снятия нагрузки быстро возвращается практически к первоначальной длине | |
| Меламиновое | | MEL | Волокно, образованное из не менее 85% по массе сшитых макромолекул, составленных из производных меламина | |
| Полифениленсульфидное | | PPS | Волокно, составленное линейными макромолекулами, имеющими в главной цепочке п-фенилтио группу | |
| Белковое | Эзлон (US) | Нет | Волокно, полученное из натуральных белковых веществ, регенерированных и стабилизированных с помощью химических веществ | |
| Поликарбамидное (урилон) | | Нет | Волокно, образованное линейными макромолекулами, имеющими в основной полимерной цепи повторяющиеся функциональные группы диалкилмочевины (NH-CO-NH) | |
| Тривинил | | Нет | Волокно, образованное акрилонитриловым терполимером, хлорированным виниловым мономером и третьим винил-мономером, ни один из которых не представлен в объеме порядка 50% от общей массы | |
| Полибензимидазол | | PBI | Волокно, образованное ароматическим полимером с длинной основной полимерной цепью, имеющей повторяющиеся имидазольные группы, которые являются ее неотъемлемой частью | |
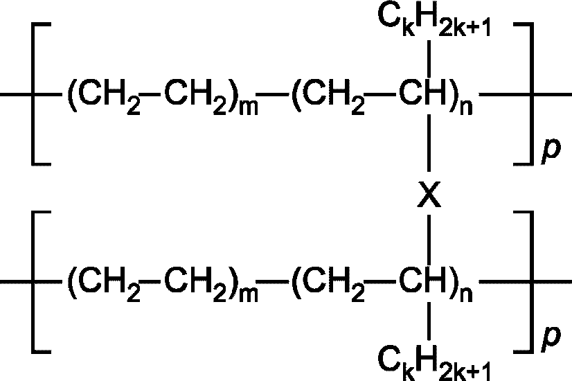
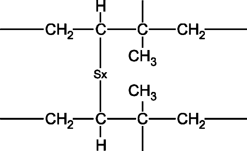
| | Эластерель-п (US) | ELE | Волокно, образованное взаимодействием двух или более химически различных линейных макромолекул в двух или более фазах (из которых ни одна не превышает 85% по массе), которое содержит эфирные группы (не менее 85%), отвечающие за доминантную функцию и подходящую обработку, и которое при растяжении на 50% и после снятия нагрузки быстро и надежно возвращается практически к первоначальной длине | Не менее двух макромолекул на основе сложного эфира в каждой нити образуют эластомер, например: |
Пример физического построения Части A и B состоят из разных макромолекул с эфирными группами. GT = гликольтерефталат |
| Полипропилен/полиамид двухкомпонентное | | Нет | Двухкомпонентное волокно, состоящее из полиамидных элементарных волокон от 10% до 25% по массе, встроенных в полипропиленовую матрицу | |
| Керамическое | Керамическое волокно (CN) | CEF | Волокно, образованное не менее чем 40% по массе из окиси алюминия (Al2O3) | |
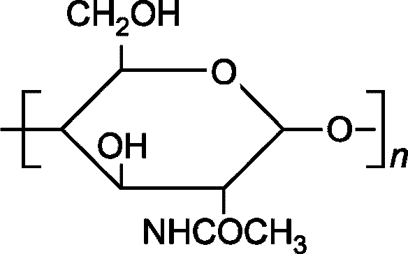
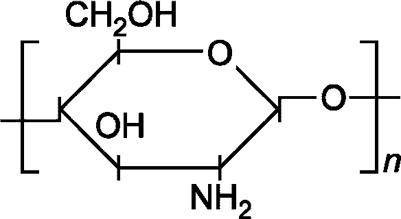
| Хитиновое | | CHT | Волокно, образованное хитином и его производными | Хитин: Хитозан: |
<a> Приставки "пара-" и "мета-" относятся к химическому словарю и связаны с положением связей на ароматическом кольце. <b> В некоторых случаях используется термин "каучуковое". <c> Уникальный номер, следующий за наименованием, относится к числу атомов углерода в мономере (например, полиамид 6: 6 атомов углерода в мономере). Числа, следующие после числа атомов углерода, относятся к числу атомов углерода в других мономерах (например, полиамид 6.10: с 6 атомами углерода в одном мономере и 10 атомами в другом мономере). <d> Образует часть класса полиолефинов. <e> Волокна также могут быть покрыты металлами. В этом случае их характеризуют как "металлизированные волокна", а не "металлические волокна". <f> Приставка "лево-" (или "L-") относится к важной доле левовращающей молочной кислоты, получающейся в ферментативном процессе при производстве из натуральных сахаров (в этом случае точка плавления составляет не менее 135 °C). Напротив, приставка "декстро/лево-" (или "D/L-") касается присутствия как правовращающей, так и левовращающей молочной кислоты при производстве из других дизельных источников. |
| | ИС МЕГАНОРМ: примечание. В официальном тексте документа, видимо, допущена опечатка: таблица F.5 отсутствует. | |
|
<g> Данное в таблице 1 определение немного отличается от определений в ЕС, Японии и США, представленных в таблицах F.3, F.4 и F.5 приложения F. |
5. Обозначение двухкомпонентных волокон
В таблице 2 перечислены только некоторые виды двухкомпонентных волокон, которые используют в настоящее время, а не полностью представляющие все возможные комбинации (в отношении полимерных пар и их структуры - см.
