Главная // Актуальные документы // ГОСТ (Государственный стандарт)СПРАВКА
Источник публикации
М.: Стандартинформ, 2016
Примечание к документу
Документ
введен в действие с 01.03.2017.
Название документа
"ГОСТ IEC/TS 60034-24-2015. Межгосударственный стандарт. Машины электрические вращающиеся. Часть 24. Онлайновое обнаружение и диагностика потенциальных отказов активных деталей вращающихся электромашин и деталей с подшипниковым током. Руководство по применению"
(введен в действие Приказом Росстандарта от 26.05.2016 N 423-ст)
"ГОСТ IEC/TS 60034-24-2015. Межгосударственный стандарт. Машины электрические вращающиеся. Часть 24. Онлайновое обнаружение и диагностика потенциальных отказов активных деталей вращающихся электромашин и деталей с подшипниковым током. Руководство по применению"
(введен в действие Приказом Росстандарта от 26.05.2016 N 423-ст)
агентства по техническому
регулированию и метрологии
от 26 мая 2016 г. N 423-ст
МЕЖГОСУДАРСТВЕННЫЙ СТАНДАРТ
МАШИНЫ ЭЛЕКТРИЧЕСКИЕ ВРАЩАЮЩИЕСЯ
ЧАСТЬ 24
ОНЛАЙНОВОЕ ОБНАРУЖЕНИЕ И ДИАГНОСТИКА ПОТЕНЦИАЛЬНЫХ ОТКАЗОВ
АКТИВНЫХ ДЕТАЛЕЙ ВРАЩАЮЩИХСЯ ЭЛЕКТРОМАШИН И ДЕТАЛЕЙ
С ПОДШИПНИКОВЫМ ТОКОМ
РУКОВОДСТВО ПО ПРИМЕНЕНИЮ
Rotating electrical machines. Part 24. Online detection
and diagnosis of potential failures at the active parts
of rotating electrical machines and of bearing currents.
Application guide
(IEC/TS 60034-24:2009, IDT)
ГОСТ IEC/TS 60034-24-2015
Дата введения
1 марта 2017 года
Цели, основные принципы и основной порядок проведения работ по межгосударственной стандартизации установлены
ГОСТ 1.0-92 "Межгосударственная система стандартизации. Основные положения" и
ГОСТ 1.2-2009 "Межгосударственная система стандартизации. Стандарты межгосударственные, правила и рекомендации по межгосударственной стандартизации. Правила разработки, принятия, применения, обновления и отмены"
1 ПОДГОТОВЛЕН Федеральным государственным бюджетным образовательным учреждением высшего профессионального образования "Национальный исследовательский университет "МЭИ" (ФГБОУ ВПО "НИУ "МЭИ") и Федеральным государственным унитарным предприятием "Всероссийский научно-исследовательский институт стандартизации и сертификации в машиностроении" (ВНИИНМАШ) на основе собственного перевода на русский язык англоязычной версии стандарта, указанного в
пункте 5
2 ВНЕСЕН Техническим комитетом по стандартизации ТК 333 "Вращающиеся электрические машины"
3 ПРИНЯТ Межгосударственным советом по стандартизации, метрологии и сертификации (протокол от 29 сентября 2015 г. N 80-П)
За принятие проголосовали:
Краткое наименование страны по МК (ИСО 3166) 004-97 | Код страны по МК (ИСО 3166) 004-97 | Сокращенное наименование национального органа по стандартизации |
Армения | AM | Минэкономики Республики Армения |
Беларусь | BY | Госстандарт Республики Беларусь |
Казахстан | KZ | Госстандарт Республики Казахстан |
Киргизия | KG | Кыргызстандарт |
Молдова | MD | Молдова-Стандарт |
Россия | RU | Росстандарт |
Таджикистан | TJ | Таджикстандарт |
4
Приказом Федерального агентства по техническому регулированию и метрологии от 26 мая 2016 г. N 423-ст межгосударственный стандарт ГОСТ IEC/TS 60034-24-2015 введен в действие в качестве национального стандарта Российской Федерации с 1 марта 2017 г.
5 Настоящий стандарт идентичен международному документу IEC/TS 60034-24:2009 "Машины электрические вращающиеся. Часть 24. Онлайновое обнаружение и диагностика потенциальных отказов активных деталей вращающихся электромашин и деталей с подшипниковым током. Руководство по применению" ("Rotating electrical machines - Part 24: Online detection and diagnosis of potential failures at the active parts of rotating electrical machines and of bearing currents - Application guide", IDT).
