Главная // Актуальные документы // ГОСТ (Государственный стандарт)СПРАВКА
Источник публикации
М.: Стандартинформ, 2016
Примечание к документу
Текст данного документа приведен с учетом
поправки, опубликованной в "ИУС", N 7, 2022.
Документ
введен в действие с 01.01.2017.
Название документа
"ГОСТ IEC 61689-2016. Межгосударственный стандарт. Государственная система обеспечения единства измерений. Аппараты для ультразвуковой терапии. Общие требования к методикам измерения параметров акустического выхода в диапазоне частот от 0,5 до 5,0 МГц"
(введен в действие Приказом Росстандарта от 27.07.2016 N 883-ст)
"ГОСТ IEC 61689-2016. Межгосударственный стандарт. Государственная система обеспечения единства измерений. Аппараты для ультразвуковой терапии. Общие требования к методикам измерения параметров акустического выхода в диапазоне частот от 0,5 до 5,0 МГц"
(введен в действие Приказом Росстандарта от 27.07.2016 N 883-ст)
агентства по техническому
регулированию и метрологии
от 27 июля 2016 г. N 883-ст
МЕЖГОСУДАРСТВЕННЫЙ СТАНДАРТ
ГОСУДАРСТВЕННАЯ СИСТЕМА ОБЕСПЕЧЕНИЯ ЕДИНСТВА ИЗМЕРЕНИЙ
АППАРАТЫ ДЛЯ УЛЬТРАЗВУКОВОЙ ТЕРАПИИ
ОБЩИЕ ТРЕБОВАНИЯ К МЕТОДИКАМ ИЗМЕРЕНИЯ ПАРАМЕТРОВ
АКУСТИЧЕСКОГО ВЫХОДА В ДИАПАЗОНЕ ЧАСТОТ ОТ 0,5 ДО 5,0 МГц
State system for ensuring the uniformity of measurements.
Ultrasonic medical physiotherapy equipment. General
requirements for measurement methods of acoustic output
in the frequency range 0,5 MHz to 5,0 MHz
(IEC 61689:2013, Ultrasonics - Physiotherapy systems - Field
specifications and methods of measurement in the frequency
range 0,5 MHz to 5 MHz, IDT)
ГОСТ IEC 61689-2016
Дата введения
1 января 2017 года
Цели, основные принципы и основной порядок проведения работ по межгосударственной стандартизации установлены в
ГОСТ 1.0-2015 "Межгосударственная система стандартизации. Основные положения" и
ГОСТ 1.2-2015 "Межгосударственная система стандартизации. Стандарты межгосударственные, правила и рекомендации по межгосударственной стандартизации. Правила разработки, принятия, обновления и отмены"
1 ПОДГОТОВЛЕН Федеральным государственным унитарным предприятием "Всероссийский научно-исследовательский институт физико-технических и радиотехнических измерений" (ФГУП "ВНИИФТРИ") на основе собственного перевода на русский язык англоязычной версии стандарта, указанного в
пункте 5
2 ВНЕСЕН Федеральным агентством по техническому регулированию и метрологии
3 ПРИНЯТ Межгосударственным советом по стандартизации, метрологии и сертификации по переписке (протокол от 29 февраля 2016 г. N 85-П)
За принятие проголосовали
Краткое наименование страны по МК (ИСО 3166) 004-97 | Код страны по МК (ИСО 3166) 004-97 | Сокращенное наименование национального органа по стандартизации |
Армения | AM | Минэкономики Республики Армения |
Беларусь | BY | Госстандарт Республики Беларусь |
Казахстан | KZ | Госстандарт Республики Казахстан |
Киргизия | KG | Кыргызстандарт |
Россия | RU | Росстандарт |
Туркмения | TM | Главгосслужба "Туркменстандартлары" |
4
Приказом Федерального агентства по техническому регулированию и метрологии от 27 июля 2016 г. N 883-ст межгосударственный стандарт ГОСТ IEC 61689-2016 введен в действие в качестве национального стандарта Российской Федерации с 1 января 2017 г.
5 Настоящий стандарт идентичен международному стандарту IEC 61689:2013 "Ультразвук. Аппараты для физиотерапии. Характеристики поля и методы измерения в частотном диапазоне от 0,5 до 5 МГц" ("Ultrasonics - Physiotherapy systems - Field specifications and methods of measurement in the frequency range 0,5 MHz to 5 MHz", IDT)
Наименование настоящего стандарта изменено относительно наименования указанного международного стандарта для приведения в соответствие с ГОСТ 1.5
(подраздел 3.6).
Международный стандарт разработан Техническим комитетом IEC/TC 87 "Ультразвук".
При применении настоящего стандарта рекомендуется использовать вместо ссылочных международных стандартов соответствующие им межгосударственные стандарты, сведения о которых приведены в дополнительном
приложении ДА
6 ВВЕДЕН ВПЕРВЫЕ
Информация об изменениях к настоящему стандарту публикуется в ежегодном информационном указателе "Национальные стандарты", а текст изменений и поправок - в ежемесячном информационном указателе "Национальные стандарты". В случае пересмотра (замены) или отмены настоящего стандарта соответствующее уведомление будет опубликовано в ежемесячном информационном указателе "Национальные стандарты". Соответствующая информация, уведомление и тексты размещаются также в информационной системе общего пользования - на официальном сайте Федерального агентства по техническому регулированию и метрологии в сети Интернет.
Настоящий стандарт распространяется на аппараты для ультразвуковой терапии, генерирующие ультразвуковые синусоидальные непрерывные или тонально-импульсные колебания в частотном диапазоне от 0,5 до 5,0 МГц.
Стандарт распространяется только на аппараты для ультразвуковой терапии, лечебная головка которых изготовлена с применением одиночного плоского круглого преобразователя, излучающего статический (неизменный в пространстве) пучок перпендикулярно поверхности лечебной головки.
Настоящий стандарт устанавливает:
- методы измерения и способы представления информации о выходных характеристиках аппаратов для ультразвуковой терапии, базирующихся на методах испытаний типа;
- перечень технических характеристик, которые должны быть указаны изготовителем в эксплуатационной документации;
- указания по мерам безопасности при использовании аппаратов для ультразвуковой терапии;
- методы измерения и способы предоставления информации о выходных характеристиках аппаратов для ультразвуковой терапии, базирующихся на результатах испытаний продукции при выпуске ее из производства;
- критерии годности продукции по параметрам акустического выхода, полученным по результатам испытаний при выпуске ее из производства.
Методики применения аппаратов для ультразвуковой терапии и параметры ультразвукового воздействия, назначаемые при лечении, в настоящем стандарте не рассматриваются.
В настоящем стандарте использованы ссылки на следующие международные стандарты. В случае датированных ссылок следует применять только указанные стандарты, для недатированных ссылок - последнее издание ссылочного стандарта (включая любые поправки).
IEC 60601-1 Medical electrical equipment - Part 1: General requirements for basic safety and essential performance (Изделия медицинские электрические. Часть 1. Общие требования к безопасности и основным техническим характеристикам)
IEC 60601-2-5 Medical electrical equipment - Part 2-5: Particular requirements for basic safety and essential performance of ultrasonic physiotherapy equipment (Изделия медицинские электрические. Часть 2-5. Частные требования безопасности к аппаратам для ультразвуковой терапии)
IEC 61161:2013 Ultrasonics - Power measurement - Radiation force balances and performance requirements (Ультразвук. Измерение мощности. Системы уравновешивания радиационной силы и требования к исполнению)
IEC 62127-1:2007 Ultrasonics - Hydrophones - Part 1: Measurement and characterization of medical ultrasonic fields up to 40 MHz, Amendment 1:2013 (Ультразвук. Гидрофоны. Часть 1. Измерения и описание медицинских ультразвуковых полей на частотах до 40 МГц с использованием гидрофонов)
В настоящем стандарте применены следующие термины с соответствующими определениями:
3.1 абсолютный максимум номинальной выходной мощности (absolute maximum rated output power), Вт: Сумма значений номинальной выходной мощности, расширенной неопределенности ее оценки при доверительной вероятности, равной 95%, и максимального увеличения номинальной выходной мощности при изменении напряжения сети питания на +/- 10% от номинального.
Примечание - Возможное изменение номинальной выходной мощности при изменении напряжения питания на +/- 10% от номинального рекомендуется проверять с помощью трансформатора, включаемого между сетью питания и аппаратом для ультразвуковой терапии (см.
раздел A.2 приложения A).
3.2 коэффициент линейной регрессии (active area coefficient) Q, м-1: Частное от деления градиента линейной регрессии m на площадь поперечного сечения пучка, измеренную на расстоянии 0,3 см от поверхности лечебной головки ABCS(0,3).
3.3 градиент линейной регрессии (active area gradient) m, м: Градиент линейной регрессии, соответствующий зависимости площади поперечного сечения пучка от расстояния и определяемый по двум плоскостям, отстоящим от поверхности лечебной головки на 0,3 см - ABCS(0,3) и на расстояние до точки нахождения последнего осевого максимума акустического давления ABCS(ZN).
3.4 абсолютный максимум коэффициента неоднородности пучка (absolute maximum beam non-uniformity ratio): Коэффициент неоднородности пучка плюс значение расширенной неопределенности его определения при доверительной вероятности, равной 95%.
3.5 абсолютный максимум эффективной интенсивности (absolute maximum effective intensity): Значение эффективной интенсивности, соответствующее абсолютному максимуму номинальной выходной мощности и абсолютному минимуму эффективной площади излучения.
3.6 абсолютный минимум эффективной площади излучения (absolute minimum effective radiating area): Эффективная площадь излучения минус расширенная неопределенность ее измерения при доверительной вероятности, равной 95%.
3.7 акустическая частота, частота акустического воздействия (acoustic frequency, acoustic-working frequency) fawf, Гц: Частота акустического сигнала, наблюдаемого по электрическому сигналу на выходе гидрофона, установленного в определенной точке акустического поля, соответствующей пространственному и временному пику акустического давления.
[IEC 62127-1]
Примечания
1 Сигнал анализируют путем нахождения частоты акустического воздействия "по нулевым точкам" или с помощью спектрального анализа. Параметры, характеризующие частоту акустического воздействия, определены в 3.7.1 и
3.7.2.
2 В большинстве случаев это определение не очень удобно, особенно для широкополосных преобразователей. В этом случае для выявления какой-либо поправки, зависящей от частоты, рекомендуется приводить полное описание частотного спектра.
3.7.1 среднеарифметическая частота акустического воздействия (arithmetic-mean acoustic-working frequency) fawf: Среднее арифметическое значение наиболее удаленных друг от друга частот f1 и f2, лежащих в диапазоне, равном 3f1, на которых амплитуда спектра акустического давления снижается на минус 3 дБ относительно пикового значения.
Примечания
1 Данное определение применимо только для импульсно-волновых систем.
2 Подразумевается, что f1 < f2.
3 Если значение f2 в диапазоне < 3f1 не найдено, то за f2 следует принять самую нижнюю частоту выше верхней границы диапазона, для которой амплитуда спектра становится на 3 дБ ниже пиковой амплитуды.
3.7.2 частота акустического воздействия "по нулевым точкам" (zero-crossing acoustic-working frequency)
fawf: Число
n следующих друг за другом полупериодов (независимо от их полярности), деленное на удвоенный промежуток времени между началом первого полупериода и концом
n-го полупериода.
[IEC 62127-1]
Примечания
1 Ни один из n следующих друг за другом полупериодов не должен иметь признаков фазовых изменений.
2 Измерения рекомендуется проводить на выводах приемника, расположенных как можно ближе к приемному преобразователю (гидрофону) и обязательно до детектирования сигнала.
3 Данную частоту определяют в соответствии с методикой, приведенной в IEC/TR 60854 (см.
дополнение к библиографии).
4 Это определение применимо только для систем с непрерывноволновым излучением.
3.8 форма акустического импульса (acoustic pulse waveform): Зависимость мгновенного акустического давления от времени в определенной точке акустического поля, представленная в достаточно длительном промежутке времени, чтобы включить всю существенную информацию об одиночном или тональном импульсе, а также об одном или нескольких периодах непрерывной волны.
[IEC 62127-1]
Примечание - Волновую форму представляют зависимостью акустического давления от времени (например, в виде уравнения или линии на осциллографе).
3.9 период акустического повторения (acoustic repetition period) arp, с: Период повторения импульсов, равный интервалу времени между соответствующими точками двух следующих друг за другом периодов тональных импульсов.
[IEC 62127-1]
3.10 волна, модулированная по амплитуде (amplitude modulated wave): Волна, для которой отношение

в некоторой точке дальнего поля на оси распространения пучка больше 1,05, где
pp - временной пик акустического давления, а
prms - среднеквадратическое (эффективное) значение акустического давления.
3.11 насадка (attachment head): Принадлежность, соединяемая с лечебной головкой для изменения характеристик ультразвукового пучка.
[IEC 60601-2-5]
3.12 ось распространения пучка (beam alignment axis): Прямая линия, соединяющая две точки пространственных и временных максимумов акустического давления на двух плоскостях, параллельных поверхности лечебной головки. Одна плоскость находится на расстоянии приблизительно

, где
AERN - номинальное значение эффективной площади излучения лечебной головки;

- длина волны ультразвука, соответствующая номинальному значению частоты акустического воздействия. Вторая плоскость находится на расстоянии

или

- в зависимости от того, какая из них более приемлема для измерений. Для упрощения юстировки эту линию можно продлить до рабочей поверхности лечебной головки.
Примечания
1 Если номинальное значение эффективной площади излучения не известно, то для определения оси распространения пучка может быть использована другая подходящая величина, например площадь активного элемента ультразвукового преобразователя.
2 Так как понятие оси распространения пучка используют только для юстировки, то установление определенных расстояний может быть не столь строгим и может учитывать возможности измерительной системы. Например, для некоторых лечебных головок

значительно превышает 12 см, и в этом случае для определения первой плоскости можно использовать максимальное расстояние - 12 см. Общие рекомендации для определения оси распространения пучка даны в
7.3.
3.13 площадь поперечного сечения пучка (beam cross-sectional area) ABCS, см2: Минимальная площадь в определенной плоскости, перпендикулярной оси распространения пучка, для которой сумма средних квадратов акустического давления составляет 75% от полной суммы средних квадратов акустического давления.
Примечание - Пояснения, касающиеся этого определения, приведены в
приложении D.
3.14 максимальная интенсивность в пучке (beam maximum intensity), Вт/м2: Произведение коэффициента неоднородности пучка и эффективной интенсивности.
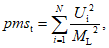
3.15 коэффициент неоднородности пучка (beam non-uniformity ratio) RBN: Отношение квадрата максимума среднеквадратического значения акустического давления к усредненному по пространству значению квадратов среднеквадратического значения акустического давления, причем пространственное усреднение выполняют по эффективной площади излучения. Коэффициент неоднородности пучка рассчитывают по формуле

(1)
где pmax - максимум среднеквадратического значения акустического давления;
AER - эффективная площадь излучения;
pmst - полная сумма средних квадратов акустического давления;
A0 - единичная площадь при растровом сканировании.
3.16 тип пучка (beam type): Описательная классификация ультразвукового пучка, предусматривающая наличие трех его типов: коллимированного, сходящегося или расходящегося.
3.17 непрерывная волна (continuous wave): Волна, для которой отношение