B.2).
Таблица 2
Обозначение двухкомпонентных волокон
N | Обозначение | Пары полимеров (общие наименования полимеров см. в таблице 1) | | Наблюдение |
| Полиэфир/полиэфир двухкомпонентное | | [тип S/S] | Эластомультиэфир |
5.2 | Полиэфир/полиэфир двухкомпонентное | | [тип Sh/C] | |
5.3 | Полипропилен/полиамид двухкомпонентное | | [тип M/F] | Полипропилен/полиамид двухкомпонентное |
(справочное)
ОБРАЗОВАНИЯ ОБЩЕГО НАИМЕНОВАНИЯ
A.1 Уникальное общее наименование
Общее наименование должно быть уникальным для химического волокна.
A.2 Применение существующих общих наименований
Перечень общих наименований текстильных волокон считается в настоящее время достаточно полным. Этот перечень основан главным образом на химической природе полимеров, поэтому только новое химическое свойство волокна может стать основанием для образования нового общего наименования.
При выборе общего наименования волокна необходимо руководствоваться сравнением его с перечнем уже существующих общих наименований.
A.3 Общее наименование на основе химической природы
Как указано в
A.2, только новое химическое свойство волокна может послужить поводом для создания нового общего наименования.
В этом случае наименование нового волокна должно напоминать химическую природу основного полимера.
При выборе наименования волокна необходимо руководствоваться химической природой основного полимера.
A.4 Исключение функциональных возможностей или свойств
Значительное расширение свойств или функциональных возможностей волокон может способствовать увеличению определяющих их наименований и, следовательно, привести к путанице или непониманию.
Примечание - Возможные рассматриваемые свойства или функциональные возможности: огнестойкость, защита от УФ-излучения (ультрафиолета), деятельность микроорганизмов (бактериостатический эффект, фунгицидные свойства и т.д.), гидратация, терморегуляция и т.д.
Для того чтобы не отклоняться от первоначального принципа настоящего стандарта, общее наименование волокон не должно затрагивать их свойств или функциональных возможностей, за исключением свойств упругости (пояснение в
A.5).
Общее наименование волокна не должно упоминать его свойств и функциональных возможностей, за исключением только упругих свойств, определенных в требовании A.5.
A.5 Ссылка на упругие свойства
Упругие свойства волокон являются единственными, на которые указывает настоящий стандарт, в котором несколько раз используется приставка "эласт-".
Упругие свойства касаются волокон, которые из растянутого состояния быстро возвращаются практически к первоначальной длине после прекращения действия растягивающей силы.
Упругие свойства волокна можно объяснить двумя причинами:
- волокну присуща эластичность от природы, например эластодиен, эластан, эластолефин;
- структура волокна (путем текстурирования и прочего, и получения таким образом извитого волокна) обеспечивает "механическую" упругость, например эластомультиэстер.
Если упругие свойства сохраняются и подтверждаются, в общем наименовании волокна можно использовать приставку "эласт-".
A.6 Производство в промышленном масштабе
Для того чтобы попасть в перечень
таблицы 1, общее наименование химического волокна должно быть основано на волокнах, произведенных в промышленном масштабе для изготовления текстильных материалов и использования в других целях.
Общее наименование химических волокон должно быть утверждено в отношении волокон, производимых в промышленном масштабе.