Международный стандарт разработан техническим комитетом по стандартизации TC 2 "Вращающиеся машины" Международной электротехнической комиссии (IEC)
6 ВВЕДЕН ВПЕРВЫЕ
Информация об изменениях к настоящему стандарту публикуется в ежегодном информационном указателе "Национальные стандарты", а текст изменений и поправок - в ежемесячном информационном указателе "Национальные стандарты". В случае пересмотра (замены) или отмены настоящего стандарта соответствующее уведомление будет опубликовано в ежемесячном информационном указателе "Национальные стандарты". Соответствующая информация, уведомление и тексты размещаются также в информационной системе общего пользования - на официальном сайте Федерального агентства по техническому регулированию и метрологии в сети Интернет
Прогресс в методах проектирования и технологии производства электрических машин выражается в увеличении их надежности, однако полностью избежать отказов не удается. Поскольку требования к надежности постоянно растут, важно определить дефекты на ранней стадии, определить источник и серьезность неисправности с целью оценки риска развития процесса.
Целесообразно, чтобы информация, полученная методами, изложенными в настоящем руководстве, позволила дифференцировать неисправности и, таким образом, ее анализ мог бы стать исходными данными для полного мониторинга системы.
Целью настоящего руководства является предоставить возможные средства для достижения намеченных целей и объяснить их преимущества и недостатки. Обсуждаются минимальные требования, которым должны удовлетворять различные датчики, принимая во внимание различные проектные требования, остающиеся за рамками настоящего стандарта.
Настоящее руководство имеет отношение к диагностике неисправностей в активных частях многофазных вращающихся машин (всех типов неисправностей в обмотках статора и ротора, дефектов беличьих клеток, эксцентриситета) и токов через подшипники.
Настоящий стандарт предназначен для обнаружения и диагностики неисправностей в активных частях многофазных вращающихся машин (асинхронных и синхронных) и токов в подшипниках во время работы машины. Неисправности включают в себя:
- повреждения в обмотках;
- межфазные короткие замыкания;
- двухфазные и однофазные короткие замыкания на землю в двигателях с заземленной нейтральной точкой;
- статический и динамический эксцентриситет;
- дефекты стержней и соединительных колец беличьей клетки;
- подшипниковые токи.
Диагностика может быть осуществлена такими средствами, как измерительные катушки или частично - анализом напряжений и токов на зажимах двигателя.
Настоящий стандарт не включает обнаружение следующих неисправностей:
- вибрация (рассмотрена в стандартах ISO, например ISO 10816 и ISO 7919);
- частичный разряд (рассмотрена в стандарте IEC 60034-27);
- однофазные короткие замыкания в двигателях без заземления нейтральной точки звезды;
- неисправности сердечника.
В стандарт не включены также специальные методы диагностики машин специфического применения (например, турбогенераторов).
В настоящем стандарте нет нормативных ссылок.
В настоящем стандарте используются следующие термины и определения к ним.
3.1 коэффициент распределения (distribution factor): Коэффициент, относящийся к распределенным обмоткам и характеризующий уменьшение ЭДС из-за специфики распределения витков обмоток, расположенных в отдельных пазах;
3.2 коэффициент изменения шага обмотки (chording (pitch) factor): Коэффициент, относящийся к распределенным обмоткам и характеризующий уменьшение ЭДС витка из-за укорочения шага обмоток;
3.3 коэффициент секций (branch factor): Коэффициент, относящийся к распределенным обмоткам и характеризующий уменьшение ЭДС из-за ее различия в последовательных ветвях.
Работа двигателя основана на образовании магнитного поля в зазоре, которое пронизывает площадь поперечного сечения пластин статора и ротора. Часть потока, проходящая через части машины вне сердечника, является паразитной. Поэтому доступные сигналы, пригодные для определения потенциальных неисправностей, обусловлены магнитным потоком в зазоре, который анализируется с целью отличия тех составляющих, которые обусловлены нормальной работой машины от происходящих в результате специфических неисправностей и отсутствуют в исправной машине.
Поскольку обмотки, создающие магнитный поток, распределены по окружности зазора симметрично, а векторная сумма создающих его токов равна нулю, поток в зазоре представляет собой периодическую функцию, которая может быть представлена как сумма гармонических составляющих, характеризуемых следующими параметрами:
- амплитудой;
- числом пар полюсов;
- угловой скоростью;
- фазовым углом;
- типом волны (вращающейся или неподвижной).
В таблице 1 показан состав поля в зазоре трехфазного асинхронного двигателя с целым числом пазов на полюс и фазу. Таблица может быть распространена и на двигатели с дробным числом пазов на полюс и фазу. Подобные таблицы могут быть разработаны и для двигателей с контактными кольцами, а также синхронные двигатели.