в определенной точке дальнего поля на оси распространения пучка меньше или равно 1,05, где
pp - временной пик акустического давления, а
prms - среднеквадратическое (эффективное) значение акустического давления.
3.18 коллимированный (collimated): Тип пучка, для которого коэффициент линейной регрессии Q удовлетворяет следующему неравенству:
-0,05 см-1 <= Q <= 0,10 см-1.
3.19 сходящийся (convergent): Тип пучка, для которого коэффициент линейной регрессии Q удовлетворяет следующему неравенству:
Q < -0,05 см-1.
3.20 расходящийся (divergent): Тип пучка, для которого коэффициент линейной регрессии Q удовлетворяет следующему неравенству:
Q > 0,10 см-1.
3.21 коэффициент заполнения (duty factor): Отношение длительности импульса к периоду повторения импульсов.
3.22 эффективная интенсивность (effective intensity)
Ie, Вт/м
2: Интенсивность, определяемая как
Ie =
P/
AER, где
P - выходная мощность, а
AER - эффективная площадь излучения.
3.23 эффективная площадь излучения (effective radiating area) AER, м2: Площадь поперечного сечения пучка, определяемая на расстоянии 0,3 см от рабочей поверхности лечебной головки ABCS(0,3), умноженная на безразмерный коэффициент Fac, задаваемый как
Fac = 1,333. (2)
Примечание - Коэффициент преобразования
Fac использован здесь для вычисления площади вблизи лечебной головки, включающей 100% полной суммы средних квадратов акустического давления. Обоснование значения
Fac приведено в
приложении E и в
[1],
[2].
3.24 чувствительность гидрофона на конце кабеля под нагрузкой (end-of-cable loaded sensitivity of a hydrophone)
ML(
f), В/Па: Отношение мгновенного значения напряжения гидрофона на выходе совмещенного с ним кабеля или соединителя, нагруженного на определенный электрический импеданс, к мгновенному значению акустического давления в невозмущенном свободном поле плоской волны в точке опорного центра гидрофона в предположении, что гидрофон отсутствует (см. IEC 62127-3 в
дополнении к библиографии).
3.25 дальнее поле (far field): Область поля вдоль оси пучка плоских нефокусирующих преобразователей, для которой выполнено условие z > zT.
Примечания
1 В дальнем поле звуковое давление имеет сферическое расхождение от точки, находящейся на излучающей поверхности или вблизи нее. Поэтому давление, излучаемое источником звука, приблизительно обратно пропорционально расстоянию от него.
2 Термин "дальнее поле" используют в настоящем стандарте только для нефокусирующих преобразователей. Для фокусирующих преобразователей применяют различные термины для разных участков генерируемого ими поля (см. IEC 61828 в
дополнении к Библиографии).
3 Для применений этого стандарта дальнее поле начинается на расстоянии

, где
AERN - номинальное значение эффективной площади излучения лечебной головки;

- длина ультразвуковой волны, соответствующая частоте акустического воздействия.
3.26 гидрофон (hydrophone): Устройство, преобразующее акустические сигналы, распространяющиеся в водной среде, в электрические сигналы (см. IEC 60050 (801) в
дополнении к библиографии).
3.27 мгновенное акустическое давление (instantaneous acoustic pressure)
p(
f), Па: Разность между давлением, существующим в определенной точке акустического поля и в определенный момент времени, и статистическим шумовым давлением среды (см. IEC 60050 (801) в
дополнении к библиографии).
3.28 максимальное значение среднеквадратического акустического давления (maximum rms acoustic pressure) pmax, Па: Максимальное значение среднеквадратического акустического давления во всем акустическом поле, измеренное гидрофоном.
3.29 средний квадрат акустического давления (mean square acoustic pressure), Па2: Среднее значение квадратов мгновенных значений акустического давления в определенной точке акустического поля. Усреднение проводят по суммарному числу периодов акустического повторения.
Примечание - На практике среднее значение вычисляют, как правило, по результатам измерений среднеквадратических rms значений.
3.30 форма модуляции (modulation waveform): Временная зависимость огибающей модулированной по амплитуде волны в точке, соответствующей пику среднеквадратичного акустического давления на оси распространения пучка, наблюдаемая за достаточно длительный период, чтобы включить всю значимую акустическую информацию в модулированной по амплитуде волне.
3.31 выходная мощность (output power) P, Вт: Усредненная во времени ультразвуковая мощность, излучаемая лечебной головкой аппарата для ультразвуковой терапии в свободном (или близком к свободному) поле при определенных условиях в определенной среде, преимущественно в воде.
[IEC 61161]
3.32 пиковое значение среднеквадратичного акустического давления (peak rms acoustic pressure), Па: Максимальное значение среднеквадратичного акустического давления, измеренное гидрофоном в определенной области, линии или плоскости в акустическом поле.
3.33 длительность импульса (pulse duration), с: Интервал времени, начиная от первого мгновения, когда амплитуда давления превосходит некоторое опорное значение, и заканчивая временем возвращения амплитуды давления к этому значению. Опорное значение равно сумме амплитуды минимума давления и 10% разности амплитуд максимального и минимального давлений.
Примечание - Это определение отличается от приведенного в IEC 62127-1 при неполной модуляции.
3.34 период повторения импульсов (pulse repetition period) prp, с: Интервал времени между двумя эквивалентными точками следующих друг за другом простых или тонально заполненных импульсов.
3.35 частота повторения импульсов (pulse repetition rate) prr, Гц: Величина, обратная периоду повторения импульсов.
[IEC 60469-1]
Примечание - Частота повторения импульсов равна частоте повторения модулированной по амплитуде волны.
3.36 номинальная выходная мощность (rated output power), Вт: Максимальное значение выходной мощности аппаратов для ультразвуковой терапии при номинальном значении напряжения питания и при установке органов управления на максимальную выходную мощность.
3.37 среднеквадратическое (эффективное) акустическое давление (rms acoustic pressure) prms, Па: Квадратный корень из среднего квадрата акустического давления в определенной точке акустического поля.
Примечание - Усреднение рекомендуется проводить по всем периодам акустического повторения, если не указано иное.
[IEC 62127-1]
3.38 пик-пространственное, пик-временное акустическое давление (пространственный и временной пик акустического давления) (spatial-peak temporal-peak acoustic pressure) psptp, Па: Наибольшее из значений модуля максимального акустического давления сжатия или разрежения.
[IEC 62127-1]
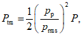
3.39 временной максимум выходной мощности (temporal-maximum output power) Ptm, Вт: Для модулированной по амплитуде волны временной максимум выходной мощности вычисляют по формуле

(3)
где P - действительное значение выходной мощности для модулированной по амплитуде волны;
pp - временной пик акустического давления;
prms - действительное значение среднеквадратичного акустического давления.
Значения pp и prms измеряют в одних и тех же режимах модуляции и в одной и той же точке на оси распространения пучка.
3.40 полная сумма средних квадратов акустического давления (total mean square acoustic pressure) pmst, Па2: Сумма значений средних квадратов акустического давления, каждый из которых взят в определенной единичной площади в определенной плоскости и с определенными пределами суммирования.
3.41 временной максимум интенсивности (temporal-maximum intensity) Im, Вт/м2: Для модулированной по амплитуде волны временной максимум интенсивности вычисляют по формуле

(4)
где Ptm - временной максимум выходной мощности;
AER - эффективная площадь излучения.
3.42 временной пик акустического давления (temporal-maximum acoustic pressure) ptp, Па; Максимальное значение модуля мгновенного акустического давления в определенной точке акустического поля.
[IEC 62127-1]
3.43 лечебная головка (treatment head): Устройство, состоящее из одного или нескольких ультразвуковых преобразователей и связанных с ними частей для местного воздействия ультразвуком на пациента.
[IEC 60601-2-5]
3.44 ультразвуковой преобразователь (ultrasonic transducer): Устройство, преобразовывающее электрическую энергию в механическую энергию и/или наоборот в ультразвуковом диапазоне частот.
[IEC 62127-1]
3.45 ультразвук (ultrasound): Акустические колебания, частота которых лежит выше верхнего предела слышимого звука (т.е. выше 20 кГц) (см. IEC 60050 (802) в
дополнении к библиографии).
3.46 аппарат для ультразвуковой терапии (ultrasonic physiotherapy equipment): Оборудование для генерирования ультразвука и воздействия им на пациента с терапевтическими целями.
[IEC 60601-5-2]
4 Обозначения и сокращения
a - геометрический радиус активного элемента лечебной головки;
ABCS - площадь поперечного сечения пучка;
ABCS(0,3) - площадь поперечного сечения пучка, оцениваемая на расстоянии 0,3 см от фронтальной поверхности лечебной головки;
ABCS(zN) - площадь поперечного сечения пучка, оцениваемая в точке последнего осевого максимума zN;
AER - эффективная площадь излучения лечебной головки;
AERN - номинальное значение эффективной площади излучения лечебной головки;
ag - геометрический радиус активного элемента гидрофона;
Ag - геометрическая площадь поверхности лечебной головки;
amax - максимальный эффективный радиус гидрофона по IEC 62127-3;
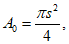
A0 - единичная площадь растрового сканирования;
arp - период акустического повторения;
b - минимальный радиус мишени для измерения радиационной силы;
c - скорость звука в воде;
ERD - снижение отражений;
fawf - частота акустического воздействия;
Fac - коэффициент преобразования для приведения ABCS(0,3) к AER;
Ie - эффективная интенсивность;
Im - временной максимум интенсивности;

- волновое число;
m - градиент линейной регрессии;
ML - чувствительность на конце кабеля гидрофона под нагрузкой;
P - выходная мощность лечебной головки;
Ptm - временной максимум выходной мощности;
pp - временной пик акустического давления;
psptp - пространственный и временной пик акустического давления;
pmax - максимальное значение среднеквадратического давления;
prms - среднеквадратическое акустическое давление;
pmst - полная сумма средних квадратов акустического давления;
pmst(z) - полная сумма средних квадратов акустического давления, определенных в заданной плоскости z;
prp - период повторения импульсов;
prr - частота повторения импульсов;
Q - коэффициент линейной регрессии;
R - отношение пикового значения среднеквадратичного акустического давления к среднеквадратическому акустическому давлению, усредненному по площади поперечного сечения пучка в заданной плоскости;
RBN - коэффициент неоднородности пучка;
s - размер шага растрового сканирования;
s(z) - размер шага растрового сканирования в заданной плоскости z;
sn - нормированная дистанция от поверхности преобразователя до какой-либо определенной точки на оси распространения пучка;
U - напряжение на конце кабеля гидрофона;
Ui - сигнал с гидрофона в i-й точке сканирования;
Up - максимальное значение сигнала с гидрофона;
z - расстояние от передней поверхности лечебной головки до какой-либо определенной точки на оси распространения пучка;
zj - расстояние от передней поверхности лечебной головки до выбранной плоскости измерений (перпендикулярной к оси распространения пучка);
zN - расстояние от передней поверхности лечебной головки до последнего осевого максимума;
zp - расстояние от передней поверхности лечебной головки до точки с пиковым значением среднеквадратичного акустического давления;

- длина ультразвуковой волны;

- плотность среды распространения ультразвука.
Указанные в настоящем стандарте неопределенности результатов измерений соответствуют доверительной вероятности P = 95%.
5 Характеристики ультразвукового поля
Дополнительно к общим требованиям, определенным в IEC 60601-1, и частным требованиям, определенным в IEC 60601-2-5, для каждого типа лечебной головки в сопроводительной документации изготовителем должны быть указаны значения следующих параметров:
- номинальная выходная мощность (+/- 20%);
- эффективная площадь излучения AERN лечебной головки (+/- 20%);
- эффективная интенсивность при той же самой установке органов управления, что и для номинальной выходной мощности (+/- 30%);
- частота акустического воздействия (+/- 10%);
- коэффициент неоднородности пучка RBN (+/- 30%);
- максимальная интенсивность в пучке (+/- 30%);
- тип пучка;
- длительность импульса, периода повторения импульсов, коэффициента заполнения и отношения временного максимума выходной мощности к выходной мощности для каждого режима модуляции (+/- 5%);
- форма модуляции для каждого режима модуляции.
В скобках даны значения допустимых пределов разбросов параметров по результатам измерений при испытаниях типа, рассмотренных в
разделе 7, или при обычных испытаниях, указанных в
разделе 8. Если требования к указанным пределам не могут быть выполнены, то в результатах испытаний следует указывать иную оценку неопределенности при доверительной вероятности, равной 95%. Должно быть также указано, что полученные значения находятся в пределах допусков таким образом, что и "наихудшие" значения параметров не выходят за эти пределы, что соответствует IEC 60601-2-5 и указаниям, приведенным в
приложении A.
Для параметров, оговоренных выше, должен быть установлен диапазон рабочих температур. Должен быть также указан диапазон напряжения сетевого питания.
Если в аппарате для ультразвуковой терапии использована лечебная головка, способная работать более чем при одном номинальном значении частоты акустического воздействия, то перечисленные выше параметры должны быть указаны для каждого номинального значения частоты акустического воздействия.
Если в аппарате для ультразвуковой терапии использована лечебная головка с насадками, то перечисленные выше параметры должны быть указаны для каждой комбинации лечебной головки и насадки.
Примечание - Настоящий стандарт не содержит требований, относящихся к безопасности: они изложены в IEC 60601-2-5. Тем не менее указания по основным характеристикам и безопасности оборудования можно найти в
приложении A.
6 Условия проведения измерений и средства испытаний
Все измерения необходимо выполнять в условиях, приближенных к свободному полю, при температуре (22 +/- 3) °C.
Если измерения выполняют при другой температуре, то должны быть проведены испытания, подтверждающие, что результаты, полученные в соответствии с
7.6 и
8.6, не зависят от температуры, при которой проводят испытания.
Для измерений ультразвуковой мощности в соответствии с
7.2 следует применять дегазированную воду. Использование дегазированной воды при измерениях с гидрофоном по
7.3 не обязательно.
Примечание - Дегазированная вода необходима для предотвращения кавитации, когда аппарат для ультразвуковой терапии работает в режиме максимальной (или близкой к максимальной) выходной мощности. Информацию о подготовке воды, пригодной для испытаний аппаратов для ультразвуковой терапии, можно найти в IEC 61161 и в
[3].
Все измерения рекомендуется проводить после соответствующего прогрева аппаратуры, время которого устанавливает изготовитель. Если такой период не установлен, то следует применять 30-минутный прогрев.
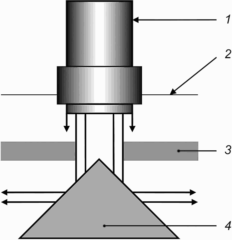
6.2 Измерительный резервуар
Измерительный бак, используемый для измерений с гидрофонами, должен иметь достаточные размеры, чтобы разместить в нем гидрофон и лечебную головку. Размеры бака должны удовлетворять требованиям IEC 62127-1.
Необходимо точно отрегулировать относительное положение и угловую ориентацию лечебной головки и гидрофона для их установки в соответствии с IEC 62127-1. Для выполнения этих установок должен быть обеспечен полный набор степеней свободы этих перемещений или, по меньшей мере, три независимых степени поперечных перемещений головки или гидрофона. Для создания условий свободного поля может оказаться необходимым покрыть стенки бака, а также держатели головки и гидрофона поглощающим материалом или расположенными под углом отражателями и поглотителями с хорошим поглощением и малым рассеянием. Чтобы обеспечить условия свободного поля, необходимо снизить общий уровень отражений не менее чем на 25 дБ. Для проверки эффективности снижения отражений при применении поглощающих или рассеивающих материалов можно использовать различные методы. Далее приведен один из примеров такой проверки.
Пример - Снижение отражения от акустического поглотителя можно проверить, используя следующую процедуру. Отраженный от поглотителя, расположенного в дальнем поле отдельно возбуждаемого преобразователя сигнал измеряют на частоте акустического воздействия испытуемой лечебной головки с использованием импульсов, заполненных ультразвуковой частотой. Сигнал с гидрофона Uabsorber (среднеквадратичный или пиковый), принимаемый после отражения от фронтальной поверхности акустического поглотителя, сравнивают с сигналом, отраженным от плоского (совершенного) отражателя Ureflector. Поглотитель и отражатель должны быть расположены под небольшим углом от нормали к оси распространения пучка и вблизи от нее так, чтобы отраженный сигнал мог попасть на гидрофон. Снижение отражения вычисляют по формуле
ERD = - 20log10[Uabsorber/Ureflector]. (5)
Для хорошей аппроксимации полного отражения может быть использован отражатель из стали толщиной не менее 25 мм.
Соответствие конструкции измерительного бака условиям свободного поля контролируют по неизменности произведения pmst s2 (7.4.6) после завершения измерений, рассмотренных в разделе 7.
Примечание - Для некоторых лечебных головок падающий на головку ультразвуковой сигнал, когерентно отраженный от поглотителей с гладкой плоской поверхностью, может изменять измеряемую выходную мощность. В этих случаях для обеспечения условий свободного поля следует использовать акустические поглотители с неровной поверхностью.
Для измерения эффективной площади излучения следует использовать зондовые гидрофоны с активным элементом из поливинилиденфторида (ПВДФ) или пьезокерамики (ЦТС). Для обеспечения требуемой точности измерений сигнал с гидрофона можно усиливать. Максимальное значение эффективного радиуса гидрофона amax, используемого для измерений, должно быть таким, чтобы