(справочное)
ВОЛОКНА, ИЗГОТОВЛЕННЫЕ ИЗ НЕСКОЛЬКИХ КОМПОНЕНТОВ
B.1 Общие положения
Некоторые химические волокна производят на основе двух (и более) прочно связанных полимеров различной химической структуры и/или механической конструкции.
Если используют два компонента, волокно называют двухкомпонентным.
B.2 Типы структур двухкомпонентных волокон
Двухкомпонентное волокно классифицируют по одному из трех типов структур.
B.2.1 Структура S/S
Тип S/S используется как структура компонентов волокна "бок о бок". Структура таких полимеров является двусторонней (см. рисунки в
таблице B.1).
B.2.2 Структура Sh/C
Тип Sh/C используется как структура компонентов волокна "оболочка и ядро". Такая структура составного полимера представляет собой внешний полимер, "оболочку", охватывающий внутренний полимер, "ядро" (см. рисунки в
таблице B.1).
B.2.3 Структура M/F
Тип M/F используют как структуру компонентов волокна "элементарное волокно в матрице". Такая структура составного полимера представляет собой "элементарное волокно" одного полимера, свернутое внутри другого полимера, "матрицы" (см. рисунки в
таблице B.1).
B.2.4 Наименование двухкомпонентного волокна
Наименование двухкомпонентного волокна должно быть основано на общем наименовании обоих компонентов с последующим указанием, если требуется, типа структуры. Знак "/" применяют для представления связи между полимерами.
Пример - Двухкомпонентное волокно, изготовленное из двух типов полиэфира, соединенных вдоль волокна ("бок о бок"), следует именовать как полиэфир/полиэфир [тип S/S].
Таблица B.1
Структуры двухкомпонентных волокон (примеры)
Структуры | Двухкомпонентные волокна |
[Тип S/S] | |
[Тип Sh/C] | |
[Тип M/F] | |
(справочное)
C.1 Общие положения
Химическое волокно можно модифицировать путем добавления ингредиентов, которые позволят изменить его некоторые первоначальные свойства.
Примечание - Ингредиенты по природе могут быть частицами, молекулами и т.д., добавленными в прядомый материал и отличающимися от компонентов полимера, изложенных в
приложении B.
Такой ингредиент, как говорят, "внедренный" в основной полимер.
C.2 Наименование модифицированного волокна
Наименование модифицированного волокна должно состоять из общего наименования волокна (как матрицы), за которым следует термин "с внедренным xx", где "xx" представляет термин, касающийся ингредиента.
Примечание - Понятие наименования основано на применении китайского стандарта FZ/T 01053
[4].
C.3 Примеры
C.3.1 Модифицированный ивинилал
Соевые белки (молекулы) используют для внедрения в ацетилированный полимер винилового спирта. Тогда наименование этого модифицированного волокна должно быть следующим: "ивинилал с внедренными соевыми белками".
C.3.2 Модифицированное акриловое волокно
Молочный белок (молекулу) используют для внедрения в акриловый полимер. Тогда наименование такого модифицированного волокна должно быть следующим: "акриловое с внедренным молочным белком".
C.3.3 Модифицированная вискоза
Жемчужные белила [частицы измельченных растертых жемчужин (перламутра)] используют для внедрения в полимер вискозы. Тогда наименование такого модифицированного волокна должно быть следующим: "вискоза с внедренным жемчужным порошком".
(справочное)
УКАЗАТЕЛЬ ОБЩИХ НАИМЕНОВАНИЙ НА РУССКОМ,
АНГЛИЙСКОМ И ФРАНЦУЗСКОМ ЯЗЫКАХ
Указатель общих наименований представлен в таблице D.1.