Таблица 1
Основные составляющие поля в зазоре трехфазных
короткозамкнутых асинхронных двигателей с целым числом пазов
обмотки статора в исправном состоянии и при неисправностях
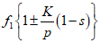
Источник искажения поля | Поля в статоре | Поля в роторе | Пункт |
Поля исправной машины | Обмотки (пазовые гармоники) | Тип: | вращающееся | Тип: | вращающееся | |
Частота: f1 | | Частота: | g2 = 0; +/- 1; +/- 2; ... |
Число пар полюсов: | v1 = p(1+6g1) g1 = 0; +/- 1; +/- 2; ... | Число пар полюсов: | v2 = v1 + g2Qr |
(пазовые гармоники: v1 = p + g1Qs) | | |
Насыщение | Тип: | вращающееся | Тип: | вращающееся | 2 |
Частота: 3f1 | | Частота: | g2 = 0; +/- 1; +/- 2; ... |
Число пар полюсов: | v1 = 3p | Число пар полюсов: | v2 = 3p + g2Qr |
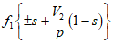
Поля машины при наличии неисправностей | Отказы: Межвитковые, межфазные, двухфазные | Тип: | сумма полей обратной последовательности различной амплитуды | Тип: | наложение обратно вращающихся полей с различными амплитудами | |
Частота: f1 Число пар полюсов: v1 = 1; 2; 3; ... | Частота: | |
+ - поля прямой последовательности - - поля обратной последовательности Число пар полюсов: v2 = v1 + g2Qr |
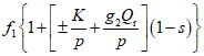
Эксцентриситет | Тип: | 2 вращающихся поля | Тип: | 2 вращающихся поля | |
Частота: | | Частота: | |
| K = 0 - статический эксцентриситет; K = 1 - динамический эксцентриситет. | Число пар полюсов: | v2 = v1 + g2Qr g2 = 0; +/- 1; +/- 2; ... |
Число пар полюсов: | v1 = p +/- 1 |
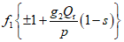
Дополнительные поля в аварийных условиях | Асимметрия ротора | - | Тип: | сумма полей обратной последовательности одинаковой амплитуды | |
Частота: | |
Число пар полюсов: | v2 = 1; 2; 3; ... |
Обозначения: f1 - основная частота; p - число пар полюсов, паспортное; v - число пар полюсов фактическое; Qs - число пазов статора; Qr - число стержней ротора; s - скольжение. |
5 Виды анализа электрических переменных
| | ИС МЕГАНОРМ: примечание. Текст дан в соответствии с официальным текстом документа. | |
Метод определения неисправностей должен позволять обнаруживать их на ранней стадии. Поэтому оптимальным для достижения указанных целей является обнаружение существенных изменений сигналов при появлении набольших дефектов.
Обработка сигналов требует соответствующего электронного оборудования. Хотя разрешающая способность современного оборудования велика, в настоящем стандарте преимущество отдается сигналам, которые не требуют высокой точности измерительного оборудования.
5.2 Анализ тока и напряжения статора
Анализ токов или напряжений на клеммах статора позволяют обнаружить следующее:
различные частоты,
составляющие прямой, обратной и нулевой последовательности,
различные амплитуды составляющих.
Вообще, изменение индукции в зоне воздушного зазора индуцирует напряжения в статорной обмотке соответствующих частот, что, в свою очередь, определяет наличие токов тех же частот. При возникновении неисправностей на основной ток питания накладываются дополнительные составляющие, параметры которых в зависимости от определенных неисправностей детально рассмотрены в
таблице 1 для случая трехфазных асинхронных короткозамкнутых двигателей.
Таблица 1 составлена для одной основной частоты питающего напряжения. Однако ее данные могут быть распространены и для других гармонических компонент (с различными значениями параметров напряжение-частота) в спектре питания двигателя, что характерно для электропривода по системе преобразователь частоты - двигатель.
В
таблице 1 представлены составляющие поля в воздушном зазоре машины. Соответствующая составляющая индуцирует ЭДС в обмотке статора в зависимости от обмоточного коэффициента с учетом числа пар полюсов. Обмоточный коэффициент связан со следующими факторами:
- коэффициент распределения,
- коэффициент укорочения шага обмотки,
- коэффициент секций.
Коэффициент секции не получил широкого распространения среди инженеров, однако важен в текущем контексте. Каждая симметричная трехфазная обмотка в пазу состоит из p (в случае однослойной обмотки) или 2p (в случае двухслойной) одинаковых групп витков (ветвей), которые симметрично распределены по окружности. Они могут образовывать последовательные или параллельные ветви с максимальным числом a = 2p. Способ соединения определяет коэффициент секции для соответствующего числа пар полюсов.
Можно показать, что коэффициент секции равен нулю для полей, вызванных эксцентриситетом, v = p + 1 и v = p - 1 для всех обмоток с последовательным соединением групп. Поэтому оба типа эксцентриситета не могут быть определены для таких машин путем анализа статорного тока.
Коэффициент секций полей гармоник в соответствии с
пунктами 1 -
4 таблицы 1 также зависит от геометрии, а также от количества пазов ротора. Эти параметры выбираются производителем машины исходя из различных соображений (например, чтобы уменьшить магнитное притяжение, избежать опасной магнитной звуковой эмиссии и т.п.) и обычно не известны потребителю. Поэтому не рекомендуется использовать гармоники полей ротора по
пунктам 3 и
4 таблицы 1 в качестве сигналов для анализа статорного тока.