(6)
Примечания
1 Более полную информацию об использовании гидрофона можно найти в IEC 62127-1.
2 Влияние эффективного радиуса гидрофона на измерения рассмотрено в
приложении H.
6.4 Измерения среднеквадратичных или пиковых значений сигнала
Измеряемое на выходном разъеме кабеля напряжение U гидрофона должно соответствовать мгновенному акустическому давлению p как
p = U/ML, (7)
где ML - чувствительность на конце кабеля гидрофона под нагрузкой.
Однако на практике для анализа результатов относительных измерений с помощью гидрофона, рассматриваемых в настоящем стандарте, не требуется знать абсолютных значений акустического давления.
Для удобства последующего изложения под акустическим давлением будем подразумевать среднеквадратичное акустическое давление, хотя измерения могут быть выполнены с получением как среднеквадратичных, так и пиковых значений.
Примечание - Так как искажения, вызванные эффектами нелинейного распространения, как правило, пренебрежимо малы, то пиковые значения акустического давления пропорциональны среднеквадратичным. Поэтому можно измерять как среднеквадратичные, так и пиковые акустические давления.
Должна быть также определена линейность сигнала на выходе комбинации гидрофона или гидрофона с предварительным усилителем и среднеквадратичного или пикового детектора, и при необходимости в результаты измерения необходимо ввести поправку на нелинейность.
В этом случае линейность проверяют с помощью ультразвукового преобразователя, работающего в режиме тональных импульсов, при измерении принимаемого гидрофоном или измерительной системой в целом сигнала как функции прикладываемого к ультразвуковому преобразователю возбуждающего напряжения.
7 Методы измерений, рекомендуемые при испытаниях типа
Для определения параметров, приведенных в
7.5, при испытаниях типа следует применять процедуры, указанные в
7.2 -
7.4.
Если в аппарате для ультразвуковой терапии предусмотрено управление акустическим выходом ультразвукового преобразователя в зависимости от изменения акустического импеданса среды распространения, то при измерениях функция такого управления должна быть выключена.
7.2 Номинальная выходная мощность
Выходную мощность аппаратов для ультразвуковой терапии следует измерять в соответствии с IEC 61161. Номинальная выходная мощность должна быть определена при настройке органов управления на максимальную выходную мощность. Во избежание кавитации в измерительной системе следует применять дегазированную воду. Расширенная неопределенность измерений, выполняемых в соответствии с государственной поверочной схемой, определяемая при доверительной вероятности, равной 95%
(9.1), не должна превышать +/- 15%. Абсолютный максимум номинальной выходной мощности должен быть определен из суммы номинальной выходной мощности и расширенной неопределенности измерения среднего значения номинальной выходной мощности, а также максимального превышения этой мощности при изменении напряжения питания сети на +/- 10% от номинального значения. См.
приложение F.
Лечебная головка должна быть установлена в измерительный бак в соответствии с указаниями, приведенными в
разделе 6.
Известно, что некоторые лечебные головки излучают асимметричные пучки. В этих случаях лечебная головка должна иметь маркировку на корпусе, указывающую направление, сканирование по которому даст максимальное отклонение площади поперечного сечения пучка от среднего значения, определенного сканированием в обеих плоскостях. Одна из осей перемещения гидрофона должна быть параллельна маркированному направлению (см.
7.4.3).
Во избежание кавитации все измерения эффективной площади излучения следует проводить с оборудованием, настроенным на режим непрерывной волны с интенсивностью, меньшей 0,5 Вт/см2. Рекомендуется, чтобы для лечебных головок с ka <= 20 интенсивность не превышала 0,2 Вт/см2. Поэтому использование дегазированной воды в этих измерениях не обязательно, хотя все же необходимо убедиться в отсутствии воздушных пузырьков на поверхности гидрофона и лечебной головки.
Примечания
1 Измерения площади поперечного сечения пучка проводят при низких значениях мощности, чтобы не повредить используемый гидрофон. Правомерность экстраполяции этих значений на уровни высокой мощности, типичные для терапевтических воздействий, рассмотрена в
приложении G.
2 Лечебные головки с a <= 10 мм, по сравнению с головками больших размеров при тех же самых режимах работы, генерируют поле с более высокими уровнями временных пиков акустического давления. Для лечебных головок с частотой акустического воздействия 1 МГц и меньше это повышает риск возникновения кавитации. По этой причине для головок с малыми значениями ka и рекомендован верхний предел интенсивности 0,2 Вт/см2.
Для снижения возможного влияния акустических отражений на принимаемый гидрофоном сигнал допускается проводить измерения на аппарате для ультразвуковой терапии, работающем в импульсном режиме. В этом случае рекомендуется убедиться в том, что измеряемые параметры модулированной по амплитуде волны эквивалентны параметрам, получаемым в режиме непрерывной волны. При этом рекомендуется оценить влияние режима тональных импульсов на неопределенность измерения номинальных параметров, перечисленных в
разделе 5.
Ось распространения пучка лечебной головки следует устанавливать в соответствии с IEC 62127-1. Расстояние до второй плоской поверхности
(3.12) первоначально выбирают сначала равным

. Если при этом не удается найти отдельный пик или нельзя приблизиться на эту дистанцию, то рекомендуется выбрать большее расстояние, равное

. Если это расстояние слишком большое, то для определения оси распространения пучка выбирают другую измерительную плоскость, существенно дальше отстоящую от первой. После такой юстировки должна быть исследована осевая зависимость давления, при этом следует найти расстояние до плоскости максимума среднеквадратичного акустического давления
zp и до точки последнего максимума
zN на этой оси.
Размер шага при осевом зондировании, как правило, рекомендуется выбирать в пределах от 0,5 до 1,0 мм, и он не должен превышать 2,0 мм.
Частоту акустического воздействия следует определять с помощью гидрофона на расстоянии zp от лечебной головки.
Гидрофоном, расположенным в этой же точке, определяют также длительность импульса, период повторения импульсов и коэффициент заполнения, при этом для различных режимов модуляции должна быть записана и форма модуляции. Для каждого режима модуляции необходимо определять частное от деления временного пика акустического давления на среднеквадратичное акустическое давление. Временной максимум выходной мощности определяют из значения выходной мощности, полученного в
7.2.
7.4 Эффективная площадь излучения
7.4.1 Эффективную площадь излучения
AER лечебной головки следует определять путем растрового сканирования в акустическом поле в плоскости, перпендикулярной оси распространения пучка, с помощью гидрофона на расстоянии 0,3 см от фронтальной поверхности лечебной головки. По измеренной таким образом площади поперечного сечения пучка
ABCS вычисляют эффективную площадь излучения. Основные требования к растровому сканированию приведены в
B.1 и
B.2 приложения B. Процедура измерений и анализа результатов изложена в
7.4.2 -
7.4.7. При соблюдении нормальных условий испытаний неопределенность измерения эффективной площади излучения составляет +/- 10% при доверительной вероятности, равной 95%.
При определении коэффициента неоднородности пучка RBN в нормальных условиях испытаний можно получить неопределенность результатов, меньшую +/- 15%, при доверительной вероятности, равной 95%.
7.4.2 Для определения максимума среднеквадратичного акустического давления
pmax в акустическом поле гидрофон, установленный на расстоянии
zp, перемещают в плоскости, перпендикулярной оси распространения пучка.
Для этого можно использовать автоматическое растровое сканирование или перемещение гидрофона вручную в ограниченной области акустического поля.
7.4.3 Площадь поперечного сечения пучка следует определять на расстоянии 0,3 см от рабочей поверхности лечебной головки и в точке
zN, соответствующей последнему осевому максимуму. Анализ результатов растрового сканирования следует проводить в соответствии с
B.3 приложения B. В результате получают значения площади поперечного сечения пучка
ABCS(0,3) и
ABCS(
zN), а также полную сумму средних квадратов акустического давления
pmst в каждой измерительной плоскости.
7.4.4 Следует определить градиент линейной регрессии m и коэффициент линейной регрессии Q
[Q = m/ABCS(0,3)].
7.4.5 Тип пучка следует определять:
| из Q > 0,1 см-1 - расходящийся; |
| -0,05 см-1 <= Q <= 0,1 см-1 - коллимированный; (8) |
| Q < -0,05 см-1 - сходящийся. |
7.4.6 Эффективную площадь излучения
AER лечебной головки следует определять:
из AER = FacABCS(0,3) = 1,333ABCS(0,3). (9)
Примечание - Исследования показывают, что для лечебных головок с малыми значениями ka при линейной экстраполяции результатов сканирования по четырем плоскостям могут иметь место физически невозможные значения эффективной площади излучения. Приведенный выше анализ, при котором эффективную площадь излучения определяют по измерениям в одной плоскости на расстоянии 0,3 см от выходной стороны лечебной головки, обеспечивает более достоверные данные.
7.4.7 Коэффициент неоднородности пучка
RBN следует вычислять:
из