Таблица D.1
Алфавитный указатель общих наименований
Русский | Английский | Французский | Номер подраздела | Код |
ацетатное | acetate | | | CA |
акриловое | acrylic | acrylique | | PAN |
альгинат | alginate | alginate | | ALG |
арамидное | aramid | aramide | | AR |
углеродное | carbon | carbone | | CF |
керамическое | ceramic | | | CEF |
хитиновое | chitin | chitine | | CHT |
хлорволокно | chlorofibre | chlorofibre | | CLF |
медноаммиачное | cupro | cupro | | CUP |
эластан | elastane | | | EL |
эластодиеновое | elastodiene | | | ED |
эластолефин | elastolefin | | | EOL |
эластомультиэстер | elastomultiester | | | ELE |
фторволокно | fluorofibre | fluorofibre | | PTFE |
стекловолокно | glass | verre | | GF |
лиоцелл | lyocell | lyocell | | CLY |
меламиновое | melamine | | | MEL |
металлическое | metal | | | MTF |
модакриловое | modacrylic | modacrylique | | MAC |
высокомодульное вискозное | modal | modal | | CMD |
полиамидное | polyamide | polyamide | | PA |
полибензимидазол | polybenzimidazol | polybenzimidazol | | PBI |
поликарбамидное | polycarbamide | polycarbamide | | Нет |
полиэфирное | polyester | polyester | | PES |
полиэтиленовое | polyethylene | | | PE |
полилактидное | polylactide | polylactide | | PLA |
полиимидное | polyimide | polyimide | | PI |
полифениленсульфидное | polyphenylene sulfide | polysulfure de  | | PPS |
полипропиленовое | polypropylene | | | PP |
полипропилен/полиамид двухкомпонентное | polypropylene/polyamide bicomponent | bicomposant  /polyamide | | Нет |
белковое | protein | | | Нет |
триацетатное | triacetate | | | CTA |
тривинил | trivinyl | trivinyl | | Нет |
ивинилал | vinylal | vinylal | | PVAL |
вискоза | viscose | viscose | | CV |
(справочное)
УКАЗАТЕЛЬ КОДОВ В АЛФАВИТНОМ ПОРЯДКЕ С РУССКИМИ,
АНГЛИЙСКИМИ И ФРАНЦУЗСКИМИ ЭКВИВАЛЕНТАМИ
Указатель кодов представлен в таблице E.1.
Таблица E.1
Алфавитный указатель кодов общих наименований
Код | Русский | Английский | Французский |
ALG | альгинат | alginate | alginate |
AR | арамидное | aramid | aramide |
CA | ацетатное | acetate | |
CEF | керамическое | ceramic | |
CF | углеродное | carbon | carbone |
CHT | хитиновое | chitin | chitine |
CLF | хлорволокно | chlorofibre | chlorofibre |
CLY | лиоцелл | lyocell | lyocell |
CMD | высокомодульное вискозное | modal | modal |
CTA | триацетатное | triacetate | |
CUP | медноаммиачное | cupro | cupro |
CV | вискоза | viscose | viscose |
ED | эластодиеновое | elastodiene | |
EL | эластан | elastane | |
ELE | эластомультиэстер | elastomultiester | |
EOL | эластолефин | elastolefin | |
GF | стекловолокно | glass | verre |
MAC | модакриловое | modacrylic | modacrylique |
MEL | меламиновое | melamine | |
MTF | металлическое | metal fibre | fibre de metal |
PA | полиамидное | polyamide | polyamide |
PAN | акриловое | acrylic | acrylique |
PE | полиэтиленовое | polyethylene | |
PES | полиэфирное | polyester | polyester |
PI | полиимидное | polyimide | polyimide |
PLA | полилактидное | polylactide | polylactide |
PP | полипропиленовое | polypropylene | |
PPS | полифениленсульфидное | polyphenylene sulfide | polysulfure de  |
PTFE | фторволокно | fluorofibre | fluorofibre |
PVAL | ивинилал | vinylal | vinylal |
(справочное)
РЕГИОНАЛЬНЫЕ И НАЦИОНАЛЬНЫЕ ТРЕБОВАНИЯ
К ОБЩИМ НАИМЕНОВАНИЯМ
F.1 Общие положения
В некоторых странах мира существуют регламенты или конкретные требования, связанные с маркированием состава. Следующая информация, которая связана с этими требованиями, дана на примере Китая, стран Евросоюза, Японии и США. Что касается других стран, необходимо запросить их национальные органы по стандартизации или воспользоваться их сайтами для того, чтобы подтвердить конкретные требования этих стран.
F.2 Требования в Китае
Регламент, идентифицированный как FZ 01053
[4], который включает отличающиеся и/или дополнительные наименования волокон (см. таблицу F.1 - неполный перечень) к имеющимся общим наименованиям (см.
таблицу 1, "Другие наименования").
Таблица F.1
Общие наименования в сравнении с наименованиями,
принятыми в Китае
N | Общее наименование | Наименование, принятое в Китае | Примечание |
| Вискоза | Искусственный шелк | |
| Эластан | Эластан или спандекс | |
| Полиамидное | Полиамид или нейлон | |
| Стекловолокно | Стекловолокно | |
| Углеродное | Углеродное волокно | |
| Металлическое | Металлическое волокно | |
| Эластолефин | Эластолефин или ластол | |
| Керамическое | Керамическое волокно | |
Дополнительную информацию см. на сайте www.aqsiq.gov.cn.