Группа обмоточных дефектов по
пункту 3 таблицы 1 характеризует наиболее частые дефекты активных частей машины. Все они производят поля основной частоты. Таким образом, неисправности в обмотках не могут быть обнаружены с помощью анализа токов статора.
Изменения потока, вызванные неисправностями обмоток, имеют эллиптический характер, который означает наложение двух синусоид противоположного направления, имеющих одинаковое число полюсов и частоту, но различную амплитуду. В принципе, такие неисправности могут быть обнаружены путем анализа тока обратной последовательности на основной частоте.
В случае таких опасных неисправностей, как замыкания внутри обмоток, когда по одному из витков фазы в высоковольтном двигателе течет весьма большой ток, компонента обратной последовательности весьма мала. Она может быть также вызвана асимметрией питающего напряжения (обратная последовательность питающего напряжения может вызвать шести-десятикратную обратную последовательность тока). Вышесказанное означает, что не рекомендуется определять неисправности в обмотках путем анализа токов и напряжений.
Достоверное обнаружение неисправностей беличьей клетки ротора (разрушение стержней и колец) возможно путем анализа токов статора.
Следует отметить и другие ограничения анализа статорного тока. Статистика страховых компаний свидетельствует о том, что большинство неисправностей возникает во время переходных процессов, таких как пуск двигателя, короткое замыкание на клеммах, в процессе которых происходят броски токов. Проведение анализа тока в течение короткого периода переходных процессов малоперспективно.
5.3 Индуцированные напряжения добавочных витков в пазах статора или датчиках потока в зазоре
Идеальный диагностический сигнал должен оставаться равным нулю в установившихся и переходных режимах работы исправного двигателя и расти при возникновении дефектов всех категорий, поименованных в
пунктах 3 -
5 таблицы 1, а также идентифицировать различие между ними. Решения должны быть оптимальными для практической реализации.
В основе данных решений лежат выполненные из изолированного провода витки, диаметр которых выбирается исключительно из конструктивных соображений. Оба конца витка располагаются в пазах статора основной обмотки, обычно на стадии сборки машины между верхним слоем обмотки и пазовым клином. Возможен монтаж витка и на более поздней стадии. Концы витка располагаются насколько возможно близко концам обмотки.
Такое же внедрение в различные места расположения магнитного поля статора возможно с помощью иных датчиков, нежели измерительный виток.
Как правило, последовательно соединяются несколько витков с одинаковым шагом, сдвинутые друг относительно друга на одинаковый угол. Это делается с целью получить измерительную систему из вспомогательных витков с результирующим равным нулю обмоточным коэффициентом всех полей в зазоре при исправном состоянии машины, но максимальным обмоточным коэффициентом при числе пар полюсов, которое используется как базовое в процессе диагностики определенной неисправности.
Если система вспомогательных витков удовлетворяет названным выше условиям для базового поля, которое присутствует наряду с полями, возникшими от неисправностей, указанных в
пунктах 3 -
5 таблицы 1, она считается законченной. Однако при этом имеет место одна трудность. Поля, возникающие при неисправностях обмоток в соответствии с
пунктом 3, имеют эллиптическую форму. Если одно из них принято за базовое, индуцируемое напряжение измерительной системы будет зависеть от местоположения неисправности на окружности. Такая ситуация является неприемлемой.
Проблема может быть решена путем использования второй аналогичной системы витков, сдвинутой относительно первой на угол

, где
v - число пар полюсов базового поля. Обе группы витков образуют симметричную двухфазную систему, которая позволяет рассчитать симметричные компоненты по двум измеренным напряжениям. Симметричные компоненты уже не зависят от расположения неисправности.
Настоящее руководство не предполагает детальное описание процедуры проектирования системы измерительных витков. Можно упомянуть лишь, что минимальное число витков составляет от 6 до 12 в зависимости от данных испытуемой машины и желаемой точности диагностики.
Базовое поле берется из списка полей в зазоре, которые возбуждаются определенной неисправностью, но равны нулю в исправной машине. Поэтому амплитуда базового поля почти не изменяется в процессе переходных процессов. Это положение проверяется экспериментально.
Процедура диагностики описана в
таблице 2. Критерием неисправности в обмотке является наличие обеих симметричных составляющих (прямой и обратной последовательности) на основной частоте. Напряжения в случае статического эксцентриситета имеют также основную частоту, однако напряжение обратной последовательности
Un равно нулю. Динамический эксцентриситет может быть вызван другими неисправностями и соответствовать другим характерным частотам индуцированного напряжения. Асимметрия ротора индуцируется другими характерными частотами индуцированного напряжения; индуцированное напряжение становится равным нулю при синхронной частоте вращения машины (
s = 0), поскольку токи, ответственные за создание базового поля, отсутствуют.
Таблица 2
Диагностика неисправностей асинхронного двигателя
с короткозамкнутым ротором, укомплектованного двумя
измерительными катушками
В заключение следует отметить, что профессионально спроектированная система дополнительных обмоток является подходящим инструментом выявления и диагностики неисправностей.