(10)
где

(11)
Примечание - Хотя pmax и pmst являются параметрами акустического давления и квадрата акустического давления, однако для определения RBN используют только их отношение, поэтому знания чувствительности гидрофона на конце кабеля под нагрузкой не требуется.
Произведение pmsts2 является характеристикой акустической мощности, вычисляемой суммированием значений квадратов давления по площади растрового сканирования в плоскости, отстоящей на 0,3 см от лечебной головки, и в плоскости zN. В идеале оно будет неизменным при увеличении расстояния от лечебной головки.
7.4.8 Процедуры, изложенные в
7.4.1 -
7.4.7, соответствуют измерениям на одной лечебной головке. После измерений, проведенных на группе лечебных головок, отобранных в соответствии с требованиями
9.1, должны быть определены средние значения различных параметров, перечисленных в 7.5.
7.5 Параметры, определяемые при испытаниях типа
При испытаниях типа должны быть определены и запротоколированы следующие параметры:
- номинальная выходная мощность;
- эффективная площадь излучения AER лечебной головки;
- эффективная интенсивность Ie при том же самом положении органов управления, что и при измерении номинальной выходной мощности;
- частота акустического воздействия f;
- расстояние zp от фронтальной поверхности лечебной головки до пика среднеквадратичного давления;
- коэффициент неоднородности пучка RBN;
- тип пучка;
- длительность импульса, период повторения импульса и коэффициент заполнения для каждого режима модуляции;
- форма модуляции для каждого режима модуляции.
Примечание - Этот набор параметров может быть использован при записи характеристик одиночного образца аппарата для ультразвуковой терапии.
Эти значения должны быть средними, базирующимися на отборе образцов, оговоренном в
9.1. Методами, изложенными в
приложении J, должна быть также определена расширенная неопределенность измерений при доверительной вероятности, равной 95%.
Кроме того, для некоторых параметров должны быть определены абсолютные максимумы или абсолютные минимумы:
- абсолютный минимум эффективной площади излучения должен быть вычислен вычитанием расширенной неопределенности измерения эффективной площади излучения (при доверительной вероятности, равной 95%) из среднего значения эффективной площади излучения;
- абсолютный максимум коэффициента неоднородности пучка должен быть определен суммированием неопределенности его измерения (при доверительной вероятности, равной 95%) и среднего значения коэффициента неоднородности пучка.
7.6 Критерии годности при испытаниях типа
Для перечисленных ниже параметров критерии годности каждой лечебной головки должны быть таковыми, чтобы измеренные значения плюс и минус, расширенная неопределенность их измерения при доверительной вероятности, равной 95%, находились в диапазонах, ограниченных номинальными значениями и их допусками, оговоренными в
разделе 5. Данными параметрами являются следующие:
- номинальная выходная мощность;
- эффективная площадь излучения AER лечебной головки;
- частота акустического воздействия;
- длительность импульса, период повторения импульсов и коэффициент заполнения для каждого режима модуляции.
Для параметра "тип пучка" критерий годности должен быть таким, чтобы он соответствовал номинальному типу, оговоренному в
разделе 5.
Для эффективной интенсивности и коэффициента неоднородности пучка критерии годности оговорены в IEC 60601-2-5. Более подробную информацию об этих параметрах можно найти в
приложении A.
Соответствие этим требованиям проверяют измерениями по
7.2 -
7.4.
8 Методы испытаний при выпуске из производства
Методы испытаний, установленные в настоящем разделе, могут применяться как при испытаниях каждого экземпляра аппарата для ультразвуковой терапии, так и при испытаниях некоторой выборки аппаратов из партии. Эти испытания могут явиться основой для совершенствования производства и обеспечения качества продукции.
Кроме того, эти испытания включают определение значений соответствующих акустических параметров, которые необходимо затем сравнивать со значениями, объявляемыми изготовителем (номинальными значениями), и их допусками, приведенными в
разделе 5.
8.2 Номинальная выходная мощность
Номинальную выходную мощность следует определять в соответствии с
7.2.
Примечание - Несмотря на то, что в настоящем стандарте требования к точности указания значений мощности, индицируемой на пульте управления аппарата, отсутствуют, она существенно зависит от точности используемых при испытаниях средств измерений (см. IEC 60601-2-5).
8.3 Эффективная площадь излучения
8.3.1 Лечебную головку размещают в испытательном баке в соответствии с
разделом 6. Однако ее юстировку можно реализовать при помощи устройства, разработанного для пространственной ориентации испытуемой лечебной головки, подобного тому, которое используют при испытаниях типа. Важно использовать такое механическое устройство, которое позволяет определить ориентацию фронтальной поверхности головки относительно акустической оси гидрофона.
Примечание - Важно использовать те же устройства и методы юстировки, которые применялись при испытаниях типа.
8.3.2 Для нахождения точек zp и zN и определения тем самым pmax следует построить осевую зависимость распределения акустического давления для каждой лечебной головки.
8.3.3 Площадь поперечного сечения пучка следует определять в плоскости, лежащей на расстоянии 0,3 см от поверхности лечебной головки, по результатам растрового сканирования в соответствии с
7.4. Следует определить и площадь поперечного сечения пучка в плоскости
zN, вычисляемую по результатам растрового сканирования в соответствии с требованиями, изложенными в
приложении B, или иным способом - с использованием четырех линейных или диаметральных сканирований. Процедуры измерений и анализа, используемые для определения площади поперечного сечения пучка методом диаметрального сканирования, должны соответствовать изложенным в
приложении C.
Процедуры, описанные в
приложениях B и
C, в зависимости от типа сканирования (растрового или диаметрального), используют для расчета величин
ABCS(0,3),
ABCS(
zN) и полной суммы средних квадратов акустического давления
pmst.
Эффективную площадь излучения
AER, см
2, следует определять в соответствии с
7.4.
8.3.4 Эффективную площадь излучения
AER можно также оценить простым экспериментальным методом с использованием системы уравновешивания радиационной силы и набора круглых апертур из материала, поглощающего ультразвук. Пример такой методики более детально изложен в
приложении I.
Примечание - Значения эффективной площади излучения, найденные с помощью апертурной методики, следует рассматривать как аппроксимацию действительных значений эффективной площади излучения, полученных согласно измерениям, рассмотренным в
7.4.
8.4 Коэффициент неоднородности пучка
Коэффициент неоднородности пучка
RBN следует определять в соответствии с
7.4.6.
8.5 Эффективная интенсивность
Эффективную интенсивность следует определять в соответствии с
3.22.
8.6 Критерии приемки продукции при выпуске из производства
Диапазон измеренной номинальной выходной мощности плюс и минус расширенная неопределенность измерений при этих испытаниях с доверительной вероятностью, равной 95% (см.
9.3), должен лежать внутри диапазона, определяемого указанным изготовителем значением номинальной выходной мощности и ее допусками, оговоренными в соответствии с
разделом 5.
Соответствие проверяют измерениями по
7.2.
Диапазон измеренной эффективной площади излучения плюс и минус неопределенность этих измерений с доверительной вероятностью, равной 95%, должен лежать внутри диапазона, определяемого указанным изготовителем номинальным значением эффективной площади излучения и ее допусками, оговоренными в соответствии с
разделом 5.
Соответствие проверяют измерениями по
8.3.
Диапазон измеренной эффективной интенсивности плюс и минус неопределенность этих измерений с доверительной вероятностью, равной 95%, должен лежать внутри диапазона, определяемого указанным изготовителем номинальным значением эффективной интенсивности и ее допусками, оговоренными в соответствии с
разделом 5.
Соответствие проверяют измерениями по
7.2 и
8.3.
Измеренное значение коэффициента неоднородности пучка плюс расширенная неопределенность при доверительной вероятности, равной 95%, не должно превышать номинального значения коэффициента неоднородности пучка, оговоренного в соответствии с
разделом 5.
Соответствие проверяют измерениями согласно
7.4.7.
9 Отбор образцов и оценка неопределенности
9.1 Измерения при испытаниях типа
Средние значения, определяемые в соответствии с
7.5 при испытаниях типа, следует обосновывать на испытаниях партии номинально идентичных образцов аппаратов для ультразвуковой терапии.
9.2 Измерения при обычных испытаниях
Эти измерения являются основой обеспечения качества продукции. Обычно их проводят при испытаниях партии продукции или в тех случаях, когда возникают подозрения в каких-то изменениях процесса ее изготовления. Как правило, их проводят на определенной части продукции, однако в виде исключения, им может подвергаться каждый изготовленный экземпляр.
Для оценки неопределенности измерений типа A (см.
приложение J) при испытаниях, когда непрактично повторять полный цикл измерений, можно ограничиться частичным повторением лишь тех из них, которые могут быть проведены быстро и просто, а затем воспользоваться априорными данными о неопределенности типа A при испытаниях типа.
Примечание - Примером такого сокращения могло бы быть выполнение измерений по двум линейным сканированиям при испытаниях типа лечебной головки и использование данных по оценке неопределенности типа A, полученных предварительно при растровом сканировании головки того же самого типа с целью оценки расширенной неопределенности эффективной площади излучения.
9.3 Оценка неопределенности результатов
В случае необходимости оценки расширенной неопределенности результата измерения того или иного параметра при доверительной вероятности, равной 95%, в соответствии с настоящим стандартом следует применять методы, рассмотренные в
приложении J.
(справочное)
ПО ОСНОВНЫМ ТЕХНИЧЕСКИМ ХАРАКТЕРИСТИКАМ И БЕЗОПАСНОСТИ
A.1 Общие положения
Разделы этого приложения отражают общепринятый подход к параметрам безопасности аппаратов для ультразвуковой терапии.
A.2 Номинальная выходная мощность
Номинальная выходная мощность не должна изменяться более чем на +/- 20% при изменениях напряжения сети в пределах +/- 10%. Ручная подстройка оборудования для удовлетворения этого требования не допустима.
Соответствие рекомендуется проверять измерениями номинальной выходной мощности согласно с
7.2 при 90%, 100% и 110% номинального значения напряжения сети питания. Если, например, номинальное значение сети питания составляет 230 В, то номинальную выходную мощность следует измерять при напряжениях 230 В +/- 10%.
Термин "номинальный" определен в IEC 60601-1 как "значение, указываемое изготовителем для количественной характеристики оборудования". Это означает, что, если изготовитель указал на задней стороне прибора используемое напряжение сети питания, то оно является "номинальным" значением, и в соответствии с IEC 60601-2-5 выходную мощность следует проверять при напряжениях 90%, 100% и 110% этого значения.
A.3 Эффективная интенсивность
Рекомендуется, чтобы абсолютный максимум эффективной интенсивности не превышал 3,0 Вт/см
2 [4].
Соответствие проверяют измерениями абсолютного максимума номинальной выходной мощности согласно
7.2 и абсолютного минимума эффективной площади излучения по
7.4.
A.4 Коэффициент неоднородности пучка
A.4.1 Общие положения
Рекомендуется, чтобы абсолютный максимум коэффициента неоднородности пучка не превышал 8,0.
Соответствие проверяют измерениями по
7.4.
A.4.2 Обоснование необходимости введения ограничения на коэффициент неоднородности пучка RBN
Распределение давления в ультразвуковом пучке, излучаемом терапевтической лечебной головкой, неоднородно по природе. Помимо этого природного характера особенности конкретной конструкции лечебной головки или определенные режимы ее работы могут стать причиной появления мест с очень высокими локальными давлениями, часто называемых "горячими точками". Это может вызывать чрезмерный нагрев небольших участков тела, подлежащих лечению, т.е. приводить к потенциально опасным воздействиям на пациента.
В настоящее время физиотерапевтические преобразователи не предназначены для лечения строго ограниченных в пространстве участков. Именно поэтому рассматриваемые в настоящем стандарте преобразователи являются плоскими. Фокусированные преобразователи с высокой интенсивностью пучка, используемые в терапии, являются объектом будущих стандартов.
Наряду с аспектами безопасности и повышенной опасностью термического повреждения локализованные пики в распределении давления ("горячие точки") можно рассматривать так же, как неблагоприятный показатель качества преобразователя. Имея в виду эти аспекты, терапевт для правильного применения ультразвукового воздействия должен иметь представление о распределении звукового поля. Неоднородность этого поля оценивают при измерении коэффициента неоднородности пучка RBN. Параметр RBN представляет собой отношение наивысшей интенсивности в поле к средней интенсивности, показываемой на индикаторе физиотерапевтического прибора.
Параметр
RBN можно оценить из теоретических расчетов для идеального поршневого источника при аппроксимации плоской волны, что предполагает совпадение по фазе давления и колебательной скорости. На
рисунке A.1 [2] показана осевая зависимость отношения усредненного во времени пространственного пика интенсивности
Ip к средней интенсивности
Io поршневого источника при отсутствии интерференции. Эта величина и представляет коэффициент неоднородности пучка
RBN, теоретически его максимальная величина равна четырем. Даже если давление и колебательная скорость не синфазны, максимум этого отношения, соответствующий истинной интенсивности
I, равен четырем и будет находиться на расстоянии, равном одной длине ближнего поля (
sn = 1 на
рисунке A.1)
[5]. Но при приближении к источнику от точки
z/
a величины максимумов этого отношения будут уменьшаться до величины порядка два.
Для определения RBN можно использовать гидрофон. Ниже будет показано, что при этом необязательно иметь калиброванный гидрофон, и это упрощает методику.
В плосковолновом приближении отношение между интенсивностью и давлением
p равно:

, где

- удельный акустический импеданс среды. Это выражение не может быть точным для ближнего поля, в частности, на расстояниях от лечебной головки, меньших одного радиуса элемента лечебной головки. В большинстве случаев максимум давления находится на расстояниях, больших радиуса лечебной головки, поэтому ошибка, связанная с использованием вышеприведенного выражения, будет относительно малой, что и проиллюстрировано на
рисунке A.1.
Если предположить линейность выходного напряжения гидрофона от воздействующего на него давления, то выражение для RBN может быть упрощено из следующих соображений.
Наивысшую интенсивность в пучке, т.е. пространственный пик усредненной во времени интенсивности Ispta, определяют по пиковому значению напряжения Up на выходе гидрофона из выражения

(A.1)
Значение pmst, используемое в стандарте, находят по выражению

(A.2)
представляющему полную сумму средних квадратов акустического давления. Это значение определяют суммированием квадратов измеренных напряжений в процессе растрового сканирования. Используя это значение, можно получить усредненную по времени и пространству интенсивность

. (A.3)
В этом случае выражение для RBN, задаваемое как отношение Ispta/Isata, может быть вычислено как

(A.4)
Знаменатель является аппроксимацией полной выходной мощности, вычисляемой суммированием значений интенсивности по акустическому пучку.
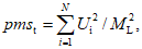
В выражениях, приведенных выше, использованы следующие параметры:
Up - максимальное значение сигнала с гидрофона;
Ui - сигнал с гидрофона в i-ой точке сканирования;
ML - чувствительность на конце кабеля гидрофона под нагрузкой;
P - акустическая мощность;
pmst - полная сумма средних квадратов акустического давления;

- плотность воды;
c - скорость звука в воде;
A0 - единичная площадь сканирования (для растрового сканирования A0 = s2, где s - размер шага);
N - общее число измерительных точек при сканировании;
AER - эффективная площадь излучения;
zj - расстояние от лечебной головки до выбранной плоскости измерения.
На
рисунке A.2 показана гистограмма, в которой значения
RBN, рассчитанные по вышеприведенным выражениям для 37 лечебных головок различных типов, сгруппированы по значениям, отличающимся друг от друга на 0,5. Обычно
RBN лежат в диапазоне от 3 до 7, однако имеются и преобразователи с высоким значением
RBN (> 8).
Значение, равное 8, рассматривают в настоящем стандарте как предельное из следующих соображений:
- параметры используемого в ультразвуковой физиотерапии воздействия (выходная мощность, длительность и частота) определены из теоретического рассмотрения ультразвукового пучка. Необходимую для лечения величину воздействия в настоящее время трудно оценить. В соответствии с этим значение идеального
RBN снижено до 4. Снижение теоретического значения
RBN в два раза представляется вполне разумным. Для обычных используемых на практике преобразователей значения
RBN, меньшие 8, получить достаточно легко (см.
рисунок A.2);
- физиотерапевтам в настоящее время не требуются фокусируемые преобразователи, у которых RBN значительно превышает 8;
- с качественной точки зрения и принимая в расчет теорию, не представляется целесообразным RBN, больший 8;
- можно подсчитать, что значение RBN, равное 8 (т.е. предельному значению), при установленной на максимум интенсивности (3 Вт/см2) дает максимальное давление - около 1 МПа, пространственный и временной пик интенсивности Isptp = 48 Вт/см2 и усредненный по времени пространственный пик интенсивности Ispta = 24 Вт/см2. Можно предположить, что более высокие значения вызывают нежелательные биологические эффекты.
Рисунок A.1 - Осевая зависимость нормированной усредненной
по времени акустической интенсивности (сплошная линия)
и ее плоско-волновой аппроксимации (штриховая линия)
для круглого поршневого излучателя с ka = 30
от нормированного расстояния
s (где

)
Рисунок A.2 - Гистограмма распределений значений
RBN
для 37 лечебных головок различных диаметров и частоты
(обязательное)
ИЗМЕРЕНИЙ И ОБРАБОТКИ РЕЗУЛЬТАТОВ ПРИ РАСТРОВОМ СКАНИРОВАНИИ
Определение эффективной площади излучения лечебной головки при испытаниях типа следует проводить методом растрового сканирования на расстоянии 0,3 см от фронтальной поверхности лечебной головки. Эти процедуры могут быть также использованы и при обычных испытаниях в соответствии с
разделом 8.
B.2 Требования к растровому сканированию
B.2.1 Все растровые сканирования необходимо выполнять по квадратной сетке с центром на оси распространения пучка и в плоскости, перпендикулярной к этой оси. Сканирование должно быть дискретным с измерением в каждой точке значений пикового или среднеквадратичного значений напряжения.
Примечание - Если центральная точка сканирования находится на оси распространения пучка, то число точек измерения в каждой линии сканирования должно быть нечетным.
B.2.2 Границы растрового сканирования должны быть существенно большими, так чтобы уровень сигнала в крайних точках сканирования был не менее чем на 26 дБ меньше уровня максимального сигнала. Однако для лечебных головок, имеющих zN <= 13 см, уровень за пределами растрового сканирования должен быть, по меньшей мере, минус 32 дБ относительно максимального сигнала.
Примечание - Для определения размера сканирования обычно необходимы предварительные измерения, при этом надо убедиться в том, что минимумы из-за локальной дифракции не приводят к искусственному уменьшению площади сканирования.
B.2.3 Расстояние между точками измерения (размер шага сканирования) должно быть достаточно малым, чтобы по ширине растра проводилось по меньшей мере 31 измерение, т.е. в пределах всей сетки - не менее 31 x 31 точек измерения (также
B.3.2).
B.2.4 В процессе растрового сканирования гидрофон можно перемещать до расстояний от центра ультразвукового пучка, где сигнал уже не превышает шум. Для введения поправки в интеграл квадратов напряжения с гидрофона, учитывающей шумы, уровень среднеквадратичного шума
Un должен быть выделен из измерительного сигнала следующим способом. Если
Ui - сигнал с гидрофона в каждой точке измерения, то после введения поправки на шумы он будет
Ui' = (Ui2 - Un2)1/2. (B.1)
В соответствии с IEC 62127-1 уровень шума должен быть определен при перемещении гидрофона на существенно большое расстояние, чтобы выйти из ультразвукового поля прямого сигнала. В общем случае это должно быть расстояние в плоскости, перпендикулярной оси распространения пучка, равное, по меньшей мере, двойному расстоянию от центра пучка до границы растрового сканирования.
B.3 Требования к обработке данных растрового сканирования
B.3.1 Общие положения
Двухмерная матрица данных, полученных при растровом сканировании, должна быть обработана следующим образом.
B.3.2 Полная сумма средних квадратов акустического давления
Суммирование квадратов напряжений, полученных при растровом сканировании, определяет полную сумму средних квадратов акустического давления как