F.3 Требования в странах Европейского Союза
Регламент, идентифицированный как Regulation (EU) No. 1007/2011 Европейского парламента и Совета от 27 сентября 2011 г. по наименованиям текстильных волокон, касающийся также этикетирования и маркирования по составу волокна текстильной продукции и аннулирующий Директиву Европейского Совета Directive 73/44/EEC и Директивы Directives 96/73/EC и 2008/121/Европейского парламента и Совета, включает следующие отличные и/или дополнительные наименования волокон, кроме существующих общих наименований (см. таблицу F.2 - неполный перечень).
Таблица F.2
Общие наименования в сравнении с наименованиями,
принятыми в ЕС
N | Общее наименование | Наименование, принятое в ЕС | Примечание |
| Полиамидное | Полиамид или нейлон | Применение обозначения "нейлон" ограничено полиамидом 6.6 в некоторых странах ЕС |
| Стекловолокно | Стекловолокно | |
| Металлическое | Металлическое волокно | |
| Полилактидное | Полилактид | Волокно, образованное линейными макромолекулами, имеющими в цепочке по крайней мере 85% по массе звеньев эфира молочной кислоты, производных от встречающихся в природе сахаров, которые имеют температуру плавления не менее 135 °C |
Дополнительную информацию см. на сайте eur-lex.europa.eu.
F.4 Требования в Японии
Регламент, идентифицированный как "Textile Goods Quality Labelling Regulations" (Регламент по маркировке качества текстильной продукции), включает отличные и/или дополнительные обозначения волокон (см. таблицу F.3 - неполный перечень), кроме существующих общих наименований (см.
таблицу 1, "Другие обозначения").
Таблица F.3
Общие наименования в сравнении с наименованиями,
принятыми в Японии
N | Общее наименование | Наименование, принятое в Японии | Примечание |
| Вискоза | Искусственный шелк | |
| Эластан | Полиуретан | |
| Полилактидное <a> | Полилактид | Японское определение: Волокно, образованное линейными макромолекулами, имеющими в цепочке не менее 50% по массе звеньев эфира молочной кислоты |
<a> ВНИМАНИЕ! Продукция из "полилактида", предназначенная для продажи в ЕС или в США, должна соответствовать определению, представленному в таблице F.2 или таблице F.4. |
Дополнительную информацию см. на сайте www.meti.go.jp.
F.5 Требования в США
Регламент, идентифицированный как "Textile Fiber Products Identification Act" (Акт идентификации продукции из текстильных волокон), включает следующие отличные и дополнительные обозначения волокон, кроме существующих общих наименований (см. таблицу F.4 - неполный перечень).
Таблица F.4
Общие наименования в сравнении с наименованиями,
принятыми в США
N | Общее наименование | Наименование, принятое в США | Примечание |
| Вискоза | Искусственный шелк | |
| Эластан | Спандекс | |
| Полиамидное | Нейлон | |
| Полиэфирное | Триекста (triexta) | Обозначение "triexta" используют только для политриметилентерефталата |
| Полиэтиленовое | Олефин | |
| Полипропиленовое | Олефин | |
| Металлическое | Металлическое волокно | |
| Полилактидное | PLA | Волокно, образованное линейными макромолекулами, имеющими в цепочке не менее 85% по массе звеньев эфиров молочной кислоты, которые являются производным от встречающихся в природе сахаров |
| Эластолефин | Ластол | |
| Белковое | Азлон | |
| Эластомультиэстер | Эластерель-п (elasterell-p) | |
Дополнительную информацию см. на сайте www.ftc.gov.
| ISO 1833 (all parts), Textiles - Quantitative chemical analysis (ИСО 1833 (все части), Материалы текстильные. Количественный химический анализ) |
[2] | ISO 1043-1, Plastics - Symbols and abbreviated terms - Part 1: Basic polymers and their special characteristics (ИСО 1043-1, Пластмассы. Обозначения и аббревиатуры. Часть 1. Основные полимеры и их некоторые характеристики) |
[3] | ISO/TR 11827, Textiles - Composition testing - Identification of fibres |
| FZ/T 01053, Textiles - Identification of fibre content |