Для полноты освещения вопроса следует упомянуть и о других типах диагностических обмоток, предлагаемых в технической литературе, например, на одном статорном зубце. Они могут быть полезны для исследования отдельных эффектов, но не пригодны для комплексной диагностики, а потому не могут быть рекомендованы для применения в инженерной практике.
5.4 Индуцированные напряжения в катушках датчиков осевого потока
При использовании тороидальных витков, прикрепленных впереди машины или витков вокруг вала машины, используются допущения. В обоих случаях осевой поток, созданный машиной, должен быть использован для обнаружения ее неисправностей. Такие приближения неблагоприятны по следующим причинам.
Осевые составляющие потока всегда являются паразитными и нежелательными, поскольку нормальная работа машины основана на тех составляющих потока, которые пересекают поперечное сечение пластин. Осевой поток весьма мал из-за высокого магнитного сопротивления воздуха. Его величина не может быть оценена аналитическими методами.
Поток, вызванный наиболее значительными неисправностями в обмотках, имеет основную частоту, а амплитуда его осевой составляющей весьма мала.
Только в случае эксцентриситетов в двухполюсной машине ее поле с числом пар полюсов p - 1 вырождается в униполярное, которое может быть успешно измерено витком, расположенным вокруг статора или установленным на конце сердечника.
За указанным исключением использование витков для измерения осевого потока не рекомендуется.
5.5 Анализ напряжения на валу
Некоторые авторы считают целесообразным для обнаружения искажений внутреннего поля машины измерение напряжения на валу.
Напряжения на валу индуцируются кольцевым магнитным потоком вокруг вала. Кольцевой поток вызывается неравномерностями ярма статора (например, фиксирующими пазами) и их распределением по окружности в случае питающейся от сети машины. Кольцевой поток возникает лишь в случае, если интеграл напряженности магнитного поля по окружности отличен от нуля. Поля с числом пар полюсов p и 3p наиболее существенны в этом отношении. Данное физическое обоснование показывает, что влияние неисправностей обмоток на напряжение на валу носит паразитный характер и слишком мало, чтобы служить основой для устройства датчика неисправностей.
При питании от преобразователя напряжение на валу может заметно вырасти за счет составляющих кольцевого потока, вызванных синфазным напряжением преобразователя. Поэтому рост напряжения на валу не имеет отношения к распределению рабочего потока машины и потому не пригодно в рассматриваемом контексте.
Суммируя вышесказанное, выявление неисправностей активных частей машины не может быть осуществлено путем анализа напряжения на ее валу.
6 Определение тока в подшипниках
Токи в подшипниках могут быть вызваны следующими причинами:
- неравномерности ярма статора;
- синфазные токи в случае питания от преобразователя.
В случае, когда ярмо имеет неравномерности, например вентиляционные каналы, стыки и швы и т.п., их число и распределение по периферии имеют решающее значение для возникновения осевого напряжения, которое определяет прохождение тока через оба подшипника. Подшипниковые токи обычно содержат составляющую преимущественно на основной частоте, наложенную на составляющую тройной частоты, обусловленную эффектом насыщения. Длительный опыт показывает, что подшипникам угрожает напряжение на валу, превышающее (200 - 250) мВ действующего значения. Производитель должен принять меры для исключения токов в подшипниках путем применения соответствующего типа изоляции. Обычно применяется несколько типов.
Если подшипник на пассивном конце вала надежно изолирован, нет необходимости в иных средствах защиты. Однако, если по каким-либо причинам не исключено нарушение изоляции, необходим мониторинг ее состояния.
Если вращающаяся машина питается от преобразователя с промежуточным звеном постоянного тока, синфазное напряжение является дополнительным источником токов в подшипниках. В зависимости от конструктивных особенностей эти токи могут протекать только через один подшипник (при электроэрозионной обработке ток заземления возвращается в преобразователь по контуру заземления) или они циркулируют через оба подшипника, будучи вызваны емкостными токами между обмоткой и пластинами сердечника.
Синфазные токи могут быть измерены, однако они могут истекать из различных частей корпуса на землю, а потому не пригодны для определения неисправности. Производитель или пользователь должен определить необходимость изоляции одного или обоих подшипников.
При выборе изоляции подшипников необходимо учитывать, что частота синфазных токов находится в килогерцовом диапазоне, и потому анализ электроэрозионных пробоев требует значительного усиления изоляционных свойств. Емкостные токи не могут быть снижены тонкой изоляционной пленкой толщиной несколько сотен микрон.
При использовании заземляющей щетки протекающий по ней ток может быть использован для нахождения его источника.
Разрушение изоляции подшипника или разряд через масляную пленку подшипника могут быть обнаружены измерением напряжения вал - земля с помощью измерительной щетки.