(B.2)
где N - общее количество точек сканирования;
Ui - напряжение (пиковое или среднеквадратичное) в i-ой точке сканирования;
ML - чувствительность гидрофона на конце кабеля под нагрузкой.
Примечание - Входящая в
(B.2) чувствительность гидрофона на конце кабеля под нагрузкой необходима для перехода от напряжений к давлениям. Однако при вхождении
pmst в
уравнение (B.3) эта величина сокращается, и знание ее абсолютного значения не требуется.
B.3.3 Расчет площади поперечного сечения пучка ABCS
Значения Ui (среднеквадратичные или пиковые) сортируют в убывающем порядке. Для нахождения n, удовлетворяющего следующим двум соотношениям:

(B.3)
следует выполнить второе суммирование.
Значение ABCS, см2, определяют как A0·n, где A0 - единичная площадь растрового сканирования (A0 = s2, где s - расстояние между соседними точками сканирования, т.е. размер шага). Эта процедура обеспечивает получение площади поперечного сечения пучка ABCS.
Для достоверного определения ABCS n должно быть не меньше 100.
(обязательное)
ИЗМЕРЕНИЙ И ОБРАБОТКИ РЕЗУЛЬТАТОВ
ПРИ ДИАМЕТРАЛЬНОМ ИЛИ ЛИНЕЙНОМ СКАНИРОВАНИИ
C.1 Общие положения
Определение площади поперечного сечения пучка на определенном расстоянии от лечебной головки при обычных испытаниях в соответствии с
разделом 9 может быть выполнено с помощью диаметрального или линейного сканирования. В этом приложении будет использован термин "линейное" сканирование. При линейном сканировании применяют описанные ниже процедуры и методы обработки.
C.2 Требования к линейному сканированию
C.2.1 Центральная или общая точка четырех линейных сканирований должна лежать на оси распространения пучка. Угол между линиями сканирования должен быть 45°, и четыре линии сканирования должны делить плоскость, перпендикулярную оси распространения пучка, на восемь равных площадей.
C.2.2 Сканирование не должно быть непрерывным перемещением, а последовательностью дискретных шагов перпендикулярно оси распространения пучка с измерением среднеквадратичного или пикового напряжения, генерируемого гидрофоном, в каждой точке.
C.2.3 Границы каждой полной линии сканирования должны быть настолько большими, чтобы сигнал на краю этих линий был не менее чем на 32 дБ ниже максимального.
C.2.4 Размер шага линейного сканера должен быть настолько малым, чтобы линия содержала не менее 50 точек.
Примечание - Каждая из четырех линий сканирования может иметь различный размер шага. Для простоты обработки предполагается, что они идентичны.
C.2.5 Должен быть определен уровень шума и должна быть введена поправка на влияние шума в соответствии с
B.2.4.
C.2.6 Для упрощения предполагается, что четыре линейных сканирования имеют идентичные размеры и каждый включает N1 измерений. Это будет полезным при обработке результатов растрового сканирования, но особенно важно при проведении линейного сканирования.
C.3 Обработка результатов линейного сканирования
C.3.1 Результаты сканирования по каждой линии обрабатывают в следующем порядке.
Примечание - В C.3.2 -
C.3.12 использованы матрицы данных [
A] и [
B].
C.3.2 Четыре линейных сканирования должны быть представлены как четыре пары радиальных сканеров. Каждый из них будет состоять из одномерного ряда матрицы [A], имеющего общую с другими точку на оси распространения пучка и (N1 - 1)/2 других точек.
C.3.3 Для вычисления площади поперечного сечения пучка по каждому из радиальных направлений сканирования одномерную выборку профиля акустического пучка преобразуют в его двухмерное описание в предположении, что пучок имеет цилиндрическую симметрию.
C.3.4 Для точки, лежащей на оси распространения пучка и обозначаемой как j = 0, площадь A0 выражают, см2, как

(C.1)
где
s - размер шага (для диагонального радиального сканера, вычисляемого из измерений растровым сканером, размер шага будет

).
C.3.5 Для всех других элементов радиального сканера от j = 1 до (N1 - 1)/2 вклад в площадь сканирования будет в виде кольца толщиной s. Для j-го измерения соответствующая кольцевая площадь Aj будет выражена в см2, как

(C.2)
C.3.6 Для вычисления площади поперечного сечения пучка площадь каждого из колец от
j = 1 до (N
1 - 1)/2 следует разбить на множество единичных площадок
A0. При делении
Aj, задаваемую выражением (C.2), на
A0, задаваемую
выражением (C.1), можно увидеть, что
j-ое кольцо включает
nj единичных площадей, так что
nj = 8j. (C.3)
C.3.7 Используя это выражение, первоначальную одномерную матрицу, представляющую линейное сканирование, следует преобразовать в новую одномерную матрицу [B], элементы которой приведены в таблице C.1.
Таблица C.1
Состав преобразованной матрицы [B], используемой
для обработки результатов радиального сканирования
Точка измерения | Напряжение в квадрате Uj2 | Число элементов в матрице [B] со значением Uj2 |
j = 0 (точка на оси пучка) | U02 | 1 |
j = 1 (1-я точка вне оси) | U12 | 8 |
j = 2 (2-я точка вне оси) | U22 | 16 |
.. | .. | .. |
.. | .. | .. |
.. | .. | .. |
j = (N1 - 1)/2 | U2(N1 - 1)/2 | 4(N1 - 1) |
Примечание - j-я (j > 0) точка матрицы [A] радиального сканера представлена в новой матрице 8j элементами с первоначальными величинами квадратов напряжения. Новая матрица содержит Nj2 элементов. |
C.3.8 Как и при обработке результатов растрового сканирования (см.
B.2.4), следует учесть вклад среднеквадратических шумов
Un. Если измеренный гидрофоном сигнал равен
Uj то после введения поправки на шумы он составит
Uj' = (Uj2 - Un2)1/2. (C.4)
C.3.9 Для нахождения площади поперечного сечения пучка необходимо получить полную сумму средних квадратов акустического давления pmst при радиальном сканировании. Ее определяют как

(C.5)
C.3.10 Новую матрицу [
B] сортируют в убывающем порядке, затем для определения
n по
выражению (B.3) проводят второе суммирование.
Примечание - Процесс сортировки по исходным значениям n приводит к тому же результату, что и суммирование с учетом взвешивания.
C.3.11 Площадь поперечного сечения пучка
ABCS для радиального сканирования равна

, где
s - размер шага.
C.3.12 Обработка должна быть выполнена для всех восьми радиальных сканирований, и результаты усредняют для определения среднего значения и стандартного отклонения.
Стандартное отклонение

распределения значений площади поперечного сечения пучка для восьми радиальных сканирований в плоскости
z определяют исходя из

(C.6)
где ABCSj(z) - площадь поперечного сечения пучка, вычисленная j-ой линии сканирования в плоскости на расстоянии z;

- среднее значение, определенное по восьми линиям сканирования.
(справочное)
ОБОСНОВАНИЯ К ОПРЕДЕЛЕНИЮ ПЛОЩАДИ ПОПЕРЕЧНОГО СЕЧЕНИЯ ПУЧКА
В физиотерапии используют относительно высокие уровни ультразвуковой интенсивности. Они соответствуют диапазону, в котором помимо полезных терапевтических воздействий имеют место и неблагоприятные биологические эффекты. Поэтому врачу важно знать значения интенсивности ультразвукового воздействия, генерируемого аппаратом для ультразвуковой терапии. В принципе это достигается тем, что на передней панели аппарата для физиотерапии имеются индикаторы показаний ультразвуковой мощности и интенсивности, и эти показания достаточно точны и достоверны.
Поскольку большинство показаний эффективной интенсивности являются средними значениями, вычисленными путем деления выходной мощности на площадь, использование показываемых значений интенсивности подразумевает необходимость точного определения площади. Эту площадь рассматривают как часть плоскости, лежащей вблизи плоскости аппликатора или совпадающей с ней, через которую проходит большая часть ультразвуковой мощности; в настоящем стандарте эту площадь определяют как эффективную площадь излучения.
Используемая в аппарате для ультразвуковой терапии лечебная головка состоит из активного пьезоэлектрического элемента, установленного на металлической выходной пластине. В связи с тем, что амплитуды колебаний пьезоэлемента в его пределах не одинаковы, площадь излучаемого ультразвукового пучка нельзя определить из геометрических размеров пьезоэлемента. Действительное значение эффективной площади излучения измеряют с помощью гидрофона.
Площадь поперечного сечения пучка, как это определено в настоящем стандарте, измеряют с помощью гидрофона и представляют как промежуточный этап в определении эффективной площади излучения. Предлагаемый в настоящем стандарте метод представляет результаты экспериментальных исследований и теоретических расчетов
[1],
[2],
[6] -
[8].
Некоторые методы, используемые для определения площади поперечного сечения пучка, недостаточно чувствительны к локальным неоднородностям ультразвукового пучка. В процессе оценки аппаратов для ультразвуковой терапии
[9] было показано, что измерения площади поперечного сечения пучка, проводимые в соответствии с методикой Федерального управления по контролю за продуктами и лекарствами США (US FDA) (которая учитывает вклад площадей с интенсивностью, превышающей 5% максимальной интенсивности на поверхности, отстоящей на 5 мм от лечебной головки)
[10], приводят для некоторых ультразвуковых пучков к очень неточным результатам.
Распределение давления для типичной лечебной головки с малой геометрической площадью излучения и

, где

и
a - геометрический радиус активного элемента ультразвукового преобразователя, используемого в лечебной головке, показано на
рисунке D.1. В этом распределении максимальное давление быстро уменьшается сообразно расстоянию от рабочей поверхности лечебной головки.
Влияние характеристик пучка на определяемые площади, ограниченные 5% максимальной интенсивности по определению FDA и 75% полной суммы средних квадратов акустического давления по определению IEC, было исследовано более подробно. На
рисунке D.2 показаны изменения площади поперечного сечения пучка (по IEC) и эффективной площади излучения (по FDA), ограниченных указанными пределами, в нескольких плоскостях, расположенных на расстояниях около 5 мм от поверхности лечебной головки. Показаны результаты измерений в плоскостях, отстоящих друг от друга на 0,25 мм в пределах от 4,5 до 5,5 мм. Из
рисунка D.2 видно, что эффективная площадь излучения (по FDA) очень чувствительна к положению измерительной плоскости. Видно также, что если взять предел ограничения, больший 5%, что требует определение FDA
[10], то повышенная чувствительность эффективной площади излучения приведет лишь к небольшому изменению положения измерительной плоскости, т.е. показанный на
рисунке D.2 наклон кривых для определения FDA существенно больше, чем для определения IEC. Из
рисунка D.2 очевиден также более плавный характер кривых, определяемых IEC.
В физиотерапии используют лечебные головки различного диаметра и различной частоты со значениями
ka в диапазоне от 17 до 150. На
рисунке D.3 показана зависимость площади поперечного сечения пучка от различных уровней ее ограничения, построенная для некоторых лечебных головок со значениями
ka, лежащими в этом диапазоне. И хотя значения
ka различных лечебных головок существенно отличаются друг от друга, форма соответствующих им графических зависимостей одинакова.
Нестабильность результатов измерения давления, вызванная тепловым дрейфом или неоднородностью среды распространения, может проявляться как нестабильность пределов ограничения. Влияние такой нестабильности результатов измерения давления на вычисляемую площадь поперечного сечения пучка является сложным и сильно зависит от профиля ультразвукового пучка. Эффективная площадь излучения (по FDA) очень чувствительна к этой нестабильности, так как сильно зависит от правильной оценки уровня одиночного максимума. Этого не происходит для определения МЭК, которое представляет интенсивность по отношению к ее пиковому значению, полученному при сканировании. Это показано на
рисунке D.3 для 75% ограничения, используемого в настоящем стандарте.
Эти экспериментальные выводы подтверждены и теоретическими расчетами. Результаты расчета круглого поршневого источника радиуса

, представляющего относительно малый преобразователь, и точечного приемника представлены серией кривых на
рисунке D.4. Они изображают изменение эффективной площади излучения и площади поперечного сечения пучка при увеличении расстояния от лечебной головки. Расстояние между гидрофоном и лечебной головкой было нормировано относительно длины акустической волны, соответствующей всему диапазону частот, используемому в современной физиотерапии. Значение площади поперечного сечения пучка (эффективной площади излучения по определению FDA) было нормировано в соответствии с размером реального элемента. Несмотря на то что площадь поперечного сечения пучка по ее новому определению несколько изменяется с нормированным расстоянием, но это изменение несомненно меньше и зависит от характеристик пучка, чем эффективная площадь излучения, вычисленная по определению FDA
[10].
На
рисунке D.5 представлены результаты расчетов зависимости нормированной площади поперечного сечения пучка от
ka. Диапазон
ka перекрывает весь диапазон размеров ультразвуковых преобразователей, используемых в лечебных головках аппаратов для ультразвуковой терапии. Несмотря на то, что показанные на
рисунке D.5 кривые представляют только результаты, полученные на расстояниях 5 мм и 2
a, их поведение соответствует расчетам, выполненным и для других расстояний. Из
рисунков D.4 и
D.5 можно сделать общий вывод: предложенное в настоящем стандарте определение площади поперечного сечения пучка меньше зависит от особенностей профиля ультразвукового пучка, чем определение, данное в стандарте FDA
[10].
Ось X - направление z (вдоль оси распространения пучка);
ось Y - направление x (параллельно фронтальной
поверхности преобразователя);
Размеры по осям X и Y - 5 мм/дел.
Рисунок D.1 - Линии равных давлений типовой
физиотерапевтической лечебной головки малой
геометрической площади (ka = 17)
X - процент ограничения (1 - по стандарту FDA;
2 - по стандарту IEC); Y - соответствующее
значение ABCS, мм2
Рисунок D.2 - График зависимости площади поперечного сечения
пучка от различных значений ограничения при малых изменениях
расстояния вдоль оси распространения пучка z
X - процент ограничения (1 - по стандарту FDA;
2 - по стандарту IEC); Y - соответствующее
значение ABCS, мм2
Рисунок D.3 - Нормированные значения площади поперечного
сечения пучка при ограничениях FDA и IEC для пяти
преобразователей с различными ka при z = 0,5 см

;
Y -
ABCS, мм
2 (1 - по стандарту FDA;
2 - по стандарту IEC)
Примечание - Расстояние z и площади поперечного сечения пучка нормированы относительно длины акустической волны и площади элемента соответственно.
Рисунок D.4 - Изменение площади поперечного сечения пучка
ABCS с расстоянием от поверхности лечебной головки
X - ka; Y - нормированная площадь поперечного сечения
пучка ABCS; A - по стандарту FDA; B - по стандарту IEC;
1 - на расстоянии z = 5 мм; 2 - на расстоянии z = 2a
Примечание - Расчеты выполнены на расстояниях 5 мм и 2a от лечебной головки.
Рисунок D.5 - Зависимость нормированной площади поперечного
сечения пучка ABCS от ka преобразователя
(справочное)
КОЭФФИЦИЕНТ, ИСПОЛЬЗУЕМЫЙ ДЛЯ ПРЕОБРАЗОВАНИЯ ПЛОЩАДИ
ПОПЕРЕЧНОГО СЕЧЕНИЯ ПУЧКА ABCS НА ПОВЕРХНОСТИ ЛЕЧЕБНОЙ
ГОЛОВКИ В ЭФФЕКТИВНУЮ ПЛОЩАДЬ ИЗЛУЧЕНИЯ AER
В соответствии с настоящим стандартом эффективную площадь излучения AER из площади поперечного сечения пучка вычисляют вблизи поверхности лечебной головки ABCS(0,3). Площадь поперечного сечения пучка ABCS(z) определяют как наименьшую площадь, дающую 75% полной суммы средних квадратов акустического давления.
Если использовать упрощенную модель звукового поля с коллимированным пучком и постоянным распределением давления в поперечном сечении, перпендикулярном оси пучка, то справедливо следующее соотношение:
AER = 1,333ABCS(0) = 1,333ABCS(z). (E.1)
С физической точки зрения можно ожидать, что упрощенная модель справедлива для не слишком малых величин
ka (

- волновое число;
a - геометрический радиус активного элемента лечебной головки). Для меньших величин
ka дифракционные эффекты будут вызывать размывание звукового пучка и искажение простейшей модели.
Для получения реалистической оценки требуемого коэффициента преобразования (выражаемого через Fac) было проведено численное моделирование с использованием излучателя в виде круглого поршня и приемников конечных размеров радиусом 0,25 и 0,5 мм на частотах 1, 2 и 3 МГц. Для преобразователей с малым эффективным радиусом (< 4 мм) и особенно на низких частотах пучок будет расходиться настолько, что достоверная оценка эффективной площади излучения станет невозможной. На практике физиотерапевтические лечебные головки с радиусом меньше 4 мм не выпускают, и расчеты ограничивают предельным радиусом >= 4 мм для значений ka, лежащих в диапазоне от 16 до 160.
На
рисунке E.1 показано распределение значений
Fac от
ka в диапазоне от

до

, взятое из
[1]. Среднее значение
Fac = 1,354 очень близко к значению
Fac = 1,333, верному для простейшей модели звукового поля.
Были проведены исследования множества лечебных головок физиотерапевтического оборудования с малым
ka [9], при этом был использован подход, изложенный в
7.3, к определению эффективной площади излучения, при котором растровое сканирование проводят в плоскости на расстоянии 0,3 см от лечебной головки. В результате этих исследований было показано, что полученные значения
ABCS(0,3), умноженные на тот же самый коэффициент преобразования
Fac = 1,354 для нахождения
AER, не зависят от значения
ka лечебной головки.
Вычисления по результатам приведенных выше исследований подтвердили их соответствие упрощенной модели ультразвукового поля. Для исследованных образцов (66 точек) стандартное отклонение от среднего значения приблизительно равно 0,09. Разность между средним значением Fac = 1,354 и значением, полученным для упрощенной модели Fac = 1,333, была меньше стандартного отклонения. Чтобы избежать увеличения неопределенности при определении эффективной площади излучения, было принято согласованное решение использовать Fac = 1,333 без учета дополнительной неопределенности для этого фиксированного значения.
Примечание - Сплошная линия соответствует среднему значению Fac = 1,354.
Рисунок E.1 - Коэффициент преобразования
Fac как функция
значений ka, лежащих в диапазоне от 40 до 160
(справочное)
ОПРЕДЕЛЕНИЕ АКУСТИЧЕСКОЙ МОЩНОСТИ
ПО ИЗМЕРЕНИЯМ РАДИАЦИОННОЙ СИЛЫ
В настоящем стандарте необходимо указывать номинальную выходную мощность. Как указано в
7.2, выходную мощность аппарата для ультразвуковой терапии измеряют в соответствии с IEC 61161, который рекомендует использовать метод уравновешивания радиационной силы. Используемые для этого устройства просты в обращении и калибровке.
Наиболее важной частью этих устройств является мишень. Она должна быть достаточно большой, чтобы перекрыть весь ультразвуковой пучок. В 5.3 IEC 61161 даны формулы для расчета минимального радиуса
b мишени как функции расстояния
z до мишени (обозначенной как
x в IEC 61161), длины волны и
a1 - эффективного радиуса активного элемента лечебной головки. Формулы, приведенные в IEC 61161, основаны на теоретических расчетах для поршневого источника
[6]. В
таблице F.1 приведены некоторые типичные значения. Под радиусом мишени понимают ее радиус в наибольшем поперечном сечении, а расстояние определяют от лечебной головки до этого поперечного сечения.
Необходимо заметить, что результаты указаны в предположении поршневого источника. Однако может быть, что испытуемый преобразователь не является поршневым. Вследствие этого рекомендуется использовать результаты измерения площади поперечного сечения пучка ABCS(z). Эквивалентный радиус beq мишени может быть получен
из

(F.1)
Если 2
beq будет больше значения
b, определенного в соответствии с IEC 61161 и
таблицей F.1, то 2
beq используют как минимальное значение радиуса мишени.
Пузыри в воде рассеивают ультразвуковые волны и могут приводить к ошибкам в измерениях. Поэтому при измерениях терапевтических устройств важно использовать дегазированную воду и всегда быть уверенным:
- в отсутствии пузырьков на поверхностях преобразователя и мишени;
- в отсутствии появления пузырьков в процессе измерений в результате дегазирующего действия ультразвука высокой интенсивности (см. IEC 61161,
[3] и IEC/TR 62781 в
дополнении к библиографии).
Хотя значения выходной мощности аппарата для ультразвуковой терапии составляют обычно несколько ватт, для обеспечения всего диапазона измерений мощности в соответствии с настоящим стандартом может потребоваться измеритель (весы) с чувствительностью до 15 мВт. Одной из проблем измерения высокой мощности может стать необходимость стабилизации положения мишени во время измерений. Если поглощающая мишень не подвергается поперечным компонентам силы, а вогнутая отражающая мишень самоцентрируется, то выпуклый конический отражатель под действием радиационных сил может смещаться в радиальном направлении. Этот эффект зависит, главным образом, от амплитуды ультразвуковой мощности, от веса мишени и способа ее подвески (5.6 IEC 61161).
Таблица F.1
Необходимые размеры мишени, выражаемые в виде минимального
радиуса мишени b, как функция частоты ультразвука f,
эффективного радиуса лечебной головки a1 и расстояния
до мишени z, рассчитанные в соответствии
с IEC 61161 (см. также
[6])
Эффективный радиус лечебной головки a1, см | Частота ультразвука f, МГц | Расстояние до мишени, см | Минимальный радиус мишени, см |
0,5 | 1 | 0,5 2,0 4,0 6,0 | 0,77 1,89 3,54 5,23 |
1,5 | 1 | 0,5 2,0 4,0 6,0 | 2,25 2,25 2,46 3,05 |
0,5 | 3 | 0,5 2,0 4,0 6,0 | 0,75 1,02 1,67 2,36 |
1,5 | 3 | 0,5 2,0 4,0 6,0 | 2,25 2,25 2,25 2,25 |
(справочное)
ОБОСНОВАННОСТЬ ИЗМЕРЕНИЙ ПЛОЩАДИ ПОПЕРЕЧНОГО СЕЧЕНИЯ
ПУЧКА ABCS НА НИЗКОЙ МОЩНОСТИ
Измерения площади поперечного сечения пучка с использованием гидрофонов требуют возбуждения лечебной головки в режиме непрерывной волны с интенсивностями 0,5 Вт/см
2 или ниже (см.
7.3). Измерения на низких мощностях необходимы для защиты гидрофона от повреждения. Подтверждение того, что значения площади поперечного сечения пучка, полученные на низких мощностях, верны для высоких мощностей, используемых в терапевтических приборах, представлено в
таблице G.1, взятой из
[1]. В
таблице G.1 даны результаты измерений, выполненные с помощью мембранного (из пленки ПВДФ) гидрофона с дифференциальным выходом для различных значений мощности, генерируемой терапевтическим прибором. Обе лечебные головки имели преобразователи на 1,5 МГц диаметром 2,8 см.
A - нормальный преобразователь, тогда как
B имел "горячее пятно" с большим осевым пиком на расстоянии 2,9 см от головки. Измерения второго преобразователя проведены именно в этой плоскости.
Таблица G.1
Изменение площади поперечного сечения пучка
ABCS(
z)
при изменении выходной мощности для двух преобразователей
Установленная мощность, Вт | Преобразователь A <1> ABCS( z), см 2 | Преобразователь B <2> ABCS( z), см 2 |
1,25 | 3,54 | 2,99 |
5,00 | 3,50 | 2,92 |
7,50 | 3,52 | 2,80 |
10,0 | 3,48 | 2,79 |
12,5 | 3,51 | 2,80 |
15,0 | 3,49 | 2,87 |
<1 > A - 1,5 МГц диаметр 2,8 см, ABCS определяли на расстоянии 4,0 см. <2 > B - 1,5 МГц диаметр 2,8 см, ABCS определяли на 2,9 см - в точке максимального среднеквадратичного давления для преобразователя с "горячим пятном". |
Представленные в
таблице G.1 результаты показывают, что изменения
ABCS(
z) малы и не превышают нескольких процентов.
Однако для некоторых дефектных лечебных головок, в частности тех, которые нагреваются при работе (хотя это бывает в редких случаях), площадь поперечного сечения пучка может изменяться при изменении выходной мощности.
(справочное)
ВЛИЯНИЕ ЭФФЕКТИВНОГО ДИАМЕТРА ГИДРОФОНА
Большинство выпускаемых гидрофонов имеют активные элементы диаметром от 0,2 до 1,0 мм. В мегагерцевом диапазоне частот точность измерений ультразвукового поля зависит от пространственного усреднения акустического давления на активном элементе гидрофона. IEC 62127-1 предлагает следующий критерий для максимально допустимого радиуса гидрофона amax, используемого для измерений в некоторых ситуациях

(H.1)
где

- длина акустической волны;
z - расстояние от лечебной головки до плоскости измерений;
a1 - эффективный радиус активного элемента лечебной головки.
Оговариваемые настоящим стандартом процедуры точного определения эффективной площади излучения лечебной головки требуют измерений непосредственно у ее поверхности и приводят к частому нарушению этого критерия. Строго говоря,
выражение (H.1) относится к измерениям пиковых давлений и уместно для достоверного определения коэффициента неоднородности пучка
RBN. Для измерения эффективной площади излучения необходима более высокая точность, и поэтому важно установить влияние невыполнения вышеуказанного критерия на точность измерения
ABCS(
z) и
AER.
Измерения на лечебной головке диаметром 2,4 см на 3 МГц с использованием разных гидрофонов с различным радиусом активного элемента представлены в
таблице H.1 [4]. Измерения выполнены с использованием керамических гидрофонов с диаметром активного элемента 0,6 и 1 мм, а также гидрофона мембранного типа из ПВДФ диаметром 4 мм. Для измерений на расстоянии
z = 1 см в соответствии с
выражением (H.1) эти гидрофоны слишком велики - в 4; 6,5 и 26 раз соответственно. Тем не менее результаты измерений
ABCS(
z), представленные в
таблице H.1, сходятся в пределах от 1% до 3%.
Из обычно используемых в терапии частот и размеров лечебных головок наибольшее превышение критерия IEC 62127-1 происходит при измерениях вблизи (z = 1 см) головок большого диаметра, работающих на частоте 3 МГц. Но даже в этом случае коэффициент превышения для гидрофона с диаметром активного элемента 1 мм лежит в пределах от 6 до 7.
Представленные в
таблице H.1 значения отношения пика давления в квадрате к давлению в квадрате, усредненному по площади поперечного сечения пучка (это отношение в
таблице H.1 обозначено как
R), на расстоянии
z, где
z изменяется от 1 до 8 см, показывают, что даже при использовании гидрофона диаметром 4 мм, результаты отличаются не более чем на 20%. Эти результаты имеют прямое отношение к выбору диаметра активного элемента гидрофона при определении
RBN. Тем не менее этот вывод может быть принят с некоторой осторожностью. Некоторые лечебные головки имеют "горячие пятна" диаметром от 2 до 3 мм. В этом случае при использовании больших (4 мм) гидрофонов будет иметь место определенное занижение истинных значений
RBN.
Для обеспечения точности измерения
RBN в
6.2 указан критерий, позволяющий правильно измерять площадь поперечного сечения пучка типового аппарата для ультразвуковой терапии, работающего на частотах до 3 МГц, с помощью гидрофонов диаметром 1 мм. Для испытаний оборудования, работающего на частотах выше 3 МГц, следует использовать гидрофоны диаметром менее 0,6 мм. Эти гидрофоны можно применять для измерения как эффективной площади излучения, так и коэффициента неоднородности пучка.
Таблица H.1
Сравнение результатов измерений площади поперечного сечения
пучка ABCS(z) гидрофонами с радиусом активного
элемента 0,3; 0,5 и 2 мм
Гидрофон | Измеряемый параметр | Расстояние между головкой и гидрофоном z, см |
1,0 | 2,0 | 4,0 | 8,0 |
A керамика ag = 0,3 мм | ABCS(z), см2 | 2,00 | 1,97 | 2,01 | 2,07 |
| 1,55 | 1,57 | 1,68 | 2,69 |
C керамика ag = 0,5 мм | ABCS(z), см2 | 1,93 | 1,96 | 1,99 | 2,08 |
R | 1,68 | 1,69 | 1,60 | 2,26 |
ПВДФ мембранный ag = 2 мм | ABCS(z), см2 | 2,01 | 2,00 | 2,02 | 2,10 |
R | 1,95 | 1,91 | 2,04 | 2,33 |
<1> Значения R вычислены с использованием усреднения значений p2, измеренных в определенной плоскости. Примечание - Измерения проводили на лечебной головке 3 МГц на четырех расстояниях. |
(справочное)
ИЗМЕРЕНИЕ ЭФФЕКТИВНОЙ ПЛОЩАДИ ИЗЛУЧЕНИЯ С ИСПОЛЬЗОВАНИЕМ
СИСТЕМ УРАВНОВЕШИВАНИЯ РАДИАЦИОННОЙ СИЛЫ И АПЕРТУР
ИЗ ПОГЛОЩАЮЩИХ МАТЕРИАЛОВ
I.1 Общие положения
В этом приложении приведено детальное изложение метода определения эффективной площади излучения
AER физиотерапевтических лечебных головок, использующего систему уравновешивания радиационной силы для измерения выходной мощности ультразвука. Системы (измерители) уравновешивания радиационной силы широко применимы в лечебных учреждениях, и ожидается, что предлагаемый метод можно применять как достаточно простой для проверки эффективной площади излучения лечебных головок
[11],
[12]. Рассмотренный в этом приложении метод не следует рассматривать как замену процедуры, изложенной в
разделе 7, которая является опорной (эталонной) для определения эффективной площади излучения.
I.2 Принципиальные основы апертурного метода
Схема апертурного метода показана на
рисунке I.1, где апертура из поглощающего материала расположена между лечебной головкой и мишенью в виде выпуклого конуса (можно применить и мишень поглощающего типа). Апертуры - это круглые отверстия, вырезанные в акустически поглощающем материале, которые позволяют при установке перед лечебной головкой снизить на заданную величину ее эффективную площадь излучения. Результат снижения мощности измеряют системой уравновешивания радиационной силы. Используя набор апертур, можно изменять маскирующее воздействие на ультразвуковой пучок и измерять мощность пучка, прошедшую через апертуру. Целью таких измерений в совокупности с обработкой данных, изложенной в
I.5, является вычисление площади, через которую проходит основная часть мощности, определяющая эффективную площадь излучения. В тексте этого приложения термин "апертура" будет обозначать маску из поглощающего материала и вырезанное в ней круглое отверстие.