Испытательные контактные щупы могут быть установлены с обеих сторон изоляции с целью измерения напряжения на ней или тока через подшипники, когда перекрывается изоляция. Такие измерения требуют специальных высокочастотных приборов и кабелей, и в настоящее время применяются редко.
[1] | Frohne, H. Theory of a measuring device for the monitoring of eccentricities in cage induction motors, ETZ-A, 87, 1966, 127 - 132 |
[2] | Frohne, H. Measuring device to detect eccentricities in multiphase machines with integral-slot or fractional-slot windings, ETZ-A, 87, 1966, 592 - 598 |
| | ИС МЕГАНОРМ: примечание. Текст дан в соответствии с официальным текстом документа. | |
|
[3] | Frohne, H. Seinsch, H.O. Verification and testing of a device to monitor the centrosymmetry of the air gap, E.u.M., 85, 1968, 285 - 280 |
[4] | Rickson, CD. Protecting motors from overload due to asymmetrical fault conditions, Electr. Review, 7, 1973, 778 - 780 |
[5] | Rogge, D. Seinsch, H.O. Detection and monitoring of electrical rotor asymmetries in cage induction machines, etz-Archiv, 1981, 339 - 45 |
[6] | Hargis, C. Gaydon, B.G. Kamash, K. The Detection of Rotor Defects in Induction Motors IEE Conf. On Electrical Machines, 1982, 216 - 220 |
[7] | Kaumann, U. Wolf, B. Options and limits of the monitoring of electrical rotor asymmetries in cage induction motors, Schorch-Berichte, 1984, 13 - 23 |
[8] | Deleroi, W. Broken bars in the cage of induction motors, A.f.E., 67, 1984, 91 - 99, 141 - 149 |
[9] | Williamson, S. Mirzoian, K. Analysis of cage induction motors with stator winding faults, IEEE Transactions on Power Apparatus and Systems, vol. 104, no. 7, 1985, 1838 - 1842 |
[10] | Thomson, W.T. Rankin, D. Cases Histories of Rotor Winding Fault Diagnosis in Induction Motors, Proceeding of 2nd Int. Con. on Condition Monitoring, University College of Swansea, 1987, 798 - 819 |
[11] | Tavner, P.J. Penman, J. Condition Monitoring of Electrical Machines J. Wiley & Sons, New York, 1987 |
[12] | Heinrich, W. Detection of rotor failures by means of analysing he terminal voltages and currents, etz-Archiv, 10, 1988, 61 - 64 |
[13] | Penman, J. Dey, M.N. Multifunctional monitoring and protection scheme for electrical machines, UPEC, 19, 1983, 4 - 12 |
[14] | Denman, J. Tait, A.J. Smith, J.R. Bryan, W.E. The development of a machine condition monitoring system for electrical drives, Proceedings of the Conference on Drives/Motors/Control, 1985, 123 - 129 |
[15] | Kaumann, U. Analytical theory and experimental verification of the performance of induction machines with any rotor asymmetry, Dissertation, Institut fur Elektrische Maschinen und Antriebe, Universitat Hannover, 1983 |
[16] | Seinsch, H.O. Diagnosis and monitoring of abnormal operating conditions and failures in multi-phase machines, Schorch-Berichte, 1986, 4 - 12 |
[17] | Fruchtenicht, S. Pittius, E. Seinsch, H.O. Diagnostic system for multi-phase induction machines, etz-Archiv, 11, 1989, 145 - 153 |
[18] | Pittius, E. Analytical theory and experimental verification of earth faults in induction machines, Dissertation, Institut fur Elektrische Maschinen und Antriebe, Universitat Hannover, 1989 |
[19] | Fruchtenicht, S. Pittius, E. Seinsch, H.O. Diagnostic system for three-phase asynchronous machines, Fourth International IEE Conference on Electrical Machines and Drives, London, 1989, 163 - 171 |
[20] | Fruchtenicht, S. Analytical theory and experimental verification of winding faults in induction machines, Fortschritt-Berichte VDI Reihe 21, Nr. 56, VDI-Verlag Dusseldorf, 1990 |
[21] | Ojo, J.O. Consoli, A. Lipo, T.A. An improved model of saturated induction machines EEE Trans. Ind. Applicat., vol. 26, no. 2, 1990, 212 - 221 |
[22] | Slemon, G.R. An equivalent circuit approach to analysis of synchronous machines with saliency and saturation, EEE Trans. Energy Conversion, vol. 5, no. 3, 1990 |
[23] | Toliyat, H.A. Rahimian, M.M. Bhattacharya, S. Lipo, T.A. Transient analysis of induction machines under internal faults using winding functions, Proc. 3rd Int. Conf. Electrical Rotating Machines - ELROMA'92, 1992, Bombay |