1 - лечебная головка; 2 - поверхность воды; 3 - апертурная
маска; 4 - мишень измерителя радиационной силы
Примечание - На схеме изображено "вертикальное" устройство уравновешивания с отражающей мишенью, хотя могут быть применены и другие типы устройств [IEC 61161].
Рисунок I.1 - Схема установки
для измерения апертурным методом
I.3 Требования к реализации апертурного метода
I.3.1 Система уравновешивания радиационной силы
Помимо геометрических аспектов установки слоя поглотителя, формирующего апертуру между лечебной головкой и мишенью, ключевыми для системы уравновешивания радиационной силы при измерении эффективной площади излучения являются воспроизводимость результатов и разрешающая способность системы, которая в идеале должна быть +/- 0,01 Вт.
I.3.2 Апертуры
I.3.2.1 Акустические свойства материала апертуры
Важно, чтобы материал, используемый для изготовления апертур, вносил только малые искажения в выходную мощность, генерируемую испытуемой лечебной головкой. Рекомендуется, чтобы его акустические свойства на рабочей частоте лечебной головки были такими, чтобы:
- потери на отражение ультразвука от поверхности апертуры были лучше, чем минус 30 дБ;
- потери на прохождение ультразвука через материал были меньше, чем минус 25 дБ.
Оба этих требования относятся к конкретному значению частоты, на которой работает лечебная головка.
Материалы для апертурных масок могут быть одно- или многослойными и изготовлены из поглощающей резины.
Соответствие материала этим требованиям можно проверить по методике, подобной изложенной в
6.2.
I.3.2.2 Диаметры апертур
Для обеспечения измерений эффективной площади излучения большинства лечебных головок для физиотерапии номинальные диаметры апертуры должны покрывать диапазон от 0,4 до 3,0 см. Отверстия должны быть цилиндрическими, их диаметр должен быть известен с точностью +/- 0,01 см.
I.3.2.3 Поперечные размеры апертурных масок
Важно, чтобы в отдалении от потока энергии, проходящей через круглую апертуру, вся другая энергия поглощалась материалом маски и не попадала на мишень. Ширина апертуры в плоскости, параллельной лечебной головке, должна быть больше или равна 4,5 см. При использовании в системе уравновешивания радиационной силы апертурная маска может быть установлена в специальном держателе, однако важно, чтобы последний не вносил в ультразвуковое поле каких-либо акустических отражений.
I.4 Методика измерений эффективной площади излучения
I.4.1 Измерения мощности системой уравновешивания радиационной силы выполняют обычным путем переключения лечебной головки в режим возбуждения и его снятия (см. IEC 61161).
I.4.2 При измерениях с использованием апертур испытуемую лечебную головку следует включать на номинальную и одинаковую мощность с тем, чтобы она работала в номинальных идентичных условиях.
I.4.3 Для больших лечебных головок с эффективным диаметром более 2,0 см рекомендуется устанавливать мощность, равную 5 Вт, так как это представляется компромиссом между чувствительностью к измеряемой величине и ограничениями, связанными с нагревом материала маски, что может оказаться важным.
Примечание - Эффективный диаметр равен двум эффективным радиусам
a1 лечебной головки. Эффективный радиус может быть вычислен по значению эффективной площади излучения, указанному производителем, из выражения