[24] | Cardoso, A.J.M. Saraiva, E.S. Computer-Aided Detection of Air-gap Eccentricity in Operating Three-Phase Induction Motors by Park's Vector Approach, EEE Transactions on Industry Applications, vol. 29, no. 5, 1993, 897 - 901 |
[25] | Gentile, G. Rotondale, N. Martelli, M. Tassoni, C. Harmonic analysis of induction motors with stator faults, Electric Power Components and Systems, vol. 22, no. 2, 1994, 215 - 231 |
[26] | Toliyat, H.A. Lipo, T.A. Transient analysis of cage induction motors under stator, rotor bar end ring faults, IEEE Trans. Energy Conversion, vol. 10, no. 2, 1995, 241 - 247 |
[27] | Ponick, B. Diagnosis of failures in synchronous machines, Fortschritt-Berichte VDI Reihe 21, Nr. 147, VDI-Verlag, Dusseldorf, 1995 |
[28] | Filippetti, F. Franceschini, G. Tassoni, C. Meo, S. Ometto, A. A simplified model of induction motor with stator shorted turns oriented to diagnostics, Proc. Int. Conf. Elect. Mach., ICEM, 1996, 410 - 413 |
[29] | Rust, St. Seinsch, H.O. Monitoring of winding faults in the rotor of slip-ring induction motors, Elektrie, 50, 1996, 347 - 355 |
[30] | Chen, S. Lipo, T.A. Circulating type motor bearing currents in inverter drives IEEE IAS Conf., 1996, 162 - 167 |
[31] | Chen, S. Lipo, T.A. Fritzgerald, D. Source of induction motor bearing currents caused by PWM inverters, IEEE Trans. Energy Conv., vol. 11, 1996, 25 - 32 |
[32] | Erdmann, J.M. Kerkman, R.J. Schlegel, D.W. Skibinski, G. Effect of PWM Inverters on AC motor bearing currents and shaft voltages, IEEE Trans. Ind. Appl., vol. 32, 1996, 243 - 252 |
[33] | Bradley, K.J. Tami, A. Reluctance mesh modelling of induction motors with healthy and faulty rotors, Proc. 31st IAS Ann. Meeting, 1996, 625 - 632 |
[34] | Dorrell, D.G. Thomson, W.T. Roach, S. Analysis of air gap flux, current and vibration signals as a unction of the combination of static and dynamic air gap eccentricity in 3-phase induction motors, EEE Trans, on Ind. Appl., vol. 33, no. 1, 1997, 24 - 34 |
[35] | Chen, S. Lipo, T.A. Bearing currents and shaft voltages of an induction motor under hard and soft switching inverter excitation, EEE IAS Annual Meeting, 1997, 1 - 7 |
[36] | Filippetti, F. Franceschini, G. Tassoni, C. Vas, P. Al techniques in induction machines diagnosis including the speed ripple effect, EEE Transactions on Industry Applications, vol. 34, no. 1, 1998, 98 - 108 |
[37] | Ostovic, V. A simplified approach to magnetic equivalent-circuit modeling of induction machines, IEEE Trans. Ind. Applicat, vol. 24, no. 2, 1998, 308 - 316 |
[38] | Cardoso, Aj.J.M. Cruz, S.M.A. Fonseca, D.S.B. Inter-Turn Stator Winding Fault Diagnosis in Three-Phase Induction Motors by Park's Vector Approach, IEEE Transactions on Energy Conversion, vol. 14, no. 3, 1999, 595 - 598 |
[39] | Benbouzid, M.E.H. Bibliography on Induction Motors Faults Detection and Diagnosis, IEEE Transactions on Energy Conversion, vol. 14, no. 4, 1999, 1065 - 1074 |
[40] | Bellini, F. Filippetti, G. Franceschini, G. Tassoni, C. Closed-loop control impact on the diagnosis of induction motors faults, IEEE Transactions on Industry Applications, vol. 36, no. 5, 2000, 1318 - 1329 |
[41] | Hausberg, V. Seinsch, H.O. Capacitively coupled bearing voltages and bearing currents of converter-fed induction machines, Electrical Engineering, vol. 82, no. 3 - 4, 2000, 153 - 162 |
[42] | Hausberg, V. Seinsch, H.O. Shaft voltages and circulating bearing currents of converter-fed induction machines, Electrical Engineering, vol. 82, 2000, 313 - 326 |
[43] | Hausberg, V. Seinsch, H.O. Protective provisions against bearing faults of converter-fed motors. Electrical Engineering, vol. 82, 2000, 339 - 345 |
[44] | Joksimovic, G.M. Penman, J. The detection of inter-turn short circuits in the stator windings of operating motors, EEE Trans. Ind. Electron., vol. 47, no. 5, 2000, 1078 - 1084 |
[45] | Cruz, S.M.A. Cardoso, A.J.M. Rotor Cage Fault Diagnosis in Three-Phase Induction Motors by Extended Park's Vector Approach, Electric Machines and Power Systems, vol. 28, no. 4, 2000, 289 - 299 |
[46] | Bellini, F. Filippetti, G. Franceschini, G. Tassoni, C. Kliman, G.B. Quantitative evaluation of induction motor broken bars by means of electrical signature analysis, EEE Transactions on Industry Applications, vol. 37, no. 5, 2001, 1248 - 1255 |
[47] | Cruz, S.M.A. Cardoso, A.J.M. Stator Winding Fault Diagnosis in Three-Phase Synchronous and Asynchronous Motors by the Extended Park's Vector Approach, EEE Transactions on Industry Applications, vol. 37, no. 5, 2001, 1227 - 1233 |
[48] | Stavrou, A. Sedding, H.G. Penman, J. Current monitoring for detecting intern-turn short circuits in induction motors, IEEE Trans. Energy Conversion, vol. 16, no. 1, 2001, 32 - 37 |
[49] | Bellini, F. Filippetti, G. Franceschini, G. Tassoni, C. Passaglia, R. Saottini, M. Tontini, G. Giovannini, M. Rossi, A. On-field experience with online diagnosis of large induction motors cage failures using MCSA, IEEE Transactions on Industry Applications, vol. 38, no. 4, 2002, 1045 - 1053 |
[50] | Kohler, J.L. Sottile, J. Trutt, F.C. Condition monitoring of stator windings in induction motors. I. experimental investigation of the effective negative-sequence impedance detector, IEEE Transactions on Industry Applications, vol. 38, no. 5, 2002, 1447 - 1453 |
[51] | Sottile, J. Trutt, F.C Kohler, J.L. Condition monitoring of stator windings in induction motors. II. experimental investigation of voltage mismatch detectors, IEEE Transactions on Industry Applications, vol. 38, no. 5, 2002, 1454 - 1459 |
[52] | Cruz, M.A. Cardoso, A.J.M. Diagnosis of stator interturn short circuits in DTC induction motor drives, Proc. 38th IAS Conf., Salt Lake City, 2002 |
[53] | Lee, S.B. Tallam, R.M. Habetler, T.G. A robust, on-line turn-fault detection technique for induction machines based on monitoring the sequence component impedance matrix, IEEE Transactions on Power Electronics, vol. 18, no. 3, 2003 |
[54] | Krai, C. Habetler, T.G. Harley, R.G. Pirker, F. Pascoli, G. Oberguggenberger, H. Fenz, C.J.M. A Comparison of Rotor Fault Detection Techniques with Respect to the Assessment of Fault Severity, SDEMPED'03, Atlanta, USA, 2003, 265 - 270 |
[55] | Cruz, M.A. Cardoso, A.J.M. Toliyat, H.A. New developments in the diagnosis of faults in line-connected and direct torque controlled induction motors, Proc. 29th Annual IECON '03, 2003 |
[56] | Meshgin-Kelk, H. Milimonfared, J. Toliyat, H.A. Interbar currents and axial fluxes in healthy and faulty induction motors, EEE Trans. Ind. Applicat., vol. 40, no. 1, 2004, 392 - 398 |
[57] | Bellini, F. Concari, C. Franceschini, G. Lorenzani, E. Tassoni, C. Induction drives diagnosis by signal injection technique: Effectiveness and severity classification, EEE IEMDCO'05, International Electric Machines and Drives Conference, San Antonio, TX, USA, 2005 |
[58] | Cruz, S.M.A. Cardoso, A.J.M. Multiple reference frames theory: A new method for the diagnosis of stator faults in three-phase induction motors, IEEE Transactions on Energy Conversion, vol. 20, no. 3, 2005, 611 - 619 |
[59] | Nandi, S. Toliyat, H.A. Li, X. Condition monitoring and fault diagnosis of electrical motors - a review, IEEE Transaction on Energy Conversion, vol. 20, no. 4, 2005, 719 - 729 |
[60] | Garcia, P. Briz, F. Degner, M.W. Diez, A. B. Induction machine diagnostics using the zero sequence voltage IEEE-IAS, 2005 |
[61] | Oumaamar, M.E.K. Babaa, F. Khezzar, A. Boucherma, M. Diagnostics of broken rotor bars in induction machines using the neutral voltage, ICEM'06, Chania, Greece, 2006 |
[62] | Gerads, G. Bradley, K.J. Summer, M. Weeiler, P. Pikering, S. Clare, J. Whitley, C. Towers, G. The results do mesh IEEE Industry Application Magazine, vol. 13, no. 2, 2007, 62 - 72 |
[63] | Tallam, R.M. Lee, S.B. Stone, G.C. Kliman, G.B. Yoo, J. Habetler, T.G. Harley, R.G. A survey of methods for detection of stator-related faults in induction machines, IEEE Transactions on Industry Applications, vol. 43, no. 4, 2007, 920 - 933 |
УДК 621.313.04:006.354 | | IDT |
Ключевые слова: машины электрические вращающиеся; диагностика неисправностей; трехфазный асинхронный двигатель с короткозамкнутым ротором; анализ тока и напряжения статора; измерительные витки; осевое напряжение; токи в подшипниках |