. Если значение
AER не известно, то для вычисления
a1 рекомендуется использовать номинальное значение эффективной площади излучения
AERN.
I.4.4 Для малых лечебных головок с эффективным диаметром менее 1,5 см максимальную выходную мощность следует выбирать в диапазоне от 0,9 до 1,8 Вт. В дополнение к этому, для ограничения времени облучения и минимизации нагрева поверхности апертурной маски, длительность режима включения может быть ограничена 5 с для каждой апертуры.
I.4.5 Лечебная головка должна быть установлена как можно ближе к апертурной маске, однако не касаться ее; приемлем промежуток от 0,2 до 0,4 см. Поверхность лечебной головки и фронтальная поверхность апертуры должны быть по возможности параллельны друг другу.
I.4.6 Важно, чтобы ось симметрии отражающей мишени (если таковую используют) и ось апертуры были коаксиальными. Оценка влияния точности юстировки на результаты измерения
[13] показала, что достаточно выполнить юстировку "на глаз". Лечебную головку устанавливают и центрируют над апертурой (тоже "на глаз") так, чтобы акустическая ось пучка совпадала с осями апертуры и мишени. При смене апертур никаких переустановок лечебной головки не производят.
Примечания
1 Для облегчения юстировки апертуры под лечебной головкой на поверхности апертурной маски можно нанести перекрестие.
2 Юстировка мишени относительно апертуры может быть не столь критичной, если в системе уравновешивания радиационной силы использована поглощающая мишень.
3 Коаксиальность апертуры и лечебной головки предполагает, что пространственное распределение интенсивности в сечении ультразвукового пучка симметрично и совпадает с геометрической осью преобразователя. При повреждении кристалла такой симметрии не будет, и для оценки пространственного распределения интенсивности необходимо выполнить сканирование в плоскости расположения апертуры (от 0,4 до 0,6 см).
I.4.7 При измерениях мощности необходимо обеспечить отсутствие воздушных пузырьков на пути ультразвука и на поверхности апертурных масок, при необходимости их следует удалить кисточкой.
Примечание - Иногда пузырьки малых размеров прилипают к различным частям апертуры. Если они находятся слишком далеко от ультразвукового пучка, то это не окажет влияния на передаваемую мощность. Предварительное замачивание апертур в воде, содержащей небольшое количество моющего средства, может существенно снизить этот эффект.
I.4.8 Для каждой апертуры, как правило, выполняют три или четыре переключения (с ВЫКЛ на ВКЛ и с ВКЛ на ВЫКЛ) и для статистики берут среднее значение из результатов измерения мощности. При минимальном времени облучения, указанном в
I.4.4, весь процесс займет от 30 до 40 с.
I.4.9 Между измерениями с каждой апертурой, а также перед началом и по окончании всего процесса измерений рекомендуется проводить контрольные измерения мощности без всякой апертурной маски.
I.4.10 Набор апертурных измерений будет включать, как правило, результаты измерений с 12 апертурами в совокупности с тремя или четырьмя "безапертурными" измерениями мощности.
I.4.11 Для небольших лечебных головок с эффективным диаметром менее 1,5 см используют апертуры диаметром от 0,4 до 1,8 см.
I.4.12 Для больших лечебных головок с эффективным диаметром более 2,0 см используют апертуры диаметром от 0,6 до 3,0 см.
I.4.13 В каждом случае целесообразно составить равномерное распределение апертур по размерам.
Примечание - При аккуратном выполнении измерений разброс значений мощности для каждой отдельной апертуры будет находиться в пределах от +/- 3% до +/- 4%.
I.4.14 В некоторых ситуациях может оказаться полезным использовать "пустую" апертуру (слой материала для масок, не имеющий отверстия, т.е. сплошной кусок поглотителя). Когда его устанавливают перед фронтальной поверхностью лечебной головки, то должны наблюдать нулевые показания мощности. Если этого не происходит, то на показания системы уравновешивания влияют другие сигналы (например, радиочастотные сигналы от излучателя).
I.5 Обработка исходных данных для вычисления эффективной площади излучения
I.5.1 Общие положения
Здесь приведены последовательные процедуры обработки набора исходных данных. Эти данные получены из результатов измерений лечебной головки с частотой 1 МГц и эффективным диаметром 2,2 см с использованием апертур, номинальные диаметры которых находятся в диапазоне от 0,8 до 3,0 см, методом, изложенным в
[11]. В таблице I.1 представлены исходные данные, полученные в результате измерений мощности, прошедшей апертуры различных диаметров.
Таблица I.1
Протокол апертурных измерений
Дата **/**/** | Измерения проводил: *** |
Лечебная головка: ****_*** *** | Серийный номер: ******** |
Установленная мощность: 5,4 Вт | Частота: 1 МГц |
Диаметр апертуры | Отсчет значений мощности, Вт |
см | ВЫКЛ 1 | ВКЛ 1 | ВЫКЛ 2 | ВКЛ 2 | Среднее |
Без апертуры | 0,00 | 4,98 | 0,02 | 4,97 | 4,965 |
2,0 | 0,00 | 3,92 | 0,04 | 4,00 | 3,93 |
2,4 | 0,00 | 4,59 | 0,02 | 4,64 | 4,593 |
3,0 | 0,00 | 4,76 | 0,01 | 4,80 | 4,767 |
Без апертуры | 0,00 | 4,88 | 0,01 | 4,90 | 4,88 |
2,6 | 0,00 | 4,70 | 0,03 | 4,74 | 4,693 |
2,0 | 0,00 | 3,96 | 0,02 | 3,92 | 3,933 |
2,1 | 0,00 | 4,26 | 0,01 | 4,34 | 4,28 |
2,2 | 0,00 | 4,52 | 0,02 | 4,49 | 4,497 |
1,6 | 0,00 | 3,07 | 0,00 | 3,12 | 3,087 |
Без апертуры | 0,00 | 4,97 | 0,00 | 4,99 | 4,98 |
1,8 | 0,00 | 3,47 | 0,01 | 3,54 | 3,487 |
1,5 | 0,00 | 2,65 | 0,01 | 2,72 | 2,653 |
1,3 | 0,00 | 1,93 | 0,00 | 1,95 | 1,937 |
0,8 | 0,00 | 0,89 | 0,01 | 0,83 | 0,86 |
2,4 | 0,00 | 4,64 | 0,01 | 4,66 | 4,64 |
Без апертуры | 0,00 | 4,87 | 0,01 | 4,94 | 4,887 |
2,0 | 0,00 | 4,00 | 0,01 | 4,02 | 4,00 |
1,8 | 0,00 | 3,49 | 0,00 | 3,52 | 3,5 |
2,1 | 0,00 | 4,16 | 0,00 | 4,17 | 4,163 |
2,2 | 0,00 | 4,55 | 0,01 | 4,58 | 4,553 |
1,6 | 0,00 | 3,13 | 0,02 | 3,10 | 3,107 |
2,6 | 0,00 | 4,75 | 0,01 | 4,72 | 4,733 |
3,0 | 0,00 | 4,86 | 0,00 | 4,80 | 4,84 |
Без апертуры | 0,00 | 5,01 | 0,03 | 4,99 | 4,98 |
Данные получены при последовательном включении (ВКЛ) и выключении (ВЫКЛ) возбуждения лечебной головки, среднее значение вычислено как
[(ВКЛ 1 - ВЫКЛ 1) + (ВКЛ 1 - ВЫКЛ 2) + (ВКЛ 2 - ВЫКЛ 2)]/3
Примечание - Данные получены с использованием 11 апертур. Для проверки воспроизводимости измерений на нескольких апертурах выполнены повторные измерения. Для обеспечения статистики измерения "без апертуры" повторены пять раз.
I.5.2 Значения, перечисленные в
таблице I.1, используют для построения графика, показанного на рисунке I.2. Он иллюстрирует ожидаемое изменение мощности как функции диаметра апертуры.
X - диаметр апертуры, см; Y - измеренная мощность (Вт)
Рисунок I.2 - Измеренная мощность, прошедшая через апертуры
различного диаметра, для лечебной головки с частотой 1 МГц
Для получения эффективной площади излучения требуется дальнейшая обработка данных, смысл которой заключается в пространственном распределении интенсивности в ультразвуковом поле лечебной головки, а также в том, что эффективную площадь излучения определяют по вторичному параметру - площади поперечного сечения пучка, соответствующей минимальной площади, через которую проходит основная часть ультразвуковой энергии. Исходные данные сортируют методом, подобным изложенному в
приложении B. Эта процедура последовательно изложена ниже.
I.5.3 Из исходных данных (значений мощности как функции диаметра апертуры) по номинальным значениям диаметра апертур находят значения их площадей.
I.5.4 Устанавливают апертуру диаметром 0,8 см, которая пропускает мощность 0,86 Вт (см.
таблицу I.1). При увеличении размера апертуры до 1,3 см пропускаемая мощность возрастает до 1,94 Вт, и разницу в этих значениях, равную 1,08 Вт, предполагают равномерно распределенной на площади, равной площади кольца между двумя апертурами. Затем устанавливают апертуру диаметром 1,5 см и определяют ее вклад относительно апертуры 1,3 см равным 0,72 Вт. Таким образом можно построить распределение мощностей для всех пар апертур, что и представлено в таблице I.2.
Примечание - Для апертуры диаметром 0,8 см мощность распределена в круге радиусом 0,4 см, а не в кольце.
Таблица I.2
Кольцевые вклады мощности
Пара апертур | Вклад мощности, Вт |
От 0 до 0,8 | 0,86 |
От 0,8 до 1,3 | 1,08 |
От 1,3 до 1,5 | 0,72 |
От 1,5 до 1,6 | 0,44 |
От 1,6 до 1,8 | 0,40 |
От 1,8 до 2,0 | 0,47 |
От 2,0 до 2,1 | 0,26 |
От 2,1 до 2,2 | 0,27 |
От 2,2 до 2,4 | 0,12 |
От 2,4 до 2,6 | 0,097 |
От 2,6 до 3,0 | 0,091 |
I.5.5 Вклад мощности каждого кольца преобразуют во вклад интенсивности путем деления мощности, содержащейся в каком-либо кольце, на площадь этого кольца. Таким образом создают набор вкладов интенсивности каждой пары соседних апертур, что представлено в таблице I.3.
Таблица I.3
Кольцевые вклады интенсивности
Пара апертур | Площадь большей апертуры, см2 | Площадь кольца, см2 | Вклад мощности, Вт | Вклад интенсивности, Вт·см2 |
От 0 до 0,8 | 0,503 | 0,503 | 0,86 | 1,71 |
От 0,8 до 1,3 | 1,327 | 0,825 | 1,08 | 1,31 |
От 1,3 до 1,5 | 1,767 | 0,440 | 0,72 | 1,64 |
От 1,5 до 1,6 | 2,011 | 0,243 | 0,44 | 1,81 |
От 1,6 до 1,8 | 2,545 | 0,534 | 0,40 | 0,75 |
От 1,8 до 2,0 | 3,142 | 0,597 | 0,47 | 0,79 |
От 2,0 до 2,1 | 3,464 | 0,322 | 0,26 | 0,81 |
От 2,1 до 2,2 | 3,801 | 0,338 | 0,27 | 0,80 |
От 2,2 до 2,4 | 4,524 | 0,723 | 0,12 | 0,17 |
От 2,4 до 2,6 | 5,309 | 0,785 | 0,097 | 0,12 |
От 2,6 до 3,0 | 7,069 | 1,759 | 0,091 | 0,05 |
I.5.6 Затем вклады интенсивности каждого кольца, образованного парой соседних апертур, сортируют в убывающем порядке, показанном в таблице I.4.
Таблица I.4
Кольцевые вклады интенсивности,
сортированные в убывающем порядке
Пара апертур | Вклад интенсивности, Вт·см2 | Площадь кольца, см2 |
От 1,5 до 1,6 | 1,81 | 0,243 |
От 0 до 0,8 | 1,71 | 0,503 |
От 1,3 до 1,5 | 1,64 | 0,44 |
От 0,8 до 1,3 | 1,31 | 0,825 |
От 2,0 до 2,1 | 0,81 | 0,322 |
От 2,1 до 2,2 | 0,80 | 0,338 |
От 1,8 до 2,0 | 0,79 | 0,597 |
От 1,6 до 1,8 | 0,75 | 0,534 |
От 2,2 до 2,4 | 0,17 | 0,723 |
От 2,4 до 2,6 | 0,12 | 0,785 |
От 2,6 до 3,0 | 0,05 | 1,759 |
Примечание - Из этого набора данных видно, что наибольшие значения интенсивности центрированы около оси пучка между апертурами 0 и 1,6 см.
I.5.7 Каждое значение интенсивности преобразуют в значение мощности умножением на соответствующую площадь кольца. Таким образом образуют набор данных вкладов мощности и площадей колец, сортированных в порядке убывания вкладов интенсивности, как это представлено в таблице I.5.
Таблица I.5
Кольцевые вклады мощности, сортированные
в порядке убывания вкладов интенсивности
Пара апертур | Вклад интенсивности, Вт·см2 | Площадь кольца, см2 | Вклад мощности, Вт |
От 1,5 до 1,6 | 1,81 | 0,243 | 0,44 |
От 0 до 0,8 | 1,71 | 0,503 | 0,86 |
От 1,3 до 1,5 | 1,64 | 0,44 | 0,72 |
От 0,8 до 1,3 | 1,31 | 0,825 | 1,08 |
От 2,0 до 2,1 | 0,81 | 0,322 | 0,26 |
От 2,1 до 2,2 | 0,80 | 0,338 | 0,27 |
От 1,8 до 2,0 | 0,79 | 0,597 | 0,47 |
От 1,6 до 1,8 | 0,75 | 0,534 | 0,40 |
От 2,2 до 2,4 | 0,17 | 0,723 | 0,12 |
От 2,4 до 2,6 | 0,12 | 0,785 | 0,09 |
От 2,6 до 3,0 | 0,05 | 1,759 | 0,09 |
I.5.8 Затем вычисляют текущую сумму, образованную мощностью совокупных площадей путем суммирования табличных значений (полная мощность должна быть равна мощности, проходящей через наибольшую апертуру), как это представлено в таблице I.6.
Таблица I.6
Совокупная сумма кольцевых вкладов мощности, предварительно
отсортированных в порядке убывания вкладов интенсивности,
и совокупная сумма площадей соответствующих им колец
Вклад интенсивности, Вт·см2 | Площадь кольца, см2 | Вклад мощности, Вт | Совокупная площадь, см2 | Совокупная мощность, Вт |
1,81 | 0,243 | 0,44 | 0,24 | 0,44 |
1,71 | 0,503 | 0,86 | 0,75 | 1,30 |
1,64 | 0,44 | 0,72 | 1,19 | 2,02 |
1,31 | 0,825 | 1,08 | 2,01 | 3,10 |
0,81 | 0,322 | 0,26 | 2,33 | 3,36 |
0,80 | 0,338 | 0,27 | 2,67 | 3,63 |
0,79 | 0,597 | 0,47 | 3,27 | 4,11 |
0,75 | 0,534 | 0,40 | 3,80 | 4,51 |
0,17 | 0,723 | 0,12 | 4,53 | 4,63 |
0,12 | 0,785 | 0,09 | 5,31 | 4,72 |
0,05 | 1,759 | 0,09 | 7,07 | 4,81 |
I.5.9 Затем строят график зависимости полной мощности от совокупной площади, представленный на рисунке I.3. Из значения мощности, измеренной без установки апертуры (4,89 Вт), вычисляют 75% проходящей мощности (3,67 Вт) и определяют соответствующую ей совокупную площадь. Значение этой совокупной площади делят на 0,75 и находят оценку эффективной площади излучения лечебной головки.
X - совокупная площадь в см2; Y - совокупная мощность в Вт;
1 - 75% мощности
Примечание - Эффективная площадь излучения лечебной головки составляет 3,5 см2 как частной от деления 2,65 см2 на 0,75.
Рисунок I.3 - Совокупная сумма кольцевых вкладов мощности,
предварительно отсортированных в порядке убывания вкладов
интенсивности, в зависимости от совокупной суммы площадей
соответствующих колец
I.6 Внедрение методики апертурных измерений
Представляется, что апертурный метод будут применять для различных целей, например:
- для приемочных испытаний лечебных головок перед началом их эксплуатации в лечебных учреждениях; при этом для всестороннего описания характеристик и построения исходных графиков для лечебной головки используют множество апертур (более 12);
- для обычного ежегодного контроля технического состояния головок с использованием двух или трех апертур и сравнением их с исходным графиком;
- для подтверждения неизменности основных характеристик в том случае, когда лечебная головка подвергалась удару или была повреждена; в этом случае, если появились отличия от исходных графиков, для продолжения испытаний потребуется большее количество апертур.
I.7 Соответствие с результатами измерений методом сканирования
В
[11] представлены результаты сравнения данных, полученных апертурным методом, с данными гидрофонных измерений, рассмотренных в
разделе 7, для 17 лечебных головок, применяемых в клинической практике. И хотя различие результатов достигает иногда +/- 20%, среднее несоответствие составляет +/- 11%. В
[13] методика апертурных измерений на системах уравновешивания радиационной силы с поглощающими и отражающими мишенями изложена более подробно.
Примечание - В общем случае результаты измерений апертурным методом хорошо согласуются (+/- 11%) с результатами, полученными методом сканирования для преобразователей с большим ka (ka > 50). Для преобразователей с ka < 30 это соответствие составляет +/- 20%.
(справочное)
ПО ОЦЕНКЕ НЕОПРЕДЕЛЕННОСТИ
Результаты измерений следует представлять совместно с неопределенностью полученных результатов в соответствии с Руководством ИСО
[14].
В общем случае составляющие неопределенности группируют по способу их оценивания:
- как неопределенность типа A, оцениваемую статистически;
- неопределенность типа B, оцениваемую иными способами.
Ниже приведен список распространенных источников неопределенности при измерениях аппаратов для физиотерапии, которые можно оценивать по типу B. Этот список не исчерпывает всех источников, но может быть использован для оценки неопределенности результатов измерений конкретными измерительными системами и методами. В зависимости от рассматриваемых параметров оценивают не все, а те или иные источники из этого списка. Например, при использовании одного и того же измерительного канала (усилителя, фильтра, вольтметра и др.) для всех сигналов можно минимизировать источники, связанные с погрешностью средств измерений, хотя это можно сделать не всегда.
Источниками неопределенности при гидрофонных измерениях в общем случае будут:
- интерференция с отраженными сигналами, приводящая к несоблюдению условий свободного поля;
- несоблюдение условий свободного поля;
- влияние эффектов пространственного усреднения на гидрофоне из-за его конечных размеров и несоблюдения условий свободного поля;
- неточная юстировка, особенно на высоких частотах, при которых характеристика направленности гидрофона недостаточно равномерна;
- акустическое рассеяние от держателя гидрофона (или вибрации от него);
- погрешности измерения напряжения принимаемого сигнала [включая точности приборов - вольтметра, аналого-цифрового преобразователя (АЦП) и пр.];
- погрешности установки усиления применяемых усилителей, фильтров, АЦП;
- погрешности измерения тока или напряжения возбуждения;
- погрешности, связанные с нелинейностью в измерительной системе (применение калиброванного аттенюатора для сравнения измеряемых сигналов может существенно снизить влияние этого источника);
- погрешности самих аттенюаторов;
- электрические шумы, в том числе и наведенные;
- неточность поправок на электрическую нагрузку при использовании удлинительных кабелей и предварительных усилителей;
- влияние воздушных пузырьков, прилипших к преобразователю - это можно минимизировать предварительным смачиванием преобразователя или его выдержкой в воде;
- погрешности установки частоты сигнала возбуждения.
Источниками неопределенности измерения эффективной площади излучения и суммы средних квадратов акустического давления являются:
- погрешности измерения расстояний между гидрофоном и лечебной головкой;
- пространственное разрешение при сканировании пучка (недостаточная отслеживаемость локальных неоднородностей).
Более детальные сведения о расчете неопределенностей определения эффективной площади излучения, полной суммы средних квадратов акустического давления и коэффициента неоднородности пучка приведены в
[15] и [16].
(справочное)
СВЕДЕНИЯ О СООТВЕТСТВИИ ССЫЛОЧНЫХ МЕЖДУНАРОДНЫХ СТАНДАРТОВ
МЕЖГОСУДАРСТВЕННЫМ СТАНДАРТАМ
Таблица ДА.1
Обозначение ссылочного международного стандарта | Степень соответствия | Обозначение и наименование соответствующего межгосударственного стандарта |
IEC 60601-1 | - | |
IEC 60601-2-5 | - | |
IEC 61161:2013 | IDT | ГОСТ IEC 61161-2014 "Государственная система обеспечения единства измерений. Мощность ультразвука в жидкостях. Общие требования к методикам выполнения измерений в диапазоне частот от 0,5 до 25 МГц" |
IEC 62127-1:2007 | - | <*> |
<*> Соответствующий межгосударственный стандарт отсутствует. До его принятия рекомендуется использовать перевод на русский язык данного международного стандарта. Официальный перевод данного международного стандарта находится в Федеральном информационном фонде технических регламентов и стандартов Российской Федерации. Примечание - В настоящей таблице использовано следующее условное обозначение степени соответствия стандарта: - IDT - идентичный стандарт. |
| BCR report: Development of standard measurement methods for essential properties of ultrasound therapy equipment, Centre for Medical Technology TNO, Report CMT/92.031, Leiden, The Netherlands, 1992 |
| Hekkenberg R.T., Beissner K. and Zeqiri B. Guidance on the propagation medium and degassing for ultrasonic power measurements in the range of physiotherapy-level ultrasonic power. European Commission, BCR Information, Report EUR 19511, ISBN 92-828-9838-5 (2000) |
| Hekkenberg R.T., Reibold R. and Zeqiri B. Evelopment of standard measurement methods for essential properties of ultrasound therapy equipment, Ultrasound in Medicine & Biology, 1994, 20, pp. 83 - 98 |
| Hill C.R. and Ter Haar G. Ultrasound in non-ionizing radiation protection In: WHO Regional Publictions, European Series No. 10 (Ed. M.J. Suess), WHO, Copenhagen, 1981 |
| Beissner K., On the plane-wave approximation of acoustic intensity, J. Acoust. Soc. Am. 71 (6), 1406 - 1411, 1982 |
| Beissner K. Minimum target size in radiation force instruments. J. Acoust. Soc. Am., 1984, 76 (6), pp. 1505 - 1510 |
[7] | Hekkenberg R.T., Oosterbaan W.A. and van Beekum W.T. On the accuracy of effective radiating areas for ultrasound therapy transducers, Medical Technology Unit TNO, Test Report MTD/88.050, Leiden, The Netherlands, 1988 |
| Hekkenberg R.T. Improvement of the standard for ultrasonic physiotherapy devices: Survey of Effective Radiating Areas. TNO Prevention and Health Report PG/TG/2004.253, Leiden, The Netherlands, 2004 (ISBN 90-5412-091-6) |
| Hekkenberg R.T. Oosterbaan W.A. and van Beekum W.T. Evaluation of ultrasound therapy devices, Physiotherapy 72, No. 8, 390 - 395, 1986 |
| US Federal Register, Ultrasonic Therapy Products Radiation Safety Performances Standard, Dept. of Health, Education and Welfare, Food and Drug Administration, Title 21, Part 1050, Vol. 43, No. 34, 7166 - 7172, 1978 |
| Zeqiri В., Hodnett M. A new method for measuring the effective radiating area of physiotherapy treatment heads, Ultrasound in Med. and Biol., 1998, 24, No. 5, 761 - 770 |
| Oberst H., Rieckmann P. Das Messverfahren des Physikalisch-Technischen Bundesanstalt bei der Bauartpruefung medizinischer Ultraschallgeraete, Part 2, Amtsblatt der PTB, 143 - 146 (1952) |
| Hodnett M., Gelat P., Zeqiri B. Aperture-based measurement of the effective radiating area of physiotherapy treatment heads: a new rapid system and performance evaluation. NPL Report CMAM 81, April 2002 |
| BIPM JCGM 100:2008 Evaluation of measurement data. Guide to the expression of uncertainty in measurement (2008) |
| Costa-Felix R.P.B., Alvarenga Andre V. Effective radiating area and beam non-uniformity ratio of ultrasound transducers at 5 MHz, according to IEC 61689:2007, Ultrasonics, v. 50, p. 329 - 331, 2010 |
Дополнение: документы МЭК, касающиеся настоящего стандарта |
International Standard IEC 60050 (all parts) | International Electrotechnical Vocabulary (Международный электротехнический словарь) (доступен на сайте http://www.electropedia.org) |
International Standard IEC 60050-801:1994 | International Electrotechnical Vocabulary - Chapter 801: Acoustics and electroacoustics (Международный электротехнический словарь. Глава 801. Акустика и электроакустика) |
International Standard IEC 60050-802:2011 | International Electrotechnical Vocabulary - Chapter 802: Ultrasonics (Международный электротехнический словарь. Глава 802: Ультразвук) |
International Standard IEC 60469-1 | Pulse techniques and apparatus - Part 1: Pulse terms and definitions (Импульсная техника и аппаратура. Часть 1. Термины и определения импульсов) |
Technical Report IEC/TR 60854 | Methods of measuring the performance of ultrasonic pulse-echo diagnostic equipment (Методы измерения основных характеристик ультразвукового эхо-импульсного оборудования) |
International Standard IEC 61828 | Ultrasonics - Focusing transducers - Definitions and measurement methods for the transmitted fields (Ультразвук. Фокусирующие преобразователи. Определения и методы измерения излучаемых полей) |
International Standard IEC 62127-2 | Ultrasonics - Hydrophones - Part 2: Calibration for ultrasonic fields up to 40 MHz (Ультразвук. Гидрофоны. Часть 2. Калибровка для измерения ультразвуковых полей на частотах до 40 МГц) |
International Standard IEC 62127-3 | Ultrasonics - Hydrophones - Part 3: Properties of hydrophones for ultrasonic fields up to 40 MHz (Ультразвук. Гидрофоны. Часть 3. Характеристики гидрофонов для измерения ультразвуковых полей на частотах до 40 МГц) |
Technical Report IEC/TR 62781 | Ultrasonics - Conditioning of water for ultrasonic measurements (Ультразвук. Подготовка воды для ультразвуковых измерений) |